Appraisal of Spatial Distribution and Fibre Degradability of Cereal–Legume Fodders to Enhance the Sustainability of Livestock Feed Supply in Sub-Tropics
Abstract
1. Introduction
2. Materials and Methods
2.1. Forage Sampling
2.2. Chemical Analyses
2.3. Maintenance of Cannulated Animals
2.4. In Situ Incubations and Degradation Profiles
2.5. Data Analyses and Curve Fitting
3. Results and Discussion
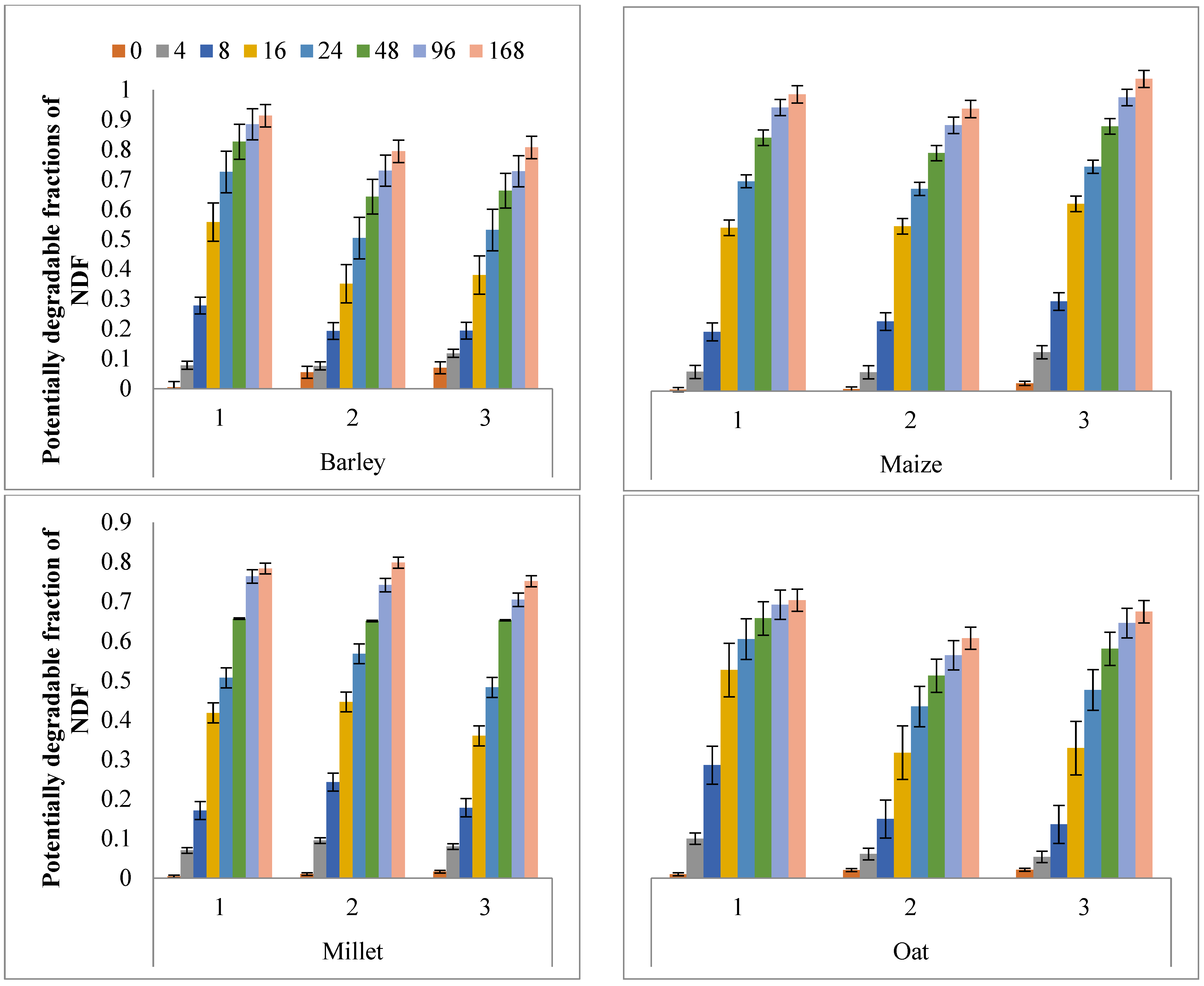
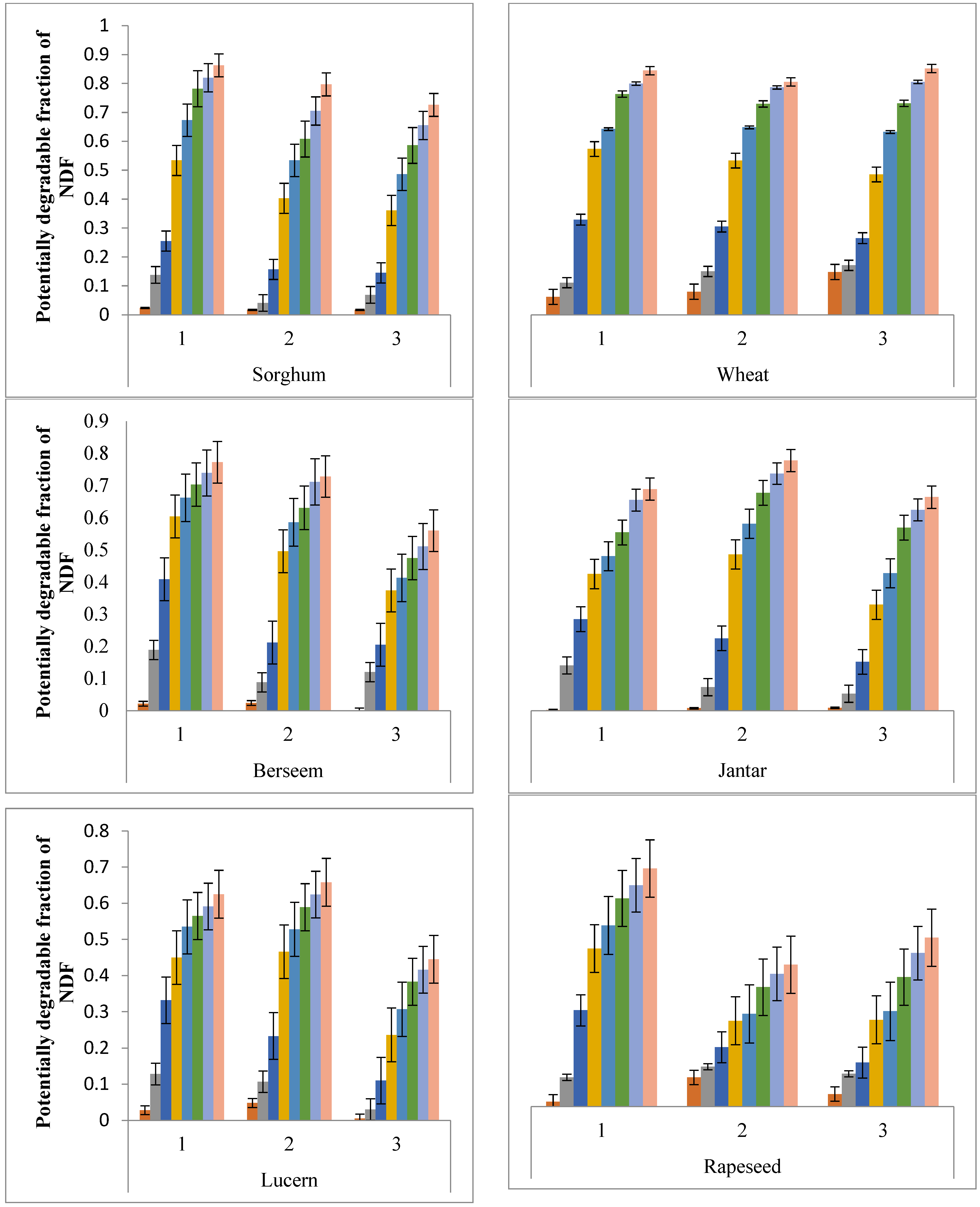
3.1. Forage Species and Family
3.2. Growing Location
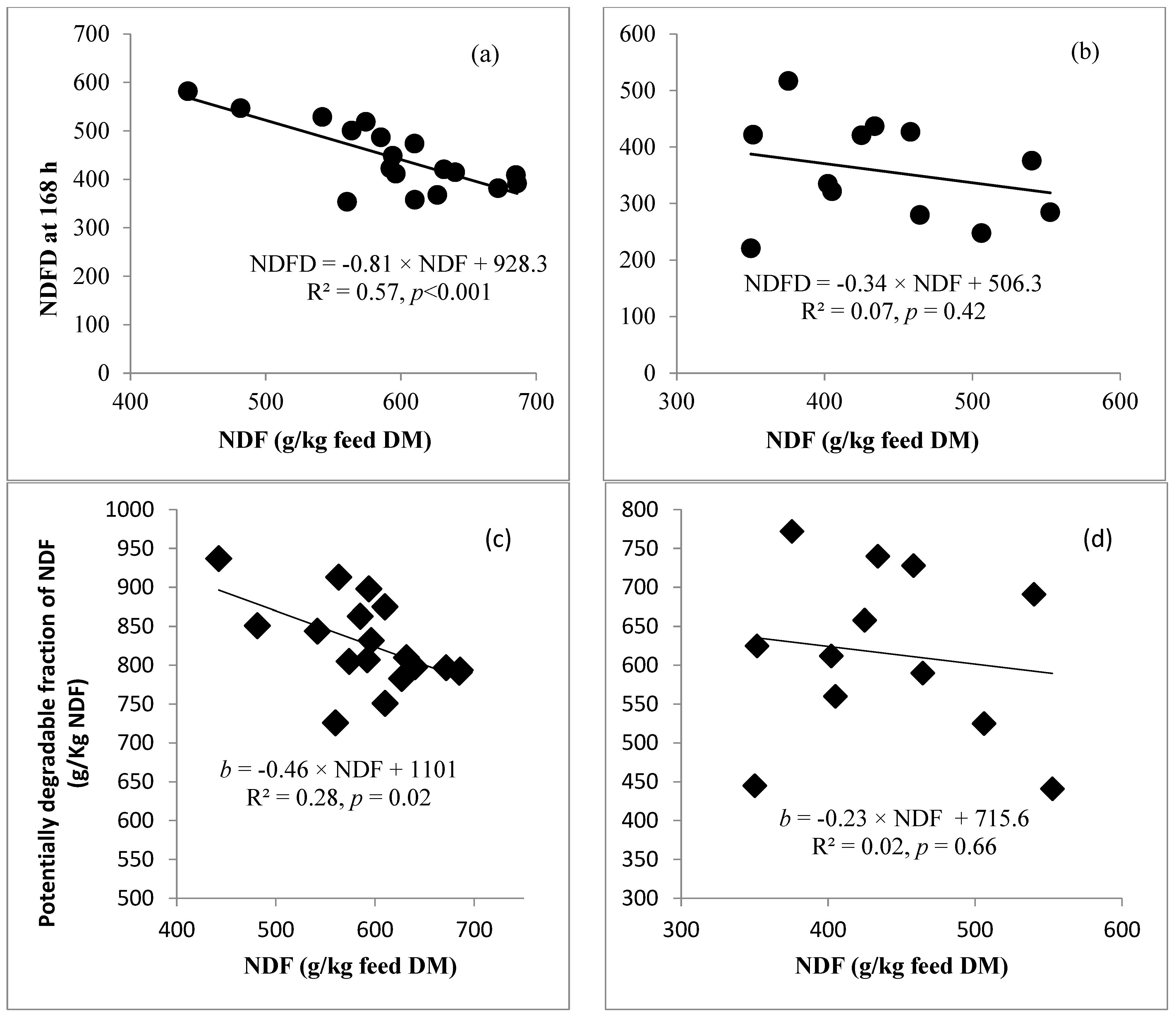
3.3. Relationship of NDFD to NDF Content
4. Conclusions
Author Contributions
Funding
Institutional Review Board Statement
Informed Consent Statement
Data Availability Statement
Acknowledgments
Conflicts of Interest
References
- Mudau, H.S.; Mokoboki, H.K.; Ravhuhali, K.E.; Mkhize, Z. Nutrients Profile of 52 browse species found in semi-arid areas of South Africa for livestock production: Effect of harvesting site. Plants 2021, 10, 2127. [Google Scholar] [CrossRef] [PubMed]
- Singh, T.; Ramakrishnan, S.; Mahanta, S.K.; Tyagi, V.C.; Roy, A.K. Tropical forage legumes in India: Status and scope for sustaining livestock production. In Forage Groups; Edvan, R.L., Santos, E.M., Eds.; InTechOpen: London, UK, 2018; pp. 123–142. [Google Scholar]
- Huhtanen, P.; Rinne, M.; Nousiainen, J. A meta-analysis of feed digestion in dairy cows. 2. the effects of feeding level and diet composition on digestibility. J. Dairy Sci. 2009, 92, 5031–5042. [Google Scholar] [CrossRef]
- Navarro Ortiz, C.A.; Vega, M.L.R. Determination of in vitro digestibility of forage species used in ruminant feeding. Trop. Anim. Health Prod. 2020, 52, 3045–3059. [Google Scholar] [CrossRef] [PubMed]
- Khan, Z.; Pasha, T.N.S.; Bhatti, J.A.; Haque, M.N.; Ihsan, M.Z.; Riaz, R.; Zahra, N.; Rahman, H.A.; Jabbar, M.; Ghazzanfar, S.; et al. Proportions of protein and concentrate in diets for buffaloes and cows affect neutral detergent fibre degradability. S. Afr. J. Anim. Sci. 2022, 52, 266–279. Available online: https://hdl.handle.net/10520/ejc-sajas_v52_n3_a3 (accessed on 1 February 2023).
- Mertens, D.R. Kinetics of cell wall digestion and passage in ruminants. In Forage Cell Wall Structure and Digestibility; John Wiley and Sons: Hoboken, NJ, USA, 1993; pp. 535–570. [Google Scholar]
- Hatfield, R.D.; Ralph, J.; Grabber, J.H. Cell wall structural foundations: Molecular basis for improving forage digestibilities. Crop Sci. 1999, 39, 27–37. [Google Scholar] [CrossRef]
