Next Article in Journal
Spatial Distribution Characteristics and Sustainable Inheritance Strategies of National Traditional Fine Arts Intangible Cultural Heritage in China
Previous Article in Journal
Sustainable Approach of a Multi-Hazard Risk Assessment Using GIS Customized for Ungheni Areal Situated in the Metropolitan Area of Iasi
 
 
Font Type:
Arial Georgia Verdana
Font Size:
Aa Aa Aa
Line Spacing:
Column Width:
Background:
Article

Environmental Assessment of Incorrect Automated Pedestrian Detection and Common Pedestrian Timing Treatments at Signalized Intersections

by
Slavica Gavric
,
Ismet Goksad Erdagi
and
Aleksandar Stevanovic
*
Department of Civil & Environmental Engineering, University of Pittsburgh, 3700 O’Hara Street, Pittsburgh, PA 15261, USA
*
Author to whom correspondence should be addressed.
Sustainability 2024, 16(11), 4487; https://doi.org/10.3390/su16114487
Submission received: 2 May 2024 / Revised: 21 May 2024 / Accepted: 24 May 2024 / Published: 25 May 2024

Abstract

Existing research has primarily focused on the accuracy of automated pedestrian detection systems, overlooking the consequential environmental impacts arising from false or missed pedestrian detections. To fill these research gaps, this study investigates the emissions and fuel consumption resulting from incorrect pedestrian detection at signalized intersections in microsimulation. To carry out experiments, the authors employ Vissim microsimulation software and the Comprehensive Modal Emission Model (CMEM). For the first time in the literature, missed and false calls are modeled in microsimulation and their environmental impacts are accurately measured. The research highlights the limitations of current automated pedestrian (video) detection systems (APVDSs) technologies in reducing emissions and fuel consumption effectively. While APVDSs offer potential benefits for traffic management, their inability to accurately detect pedestrians undermines their environmental efficacy. This study emphasizes the importance of considering environmental impacts of APVDSs, and challenges the belief that pedestrian recall treatment is the least eco-friendly. Also, the study showed that coupling APVDS or push-button treatments with pedestrian recycle features increases fuel consumption and CO2 by 10% at the intersections with higher pedestrian demand. By understanding the emissions and fuel consumption associated with incorrect detections, transportation agencies can make more informed decisions regarding the implementation and improvement of APVDS technologies.

1. Introduction

Fuel consumption and emissions have far-reaching implications for sustainability, affecting the environment, public health, and economic stability [1]. The traffic congestion prevalent in urban areas and the rapid urbanization of rural regions are primary drivers of excessive fossil fuel usage [2,3]. Of particular concern are signalized intersections, which stand out as significant contributors to high vehicular fuel consumption [4]. Thus, the design and operations of such intersections are crucial for ensuring the sustainable mobility of all road users [5].
Traditionally, pedestrians at signalized intersections have been handled in two distinct manners. The first involves pedestrian recall operations, where pedestrians are served (pedestrian phase is activated) every cycle regardless of pedestrian demand. The second approach serves pedestrians only when a pedestrian pushes a pedestrian push-button located on a pole at the corner of the intersection. Recently, the push-button method has been enhanced by the introduction of an automated pedestrian (video) detection system (APVDS), which promises to replace the need for a push-button by automatically initiating a pedestrian call as soon as a pedestrian is detected within a relevant detection zone [6].
Like many traffic signal technologies, both pedestrian push-buttons and APVDSs have their advantages and disadvantages. For instance, push-buttons can sometimes lead to confusion, as pedestrians may not know which button to press (especially when multiple buttons are present on the same signal pole) or may forget to press them. To address such issues, APVDSs appear to offer a promising solution. In theory, APVDSs could determine whether to activate a pedestrian phase without requiring pedestrians to press a button. However, APVDSs still encounter some challenges, as pedestrians behave differently from vehicles, which are consistently oriented in their direction of travel. Furthermore, if an APVDS triggers a pedestrian call but the pedestrian is not within the detection zone (leading to a false call), it could disrupt signal coordination within a network or corridor, potentially increasing the number of stops. This disruption can potentially lead to higher emissions and fuel consumption. Despite several studies investigating APVDSs [7,8,9,10], their impact on environment remains relatively unexplored.
Numerous studies have assessed the performance of non-intrusive detection systems [11,12,13,14,15,16,17,18,19]. Conversely, the accuracy issues associated with them have received comparatively less attention from researchers [7]. While some of these studies investigated the accuracy of APVDSs by evaluating their performance and operational impact at signalized intersections [7,10], none have quantified the environmental impact of false or missed pedestrian calls. To fill this research gap, we propose using a microsimulation approach to analyze the environmental impact of APVDSs by comparing them with common pedestrian timing treatments.
Understanding the environmental impact of the inaccuracies of APVDSs is crucial for effective traffic signal operations and urban planning. Therefore, this study examines the environmental impact of two detection issues: (a) missed pedestrian calls (when a pedestrian is in the detection zone but the associated phase is not called), and (b) false pedestrian calls (when there is no pedestrian in the detection zone but a call is mistakenly placed). In addition, this study examines the effects of incorrect calls across a range of operational strategies, including: APVDS with and without utilizing the pedestrian recycle feature of the controller, pedestrian recall operations, and standard push-button operations, both with and without pedestrian recycle. To carry out these experiments, the authors employ Vissim 2022 microsimulation software [20] and the Comprehensive Modal Emission Model (CMEM) [21]. The experiments are conducted across various times of the day, replicating different levels of vehicular and pedestrian demands. Utilizing a high-fidelity microsimulation environment enables precise measurement and analysis of the impacts of missed and false calls, which would be challenging, if not impossible, to assess accurately in the field conditions. The simulation model underwent calibration and validation to ensure the faithful representation of real-world traffic scenarios. For the first time in the literature, missed and false calls are modeled in microsimulation and their environmental impacts are accurately measured.
Automated pedestrian detection, essentially passive video detection, represents an emerging technology whose accuracy and reliability remain unproven [6,10,22]. However, assessing the environmental impacts of missed calls (instances of unserved pedestrians) and false calls (such as unnecessary calls leading to increased fuel consumption and emissions for vehicles) proves challenging in real-world settings. For instance, obtaining such measurements necessitates high amounts of data, meticulous synchronization of recorded events, and substantial computational processing and analysis. Even then, ensuring experiments are conducted under controlled conditions and attributing measured results solely to anticipated causes (i.e., the failures of automated pedestrian detection) presents considerable difficulty. Therefore, employing a microsimulation coupled with CMEM emerges as a valid approach for conducting such analyses.
The rest of the paper is organized as follows: First, we conduct a literature review. Subsequently, we give an overview of our methodology. Following this, we delve into a detailed presentation and discussion of the results. Lastly, we conclude with final remarks and outline future research opportunities.

