Multilevel Change of Urban Green Space and Spatiotemporal Heterogeneity Analysis of Driving Factors
Abstract
1. Introduction
2. Materials and Methods
2.1. Study Area
2.2. Data Sources and Processing
2.3. Methods
2.3.1. Landscape Index
2.3.2. Urbanization Gradient Analysis
2.3.3. Driving Factor Selection
2.3.4. Geographically and Temporally Weighted Regression
3. Results
3.1. Temporal Analysis of UGSs
3.2. Landscape Change of UGSs at Multiple Levels
3.2.1. UGS Landscape Change at Urban Level
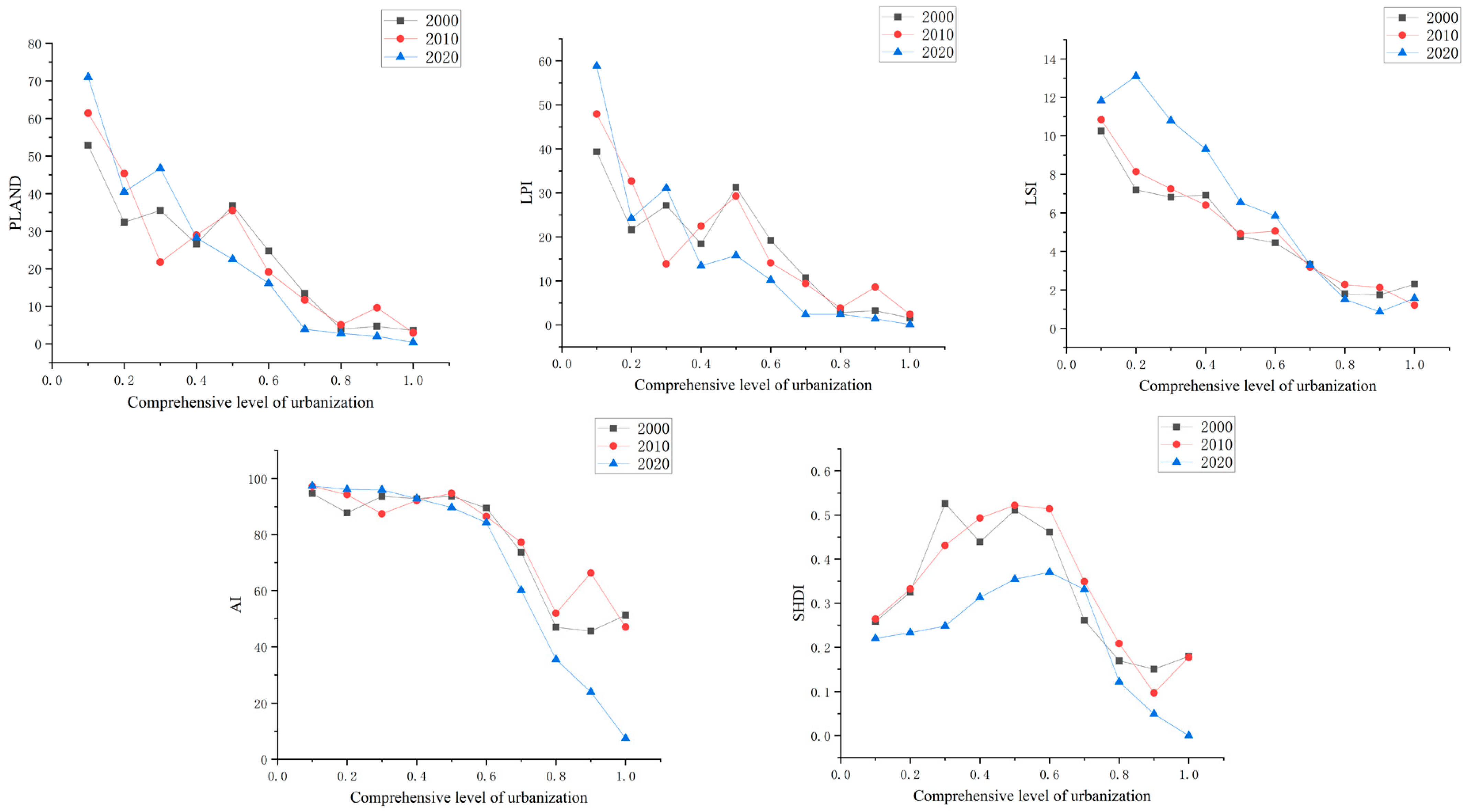
3.2.2. UGS Landscape Change at Gradient Level
3.2.3. UGS Landscape Change at Township Level
3.3. Factors of UGSs Landscape Dynamics Based on GTWR
3.3.1. Spatial Autocorrelation and Collinearity Test
3.3.2. Drivers of the Size of UGSs
3.3.3. Drivers of the Shape of UGSs
3.3.4. Drivers of the Diversity of UGSs
4. Discussion
4.1. Multilevel Change of UGSs in Guangzhou from 2000 to 2020
4.2. Spatiotemporal Heterogeneity of Natural Socio-Economic Factors
4.3. Application and Research Limitations
5. Conclusions
Author Contributions
Funding
Institutional Review Board Statement
Informed Consent Statement
Data Availability Statement
Conflicts of Interest
References
- Lin, J.; Qiu, S.; Tan, X.; Zhuang, Y. Measuring the Relationship between Morphological Spatial Pattern of Green Space and Urban Heat Island Using Machine Learning Methods. Build. Environ. 2023, 228, 109910. [Google Scholar] [CrossRef]
- Wu, S.; Wang, D.; Yan, Z.; Wang, X.; Han, J. Spatiotemporal Dynamics of Urban Green Space in Changchun: Changes, Transformations, Landscape Patterns, and Drivers. Ecol. Indic. 2023, 147, 109958. [Google Scholar] [CrossRef]
- Wang, H.; Wei, X.; Ao, W. Assessing Park Accessibility Based on a Dynamic Huff Two-Step Floating Catchment Area Method and Map Service API. ISPRS Int. J. Geo-Inf. 2022, 11, 394. [Google Scholar] [CrossRef]
- Collins, R.M.; Spake, R.; Brown, K.A.; Ogutu, B.O.; Smith, D.; Eigenbrod, F. A Systematic Map of Research Exploring the Effect of Greenspace on Mental Health. Landsc. Urban Plan. 2020, 201, 103823. [Google Scholar] [CrossRef]
- Houlden, V.; de Albuquerque, J.P.; Weich, S.; Jarvis, S. A Spatial Analysis of Proximate Greenspace and Mental Wellbeing in London. Appl. Geogr. 2019, 109, 102036. [Google Scholar] [CrossRef]
- Mouratidis, K.; Poortinga, W. Built Environment, Urban Vitality and Social Cohesion: Do Vibrant Neighborhoods Foster Strong Communities? Landsc. Urban Plan. 2020, 204, 103951. [Google Scholar] [CrossRef]
- Liu, Y.; Wang, H.; Jiao, L.; Liu, Y.; He, J.; Ai, T. Road Centrality and Landscape Spatial Patterns in Wuhan Metropolitan Area, China. Chin. Geogr. Sci. 2015, 25, 511–522. [Google Scholar] [CrossRef]
