Abstract
Focusing on Reinforced Concrete (RC), the main building material worldwide, inflation and CO2 emissions negatively impact the economic and environmental sustainability of the construction industry and the environment, respectively. Therefore, it is important to investigate the economic and environmental correlations and effects of RC in view of the inflation–CO2 emissions nexus. Previous literature did not sufficiently scrutinize this issue, leaving behind huge knowledge gaps for understanding (1) the inflation–RC material prices nexus, (2) the inflation–RC cost relationship, and (3) the inflation–RC material CO2 emissions correlation. The knowledge body, additionally, suffers from the controversial conclusion of prior literature that countering inflation reduces building material prices; however, it does not reduce their associated CO2 emissions. To address these loopholes, Spearman correlation test was employed to analyze data from Egypt’s construction market on inflation, RC material prices, RC cost, and RC material CO2 emissions from 2011 to 2019. Spearman test yielded that RC material prices and RC cost are directly correlated with inflation. In addition, steel reinforcement prices are more sensitive to inflation than the prices of other RC materials. By analyzing these outputs, using the Deviation Percentage approach, it has been found that 1% increase in inflation drives up the prices of steel reinforcement and RC cost by 1.568% and 1.548%, respectively. Further, increasing inflation by 1% increases RC material CO2 emissions, particularly steel reinforcement by 15.968%. This implies that the inflation–construction material CO2 emissions nexus has a direct correlation, not an inverse relationship, as mentioned in the archival literature. These results guide contractors to define an accurate percentage-based risk margin against the effects of inflation on overrunning their projects budgets. Importantly, they add to the knowledge body the precise description of the inflation–building materials nexus, whether economically in terms of construction material prices, or environmentally in light of building material CO2 emissions.
1. Introduction and Theoretical Background
Over the years, the construction industry around the globe has suffered from the implications of inflation. This stems from the relation that the fluctuation in inflation rates causes significant variations in the prices of project resources [1]. This, in turn, limits the ability of project stakeholders to accurately price their projects, either on the short- or long-term. As a result, construction projects are usually implemented in highly ambiguous environments with the risk of cost overrun [2]. Some severe statistics regarding the potential effects of inflation on overrunning the costs of construction projects have been presented in the study of Musarat et al. [3]. Unfortunately, the findings revealed that inflation can increase the project cost by 3.8% to 11.63%. More severely, these increases can reach up to 23.23% in the case of the long-term projects. Undoubtedly, whatever the knowledge of project stakeholders, they will be unable to overcome such overruns without (a) knowing the trends of inflation rates in their countries and (b) observing the decreasing or increasing trend of the prices of project resources over time given the impact of the inflation rate [3].
According to Shiha et al. [4], the resources in construction projects are three, comprising materials, labor, and equipment. However, when studying the effect of inflation on prices of construction resources, the focus should be more concentrated on building materials. This interest is associated with the fact that executing construction projects significantly depends on construction materials. Therefore, building materials represent about 60% of the whole project cost [5]. Consequently, any changes in the prices of construction materials will have a great consequence on the project cost [6]. Several studies (e.g., [7,8]) have supported this fact that the fluctuation in construction material prices owing to inflation is among the leading causes of cost overrun. Facing this challenge, Musarat et al. [3] advised the analysts of the construction industry to scrutinize the behavior of building material prices and their correlation patterns with the inflation rate. In accordance with Marzouk and Amin [6] and Shiha et al. [4], realizing such investigation is important with respect to the construction sector given twofold. First, it quantifies how material prices are affected by the countries’ economic conditions. Second, it demonstrates the inflation rates in construction material prices over time. This, in turn, facilitates planning the timely purchasing of building materials to minimize their associated effects on deviating the project total cost.