2. Literature Review

Over the past two decades, the use of video detection for presence detection at signalized intersections has surged due to its flexibility and straightforward installation process. Despite its popularity, numerous reports have highlighted performance issues with these systems. Furthermore, although many studies have explored pedestrian timing treatments, none have reported on the environmental impacts associated with various timing strategies.
Passive pedestrian detection was first introduced in a study by Beckwith and Hunter-Zaworski in 1998 [9], where various automated pedestrian detectors, including passive infrared, microwave, and ultrasonic systems, were tested. Larson et al. conducted a comparison between APVDSs and thermal sensors but did not delve into the impact of false, correct, and missed calls on vehicular or pedestrian delays. [7]. Their focus remained on assessing the accuracy of optical and thermal detection systems. In 2011, Montufar and Foord [23] assessed automated pedestrian detection under cold weather conditions, highlighting premature deployment due to a high occurrence of missed and false actuations. Several studies explored the automated detection of pedestrians using infrared and microwave technology [8]. Additionally, Combs et al. discovered the potential for reducing fatalities by combining sensor technologies such as radar and video. [24]. In 2019, Lin et al., in their technical report, investigated radar, microwave, and thermal camera automated pedestrian detection in a controlled real-world environment and found that these methods performed very well, with accuracy as high as 92% [6]. In 2022, Haddad et al. synthesized all the existing APVDSs [25]. Gavric et al. proposed a novel microsimulation approach to investigate the impacts of incorrect pedestrian calls on the operational performance of signalized intersections [10]. Passive pedestrian detection is an emerging technology that has not received adequate attention. Even the studies that have examined these systems did not investigate how incorrect detection affects fuel consumption and emissions.
Numerous studies have examined the effectiveness of video detection systems for vehicular detection. Martin et al. conducted a study in Utah to evaluate the accuracy of video detection systems installed at intersections [11]. A report from 2001 assessed non-intrusive detection systems, including one video detection system [12]. Grenard et al. noted in a 2002 report that video detection systems lack sufficient accuracy for designing signal timings based on them [13]. Rhodes et al. compared stop bar video detection systems with loop detectors in 2005 [14]. Their 2006 report evaluated the precision of video vehicle presence detection in both daylight and night-time conditions [15]. Medina et al. conducted research assessing video detection systems under various lighting, time of day, wind, and adverse weather conditions [16,17,18]. In 2010, Chitturi et al. examined the impact of shadows and time of day on the performance of video detection systems at signalized intersections [19]. Also in 2010, Hu et al. provided guidelines for the application of video detection systems at signalized intersections [26]. While many researchers have explored the accuracy levels of video detection, none have delved into the environmental impacts caused by these inaccuracies.
Urbanik and Tian outlined some problems related to the pedestrian timing treatments during split phasing operations and proposed a protected/permitted left-turn display for split phasing scenarios [27]. Ma et al. utilized a multi-objective approach to determine the optimal balance between pedestrian phase patterns and traffic control at signalized intersections [28]. In 2017, Gholami and Tian established guidelines for determining the preferable cycle length that accommodates pedestrian timings compared to those that do not for a single intersection [29]. Chowdhury et al. examined the impact of pedestrian treatments on coordinated traffic along major corridors and assessed how pedestrian considerations influence overall network performance [30]. Similarly, Cesme et al. investigated the effects of pedestrian recall within actuated-coordinated corridors [31]. Their recommendations suggest implementing pedestrian recall when there is a substantial pedestrian demand in nearly all cycles. Additionally, they advise setting pedestrian phases on recall when the green time of the concurrent phase is long enough to accommodate the pedestrian phase without altering the cycle length. Gavric et al. introduced novel pedestrian timing treatments utilizing a new type of traffic controller DUMKA_E, offering greater efficiency compared to common methods [32]. It is noteworthy that while many researchers have investigated and developed pedestrian timing treatments to enhance efficiency, no study has examined the impacts of these treatments on environmental performance metrics.
Many researchers have investigated automated detection systems, as well as pedestrian timing treatments at signalized intersections. Nevertheless, the environmental issues associated with incorrect APVDS calls, and other pedestrian timing treatments have received little attention from researchers. Thus, in this study, we aim to fill this gap in the current body of knowledge by evaluating how APVDSs’ accuracy and the pedestrian timing treatments at signalized intersections impact environmental performance metrics through a microsimulation approach.

3. Methodology

The overall methodology framework is depicted in Figure 1 below. This methodology comprises four distinct parts. Firstly, we introduce the APVDS and common pedestrian timing treatments considered in this study, along with defining our hypotheses. Next, we present the collected data from two different APVDSs. Following this, we outline the microsimulation modeling process for missed and false calls and discuss the calibration efforts of the microsimulation model. Subsequently, we detail our testbed network and experimental setup, including the procedure for estimating fuel consumption and emissions through microsimulation and CMEM. Finally, we execute the scenarios, acquire trajectories for the analyzed intersections, and process them in CMEM.

3.1. Automated Pedestrian Detection and Common Pedestrian Timing Treatments

For this study, we consider five different pedestrian timing treatments described below (Figure 2). These pedestrian timing treatments are commonly used in the United States and Canada.
  • APVDS can be combined with pedestrian recycle (APVDS-PR) settings if the walk and flashing do not walk (FDW) times are shorter than the maximum green time for the relevant phase. The pedestrian recycle setting allows the pedestrian interval of a phase to start after the beginning of green for the concurrent vehicular phase if the pedestrian clearance times can still be serviced in their entirety [33,34];
  • APVDS without pedestrian recycle (APVDS-NPR) will not serve pedestrians who arrive late, forcing them to wait until the next cycle/relevant phase. Also, APVDS will have missed and false calls depending on how accurately the system is able to detect the pedestrians;
  • Push-buttons coupled with a pedestrian recycle feature (PB-PR) is a pedestrian timing treatment where pedestrians are only served if they press the button to request the service. The use of push-buttons significantly reduces the possibility of false calls. However, in many cases, pedestrians fail to press the button immediately upon arrival at the intersection, resulting in longer waiting times than necessary, but in this study, we assume that all pedestrians in push-button scenarios will press the push-button as soon as they arrive at the intersection;
  • Pedestrian push-buttons without pedestrian recycling (PB-NPR) in which the pedestrians will be served only if they press the push-button before the start of the concurrent vehicular phase;
  • The fifth treatment is pedestrian recall (Recall), which means that pedestrians will be served in each cycle regardless of whether there is any pedestrian demand.
Due to certain pedestrian timing treatments, especially those combined with a pedestrian recycle feature, it is intuitive that more vehicles will be stopped or slowed down (see Figure 3) due to the larger time window for pedestrians to cross. For example, in a pedestrian push-button treatment, pedestrians are served only if they request the service timely. However, when the push-button is combined with pedestrian recycle, even late arrivals of pedestrians can be served, thereby potentially interrupting traffic flow more than necessary. Thus, in this study, we aim to test the following hypotheses:
Hypothesis 1 (H1):
The pedestrian Recall feature triggers pedestrian phases every cycle, resulting in increased fuel consumption and the emission of pollutants.
Hypothesis 2 (H2):
The pedestrian push-button treatment calls pedestrian phase only when pedestrian demand truly exists, resulting in decreased fuel consumption and the emission of pollutants when compared to pedestrian Recall.
Hypothesis 3 (H3):
An APVDS with more false calls causes increased fuel consumption and emissions compared to push-button treatment or APVDSs with more missed calls.
Hypothesis 4 (H4):
Push-button treatment combined with pedestrian recycle increases fuel consumption and emissions when compared to that same treatment without pedestrian recycle.
Hypothesis 5 (H5):
APVDS treatment combined with pedestrian recycle increases fuel consumption and emissions when compared to that same treatment without the pedestrian recycle feature.