- Yang, Z.; Fang, C.; Li, G.; Mu, X. Integrating Multiple Semantics Data to Assess the Dynamic Change of Urban Green Space in Beijing, China. Int. J. Appl. Earth Obs. Geoinf. 2021, 103, 102479. [Google Scholar] [CrossRef]
- Yang, Z.; Fang, C.; Mu, X.; Li, G.; Xu, G. Urban Green Space Quality in China: Quality Measurement, Spatial Heterogeneity Pattern and Influencing Factor. Urban For. Urban Green. 2021, 66, 127381. [Google Scholar] [CrossRef]
- Blanco Pastor, A.; Canniffe, E.; Rosa Jiménez, C.J. Learning from Letchworth and Welwyn Garden City: Garden Cities’ Policies for the Development of Existing Settlements in the Contemporary World. Land Use Policy 2023, 132, 106759. [Google Scholar] [CrossRef]
- Wu, Z.; Chen, R.; Meadows, M.E.; Sengupta, D.; Xu, D. Changing Urban Green Spaces in Shanghai: Trends, Drivers and Policy Implications. Land Use Policy 2019, 87, 104080. [Google Scholar] [CrossRef]
- Liu, S.; Zhang, X.; Feng, Y.; Xie, H.; Jiang, L.; Lei, Z. Spatiotemporal Dynamics of Urban Green Space Influenced by Rapid Urbanization and Land Use Policies in Shanghai. Forests 2021, 12, 476. [Google Scholar] [CrossRef]
- Liu, J.; Zhang, L.; Zhang, Q.; Li, C.; Zhang, G.; Wang, Y. Spatiotemporal Evolution Differences of Urban Green Space: A Comparative Case Study of Shanghai and Xuchang in China. Land Use Policy 2022, 112, 105824. [Google Scholar] [CrossRef]
- Qian, Y.; Zhou, W.; Li, W.; Han, L. Understanding the Dynamic of Greenspace in the Urbanized Area of Beijing Based on High Resolution Satellite Images. Urban For. Urban Green. 2015, 14, 39–47. [Google Scholar] [CrossRef]
- Wu, W.-B.; Ma, J.; Meadows, M.E.; Banzhaf, E.; Huang, T.-Y.; Liu, Y.-F.; Zhao, B. Spatio-Temporal Changes in Urban Green Space in 107 Chinese Cities (1990–2019): The Role of Economic Drivers and Policy. Int. J. Appl. Earth Obs. Geoinf. 2021, 103, 102525. [Google Scholar] [CrossRef]
- Xu, Z.; Zhang, Z.; Li, C. Exploring Urban Green Spaces in China: Spatial Patterns, Driving Factors and Policy Implications. Land Use Policy 2019, 89, 104249. [Google Scholar] [CrossRef]
- Liu, W.; Li, H.; Xu, H.; Zhang, X.; Xie, Y. Spatiotemporal Distribution and Driving Factors of Regional Green Spaces during Rapid Urbanization in Nanjing Metropolitan Area, China. Ecol. Indic. 2023, 148, 110058. [Google Scholar] [CrossRef]
- Nor, A.N.M.; Corstanje, R.; Harris, J.A.; Brewer, T. Impact of Rapid Urban Expansion on Green Space Structure. Ecol. Indic. 2017, 81, 274–284. [Google Scholar] [CrossRef]
- Yang, J.; Huang, C.; Zhang, Z.; Wang, L. The Temporal Trend of Urban Green Coverage in Major Chinese Cities between 1990 and 2010. Urban For. Urban Green. 2014, 13, 19–27. [Google Scholar] [CrossRef]
- Hu, Y.; Zhang, Y. Spatial–Temporal Dynamics and Driving Factor Analysis of Urban Ecological Land in Zhuhai City, China. Sci. Rep. 2020, 10, 16174. [Google Scholar] [CrossRef]
