Effect of Flowering Strips in Associated Broccoli and Lettuce Crops on Increasing Land Use Efficiency
Abstract
1. Introduction
2. Materials and Methods
2.1. Study Site
2.2. Edaphic Characterisation of the Soil of the Plots
2.3. Plant Species and Agronomic Management
2.3.1. Sanitary Management
2.3.2. Plant Nutrition
- -
- Wuxal Tapa Verde: A concentrated suspension (SC) of grade 16 + 0 + 0 + 24 Ca + micro-elements. It contains the following nutrients in grams per litre: Total Nitrogen (160), Calcium (CaO) (240), Magnesium (MgO) (32), Total sulphur (S) (1.6), Boron (0.32), Copper (0.24), Iron (0.49), Manganese (0.41), Molybdenum (0.08), and Zinc (0.32).
- -
- Globafol: An organic-mineral fertiliser for foliar application based on vegetable extracts. It is formulated as a soluble concentrate and contains the following nutrients in grams per litre: Total Nitrogen (35), Phosphorus (98.3), and Organic Carbon (63.5).
- -
- Klip Boron: A simple fertiliser for foliar and soil application. It is formulated as a soluble powder and contains the following nutrient in grams per kilogram: Boron (205).
2.4. Experimental Design and Evaluated Variables
2.4.1. First Cycle
2.4.2. Second Cycle
Variables
- LER: Land Equivalent Ratio
- YAL: Yield of associated lettuce
- YML: Yield of monoculture lettuce
- YAB: Yield of associated broccoli
- YMB: Yield of monoculture broccoli
- PRLETTUCE: Proportion of lettuce in the crop
- PRBROCCOLI: Proportion of broccoli in the crop
2.5. Economic Analysis
2.6. Statistical Analysis
3. Results
3.1. First Experimental Cycle
3.1.1. Land Use Efficiency and Competitive Ratio
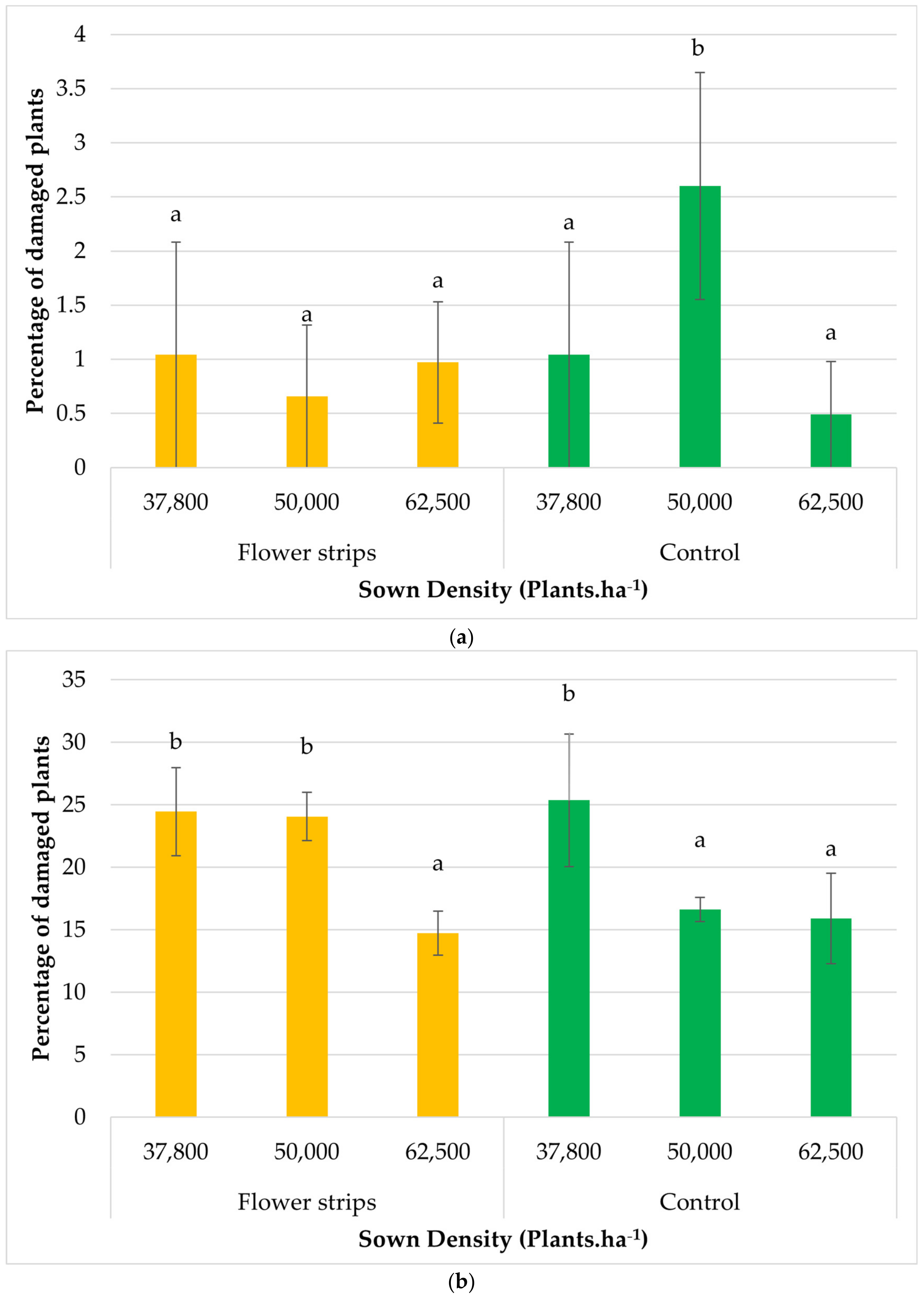
3.1.2. Crop Yields and Pest and Disease Regulation
3.1.3. Production and Economic Aspects
3.2. Second Experimental Cycle
3.2.1. Land Use Efficiency and Competitive Ratio
3.2.2. Crop Yields and Pest and Disease Regulation
3.2.3. Production and Economic Aspects
4. Discussion
4.1. Land Use Efficiency and Competitive Ratio
4.1.1. First Experimental Cycle
4.1.2. Second Experimental Cycle
4.2. Crop Yields and Pest and Disease Regulation
4.2.1. First Experimental Cycle
4.2.2. Second Experimental Cycle
4.3. Production and Economic Aspects
4.3.1. First Experimental Cycle
4.3.2. Second Experimental Cycle
5. Conclusions
Author Contributions
Funding
Data Availability Statement
Acknowledgments
Conflicts of Interest
References
- MADR (Ministerio de Agricultura y Desarrollo Rural). Cadena de Hortalizas. Dirección de Cadenas Agrícolas y Forestales. 2021. Available online: https://Sioc.Minagricultura.Gov.Co/Hortalizas/Documentos/2021-03-30%20cifras%20sectoriales (accessed on 16 March 2024).
- MADR (Ministerio de Agricultura y Desarrollo Rural). Evaluaciones Agropecuarias Municipales EVA: Base Histórica de Los Años 2007 a 2018. Available online: https://www.Datos.Gov.Co/Agricultura-y-Desarrollo-Rural/Evaluaciones-Agropecuarias-Municipales-EVA/2pnw-Mmge/About_data (accessed on 26 March 2024).
- Agronet. Área, Producción y Rendimiento Nacional Por Cultivo. Available online: http://www.Agronet.Gov.Co/Estadistica/Paginas/Home.Aspx?Cod=1 (accessed on 8 August 2023).
