Advances in the Sustainable Production of Fertilizers from Spent Zinc-Based Batteries
Abstract
1. Introduction
2. Materials and Methods
2.1. Feedstock
2.2. Leaching Experiments
2.3. Selection of Fertilizer Solutions
2.4. Column Experiments
3. Results and Discussion
3.1. Black Mass Characterization
3.2. Leachig Experiments
3.3. Column Experiments
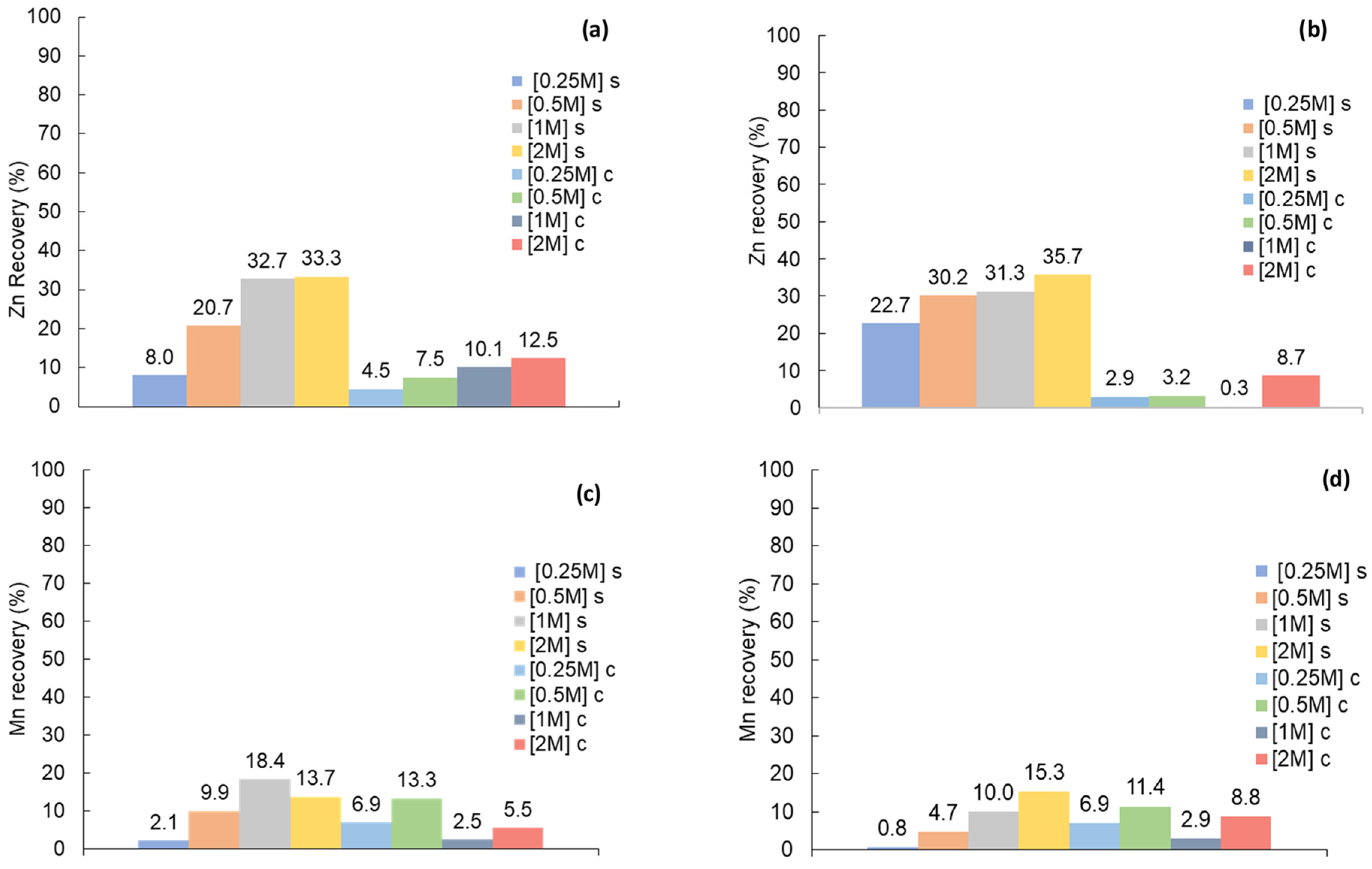
3.3.1. Leached Zn in Sand Columns
3.3.2. Leached Mn in Sand Columns
3.3.3. pH and Electrical Conductivity of Leachates
4. Conclusions
5. Future Research
Author Contributions
Funding
Institutional Review Board Statement
Informed Consent Statement
Data Availability Statement
Conflicts of Interest
References
- European Portable Battery Association. EPBA. 2023. Available online: https://www.epbaeurope.net/ (accessed on 7 December 2023).
