Optimizing Residential Construction Site Selection in Mountainous Regions Using Geospatial Data and eXplainable AI
Abstract
1. Introduction
2. Materials and Methods
2.1. Description of Study Area
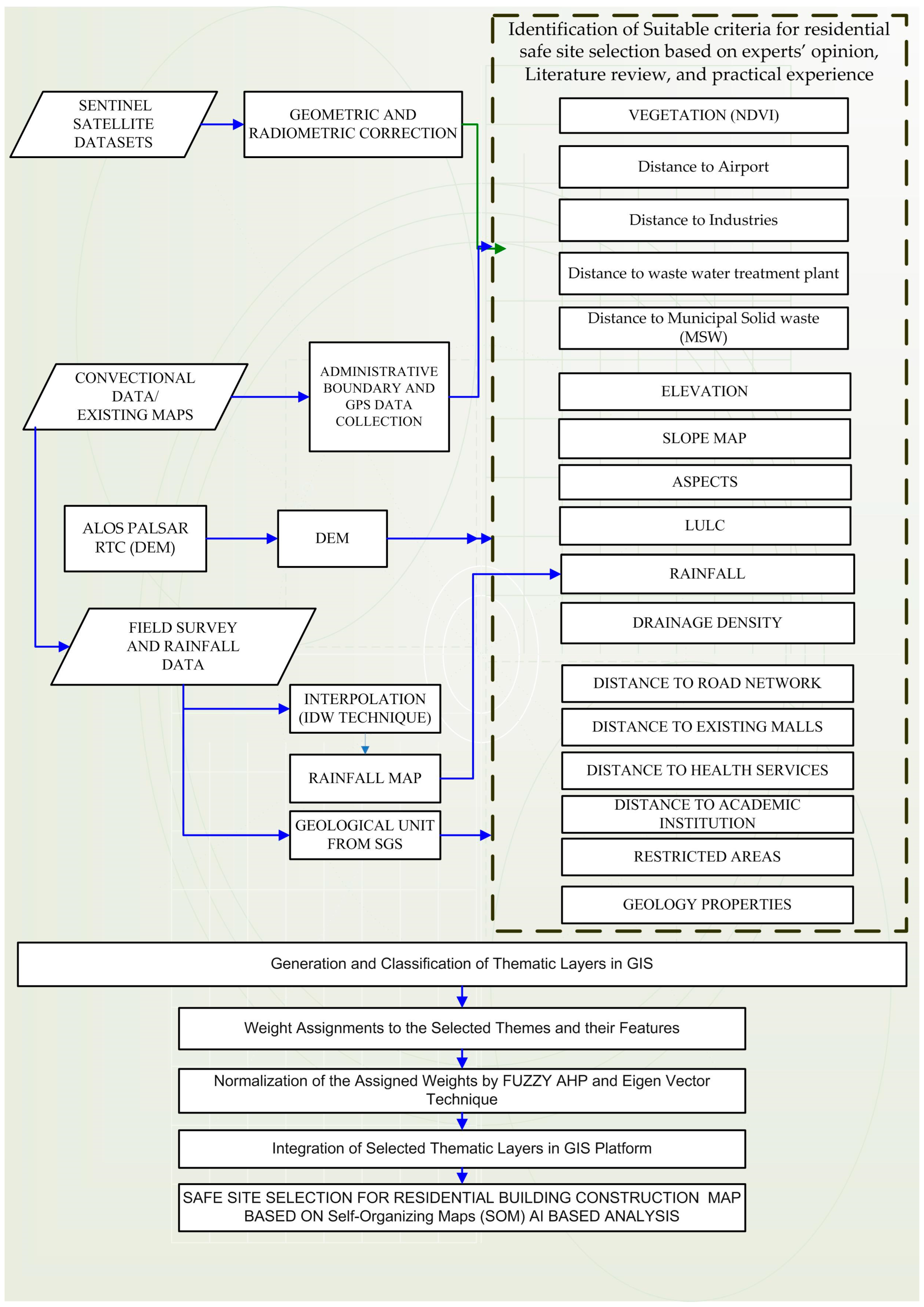
2.2. Data and Material Used
2.3. Preparation of Factors for Suitable Site Selection for Residential Buildings
2.3.1. Elevation
2.3.2. Slope
2.3.3. Aspect
2.3.4. Measuring Vegetation Density with the Normalized Difference Vegetation Index (NDVI)
2.3.5. Precipitation
2.3.6. Land Use and Land Cover (LULC)
2.3.7. Density of Drainage
2.3.8. Distance to Road Networks
2.3.9. Distance to Industrial Areas
2.3.10. Distance to the Airport
2.3.11. Measuring Proximity to Academic Institution Services
2.3.12. Distance from Municipal Solid Waste
2.3.13. Measuring Proximity to Medical Health Services
2.3.14. Measuring Proximity to Shopping Center Services
2.3.15. Distance to Sewage Treatment Plants
2.3.16. Areas with Restricted Access
2.3.17. Geology
2.4. Method for Modeling Safe and Eco-Friendly Residential Construction Sites
2.4.1. MCDM: Fuzzy Set Theory
2.4.2. Self-Organizing Maps (SOMs) for Classifying the Potential Residential Safe Site Map
2.5. Process of Modeling SOMs
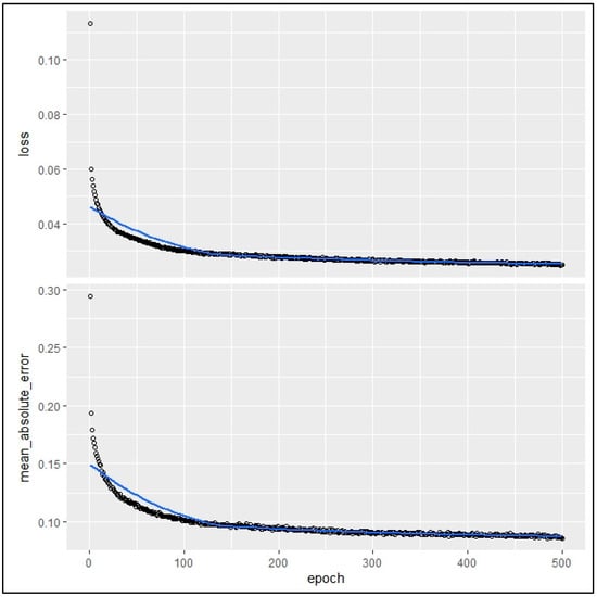
2.6. Sensitivity Analysis as a Technique of eXplainable Artificial Intelligence through Deep Neural Networks
3. Results
3.1. Normalization of Weights for Thematic Maps of Geophysical Aspects for Safe Site Selection Using Fuzzy-AHP
3.2. Generation of Safe Site Selection for Safe and Eco-Friendly Residential Complexes Using SOMs
3.3. Deeper Understanding of the Behavioral of Variables Using DNN-Based XAI
Behavioral Assessment of the Factors Influencing the Model
4. Discussion
5. Conclusions
Supplementary Materials
Author Contributions
Funding
Institutional Review Board Statement
Data Availability Statement
Acknowledgments
Conflicts of Interest
References
- Wong, V.S.H.; El Massah, S. Recent Evidence on the Oil Price Shocks on Gulf Cooperation Council Stock Markets. Int. J. Econ. Bus. 2018, 25, 297–312. [Google Scholar] [CrossRef]
- Alharthi, Y.Z.; Siddiki, M.K.; Chaudhry, G.M. The New Vision and the Contribution of Solar Power in the Kingdom of Saudi Arabia Electricity Production. In Proceedings of the 2017 Ninth Annual IEEE Green Technologies Conference (GreenTech), Denver, CO, USA, 29–31 March 2017; pp. 83–88. [Google Scholar]
- Giorgi, S.; Lavagna, M.; Wang, K.; Osmani, M.; Liu, G.; Campioli, A. Drivers and barriers towards circular economy in the building sector: Stakeholder interviews and analysis of five European countries policies and practices. J. Clean. Prod. 2022, 336, 130395. [Google Scholar] [CrossRef]
- Lahn, G.; Stevens, P. Burning Oil to Keep Cool The Hidden Energy Crisis in Saudi Arabia Charity; Chatham House: London, UK, 2012. [Google Scholar]
- Chen, Y.; Yu, J.; Khan, S. Spatial sensitivity analysis of multi-criteria weights in GIS-based land suitability evaluation. Environ. Model. Softw. 2010, 25, 1582–1591. [Google Scholar] [CrossRef]