- Huhtanen, P.; Ahvenjärvi, S.; Weisbjerg, M.R.; Nørgaard, P. Digestion and passage of fibre in ruminants. In Ruminant Physiology; Serjsen, K., Hvelplund, T., Nielsen, M.O., Eds.; Wageningen Academic Publishers: Wageningen, The Netherlands, 2006; pp. 87–135. [Google Scholar]
- Tahir, M.N.; Khan, Z.; Khan, N.A.; Saima, S.; Kamran, Z.; Inal, F. Dry matter degradation kinetics of selected tropical forage in Nili-Ravi buffalo and Cholistani cows at heifer and lactating stages using NorFor in situ standards. J. Zool. Res. 2019, 1, 10–19. [Google Scholar] [CrossRef]
- Gruber, L.; Taferner, K.; Haberl, L.; Maierhofer, G.; Gasteiner, J.; Urdl, M. Ruminal in situ degradation as well as crude protein and carbohydrate fractions of CNCPS of forage maize depending on vegetative stage, variety, conservation and site. In Proceedings of the 15th International Science Symposium on Nutrition of Domestic Animals, Zadravec-Erjavec Days’, Radenci, Slovenia, 9–10 November 2006. [Google Scholar]
- Lemaire, G.; Belanger, G. Allometries in plants as drivers of forage nutritive value: A review. Agriculture 2020, 10, 5. [Google Scholar] [CrossRef]
- Perotti, E.; Huguenin-Elie, O.; Meisser, M.; Dubois, S.; Probo, M.; Mariotte, P. Climatic, soil, and vegetation drivers of forage yield and quality differ across the first three growth cycles of intensively managed permanent grasslands. Eur. J. Agron. 2021, 122, 126194. [Google Scholar] [CrossRef]
- Kaufman, R.C.; Wilson, J.D.; Bean, S.R.; Galant, A.L.; Perumal, R.R.; Tesso, T.; Herald, T.; Shi, Y.C. Influence of Genotype × Location Interaction on Grain Sorghum Grain Chemistry and Digestibility. Agron. J. 2018, 110, 1681–1688. [Google Scholar] [CrossRef]
- Buxton, D.R. Quality-related characteristics of forages as influenced by plant environment and agronomic factors. Anim. Feed. Sci. Technol. 1996, 59, 37–49. [Google Scholar] [CrossRef]
- Association of Official Analytical Chemists. Official Methods of Analysis, 14th ed.; AOAC: Gaithersburg, MD, USA, 1990. [Google Scholar]
- Mertens, D.R.; Allen, M.; Carmany, J.; Clegg, J.; Davidowicz, A.; Drouches, M.; Frank, K.; Gambin, D.; Garkie, M.; Gildemeister, B.; et al. Gravimetric determination of amylase-treated neutral detergent fiber in feeds with refluxing in beakers or crucibles: Collaborative study. J. Aoac Int. 2002, 85, 1217–1240. [Google Scholar] [PubMed]
- Van Soest, P.J.; Robertson, J.B.; Lewis, B.A. Methods for dietary fiber, neutral detergent fiber, and nonstarch polysaccharides in relation to animal nutrition. J. Dairy Sci. 1991, 74, 3583–3597. [Google Scholar] [CrossRef] [PubMed]