- Regulation (EU) 2023/1542 of the European Parliament and of the Council of 12 July 2023 Concerning Batteries and Waste Batteries. 2023. Available online: https://eur-lex.europa.eu/eli/reg/2023/1542/oj (accessed on 7 December 2023).
- Milian, Y.E.; Jamett, N.; Cruz, C.; Herrera-León, S.; Jaime Chacana-Olivares, J. A comprehensive review of emerging technologies for recycling spent lithium-ion batteries. Sci. Total Environ. 2024, 910, 168543. [Google Scholar] [CrossRef] [PubMed]
- Hasan, M.A.; Hossain, R.; Sahajwalla, V. Critical metals (Lithium and Zinc) recovery from battery waste, ores, brine, and steel dust: A review. Process Saf. Environ. Prot. 2023, 178, 976–994. [Google Scholar] [CrossRef]
- Tran, H.P.; Schaubroeck, T.; Swart, P.; Six, L.; Coonen, P.; Dewulf, J. Recycling portable alkaline/ZnC batteries for a circular economy: An assessment of natural resource consumption from a life cycle and criticality perspective. Resour. Conserv. Recycl. 2018, 135, 265–278. [Google Scholar] [CrossRef]
- Bernardes, A.M.; Espinosa, D.C.R.; Tenorio, J.A.S. Recycling of batteries: A review of current processes and technologies. J. Power Sources 2004, 130, 291–298. [Google Scholar] [CrossRef]
- Belardi, G.; Ballirano, P.; Ferrini, M.; Lavecchia, R.; Medici, F.; Piga, L.; Scoppettuolo, A. Characterization of spent zinc-carbon and alkaline batteries by SEM-EDS, TGA/DTA and XRPD analysis. Thermochim. Acta 2011, 526, 169–177. [Google Scholar] [CrossRef]
- Sadeghi, S.M.; Helena, J.J.; Soares, M.V.M. A critical updated review of the hydrometallurgical routes for recycling zinc and manganese from spent zinc-based batteries. Waste Manag. 2020, 113, 342–360. [Google Scholar] [CrossRef] [PubMed]
- Tran, L.H.; Tanong, K.; Jabir, A.D.; Mercier, G.; Blais, J.F. Hydrometallurgical process and economic evaluation for recovery of zinc and manganese from spent alkaline batteries. Metals 2020, 10, 1175. [Google Scholar] [CrossRef]
- Buzatu, M.; Sǎceanu, S.; Ghica, V.G.; Iacob, G.; Buzatu, T. Simultaneous recovery of Zn and MnO2 from used batteries, as raw materials, by electrolysis. Waste Manag. 2013, 33, 1764–1769. [Google Scholar] [CrossRef] [PubMed]
- Yesiltepe, S.; Bugdaycı, M.; Yücel, O.; Sesen, M.K. Recycling of alkaline batteries via a carbothermal reduction process. Batteries 2019, 5, 35. [Google Scholar] [CrossRef]
- Hu, X.; Robles, A.; Vikström, T.; Väänänen, P.; Zackrisson, M.; Ye, G. A novel process on the recovery of zinc and manganese from spent alkaline and zinc-carbon batteries. J. Hazard. Mater. 2021, 411, 124928. [Google Scholar] [CrossRef]
- Tanong, K.; Tran, L.; Mercier, G.; Blais, J. Recovery of Zn (II), Mn (II), Cd (II) and Ni (II) from the unsorted spent batteries using solvent extraction, electrodeposition and precipitation methods. J. Clean. Prod. 2017, 148, 233–244. [Google Scholar] [CrossRef]
- White, P.J.; Brown, P.H. Plant nutrition for sustainable development and global health. Ann. Bot. 2010, 105, 1073–1080. [Google Scholar] [CrossRef] [PubMed]
- Cakmak, I. Enrichment of fertilizers with zinc: An excellent investment for humanity and crop production in India. J. Trace Elem. Med. Biol. 2009, 23, 281–289. [Google Scholar] [CrossRef] [PubMed]
- Almendros, P.; Obrador, A.; Alvarez, J.M.; Gonzalez, D. Zn-DTPA-HEDTA-EDTA application: A strategy to improve the yield and plant quality of a barley crop while reducing the N application rate. J. Soil Sci. Plant Nutr. 2019, 19, 920–934. [Google Scholar] [CrossRef]