- Akmam Syed Zakaria, S.; Gajendran, T.; Rose, T.; Brewer, G. Contextual, structural and behavioural factors influencing the adoption of industrialised building systems: A review. Archit. Eng. Des. Manag. 2018, 14, 3–26. [Google Scholar] [CrossRef]
- Logan, J.R.; Molotch, H.L. Urban Fortunes: The Political Economy of Place; University of California Press: Berkeley, CA, USA, 2007; ISBN 9780520254282. [Google Scholar]
- Atta, I.; Bakhoum, E.S.; Marzouk, M.M. Digitizing material passport for sustainable construction projects using BIM. J. Build. Eng. 2021, 43, 103233. [Google Scholar] [CrossRef]
- Al Garni, H.Z.; Awasthi, A. Solar PV power plant site selection using a GIS-AHP based approach with application in Saudi Arabia. Appl. Energy 2017, 206, 1225–1240. [Google Scholar] [CrossRef]
- Kuller, M.; Bach, P.M.; Ramirez-Lovering, D.; Deletic, A. What drives the location choice for water sensitive infrastructure in Melbourne, Australia? Landsc. Urban Plan. 2018, 175, 92–101. [Google Scholar] [CrossRef]
- Meng, Q.; Pang, N.; Zhao, S.; Gao, J. Two-stage optimal site selection for waste-to-energy plant using single-valued neutrosophic sets and geographic information system based multi-criteria decision-making approach: A case study of Beijing, China. Waste Manag. 2023, 156, 283–296. [Google Scholar] [CrossRef]
- Erol-Kantarci, M.; Mouftah, H.T. Energy-Efficient Information and Communication Infrastructures in the Smart Grid: A Survey on Interactions and Open Issues. IEEE Commun. Surv. Tutor. 2015, 17, 179–197. [Google Scholar] [CrossRef]
- Casini, M. Extended Reality for Smart Building Operation and Maintenance: A Review. Energies 2022, 15, 3785. [Google Scholar] [CrossRef]
- Carsjens, G.J.; Ligtenberg, A. A GIS-based support tool for sustainable spatial planning in metropolitan areas. Landsc. Urban Plan. 2007, 80, 72–83. [Google Scholar] [CrossRef]
- Mallick, J.; Singh, R.K.; AlAwadh, M.A.; Islam, S.; Khan, R.A.; Qureshi, M.N. GIS-based landslide susceptibility evaluation using fuzzy-AHP multi-criteria decision-making techniques in the Abha Watershed, Saudi Arabia. Environ. Earth Sci. 2018, 77, 1–25. [Google Scholar] [CrossRef]
- Derdour, A.; Benkaddour, Y.; Bendahou, B. Application of remote sensing and GIS to assess groundwater potential in the transboundary watershed of the Chott-El-Gharbi (Algerian–Moroccan border). Appl. Water Sci. 2022, 12, 136. [Google Scholar] [CrossRef]
- Rezvani, S.M.H.S.; Falcão, M.J.; Komljenovic, D.; de Almeida, N.M. A Systematic Literature Review on Urban Resilience Enabled with Asset and Disaster Risk Management Approaches and GIS-Based Decision Support Tools. Appl. Sci. 2023, 13, 2223. [Google Scholar] [CrossRef]
- Xia, H.; Liu, Z.; Efremochkina, M.; Liu, X.; Lin, C. Study on city digital twin technologies for sustainable smart city design: A review and bibliometric analysis of geographic information system and building information modeling integration. Sustain. Cities Soc. 2022, 84, 104009. [Google Scholar] [CrossRef]