- Åkerlind, M.; Weisbjerg, M.R.; Eriksson, T.; Tøgersen, R.; Udén, P.; Ólafsson, B.L.; Harstad, O.M.; Volden, H. Feed analyses and digestion methods. In NorFor—The Nordic Feed Evaluation System—EAAP 130; Volden, H., Ed.; Wageningen Academic Publishers: Wageningen, The Netherlands, 2011; pp. 41–54. [Google Scholar]
- Dhanoa, M.S. On the analysis of dacron bag data for low degradability feeds. Grass Forage Sci. 1988, 43, 441–444. [Google Scholar] [CrossRef]
- Ørskov, E.R.; McDonald, I. Estimation of protein degradability in the rumen from incubation measurements weighted according to rate of passage. J. Agric. Sci. 1979, 92, 499–503. [Google Scholar] [CrossRef]
- Hvelplund, T.; Weisbjerg, M.R. In situ techniques for the estimation of protein degradability and postrumen availability. In Forage Evaluation in Ruminant Nutrition; Givens, D.I., Owen, E., Axford, R.F.E., Omed, H.M., Eds.; CABI Publishing: Oxon, UK, 2000; pp. 233–258. [Google Scholar]
- Sarwar, M.; Mahr un, N.; Bhatti, S.A.; Ali, C.S. In situ ruminal digestion kinetics of forages and feed byproducts in cattle and buffalo. Asian Australas. J. Anim. Sci. 1998, 11, 128–132. [Google Scholar] [CrossRef]
- Calabrò, S.; Infascelli, F.; Bovera, F.; Moniello, G.; Piccolo, V. In vitro degradability of three forages: Fermentation kinetics and gas production of NDF and neutral detergent-soluble fraction of forages. J. Sci. Food Agric. 2002, 82, 222–229. [Google Scholar] [CrossRef]
- Aufrère, J.; Graviou, D.; Baumont, R.; Detour, A.; Demarquilly, C. Degradation in the rumen of proteins from fresh lucerne forage in various stages of growth and conserved as silage or hay. Ann. Zootech. 2000, 49, 461–474. [Google Scholar] [CrossRef]
- Melo, C.D.; Maduro Dias, C.S.A.M.; Wallon, S.; Borba, A.E.S.; Madruga, J.; Borges, P.A.V.; Ferreira, M.T.; Elias, R.B. Influence of Climate Variability and Soil Fertility on the Forage Quality and Productivity in Azorean Pastures. Agriculture 2022, 12, 358. [Google Scholar] [CrossRef]
- Dongdong, C.; Qi, L.; Zhe, L.; Fuquan, H.; Xin, C.; Shixiao, X.; Xinquan, Z.; Liang, Z. Variations of Forage Yield and Nutrients with Altitude Gradients and Their Influencing Factors in Alpine Meadow of Sanjiangyuan, China. J. Soil Sci. Plant Nutr. 2020, 20, 2164–2174. [Google Scholar] [CrossRef]
- Kumar, S.; Dev, I.; Agrawal, R.K.; Dixit, A.K.; Ram, S.N. Agronomic research on forages in India: An overview. Indian J. Agron. 2012, 57, 92–104. [Google Scholar]
- Habib, G.; Ali, M.; Bezabih, M.; Khan, N.A. In situ assessment of ruminal dry matter degradation kinetics and effective rumen degradability of feedstuffs originated from agro-industrial by-products. Pak. Vet. J. 2013, 33, 466–470. [Google Scholar]