- Barragán-Mantilla, S.P.; Gascó, G.; Almendros, P.; Méndez, A. Insights into the use of green leaching systems based on glycine for the selective recovery of copper. Miner. Eng. 2024, 206, 108534. [Google Scholar] [CrossRef]
- Binnemans, K.; Jones, P.T. The Twelve Principles of Circular Hydrometallurgy. J. Sustain. Metall. 2024, 9, 1–25. [Google Scholar] [CrossRef]
- Wang, M.; Tan, Q.; Chiang, J.F.; Li, J. Recovery of rare and precious metals from urban mines—A review. Front. Environ. Sci. Eng. 2017, 11, 1. [Google Scholar] [CrossRef]
- Oraby, E.A.; Eksteen, J.J. The selective leaching of copper from a gold-copper concentrate in glycine solutions. Hydrometallurgy 2014, 150, 14–19. [Google Scholar] [CrossRef]
- Tanda, B.C.; Eksteen, J.J.; Oraby, E.A. An investigation into the leaching behavior of copper oxide minerals in aqueous alkaline glycine solutions. Hydrometallurgy 2017, 167, 153–162. [Google Scholar] [CrossRef]
- Li, H.; Deng, Z.; Oraby, E.; Eksteen, J. Amino acids as lixiviants for metals extraction from natural and secondary resources with emphasis on glycine: A literature review. Hydrometallurgy 2023, 216, 106008. [Google Scholar] [CrossRef]
- Tavallali, V.; Karimi, S. Green Synthesized Zinc-Glycine Chelate Enhances Antioxidant Protection of Pistachio under Different Soil Boron Levels Green Synthesized Zinc-Glycine Chelate Enhances Antioxidant Protection of Pistachio under Different Soil. Int. J. Fruit Sci. 2017, 17, 423–439. [Google Scholar] [CrossRef]
- Lucena, J. El empleo de complejantes y quelatos en la fertilización de micronutrientes. Ceres 2009, 56, 527–535. [Google Scholar]
- Montoya, M.; Vallejo, A.; Recio, J.; Guardia, G.; Alvarez, J.M. Zinc–nitrogen interaction effect on wheat biofortification and nutrient use efficiency. J. Plant Nutr. Soil Sci. 2020, 183, 169–179. [Google Scholar] [CrossRef]
- Shuman, L. Chemical forms of micronutrients in soils. In Micronutrients in Agriculture; Mortvedt, J.J., Cox, F.R., Shuman, L.W.R., Eds.; Soil Science Society of America: Madison, WI, USA, 1991; pp. 113–144. [Google Scholar]
- Regulation (EU) 2020/852 of the European Parliament and of the Council of 18 June 2020. Available online: https://eur-lex.europa.eu/legal-content/EN/TXT/PDF/?uri=CELEX:32020R0852&from=EN (accessed on 7 December 2023).
- Milani, N.; McLaughlin, M.J.; Stacey, S.P.; Kirby, J.K.; Hettiarachchi, G.M.; Beak, D.G.; Cornelis, G. Dissolution Kinetics of Macronutrient Fertilizers Coated with Manufactured Zinc Oxide Nanoparticles. J. Agric. Food Chem. 2012, 60, 3991–3998. [Google Scholar] [CrossRef] [PubMed]
- Abid Charef, S.; Affoune, A.M.; Caballero, A.; Cruz-Yusta, M.; Morales, J. Simultaneous recovery of Zn and Mn from used batteries in acidic and alkaline mediums: A comparative study. Waste Manag. 2017, 68, 518–526. [Google Scholar] [CrossRef] [PubMed]
- Natarajan, S.; Aravindan, A. An urgent call to spent LIB eecycling: Whys and wherefores for graphite recovery. Adv. Energy Mater. 2020, 10, 2002238. [Google Scholar] [CrossRef]
- Petranikova, M.; Ebin, B.; Mikhailova, S.; Steenari, B.M.; Ekberg, C. Investigation of the effects of thermal treatment on the leachability of Zn and Mn from discarded alkaline and ZnC batteries. J. Clean. Prod. 2018, 170, 1195–1205. [Google Scholar] [CrossRef]
- Sadeghi, S.M.; Vanpeteghem, G.; Neto, I.F.F.; Soares, H.M.V.M. Selective leaching of Zn from spent alkaline batteries using environmentally friendly approaches. Waste Manag. 2017, 60, 696–705. [Google Scholar] [CrossRef]