- Zhu, Z.; Li, J.; Chen, Z. Green Space Equity: Spatial Distribution of Urban Green Spaces and Correlation with Urbanization in Xiamen, China. Environ. Dev. Sustain. 2023, 25, 423–443. [Google Scholar] [CrossRef]
- You, H. Characterizing the Inequalities in Urban Public Green Space Provision in Shenzhen, China. Habitat Int. 2016, 56, 176–180. [Google Scholar] [CrossRef]
- Zheng, X.; Zhu, M.; Shi, Y.; Pei, H.; Nie, W.; Nan, X.; Zhu, X.; Yang, G.; Bao, Z. Equity Analysis of the Green Space Allocation in China’s Eight Urban Agglomerations Based on the Theil Index and GeoDetector. Land 2023, 12, 795. [Google Scholar] [CrossRef]
- Yang, C.; Li, R.; Sha, Z. Exploring the Dynamics of Urban Greenness Space and Their Driving Factors Using Geographically Weighted Regression: A Case Study in Wuhan Metropolis, China. Land 2020, 9, 500. [Google Scholar] [CrossRef]
- Wang, J.; Xu, C. Geodetector: Principle and prospective. Acta Geogr. Sin. 2017, 72, 116–134. [Google Scholar]
- Zhang, Y.; Shi, M.; Chen, J.; Fu, S.; Wang, H. Spatiotemporal Variations of NO2 and Its Driving Factors in the Coastal Ports of China. Sci. Total Environ. 2023, 871, 162041. [Google Scholar] [CrossRef] [PubMed]
- Wang, X.; Fan, F.; Liu, C.; Han, Y.; Liu, Q.; Wang, A. Regional Differences and Driving Factors Analysis of Carbon Emissions from Power Sector in China. Ecol. Indic. 2022, 142, 109297. [Google Scholar] [CrossRef]
- Yang, L.; Guan, Q.; Lin, J.; Tian, J.; Tan, Z.; Li, H. Evolution of NDVI Secular Trends and Responses to Climate Change: A Perspective from Nonlinearity and Nonstationarity Characteristics. Remote Sens. Environ. 2021, 254, 112247. [Google Scholar] [CrossRef]
- Wang, H.; Zhang, B.; Liu, Y.; Liu, Y.; Xu, S.; Zhao, Y.; Chen, Y.; Hong, S. Urban Expansion Patterns and Their Driving Forces Based on the Center of Gravity-GTWR Model: A Case Study of the Beijing-Tianjin-Hebei Urban Agglomeration. J. Geogr. Sci. 2020, 30, 297–318. [Google Scholar] [CrossRef]
- Zhang, Y.; Yang, Y.; Chen, J.; Shi, M. Spatiotemporal Heterogeneity of the Relationships between PM2.5 Concentrations and Their Drivers in China’s Coastal Ports. J. Environ. Manag. 2023, 345, 118698. [Google Scholar] [CrossRef]
- Huang, B.; Wu, B.; Barry, M. Geographically and Temporally Weighted Regression for Modeling Spatio-Temporal Variation in House Prices. Int. J. Geogr. Inf. Sci. 2010, 24, 383–401. [Google Scholar] [CrossRef]
- Hu, J.; Zhang, J.; Li, Y. Exploring the Spatial and Temporal Driving Mechanisms of Landscape Patterns on Habitat Quality in a City Undergoing Rapid Urbanization Based on GTWR and MGWR: The Case of Nanjing, China. Ecol. Indic. 2022, 143, 109333. [Google Scholar] [CrossRef]
- CJJ/T85-2017; Urban Green Space Classification Standard. Ministry of Housing and Urban-Rural Development of the People’s Republic of China: Beijing, China, 2017.