Disappointingly, the aforementioned critical importance of investigating the relationship between inflation and construction material prices has not received an extensive response from the researchers (see Table A1 of Appendix A). This limited interest is due to two reasons. First, many analysts of building material prices have directed their efforts to investigate the changes in material prices with respect to other macroeconomic variables, such as foreign exchange rate [9] and cured oil prices [10]. Second, the rest of the scholars (e.g., [4]) have focused on utilizing the latest predictive techniques to accurately quantify the impacts of macroeconomic indicators on future fluctuations in material prices. Although this research stream can clarify the consequences of macroeconomic factors on material prices more precisely, the researchers (e.g., [11,12]) have excluded inflation from the lists of their indicators. Indeed, ignoring studying inflation by prior analysts runs counter to the fact that inflation is among the top influencing macroeconomic factors on varying construction material prices [13]. This implies that the critical macroeconomic indicators that trigger drastic changes in construction material prices, mainly inflation have not been sufficiently studied in the previous associated literature. This, unfortunately, limits supporting the scholarly-based knowledge with more understanding of the inflation–building material prices nexus.
Other limitations and drawbacks in the inflation-related literature can be grasped from Table A1, as follows:
- (1)
- First, the majority of the studies of Table A1, including Oghenekevwe et al. [14]; Adegbembo and Adeniyi [15]; Kalu et al. [16]; Oladipo and Olukayode [17]; Bediako et al. [18]; Oba [19]; Mohamed and Mahmoud [20]; and Dilip and Jesna [21] utilized Pearson correlation test or the regression analysis to examine the relationship between the inflation rate and building material prices. This is a critical flaw in these works, indicating that their findings are totally inaccurate. The reason is completely intelligible, as the inflation–material prices nexus is often nonlinear; accordingly, it cannot be analyzed based on Pearson correlation test or the regression analysis. It can, however, be scrutinized by utilizing Spearman correlation test [3,4].
- (2)
- Second, the other works of Table A1, comprising Musarat et al. [3], Musarat et al. [22], and Musarat et al. [23] determined the correlation between the inflation rate and building material prices using Spearman correlation test. Further, they studied the materials with the highest consumption rates in any construction market, i.e., steel reinforcement, ordinary Portland cement, sand, and gravel. However, none of these works focused on showing how the cost of the main associated construction item of these materials, namely Reinforced Concrete (RC), can be affected by inflation. This is a critical knowledge gap because RC is the most used and expensive building material worldwide, represents a considerable percentage of the project cost, and possesses severe implications on deviating the project budget [24,25].
- (3)
- Third, despite the pioneering role of Musarat et al. [23] in terms of examining the relationship between inflation and CO2 emissions of construction materials, their conclusion is controversial. Musarat et al. [23] were able to collect data on inflation and construction material prices. However, they were unable to gather data on CO2 emissions of building materials for being analyzed with inflation. Alternatively, they deemed the value of the executed works instead of the construction materials’ CO2 emissions in order to be explored against the inflation rate. Drawing on this methodology, Musarat et al. [23] reached that reducing inflation reduces building material prices, pushing the end-users to grab the opportunity of buying construction materials at lower prices; accordingly, more construction works are executed. In the same vein, implementing more construction works needs additional production of construction materials, increasing CO2 emissions. This indirect and inverse relationship between inflation and CO2 emissions implies that if governments play their roles to control inflation in their countries, the CO2 emissions of building materials will be increased. This is a controversial result and cannot be generalized without examining the inflation–construction material CO2 emissions relationship directly, as will be addressed in the current study.
The previous drawbacks and gaps clearly point out that it is a risk, and insufficient to deem the conclusions of the inflation-related construction management literature when (a) understanding the economic implications of inflation on the construction sector in terms of fluctuating construction material prices and projects costs; and (b) interpreting the environmental consequences of building materials on the environment in terms of their CO2 emissions owing to the variations in inflation. In summary, two reasons are behind this risk and inadequacy. The first reason is the inaccurate and inappropriate analytical techniques and methodologies of previous works. The second reason is the knowledge gap of studying the effect of inflation on varying the cost and CO2 emissions of RC, although RC cost represents a major portion of projects budgets and its materials contribute significantly to increasing global CO2 emissions [24,25]. These reasons give the impetus for the author to adopt an accurate approach and utilize the most appropriate analyzing tools with a focus on RC and its materials to answer the research questions of: (1) what is the relationship pattern between inflation and RC material prices?; (2) which RC material in terms of its price is more sensitive to the impact of inflation?; (3) what is the type and strength of the relationship between inflation and RC cost; and (4) what is the type and strength of the relationship between inflation and CO2 emissions of RC materials? The answers derived from these questions support understanding the inflation–construction material prices nexus and the inflation–construction material CO2 emissions relationship. This enhances the knowledge of governments and policy-makers in the construction sector to better counter the inflation and its consequences.