- Tache, A.V.; Popescu, O.C.; Petrișor, A.I. Conceptual Model for Integrating the Green-Blue Infrastructure in Planning Using Geospatial Tools: Case Study of Bucharest, Romania Metropolitan Area. Land 2023, 12, 1432. [Google Scholar] [CrossRef]
- Bansal, V.K. Use of GIS to consider spatial aspects in construction planning process. Int. J. Constr. Manag. 2020, 20, 207–222. [Google Scholar] [CrossRef]
- Jones, C.B. Geographical Information Systems and Computer Cartography; Routledge: London, UK, 2014. [Google Scholar]
- Wang, H.; Pan, Y.; Luo, X. Integration of BIM and GIS in sustainable built environment: A review and bibliometric analysis. Autom. Constr. 2019, 103, 41–52. [Google Scholar] [CrossRef]
- Khan, M.S.; Kim, I.S.; Seo, J. A boundary and voxel-based 3D geological data management system leveraging BIM and GIS. Int. J. Appl. Earth Obs. Geoinf. 2023, 118, 103277. [Google Scholar] [CrossRef]
- Mallick, J. Municipal Solid Waste Landfill Site Selection Based on Fuzzy-AHP and Geoinformation Techniques in Asir Region Saudi Arabia. Sustainability 2021, 13, 1538. [Google Scholar] [CrossRef]
- Chakraborty, S.; Chatterjee, P.; Das, P.P. Multi-Criteria Decision-Making Methods in Manufacturing Environments: Models and Applications; CRC Press: Boca Raton, FL, USA, 2023. [Google Scholar]
- Dunne, A.; Kuleshov, Y. Drought risk assessment and mapping for the Murray–Darling Basin, Australia. Nat. Hazards 2023, 115, 839–863. [Google Scholar] [CrossRef]
- Koc-San, D.; San, B.T.; Bakis, V.; Helvaci, M.; Eker, Z. Multi-Criteria Decision Analysis integrated with GIS and remote sensing for astronomical observatory site selection in Antalya province, Turkey. Adv. Sp. Res. 2013, 52, 39–51. [Google Scholar] [CrossRef]
- Gholamizadeh, K.; Zarei, E.; Omidvar, M.; Yazdi, M. Fuzzy Sets Theory and Human Reliability: Review, Applications, and Contributions. Stud. Fuzziness Soft Comput. 2022, 414, 91–137. [Google Scholar]
- Ma, L.D.; Wang, W.X.; Xie, J.W.; Zhang, N.; Hu, N.F.; Wang, Z.A. Evaluation of product conceptual design based on Pythagorean fuzzy set under big data environment. Sci. Rep. 2022, 12, 22387. [Google Scholar] [CrossRef]
- Singh, A.; Kumar, R.; Kumar, R.; Pippal, P.S.; Sharma, P.; Tanuja; Sharma, A. Delineation of groundwater potential zone using geospatial tools and analytical hierarchy process (AHP) in the state of Uttarakhand, India. Adv. Sp. Res. 2024, 73, 2939–2954. [Google Scholar] [CrossRef]
- Tariq, A.; Hashemi Beni, L.; Ali, S.; Adnan, S.; Hatamleh, W.A. An effective geospatial-based flash flood susceptibility assessment with hydrogeomorphic responses on groundwater recharge. Groundw. Sustain. Dev. 2023, 23, 100998. [Google Scholar] [CrossRef]
- Xu, Z.; Coors, V. Combining system dynamics model, GIS and 3D visualization in sustainability assessment of urban residential development. Build. Environ. 2012, 47, 272–287. [Google Scholar] [CrossRef]