- Li, F.; Zheng, W.; Wang, Y.; Liang, J.; Xie, S.; Guo, S.; Li, X.; Yu, C. Urban Green Space Fragmentation and Urbanization: A Spatiotemporal Perspective. Forests 2019, 10, 333. [Google Scholar] [CrossRef]
- Ding, N.; Zhang, Y.; Wang, Y.; Chen, L.; Qin, K.; Yang, X. Effect of Landscape Pattern of Urban Surface Evapotranspiration on Land Surface Temperature. Urban Clim. 2023, 49, 101540. [Google Scholar] [CrossRef]
- Wen, D.; Liu, M.; Yu, Z. Quantifying Ecological Landscape Quality of Urban Street by Open Street View Images: A Case Study of Xiamen Island, China. Remote Sens. 2022, 14, 3360. [Google Scholar] [CrossRef]
- Zhang, Z.; Peng, J.; Xu, Z.; Wang, X.; Meersmans, J. Ecosystem Services Supply and Demand Response to Urbanization: A Case Study of the Pearl River Delta, China. Ecosyst. Serv. 2021, 49, 101274. [Google Scholar] [CrossRef]
- Liang, Z.; Wu, S.; Wang, Y.; Wei, F.; Huang, J.; Shen, J.; Li, S. The Relationship between Urban Form and Heat Island Intensity along the Urban Development Gradients. Sci. Total Environ. 2020, 708, 135011. [Google Scholar] [CrossRef] [PubMed]
- Li, J.; Yang, D.; Yang, F.; Zhang, Y.; Wang, H. Influence of Landscape Pattern on Ecosystem Service Supply-Demand Mismatch in Tianjin within the Context of Urbanization. Acta Ecol. Sin. 2024, 44, 1–16. [Google Scholar] [CrossRef]
- Liu, H.; Jiao, F.; Yin, J.; Li, T.; Gong, H.; Wang, Z.; Lin, Z. Nonlinear Relationship of Vegetation Greening with Nature and Human Factors and Its Forecast—A Case Study of Southwest China. Ecol. Indic. 2020, 111, 106009. [Google Scholar] [CrossRef]
- Guo, L.; Xi, X.; Yang, W.; Liang, L. Monitoring Land Use/Cover Change Using Remotely Sensed Data in Guangzhou of China. Sustainability 2021, 13, 2944. [Google Scholar] [CrossRef]
- Soltanifard, H.; Roshandel, T.; Ghodrati, S. Assessment and Ranking of Influencing Factors in the Relationship between Spatial Patterns of Urban Green Spaces and Socioeconomic Indices in Mashhad Urban Districts, Iran. Model. Earth Syst. Environ. 2020, 6, 1589–1605. [Google Scholar] [CrossRef]
- Spyra, M.; Kleemann, J.; Calò, N.C.; Schürmann, A.; Fürst, C. Protection of Peri-Urban Open Spaces at the Level of Regional Policy-Making: Examples from Six European Regions. Land Use Policy 2021, 107, 105480. [Google Scholar] [CrossRef]
- Wang, Z.; Wang, X.; Xie, X.; Xiao, M.; Wu, Y.; Liu, X. Evolution of Landscape Pattern of Green Space in Fujian Province: Influencing Factors and Spatial Differences Based on GWR Model. J. Northwest For. Univ. 2022, 37, 242–250. [Google Scholar]
- Richards, D.R.; Passy, P.; Oh, R.R.Y. Impacts of Population Density and Wealth on the Quantity and Structure of Urban Green Space in Tropical Southeast Asia. Landsc. Urban Plan. 2017, 157, 553–560. [Google Scholar] [CrossRef]