- Patiño, M.; Valencia-Guerrero, M.F.; Barbosa-Ángel, E.S.; Martínez-Cordón, M.J.; Donado-Godoy, P. Evaluation of Chemical and Microbiological Contaminants in Fresh Fruits and Vegetables from Peasant Markets in Cundinamarca, Colombia. J. Food. Prot. 2020, 83, 1726–1737. [Google Scholar] [CrossRef] [PubMed]
- Moreno-Velandia, C.A.; Garcia-Arias, F.L.; Dávila-Mora, L.; Rodríguez, E.; Villabona-Gélvez, A.; Revelo-Gómez, E.G.; Marcillo-Paguay, C.A.; Riascos-Ortiz, D.H.; Zuluaga, A.P. The Potential of PGPR and Trichoderma-Based Bioproducts and Resistant Cultivars as Tools to Manage Clubroot Disease in Cruciferous Crops. Front. Plant Sci. 2024, 14, 1323530. [Google Scholar] [CrossRef] [PubMed]
- Rempel, C.B.; Hutton, S.N.; Jurke, C.J. Clubroot and the Importance of Canola in Canada. Can. J. Plant Pathol. 2014, 36, 19–26. [Google Scholar] [CrossRef]
- Van Der Putten, W.H.; Bardgett, R.D.; Bever, J.D.; Bezemer, T.M.; Casper, B.B.; Fukami, T.; Kardol, P.; Klironomos, J.N.; Kulmatiski, A.; Schweitzer, J.A.; et al. Plant–Soil Feedbacks: The Past, the Present and Future Challenges. J. Ecol. 2013, 101, 265–276. [Google Scholar] [CrossRef]
- Albrecht, M.; Kleijn, D.; Williams, N.M.; Tschumi, M.; Blaauw, B.R.; Bommarco, R.; Campbell, A.J.; Dainese, M.; Drummond, F.A.; Entling, M.H.; et al. The Effectiveness of Flower Strips and Hedgerows on Pest Control, Pollination Services and Crop Yield: A Quantitative Synthesis. Ecol. Lett. 2020, 23, 1488–1498. [Google Scholar] [CrossRef] [PubMed]
- Kremen, C.; Iles, A.; Bacon, C. Diversified Farming Systems: An Agroecological, Systems-Based Alternative to Modern Industrial Agriculture. Ecol. Soc. 2012, 17, art44. [Google Scholar] [CrossRef]
- Balzan, M.V.; Bocci, G.; Moonen, A. Utilisation of Plant Functional Diversity in Wildflower Strips for the Delivery of Multiple Agroecosystem Services. Entomol. Exp. Appl. 2016, 158, 304–319. [Google Scholar] [CrossRef]
- Brooker, R.W.; Karley, A.J.; Newton, A.C.; Pakeman, R.J.; Schöb, C. Facilitation and Sustainable Agriculture: A Mechanistic Approach to Reconciling Crop Production and Conservation. Funct. Ecol. 2016, 30, 98–107. [Google Scholar] [CrossRef]
- Tamburini, G.; Bommarco, R.; Wanger, T.C.; Kremen, C.; Van Der Heijden, M.G.A.; Liebman, M.; Hallin, S. Agricultural Diversification Promotes Multiple Ecosystem Services without Compromising Yield. Sci. Adv. 2020, 6, eaba1715. [Google Scholar] [CrossRef]
- Kowalska, J.; Antkowiak, M.; Sienkiewicz, P. Flower Strips and Their Ecological Multifunctionality in Agricultural Fields. Agriculture 2022, 12, 1470. [Google Scholar] [CrossRef]
- Szitár, K.; Deák, B.; Halassy, M.; Steffen, C.; Batáry, P. Combination of Organic Farming and Flower Strips in Agricultural Landscapes—A Feasible Method to Maximise Functional Diversity of Plant Traits Related to Pollination. Glob. Ecol. Conserv. 2022, 38, e02229. [Google Scholar] [CrossRef]
- Donkersley, P.; Witchalls, S.; Bloom, E.H.; Crowder, D.W. A Little Does a Lot: Can Small-Scale Planting for Pollinators Make a Difference? Agric. Ecosyst. Environ. 2023, 343, 108254. [Google Scholar] [CrossRef]