- Karasan, A.; Ilbahar, E.; Kahraman, C. A novel pythagorean fuzzy AHP and its application to landfill site selection problem. Soft Comput. 2019, 23, 10953–10968. [Google Scholar] [CrossRef]
- Wijitkosum, S.; Sriburi, T. Fuzzy AHP Integrated with GIS Analyses for Drought Risk Assessment: A Case Study from Upper Phetchaburi River Basin, Thailand. Water 2019, 11, 939. [Google Scholar] [CrossRef]
- Talukdar, S.; Naikoo, M.W.; Mallick, J.; Praveen, B.; Shahfahad; Sharma, P.; Islam, A.R.M.T.; Pal, S.; Rahman, A. Coupling geographic information system integrated fuzzy logic-analytical hierarchy process with global and machine learning based sensitivity analysis for agricultural suitability mapping. Agric. Syst. 2022, 196, 103343. [Google Scholar] [CrossRef]
- Ahmed, M.; AlQadhi, S.; Mallick, J.; Kahla, N.B.; Le, H.A.; Singh, C.K.; Hang, H.T. Artificial neural networks for sustainable development of the construction industry. Sustainability 2022, 14, 14738. [Google Scholar] [CrossRef]
- Xiang, Y.; Chen, Y.; Xu, J.; Chen, Z. Research on sustainability evaluation of green building engineering based on artificial intelligence and energy consumption. Energy Rep. 2022, 8, 11378–11391. [Google Scholar] [CrossRef]
- Pan, Y.; Zhang, L. Roles of artificial intelligence in construction engineering and management: A critical review and future trends. Autom. Constr. 2021, 122, 103517. [Google Scholar] [CrossRef]
- Venkatesh, A.N.; Naved, M.; Fakih, A.H.; Kshirsagar, P.R.; Vijayakumar, P. An approach for smart city applications using artificial intelligence. In AIP Conference Proceedings; AIP Publishing: Melville, NY, USA, 2022; Volume 2393. [Google Scholar]
- Kuhaneswaran, B.; Chamanee, G.; Kumara, B.T.G.S. A comprehensive review on the integration of geographic information systems and artificial intelligence for landfill site selection: A systematic mapping perspective. Waste Manag. Res. 2024, 0734242X241237100. [Google Scholar] [CrossRef]
- Waqar, A. Intelligent decision support systems in construction engineering: An artificial intelligence and machine learning approaches. Expert Syst. Appl. 2024, 249, 123503. [Google Scholar] [CrossRef]
- Seid, A.M.; Boateng, G.O.; Mareri, B.; Sun, G.; Jiang, W. Multi-agent DRL for task offloading and resource allocation in multi-UAV enabled IoT edge network. IEEE Trans. Netw. Serv. Manag. 2021, 18, 4531–4547. [Google Scholar] [CrossRef]
- Gao, H.; Jiang, S.; Li, Z.; Wang, R.; Liu, Y.; Liu, J. A Two-stage Multi-agent Deep Reinforcement Learning Method for Urban Distribution Network Reconfiguration Considering Switch Contribution. IEEE Trans. Power Systems 2024. [Google Scholar] [CrossRef]
- Vincent, P. Saudi Arabia: An Environmental Overview; Taylor Francis: London, UK, 2008. [Google Scholar]
- Mallick, J.; Ibnatiq, A.A.; Kahla, N.B.e.n.; Alqadhi, S.; Singh, V.P.; Hoa, P.V.; Hang, H.T.; Hong, N.V.a.n.; Le, H.A. GIS-Based Decision Support System for Safe and Sustainable Building Construction Site in a Mountainous Region. Sustainability 2022, 14, 888. [Google Scholar] [CrossRef]
