CnSR: Exploring Consumer Social Responsibility Using Machine Learning-Based Topic Modeling with Natural Language Processing
Abstract
:1. Introduction
2. Literature Overview
2.1. The Evolution of CnSR
2.2. The Multifaceted Consumption Journey: Acquisition, Utilization, and Disposal
3. Methodology
3.1. Data Collection
3.2. Data Preprocessing and Analysis
3.3. Topic Modeling
3.3.1. Overview
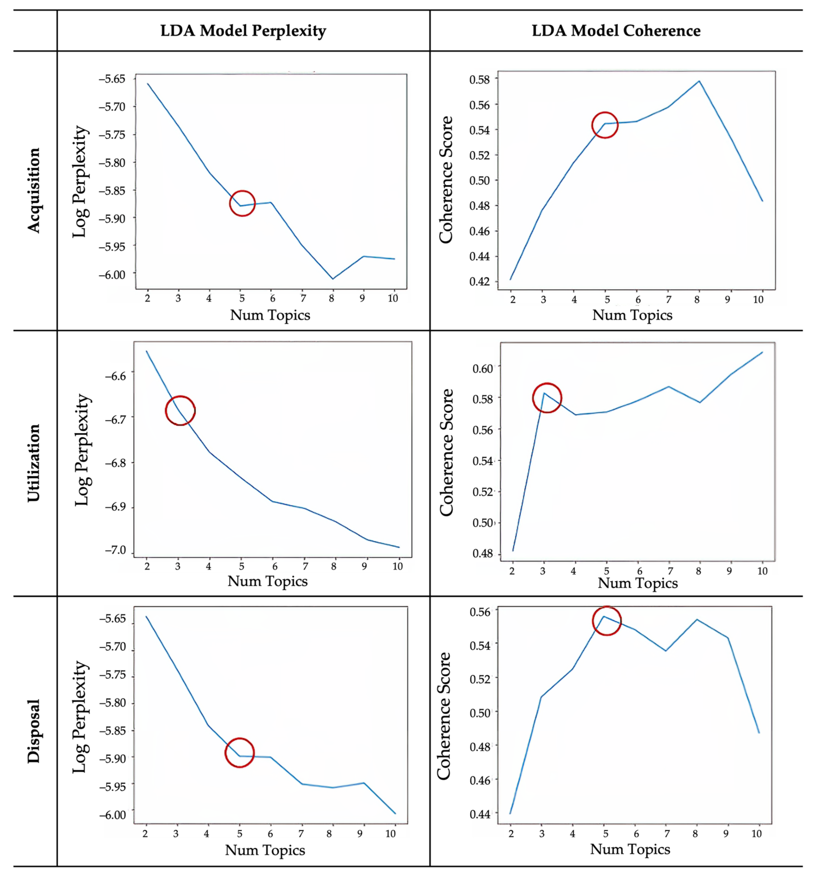
3.3.2. Perplexity and Coherence: Model Selection
3.3.3. Topic Selection and Labeling
4. Results and Discussion
4.1. Acquisition
4.2. Utilization
4.3. Disposal
5. Conclusions and Implications
5.1. Conclusions
5.2. Implications
5.2.1. Managerial Implications
5.2.2. Educational Implications
5.2.3. Methodological Implications
5.3. Limitations and Future Research
Author Contributions
Funding
Institutional Review Board Statement
Informed Consent Statement
Data Availability Statement
Conflicts of Interest
References
- Eisingerich, A.B.; MacInnis, D.J.; Whan Park, C. Do CSR Efforts That Focus on Helping the Environment Influence Brand Purchase More than Other Forms of CSR? J. Bus. Res. 2023, 168, 114240. [Google Scholar] [CrossRef]
- Kang, J.; Moreno, F. Driving Values to Actions: Predictive Modeling for Environmentally Sustainable Product Purchases. Sustain. Prod. Consum. 2020, 23, 224–235. [Google Scholar] [CrossRef]
- Vitell, S.J. A Case for Consumer Social Responsibility (CnSR): Including a Selected Review of Consumer Ethics/Social Responsibility Research. J. Bus. Ethics 2015, 130, 767–774. [Google Scholar] [CrossRef]
- Devinney, T.M.; Auger, P.; Eckhardt, G.; Birtchnell, T. The Other CSR: Consumer Social Responsibility. Leeds Univ. Bus. Sch. Res. Pap. Ser. 2006, 15, 1–12. [Google Scholar] [CrossRef]
- Kang, J.; Bissenbina, A.; Faria, A.A.; Jang, J. Psychological Ownership Rather than Material Consumption: Can Fashion Firms’ New Subscription Services Become an Environmentally Sustainable Business Strategy? Bus. Strategy Environ. 2023, in press. [Google Scholar] [CrossRef]
- Oh, H. 12 Recycled and Upcycled Fashion Brands for a More Eco-Conscious Closet. Seventeen. 2023. Available online: https://www.seventeen.com/fashion/celeb-fashion/g43390210/recycled-upcycled-clothing-brands/ (accessed on 5 December 2023).