- Fox, D.G.; Tedeschi, L.O.; Tylutki, T.P.; Russell, J.B.; Van Amburgh, M.E.; Chase, L.E.; Pell, A.N.; Overton, T.R. The Cornell Net Carbohydrate and Protein System model for evaluating herd nutrition and nutrient excretion. Anim. Feed. Sci. Technol. 2004, 112, 29–78. [Google Scholar] [CrossRef]
- NRC. Nutrient Requirements of Dairy Cattle—Seventh Revised Edition; The National Academies Press: Washington, DC, USA, 2001. [Google Scholar]
- Robinson, P.H.; Tamminga, S.; Vanvuuren, A.M. Influence of declining level of feed-intake and varying the proportion of starch in the concentrate on rumen ingesta quantity, composition and kinetics of ingesta turnover in dairy-cows. Livest. Prod. Sci. 1987, 17, 37–62. [Google Scholar] [CrossRef]







| Location | OM (%) | Soil Texture | EC (dS/m) | Soil pH | Available P (mg/kg) | Available K (mg/kg) | Available N (mg/kg) | PP (mm) | Temp (°C) | Topography | Ht (m) |
|---|---|---|---|---|---|---|---|---|---|---|---|
| Rawalpindi | 1.42 | Clay loam | 0.36 | 7.9 | 11.12 | 112 | 0.062 | 1200–1400 | −3.9 to 42.0 | Hilly subterrain | 530 |
| Lahore | 0.87 | Clay loam | 0.67 | 7.8 | 14.3 | 158 | 0.054 | 900–1100 | −2.0 to 45.0 | Flat and slopes towards south | 210 |
| Bahawalpur | 0.57 | Sandy loam | 1.03 | 8.2 | 10.5 | 134 | 0.038 | 150–250 | 4.0 to 48.0 | Flat and slopes towards south-east | 117 |
| Item | |
|---|---|
| Chemical composition (g/kg diet DM) | |
| DM (as fed) | 508.5 |
| CP | 119.25 |
| EE | 27 |
| NDF | 494.5 |
| NFC | 215 |
| Ash | 144 |
| Intake (g/d/animal) | |
| DM | 9430 |
| CP | 1256 |
| EE | 284 |
| NDF | 5207 |
| NFC | 2264 |
| Ash | 1516 |
| In Situ Parameters 1 | NDF | aNDF | bNDF | KdNDF | LNDF | NDFD24 3 | NDFD48 3 | NDFD168 3 | aDM | bDM | KdDM | LDM | NDFD%DM |
|---|---|---|---|---|---|---|---|---|---|---|---|---|---|
| F 2 | <0.001 | 0.084 | <0.001 | <0.001 | <0.001 | <0.001 | <0.001 | <0.001 | <0.001 | <0.001 | <0.001 | <0.001 | 0.016 |
| S(F) 2 | <0.001 | <0.001 | <0.001 | <0.001 | <0.001 | <0.001 | <0.001 | <0.001 | <0.001 | <0.001 | <0.001 | <0.001 | <0.001 |
| L2 | 0.006 | 0.012 | <0.001 | <0.001 | <0.001 | <0.001 | <0.001 | <0.001 | <0.001 | <0.001 | <0.001 | <0.001 | <0.001 |
| F × L2 | <0.001 | 0.002 | <0.001 | <0.001 | <0.001 | <0.001 | <0.001 | <0.001 | <0.001 | <0.001 | <0.001 | 0.015 | <0.001 |
| S(F) × L2 | <0.001 | 0.043 | <0.001 | <0.001 | <0.001 | <0.001 | <0.001 | <0.001 | <0.001 | <0.001 | <0.001 | <0.001 | <0.001 |
| In Situ Parameters 1 | |||||||||
|---|---|---|---|---|---|---|---|---|---|
| Location | Family | Species | NDF Content | aNDF | bNDF | KdNDF | LNDF | NDFD24 2 | NDFD48 2 |
| Bahawalpur | Cereal | Barley | 563.4 d | 0.004 ± 0.009 c | 0.91 ± 0.009 ab | 0.060 ± 0.002 b–g | 0.80 ± 0.010 no | 0.39 a–f | 0.45 a–f |
| Maize | 596.1 b | 0.004 ± 0.0160 c | 0.83 ± 0.010 c–g | 0.048 ± 0.002 d–k | 0.81 ± 0.031 m–o | 0.29 f–m | 0.35 g–l | ||
| Millet | 626.8 a | 0.004 ± 0.004 c | 0.78 ± 0.004 f–i | 0.043 ± 0.001 e–k | 0.89 ± 0.011 i–n | 0.24 i–n | 0.31 h–m | ||
| Oat | 442.4 f | 0.013 ± 0.009 bc | 0.94 ± 0.011 a | 0.078 ± 0.002 ab | 0.76 ± 0.010 o | 0.50 a | 0.55 a | ||
| Sorghum | 585.1 c | 0.024 ± 0.008 bc | 0.86 ± 0.003 a–e | 0.058 ± 0.002 c–i | 0.85 ± 0.015 k–o | 0.39 b–g | 0.44 b–g | ||
| Wheat | 541.8 e | 0.062 ± 0.009 bc | 0.84 ± 0.009 b–g | 0.062 ± 0.001 b–f | 0.86 ± 0.023 j–o | 0.42 a–e | 0.49 a–c | ||
| Legume | Berseem | 375.4 i | 0.022 ± 0.007 bc | 0.77 ± 0.005 g–i | 0.090 ± 0.004 a | 0.91 ± 0.029 h–n | 0.45 ab | 0.47 a–e | |
| Jantar | 402.2 h | 0.002 ± 0.002 c | 0.61 ± 0.006 mn | 0.060 ± 0.004 b–h | 1.09 ± 0.023 c–e | 0.23 k–n | 0.27 k–o | ||
| Lucern | 351.6 j | 0.028 ± 0.006 bc | 0.63 ± 0.005 l–n | 0.089 ± 0.007 a | 1.01 ± 0.018 d–h | 0.37 b–h | 0.38 d–j | ||
| Mustard | 433.80 g | 0.015 ± 0.004 bc | 0.74 ± 0.005 h–j | 0.067 ± 0.001 b–d | 0.93 ± 0.010 f–l | 0.34 c–k | 0.38 d–j | ||
| Lahore | Cereal | Barley | 685.8 a | 0.055 ± 0.006 bc | 0.79 ± 0.004 e–i | 0.037 ± 0.001 jk | 0.95 ± 0.010 f–l | 0.27 h–m | 0.33 h–m |
| Maize | 685.0 a | 0.006 ± 0.003 c | 0.79 ± 0.006 e–i | 0.052 ± 0.002 c–k | 0.86 ± 0.013 j–o | 0.29 f–l | 0.35 g–l | ||
| Millet | 640.1 c | 0.010 ± 0.005 c | 0.79 ± 0.004 e–i | 0.052 ± 0.003 c–k | 0.91 ± 0.021 g–n | 0.29 f–l | 0.34 h–m | ||
| Oat | 631.7 d | 0.027 ± 0.005 bc | 0.81 ± 0.005 d–h | 0.048 ± 0.002 d–k | 0.89 ± 0.004 i–n | 0.31 e–l | 0.36 f–k | ||
| Sorghum | 671.7 b | 0.017 ± 0.007 bc | 0.79 ± 0.009 e–i | 0.043 ± 0.004 e–k | 0.89 ± 0.014 i–n | 0.26 h–n | 0.29 i–n | ||
| Wheat | 573.9 e | 0.080 ± 0.002 a–c | 0.81 ± 0.002 d–h | 0.061 ± 0.004 b–g | 0.94 ± 0.014 f–l | 0.44 a–d | 0.48 a–d | ||
| Legume | Berseem | 458.1 h | 0.024 ± 0.004 bc | 0.73 ± 0.005 i–k | 0.063 ± 0.002 b–e | 0.92 ± 0.026 g–m | 0.35 b–i | 0.38 e–j | |
| Jantar | 540.1 g | 0.007 ± 0.006 c | 0.69 ± 0.007 j–l | 0.058 ± 0.003 c–i | 0.94 ± 0.025 f–l | 0.28 g–m | 0.33 h–m | ||
| Lucern | 429.9 i | 0.048 ± 0.006 bc | 0.66 ± 0.007 k–m | 0.066 ± 0.003 b–d | 1.02 ± 0.025 d–g | 0.35 b–j | 0.38 d–j | ||
| Mustard | 552.6 f | 0.091 ± 0.005 ab | 0.44 ± 0.009 p | 0.041 ± 0.004 h–k | 1.44 ± 0.017 a | 0.22 l–n | 0.26 l–o | ||
| Rawalpindi | Cereal | Barley | 592.1 b | 0.070 ± 0.002 a–c | 0.81 ± 0.005 d–h | 0.039 ± 0.002 i–k | 0.96 ± 0.020 f–j | 0.30 f–l | 0.36 f–k |
| Maize | 610.0 a | 0.022 ± 0.001 bc | 0.88 ± 0.006 a–d | 0.054 ± 0.003 c–j | 0.85 ± 0.013 l–o | 0.35 b–j | 0.41 b–h | ||
| Millet | 610.2 a | 0.016 ± 0.006 bc | 0.75 ± 0.003 h–j | 0.042 ± 0.002 g–k | 0.94 ± 0.012 f–l | 0.24 k–n | 0.31 h–m | ||
| Oat | 593.8 b | 0.028 ± 0.003 bc | 0.89 ± 0.004 a–c | 0.044 ± 0.002 e–k | 0.82 ± 0.005 m–o | 0.33 d–l | 0.39 c–i | ||
| Sorghum | 560.1 c | 0.017 ± 0.004 bc | 0.73 ± 0.005 i–k | 0.043 ± 0.002 f–k | 0.96 ± 0.025 f–k | 0.24 i–n | 0.29 j–o | ||
| Wheat | 481.3 e | 0.148 ± 0.005 a | 0.85 ± 0.012 b–f | 0.045 ± 0.004 e–k | 0.99 ± 0.018 e–i | 0.45 a–c | 0.49 ab | ||
| Legume | Berseem | 405.0 g | 0.001 ± 0.002 c | 0.56 ± 0.008 no | 0.068 ± 0.006 bc | 1.11 ± 0.010 cd | 0.24 j–n | 0.27 k–o | |
| Jantar | 464.4 f | 0.008 ± 0.006 c | 0.59 ± 0.016 m–o | 0.043 ± 0.002 f–k | 1.03 ± 0.036 d–f | 0.18 mn | 0.24 m–o | ||
| Lucern | 350.1 h | 0.005 ± 0.002 c | 0.45 ± 0.002 p | 0.048 ± 0.004 d–k | 1.18 ± 0.017 bc | 0.16 n | 0.19 o | ||
| Mustard | 506.1 d | 0.039 ± 0.004 bc | 0.53 ± 0.004 o | 0.033 ± 0.002 k | 1.23 ± 0.013 b | 0.16 n | 0.20 no | ||
| SEM | 1.55 | 0.015 | 0.014 | 0.004 | 0.021 | 0.020 | 0.018 | ||
| Bahawalpur | Cereals | 559.3 a | 0.11 ± 0.006 a | 0.75 ± 0.007 a | 0.061 ± 0.002 b | 0.82 ± 0.017 b | 0.37 a | 0.43 a | |
| Legumes | 390.8 b | 0.01 ± 0.007 b | 0.66 ± 0.007 b | 0.079 ± 0.002 a | 0.97 ± 0.019 a | 0.35 b | 0.38 b | ||
| Lahore | Cereals | 598.0 a | 0.06 ± 0.007 a | 0.71 ± 0.008 a | 0.049 ± 0.003 b | 0.91 ± 0.020 b | 0.31 a | 0.36 a | |
| Legumes | 495.2 b | 0.01 ± 0.009 b | 0.63 ± 0.010 b | 0.057 ± 0.003 a | 1.08 ± 0.025 a | 0.30 ab | 0.34 ab | ||
| Rawalpindi | Cereals | 574.6 a | 0.07 ± 0.007 a | 0.73 ± 0.008 a | 0.045 ± 0.003 ab | 0.92 ± 0.020 b | 0.32 a | 0.38 a | |
| Legumes | 442.7 b | 0.03 ± 0.009 b | 0.59 ± 0.010 b | 0.048 ± 0.003 a | 1.14 ± 0.025 a | 0.18 b | 0.23 b | ||
| SEM | 1.54 | 0.006 | 0.006 | 0.002 | 0.010 | 0.009 | 0.008 | ||
| In Situ Parameters 1 | |||||||
|---|---|---|---|---|---|---|---|
| Location | Family | Species | aDM | bDM | KdDM | LDM | NDFD168DM 2 |
| Bahawalpur | Cereal | Barley | 0.44 ± 0.008 k–n | 0.95 ± 0.004 a | 0.060 ± 0.002 c–h | 2.18 ± 0.185 b–f | 0.73 c |
| Maize | 0.41 ± 0.005 m–p | 0.90 ± 0.007 b–d | 0.048 ± 0.007 d–j | 3.25 ± 0.546 a–c | 0.67 e–h | ||
| Millet | 0.38 ± 0.009 p–r | 0.86 ± 0.017 b–e | 0.043 ± 0.002 f–j | 3.92 ± 0.341 ab | 0.63 j–l | ||
| Oat | 0.56 ± 0.010 c–e | 0.97 ± 0.004 a | 0.077 ± 0.004 a–c | −1.23 ± 0.605 gh | 0.78 b | ||
| Sorghum | 0.43 ± 0.007 k–n | 0.92 ± 0.00 a–c | 0.058 ± 0.001 c–i | 1.96 ± 0.250 b–f | 0.70 cd | ||
| Wheat | 0.49 ± 0.009 h–j | 0.92 ± 0.008 b–d | 0.062 ± 0.004 c–g | 0.10 ± 0.625 fg | 0.71 cd | ||
| Legume | Berseem | 0.64 ± 0.005 ab | 0.91 ± 0.002 no | 0.091 ± 0.003 a | −4.56 ± 0.170 ijk | 0.82 a | |
| Jantar | 0.59 ± 0.006 bc | 0.84 ± 0.003 jk | 0.060 ± 0.001 c–h | −7.49 ± 0.203 l | 0.67 e–g | ||
| Lucern | 0.66 ± 0.004 a | 0.87 ± 0.006 o | 0.089 ± 0.001 ab | −6.61 ± 0.140 kl | 0.78 b | ||
| Mustard | 0.57 ± 0.010 c–e | 0.89 ± 0.007 g–i | 0.067 ± 0.002 c–e | −3.51 ± 0.233 h–j | 0.70 cd | ||
| Lahore | Cereal | Barley | 0.35 ± 0.008 q–s | 0.86 ± 0.005 c–e | 0.037 ± 0.001 j | 5.64 ± 0.403 a | 0.60 l |
| Maize | 0.32 ± 0.009 s | 0.86 ± 0.005 d–g | 0.052 ± 0.003 d–j | 5.38 ± 0.306 a | 0.64 i–k | ||
| Millet | 0.37 ± 0.009 p–r | 0.88 ± 0.005 b–e | 0.047 ± 0.002 e–j | 3.59 ± 0.357 a–c | 0.64 h–k | ||
| Oat | 0.39 ± 0.006 o–q | 0.88 ± 0.002 b–e | 0.048 ± 0.004 e–j | 3.65 ± 0.308 a–c | 0.65 g–j | ||
| Sorghum | 0.34 ± 0.011 rs | 0.86 ± 0.008 d–g | 0.043 ± 0.007 f–j | 5.44 ± 0.220 a | 0.61 kl | ||
| Wheat | 0.47 ± 0.011 h–k | 0.89 ± 0.007 d–f | 0.061 ± 0.002 c–h | 0.50 ± 0.426 e–g | 0.69 d–f | ||
| Legume | Berseem | 0.55 ± 0.004 d–f | 0.88 ± 0.008 f–i | 0.063 ± 0.002 c–f | −2.62 ± 0.180 hi | 0.69 d–f | |
| Jantar | 0.46 ± 0.002 i–l | 0.83 ± 0.001 i | 0.058 ± 0.004 c–i | −0.01 ± 0.189 fg | 0.65 g–j | ||
| Lucern | 0.59 ± 0.003 b–d | 0.86 ± 0.008 ij | 0.066 ± 0.004 c–e | −4.99 ± 0.543 i-k | 0.67 d–f | ||
| Mustard | 0.49 ± 0.006 g–i | 0.69 ± 0.016 mn | 0.041 ± 0.004 h–j | −7.97 ± 0.174 l | 0.54 m | ||
| Rawalpindi | Cereal | Barley | 0.45 ± 0.009 j–m | 0.89 ± 0.002 d–g | 0.039 ± 0.002 ij | 1.49 ± 0.473 c–f | 0.64 i–k |
| Maize | 0.40 ± 0.006 n–p | 0.92 ± 0.005 ab | 0.054 ± 0.004 d–j | 2.85 ± 0.463 b–e | 0.69 d–f | ||
| Millet | 0.40 ± 0.005 n–p | 0.85 ± 0.004 e–h | 0.042 ± 0.003 g–j | 2.93 ± 0.200 b–d | 0.62 j–l | ||
| Oat | 0.42 ± 0.005 l–o | 0.94 ± 0.002 a | 0.044 ± 0.006 f–j | 3.38 ± 0.434 a–c | 0.69 d–f | ||
| Sorghum | 0.45 ± 0.002 j–m | 0.85 ± 0.006 hi | 0.043 ± 0.002 f–j | 0.65 ± 0.049 d–g | 0.62 j–l | ||
| Wheat | 0.59 ± 0.010 cd | 0.93 ± 0.007 b–e | 0.045 ± 0.002 f–j | −4.16 ± 0.597 ij | 0.69 de | ||
| Legume | Berseem | 0.59 ± 0.004 b–d | 0.82 ± 0.006 k | 0.068 ± 0.002 b–d | −6.85 ± 0.192 kl | 0.66 f–i | |
| Jantar | 0.54 ± 0.006 e–g | 0.81 ± 0.004 jk | 0.043 ± 0.004 f–j | −5.10 ± 0.609 jk | 0.62 j–l | ||
| Lucern | 0.46 ± 0.003 i–l | 0.69 ± 0.006 lm | 0.048 ± 0.002 d–j | −2.62 ± 0.638 hi | 0.55 m | ||
| Mustard | 0.51 ± 0.009 f–h | 0.76 ± 0.009 l | 0.033 ± 0.002 j | −7.76 ± 0.389 l | 0.57 m | ||
| SEM | 0.008 | 0.005 | 0.004 | 0.431 | 0.006 | ||
| Bahawalpur | Cereals | 0.45 b | 0.45 a | 0.058 b | 1.697 b | 0.70 a | |
| Legumes | 0.62 a | 0.30 b | 0.077 a | −5.544 a | 0.74 b | ||
| Lahore | Cereals | 0.37 b | 0.42 a | 0.048 b | 4.033 b | 0.64 | |
| Legumes | 0.53 a | 0.35 b | 0.057 a | −3.9 a | 0.64 | ||
| Rawalpindi | Cereals | 0.45 b | 0.43 a | 0.045 b | 1.191 b | 0.66 a | |
| Legumes | 0.53 a | 0.32 b | 0.048 a | −5.582 a | 0.60 ab | ||
| SEM | 0.534 | 0.00 | 0.0016 | 0.19 | 0.70 | ||
Disclaimer/Publisher’s Note: The statements, opinions and data contained in all publications are solely those of the individual author(s) and contributor(s) and not of MDPI and/or the editor(s). MDPI and/or the editor(s) disclaim responsibility for any injury to people or property resulting from any ideas, methods, instructions or products referred to in the content. |
© 2024 by the authors. Licensee MDPI, Basel, Switzerland. This article is an open access article distributed under the terms and conditions of the Creative Commons Attribution (CC BY) license (https://creativecommons.org/licenses/by/4.0/).
Share and Cite
Tahir, M.N.; Ihsan, M.Z.; Siddiqui, M.H.; Ul Haque, M.N.; Zahra, N.; Chattha, W.S.; Bajwa, A.A. Appraisal of Spatial Distribution and Fibre Degradability of Cereal–Legume Fodders to Enhance the Sustainability of Livestock Feed Supply in Sub-Tropics. Sustainability 2024, 16, 4070. https://doi.org/10.3390/su16104070
Tahir MN, Ihsan MZ, Siddiqui MH, Ul Haque MN, Zahra N, Chattha WS, Bajwa AA. Appraisal of Spatial Distribution and Fibre Degradability of Cereal–Legume Fodders to Enhance the Sustainability of Livestock Feed Supply in Sub-Tropics. Sustainability. 2024; 16(10):4070. https://doi.org/10.3390/su16104070
Chicago/Turabian StyleTahir, Muhammad Naeem, Muhammad Zahid Ihsan, Manzer H. Siddiqui, Muhammad Naveed Ul Haque, Naveed Zahra, Waqas Shafqat Chattha, and Ali Ahsan Bajwa. 2024. "Appraisal of Spatial Distribution and Fibre Degradability of Cereal–Legume Fodders to Enhance the Sustainability of Livestock Feed Supply in Sub-Tropics" Sustainability 16, no. 10: 4070. https://doi.org/10.3390/su16104070
APA StyleTahir, M. N., Ihsan, M. Z., Siddiqui, M. H., Ul Haque, M. N., Zahra, N., Chattha, W. S., & Bajwa, A. A. (2024). Appraisal of Spatial Distribution and Fibre Degradability of Cereal–Legume Fodders to Enhance the Sustainability of Livestock Feed Supply in Sub-Tropics. Sustainability, 16(10), 4070. https://doi.org/10.3390/su16104070