- Abulafatih, H.A. Medicinal Plants in Southwestern Saudi Arabia on JSTOR. Econ. Bot. 1987, 41, 354–360. [Google Scholar] [CrossRef]
- Wee, S.J.; Park, E.; Alcantara, E.; Lee, J.S.H. Exploring Multi-Driver Influences on Indonesia’s Biomass Fire Patterns from 2002 to 2019 through Geographically Weighted Regression. J. Geovisualization Spat. Anal. 2024, 8, 4. [Google Scholar] [CrossRef]
- Yamusa, I.B.; Ismail, M.S. Futuristic structural and lithological constraint mapping of landslides using structural geology and geospatial techniques. J. Geovisualization Spat. Anal. 2023, 7, 5. [Google Scholar] [CrossRef]
- Rihan, M.; Ali Bindajam, A.; Talukdar, S.; Shahfahad; Waseem Naikoo, M.; Mallick, J.; Rahman, A. Forest fire susceptibility mapping with sensitivity and uncertainty analysis using machine learning and deep learning algorithms. Adv. Sp. Res. 2023, 72, 426–443. [Google Scholar] [CrossRef]
- Mallick, J.; Alashker, Y.; Mohammad, S.A.D.; Ahmed, M.; Hasan, M.A. Risk assessment of soil erosion in semi-arid moun-tainous watershed in Saudi Arabia by RUSLE model coupled with remote sensing and GIS. Geocarto Int. 2014, 29, 915–940. [Google Scholar] [CrossRef]
- Yeh, H.F.; Cheng, Y.S.; Lin, H.I.; Lee, C.H. Mapping groundwater recharge potential zone using a GIS approach in Hualian River, Taiwan. Sustain. Environ. Res. 2016, 26, 33–43. [Google Scholar] [CrossRef]
- Wang, J.; Chen, L.; Su, R.; Zhao, X. The Beishan underground research laboratory for geological disposal of high-level radio-active waste in China: Planning, site selection, site characterization and in situ tests. J. Rock Mech. Geotech. Eng. 2018, 10, 411–435. [Google Scholar] [CrossRef]
- Zadeh, L.A. Fuzzy sets. Inf. Control 1965, 8, 338–353. [Google Scholar] [CrossRef]
- Akram, M.; Nawaz, H.S.; Kahraman, C. Rough Pythagorean fuzzy approximations with neighborhood systems and infor-mation granulation. Expert Syst. Appl. 2023, 218, 119603. [Google Scholar] [CrossRef]
- Al Awadh, M.; Mallick, J. A Decision-Making Framework for Landfill Site Selection in Saudi Arabia Using eXplainable Arti-ficial Intelligence and Multi-criteria Analysis. Environ. Technol. Innov. 2023, 33, 103464. [Google Scholar] [CrossRef]
- Singh, K.; Kaushik, M.; Kumar, M. Integrating α-cut interval based fuzzy fault tree analysis with Bayesian network for criti-cality analysis of submarine pipeline leakage: A novel approach. Process Saf. Environ. Prot. 2022, 166, 189–201. [Google Scholar] [CrossRef]
- Krawczak, M.; Szkatuła, G. On matching of intuitionistic fuzzy sets. Inf. Sci. 2020, 517, 254–274. [Google Scholar] [CrossRef]
- Chen, W.P.; Lee, C.H. Estimating ground-water recharge from streamflow records. Environ. Geol. 2003, 44, 257–265. [Google Scholar] [CrossRef]
- Mallick, J.; Singh, R.K.; Khan, R.A.; Singh, C.K.; Kahla, N.B.; Warrag, E.I.; Islam, S.; Rahman, A. Examining the rainfall–topography relationship using non-stationary modelling technique in semi-arid Aseer region, Saudi Arabia. Arab. J. Geosci. 2018, 11, 1–16. [Google Scholar] [CrossRef]