- Zhou, Y.; Lu, Y. Spatiotemporal Evolution and Determinants of Urban Land Use Efficiency under Green Development Orientation: Insights from 284 Cities and Eight Economic Zones in China, 2005–2019. Appl. Geogr. 2023, 161, 103117. [Google Scholar] [CrossRef]
- Yang, W.; Yang, R.; Zhou, S. The Spatial Heterogeneity of Urban Green Space Inequity from a Perspective of the Vulnerable: A Case Study of Guangzhou, China. Cities 2022, 130, 103855. [Google Scholar] [CrossRef]
- Li, L.; Zheng, Y.; Ma, S. Links of Urban Green Space on Environmental Satisfaction: A Spatial and Temporarily Varying Approach. Environ. Dev. Sustain. 2023, 25, 3469–3501. [Google Scholar] [CrossRef]
- Liu, S.; Yu, Q.; Wei, C. Spatial-Temporal Dynamic Analysis of Land Use and Landscape Pattern in Guangzhou, China: Exploring the Driving Forces from an Urban Sustainability Perspective. Sustainability 2019, 11, 6675. [Google Scholar] [CrossRef]
- Chen, K.; Gong, J.; Liu, Y.; Chen, X. The Spatial-Temporal Differentiation of Green Space and Its Fragmentation during the Past Thirty-Five Years in Guangzhou. J. Nat. Resour. 2016, 31, 1100–1113. [Google Scholar]
- Zahoor, A.; Xu, T.; Wang, M.; Dawood, M.; Afrane, S.; Li, Y.; Chen, J.L.; Mao, G. Natural and Artificial Green Infrastructure (GI) for Sustainable Resilient Cities: A Scientometric Analysis. Environ. Impact Assess. Rev. 2023, 101, 107139. [Google Scholar] [CrossRef]
- Wu, T.; Zha, P.; Yu, M.; Jiang, G.; Zhang, J.; You, Q.; Xie, X. Landscape Pattern Evolution and Its Response to Human Disturbance in a Newly Metropolitan Area: A Case Study in Jin-Yi Metropolitan Area. Land 2021, 10, 767. [Google Scholar] [CrossRef]
- Wang, C.; Liu, S.; Zhou, S.; Zhou, J.; Jiang, S.; Zhang, Y.; Feng, T.; Zhang, H.; Zhao, Y.; Lai, Z.; et al. Spatial-Temporal Patterns of Urban Expansion by Land Use/Land Cover Transfer in China. Ecol. Indic. 2023, 155, 111009. [Google Scholar] [CrossRef]
- Chen, S.; Zhang, L.; Huang, Y.; Wilson, B.; Mosey, G.; Deal, B. Spatial Impacts of Multimodal Accessibility to Green Spaces on Housing Price in Cook County, Illinois. Urban For. Urban Green. 2022, 67, 127370. [Google Scholar] [CrossRef]
- Liu, Z.; Liu, L.; Li, Y.; Li, X. Influence of Urban Green Space Landscape Pattern on River Water Quality in a Highly Urbanized River Network of Hangzhou City. J. Hydrol. 2023, 621, 129602. [Google Scholar] [CrossRef]
- Yu, S.; Leichtle, T.; Zhang, Z.; Liu, F.; Wang, X.; Yan, X.; Taubenböck, H. Does Urban Growth Mean the Loss of Greenness? A Multi-Temporal Analysis for Chinese Cities. Sci. Total Environ. 2023, 898, 166373. [Google Scholar] [CrossRef]