- Raza, M.A.; Feng, L.Y.; Van Der Werf, W.; Iqbal, N.; Khan, I.; Khan, A.; Din, A.M.U.; Naeem, M.; Meraj, T.A.; Hassan, M.J.; et al. Optimum Strip Width Increases Dry Matter, Nutrient Accumulation, and Seed Yield of Intercrops under the Relay Intercropping System. Food Energy Secur. 2020, 9, e199. [Google Scholar] [CrossRef]
- Killewald, M.F.; Costamagna, A.C.; Lawley, Y.; Gulden, R.H.; Gibbs, J. Floral Strips Adjacent to Manitoba Crop Fields Attract Beneficial Insects Shortly after Establishment Regardless of Management Type or Landscape Context. Agric. For. Entomol. 2024, 26, 18–37. [Google Scholar] [CrossRef]
- Schmied, H.; Getrost, L.; Hamm, A.; Dünzkofer, T. The Flower Strip Dilemma (FSD): An Overlooked Challenge in Nature Conservation and a Possible First Step towards a Solution by Combining Different Aged Flower Strips. Agric. Ecosyst. Environ. 2023, 347, 108375. [Google Scholar] [CrossRef]
- Schoch, K.; Tschumi, M.; Lutter, S.; Ramseier, H.; Zingg, S. Competition and Facilitation Effects of Semi-Natural Habitats Drive Total Insect and Pollinator Abundance in Flower Strips. Front. Ecol. Evol. 2022, 10, 854058. [Google Scholar] [CrossRef]
- Willey, R.W. Intercropping–Its Importance and Research Needs. I. Competition and Yield Advantages. Part II. Agronomy and Research Approaches. Field Crops Abstr. 1979, 32, 73–85. [Google Scholar]
- Hailu, G. A Review on the Comparative Advantage of Intercropping Systems. J. Biol. Agric. Healthc. 2015, 5, 28–38. [Google Scholar]
- Gomes, D.P.; Carvalho, D.D.; Almeida, W.D.; Medici, L.O.; Guerra, J.G.M. Organic Carrot-Lettuce Intercropping Using Mulch and Different Irrigation Levels. J. Food Agric. Environ. 2014, 12, 323–328. [Google Scholar]
- Marcos-Pérez, M.; Sánchez-Navarro, V.; Martinez-Martinez, S.; Martínez-Mena, M.; García, E.; Zornoza, R. Intercropping Organic Melon and Cowpea Combined with Return of Crop Residues Increases Yields and Soil Fertility. Agron. Sustain. Dev. 2023, 43, 53. [Google Scholar] [CrossRef]
- Mouratiadou, I.; Wezel, A.; Kamilia, K.; Marchetti, A.; Paracchini, M.L.; Bàrberi, P. The Socio-Economic Performance of Agroecology. A Review. Agron. Sustain. Dev. 2024, 44, 19. [Google Scholar] [CrossRef]
- Ewert, F.; Baatz, R.; Finger, R. Agroecology for a Sustainable Agriculture and Food System: From Local Solutions to Large-Scale Adoption. Annu. Rev. Resour. Econ. 2023, 15, 351–381. [Google Scholar] [CrossRef]
- Dushyant; Sharma, K.; Roy, S.; Rooma, K.; Mahan, N.; Kumar, P.; Kumar, M.; Singh, S.K.; Kumar, B.; Hussain, A.; et al. Principles and Applications of Agroecology: A Review. J. Sci. Res. Rep. 2024, 30, 843–853. [Google Scholar] [CrossRef]
- Rasmussen, L.V.; Grass, I.; Mehrabi, Z.; Smith, O.M.; Bezner-Kerr, R.; Blesh, J.; Garibaldi, L.A.; Isaac, M.E.; Kennedy, C.M.; Wittman, H.; et al. Joint Environmental and Social Benefits from Diversified Agriculture. Science 2024, 384, 87–93. [Google Scholar] [CrossRef] [PubMed]
- Velez, R.J. La Agricultura Orgánica Solo Tiene 1% de Hectáreas Del Total Del Mercado de Alimentos. Agronegocios. 2021. Available online: https://www.Agronegocios.Co/Agricultura/La-Agricultura-Organica-Solo-Tiene-1-de-Hectareas-Del-Total-Delmercado-de-Alimentos-3140358 (accessed on 4 August 2023).