- Baker, K. These Brands Want To Redefine Black Friday: “Don’t Buy. Just Borrow”. Good Good Good. 2023. Available online: https://www.goodgoodgood.co/articles/black-friday-alternatives (accessed on 2 December 2023).
- Faithfull, M. H&M Move into Textile-Sorting Could Be Huge Boost for Circular Economy. Forbes. 2023. Available online: https://www.forbes.com/sites/markfaithfull/2023/02/15/hm-move-into-textile-sorting-could-be-huge-boost-for-circular-economy/?sh=21851be13a32 (accessed on 7 December 2023).
- Caruana, R.; Chatzidakis, A. Consumer Social Responsibility (CnSR): Toward a Multi-Level, Multi-Agent Conceptualization of the “Other CSR”. J. Bus. Ethics 2014, 121, 577–592. [Google Scholar] [CrossRef]
- Arli, D.I.; Tjiptono, F. Consumer Ethics, Religiosity, and Consumer Social Responsibility: Are They Related? Soc. Responsib. J. 2018, 14, 302–320. [Google Scholar] [CrossRef]
- Farah, M.F.; Shahzad, M.F. Fast-Food Addiction and Anti-Consumption Behaviour: The Moderating Role of Consumer Social Responsibility. Int. J. Consum. Stud. 2020, 44, 379–392. [Google Scholar] [CrossRef]
- Goodland, R. The Concept of Environmental Sustainability. Annu. Rev. Ecol. Syst. 1995, 26, 1–24. [Google Scholar] [CrossRef]
- Brzustewicz, P.; Singh, A. Sustainable Consumption in Consumer Behavior in the Time of COVID-19: Topic Modeling on Twitter Data Using LDA. Energies 2021, 14, 5787. [Google Scholar] [CrossRef]
- Huang, H.; Long, R.; Chen, H.; Sun, K.; Li, Q. Exploring Public Attention about Green Consumption on Sina Weibo: Using Text Mining and Deep Learning. Sustain. Prod. Consum. 2022, 30, 674–685. [Google Scholar] [CrossRef]
- Singh, S.; Alok, S. Drivers of Repurchase Intention of Organic Food in India: Role of Perceived Consumer Social Responsibility, Price, Value, and Quality. J. Int. Food Agribus. Mark. 2022, 34, 246–268. [Google Scholar] [CrossRef]
- Dalman, M.D.; Min, J. Consumer Information Integration at Pre-Purchase: A Discrete Choice Experiment. In Handbook of Research on Organizational Transformations through Big Data Analytics; IGI Global: Hershey, PA, USA, 2015; pp. 287–299. ISBN 978-1-4666-7272-7. [Google Scholar]
- Kostecki, M. The Durable Use of Consumer Products: New Options for Business and Consumption; Springer: New York, NY, USA, 2013; ISBN 978-1-4757-2819-4. [Google Scholar]
- Cruz-Cárdenas, J.; Arévalo-Chávez, P. Consumer Behavior in the Disposal of Products: Forty Years of Research. J. Promot. Manag. 2018, 24, 617–636. [Google Scholar] [CrossRef]
- Albalawi, R.; Yeap, T.H.; Benyoucef, M. Using Topic Modeling Methods for Short-Text Data: A Comparative Analysis. Front. Artif. Intell. 2020, 3, 42. [Google Scholar] [CrossRef] [PubMed]
- Buenaño-Fernandez, D.; González, M.; Gil, D.; Luján-Mora, S. Text Mining of Open-Ended Questions in Self-Assessment of University Teachers: An LDA Topic Modeling Approach. IEEE Access 2020, 8, 35318–35330. [Google Scholar] [CrossRef]
- Blei, D.M. Probabilistic Topic Models. Commun. ACM 2012, 55, 77–84. [Google Scholar] [CrossRef]
- Vayansky, I.; Kumar, S.A.P. A Review of Topic Modeling Methods. Inf. Syst. 2020, 94, 101582. [Google Scholar] [CrossRef]
- Blei, D.M.; Ng, A.Y.; Jordan, M.I. Latent Dirichlet Allocation. J. Mach. Learn. Res. 2003, 3, 993–1022. [Google Scholar]
- Barde, B.V.; Bainwad, A.M. An Overview of Topic Modeling Methods and Tools. In Proceedings of the 2017 International Conference on Intelligent Computing and Control Systems (ICICCS), Madurai, India, 15–16 June 2017; pp. 745–750. [Google Scholar]
- Srinivasa-Desikan, B. Natural Language Processing and Computational Linguistics: A Practical Guide to Text Analysis with Python, Gensim, spaCy, and Keras; Packt Publishing Ltd.: Birmingham, UK, 2018; ISBN 1-78883-703-7. [Google Scholar]
- Ledolter, J.; VanderVelde, L.S. Analyzing Textual Information: From Words to Meanings Through Numbers; SAGE Publications: Thousand Oaks, CA, USA, 2021; Volume 188, ISBN 1-5443-9004-1. [Google Scholar]
- Hasan, M.; Rahman, A.; Karim, M.R.; Khan, M.S.I.; Islam, M.J. Normalized Approach to Find Optimal Number of Topics in Latent Dirichlet Allocation (LDA); Springer: Berlin/Heidelberg, Germany, 2021; pp. 341–354. [Google Scholar]
- Joshi, C.; Attar, V.Z.; Kalamkar, S.P. An Unsupervised Topic Modeling Approach for Adverse Drug Reaction Extraction and Identification from Natural Language Text. In Advances in Data and Information Sciences: Proceedings of ICDIS 2021; Springer: Berlin/Heidelberg, Germany, 2022; pp. 505–514. [Google Scholar]
- Mustak, M.; Salminen, J.; Plé, L.; Wirtz, J. Artificial Intelligence in Marketing: Topic Modeling, Scientometric Analysis, and Research Agenda. J. Bus. Res. 2021, 124, 389–404. [Google Scholar] [CrossRef]
- Chuang, J.; Manning, C.D.; Heer, J. Termite. Visualization Techniques for Assessing Textual Topic Models. In Proceedings of the 2012 International Working Conference on Advanced Visual Interfaces, Capri Island, Naples, Italy, 22–25 May 2012; pp. 74–77. [Google Scholar]
- Sievert, C.; Shirley, K. LDAvis: A Method for Visualizing and Interpreting Topics. In Proceedings of the 2014 Workshop on Interactive Language Learning, Visualization, and Interfaces, Baltimore, MD, USA, 27 June 2014; pp. 63–70. [Google Scholar]
- Albella, E.; Balchandani, A.; Cornbleet, N.; Lee, L. In Search of Fashion’s Sustainability Seekers. Available online: https://www.mckinsey.com/industries/retail/our-insights/in-search-of-fashions-sustainability-seekers (accessed on 19 October 2023).
- Lai, Z.; Henninger, C.E.; Alevizou, P.J. An Exploration of Consumers’ Perceptions Towards Sustainable Fashion—A Qualitative Study in the UK. In Sustainability in Fashion: A Cradle to Upcycle Approach; Henninger, C.E., Alevizou, P.J., Goworek, H., Ryding, D., Eds.; Springer International Publishing: Cham, Switzerland, 2017; pp. 81–101. ISBN 978-3-319-51253-2. [Google Scholar]
- Jeelani, H. What Goes into the Pricing of Sustainable Fashion? Available online: https://www.vogue.in/fashion/content/why-is-sustainable-fashion-expensive-the-cost-of-ethically-produced-garments (accessed on 19 October 2023).
- Glavič, P. Evolution and Current Challenges of Sustainable Consumption and Production. Sustainability 2021, 13, 9379. [Google Scholar] [CrossRef]
- Hernandez, R.J.; Miranda, C.; Goñi, J. Empowering Sustainable Consumption by Giving Back to Consumers the ‘Right to Repair’. Sustainability 2020, 12, 850. [Google Scholar] [CrossRef]
- Gwilt, A.; Rissanen, T. Shaping Sustainable Fashion: Changing the Way We Make and Use Clothes; Routledge: London, UK, 2012; ISBN 1-136-45445-4. [Google Scholar]
- Schlaile, M.P.; Klein, K.; Böck, W. From Bounded Morality to Consumer Social Responsibility: A Transdisciplinary Approach to Socially Responsible Consumption and Its Obstacles. J. Bus. Ethics 2018, 149, 561–588. [Google Scholar] [CrossRef]
- Fenitra, R.M.; Handriana, T.; Usman, I.; Hartani, N.; Premananto, G.C.; Hartini, S. Sustainable Clothing Disposal Behavior, Factor Influencing Consumer Intention toward Clothing Donation. Environment 2021, 28, 1–15. [Google Scholar]
- Soyer, M.; Dittrich, K. Sustainable Consumer Behavior in Purchasing, Using and Disposing of Clothes. Sustainability 2021, 13, 8333. [Google Scholar] [CrossRef]
- Janigo, K.A.; Wu, J.; DeLong, M. Redesigning Fashion: An Analysis and Categorization of Women’s Clothing Upcycling Behavior. Fash. Pract. 2017, 9, 254–279. [Google Scholar] [CrossRef]
- Wilson, M. When Creative Consumers Go Green: Understanding Consumer Upcycling. J. Prod. Brand Manag. 2016, 25, 394–399. [Google Scholar] [CrossRef]
- Mohr, L.A.; Webb, D.J.; Harris, K.E. Do Consumers Expect Companies to Be Socially Responsible? The Impact of Corporate Social Responsibility on Buying Behavior. J. Consum. Aff. 2001, 35, 45–72. [Google Scholar] [CrossRef]
- Mishra, A.K.; Bansal, R.; Maurya, P.K.; Kar, S.K.; Bakshi, P.K. Predicting the Antecedents of Consumers’ Intention toward Purchase of Mutual Funds: A Hybrid PLS-SEM-Neural Network Approach. Int. J. Consum. Stud. 2023, 47, 563–587. [Google Scholar] [CrossRef]



| Rank | Acquisition | Utilization | Disposal | |||
|---|---|---|---|---|---|---|
| Words | f * | Words | f | Words | f | |
| 1 | good | 102 | good | 103 | recycle | 327 |
| 2 | company | 74 | responsible | 43 | donate | 118 |
| 3 | look | 69 | environmental | 43 | good | 68 |
| 4 | use | 69 | possible | 39 | use | 64 |
| 5 | clothes | 55 | purchase | 39 | environmental | 44 |
| 6 | USA | 50 | recycle | 38 | way | 43 |
| 7 | know | 44 | long | 36 | proper | 43 |
| 8 | environmental | 42 | clothes | 33 | clothes | 38 |
| 9 | local | 39 | waste | 32 | give | 36 |
| 10 | responsible | 36 | care | 32 | reuse | 32 |
| 11 | quality | 35 | last | 29 | away | 29 |
| 12 | recycle | 34 | know | 28 | throw | 28 |
| 13 | price | 33 | company | 27 | much | 25 |
| 14 | social | 31 | way | 27 | goodwill | 23 |
| 15 | fair | 28 | take | 24 | charity | 23 |
| 16 | research | 25 | quality | 21 | responsible | 19 |
| 17 | worker | 25 | wear | 21 | know | 19 |
| 18 | store | 23 | keep | 20 | others | 18 |
| 19 | practice | 23 | think | 19 | whenever | 17 |
| 20 | consumer | 23 | local | 17 | still | 17 |
| Stage | # | Topic Name | Top 30 Words |
|---|---|---|---|
| Acquisition (5) | 1 | Company-centric selections for conscious fashion choices (selecting companies that integrate social and environmental considerations into their operational frameworks) | always, company, USA, environmental, responsible, social, research, look, practice, shop, like, friendly, business, employee, give, sustainable, afford, place, back, consumer, treat, small, CSR, source, money, policy, thrift, secondhand, waste, go |
| 2 | Story behind the label (scrutinizing garment tags for product provenance, creation conditions, and pricing fairness) | price, check, clothes, fair, know, produce, see, label, support, country, trade, source, great, origin, aware, mean, attention, still, something, care, come, first, think, take, prefer, understand, wear, pay, certain, opinion | |
| 3 | Durability of fashion items (considering the quality of attire, its potential for recycling, and its long-lasting nature) | good, quality, worker, recycle, really, material, possible, last, brand, condition, pay, find, usually, away, even, bag, avoid, less, recyclable, well, longer, CnSR, shopping, process, feel, higher, act, want, take, think | |
| 4 | Local craftsmanship and resources (prioritizing local resources and ethical manufacturing methods) | use, value, local, store, obtain, best, need, manufacture, consider, way, labor, ethical, get, packaging, natural, kind, cost, material, green, online, reusable, trust, CSR, child, tend, amount, donate, resource, least, behavior | |
| 5 | Cost–impact equilibrium (balancing monetary value with broader implications for society and the environment) | look, bargain, good, people, consumer, harm, long, benefit, time, help, others, wage, society, animal, one, sale, treat, proactive, new, sweat, anything, without, necessary, safe, deal, often, involve, life, keep, come | |