- Buckley, J.J. Fuzzy hierarchical analysis. Fuzzy Sets Syst. 1985, 17, 233–247. [Google Scholar] [CrossRef]
- Malczewski, J.; Rinner, C. Multicriteria Decision Analysis in Geographic Information Science; Springer: New York, NY, USA, 2015. [Google Scholar]
- Kumar, S.; Bansal, V.K. A GIS-based methodology for safe site selection of a building in a hilly region. Front. Archit. Res. 2016, 5, 39–51. [Google Scholar] [CrossRef]
- Duru, O.; Bulut, E.; Yoshida, S. Regime switching fuzzy AHP model for choice-varying priorities problem and expert con-sistency prioritization: A cubic fuzzy-priority matrix design. Expert Syst. Appl. 2012, 39, 4954–4964. [Google Scholar] [CrossRef]










| S. No | Data Type | Date of Production | Resolution | Source |
|---|---|---|---|---|
| 1 | Sentinel satellite data | 2019-02-08 | 10, 20, 60 m | Earth Explorer (NASA) |
| 2 | Administrative map | 2005 | 1:50,000 | MOMRA, KSA |
| Class | Area (km) | % |
|---|---|---|
| Very High-Suitability | 279.23 | 12.21 |
| High-Suitability | 785.576 | 34.34 |
| Moderate-Suitability | 347.17 | 15.18 |
| Low-Suitability | 179.71 | 7.86 |
| Very Low-Suitability | 79.82 | 3.49 |
| Restricted Area | 616.21 | 26.94 |
| Total | 2287.70 | 100.00 |
Disclaimer/Publisher’s Note: The statements, opinions and data contained in all publications are solely those of the individual author(s) and contributor(s) and not of MDPI and/or the editor(s). MDPI and/or the editor(s) disclaim responsibility for any injury to people or property resulting from any ideas, methods, instructions or products referred to in the content. |
© 2024 by the authors. Licensee MDPI, Basel, Switzerland. This article is an open access article distributed under the terms and conditions of the Creative Commons Attribution (CC BY) license (https://creativecommons.org/licenses/by/4.0/).
Share and Cite
Alqahtani, D.; Mallick, J.; Alqahtani, A.M.; Talukdar, S. Optimizing Residential Construction Site Selection in Mountainous Regions Using Geospatial Data and eXplainable AI. Sustainability 2024, 16, 4235. https://doi.org/10.3390/su16104235
Alqahtani D, Mallick J, Alqahtani AM, Talukdar S. Optimizing Residential Construction Site Selection in Mountainous Regions Using Geospatial Data and eXplainable AI. Sustainability. 2024; 16(10):4235. https://doi.org/10.3390/su16104235
Chicago/Turabian StyleAlqahtani, Dhafer, Javed Mallick, Abdulmohsen M. Alqahtani, and Swapan Talukdar. 2024. "Optimizing Residential Construction Site Selection in Mountainous Regions Using Geospatial Data and eXplainable AI" Sustainability 16, no. 10: 4235. https://doi.org/10.3390/su16104235
APA StyleAlqahtani, D., Mallick, J., Alqahtani, A. M., & Talukdar, S. (2024). Optimizing Residential Construction Site Selection in Mountainous Regions Using Geospatial Data and eXplainable AI. Sustainability, 16(10), 4235. https://doi.org/10.3390/su16104235