The remainder of the current research includes, in Section 2, the contextual background and the period of the study, along with the associated justifications for being considered. Subsequently, Section 3 presents the methodology and introduces the findings. This is followed by Section 4, which analyzes and discusses the results and demonstrates their implications. Then, Section 5 lists the limitations and outlines upcoming research directions. Finally, Section 6 summarizes the paper.
2. Contextual Background
The answers of the research questions of the present work have been derived from data related to Egypt’s construction industry. The data cover a critical period in Egypt, mainly from 2011 to 2019. For four reasons, either Egypt’s construction sector or this critical period offers an excellent opportunity to the author to prudently answer the research questions.
- (1)
- First, from 2011 to 2019, Egypt experienced severe economic and political instabilities, comprising (a) the January 2011 Egyptian revolution; (b) the June 2013 Egyptian revolution; and (c) the November 2016 Egyptian government devaluation of the Egyptian pound (LE) [4]. Certainly, whatever the reforms taken by the Egyptian government during this period, the inflation lesion has appeared and impacted the prices of the materials used in all sectors. For instance, the Central Agency for Public Mobilization and Statistics (CAPMAS)—Egypt’s official statistical agency—declared that the price of hollow cement bricks/1000 bricks increased by 211.864% from 2011 to 2019 [26]. Such sharp increases can reveal how construction material prices can be affected by macroeconomic variables, particularly when they result from unstable economic and political conditions.
- (2)
- Second, concerning RC—the wide utilized building material in the Middle East and Egypt, without exception [24]—Hassanein and Khalil [27] reported that RC materials, specifically steel reinforcement and cement, represent 43.98% and 32.29%, respectively, of the construction costs of the Egyptian RC buildings. More importantly, the statistical data of CAPMAS [26] highlighted that steel reinforcement, ordinary Portland cement, sand, and gravel—the major components of RC in Egypt—witnessed severe increases in their prices from 2011 to 2019. In 2011, the average prices of steel reinforcement/ton, ordinary Portland cement/ton, sand/m3, and gravel/m3 were 4778.25 LE, 528.7 LE, 31.83 LE, and 69.15 LE, respectively. Yet, in 2019, the average prices of these materials were 11,892.56 LE, 960 LE, 87.5 LE, and 155 LE. Of course, these sharp movements in the prices of these materials have been affected by inflation during this period. Additionally, the implications of these increases lead to significant changes in the cost of their construction item, i.e., RC. Hence, by collecting the data associated with this period, encompassing inflation rates, RC material prices, and RC cost, this study can define the inflation–RC material prices nexus and the inflation–RC cost relationship. Fortunately, CAPMAS [26] and CAPMAS [28] in Egypt collect credible statistics on such data, providing reliable answers to the first three questions of the present work.
- (3)
- Third, focusing on the fourth question of the current paper, CAPMAS [29] has significant statistics concerning the annual consumed quantities of RC materials in Egypt. However, from the data of CAPMAS [29], only the consumed quantities of steel reinforcement will be relied upon. The reason behind this consideration will be demonstrated later in Section 3. Subsequently, by multiplying the annual consumed quantities of steel reinforcement by the corresponding rate of CO2 emissions per unit, using the data of a report relevant to Egypt’s construction industry (i.e., [30]), the annual CO2 emissions of steel reinforcement can be defined. This output, in turn, along with the annual inflation rates of CAPMAS [28], provides the author with trustworthily data to directly investigate the pattern of the inflation–building material CO2 emissions relationship.
- (4)
- Fourth, the reason for studying this time period of Egypt’s construction sector, specifically from 2011 to 2019, is ascribed to the availability of data, particularly those related to the consumed quantities of RC materials. Although this adds a limitation to the present work in terms of the novelty of data, the above-mentioned justifications illustrate that the findings of the current research will be based on reliable data. This enhances the precision of the derived conclusions for providing the scholarly based-knowledge with more accurate implications concerning the economic and environmental consequences of inflation on construction material prices and their associated CO2 emissions, respectively.