- Wang, J.; Zhang, Y.; Zhang, X.; Song, M.; Ye, J. The Spatio-Temporal Trends of Urban Green Space and Its Interactions with Urban Growth: Evidence from the Yangtze River Delta Region, China. Land Use Policy 2023, 128, 106598. [Google Scholar] [CrossRef]
- Li, Y.; Zhang, X.; Xia, C. Towards a Greening City: How Does Regional Cooperation Promote Urban Green Space in the Guangdong-Hong Kong-Macau Greater Bay Area? Urban For. Urban Green. 2023, 86, 128033. [Google Scholar] [CrossRef]









| Landscape Indicator | Type | Description |
|---|---|---|
| PLAND (Percent of landscape) | Size (Proportion of UGS) | The percentage of a certain patch area in the landscape to the whole landscape area. The larger the value, the greater the proportion of this type area. |
| LPI (Largest path index) | Size (Dominance of UGS) | The percentage of the largest patch of the corresponding patch type in the landscape. The greater the value, the more concentrated and dominant the landscape is. |
| LSI (Landscape shape index) | Shape (Morphology of UGS) | The ratio of perimeter to area measures the overall morphological complexity of the landscape. The greater the value, the higher the irregularity of patches and the more complex the landscape shape. |
| AI (Aggregation Index) | Shape (Aggregation of UGS) | The aggregation index indicates the degree of aggregation between landscape patches. The greater the value, the higher the aggregation degree of the same kind of plaque. |
| SHDI (Shannon’s Diversity Index) | Diversity (Richness of UGS) | This index can reflect the richness of landscape patch types. The greater value, the richer the landscape types and the stronger the spatial heterogeneity. |
| Dimension | Subcategory | Indicator | Abbreviation | Reference |
|---|---|---|---|---|
| Nature climate | Climatic | Average annual temperature | TEM | [44] |
| Annual precipitation | PRE | [2,17] | ||
| Topography | DEM | DEM | [2,17] | |
| Social economic | Economic development | GDP | GDP | [2,17] |
| Population concentration | Population density | POD | [2,42] | |
| Urban expansion | Artificial surface area | ASA | [2,45] | |
| Urbanization level | Nighttime light | NTL | [34,46] |
| Year | PLAND | LPI | LSI | AI | SHDI |
|---|---|---|---|---|---|
| 2000 | 45.032 | 22.427 | 54.854 | 97.160 | 0.332 |
| 2010 | 45.069 | 22.541 | 54.363 | 97.188 | 0.341 |
| 2020 | 38.795 | 16.201 | 60.297 | 96.633 | 0.272 |
| PLAND | LPI | LSI | AI | SHDI | |||||||||||
|---|---|---|---|---|---|---|---|---|---|---|---|---|---|---|---|
| 2000 | 2010 | 2020 | 2000 | 2010 | 2020 | 2000 | 2010 | 2020 | 2000 | 2010 | 2020 | 2000 | 2010 | 2020 | |
| Moran’s I | 0.611 | 0.595 | 0.685 | 0.494 | 0.492 | 0.619 | 0.721 | 0.708 | 0.723 | 0.446 | 0.408 | 0.526 | 0.447 | 0.523 | 0.390 |
| p value | 0.001 | 0.001 | 0.001 | 0.001 | 0.001 | 0.001 | 0.001 | 0.001 | 0.001 | 0.001 | 0.001 | 0.001 | 0.001 | 0.001 | 0.001 |