| Utilization (3) | 1 | Maximizing garment utility through conscious use (employing mindful practices to enhance a garment’s functional life and derive maximum utility) | good, care, take, damaged, environmental, possible, purchase, long, last, way, waste, local, company, friendly, think, time, wasteful, need, well, clean, people, safe, water, wear, everything, harmful, aware, done, wearing, community |
| 2 | Breathing life into clothing through repair (employing repairs as sustainable alternatives) | responsible, clothes, recycle, keep, know, reuse, social, consumer, society, benefit, properly, condition, get, less, durable, away, reduce, great, impact, proudly, rather, business, repair, whenever, opinion, feel, proper, throw, door, become | |
| 3 | Harmonizing style and longevity through thoughtful cleaning (prioritizing informed and deliberate cleaning practices, varying in frequency and product choice) | quality, look, sparingly, others, wear, USA, longer, responsible, worker, much, cleaning, worn, brand, practice, proud, material, understand, best, check, natural, harm, question, careful, important, see, one, wise, CSR, something, price | |
| Disposal (5) | 1 | Recycling fashion for a circular wardrobe (recycling and reintegrating garments, highlighting the cyclical nature of clothing consumption) | recycle, donate, much, whenever, appropriate, manner, responsibly, think, many, garbage, able, trash, biodegradable, also, correctly, waste, oil, rest, litter, light, composting, reusable, week, appropriately, home, compost, bulb, interest, hazardous, littering |
| 2 | Passing fashion to new hands through donation (facilitating the redistribution of apparel to thrift stores, charitable organizations, and other entities to extend their usability) | give, clothes, away, throw, donate, others, still, good, store, longer, thrift, someone, need, people, harm, take, shop, help, resale, stuff, usable, either, useful, instead, feel, wear, discard, done, care, condition | |
| 3 | Prolonging garment life prior to disposal through reuse (adopting reuse strategies to delay the disposal of clothing, further reducing waste and environmental impact) | way, environmental, good, reuse, charity, friendly, always, long, everything, consumer, reduce, conscious, go, local, waste, bin, responsible, reusing, purchase, often, old, plastic, effort, bag, better, fashion, time, put, recycle, shoe | |
| 4 | Upcycling clothes from old to renewed (transforming or repurposing old clothing into something new or rejuvenated) | goodwill, use, donate, know, repurpose, method, get, organization, rag, best, available, want, enjoy, army, salvation, right, part, look, find, far, someone, cause, profit, really, wide, article, research, let, suitable, cut | |
| 5 | Final stage ethical disposal of garments (addressing the ultimate phase of garments after exhausting options like recycling, donation, and reuse) | proper, place, check, good, responsible, like, another, social, trash, see, worn, opinion, upcycle, man, back, consider, whatever, society, even, affect, toward, take, end, would, rid, acceptable, life, according, requirement, center |
Disclaimer/Publisher’s Note: The statements, opinions and data contained in all publications are solely those of the individual author(s) and contributor(s) and not of MDPI and/or the editor(s). MDPI and/or the editor(s) disclaim responsibility for any injury to people or property resulting from any ideas, methods, instructions or products referred to in the content. |
© 2023 by the authors. Licensee MDPI, Basel, Switzerland. This article is an open access article distributed under the terms and conditions of the Creative Commons Attribution (CC BY) license (https://creativecommons.org/licenses/by/4.0/).
Share and Cite
Jang, J.; Kang, J. CnSR: Exploring Consumer Social Responsibility Using Machine Learning-Based Topic Modeling with Natural Language Processing. Sustainability 2024, 16, 197. https://doi.org/10.3390/su16010197
Jang J, Kang J. CnSR: Exploring Consumer Social Responsibility Using Machine Learning-Based Topic Modeling with Natural Language Processing. Sustainability. 2024; 16(1):197. https://doi.org/10.3390/su16010197
Chicago/Turabian StyleJang, Jisu, and Jiyun Kang. 2024. "CnSR: Exploring Consumer Social Responsibility Using Machine Learning-Based Topic Modeling with Natural Language Processing" Sustainability 16, no. 1: 197. https://doi.org/10.3390/su16010197
APA StyleJang, J., & Kang, J. (2024). CnSR: Exploring Consumer Social Responsibility Using Machine Learning-Based Topic Modeling with Natural Language Processing. Sustainability, 16(1), 197. https://doi.org/10.3390/su16010197