3. Research Methodology
This study analyzes four variables. While inflation is the independent variable, the dependent variables are prices of RC materials, RC cost, and CO2 emissions of steel reinforcement. To examine the relationship between inflation and each of these dependent variables, the methodology consists of four phases. First, data on the variables have been collected from official sources and reputable references related to Egypt’s construction sector. Second, the gathered data have been initially assessed to define their behavior (i.e., linear or nonlinear). According to Alaloul et al. [31], this is a very significant step because determining the appropriate correlation test is associated with the behavior of the data. Third, the compiled data have been statistically analyzed by calculating the Annual Percentage of Deviation (APD) with respect to each variable. This step can help in observing the decreasing or increasing trend of the variables over time and carrying out their correlation analysis [32]. Fourth, by knowing the behavior of the data and the values of the APD of the variables, the proper correlation test can be appointed and performed to define the relationship between inflation and each dependent variable. Figure 1 outlines the four steps of the methodology.
Figure 1.
Methodology of the study.
3.1. Data Collection
In the current paper, CAPMAS has been relied upon to collect data on inflation, RC material prices, and the consumed quantities of steel reinforcement from 2011 to 2019. CAPMAS is an Egyptian official statistical agency. Its objectives are associated with collecting, processing, analyzing, and disseminating statistical data about Egypt’s economic and social conditions. Among its statistical data are (a) the annual inflation rate of the urban in Egypt [28]; (b) the Monthly Bulletin of Average Retail Prices of Major Important Building Materials [26]; and (c) the Annual Bulletin of Construction and Building Statistics for Private Sector Companies [29]. Based on these data, all the variables of the study have been defined, as follows:
- (1)
- Inflation: CAPMAS [28] has been employed to identify the annual inflation rate in Egypt from 2011 to 2019. Figure 2 shows the rates of inflation during this time period according to CAPMAS [28].
Figure 2. Egypt’s inflation rate from 2011 to 2019 [28]. - (2)
- RC material prices: CAPMAS [26] has been utilized to specify the prices of RC materials, comprising steel reinforcement, ordinary Portland cement, sand, and gravel. It is worth mentioning that building material prices in CAPMAS [26] are monthly prices. Therefore, the monthly prices per year with respect to each RC material have been averaged to determine its annual price. The column of “average prices of RC materials” in Table 1 presents the average annual prices of steel reinforcement/ton, ordinary Portland cement/ton, sand/m3, and gravel/m3.
Table 1. Data of the dependent variables of the study from 2011 to 2019. - (3)
- RC cost: According to Marzouk and Amin [6], in Egypt’s construction sector, the RC cost from materials is 51%. Yet, the other percentage (i.e., 49%) is pertinent to the costs of site overhead, equipment, and labor. Focusing on RC cost from materials, Marzouk and Amin [6] defined the percentages of 40%, 9%, and 2% for determining the RC cost from steel reinforcement, cement, and sand and gravel, respectively. Hence, by multiplying these percentages in the annual prices of their corresponding materials, as Equation (1) demonstrates, the annual RC cost can be specified. The column of “RC cost” in Table 1 illustrates the annual RC cost from 2011 to 2019.
- (4)
- CO2 emissions: Although CAPMAS [29] has the annually consumed quantities of RC materials, its data can be relied upon to get the annual consumed quantities of steel reinforcement only. This stems from two facts. First, the utilized quantities of sand and gravel are aggregated and presented together. Second, the used quantities of cement in CAPMAS [29] may represent many types of cement, such as ordinary Portland cement, Sulphate resistant cement, and white cement. These types of cement have many applications in the construction sector, comprising the works of plain concrete, RC, and finishing. Hence, the data of CAPMAS [29] are accurate to get the annually consumed quantities of steel reinforcement only. Although this adds a limitation to the present paper, it is important to build the results on reliable data. In accordance with Enterprise [30], the CO2 emissions of steel reinforcement/ton are 1890 kg. Enterprise [30] has been adopted as a reference because its scope is relevant to Egypt’s construction industry. By multiplying this rate in the annual consumed quantities of steel reinforcement, using the data of CAPMAS [29], this study can present the annual CO2 emissions of steel reinforcement, as the column of “CO2 emissions” in Table 1 includes.