- Resolución 187 de 2006 “Por La Cual Se Adopta El Reglamento Para La Producción Primaria, Procesamiento, Empacado, Etiquetado, Almacenamiento, Certificación, Importación, Comercialización y Se Establece El Sistema de Control de Productos Agropecuarios Ecológicos”. Available online: https://www.Ica.Gov.Co/Getattachment/Efc964b6-2ad3-4428-Aad5-A9f2de5629d3/187.Aspx (accessed on 10 November 2023).
- Resolución 464 de 2017 “Lineamientos Estratégicos Para La Agricultura Campesina, Familiar y Comunitaria”. Available online: https://www.Minagricultura.Gov.Co/Normatividad/Resoluciones/Resoluci%C3%B3n%20No%20%20464%20de%202017%20Anexos.Pdf (accessed on 1 October 2023).
- Bommarco, R.; Kleijn, D.; Potts, S.G. Ecological Intensification: Harnessing Ecosystem Services for Food Security. Trends Ecol. Evol. 2013, 28, 230–238. [Google Scholar] [CrossRef] [PubMed]
- Tittonell, P. Ecological Intensification of Agriculture—Sustainable by Nature. Curr. Opin. Environ. Sustain. 2014, 8, 53–61. [Google Scholar] [CrossRef]
- Gutierrez, H.J. Clasificaciones Climáticas; HIMAT (Instituto Colombiano de Hidrología y Meteorología y Adecuación de Tierras): Bogotá, Columbia, 1991. [Google Scholar]
- IUSS Working Group WRB. World Reference Base for Soil Resources 2014, Update 2015 International Soil Classification System for Naming Soils and Creating Legends for Soil Maps; World Soil Resources Reports No. 106; FAO: Rome, Italy, 2015; Available online: https://www.Fao.Org/3/I3794en/I3794en.Pdf (accessed on 4 August 2023).
- FAO (Food and Agriculture Organization of the United Nations). Utilización de las Rocas Fosfóricas para una Agricultura Sostenible; Zapata, F., Roy, R.N., Eds.; FAO: Rome, Italy, 2007; ISBN 978-92-5-305030-7. [Google Scholar]
- Maitra, S.; Hossain, A.; Brestic, M.; Skalicky, M.; Ondrisik, P.; Gitari, H.; Brahmachari, K.; Shankar, T.; Bhadra, P.; Palai, J.B.; et al. Intercropping—A Low Input Agricultural Strategy for Food and Environmental Security. Agronomy 2021, 11, 343. [Google Scholar] [CrossRef]
- Paut, R.; Garreau, L.; Ollivier, G.; Sabatier, R.; Tchamitchian, M. A Global Dataset of Experimental Intercropping and Agroforestry Studies in Horticulture. Sci. Data 2024, 11, 5. [Google Scholar] [CrossRef] [PubMed]
- Departamento Administrativo Nacional de Estadística (DANE). Sistema de Información de Precios y Abastecimiento Del Sector Agropecuario—SIPSA. Available online: https://www.Dane.Gov.Co/Index.Php/Estadisticas-Portema/Agropecuario/Sistema-de-Informacion-de-Precios-Sipsa (accessed on 8 November 2023).
- La Tulpa. Productos. Available online: https://www.familiatulpa.com/Tienda/ (accessed on 8 November 2023).
- R Core Team. R: A Language and Environment for Statistical Computing; R Foundation for Statistical Computing: Vienna, Austria, 2023. [Google Scholar]
- Shimizu, G.; Marubayashi, R.; Goncalves, L. AgroR: Experimental Statistics and Graphics for Agricultural Sciences. R Package Version 1.3.3. 2023. Available online: https://agronomiar.github.io/AgroR_package/index.html (accessed on 4 August 2023).