| Landscape Index | GTWR R2 Adjusted | OLS R2 Adjusted | Variable | OLS Standardized Regression Coefficient | p Value | Variance Inflation Factor |
|---|---|---|---|---|---|---|
| PLAND | 0.752 | 0.637 | DEM | 0.606 | 0.000 | 1.823 |
| PRE | 0.092 | 0.001 | 1.119 | |||
| POD | −0.145 | 0.000 | 1.226 | |||
| NTL | −0.143 | 0.000 | 1.998 | |||
| LPI | 0.682 | 0.584 | TEM | −0.101 | 0.001 | 1.092 |
| DEM | 0.710 | 0.000 | 1.079 | |||
| POD | −0.097 | 0.001 | 1.132 | |||
| LSI | 0.733 | 0.698 | TEM | 0.121 | 0.001 | 2.457 |
| PRE | 0.151 | 0.000 | 1.788 | |||
| GDP | 0.081 | 0.013 | 1.798 | |||
| POD | −0.158 | 0.000 | 1.465 | |||
| DG | −0.585 | 0.000 | 1.253 | |||
| ASA | 0.327 | 0.000 | 1.612 | |||
| AI | 0.414 | 0.305 | PRE | 0.231 | 0.000 | 1.143 |
| GDP | 0.111 | 0.014 | 1.515 | |||
| POD | −0.214 | 0.000 | 1.388 | |||
| NTL | −0.235 | 0.000 | 1.253 | |||
| ASA | 0.167 | 0.000 | 1.557 | |||
| SHDI | 0.438 | 0.188 | TEM | −0.159 | 0.000 | 1.265 |
| POD | −0.176 | 0.000 | 1.435 | |||
| NTL | −0.185 | 0.001 | 2.003 | |||
| ASA | 0.247 | 0.000 | 1.254 | |||
| DEM | −0.322 | 0.000 | 1.768 |
| Dependent | Variable | Maximum | Minimum | Mean | |||||||||
|---|---|---|---|---|---|---|---|---|---|---|---|---|---|
| Variable | 2000 | 2010 | 2020 | 2000–2020 | 2000 | 2010 | 2020 | 2000–2020 | 2000 | 2010 | 2020 | 2000–2020 | |
| PLAND | DEM | 4.822 | 4.104 | 3.193 | 4.034 | 0.224 | 0.204 | 0.114 | 0.202 | 0.909 | 0.854 | 0.854 | 0.872 |
| PRE | 0.360 | 0.219 | 0.203 | 0.250 | −0.219 | −0.041 | −0.271 | −0.098 | 0.089 | 0.070 | 0.067 | 0.053 | |
| POD | 33.626 | 19.807 | 19.815 | 24.416 | −12.165 | −8.712 | −18.576 | −13.151 | 0.898 | 0.786 | 0.814 | 0.826 | |
| NTL | 0.069 | 0.088 | 0.034 | 0.028 | −2.083 | −1.133 | −1.403 | −1.540 | 0.390 | 0.387 | 0.392 | 0.389 | |
| LPI | TEM | 0.091 | 0.020 | −0.029 | 0.007 | −0.702 | −0.620 | −0.650 | −0.655 | 0.113 | 0.102 | 0.138 | 0.118 |
| DEM | 4.990 | 4.219 | 3.127 | 4.053 | 0.365 | 0.412 | 0.501 | 0.447 | 1.006 | 0.945 | 0.831 | 0.927 | |
| POD | 67.319 | 47.204 | 38.166 | 50.896 | −21.003 | −15.868 | −21.648 | −14.068 | 1.415 | 1.155 | 1.064 | 1.211 | |
| TEM | 0.361 | 0.341 | 0.315 | 0.317 | 0.039 | 0.023 | 0.007 | 0.023 | 0.118 | 0.119 | 0.104 | 0.114 | |
| LSI | PRE | 0.294 | 0.292 | 0.257 | 0.281 | −0.258 | −0.269 | −0.279 | −0.269 | 0.141 | 0.143 | 0.124 | 0.136 |
| GDP | 0.759 | 0.893 | 0.792 | 0.815 | −0.081 | −0.101 | −0.100 | −0.094 | 0.059 | 0.061 | 0.067 | 0.063 | |
| POD | −0.065 | −0.089 | −0.114 | −0.107 | −2.028 | −5.765 | −4.526 | −4.106 | 0.148 | 0.177 | 0.179 | 0.168 | |
| NTL | −0.216 | −0.222 | −0.232 | −0.223 | −0.821 | −0.768 | −0.763 | −0.774 | 0.532 | 0.530 | 0.532 | 0.531 | |
| ASA | 0.517 | 0.490 | 0.469 | 0.492 | 0.171 | 0.137 | 0.207 | 0.182 | 0.406 | 0.393 | 0.380 | 0.393 | |