3.2. Initial Assessment of the Data
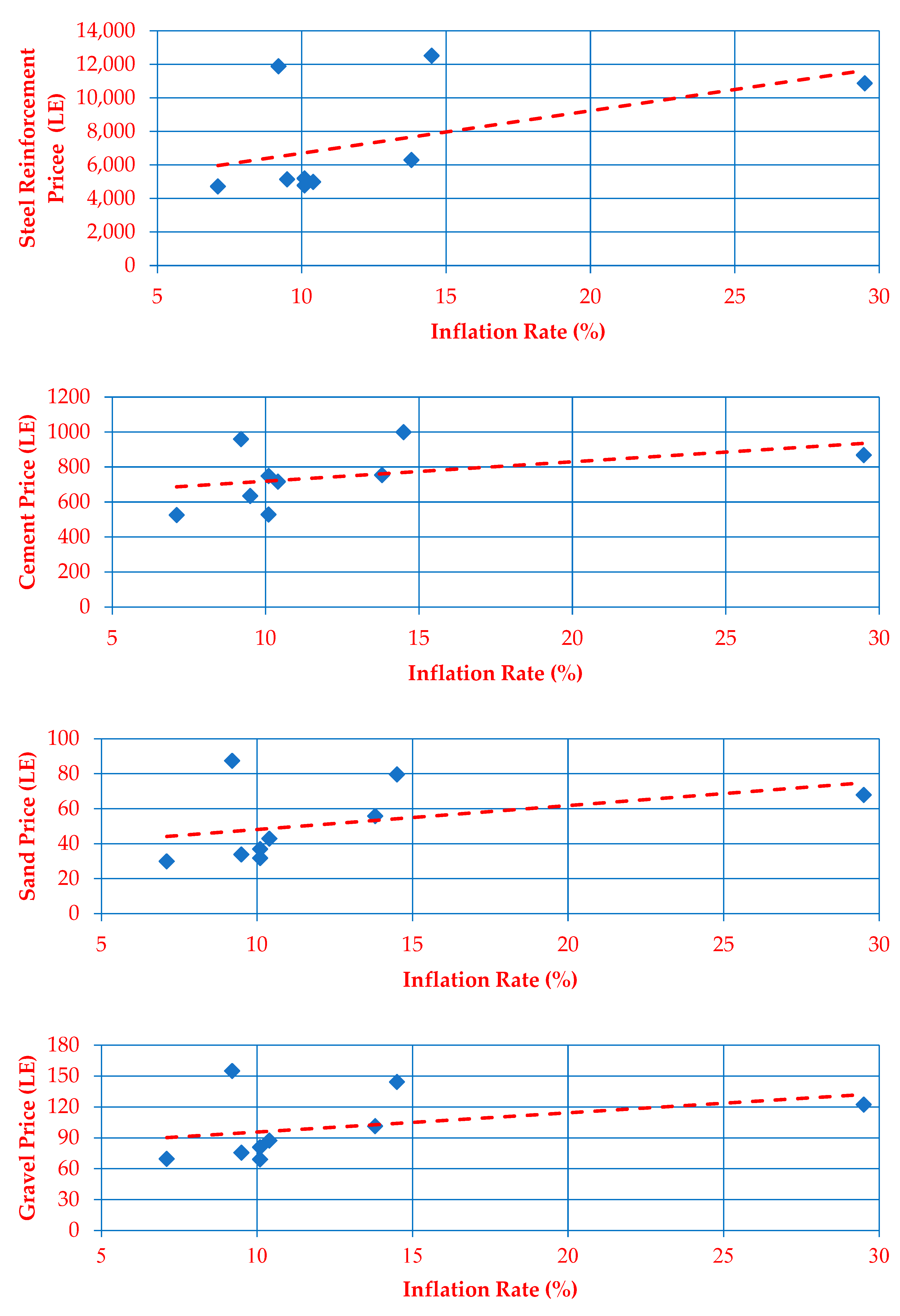
The initial assessment of the data of Figure 2 and Table 1 aims at defining whether they follow a linear or nonlinear behavior. By answering this question, the proper correlation test can be specified to investigate the relationship between the inflation rate and each of RC material prices, RC cost, and CO2 emissions of steel reinforcement [31]. In accordance with Xiao et al. [33] and Musarat et al. [3], if two variables have a linear relationship, their correlation can be investigated based on Pearson correlation test. If not, Spearman correlation test must be called upon. To know whether Pearson or Spearman correlation test is the proper test for analyzing the data of the present research, Figure 3, Figure 4 and Figure 5 have been developed. As shown in these figures, the inflation rate occupies the x-axis. Yet, the y-axes of Figure 3, Figure 4 and Figure 5 represent RC material prices, RC cost, and CO2 emissions of steel reinforcement, respectively. By taking a deep insight into these figures, it can be observed that each figure has an imaginary trend line. More importantly, all the values of the variables of RC material prices, RC cost, and CO2 emissions of steel reinforcement are extremely far from the drawn trend lines. This observation, in turn, implies that the data associated with RC material prices, RC cost, and CO2 emissions of steel reinforcement have a nonlinear relationship with the inflation rate [23]. Accordingly, their correlation tests with the inflation rate can be explored, utilizing Spearman correlation test.