- Yildirim, E.; Turan, M. Growth, Yield and Mineral Content of Broccoli Intercropped with Lettuce. J. Anim. Plant. Sci. 2013, 23, 919–922. [Google Scholar]
- Demir, H.; Polat, E. Effects of Broccoli-Crispy Salad Intercropping on Yield and Quality under Greenhouse Conditions. Afr. J. Agric. Res. 2011, 6, 4116–4121. [Google Scholar]
- Gitari, H.I.; Gachene, C.K.K.; Karanja, N.N.; Kamau, S.; Nyawade, S.; Sharma, K.; Schulte-Geldermann, E. Optimizing Yield and Economic Returns of Rain-Fed Potato (Solanum tuberosum L.) through Water Conservation under Potato-Legume Intercropping Systems. Agric. Water Manag. 2018, 208, 59–66. [Google Scholar] [CrossRef]
- Nyawade, S.O.; Karanja, N.N.; Gachene, C.K.K.; Gitari, H.I.; Schulte-Geldermann, E.; Parker, M.L. Intercropping Optimizes Soil Temperature and Increases Crop Water Productivity and Radiation Use Efficiency of Rainfed Potato. Am. J. Potato Res. 2019, 96, 457–471. [Google Scholar] [CrossRef]
- Miao, Q.; Rosa, R.D.; Shi, H.; Paredes, P.; Zhu, L.; Dai, J.; Gonçalves, J.M.; Pereira, L.S. Modeling Water Use, Transpiration and Soil Evaporation of Spring Wheat–Maize and Spring Wheat–Sunflower Relay Intercropping Using the Dual Crop Coefficient Approach. Agric. Water Manag. 2016, 165, 211–229. [Google Scholar] [CrossRef]
- Brennan, E.B. Agronomy of Strip Intercropping Broccoli with Alyssum for Biological Control of Aphids. Biol. Control. 2016, 97, 109–119. [Google Scholar] [CrossRef]
- Ohse, S.; Rezende, B.L.A.; Silveira, L.S.; Otto, R.F.; Cortez, M.G. Agronomic Feasibility of Broccoli and Lettuce Intercropping Established in Different Growing Periods. Idesia Arica 2012, 30, 29–37. [Google Scholar] [CrossRef]
- Cunha-Chiamolera, T.P.; Cecílio Filho, A.B.; Santos, D.M.; Chiamolera, F.M.; Guevara-González, R.G.; Nicola, S.; Urrestarazu, M. Lettuce in Monoculture or in Intercropping with Tomato Changes the Antioxidant Enzyme Activities, Nutrients and Growth of Lettuce. Horticulturae 2023, 9, 783. [Google Scholar] [CrossRef]
- Santos, R.; Gliessman, S.R.; Cecon, P.R. Crop Interactions in Broccoli Intercropping. Biol. Agric. Hortic. 2002, 20, 51–75. [Google Scholar] [CrossRef]
- Yildirim, E.; Cil, B.; Ekinci, M.; Turan, M.; Dursun, A.; Gunes, A.; Kul, R.; Kitir, N. Effects of Intercropping System and Nitrogen Fertilization on Land Equivalent Ratio, Yield and Mineral Content of Broccoli. Acta Sci. Pol. Hortorum Cultus 2020, 19, 101–109. [Google Scholar] [CrossRef]
- Sharaiha, R.; Gliessman, S. The Effects of Crop Combination and Row Arrangement in the Intercropping of Lettuce, Favabean and Pea on Weed Biomass and Diversity and on Crop Yields. Biol. Agric. Hortic. 1992, 9, 1–13. [Google Scholar] [CrossRef]
- Ribas, R.G.T.; Cecílio Filho, A.B.; Dutra, A.F.; Barbosa, J.C.; Rolim, G.D.S. Land Equivalent Ratio in the Intercropping of Cucumber with Lettuce as a Function of Cucumber Population Density. Agriculture 2020, 10, 88. [Google Scholar] [CrossRef]
- Cecílio Filho, A.B.; Rezende, B.L.A.; Dutra, A.F. Yield of Intercropped Lettuce and Cucumber as a Function of Population Density and Cropping Season. Rev. Caatinga 2019, 32, 943–951. [Google Scholar] [CrossRef]
- Silva, Í.N.; Bezerra Neto, F.; Barros Júnior, A.P.; Lima, J.S.S.D.; Batista, T.M.D.V.; Lins, H.A. Green Manure and Spatial Arrangement in the Sustainability Improvement of Lettuce-Beet Intercrops. Rev. Bras. Eng. Agríc. Ambient. 2018, 22, 451–457. [Google Scholar] [CrossRef]
- Guerra, N.M.; Bezerra Neto, F.; Lima, J.S.; Santos, E.C.; Nunes, R.L.; Porto, V.C.; Queiroga, R.C.; Lino, V.A.; Sá, J.M. Agro-Economic Viability of Lettuce-Beet Intercropping under Green Manuring in the Semi-Arid Region. Hortic. Bras. 2022, 40, 82–91. [Google Scholar] [CrossRef]
- Cecílio Filho, A.; Rezende, B.L.A.; Canato, G.H.D. Lettuce and Radish Productivity in Intercropping Systems as Influenced by Starting Time and Row Spacings. Hortic. Bras. 2007, 25, 15–19. [Google Scholar] [CrossRef]