| PRE | 0.521 | 0.379 | 0.424 | 0.428 | 0.003 | 0.003 | 0.003 | 0.004 | 0.318 | 0.277 | 0.287 | 0.294 | |
| AI | GDP | 0.350 | 0.274 | 0.317 | 0.222 | −0.355 | −0.176 | −0.028 | −0.134 | 0.091 | 0.119 | 0.179 | 0.130 |
| POD | 0.270 | 0.093 | 0.472 | 0.077 | −3.621 | −1.896 | −2.302 | −1.573 | 0.178 | 0.232 | 0.342 | 0.251 | |
| NTL | −0.005 | −0.012 | −0.007 | −0.017 | −0.712 | −0.708 | −0.594 | −0.659 | 0.437 | 0.373 | 0.254 | 0.355 | |
| ASA | 0.891 | 0.599 | 0.506 | 0.657 | −0.012 | −0.010 | −0.022 | −0.002 | 0.573 | 0.331 | 0.230 | 0.378 | |
| TEM | 0.045 | −0.069 | 0.538 | 0.060 | −1.041 | −0.562 | −0.754 | −0.786 | 0.133 | 0.195 | 0.147 | 0.158 | |
| SHDI | POD | 98.009 | 70.193 | 60.505 | 76.236 | −4.185 | −0.478 | −11.902 | −5.371 | 1.173 | 0.892 | 0.765 | 0.943 |
| NTL | 5.918 | 3.965 | 3.517 | 4.467 | −0.569 | −0.789 | −0.549 | −0.504 | 0.396 | 0.410 | 0.181 | 0.329 | |
| ASA | 1.470 | 1.035 | 0.717 | 1.074 | −0.896 | −0.544 | −0.510 | −0.650 | 0.902 | 0.598 | 0.387 | 0.629 | |
| DEM | 1.139 | 1.134 | 1.068 | 1.114 | −1.067 | −1.040 | −1.328 | −0.859 | 0.369 | 0.344 | 0.304 | 0.339 | |
Disclaimer/Publisher’s Note: The statements, opinions and data contained in all publications are solely those of the individual author(s) and contributor(s) and not of MDPI and/or the editor(s). MDPI and/or the editor(s) disclaim responsibility for any injury to people or property resulting from any ideas, methods, instructions or products referred to in the content. |
© 2024 by the authors. Licensee MDPI, Basel, Switzerland. This article is an open access article distributed under the terms and conditions of the Creative Commons Attribution (CC BY) license (https://creativecommons.org/licenses/by/4.0/).
Share and Cite
Wang, H.; Lin, C.; Ou, S.; Feng, Q.; Guo, K.; Wei, X.; Xie, J. Multilevel Change of Urban Green Space and Spatiotemporal Heterogeneity Analysis of Driving Factors. Sustainability 2024, 16, 4762. https://doi.org/10.3390/su16114762
Wang H, Lin C, Ou S, Feng Q, Guo K, Wei X, Xie J. Multilevel Change of Urban Green Space and Spatiotemporal Heterogeneity Analysis of Driving Factors. Sustainability. 2024; 16(11):4762. https://doi.org/10.3390/su16114762
Chicago/Turabian StyleWang, Huimin, Canrui Lin, Sihua Ou, Qianying Feng, Kui Guo, Xiaojian Wei, and Jiazhou Xie. 2024. "Multilevel Change of Urban Green Space and Spatiotemporal Heterogeneity Analysis of Driving Factors" Sustainability 16, no. 11: 4762. https://doi.org/10.3390/su16114762
APA StyleWang, H., Lin, C., Ou, S., Feng, Q., Guo, K., Wei, X., & Xie, J. (2024). Multilevel Change of Urban Green Space and Spatiotemporal Heterogeneity Analysis of Driving Factors. Sustainability, 16(11), 4762. https://doi.org/10.3390/su16114762