- Knijnenburg, J.T.N.; Laohhasurayotin, K.; Khemthong, P.; Kangwansupamonkon, W. Structure, Dissolution, and Plant Uptake of Ferrous/Zinc Phosphates. Chemosphere 2019, 223, 310–318. [Google Scholar] [CrossRef]
- Xu, Z.; Hu, X.; Ding, Z.; Liu, Y.; Gao, B. Retention of Nano PbO in Saturated Columns and Its Dissolution Kinetics in Soils. Environ. Sci. Pollut. Res. 2020, 27, 1167–1174. [Google Scholar] [CrossRef]
- Mikula, K.; Izydorczyk, G.; Skrzypczak, D.; Mironiuk, M.; Moustakas, K.; Witek-Krowiak, A.; Chojnacka, K. Controlled Release Micronutrient Fertilizers for Precision Agriculture—A Review. Sci. Total Environ. 2020, 712, 136365. [Google Scholar] [CrossRef] [PubMed]
- Martell, A.; Smith, R. Critical Stability Constants; Springer: New York, NY, USA, 1982; ISBN 9781461567660. [Google Scholar]
- Norvell, W.A. Reactions of Metal Chelates in Soils and Nutrient Solutions; Wiley: Hoboken, NJ, USA, 1991; Chapter 7. [Google Scholar]
- Timilsina, A.; Adhikari, K.; Chen, H. Foliar Application of Green Synthesized ZnO Nanoparticles Reduced Cd Content in Shoot of Lettuce. Chemosphere 2023, 338, 139589. [Google Scholar] [CrossRef] [PubMed]





| Sample | Element Content (wt%) | ||||||||||||||
|---|---|---|---|---|---|---|---|---|---|---|---|---|---|---|---|
| Mn | Zn | K | Na | Cl | Mg | Fe | S | Ni | Ba | Si | Ti | Ca | Cu | Al | |
| BM | 37.89 | 25.45 | 4.77 | 1.91 | 0.569 | 0.472 | 0.379 | 0.328 | 0.157 | 0.142 | 0.092 | 0.072 | 0.048 | 0.025 | 0.017 |
| Sample | Chemical Properties and Graphite Content of BM | |||
|---|---|---|---|---|
| pH | EC (µS/cm) | EhAg/AgCl (mV) | Graphite (%) | |
| BM | 10.83 | 356 | 385 | 6.61 |
Disclaimer/Publisher’s Note: The statements, opinions and data contained in all publications are solely those of the individual author(s) and contributor(s) and not of MDPI and/or the editor(s). MDPI and/or the editor(s) disclaim responsibility for any injury to people or property resulting from any ideas, methods, instructions or products referred to in the content. |
© 2024 by the authors. Licensee MDPI, Basel, Switzerland. This article is an open access article distributed under the terms and conditions of the Creative Commons Attribution (CC BY) license (https://creativecommons.org/licenses/by/4.0/).
Share and Cite
Barragán-Mantilla, S.P.; Ortiz, R.; Almendros, P.; Sánchez-Martín, L.; Gascó, G.; Méndez, A. Advances in the Sustainable Production of Fertilizers from Spent Zinc-Based Batteries. Sustainability 2024, 16, 4255. https://doi.org/10.3390/su16104255
Barragán-Mantilla SP, Ortiz R, Almendros P, Sánchez-Martín L, Gascó G, Méndez A. Advances in the Sustainable Production of Fertilizers from Spent Zinc-Based Batteries. Sustainability. 2024; 16(10):4255. https://doi.org/10.3390/su16104255
Chicago/Turabian StyleBarragán-Mantilla, Silvia Patricia, Raquel Ortiz, Patricia Almendros, Laura Sánchez-Martín, Gabriel Gascó, and Ana Méndez. 2024. "Advances in the Sustainable Production of Fertilizers from Spent Zinc-Based Batteries" Sustainability 16, no. 10: 4255. https://doi.org/10.3390/su16104255
APA StyleBarragán-Mantilla, S. P., Ortiz, R., Almendros, P., Sánchez-Martín, L., Gascó, G., & Méndez, A. (2024). Advances in the Sustainable Production of Fertilizers from Spent Zinc-Based Batteries. Sustainability, 16(10), 4255. https://doi.org/10.3390/su16104255