Figure 3.
Scatter diagram of the inflation rate and RC material prices.
Figure 4.
Scatter diagram of the inflation rate and RC cost.
Figure 5.
Scatter diagram of the inflation rate and CO2 emissions of steel reinforcement.
3.3. Statistical Analysis of the Data: Annual Percentage of Deviation
In order to observe the yearly decreasing or increasing percentage in the inflation rate, RC material prices, RC cost, and CO2 emissions of steel reinforcement, Equation (2) has been employed. Equation (2) presents the APD with respect to an individual variable. Building on Equation (2), the APD of an individual variable can have a positive or negative value. The positive value denotes an increase in the value of the studied variable from the previous year. Yet, the negative value means a decrease in the value of the studied variable from the prior year [3]. Relying upon Equation (2), Table 2 has been prepared to demonstrate the values of the APD of the inflation rate, RC material prices, RC cost, and CO2 emissions of steel reinforcement.
Table 2.
Yearly percentages of deviation of the variables of the study.
3.4. Statistical Correlation of the Data: Spearman Correlation Test
The initial assessment of the data shows that Spearman test is the adequate test for examining the nonlinear relationship between inflation and each dependent variable of RC material prices, RC cost, and CO2 emissions of steel reinforcement. Spearman correlation test, as Equation (3) illustrates, has a statistical coefficient (RS) ranging from −1 to +1 [3]. This statistical coefficient aims at defining both the type and strength of the relationship between two variables. On this scale, the value closer to ±1 indicates a strong correlation between variables, where 0.0 to 0.19 means a very weak relationship, 0.20 to 0.39 means a weak relationship, 0.40 to 0.59 means a moderate relationship, 0.60 to 0.79 means a strong relationship, and 0.80 to 1.0 means a very strong relationship. On the other hand, the sign classifies the relationship type into (a) a direct relationship if the sign of Spearman correlation coefficient is positive and (b) an inverse relationship if the sign of Spearman correlation coefficient is negative [32].
where Rs is Spearman correlation coefficient, d is the difference between variables, and n is the number of variables.
In accordance with Equation (3), the correlation analysis between the inflation rate and each of RC material prices, RC cost, and CO2 emissions of steel reinforcement has been carried out, utilizing SPSS version 16.0. This analysis has been performed based on the values of the APD of these variables, as included in Table 2. The findings of Spearman correlation test have been presented in Table 3, encompassing Spearman correlation coefficient and the type and strength of the relationship between inflation and each of RC material prices, RC cost, and CO2 emissions of steel reinforcement. This key result of the current research will be explored and discussed in detail in Section 4.
Table 3.
Results of Spearman correlation test.
4. Analysis and Discussion
In this section, the results of the present paper will be analyzed and discussed in terms of (a) the behavior of the gathered data based on the depicted scatter diagrams in Figure 3, Figure 4 and Figure 5; (b) the values of the APD of Table 2; and (c) the outputs of Spearman correlation test of Table 3. More significantly, this section will highlight the implications of the findings.
4.1. