Next Article in Journal
Tackling Arsenic and Mercury Contamination: Implications for Sustainable Mining and Occupational Health Risks
Previous Article in Journal
The Basic Process of Lighting as Key Factor in the Transition towards More Sustainable Urban Environments
 
 
Font Type:
Arial Georgia Verdana
Font Size:
Aa Aa Aa
Line Spacing:
Column Width:
Background:
Article

Wholesale Price Contract or Mixed Wholesale-Option-Contract? Procurement Strategy for a Contract Farming Supply Chain under Flexible Supply

1
School of Business Administration, Guangdong University of Finance and Economics, Guangzhou 510320, China
2
Research Institute of Innovation Competitiveness of Guangdong, Hongkong and Macao Bay Area, Guangdong University of Finance and Economics, Guangzhou 510320, China
*
Author to whom correspondence should be addressed.
Sustainability 2024, 16(10), 4029; https://doi.org/10.3390/su16104029
Submission received: 1 March 2024 / Revised: 7 May 2024 / Accepted: 9 May 2024 / Published: 11 May 2024

Abstract

Due to the uncertainty of world economic development, market demands are stochastic and the supply quantities of suppliers in the supply chain are always flexible, so a mixed wholesale-option-contract (abbreviated as a mixed contract) is one of the good ways for commodity distributors to cope with flexible supply. For a contract farming supply chain composed of a distributor and two suppliers under random demand and yield, we propose the new mixed contracts with flexible supply for the players to make better procurement and inventory decisions. Therefore, with decentralized decision making with a wholesale price contract and centralized decision making as benchmarks for comparison, the advantages of mixed contracts were demonstrated in this paper. The expected profit function under each transaction mode was proved to be concave and the optimal orders or production quantities were obtained and compared. Theoretical derivation and numerical examples were carried out and the main conclusions are as follows. First, the distributor’s total order quantities are the largest under centralized decision making, then the second largest under mixed contracts, then the least under wholesale price contracts. Second, for the dealer under mixed contracts, within the feasible range, the smaller the option price (or option exercise price) is, the greater the dealer’s profit is. Third, with increasing initial order quantity, the gap between the dealer’s profits under different option prices (or option exercise prices) narrows, and eventually tends to the same point. For both the suppliers as a whole, a mixed contract is better than the wholesale price one. Fourth, when the prices of the option contract change within a reasonable range (they may not be too small or too large), the profits of both the dealer and suppliers under a mixed contract are not only higher than those under the wholesale price contract, but also higher than those under centralized decision making. Finally, policies and suggestions (such as full investigation, explicitly defining the process of contracts, establishing real-time supervision and information sharing mechanisms, and so on) were put forward to improve the accuracy of supply and demand forecasting, better implement mixed contracts under flexible supply, and strengthen reforms about agricultural supply side.

1. Introduction

The Chinese government attaches great importance to rural revitalization, as well as agricultural product production and quality safety. As stated in the No.1 Document which was published by the State Council and the Central Committee of the Communist Party of China at the beginning of 2022, to comprehensively promoting rural revitalization, the development of agricultural socialization services should be accelerated, and entities including agricultural service firms, farmers’ cooperatives, rural collective economic organizations, and others, should be supported to actively carry out business activities such as contract farming, logistical processing, product marketing, and so on. Under the model of contract farming, farmers produce the products completely according to the requirements of enterprises, and the types, quality, and quantity of products are more in line with market demands compared with other business models, which can to some extent solve the contradiction between small production and large markets of agricultural products in China, and help farmers better cope with prices fluctuations and imbalances between supply and demand [1]. Due to government support and market operation, contract-farming has gradually become one of the important forms of cooperation between farmers and enterprises in agricultural industrialization. It plays a positive role in improving their performance and promoting modern agricultural development and rural revitalization [2]. As is known, under the influence of political, military, environmental, and other factors, the development of the world economy is highly uncertain, and agriculture is the same. Under the influence of factors such as economic environment, e-commerce, consumers, technology, and climate, the demands and yields of the products are always stochastic, so the supply chain players have optimal decisions about order (or production) quantity [3,4,5,6]. When the supplier’s supply quantity is uncertain due to random yield, distributors often do not know how to choose transaction contracts to maximize their profits. Therefore, we propose the following research questions and objectives: for the contract Farming supply chain composed of a dealer and suppliers (such as farmers, farmers’ cooperatives, and so on), the dealer orders products and signs a contract with the suppliers according to demand forecasting before the production of agricultural products, when the demand and yield of agricultural products are random and the supply of a supplier is flexible. We establish three models, including a wholesale price contract, centralized decision making, and a mixed wholesale-option-contract. Under different models, we examine the optimal order and production quantity decisions of each organization and compare the differences in their profits, then we analyze the advantages of the mixed wholesale-option-contract and put forward the conditions that should be met to achieve Pareto improvement for each organization under mixed contracts.
Based on the research on the above issues, the theoretical significance of the paper is as follows: in response to the highly uncertain world economy, when the supply of the upstream organization is flexible, it first proposes a mixed wholesale-option-contract for the downstream distributor when the distributor can trade with more than two suppliers, and theoretical derivation and numerical analysis are carried out to examine mixed contracts’ advantages in supply chain coordination and benefit allocation. This work can enrich the theory of supply chain management and contract coordination. The practical values of this paper is as follows: for the contract farming supply chain in China with uncertain supply and demand, optimization measures and policy recommendations are proposed in terms of business collaboration, supply mode, transaction contracts, supplier management and supervision, interest coordination, price decision making and structural reform of agricultural products on the supply side, which can promote high-quality development of China’s agricultural product industry, and meet the specific requirements of rural revitalization and lofty goal of achieving the Chinese path to modernization that proposed by China today.

2. Literature Review

For the contract farming supply chain, Peng and Pang (2020) built a sequential supply chain game model to decide prices of all entities and planting area of the supplier under an agricultural subsidy policy when the yields are subject to uniform distribution [7]. Chen and Yano (2010) proposed a risk compensation contract to achieve supply chain coordination while the weather impact market demands of products [4]. Inderfurth and Clemens (2014) and Ling et al. (2013) successively designed a risk sharing mechanism to improve supply chain performance [8,9]. Dan et al. (2013) designed revenue sharing and risk compensation mechanisms which are related to a weather index and farmers’ risk aversion to coordinate supply chains [10].
The above studies all built game models and designed coordination mechanisms based on wholesale price contracts and obtaining optimal decisions about prices and order or production quantities. Compared to wholesale price contracts, option contracts have significant advantages in responding to demands and price fluctuations, and can provide buyers with opportunities for delayed selection and flexible ordering [11,12,13]. The main research on option contracts with uncertain demand or supply are as follows. For the general product supply chain, Zhao et al. (2013) and Luo and Chen (2017) compared option contracts with wholesale price and purchase discount contracts [11,12]. Wang and Chen (2015) compared joint ordering strategies including option and wholesale price contracts with a single ordering strategy [14]. Zhu and Hu (2014), as well as Zhang and Luo (2016) proposed a supply chain coordination contract based on the combination of options and quantity flexibility [15,16]. Wang et al. (2017) and Hamed et al. (2016) proposed a revenue sharing contract and joint mechanisms of a spot purchase and out of stock penalties based on call option contracts [17,18]. Cao and Chen (2023) introduced the combined call and put options for the two-level supply chain system to achieve supply chain coordination [19]. Zhang (2023) constructed an ordering and dual reserve decision model based on option contracts and studies the conditions satisfied by option contracts to achieve supply chain coordination [20]. Peng et al. (2022) investigated the production and procurement plans in a two-echelon supply chain, the study show that a pure option contract only can coordinate supply chain with perfect market signal and a novel option contract with buyback mechanism can achieve supply chain coordination with imperfect market signal [21]. For the green product supply chain, Mohamad et al. (2021) compared a call option contract and a revenue-sharing contract for a two-echelon supply chain network containing one retailer and two suppliers (a non-green supplier and a green supplier). The results show that both proposed contracts create a win–win situation for each member and heighten the profitability of the entire SC [22]. Mohamad and Jafar (2022) developed and compared a penalty-based contract and a modified call option contract mixed with a cost-sharing mechanism and discovered that the proposed reservation-based contract outperforms the penalty-based contract for both parties’ profitability and retailing channel’s improvement [23]. For the relief supply chain, Li et al. (2023), Meng et al. (2023), and Patra and Jha (2022) designed bidirectional option contracts (BOC) to coordinate of the relief supply chain, analyze the optimal reserve decisions of the purchaser and compare the results of BOC with the benchmark wholesale price contract to show the superiority of BOC [24,25,26]. Ghavamifar et al. (2022) proposed a novel hybrid relief procurement contract with an option contract and quantity flexibility to coordinate the relief supply chain and revealed that the proposed contract can significantly improve the procurement process by reducing the shortage and overstocking risks in humanitarian organizations [27].
Regarding contract farming or agricultural product supply chains, Cao and Shi (2016) constructed a profit maximization model based on option contracts when the natural factors influencing the growing of the crops [28]. Under the influence of adverse weather in a contract farming supply chain, Fu and Dan (2015) designed a mechanism of “weather (call) option + risk compensation + franchise fee” to ensure the income of the company and farmers [29]. When the information of freshness or cost is symmetrical or asymmetric, Tang et al. (2019) put forward the conditions about option pricing and cost sharing to achieve supply chain coordination [30]. As the supply of fresh agricultural products fluctuates greatly, Yu et al. (2022) introduced CVaR and option contracts to obtain the optimal ordering and production decisions and coordinate the supply chain [31]. Zhao and Cheng (2023) considered the freshness-keeping effort and proposed an option contract to realize the coordination and optimization of a two-echelon supply chain [32].
The above studies, which research the wholesale price contract or option contracts, are all based on fix supply, which means that the supply quantity of the manufacturer (or supplier) must be equal to the order quantity of the buyer. In fact, when the dealer orders goods from the supplier, the supplier often fail to supply on time, with quality and quantity problems as a result of uncontrollable factors, so the supplier can provide part of or more than the order quantity to the dealer when the delivery time is coming, this is means ‘flexible supply’ [33,34]. Some research studies supply chain decision making and coordination mechanisms based on the mode of flexible supply. He and Zhang (2017) proposed a flexible procurement mode for the manufacturer, to then derive the optimal ordering decisions and coordination conditions for single-source and dual-source ordering [35]. Hu et al. (2013) and Pal et al. (2018) studied a procurement model in which the manufacturer can flexibly change the order quantities within a certain range. They successively put forward a revenue sharing coordination mechanism that includes order penalties and price discount, as well as a revenue sharing contract based on supply shortage penalties and cost sharing [33,36]. Tang and Kouvelis (2011) found that flexible procurement can alleviate the problems of channel efficiency caused by randomness of suppliers’ outputs [37]. Jaksic and Franso (2018) found that flexible procurement can reduce overall expected costs [38]. Wang et al. (2024) constructed a two-stage credit financing model for supply chains based on bidirectional option flexible contracts and the results show that an increase in the bidirectional option price and the exercise price of call options will lead to a decrease in the order quantity of the retailers, while the impact of the exercise price of put options on the order quantity is opposite [39]. The above research explores the advantages of flexible procurement (or flexible supply), but it is not always advantageous. Demirel et al. (2018) designed a strategy for manufacturers to flexibly purchase from multiple suppliers (including fixed unreliable suppliers and alternative reliable suppliers), and found that, when an alternative supplier exists, the manufacturer’s profits may be worse and the supply chain members’ performance may decline [40].
The above research indicates that the mode of fixed supply is partly bad for distributors and suppliers because both of them have losses of mismatch between demand and supply, while the mode of flexible supply can avoid farmers’ out-of-stock losses and reduce the risk of excessive expected demands. This mode has important practical significance under the current complex economic situation. On the one hand, it reduces the risk of residual inventory of the buyers, and on the other hand, it is beneficial for the suppliers to alleviate production pressure, so they can focus on product quality rather than the quantity from the order. This paper establishes optimization models of decentralized decision making and centralized decision making for a contract farming supply chain, and proposes a coordination mechanism of a mixed wholesale-option-contract (abbreviated as mixed contracts, the same below) based on flexible supply. It assumes that the buyer signs a wholesale price contract with the preferred supplier and an option contract with the alternative supplier, and the buyer has two ordering opportunities. If the preferred supplier is in short supply, the option will be executed, and the risk of insufficient or excessive inventory for the buyer is reduced as the alternative supplier meets his ordering needs; for the two suppliers, compared to wholesale price contracts, they have two sources of revenue and their profits may increase. Compared to the above studies, this paper has the following innovations. Firstly, a comprehensive coordination mechanism with mixed contracts under the mode of flexible supply is first proposed for both the buyer and suppliers. Secondly, it compares and analyzes the differences between decentralized decision-making and centralized decision-making models under flexible supply with wholesale price contracts, and firstly uses mixed contracts to achieve Pareto improvement of every member in the supply chain. It found that if the option price and the option exercise price are reasonably determined, the profits of all the players are not only higher than that under decentralized decision making, but also may be higher than that under centralized decision making.
The other parts of the paper are as follows. Section 3 contains the assumptions and parameters for the research. Section 4 contains the comparison between decentralized and centralized decision making under the mode of flexible supply with a wholesale price contract. Section 5 is the coordination mechanism of the supply chain based on mixed contracts under flexible supply. Section 6 is an example analysis. Finally, we put forward suggestions and conclusions in Section 7.

3. Assumptions and Parameters

3.1. Model Assumptions

Firstly, for a contract farming supply chain consisting of a distributor and two suppliers (which can also be named as farmers), the distributor can sign two types of contracts with suppliers based on demand forecasting to determine the order quantity before the production of agricultural products. The first type is the wholesale price contract, in which only a supplier supplies products to the distributor. I other type is a mixed contract, in which two suppliers produce products (see Figure 1).
Second, referencing some studies in the literature [6,11,34], the demand and the yield of agricultural products are random. Under the wholesale price contract, with decentralized decision making, the supplier’s supply quantity is flexible, which means the quantity can vary between the dealer’s order quantity and the actual outputs. Then, the dealer and supplier, respectively, determine order or production quantity. Under centralized decision making, the members make decisions as a whole. Under mixed contracts, the dealer signs a wholesale price contract with the preferred supplier and the supply quantity is flexible. At the same time, the dealer signs an option contract with the alternative supplier to reduce the risk of supply and demand mismatch. If the preferred supplier under-supplies, the alternative supplier can supply finished goods in time with good quality, and the quantity is not more than the option order quantity.
Thirdly, the risk of each member is neutral and completely rational, the information related to the decisions is symmetrical, the dealer is the leader while the suppliers are subordinate. Under flexible supply, as the agricultural product is perishable, the buyer may have mismatch costs between supply and demand, while the suppliers do not have shortage costs of outputs. Generally speaking, the normal loss cost and non-conforming product values during the period of growing process are ignored, and there is no damage during the transportation of goods.
Finally, the problems that we study are as follows. Regarding a contract farming supply chain composed of a distributor and two suppliers, based on the mode of flexible supply, optimization models are constructed to compare and analyze the differences in order quantity, production quantity, and expected profits among the members under a wholesale price contract, centralized decision making, and mixed contracts. The advantages of mixed contracts in achieving Pareto improvement of the members of the supply chain are proposed, the impacts of option price and exercise price on the transaction modes are analyzed, and recommendations for the collaborative management mechanism of the contract farming supply chain are put forward.

3.2. Parameters

The parameters are introduced as followed so as to build the models.
We first set prices and demand parameters of the agricultural product: p is the retail price, ω is the wholesale price, o is the option price, and e is the option exercise price. D indicates the demand and it follows a random distribution, g ( x ) and G ( x ) represent the probability density function and cumulative distribution function of D in turn, and D ¯ is the expected value of D.
Then, we set parameters about the dealer: under the wholesale price contract, Q 0 indicates the initial order quantity, and under mixed contracts, Q 0 and Q 1 , respectively, indicate the initial order quantity and option order quantity. v r is the unit residual value if the dealer has surplus goods after the selling season, and c u is the unit cost of opportunity losses when the inventory quantity is less than the demand. It is easy to infer that c u = p ω .
The parameters about the suppliers are as follows: λ is the qualified rate (i.e., the ratio of the final qualified outputs quantity to the planned production quantity), f ( λ ) and F ( λ ) represent the probability density function and cumulative distribution function of λ in turn, and λ ¯ indicates the expected value of λ . Under a wholesale price contract, if I represents the production quantity of the preferred supplier, then the final output quantity is λ I . Based on the mode of flexible supply, X is used to indicate the supply quantity from the supplier to the distributor. We know that the expression for X is as follows:
X = λ I , 0 λ Q 0 I Q 0 , Q 0 I < λ 1
Under mixed contracts, we set that the planned production quantity of the preferred supplier is I 1 , and the planned production quantity of the alternative supplier is I 2 . To facilitate the comparison of two types of contracts, the following parameters are assigned the same values under different contracts: c m 0 represents the suppliers’ unit production cost (including purchasing cost), and v m indicates the unit residual value. Under the wholesale price contract, suppliers do not suffer from losses of insufficient supply. Under mixed contracts, for the alternative supplier, if the supply is less than the quantity required by the distributor when the option is executed, the distributor will make up for it by urgently ordering from the supplier’s peers, with b m representing the unit emergency procurement cost.
The profit functions are as follows. π j i represents the profit function of every member in the supply chain, subscript j = r , m , m 1 , or m 2 (representing the distributor, supplier, preferred or alternative suppliers by turn), superscript i = w , c , or o , where w represents the wholesale price contract, c represents centralized decision making, and o indicates mixed contracts. E [ π j i ] represents the expected value of the corresponding functions. We define the symbols in some equations as below:
( A B ) + = A B , A > B 0 , A B
min ( A , B ) = A , A < B B , A B
G ¯ ( x ) = 1 G ( x )
F ¯ ( λ ) = 1 F ( λ )
Finally, we explain the relationships among some parameters according to this actual situation: all parameters are positive. As the supplier’s excess qualified products are fresher than the distributor, and to make the distributor profitable and avoid unlimited orders or production from the members in the supply chain, we have: p > ω > v m > v r . To ensure positive profits for the supplier and avoid unlimited production, we have: ω λ ¯ > c m 0 > v m λ ¯ . When the supplier’s output is insufficient, his emergency procurement cost will be higher than the wholesale price (otherwise, the distributor will trade with other suppliers), then: b m > ω . Under mixed contracts, in order to prioritize the signing of a wholesale price contract by the distributor and make it profitable to sign an option contract, we have: p > e + o ω . In order to make the option contract valuable, we have: v m e ω (if the option exercise price is too large, the dealer will not be willing to buy the option, and if it is too small, the alternative supplier would rather store the goods as the surplus inventory than sell the option). Due to 0 λ 1 , then: Q 0 I . (Note: the above parameters related to price or cost all indicate the average value of the same batch of agricultural products.)

4. Comparison of Decentralized and Centralized Decision Making under Flexible Supply with a Wholesale Price Contract

4.1. Decentralized Decision Making

Under flexible supply, based on the wholesale price contract, the expected profit function of the distributor is expressed as follows:
E [ π r w ( Q 0 ) ] = E [ p min ( X , D ) ω X + v r ( X D ) + c u ( D X ) + ]
Equation (1) has items which are expected income, order cost, the residual value of the excessive inventory, and the opportunity loss if the inventory is insufficient.
The expected profit function of the supplier is as follows:
E [ π m w ( I ) ] = E [ ω X + v m ( λ I Q 0 ) + c m 0 I ]
Equation (2) calculates the sales income, the residual value of excessive inventory, and the production cost. For the convenience of derivation and calculation, let:
U ( Q 0 , I ) = E [ X ] = I 0 Q 0 I λ f ( λ ) d λ + Q 0 Q 0 I 1 f ( λ ) d λ
R ( Q 0 , I ) = E [ ( X D ) + ] = 0 Q 0 I d λ 0 λ I ( λ I x ) f ( λ ) g ( x ) d x + 0 Q 0 d x Q 0 I 1 ( Q 0 x ) f ( λ ) g ( x ) d λ
M ( Q 0 , I ) = E [ ( λ I Q 0 ) + ] = Q 0 I 1 ( λ I Q 0 ) f ( λ ) d λ
We have:
E [ min ( X , D ) ] = E ( X ) E [ ( X D ) + ] = U ( Q 0 , I ) R ( Q 0 , I )
E [ ( D X ) + ] = E ( D ) E [ min ( X , D ) ] = D ¯ U ( Q 0 , I ) + R ( Q 0 , I )
According to the above definition, the expected profit function of the dealer and the supplier is as follows:
E [ π r w ( Q 0 ) ] = ( p + c u ω ) U ( Q 0 , I ) ( p + c u v r ) R ( Q 0 , I ) c u D ¯
E [ π m w ( I ) ] = ω U ( Q 0 , I ) + v m M ( Q 0 , I ) c m 0 I
By referring to the above studies, Proposition 1 is put forward to describe the optimal decisions under decentralized decision making with flexible supply.
Proposition 1.
Under flexible supply with a wholesale price contract, when  Q 0 = Q 0 w ,  E [ π r w ( Q ) ]  reaches a unique maximum, and  Q 0 w  satisfies Equation (5). When  I = I w ,  E [ π m w ( I ) ]  reaches the unique maximum, and  I w  satisfies Equation (6).
G ( Q 0 w ) = p + c u ω p + c u v r
ω 0 Q 0 w I w λ f ( λ ) d λ + v m Q 0 w I w 1 λ f ( λ ) d λ = c m 0
From Proposition 1, it can be seen that, under the mode of flexible supply with a wholesale price contract, when the dealer’s order quantity is low, the main cost is opportunity loss. As it increases, the opportunity loss decreases and the income increases. When the order quantity exceeds a certain range, the income remains unchanged, while the procurement cost increases, then the profit decreases, indicating that the dealer has the optimal order quantity. For the supplier, as his yield is random, there is an optimal ratio between the production and order quantity. Lemma 1 is proposed to analyze the impacts of the parameters on the decision variables of the members.
Lemma 1.
Under the mode of flexible supply with a wholesale price contract, the order quantity of the distributor has a positive correlation with  p ,  c u ,  v r , and  D ¯ , while having a reverse relationship with  ω , and an uncertain relationship with ΔD.
When the initial order quantity of the distributor remains unchanged, the supplier’s production quantity is positively correlated with  ω  and  v m , and negatively correlated with  λ ¯  and  c m 0 .
Proof about Lemma 1 is omitted. According to Equations (5) and (6), the optimal expected profit for each member under flexible supply with a wholesale price contract is below:
E [ π r w * ] = ( p + c u ω ) U ( Q 0 w , I w ) ( p + c u v r ) R ( Q 0 w , I w ) c u D ¯
E [ π m w * ] = ( ω v m ) F ¯ ( Q 0 w I w ) Q 0 w

4.2. Centralized Decision Making

Under centralized decision making with the mode of flexible supply, the expected profit function of the supply chain as a whole is as below:
E [ π c ( Q 0 , I ) ] = E [ p min ( X , D ) + v r ( X D ) + c u ( D X ) + + v m ( λ I Q 0 ) + c m 0 I ]
Equation (9) contains the overall sales revenue, the dealer’s excessive inventory value, the opportunity loss of insufficient inventory, the supplier’s residual value, and production cost.
According to the definitions of U ( Q 0 , I ) , R ( Q 0 , I ) , and M ( Q 0 , I ) , we have:
E [ π c ( Q 0 , I ) ] = ( p + c u ) U ( Q 0 , I ) ( p + c u v r ) R ( Q 0 , I ) c u D ¯ + v m M ( Q 0 , I ) c m 0 I
Under centralized decision making, the whole supply chain simultaneously determines the optimal order quantity for the distributor and the optimal production quantity for the supplier. Proposition 2 is proposed with reference to Proposition 1.
Proposition 2.
Under centralized decision making with flexible supply, when  Q 0 = Q 0 c  and  I = I c ,  E [ π c ]  obtains a unique maximum, and  Q 0 c  and  I c  satisfy Equations (11) and (12).
G ( Q 0 c ) = p + c u v m p + c u v r
( p + c u ) 0 Q 0 c I c λ f ( λ ) d λ ( p + c u v r ) 0 Q 0 c I c λ f ( λ ) G ( λ I c ) d λ + v m Q 0 c I c 1 λ f ( λ ) d λ = c m 0
According to Equations (11) and (12), the overall optimal expected profit of the whole supply chain centralized decision making is:
E [ π c * ] = ( p + c u ) U ( Q 0 c , I c ) ( p + c u v r ) R ( Q 0 c , I c ) c u D ¯ + v m M ( Q 0 c , I c ) c m 0 I c
Let: a 1 = p + c u ω p + c u v r , a 2 = p + c u v m p + c u v r . Lemma 2 is proposed to analyze the difference between centralized and decentralized decision making on order and production quantity of the members.
Lemma 2.
Due to  ω > v m , we have:  Q 0 c > Q 0 w ; If:
0 Q 0 c I c λ f ( λ ) G ( λ I c ) d λ 0 Q 0 c I c λ f ( λ ) d λ > p + c u ω p + c u v r
then:  Q 0 c I c > Q 0 w I w .
Proof. 
Due to ω > v m , then a 2 > a 1 , so: G ( Q 0 c ) > G ( Q 0 w ) , and as G ( Q 0 ) is an increasing function, we have: Q 0 c > Q 0 w . If:
0 Q 0 c I c λ f ( λ ) G ( λ I c ) d λ 0 Q 0 c I c λ f ( λ ) d λ > p + c u ω p + c u v r
then:
( p + c u ) 0 Q 0 c I c λ f ( λ ) d λ ( p + c u v r ) 0 Q 0 c I c λ f ( λ ) G ( λ I ) d λ < ω 0 Q 0 c I c λ f ( λ ) d λ
And according to Equations (6) and (12), we have:
ω 0 Q 0 c I c λ f ( λ ) d λ + v m Q 0 c I c 1 λ f ( λ ) d λ > c m 0 = ω 0 Q 0 w I w λ f ( λ ) d λ + v m Q 0 w I w 1 λ f ( λ ) d λ
Let:
y ( u ) = ω 0 u λ f ( λ ) d λ + v m u 1 λ f ( λ ) d λ
as ω > v m , then:
y ( u ) u = ( ω v m ) u f ( u ) > 0
so y ( u ) is an increasing function of u , then: y ( Q 0 c I c ) > y ( Q 0 w I w ) , and we have: Q 0 c I c > Q 0 w I w . □
Lemma 2 shows that the order quantity of the dealer under centralized decision making is greater than that under decentralized decision making. Under certain conditions, compared with decentralized decision making, the optimal production quantity of the supplier under centralized decision making is closer to the order quantity of the buyer. This means that the purchase and production costs of the supplier are smaller, and it shows that mutual cooperation brings advantages to the supply chain as a whole compared with competition, while there is a problem of profit distribution. Section 5 of the paper puts forward a coordination mechanism with mixed contracts of a wholesale price and option.

5. Mixed Contracts of Wholesale Price and Option under Flexible Supply

5.1. Modeling and Decisions

Under flexible supply, the supplier can be divided into two entities, namely, a preferred supplier and an alternative supplier. The distributor signs a wholesale price contract with the preferred supplier and an option contract with the alternative supplier, so the distributor has two purchasing opportunities, and the risks of over-inventory or under-supply will be greatly reduced, and the two suppliers obtain returns. Under flexible supply with mixed contracts, the models and related decision are as follows.
Under mixed contracts, the expected profit function of the distributor is:
E [ π r o ( Q 0 , Q 1 ) ] = E [ p min ( X + Q 1 , D ) ω X + v r ( X D ) + o Q 1 e min ( Q 1 , ( D X ) + ) c u ( D X Q 1 ) + ]
Equation (14) includes the sales revenue, order cost, residual value, option purchasing cost, option execution cost, and opportunity loss cost of insufficient inventory.
The expected profit function of the preferred supplier is the same as Equation (2), where I1 is the decision variable.
E [ π m 1 o ( I 1 ) ] = ω U ( Q 0 , I 1 ) + v m M ( I 1 ) c m 0 I 1
Let: Q 2 = min ( Q 1 , ( D X ) + ) . Obviously, Q 2 is the expected supply quantity of the alternative supplier, and the profit function of the alternative supplier is (where I2 is the decision variable) as below:
E [ π m 2 o ( I 2 ) ] = E [ ( o Q 1 + e Q 2 b m ( Q 2 λ I 2 ) + + v m ( λ I 2 Q 2 ) + c m 0 I 2 ]
Equation (16) calculates the option sales revenue, option execution revenue, emergency procurement cost of short supply, residual value, and production cost.
Let:
V ( Q 0 , Q 1 , I 1 ) = E [ ( D X Q 1 ) + ]
then:
E [ min ( X + Q 1 , D ) ] = D ¯ V ( Q 0 , Q 1 , I 1 )
as
E [ min ( Q 1 , ( D X ) + ) ] = E [ ( D X ) + ] E [ ( D X Q 1 ) + ]
we have:
E [ min ( Q 1 , ( D X ) + ) ] = D ¯ U ( Q 0 , I 1 ) + R ( Q 0 , I 1 ) V ( Q 0 , Q 1 , I 1 )
Therefore:
E [ π r o ( Q 0 , Q 1 ) ] = ( p e + c u ) V ( Q 0 , Q 1 , I 1 ) ( ω e ) U ( Q 0 , I 1 ) + ( v r e ) R ( Q 0 , I 1 ) + ( p e ) D ¯ o Q 1
Let: m 1 ( Q 2 , I 2 ) = E [ ( Q 2 λ I 2 ) + ] . m 2 ( Q 2 , I 2 ) = E [ ( λ I 2 Q 2 ) + ] , and the expected profit function of the alternative supplier is:
E [ π m 2 o ( I 2 ) ] = o Q 1 + e Q 2 b m m 1 ( Q 2 , I 2 ) + v m m 2 ( Q 2 , I 2 ) c m 0 I 2
Under mixed contracts, the decision-making process of each member is as follows. First, the distributor determines the initial order quantity from the preferred supplier. Next, the preferred supplier determines its production quantity. Then, the distributor determines the option order quantity from the alternative supplier based on demand forecasting and the yield distribution of the preferred supplier. Finally, the alternative supplier determines its production quantity based on the quantity of options execution. Based on the above decision-making process, Proposition 3 is proposed.
Proposition 3.
Under flexible supply with mixed contracts,  E [ π r o ( Q 0 , Q 1 ) ]  and  E [ π m 1 o ( I 1 ) ]  have maximum value, and the decision variable  ( Q 0 o , Q 1 o , I 1 o )  at the maximum point satisfies Equations (19)–(21).
( p + c u e ) G ( Q 0 o + Q 1 o ) + ( e v r ) G ( Q 0 o ) = p + c u ω
F ¯ ( Q 0 o I 1 o ) G ¯ ( Q 0 o + Q 1 o ) + 0 Q 0 o I 1 o G ¯ ( λ I 1 o + Q 1 o ) f ( λ ) d λ = o p + c u e
ω 0 Q 0 o I 1 o λ f ( λ ) d λ + v m Q 0 o I 1 o 1 λ f ( λ ) d λ = c m 0
Proof about Proposition 3 is as below.
Proof. 
According to the definition of V ( Q 0 , Q 1 , I ) , we have:
V ( Q 0 , Q 1 , I 1 ) = 0 Q 0 I 1 λ I 1 + Q 1 ( x λ I 1 Q 1 ) f ( λ ) g ( x ) d λ d x + Q 0 I 1 1 Q 0 + Q 1 ( x Q 0 Q 1 ) f ( λ ) g ( x ) d λ d x
The first and second derivatives of U ( Q 0 , I 1 ) , R ( Q 0 , I 1 ) and V ( Q 0 , Q 1 , I 1 ) with respect to Q 0 and Q 1 , are as below:
E [ π r o ( Q 0 , Q 1 ) ] Q 0 = F ¯ ( Q 0 I 1 ) [ ( p + c u ω ) ( p + c u e ) G ( Q 0 + Q 1 ) ( e v r ) G ( Q 0 ) ]
E [ π r o ( Q 0 , Q 1 ) ] Q 1 = ( p + c u e ) [ 0 Q 0 I 1 G ¯ ( λ I + Q 1 ) f ( λ ) d λ + F ¯ ( Q 0 I 1 ) G ¯ ( Q 0 + Q 1 ) ] o
2 E [ π r o ( Q 0 , Q 1 ) ] ( Q 0 ) 2 = 1 I f ( Q 0 I 1 ) [ ( p + c u ω ) ( p + c u e ) G ( Q 0 + Q 1 ) ( e v r ) G ( Q 0 ) ] + F ¯ ( Q 0 I 1 ) [ ( p + c u e ) g ( Q 0 + Q 1 ) ( e v r ) g ( Q 0 ) ]
2 E [ π r o ( Q 0 , Q 1 ) ] ( Q 1 ) 2 = ( p + c u e ) [ 0 Q 0 I 1 g ( λ I + Q 1 ) f ( λ ) d λ + F ¯ ( Q 0 I 1 ) g ( Q 0 + Q 1 ) ]
2 E [ π r o ( Q 0 , Q 1 ) ] Q 0 Q 1 = ( p + c u e ) F ¯ ( Q 0 I 1 ) g ( Q 0 + Q 1 )
Let Equations (23) and (24) equal zero. Equations (19) and (20) can be obtained. Due to p > e > v r : 2 E [ π r o ( Q 0 , Q 1 ) ] ( Q 0 ) 2 < 0 , 2 E [ π r o ( Q 0 , Q 1 ) ] ( Q 1 ) 2 < 0 . When Equations (26) and (27) are feasible:
2 E [ π r o ( Q 0 , Q 1 ) ] ( Q 0 ) 2 2 E [ π r o ( Q 0 , Q 1 ) ] ( Q 1 ) 2 ( 2 E [ π r o ( Q 0 , Q 1 ) ] Q 0 Q 1 ) 2 = F ¯ ( Q 0 I ) ( e v r ) g ( Q 0 ) 2 E [ π r o ( Q 0 , Q 1 ) ] ( Q 1 ) 2 < 0
Therefore, the Hesse matrix of E [ π r o ( Q 0 , Q 1 ) ] is negative about the extreme point, and E [ π r f o ( Q 0 , Q 1 ) ] reaches the maximum at the extreme point. Equation (21) is the same as Equation (6). The existence of the optimal solution for Proposition 3 is explained as follows. From Proposition 1, it is obvious that 0 < a 1 = p + c u ω p + c u v r < 1 , and 0 G ( Q 0 o ) G ( Q 0 o + Q 1 o ) 1 , and Equation (19) is feasible. The range of values for the left and right expressions of Equation (27) is between 0 and 1, so Equation (20) holds. Equation (21) is the same as Equation (6) and it also holds.□
According to Proposition 3, let the dealer’s option order quantity is Q 2 * , then the optimal production quantity (i.e., I 2 o * ) of the alternative supplier is expressed as follows:
Q 2 * I 1 o * 1 λ f ( λ ) d λ = b m λ ¯ c m b m v m
We can obtain the optimal order quantity of the distributor according to Proposition 3. Regarding Equation (20), let:
H ( Q 0 ) = F ¯ ( Q 0 I 1 ) G ¯ ( Q 0 + Q 1 ) + 0 Q 0 I 1 G ¯ ( λ I 1 + Q 1 ) f ( λ ) d λ
If the value of Q 0 is determined, the value of Q 1 can be determined based on Equation (19), and the value of I can be calculated based on Equation (21), then H ( Q 0 ) can be calculated. Obviously, as Q 0 increases, H ( Q 0 ) continues to increase. According to Equation (19), we know: 0 Q 0 Q 0 w .
If Q 0 = Q 0 w = G 1 [ a 1 ] , then Q 1 = 0 and I 1 = I w , so: H ( Q 0 ) max = H ( Q 0 w ) . If: o + H ( Q 0 w ) e ( p + c u ) H ( Q 0 w ) , we have: H ( Q 0 w ) o p + c u e . At this time, the initial order quantity of the distributor reaches the maximum value, i.e., Q 0 w . The above analysis indicates that if the option price and exercise price are so high that o + H ( Q 0 w ) e ( p + c u ) H ( Q 0 w ) , the distributors will not sign an option contract with the alternative supplier. As a result, mixed contracts are the same as the wholesale price contract. From Proposition 1, it can be inferred that: Q 0 o = Q 0 w = G 1 ( a 1 ) , Q 1 o = 0 .
If o + H ( Q 0 w ) e < ( p + c u ) H ( Q 0 w ) , then: 0 < Q 0 o < Q 0 w , Q 1 o > 0 . Combining Equations (19)–(21) to form a system of ternary multiple equations, we solve it to obtain ( Q 0 o , Q 1 o , I 1 o ) .
According to Equations (19)–(21) and (29), the optimal expected profit functions of the players in the contract farming supply chain under mixed contracts are as below:
E [ π r o * ] = ( p + c u e ) V ( Q 0 o , Q 1 o , I 1 o ) ( ω e ) U ( Q 0 o , I 1 o ) + ( v r e ) R ( Q 0 o , I 1 o ) + ( p e ) D ¯ o Q 1 o
E [ π m 1 o * ] = ( ω v m ) F ¯ ( Q 0 o * I 1 o * ) Q 0 o *
E [ π m 2 o * ] = o Q 1 o + [ e v m ( b m v m ) F ( Q 2 * I 2 o * ) ] Q 2 *

5.2. The Impact of Option Price and Option Exercise Price on the Coordination of the Contract Farming Supply Chain

Lemma 3 is proposed to analyze the impact of o and e on the order quantity of the dealer under mixed contracts.
Lemma 3.
Under mixed contracts,  Q 0 o  is positively correlated with  e  and  o ;  ( Q 0 o + Q 1 o )  and  Q 1 o  are negatively correlated with  e  and o.
Proof of Lemma 3.
According to Equation (20), 0 Q 0 o I 1 o G ¯ ( λ I 1 o + Q 1 o ) f ( λ ) d λ is approximately equal to G ¯ ( Q 0 o + Q 1 o ) F ( Q 0 o I 1 o ) , then: G ( Q 0 o + Q 1 o ) 1 o p + c u e . According to Equation (19), we have: G ( Q 0 o ) e + o ω e v r = 1 ω ( v r + o ) e v r . Since G ( x ) is an increasing function, taking the first derivative of G ( Q 0 o ) and G ( Q 0 o + Q 1 o ) with respect to e or o , Lemma 3 can be proved. □
Lemma 4 is put forward to compare the optimal order quantities of the dealer among decentralized decision making, centralized decision, and mixed contracts.
Lemma 4.
0 Q 0 o Q 0 w Q 0 o + Q 1 o . If  p + c u v m p + c u v r p + c u ω p + c u e , then:  Q 0 c Q 0 o + Q 1 o .
Lemma 4 shows that, under the mode of flexible supply, when the values of parameters remain unchanged, the order quantity of the dealer with a wholesale price contract is greater than the initial order quantity with mixed contracts and less than the total order quantities with mixed contract. Under certain conditions, the total order quantity of the dealer under centralized decision making would exceed the total quantity with mixed contracts. Although mixed contracts find it difficult to match centralized decision making in terms of total order quantity, they can achieve Pareto improvement in the profits of the supply chain players by reasonably determining the option and option exercise prices. That is, the profits of the distributor and suppliers (including preferred and alternative suppliers) with mixed contracts can exceed those under a wholesale price contract, and would not be less than the overall profits of the supply chain under centralized decision making. Based on Equations (7), (13) and (30), in order to simplify the optimal expected profits of the distributor under different situations, let:
U w = U ( Q 0 w , I w ) , R w = R ( Q 0 w , I w ) , U c = U ( Q 0 c , I c ) , R c = R ( Q 0 c , I c ) , M c = M ( Q 0 c , I c ) , V o = V ( Q 0 o , Q 1 o , I 1 o ) , U o = U ( Q 0 o , I 1 o ) , R o = R ( Q 0 o , I 1 o ) .
then Lemma 5 is proposed.
Lemma 5.
o *  and  e *  are the option price and exercise price under mixed contracts. If the combination of  o *  and  e *  simultaneously satisfies Equations (33) and (34), mixed contracts with a wholesale price and option can achieve Pareto improvement of the profits of the contract farming supply chain.
o * Q 1 o + e * ( D ¯ + R o U o V o ) ( p + c u ) D ¯ ( p + c u ω ) U w ω U o + ( p + c u v r ) R w + v r R o ( p + c u ) V o
o * Q 1 o + e * Q 2 * ( ω v m ) [ F ¯ ( Q 0 w I w ) Q 0 w F ¯ ( Q 0 o * I 1 o * ) Q 0 o * ] + [ v m + ( b m v m ) F ( Q 2 * I 2 o * ) ] Q 2 *
According to Equations (7), (8), (13) and (30)–(32), when Equations (33) and (34) hold, we have: E [ π r o * ] E [ π r w * ] , and E [ π m 1 o * ] + E [ π m 2 o * ] E [ π m w * ] .
Lemma 5 indicates that, when the demand of agricultural products is stochastic and the supply of suppliers is flexible, as the option and option exercise prices are reasonably determined by negotiation, mixed contracts will be an ideal choice for the agricultural supply chain, which can benefit both distributor and suppliers. Due to the complexity of the expressions for the optimal expected profits of the members under different situations, the range of option and exercise prices can be obtained to achieving Pareto improvement of the players by numerical calculations. Numerical analysis will be introduced in Section 6.

6. Numerical Analysis

A distributor in the Guangdong Province of China orders a batch of local chickens (which can be supplied to catering enterprises or restaurants) from suppliers (or farmers) based on demand forecasting before the sales season. The suppliers have sufficient capacity and the breeding time of local chickens is fixed. As the yield of the preferred supplier is uncertain in the process of breeding, their supply of local chickens is flexible. There are two types of contracts, which are a wholesale price contract and mixed contracts available for transactions between the distributor and suppliers. The parameters are assigned as follows (the unit of quantity is ‘piece’, and the unit of price or cost is CNY).  D U ( 8000 , 12000 ) , p = 240 , λ U ( 0.75 , 0.95 ) , ω = 180 , c u = 60 , v r = 120 , c m 0 = 135 , b m = 200 , v m = 135 , o = 40 , and e = 160 . Based on Propositions 1–3, Table 1 is as below by MATLAB R2014a calculation.
From Table 1, it can be seen that, under the mode of flexible supply, as the preferred and alternative suppliers with mixed contracts belonging to the same entity, compared to the wholesale price contract, the profits of both the distributor and supplier under mixed contract increase, and the sum of their profits is higher than that under centralized decision. The above results illustrate that mixed contracts are better than the wholesale price contract under flexible supply from a profit perspective.
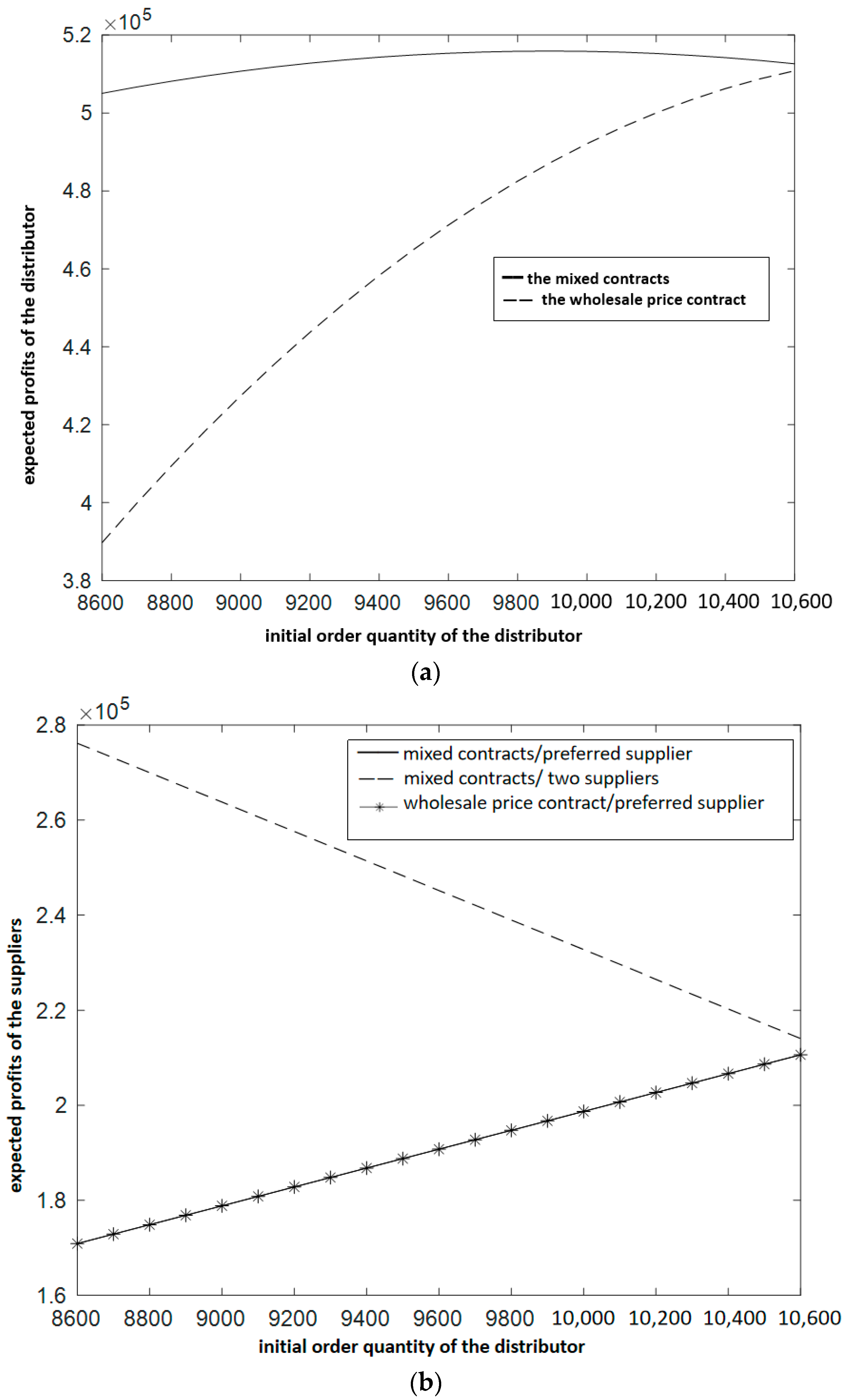
Proposition 3 shows that, under flexible supply with mixed contracts, the initial order quantity of the distributor determines not only his option order quantity, but also the production quantity of the suppliers and the profits of all the supply chain members. In order to analyze the difference between mixed contracts and the wholesale price contract, considering that the initial order quantity of the dealer ranges from 8600 to 10,600 (if it is too small, the residual value may be negative, and if it is too large, it may lead to a negative option order quantity), we can obtain the relations between the optimal expected profits of the supply chain members and initial order quantity of the dealer under different contracts, as shown in Figure 2.
From Figure 2a, it can be seen that, as the initial order quantity increases, the expected profit of the distributor continues to increase under the wholesale price contract, while it first increases and then decreases under mixed contracts. Although the profit of the distributor with mixed contracts is higher than that with the wholesale price contract, the gap between them becomes smaller and smaller. Figure 2b shows that, as the initial order quantity of the distributor increases, the expected profits of the suppliers under mixed contracts decreases sharply. However, they are higher than that with the wholesale price contract. Therefore, under mixed contracts, the suppliers can require the distributor to reduce the initial order quantity as much as possible and increase the option order quantity to add their profits.
When the initial order quantity of the dealer ranges from 8600 to 10,600, the impacts of the wholesale price and mixed contracts on profits of the whole supply chain are analyzed as shown in Figure 2.
Figure 3 shows that, as the initial order quantity of the distributor increases, the overall expected profit of the supply chain continues to decrease under mixed contracts, and increases under centralized decision making and the wholesale price contract. The gap among them becomes smaller and smaller, and ultimately converges to a point. According to Figure 2 and Figure 3, when the demand and yield are uncertain under flexible supply, if there are two or more trading opportunities between the supply chain players, within a feasible range, the smaller the initial order quantity of the dealer, the more advantageous it is for all parties. This is because when the demand and outputs are clear, the second or third transaction can reduce the risk of supply and demand mismatch among all parties.
For this example, when o = 40 and e = 160 , the optimal expected profits of the distributor and suppliers under mixed contracts are higher than those under the wholesale price contract. Figure 4, Figure 5 and Figure 6 are displayed to analyze the changing patterns of profits for each member under the constant changes of o and e . (Note: each figure has a straight line parallel to the horizontal axis, representing the optimal expected profit of a player under the wholesale price contract.)
Figure 4a indicates the relationship between the optimal expected profit of the dealer and its initial order quantity when e = 160 and o varies equally between 30 and 60. From Figure 4a, it can be seen that, as the initial order quantity increases, the profit of the dealer first increases and then decreases when o is between 30 and 40. When o is between 40 and 60, it continues to rise. As the initial order quantity increases, the gaps between the profits of the dealer under the four different option prices become smaller and smaller, and finally they converge to a point. When o = 30 , as the initial order quantity takes any value, the expected profit of the distributor is higher than that with the wholesale price contract; when o = 40 , the initial order quantity takes some values (i.e., 9200 Q 0 10600 ), and it is higher than that with the wholesale price contract; when o = 50 or o = 60 , it is less than that with the wholesale price contract. The smaller the option price, the smaller the initial order quantity that enables the dealer to achieve the optimal expected profit, and the larger the option order quantity, which verifies Lemma 3.
Figure 4b shows the relationship between the optimal expected profit of suppliers and the initial order quantity of the distributor when e = 160 and o varies equally between 30 and 60. From Figure 4b, we know that, for any order quantity, the higher the option price, the greater the profits of the two suppliers, while the profit of the suppliers is the least under the wholesale price contract. As the initial order quantity increases, the profits of suppliers continue to decline and eventually converge to a single point.
Figure 4 indicates that, under mixed contracts, within a reasonable range, the lower the option price, the more advantageous it is for the dealer and two suppliers; when the initial order quantity is moderate, it is most advantageous for the dealer; the smaller the initial order quantity, the more advantageous it is for the suppliers.
Under mixed contracts, taking o = 40 and e = 160 as an example, Figure 5 shows analysis of the impacts of the initial order quantity of the dealer on the sum of profits for the supply chain members. It is shown that, no matter what value the initial order quantity takes, the sum of profits for the members is higher than that under the wholesale price contract; within the range [8600, 10,200], it is higher than that under centralized decision making.
Under mixed contracts, let o = 40 , and when e changes equally between 150 and 180, Figure 6, drawn by MATLAB calculation, shows the results. Obviously, Figure 6a is similar to Figure 4a. Within feasible ranges, the smaller the option exercise price, the smaller the initial order quantity that enables the dealer to achieve the optimal expected profit. When e 170 , as the initial order quantity is in a certain range, the dealer’s profit is higher than that under the wholesale price contract. The smaller the option exercise price, the more advantageous it is for the dealer. No matter how the option exercise price changes, it ultimately converges to a point where mixed contracts are becoming like the wholesale price contract and the initial order quantity reaches a certain value.
Figure 6b is similar to Figure 4b, where the higher the option exercise price, the greater the initial order quantity, the more advantageous it is for the suppliers.

7. Conclusions

For a contract farming supply chain consisting of a distributor and two suppliers with random demand and yield, this paper puts forward a new transaction mode with mixed contracts under flexible supply. The mode is as follows. Under a wholesale price contract, when the preferred supplier may only supply part of the initial order quantity required by the distributor, the distributor will sign an option contract with the alternative supplier and the distributor has a second-order opportunity to reduce the mismatch costs between the demand and the inventory of the goods. Based on flexible supply, using the wholesale price contract as a benchmark, this paper compares and analyzes the differences in decision making of order quantities and expected profits of the supply chain players among three trading modes, which are decentralized decision making, centralized decision making, and mixed contracts. The conclusions are as follows by theoretical derivation and numerical analysis.
First, we demonstrated that the expected profit functions of the supply chain members under three trading modes are all concave and obtained the optimal order and production quantities. Then, we proved that the order quantity of the dealer is the largest under centralized decision making, followed by mixed contracts, and the smallest under wholesale price contract; compared to the wholesale price contract, the production quantity of the supplier under centralized decision making is closer to the order quantity of the distributor.
Second, under mixed contracts, within a feasible range, the smaller the option price (or option exercise price), the smaller the initial order quantity for the dealer to achieve optimal profits, and the larger the expected profits; as the initial order quantity increases, the gap between profits of the distributor under three trading modes continues to narrow, and ultimately tends towards the same point.
Third, under certain conditions, compared to the wholesale price contract, mixed contracts are more advantageous for the distributor, suppliers, and the overall supply chain, and the smaller the option price (or option exercise price), the more advantageous they are.
Suggestions are proposed for the transaction and development of the contract farming supply chain under random demand and yield.
Firstly, both dealers and suppliers should fully use historical data, and apply a combination of qualitative and quantitative methods to forecast the trend of the agricultural product industry. As decisions about the order and production quantities of upstream and downstream enterprises are interrelated, they should establish a coordination department to strengthen mutual cooperation and communication.
Secondly, under a wholesale price contract, compared to fixed supply, the mode of flexible supply has the advantages of reducing mismatch costs for the players. Under flexible supply and certain conditions, compared to a wholesale price contract, mixed contracts are more helpful to them.
Thirdly, as a leader of the agricultural supply chain, the distributor should take the following measures to better implement mixed contracts. First, the distributor should fully investigate the price and quality of the agricultural products, and reputation and character of the suppliers. Second, the distributor should explicitly define the process, content, and time of signing the contracts and carry out the contracts to adapt to changes in supply and demand. Third, under flexible supply, the distributor can establish real-time supervision mechanisms to avoid the preferred supplier intentionally concealing the actual outputs, and the distributor can require the alternative supplier to timely fulfil the options. Fourth, information sharing and interest coordination mechanisms should be established to promote long-term and stable cooperation between the players, and the option and option exercise prices should be reasonably determined.
Fourthly, the agricultural product production is related to supply side structural reform and rural revitalization. As quasi-operational resources, agricultural products have both public welfare and commercial characteristics. To promote the sustainable development of the agricultural product industry, on the one hand, enterprises need to participate in market competition based on market rules, minimize production risks, improve quality and circulation efficiency, and strengthen the matching of supply and demand of agricultural products. On the other hand, it is necessary for the government to enforce planning, guidance, supervision, and management of the agricultural product industry, strengthen quality and safety supervision of agricultural products, promote the consumption of green and organic agricultural products, and provide financial subsidies, tax exemptions, and other support to the suppliers.
There are some limitations in this paper. For example, it did not consider price decisions among supply chain members and did not compare mixed contracts with other coordinated contracts. The following questions are worth further investigation based on the above research. First, under the mode of flexible supply, the maximum supply quantity of the supplier can exceed the initial order volume of the distributor. Second, for an agricultural supply chain composed of two distributors and two suppliers, there is price competition among distributors and quality competition among suppliers. Third, if the supply chain members improve the quality and yield rate of products through investment, there is a correlation between demands, quality, and investment costs of the product. Regarding the above problems, we can establish models to obtain optimal decisions and analyze the differences in expected profits under various transaction modes.

Author Contributions

S.H.: methodology, conceptualization, formal analysis, writing—original draft, writing—revising and editing. L.L.: visualization, data curation, supervision, funding acquisition. X.L.: literature review, initial translation of the manuscript. All authors have read and agreed to the published version of the manuscript.

Funding

The research is supported by the Guangdong Office of Philosophy and Social Science (No. GD23XGL010), Guangdong Province, China; the Project of Foshan Social Science Planning (No. 2024-GJ065), Foshan City, China; and the Project of Guangdong Provincial Government: Promoting the Construction of the Guangdong Hong Kong Macao Greater Bay Area and Building a New Open Economic System (Null); and the Innovative Team Project of Guangdong Universities (No. 2019WCXTD008).

Institutional Review Board Statement

The study involves not humans or animals and did not require ethical approval.

Informed Consent Statement

The study did not involve humans.

Data Availability Statement

The data presented in this study are available on request from the corresponding author. The data are not publicly available due to privacy and ethical restrictions..

Conflicts of Interest

The authors declare that they have no conflicts of interest to this work.

References

  1. Ye, F.; Lin, Q.; Li, Y.N. Supply chain coordination for “company + farmer” contract-farming with CVaR criteerion. Syst. Eng.-Theory Pract. 2011, 31, 450–460. (In Chinese) [Google Scholar] [CrossRef]
  2. Niu, B.Z.; Jin, D.L.; Pu, X.J. Coordination of channel members’ efforts and utilities in contract farming operations. Eur. J. Oper. Res. 2016, 255, 869–883. [Google Scholar] [CrossRef]
  3. Halim, K.A.; Giri, B.C.; Chaudhuri, K.S. Fuzzy economic order quantity model for perishable items with stochastic demand, partial backlogging and fuzzy deterioration rate. Int. J. Oper. Res. 2008, 3, 77–96. [Google Scholar] [CrossRef]
  4. Chen, F.Y.; Yano, C.A. Improving supply chain performance and managing risk under weather-related demand uncertainty. Manag. Sci. 2010, 56, 1380–1397. (In Chinese) [Google Scholar] [CrossRef]
  5. Cui, Y.Q.; Liu, B.J.; Liu, C.; Qu, J.J. Optimization Model Analysis of New Order Agricultural Cooperation Model. Chin. J. Manag. Sci. 2020, 28, 140–150. (In Chinese) [Google Scholar] [CrossRef]
  6. Wang, L.L.; WU, Y.; Hu, S.Q. Make-to-order supply chain coordination through option contract with random yields and overconfidence. Int. J. Prod. Econ. 2021, 242, 108299. [Google Scholar] [CrossRef]
  7. Peng, H.J.; Pang, T. Financing and operational strategies for the contract-farming supply chain under agricultural subsidy policy. J. Ind. Eng. /Eng. Manag. 2020, 34, 155–163. (In Chinese) [Google Scholar] [CrossRef]
  8. Inderfurth, K.; Clemens, J. Supply chain coordination by risk sharing contacts under random production yield and deterministic demand. OR Spectr. 2014, 36, 525–556. [Google Scholar] [CrossRef]
  9. Ling, L.Y.; Guo, X.L.; Hu, Z.J.; Liang, L. The Risk- sharing Contracts under Random Yield and Stochastic Demand in Agricultural Supply Chain. Chin. J. Manag. Sci. 2013, 21, 50–57. (In Chinese) [Google Scholar] [CrossRef]
  10. Dan, B.; Fu, H.Y.; Xu, G.Y.; Chen, W. Agri-food supply chain coordination considering the impact of weather and effort level on output and quality. Syst. Eng.-Theory Pract. 2013, 33, 2229–2238. (In Chinese) [Google Scholar]
  11. Zhao, Y.X.; Ma, L.J.; Xie, G.; Cheng, T.C.E. Coordination of supply chains with bidirectional option contracts. Eur. J. Oper. Res. 2013, 229, 375–381. [Google Scholar] [CrossRef]
  12. Luo, J.R.; Chen, X. Risk hedging via option contracts in a random yield supply chain. Ann. Oper. Res. 2017, 257, 112–120. [Google Scholar] [CrossRef]
  13. Shaban, I.A.; Chan, F.T.S.; Chung, S.H.; Qu, T. A mixed wholesale-option-contract to fix the demand imbalance between substitutable air cargo routes: A cooperative game approach. Expert Syst. Appl. 2021, 182, 115380. [Google Scholar] [CrossRef]
  14. Wang, C.; Chen, X. Optimal ordering policy for a price-setting news vendor with option contracts under demand uncertainty. Int. J. Prod. Res. 2015, 53, 6279–6293. [Google Scholar] [CrossRef]
  15. Zhu, H.B.; Hu, W. Decision model of supply chain quantity flexibility contract with option. Control. Decis. 2014, 29, 860–866. (In Chinese) [Google Scholar] [CrossRef]
  16. Zhang, W.J.; Luo, J.W. Supply Chain Option Contract Model with Random Yield and Stochastic Demand. J. Ind. Eng. Eng. Manag. 2016, 30, 121–128. (In Chinese) [Google Scholar] [CrossRef]
  17. Wang, C.; Chen, J.; Chen, X. Pricing and order decisions with option contracts in the presence of customer returns. Int. J. Prod. Econ. 2017, 193, 422–436. [Google Scholar] [CrossRef]
  18. Hamed, V.A.; Masou, R.; Hamed, R. A revenue-sharing option contract toward coordination of supply Chains. Int. J. Prod. Econ. 2016, 178, 42–56. [Google Scholar] [CrossRef]
  19. Cao, Z.H.; Chen, Q. Comparative Study on Option Contracts Considering Risk Aversion Suppliers. J. Liaoning Univ. 2023, 53, 275–289. (In Chinese) [Google Scholar] [CrossRef]
  20. Zhang, Y. Research on Supply Chain Decision Optimization Based on Option Contract under Uncertain Environment. Master’s thesis, Yantai University, Yantai, China, 2023. (In Chinese). [Google Scholar]
  21. Peng, J.; Zhuo, W.; Wang, J. Production and procurement plans via option contract with random yield and demand information updating. Comput. Ind. Eng. 2022, 170, 108338. [Google Scholar] [CrossRef]
  22. Mohamad, D.B.; Alireza, B.; Amir, A.; Fariborz, J. Green supply chain management through call option contract and revenue-sharing contract to cope with demand uncertainty. Clean. Logist. Supply Chain. 2021, 2, 100010. [Google Scholar] [CrossRef]
  23. Mohamad, D.B.; Jafar, H. How a novel option contract helps a green product to enter a traditional product’s retailing channel: A mathematical modeling approach. J. Retail. Consum. Serv. 2022, 69, 103090. [Google Scholar] [CrossRef]
  24. Li, J.; Li, M.; Dong, X.F. Emergency Material Purchase Reserve Model Based on Bidirectional Option Contract. J. Syst. Manag. 2023, 32, 463–476. (In Chinese) [Google Scholar]
  25. Meng, Q.; Kao, Z.; Guo, Y.; Bao, C. An emergency supplies procurement strategy based on a bidirectional option contract. Socio-Econ. Plan. Sci. 2023, 87, 101515. [Google Scholar] [CrossRef]
  26. Patra, T.D.P.; Jha, J.K. Bidirectional option contract for prepositioning of relief supplies under demand uncertainty. Comput. Ind. Eng. 2022, 163, 107861. [Google Scholar] [CrossRef]
  27. Ghavamifar, A.; Torabi, S.A.; Moshtari, M. A hybrid relief procurement contract for humanitarian logistics. Transp. Res. Part E 2022, 167, 102916. [Google Scholar] [CrossRef]
  28. Cao, W.J.; Shi, Y.Y. The Coordination and Optimization of Agricultural Supply Chain Based on the Option Contract and Insurance. Ind. Eng. Manag. 2016, 21, 8–16. (In Chinese) [Google Scholar] [CrossRef]
  29. Fu, H.Y.; Dan, B. Study of contract mechanism for “company + farmer” pattern based on weather option. J. Syst. Eng. 2015, 30, 768–778. (In Chinese) [Google Scholar] [CrossRef]
  30. Tang, Z.Y.; Luo, X.X.; Chen, X.H. Research on Supply Chain Coordination of Fresh Agricultural Products Based on Options under Two Kinds of Information Asymmetry. Forecasting 2019, 38, 76–83. (In Chinese) [Google Scholar]
  31. Yu, Z.Y.; Li, J.T.; Zhou, G.G. Research on Coordination Mechanism of Agricultural Products Supply Chain Based on CVaR and Option Contract. Supply Chain. Manag. 2022, 7, 52–62. (In Chinese) [Google Scholar] [CrossRef]
  32. Zhao, Z.; Cheng, Y. Coordination of Fresh Product Supply Chain with Option Contract Considering Freshness-keeping Effort. Chin. J. Manag. Sci. 2023. (In Chinese) [Google Scholar] [CrossRef]
  33. Pal, B.; Sana, S.S.; Chaudhuri, K. Supply chain coordination with random yield and demand uncertainty. Int. J. Manag. Sci. Eng. Manag. 2018, 13, 33–44. [Google Scholar] [CrossRef]
  34. Hu, S.Q.; Chen, S.; Wang, X.L. Procurement strategy determining and supply chain coordination with random yields. Comput. Integr. Manuf. Syst. 2021, 27, 2156–2170. (In Chinese) [Google Scholar] [CrossRef]
  35. He, B.; Zhang, X. Quantity Flexible Procurement Strategy Under Random Yield. Chin. J. Manag. Sci. 2017, 25, 52–60. (In Chinese) [Google Scholar] [CrossRef]
  36. Hu, F.; Lim, C.C.; Lu, Z. Coordination of supply chains with a flexible ordering policy under yield and demand uncertainty. Int. J. Prod. Econ. 2013, 146, 686–693. [Google Scholar] [CrossRef]
  37. Tang, S.Y.; Kouvelis, P. Supplier diversification on strategies in the presence of yield uncertainty and buyer competition. Manuf. Serv. Oper. Manag. 2011, 13, 439–451. [Google Scholar] [CrossRef]
  38. Jaksic, M.; Fransoo, J.C. Dual sourcing in the age of near-shoring: Trading off stochastic capacity limitations and long lead times. Eur. J. Oper. Res. 2018, 267, 150–161. [Google Scholar] [CrossRef]
  39. Wang, L.; Jin, Y.X.; Xiong, X.Y. Supply chain credit financing decision-making based on bidirectional optionflexible ordering contracts under the background of business tax replaced with value-added tax reform in China. J. Ind. Eng. Eng. Manag. 2024, 35, 66–81. (In Chinese) [Google Scholar] [CrossRef]
  40. Demirel, S.; Kapuscinski, R.; Yu, M. Strategic Behavior of suppliers in the face of production disruptions. Manag. Sci. 2018, 64, 495–521. [Google Scholar] [CrossRef]
Figure 1. Supply chain structure under mixed contracts.
Figure 1. Supply chain structure under mixed contracts.
Sustainability 16 04029 g001
Figure 2. The relationships between the expected profits of members and initial order quantity of the distributor under different contracts. (a) The dealer’s expected profits. (b) The suppliers’ expected profits.
Figure 2. The relationships between the expected profits of members and initial order quantity of the distributor under different contracts. (a) The dealer’s expected profits. (b) The suppliers’ expected profits.
Sustainability 16 04029 g002
Figure 3. The relationship between the overall expected profits of the supply chain and the initial order quantity of distributors under different transaction modes.
Figure 3. The relationship between the overall expected profits of the supply chain and the initial order quantity of distributors under different transaction modes.
Sustainability 16 04029 g003
Figure 4. The relationship between expected profits of the distributor and suppliers and option price under mixed contracts. (a) The relationships between option price, profit, and order quantity of the dealer. (b) The relationships between option price, order quantity of the dealer, and profits of suppliers.
Figure 4. The relationship between expected profits of the distributor and suppliers and option price under mixed contracts. (a) The relationships between option price, profit, and order quantity of the dealer. (b) The relationships between option price, order quantity of the dealer, and profits of suppliers.
Sustainability 16 04029 g004
Figure 5. The relationship between the overall expected profit of the supply chain and the initial order quantity of the distributor under different transaction modes.
Figure 5. The relationship between the overall expected profit of the supply chain and the initial order quantity of the distributor under different transaction modes.
Sustainability 16 04029 g005
Figure 6. The relationship between expected profits of the distributor and suppliers and option exercise price under mixed contracts. (a) The relationships between option exercise price, profit, and order quantity of the dealer. (b) The relationships between option exercise price, order quantity, and profits of suppliers.
Figure 6. The relationship between expected profits of the distributor and suppliers and option exercise price under mixed contracts. (a) The relationships between option exercise price, profit, and order quantity of the dealer. (b) The relationships between option exercise price, order quantity, and profits of suppliers.
Sustainability 16 04029 g006
Table 1. Optimal decisions and expected profits of the members under different transaction modes.
Table 1. Optimal decisions and expected profits of the members under different transaction modes.
Transaction Mode Q 0 * Q 1 * I 1 * I 2 * E [ π r * ] E [ π m 1 * ] E [ π m 2 * ] E [ π m * ] E [ π * ]
Wholesale price contract10,667--12,379511,997----211,964723,961
Centralized decision making11,667--13,245--------739,555
Mixed contracts989099911,478594515,909196,52439,640236,164752,073
Disclaimer/Publisher’s Note: The statements, opinions and data contained in all publications are solely those of the individual author(s) and contributor(s) and not of MDPI and/or the editor(s). MDPI and/or the editor(s) disclaim responsibility for any injury to people or property resulting from any ideas, methods, instructions or products referred to in the content.

Share and Cite

MDPI and ACS Style

Hu, S.; Liu, L.; Liu, X. Wholesale Price Contract or Mixed Wholesale-Option-Contract? Procurement Strategy for a Contract Farming Supply Chain under Flexible Supply. Sustainability 2024, 16, 4029. https://doi.org/10.3390/su16104029

AMA Style

Hu S, Liu L, Liu X. Wholesale Price Contract or Mixed Wholesale-Option-Contract? Procurement Strategy for a Contract Farming Supply Chain under Flexible Supply. Sustainability. 2024; 16(10):4029. https://doi.org/10.3390/su16104029

Chicago/Turabian Style

Hu, Shengqiang, Lou Liu, and Xing Liu. 2024. "Wholesale Price Contract or Mixed Wholesale-Option-Contract? Procurement Strategy for a Contract Farming Supply Chain under Flexible Supply" Sustainability 16, no. 10: 4029. https://doi.org/10.3390/su16104029

APA Style

Hu, S., Liu, L., & Liu, X. (2024). Wholesale Price Contract or Mixed Wholesale-Option-Contract? Procurement Strategy for a Contract Farming Supply Chain under Flexible Supply. Sustainability, 16(10), 4029. https://doi.org/10.3390/su16104029

Note that from the first issue of 2016, this journal uses article numbers instead of page numbers. See further details here.

Article Metrics

Back to TopTop