- Cecílio Filho, A.B.; Rezende, B.L.A.; Barbosa, J.C.; Grangeiro, L.C. Agronomic Efficiency of Intercropping Tomato and Lettuce. An. Acad. Bras. Ciênc. 2011, 83, 1109–1119. [Google Scholar] [CrossRef]
- Bezerra Neto, F.; Gomes, E.G.; De Araújo, R.R.; De Oliveira, E.Q.; Nunes, G.D.S.; Grangeiro, L.C.; Azevedo, C.D.S. Evaluation of Yield Advantage Indexes in Carrot-Lettuce Intercropping Systems. Interciencia 2010, 35, 59–64. [Google Scholar]
- Nascimento, C.S.; Cecílio Filho, A.B.; Mendoza-Cortez, J.W.; Nascimento, C.S.; Bezerra Neto, F.; Grangeiro, L.C. Effect of Population Density of Lettuce Intercropped with Rocket on Productivity and Land-Use Efficiency. PLoS ONE 2018, 13, e0194756. [Google Scholar] [CrossRef]
- Yousefi, M.; Marja, R.; Barmettler, E.; Six, J.; Dray, A.; Ghazoul, J. The Effectiveness of Intercropping and Agri-Environmental Schemes on Ecosystem Service of Biological Pest Control: A Meta-Analysis. Agron. Sustain. Dev. 2024, 44, 15. [Google Scholar] [CrossRef]
- Tschumi, M.; Albrecht, M.; Bärtschi, C.; Collatz, J.; Entling, M.H.; Jacot, K. Perennial, Species-Rich Wildflower Strips Enhance Pest Control and Crop Yield. Agric. Ecosyst. Environ. 2016, 220, 97–103. [Google Scholar] [CrossRef]
- Mei, Z.; De Groot, G.A.; Kleijn, D.; Dimmers, W.; Van Gils, S.; Lammertsma, D.; Van Kats, R.; Scheper, J. Flower Availability Drives Effects of Wildflower Strips on Ground-Dwelling Natural Enemies and Crop Yield. Agric. Ecosyst. Environ. 2021, 319, 107570. [Google Scholar] [CrossRef]
- Derbyshire, M.C.; Denton-Giles, M. The Control of Sclerotinia Stem Rot on Oilseed Rape (Brassica napus): Current Practices and Future Opportunities. Plant Pathol. 2016, 65, 859–877. [Google Scholar] [CrossRef]
- Mazumdar, P. Sclerotinia Stem Rot in Tomato: A Review on Biology, Pathogenicity, Disease Management and Future Research Priorities. J. Plant Dis. Prot. 2021, 128, 1403–1431. [Google Scholar] [CrossRef]
- AHDB Integrated Slug Control. Available online: https://Ahdb.Org.Uk/Knowledge-Library/Integrated-Slug-Control (accessed on 8 March 2024).
- Emery, S.E.; Anderson, P.; Carlsson, G.; Friberg, H.; Larsson, M.C.; Wallenhammar, A.-C.; Lundin, O. The Potential of Intercropping for Multifunctional Crop Protection in Oilseed Rape (Brassica napus L.). Front. Agron. 2021, 3, 782686. [Google Scholar] [CrossRef]
- Qasim Mohammed, I.; Adnan Alyousuf, A. Effect Of Intercropping Systems on Diamondback Moth (Plutella xylostell L.) and Turnip Aphid (Lipaphis Erysimi Ka) Infesting Cabbage, Brassica Oleracea Var. Capitate. Nat. Vol. Essent. Oil 2021, 8, 2245–2262. [Google Scholar]
- Karp, D.S.; Chaplin-Kramer, R.; Meehan, T.D.; Martin, E.A.; DeClerck, F.; Grab, H.; Gratton, C.; Hunt, L.; Larsen, A.E.; Martínez-Salinas, A.; et al. Crop Pests and Predators Exhibit Inconsistent Responses to Surrounding Landscape Composition. Proc. Natl. Acad. Sci. USA 2018, 115, E7863–E7870. [Google Scholar] [CrossRef]
- Klimek-Kopyra, A.; Neugschwandtner, R.W.; Dłużniewska, J.; Bernas, J.; Kulig, B. Chapter Three—Flowers strips and herbal living mulch as an innovative approach to the design of farming systems for sustainable crop production. In Advances in Agronomy; Sparks, D.L., Ed.; Academic Press: Cambridge, MA, USA, 2024; Volume 185, pp. 119–151. ISBN 9780443295263. [Google Scholar] [CrossRef]
- Peralta-Antonio, N.; Watthier, M.; Santos, R.H.S.; Martinez, H.E.P.; Vergütz, L. Broccoli Nutrition and Changes of Soil Solution with Green Manure and Mineral Fertilization. J. Soil Sci. Plant Nutr. 2019, 19, 816–829. [Google Scholar] [CrossRef]
- Vidal-Martínez, J.L.; Núñez-Escobar, R.; Lazcano-Ferrat, I.; Etchevers-Barra, J.D.; Carrillo-González, R. Nutrición Potásica Del Brócoli (Brassica olearacea) Con Manejo Convencional y Fertirrigación En Un Vertisol En Invernadero. Agrociencia 2006, 40, 1–11. [Google Scholar]
- Hao, J.; Subbarao, K.V.; Koike, S.T. Effects of Broccoli Rotation on Lettuce Drop Caused by Sclerotinia minor and on the Population Density of Sclerotia in Soil. Plant Dis. 2003, 87, 159–166. [Google Scholar] [CrossRef]