3.2. Data Collection

The study gathered data from two intersections in Pittsburgh, PA, USA, each equipped with distinct video detection systems. At the intersection of Butler and 40th Street, a single-camera system, termed APVDS Type 1, was employed. Meanwhile, the intersection at Penn Avenue and 40th Street utilized a two-camera setup for vehicle and pedestrian detection, labeled as APVDS Type 2.
Video recordings spanning May to November 2022 were meticulously processed for analysis. From the extensive dataset, a randomly chosen 20-hour subset of the video data was utilized for further investigation. Within this subset, pedestrian calls were categorized as correct, missed, or false through manual review of the recorded footage.
A summary of the collected data is presented in Table 1. Notably, the intersection equipped with APVDS Type 1 experiences notably higher pedestrian traffic compared to the other intersection. Consequently, it exhibits a higher incidence of false calls but fewer missed calls, as detailed in Table 1. Conversely, the APVDS Type 2 intersection experiences lower pedestrian volumes. Additionally, it maintains an average 64% rate of missed calls and minimal false calls. It is worth noting that the total number of pedestrian calls is significantly higher with APVDS Type 1, primarily due to a substantial number of false calls. Based solely on accuracy metrics, neither of these systems appears to perform well. In a previous study by the authors, it was concluded that APVDS Type 1 is safer than APVDS Type 2, as pedestrians are more likely to adhere to the traffic signal [7]. However, further evaluation is necessary to determine which system is superior in terms of environmental impact.

3.3. Replicating Missed and False Calls in a Microsimulation Environment

To replicate APVDS operations from the field, three distinct pedestrian categories were established within Vissim: correctly detected, missed, and false pedestrians. Vissim detectors were set up to generate calls only when a real pedestrian is detected, constituting a correct pedestrian call. Missed calls occur when the detector fails to activate in the presence of a real pedestrian, while false calls happen when the detector activates without a real pedestrian, as illustrated in Figure 4. Thus, both false and correct calls trigger detectors in Vissim, whereas missed calls are only registered if they coincide with either correct or false pedestrian instances (Figure 4). It is important to note that pedestrian inputs in Vissim, which account for pedestrian demand, encompass all pedestrian calls, including false ones.
Subsequently, within the vehicle compositions or relative traffic flows, the average percentage of each pedestrian type was established within the respective flow category. Given the differing average percentages of correct, false, and missed calls for the two analyzed APVDS types, two distinct relative flow categories were devised, one for each of the analyzed systems, following the methodology outlined in [10]. When assigning pedestrian volumes to each pedestrian crosswalk, adjustments were made to reflect the presence of false calls (Equation (1)):
V a d j = V p e d · 1 + F
where V a d j is the adjusted volume, V p e d is the field pedestrian volume, and F is the ratio of false pedestrian calls.

3.4. Microsimulation Model of the Analyzed Intersections

In assessing the environmental impacts of APVDSs and common pedestrian timing treatments, we employed a 6-intersection Vissim model (see Figure 5). It is important to note that while this study primarily focuses on two intersections within the model, the remaining intersections play a supportive role, contributing to the creation of more realistic traffic arrival patterns and enhancing the overall validity of the simulation environment. Additionally, to ensure unbiased results, all scenarios were simulated using identical network geometry and traffic characteristics.
To ensure a fair comparison, walk and pedestrian clearance intervals were maintained to be the same across all pedestrian timing treatments. Furthermore, the walk intervals remained the same at both analyzed intersections, while the pedestrian clearance intervals were determined by the crosswalk length and the average pedestrian walking speed as recommended by MUTCD [35]. It is important to note that the analyzed intersections utilize the same signal timing plans for both peak and off-peak periods.
The Vissim simulation model of the analyzed network underwent thorough calibration (refer to Figure 6). As one can notice, R2, a statistical measure of how well the regression line approximates the actual field data, is close to 1, which means that our simulation model closely represents the field data. Validation was conducted using the GEH statistic, which compares field input volumes to simulation output volumes. Consistently, the GEH statistic remained below 4, a recommended threshold value [10,36,37,38], for all movements at each intersection.

3.5. Estimation of Emissions and Fuel Consumption through CMEM

CMEM [39] serves as a power-demand emissions model, providing estimates of fuel consumption and emissions (HC, CO, NOx, and CO2) on a second-by-second basis, relying on vehicular speed and acceleration traces.
One notable aspect of CMEM lies in its utilization of a physical, power-demand approach grounded in a parameterized analytical framework for fuel consumption and emissions generation. Within this model, the entirety of fuel consumption and emissions generation is deconstructed into components aligning with the physical phenomena inherent in vehicle operation and emissions generation. These components are each represented analytically, encompassing a range of parameters specific to the process.
To utilize CMEM, a second-by-second speed trace is required, as well as fleet composition of the investigated traffic. The necessary inputs can be obtained from Vissim. The selection of CMEM for this study is justified by four reasons:
  • Its capability to estimate emissions for various vehicle types;
  • Its capacity to factor in road gradient (for all vehicle classes) and wind effect (for HDDVs only) on emissions estimates;
  • Its calibration and validation using data from the National Cooperative Highway Research Program [39]. Additionally, previous studies have validated CMEM’s estimates, confirming it as a widely accepted model capable of generating verifiable emissions estimates [21,40,41,42,43,44,45]. Consequently, no additional calibration or validation efforts were necessary for this study;
  • Many studies have used CMEM as a tool to estimate fuel consumption and emissions for various vehicle types, as well as factors influencing environmental metrics and traffic signal optimization [46,47], further validating the tool.
The detailed, second-by-second data from the vehicle trajectories were saved in an .fzp format suitable for post-processing in CMEM. Finally, vehicle data from the Vissim trajectories were exported into the CMEM. The CMEM then calculated relevant fuel consumptions, CO2, and other emissions (HC, CO, and NOx) for each of the analyzed vehicles. The connection between Vissim and CMEM is shown in Figure 7.
It is worth mentioning that for light duty vehicles, CMEM vehicle category 4 (car (LDV), normal emitting, three-way catalyst, fuel-injected, >50 k miles, and low power/weight) was used as the most representative one. For HDVs, vehicle category 7 (HDDV 1999–2000, four-stroke, and normal emitting) was used as it is the default one.

3.6. Experimental Setup

To be able to accept or reject the aforementioned hypotheses, the authors developed an experimental setup presented in Figure 8. It should be noted that in push-button scenarios, missed calls do not occur. In these scenarios, it is assumed that every pedestrian arriving at the intersection will press the push-button, thus eliminating the occurrence of missed calls. Conversely, pedestrian Recall operates to serve pedestrians every cycle regardless of their physical presence at the intersections.
Thus, 40 scenarios, encompassing five pedestrian treatment, two vehicle demand periods, two pedestrian demand periods, and two APVDS types were prepared and tested (Figure 8). It is noteworthy that the authors also tested scenarios wherein vehicular demand aligns with the PM peak, but pedestrian demand is lower (referred to as Peak/Off), resembling off-peak conditions, and vice versa. This approach ensures coverage not only of extreme cases of traffic demand, but also of variations that may arise on specific days. Each scenario underwent execution using five distinct random seeds to ensure statistically valid representations of the results. All simulation iterations were conducted at a 10 Hz simulation resolution, spanning a duration of 1 h for evaluation and 5 min for warm-up.

4. Results and Discussion

The results are divided into four distinct parts. Firstly, we present operational performance measures, such as average delays and the number of stops. Then, we discuss the environmental impacts of APVDSs’ incorrect calls and various pedestrian timing treatments resulting from LDVs. Following that, we present fuel consumption and emissions exhibited by HDVs. Finally, we summarize the total environmental impact caused by different pedestrian timing treatments and provide commentary on whether our hypotheses are accepted or rejected.

4.1. Average Vehicular Delay and Number of Stops

Figure 9 illustrates the average vehicular delay and number of stops. When exploring pedestrian signal treatments, the APVDS-PR and PB-PR treatments show the most significant impact on average vehicular delay, particularly at Butler/40th, where false calls are common. These treatments, coupled with pedestrian recycle options, allow late-arriving pedestrians to be served, possibly multiple times, since pedestrian clearance times are shorter than the maximum green time of the concurrent phase. As a result, these pedestrian signal treatments notably affect left and right-turning vehicles during vehicular phases operating alongside the pedestrian phase. Utilizing the pedestrian recycle feature of the controller notably elevates average vehicular delay, particularly by 20–30% compared to scenarios lacking pedestrian recycle, especially at Butler/40th with increased pedestrian activity. Thus, this feature might not be the optimal option for intersections experiencing high pedestrian volumes.
In contrast, the Recall pedestrian treatment has the least impact on average vehicular delay, providing a fixed time window for pedestrian service without recycling, ensuring consistent vehicular operations. Similarly, the PB-NPR pedestrian treatment at the Butler/40th intersection echoes these results. However, this trend diverges at the Penn/40th intersection, likely due to its consistently lower average delay compared to the Butler/40th (APVDS Type 1) intersection, possibly stemming from reduced pedestrian volumes.
Notably, the APVDS Type 1 demonstrates comparable delay results between APVDS-NPR and the Recall scenario. This parity is due to the APVDS Type 1’s tendency to generate false calls, resulting in a performance similar to the pedestrian Recall.
At the Penn/40th intersection, PB-PR consistently prolongs vehicular delay across all scenarios, while Recall minimizes delay by interrupting vehicles turning left and right only for a fixed time window per cycle.
Similar trends are observed in the average number of stops (Figure 9), although generalizing these results can be challenging. Scenarios with higher vehicular and pedestrian demand naturally result in more stops. Notably, the APVDS-PR induces the highest number of stops at the Butler/40th intersection across all scenarios. Additionally, at this intersection, the average number of stops increases with both vehicular and pedestrian demands for the APVDS-NPR treatment, although it remains lower than for the APVDS-PR due to its interruption of vehicular flows only once per phase compared to multiple interruptions in APVDS-PR.
The Penn/40th intersection results for number of stops are similar to the results of the Butler/40th intersection, with APVDS-PR and APVDS-NPR scenarios leading to the highest number of stops, while the Recall scenario results in the fewest stops on average.

4.2. Fuel Consumption and Emissions for LDVs

In Figure 10, fuel consumption (FC) and CO2 emissions estimates for light-duty vehicles (LDVs) are illustrated. It is evident across all scenarios that the Recall pedestrian treatment has the least impact on FC and emissions. Particularly noticeable is the increased FC and CO2 emissions associated with the pedestrian recycle feature combined with the APVDS and push-button treatment.
It is interesting to note that the pedestrian Recall treatment results in lower FC and CO2 emissions. The authors speculate that this may be due to the signal timing for pedestrian crossing being kept to the minimum required by MUTCD. In pedestrian Recall scenarios, this timing would entail a fixed time window, meaning pedestrians are served at the beginning of the corresponding phase. In contrast, in pedestrian recycle scenarios, even late-arriving pedestrians can be served as long as there is remaining green time at the corresponding phase, equivalent to the flashing “do not walk” time for pedestrians.
Overall, the Butler/40th intersection experiences higher FC and emissions than the Penn/40th intersection. This can be explained by the fact that the traffic demand (both vehicular and pedestrian) is generally lower at the Penn/40th intersection.
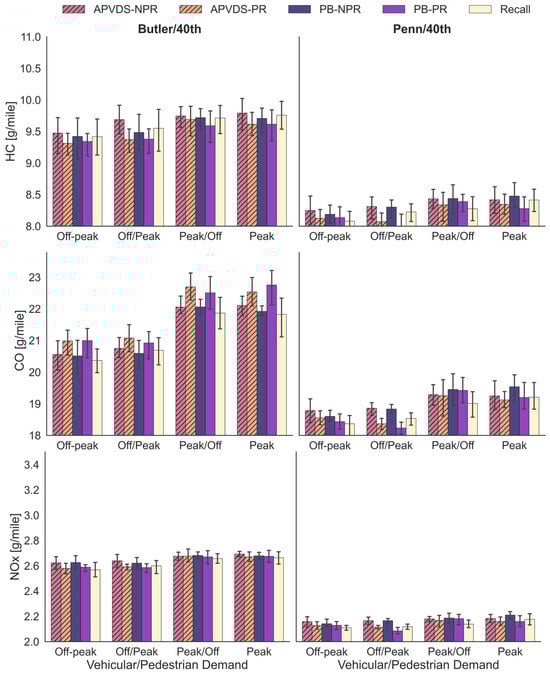
In Figure 11, estimates of HC, CO, and NOx emissions for LDVs are presented. While CO and NOx exhibit trends similar to FC and CO2, HC shows markedly different results. Interestingly, in many scenarios, HC estimates for the Recall treatment surpass HC estimates of other treatments. The authors speculate that HC estimates are not correlated to the stops and delays. This could suggest that HC emissions are influenced by other factors, such as engine load, maintenance conditions, or specific vehicle technologies that are not directly impacted by stop-and-go traffic patterns.
Again, similar to FC and CO2 results the Penn/40th intersection exhibits less emissions than the Butler/40th intersection, due to the difference in traffic demand. This discrepancy highlights the significant impact that traffic volume and flow can have on emission levels. Lower traffic demand at the Penn/40th intersection likely results in fewer stops and smoother traffic flow, which in turn reduces the frequency of acceleration and deceleration events that are typically associated with higher emissions. In contrast, the higher traffic demand at the Butler/40th intersection leads to more congestion, increased stop-and-go conditions, and subsequently higher emissions.

4.3. Fuel Consumption and Emissions for HDVs

Figure 12 presents FC and CO2 emissions estimates for HDVs. Similar to the results for LDVs, the Recall scenario appears to be the most favorable, given that traffic interruption occurs only once per phase with no possibility of recycling. This finding suggests that minimizing the frequency of traffic interruptions can significantly reduce fuel consumption and CO2 emissions for heavy-duty vehicles. Additionally, it is noticeable that the standard deviations are considerably higher than those for LDV results. This disparity can be attributed to the fact that only 2% of vehicles in the network are HDVs, resulting in a relatively smaller sample size compared to LDVs. The limited number of HDVs in the sample may lead to greater variability in the data, reflecting the diverse operational conditions and driving behaviors within this category.
It is interesting to note that at the Butler/40th intersection, despite the occurrence of numerous false calls by APVDSs, PB-PR results in the highest fuel consumption for peak vehicular demand and off-peak pedestrian demand. This is because even when the signal is green and no pedestrians are present, vehicles will continue to drive. In contrast, PB-PR only serves real pedestrians, thereby vehicles have to stop to allow the pedestrian to cross.
Figure 13 displays estimates of HC, CO, and NOx emissions for HDVs. Across all scenarios, it appears that Recall outperforms other pedestrian timing treatments. However, in off-peak scenarios with peak pedestrian volumes, a slight increase in emissions can be observed with the Recall pedestrian timing treatment. This suggests that while Recall is generally effective, its performance may vary under specific conditions where pedestrian traffic is high but vehicular traffic is low.
Therefore, in such scenarios, the most environmentally friendly pedestrian timing treatment seems to be the PB-PR option. This option allows for greater flexibility in serving pedestrians, reducing the need for HDVs to stop and idle unnecessarily. The ability to recycle pedestrian calls ensures that the signal timing is responsive to actual pedestrian presence, minimizing disruptions to vehicular traffic flow. It appears that when there are more pedestrians but less traffic, it makes sense to serve them as flexibly as possible.

4.4. Total Environmental Impact at Signalized Intersections

In terms of the overall results, considering both LDVs and HDVs, the pedestrian push-button without the recycle feature and pedestrian Recall emerge as the eco-friendly options. Thus, Hypothesis 1 is rejected, and Hypothesis 2 is accepted. It appears that frequent interruptions to traffic, particularly during right and left turns, contribute to increased fuel consumption and CO2 emissions. Therefore, it is advisable, whenever feasible, to maintain crossing times as a fixed time window rather than extending them to match the maximum green time for vehicles (see Figure 14).
It was hypothesized in H3 that APVDSs with more false calls causes increased fuel consumption and emissions compared to push-button treatment or APVDSs with more missed calls. Thus, H3 is accepted.
Furthermore, we hypothesized in H4 that push-button treatment combined with pedestrian recycle (PB-PR) increases fuel consumption and emissions when compared to that same treatment without pedestrian recycle. From Figure 12 and Figure 13, it is obvious that H4 should be accepted for the Butler/40th intersection (higher pedestrian volume); however, it should be rejected for the Penn/40th intersection (lower pedestrian volumes).
The authors hypothesized in H5 that the combination of APVDS treatment with pedestrian recycle increases fuel consumption and emissions compared to the same treatment without the pedestrian recycle feature. Across all scenarios at the Butler/40th intersection (where APVDS Type 1 is installed), this hypothesis can be accepted, except for HC and NOx emissions. At the Penn/40th intersection, where pedestrian demand is lower, APVDS-NPR and APVDS-PR exhibit very similar results, with APVDS-NPR showing slightly higher fuel consumption and emissions in some scenarios. Thus, H5 can be rejected for the Penn/40th intersection (APVDS Type 2).
In Figure 15, we present overall emission estimates for HC, CO, and NOx. Across the scenarios, the lowest HC estimates are observed for APVDS-PR at the Butler/40th intersection. However, at the Penn/40th intersection, it is challenging to generalize about HC results. It appears that during off-peak times, the lowest HC emissions occur with the Recall treatment, whereas during peak times, both Recall and APVDS-NPR yield the lowest HC estimates. This variability indicates that the effectiveness of pedestrian timing treatments in reducing HC emissions may depend heavily on the specific traffic conditions and pedestrian activity levels at different times of day.
Regarding CO emissions, the Recall treatment appears to produce the lowest levels overall. This consistent performance underlines the efficiency of minimizing traffic interruptions for reducing carbon monoxide emissions. However, when demand corresponds to off-peak periods and the pedestrian volume aligns with peak demand, PB-PR offers the lowest CO estimates at the Penn/40th intersection. This indicates that during times of lower traffic but higher pedestrian activity, the flexibility of the PB-PR system in serving actual pedestrian needs without causing excessive vehicle idling is beneficial for reducing CO emissions.
Overall, NOx emissions do not differ much across different pedestrian timing treatments. This relative stability suggests that NOx emissions may be less sensitive to changes in pedestrian signal timing than HC or CO emissions. It seems that factors such as engine technology and the intrinsic properties of NOx formation during combustion might play a more significant role in determining NOx levels.

5. Conclusions

In this study, for the first time in the literature, we assessed the environmental impacts of both missed and false pedestrian calls and compared them with common pedestrian timing treatments, providing valuable insights into eco-friendly pedestrian timing approaches. After a comprehensive evaluation, the following conclusions emerged:
  • Pedestrian recall and push-button scenarios exhibit the lowest overall emissions and fuel consumption because they offer a fixed time window to serve pedestrians without the possibility of later arrivals through the recycling feature of traffic controllers;
  • APVDS Type 1 unnecessarily increases emissions and fuel consumption due to a high percentage of false calls;
  • Combining push-button treatment with pedestrian recycle increases fuel consumption and emissions by 10% compared to the same treatment without pedestrian recycle at the Butler/40th intersection (with higher pedestrian volume). Similar results (~10% increase when pedestrian recycle is used) are observed for CO;
  • The combination of APVDS with pedestrian recycle increases fuel consumption and emissions by 10% compared to the same treatment without the pedestrian recycle feature at the intersection with increased pedestrian activity;
  • The results for HC and NOx could not be generalized, as it appears that they are not significantly correlated with the number of stops vehicles make to allow pedestrians to cross the street.
This study fills a significant gap in current research by providing insights into the environmental impacts of two distinct APVDSs, along with various other pedestrian signal treatments. These findings have practical implications for numerous transportation agencies. The proposed evaluation method provides a valuable tool for transportation agencies to thoroughly evaluate the environmental impacts of deploying APVDSs or any other type of automated pedestrian detection before field implementation. By modeling the expected rates of correct, missed, and false pedestrian calls under local conditions, agencies can analyze the expected environmental impacts.
The primary limitation of this study is that the results cannot be generalized to all APVDSs, as they may have different missed and false call percentages compared to the APVDSs considered in this study. Future research should investigate the environmental impacts of APVDS’s inaccuracies on coordinated signalized intersections. Additionally, investigating the environmental impacts of additional types of APVDSs could provide a more comprehensive understanding of their effects on emissions and fuel consumption.

Author Contributions

Conceptualization, S.G., I.G.E., and A.S.; methodology, S.G., I.G.E., and A.S.; software, S.G. and I.G.E.; validation, S.G.; formal analysis, S.G. and I.G.E.; resources, A.S.; data curation, S.G. and I.G.E.; writing—original draft preparation, S.G.; writing—review and editing, I.G.E. and A.S.; visualization, S.G. and I.G.E.; supervision, A.S. All authors have read and agreed to the published version of the manuscript.

Funding

This research received no external funding.

Institutional Review Board Statement

Not applicable.

Informed Consent Statement

Not applicable.

Data Availability Statement

The original contributions presented in the study are included in the article, further inquiries can be directed to the corresponding author.

Conflicts of Interest

The authors declare no conflicts of interest.

References

  1. Koonce, P. Traffic Signal Timing Manual; FHWA-HOP-08-024; Federal Highway Administration: Washington, DC, USA, 2008.
  2. Xia, H.; Boriboonsomsin, K.; Barth, M. Dynamic Eco-Driving for Signalized Arterial Corridors and Its Indirect Network-Wide Energy/Emissions Benefits. J. Intell. Transp. Syst. 2013, 17, 31–41. [Google Scholar] [CrossRef]
  3. Barth, M.; Boriboonsomsin, K. Real-World Carbon Dioxide Impacts of Traffic Congestion. Transp. Res. Rec. 2008, 2058, 163–171. [Google Scholar] [CrossRef]
  4. Cai, M.; Yin, Y.; Xie, M. Prediction of Hourly Air Pollutant Concentrations near Urban Arterials Using Artificial Neural Network Approach. Transp. Res. Part D Transp. Environ. 2009, 14, 32–41. [Google Scholar] [CrossRef]
  5. Report to Congress—Safety|Federal Highway Administration. Available online: https://safety.fhwa.dot.gov/ped_bike/legis_guide/rpts_cngs/pedrpt_0808/chap_1.cfm (accessed on 20 June 2023).
  6. Lin, P.-S.; Kourtellis, A.; Wang, Z.; Chen, C. Integration of a Robust Automated Pedestrian Detection System for Signalized Intersections; Florida Department of Transportation: Tallahassee, FL, USA, 2019.
  7. Larson, T.; Wyman, A.; Hurwitz, D.S.; Dorado, M.; Quayle, S.; Shetler, S. Evaluation of Dynamic Passive Pedestrian Detection. Transp. Res. Interdiscip. Perspect. 2020, 8, 100268. [Google Scholar] [CrossRef]
  8. Hughes, R.; Huang, H.; Zegeer, C.; Cynecki, M. Automated Detection of Pedestrians in Conjunction with Standard Pedestrian Push Buttons at Signalized Intersections. Transp. Res. Rec. 2000, 1705, 32–39. [Google Scholar] [CrossRef]
  9. Beckwith, D.M.; Hunter-Zaworski, K.M. Passive Pedestrian Detection at Unsignalized Crossings. Transp. Res. Rec. 1998, 1636, 96–103. [Google Scholar] [CrossRef]
  10. Gavric, S.; Erdagi, I.G.; Rodriguez, D.; Stevanovic, A. A Microsimulation Approach to Investigate Impact of Incorrect Automated Pedestrian Detection on Operations of Signalized Intersections. Transp. Res. Rec. 2024; in press. [Google Scholar]
  11. Martin, P.T.; Dharmavaram, G.; Stevanovic, A. Evaluation of UDOTt’s Video Detection Systems: System’s Performance in Various Test Conditions; Utah Department of Transportation: Salt Lake City, UT, USA, 2004.
  12. Amiri, F.; Minge, E.; Culver, M. Evaluation of Non-Intrusive Technologies for Traffic Detection. IMSA J. 2001, 39, 46–48. [Google Scholar]
  13. Grenard, J.; Bullock, D.; Tarko, A. Evaluation of Selected Video Detection Systems at Signalized Intersections; FHWA/IN/JTRP-2001/22; Purdue University: West Lafayette, IN, USA, 2002; p. 2391. [Google Scholar]
  14. Rhodes, A.; Bullock, D.M.; Sturdevant, J.; Clark, Z.; Candey, D.G. Evaluation of the Accuracy of Stop Bar Video Vehicle Detection at Signalized Intersections. Transp. Res. Rec. 2005, 1925, 134–145. [Google Scholar] [CrossRef]
  15. Rhodes, A.; Smaglik, E.; Bullock, D. Vendor Comparison of Video Detection Systems; FHWA/IN/JTRP-2005/30; Purdue University: West Lafayette, IN, USA, 2006; p. 2869. [Google Scholar]
  16. Medina, J.C.; Benekohal, R.F.; Chitturi, M.V. Evaluation of Video Detection Systems, Volume 1: Effects of Configuration Changes in the Performance of Video Detection Systems; Illinois Center for Transportation: Rantoul, IL, USA, 2009. [Google Scholar]
  17. Medina, J.C.; Chitturi, M.; Benekohal, R.F. Illumination and Wind Effects on Video Detection Performance at Signalized Intersections. In Proceedings of the Transportation Research Board 87th Annual Meeting Transportation Research Board, Washington, DC, USA, 13–17 January 2008. [Google Scholar]
  18. Medina, J.; Chitturi, M.; Benekohal, R. Effects of Fog, Snow, and Rain on Video Detection Systems at Intersections. Transp. Lett. 2010, 2, 1–12. [Google Scholar] [CrossRef]
  19. Chitturi, M.V.; Medina, J.C.; Benekohal, R.F. Effect of Shadows and Time of Day on Performance of Video Detection Systems at Signalized Intersections. Transp. Res. Part C Emerg. Technol. 2010, 18, 176–186. [Google Scholar] [CrossRef]
  20. PTV, A.G. PTV Vissim 2022 User Manual; PTV Group: Karlsruhe, Germany, 2021. [Google Scholar]
  21. Barth, M.; An, F.; Younglove, T.; Scora, G.; Levine, C.; Ross, M.; Wenzel, T. The Development of a Comprehensive Modal Emissions Model; NCHRP Web-Only Doc.; NCHRP Project 25-11 Final Report; 2000; Volume 122, Available online: https://onlinepubs.trb.org/onlinepubs/nchrp/nchrp_w122.pdf (accessed on 7 February 2024).
  22. Dollar, P.; Wojek, C.; Schiele, B.; Perona, P. Pedestrian Detection: An Evaluation of the State of the Art. IEEE Trans. Pattern Anal. Mach. Intell. 2012, 34, 743–761. [Google Scholar] [CrossRef] [PubMed]
  23. Montufar, J.; Foord, J. Field Evaluation of Automatic Pedestrian Detectors in Cold Temperatures. Transp. Res. Rec. 2011, 2264, 1–10. [Google Scholar] [CrossRef]
  24. Combs, T.S.; Sandt, L.S.; Clamann, M.P.; McDonald, N.C. Automated Vehicles and Pedestrian Safety: Exploring the Promise and Limits of Pedestrian Detection. Am. J. Prev. Med. 2019, 56, 1–7. [Google Scholar] [CrossRef] [PubMed]
  25. Haddad, A.; Macias, L.; Bhat, C.R.; Perrine, K.A. Synthesis of Automated Pedestrian Data Collection Technologies; FHWA/TX-22/0-7126-1; University of Texas at Austin, Center for Transportation Research: Austin, TX, USA, 2022. [Google Scholar]
  26. Hu, P.; Tian, Z.; Bebis, G. Evaluation of Video Detection Systems and Development of Application Guidelines at Signalized Intersections; Nevada Department of Transportation: Carson City, NV, USA, 2010.
  27. Urbanik, T.; Tian, Z. Accomodating Pedestrians in Split Phasing; Institute of Transportation Engineers: Washington, DC, USA, 2000. [Google Scholar]
  28. Ma, W.; Liu, Y.; Head, K.L. Optimization of Pedestrian Phase Patterns at Signalized Intersections: A Multi-Objective Approach. J. Adv. Transp. 2014, 48, 1138–1152. [Google Scholar] [CrossRef]
  29. Gholami, A.; Tian, Z. Multicriteria-Based Guideline for Pedestrian Timing Accommodation in Signal Coordination. J. Transp. Eng. Part A Syst. 2016, 143, 04016012. [Google Scholar] [CrossRef]
  30. Chowdhury, S.-E.-S.; Stevanovic, A.; Mitrovic, N. Estimating Pedestrian Impact on Coordination of Urban Corridors. Transp. Res. Rec. 2019, 2673, 265–280. [Google Scholar] [CrossRef]
  31. Cesme, B.; Furth, P.G.; Casburn, R.; Lee, K. Development of Pedestrian Recall Versus Actuation Guidelines for Pedestrian Crossings at Signalized Intersections. Transp. Res. Rec. 2021, 2675, 463–471. [Google Scholar] [CrossRef]
  32. Gavric, S.; Sarazhinsky, D.; Stevanovic, A.; Dobrota, N. Development and Evaluation of Non-Traditional Pedestrian Timing Treatments for Coordinated Signalized Intersections. Transp. Res. Rec. 2022, 2677, 460–474. [Google Scholar] [CrossRef]
  33. Traffic Control Systems Handbook: Chapter 7 Local Controllers—FHWA Office of Operations. Available online: https://ops.fhwa.dot.gov/publications/fhwahop06006/chapter_7.htm (accessed on 16 May 2024).
  34. Traffic Signal Control Strategies for Pedestrians and Bicyclists; Transportation Research Board: Washington, DC, USA, 2022; ISBN 978-0-309-09431-3.
  35. Manual on Uniform Traffic Control Devices for Streets and Highways; US Department of Transportation, Federal Highway Administration: Washington, DC, USA, 2009.
  36. Silgu, M.A.; Erdağı, İ.G.; Göksu, G.; Celikoglu, H.B. Combined Control of Freeway Traffic Involving Cooperative Adaptive Cruise Controlled and Human Driven Vehicles Using Feedback Control Through SUMO. IEEE Trans. Intell. Transp. Syst. 2022, 23, 11011–11025. [Google Scholar] [CrossRef]
  37. Cobos, C.; Paz, A.; Luna, J.; Erazo, C.; Mendoza, M. A Multi-Objective Approach for the Calibration of Microscopic Traffic Flow Simulation Models. IEEE Access 2020, 8, 103124–103140. [Google Scholar] [CrossRef]
  38. Gomes, G.; Gan, Q.; Bayen, A. A Methodology for Evaluating the Performance of Model-Based Traffic Prediction Systems. Transp. Res. Part C Emerg. Technol. 2018, 96, 160–169. [Google Scholar] [CrossRef]
  39. An, F.; Barth, M.; Norbeck, J.; Ross, M. Development of Comprehensive Modal Emissions Model: Operating Under Hot-Stabilized Conditions. Transp. Res. Rec. 1997, 1587, 52–62. [Google Scholar] [CrossRef]
  40. Rakha, H.; Ding, Y. Impact of Stops on Vehicle Fuel Consumption and Emissions. J. Transp. Eng. 2003, 129, 23–32. [Google Scholar] [CrossRef]
  41. Chen, Y.; Li, S.; Li, Y. A Review on Quantitative Energy Consumption Models from Road Transportation. Energies 2024, 17, 2. [Google Scholar] [CrossRef]
  42. Song, R.; Qin, W.; Shi, W.; Xue, X. Optimizing Freight Vehicle Routing in Dynamic Time-Varying Networks with Carbon Dioxide Emission Trajectory Analysis. Sustainability 2023, 15, 15504. [Google Scholar] [CrossRef]
  43. Ahn, K.; Rakha, H.A. Network-Wide Impacts of Eco-Routing Strategies: A Large-Scale Case Study. Transp. Res. Part D Transp. Environ. 2013, 25, 119–130. [Google Scholar] [CrossRef]
  44. Peng, C.; Wang, Y.; Xu, T.; Chen, Y. Transient Fuel Consumption Prediction for Heavy-Duty Trucks Using on-Road Measurements. Int. J. Sustain. Transp. 2023, 17, 956–967. [Google Scholar] [CrossRef]
  45. Lou, P.; Zhou, Z.; Zeng, Y.; Fan, C. Vehicle Routing Problem with Time Windows and Carbon Emissions: A Case Study in Logistics Distribution. Environ. Sci. Pollut. Res. 2024, 1–21. Available online: https://pubmed.ncbi.nlm.nih.gov/38324155/ (accessed on 7 February 2024). [CrossRef]
  46. Alshayeb, S.; Stevanovic, A.; Dobrota, N. Impact of Various Operating Conditions on Simulated Emissions-Based Stop Penalty at Signalized Intersections. Sustainability 2021, 13, 10037. [Google Scholar] [CrossRef]
  47. Alshayeb, S.; Stevanovic, A.; Stevanovic, J.; Dobrota, N. Optimizing of Traffic-Signal Timing Based on the FCIC-PI—A Surrogate Measure for Fuel Consumption. Future Transp. 2023, 3, 663–683. [Google Scholar] [CrossRef]
Figure 1. Methodology framework.
Figure 1. Methodology framework.
Sustainability 16 04487 g001
Figure 2. Common pedestrian timing treatments in North America.
Figure 2. Common pedestrian timing treatments in North America.
Sustainability 16 04487 g002
Figure 3. (a) Push-button without pedestrian recycle and (b) push-button treatment with the pedestrian recycle feature.
Figure 3. (a) Push-button without pedestrian recycle and (b) push-button treatment with the pedestrian recycle feature.
Sustainability 16 04487 g003
Figure 4. Types of incorrect pedestrian detection calls.
Figure 4. Types of incorrect pedestrian detection calls.
Sustainability 16 04487 g004
Figure 5. Simulated network.
Figure 5. Simulated network.
Sustainability 16 04487 g005
Figure 6. Calibration results.
Figure 6. Calibration results.
Sustainability 16 04487 g006
Figure 7. Second-by-second estimation of fuel consumption and emissions.
Figure 7. Second-by-second estimation of fuel consumption and emissions.
Sustainability 16 04487 g007
Figure 8. Investigated scenarios.
Figure 8. Investigated scenarios.
Sustainability 16 04487 g008
Figure 9. Average delay and number of stops for all vehicle types.
Figure 9. Average delay and number of stops for all vehicle types.
Sustainability 16 04487 g009
Figure 10. Fuel consumption and CO2 emissions for LDVs.
Figure 10. Fuel consumption and CO2 emissions for LDVs.
Sustainability 16 04487 g010
Figure 11. HC, CO, and NOx emissions for LDVs.
Figure 11. HC, CO, and NOx emissions for LDVs.
Sustainability 16 04487 g011
Figure 12. Fuel consumption and CO2 emissions for HDVs.
Figure 12. Fuel consumption and CO2 emissions for HDVs.
Sustainability 16 04487 g012
Figure 13. HC, CO, and NOx emissions for HDVs.
Figure 13. HC, CO, and NOx emissions for HDVs.
Sustainability 16 04487 g013
Figure 14. Fuel consumption and CO2 emission across all vehicle types.
Figure 14. Fuel consumption and CO2 emission across all vehicle types.
Sustainability 16 04487 g014
Figure 15. HC, CO, and NOx emissions across all vehicle types.
Figure 15. HC, CO, and NOx emissions across all vehicle types.
Sustainability 16 04487 g015
Table 1. Accuracy assessment of the two analyzed APVDS types.
Table 1. Accuracy assessment of the two analyzed APVDS types.
SystemObserved Corner% Correct Calls% Missed Calls% False CallsTotal Analyzed HoursTotal Number of Pedestrian Calls
APVDS Type 1N-E 40.83.056.220 h2091
S-E 41.34.754.01624
N-W 38.53.458.12327
S-W 37.017.845.11617
Average39.46.654.0Total: 7659
APVDS Type 2N-E 32.956.510.820 h260
S-E 29.868.81.4215
N-W 26.754.019.3176
S-W 13.978.08.2195
Average26.464.09.6Total: 846
Disclaimer/Publisher’s Note: The statements, opinions and data contained in all publications are solely those of the individual author(s) and contributor(s) and not of MDPI and/or the editor(s). MDPI and/or the editor(s) disclaim responsibility for any injury to people or property resulting from any ideas, methods, instructions or products referred to in the content.

Share and Cite

MDPI and ACS Style

Gavric, S.; Erdagi, I.G.; Stevanovic, A. Environmental Assessment of Incorrect Automated Pedestrian Detection and Common Pedestrian Timing Treatments at Signalized Intersections. Sustainability 2024, 16, 4487. https://doi.org/10.3390/su16114487

AMA Style

Gavric S, Erdagi IG, Stevanovic A. Environmental Assessment of Incorrect Automated Pedestrian Detection and Common Pedestrian Timing Treatments at Signalized Intersections. Sustainability. 2024; 16(11):4487. https://doi.org/10.3390/su16114487

Chicago/Turabian Style

Gavric, Slavica, Ismet Goksad Erdagi, and Aleksandar Stevanovic. 2024. "Environmental Assessment of Incorrect Automated Pedestrian Detection and Common Pedestrian Timing Treatments at Signalized Intersections" Sustainability 16, no. 11: 4487. https://doi.org/10.3390/su16114487

APA Style

Gavric, S., Erdagi, I. G., & Stevanovic, A. (2024). Environmental Assessment of Incorrect Automated Pedestrian Detection and Common Pedestrian Timing Treatments at Signalized Intersections. Sustainability, 16(11), 4487. https://doi.org/10.3390/su16114487

Note that from the first issue of 2016, this journal uses article numbers instead of page numbers. See further details here.

Article Metrics

Back to TopTop