- Huss, C.P.; Holmes, K.D.; Blubaugh, C.K. Benefits and Risks of Intercropping for Crop Resilience and Pest Management. J. Econ. Entomol. 2022, 115, 1350–1362. [Google Scholar] [CrossRef]
- Hatt, S.; Döring, T.F. Designing Pest Suppressive Agroecosystems: Principles for an Integrative Diversification Science. J. Clean. Prod. 2023, 432, 139701. [Google Scholar] [CrossRef]
- Wang, G.; Bei, S.; Li, J.; Bao, X.; Zhang, J.; Schultz, P.A.; Li, H.; Li, L.; Zhang, F.; Bever, J.D.; et al. Soil Microbial Legacy Drives Crop Diversity Advantage: Linking Ecological Plant–Soil Feedback with Agricultural Intercropping. J. Appl. Ecol. 2021, 58, 496–506. [Google Scholar] [CrossRef]
- Hiddink, G.A.; Termorshuizen, A.J.; Van Bruggen, A.H.C. Mixed Cropping and Suppression of Soilborne Diseases. In Genetic Engineering, Biofertilisation, Soil Quality and Organic Farming; Lichtfouse, E., Ed.; Sustainable Agriculture Reviews; Springer: Dordrecht, The Netherlands, 2010; Volume 4, pp. 119–146. ISBN 978-90-481-8740-9. [Google Scholar]
- Trenbath, B.R. Intercropping for the Management of Pests and Diseases. Field Crops Res. 1993, 34, 381–405. [Google Scholar] [CrossRef]
- Boudreau, M.A. Diseases in Intercropping Systems. Annu. Rev. Phytopathol. 2013, 51, 499–519. [Google Scholar] [CrossRef]
- Zhang, C.; Dong, Y.; Tang, L.; Zheng, Y.; Makowski, D.; Yu, Y.; Zhang, F.; Van Der Werf, W. Intercropping Cereals with Faba Bean Reduces Plant Disease Incidence Regardless of Fertilizer Input: A Meta-Analysis. Eur. J. Plant Pathol. 2019, 154, 931–942. [Google Scholar] [CrossRef]
- Vandermeer, J. The Ecology of Intercropping; Cambridge University Press: Cambridge, UK, 1989; ISBN 978-0-511-62352-3. [Google Scholar]
- Poveda, K.; Martínez, E.; Kersch-Becker, M.F.; Bonilla, M.A.; Tscharntke, T. Landscape Simplification and Altitude Affect Biodiversity, Herbivory and Andean Potato Yield. J. Appl. Ecol. 2012, 49, 513–522. [Google Scholar] [CrossRef]
- Root, R.B. Organization of a Plant-Arthropod Association in Simple and Diverse Habitats: The Fauna of Collards (Brassica oleracea). Ecol. Monogr. 1973, 43, 95–124. [Google Scholar] [CrossRef]
- Durham, T.C.; Mizik, T. Comparative Economics of Conventional, Organic, and Alternative Agricultural Production Systems. Economies 2021, 9, 64. [Google Scholar] [CrossRef]
- Sánchez, A.C.; Kamau, H.N.; Grazioli, F.; Jones, S.K. Financial Profitability of Diversified Farming Systems: A Global Meta-Analysis. Ecol. Econ. 2022, 201, 107595. [Google Scholar] [CrossRef]
- Lin, B.B. Resilience in Agriculture through Crop Diversification: Adaptive Management for Environmental Change. BioScience 2011, 61, 183–193. [Google Scholar] [CrossRef]
- Loconto, A.; Jimenez, A.; Vandecandelaere, E. Constructing Markets for Agroecology: An Analysis of Diverse Options for Marketing Products from Agroecology; FAO (Food and Agriculture Organization of the United Nations): Rome, Italy; INRA (Institut National de la Researche Agronomique): Paris, France, 2018; ISBN 978-92-5-130339-9. [Google Scholar]












| Factor 1: Sown Density | Factor 2: Flower Strips | CR Lettuce | CR Broccoli |
|---|---|---|---|
| 37,800 plants.ha−1 | Flower strips | 0.48 | 2.12 |
| Control | 0.78 | 1.49 | |
| 50,000 plants.ha−1 | Flower strips | 0.51 | 2.00 |
| Control | 0.63 | 1.87 | |
| 62,500 plants.ha−1 | Flower strips | 0.52 | 1.91 |
| Control | 0.54 | 2.03 | |
| Two-factor variance analysis (F) | |||
| Factor 1: Sown Density | 0.7370 ns | 0.4646 ns | |
| Factor 2: Flower strips | 5.0608 * | 2.0144 ns | |
| Sown Density × Flower strips | 1.6176 ns | 1.5997 ns | |
| Variable | Factor | F-Statistic |
|---|---|---|
| Incidence of Sclerotinia sp. in lettuce (% of damaged plants) | Factor 1: Sown Density | 0.8381 ns |
| Factor 2: Flower strips | 0.7165 ns | |
| F1 × F2: Sown Density × Flower strips | 1.6573 ns | |
| Incidence of mollusc in lettuce (% of damaged plants) | Factor 1: Sown Density | 5.1618 * |
| Factor 2: Flower strips | 0.5414 ns | |
| F1 × F2: Sown Density × Flower strips | 1.3483 ns | |
| Incidence of P. xylostella sp. in broccoli (% of damaged plants) | Factor 1: Sown Density | 0.8318 ns |
| Factor 2: Flower strips | 1.4771 ns | |
| F1 × F2: Sown Density × Flower strips | 4.0883 * |
| Crop System | Net Income | Production Cost | Overall Profit | Profitability (%) | ||||
|---|---|---|---|---|---|---|---|---|
| (USD ha−1) | (USD ha−1) | (USD ha−1) | ||||||
| Flower Strip | Control | Flower Strip | Control | Flower Strip | Control | Flower Strip | Control | |
| Broccoli | 5984 | 7092 | 8843 | 8422 | −2858 | −1330 | −47.8 | −18.8 |
| Pure stand | ||||||||
| Lettuce | 15,302 | 14,333 | 8122 | 7735 | 7180 | 6598 | 46.9 | 46.0 |
| Pure Stand | ||||||||
| Intercropping 37,800 plants.ha−1 | 8977 | 8262 | 8167 | 7778 | 810 | 484 | 9.0 | 5.9 |
| Intercropping 50,000 plants.ha−1 | 10,173 | 9324 | 8608 | 8197 | 1565 | 1127 | 15.4 | 12.1 |
| Intercropping 62,500 plants.ha−1 | 10,883 | 10,587 | 9054 | 8623 | 1829 | 1965 | 16.8 | 18.6 |
| Factor 1: Agricultural Management | Factor 2: Flower Strips | CR Lettuce | CR Broccoli |
|---|---|---|---|
| Ecological inputs | Flower strips | 0.5 | 3.2 |
| Control | 0.6 | 3.5 | |
| Chemical inputs | Flower strips | 0.3 | 4.4 |
| Control | 0.5 | 4.7 | |
| Two-factor variance analysis (F) | |||
| F1: Agricultural management | 2.8308 ns | 2.0021 ns | |
| F2: Flower strips | 2.6852 ns | 4.2257 ns | |
| F1 × F2: Agricultural management × Flower strips | 0.1717 ns | 0.5644 ns |
| Crop System | Net Income | Production Cost | Overall Profit | Profitability | ||||
|---|---|---|---|---|---|---|---|---|
| (USD ha−1) | (USD ha−1) | (USD ha−1) | (%) | |||||
| Flower Strip | Control | Flower Strip | Control | Flower Strip | Control | Flower Strip | Control | |
| Ecological | ||||||||
| Broccoli Pure Stand | 8590 | 6747 | 10,027 | 9550 | −1437 | −2803 | −16.7 | −41.5 |
| Lettuce Pure Stand | 44,901 | 41,035 | 9209 | 8771 | 35,692 | 32,264 | 79.5 | 78.6 |
| Intercropping | 25,351 | 22,845 | 9760 | 9295 | 15,591 | 13,550 | 61.5 | 59.3 |
| Chemical | ||||||||
| Broccoli Pure Stand | 11,248 | 9437 | 7682 | 7317 | 3567 | 2120 | 31.7 | 22.5 |
| Lettuce Pure Stand | 18,744 | 13,417 | 6864 | 6536 | 11,880 | 6881 | 63.4 | 51.3 |
| Intercropping | 13,873 | 11,870 | 7415 | 7060 | 6458 | 4810 | 46.6 | 40.5 |
Disclaimer/Publisher’s Note: The statements, opinions and data contained in all publications are solely those of the individual author(s) and contributor(s) and not of MDPI and/or the editor(s). MDPI and/or the editor(s) disclaim responsibility for any injury to people or property resulting from any ideas, methods, instructions or products referred to in the content. |
© 2024 by the authors. Licensee MDPI, Basel, Switzerland. This article is an open access article distributed under the terms and conditions of the Creative Commons Attribution (CC BY) license (https://creativecommons.org/licenses/by/4.0/).
Share and Cite
Martinez, E.; Marcillo-Paguay, C.A.; Revelo-Gomez, E.G.; Cuervo, M.; Igua-Urbano, E.P. Effect of Flowering Strips in Associated Broccoli and Lettuce Crops on Increasing Land Use Efficiency. Sustainability 2024, 16, 4436. https://doi.org/10.3390/su16114436
Martinez E, Marcillo-Paguay CA, Revelo-Gomez EG, Cuervo M, Igua-Urbano EP. Effect of Flowering Strips in Associated Broccoli and Lettuce Crops on Increasing Land Use Efficiency. Sustainability. 2024; 16(11):4436. https://doi.org/10.3390/su16114436
Chicago/Turabian StyleMartinez, Eliana, Carlos Alberto Marcillo-Paguay, Eliana Gisela Revelo-Gomez, Mónica Cuervo, and Erika Paola Igua-Urbano. 2024. "Effect of Flowering Strips in Associated Broccoli and Lettuce Crops on Increasing Land Use Efficiency" Sustainability 16, no. 11: 4436. https://doi.org/10.3390/su16114436
APA StyleMartinez, E., Marcillo-Paguay, C. A., Revelo-Gomez, E. G., Cuervo, M., & Igua-Urbano, E. P. (2024). Effect of Flowering Strips in Associated Broccoli and Lettuce Crops on Increasing Land Use Efficiency. Sustainability, 16(11), 4436. https://doi.org/10.3390/su16114436

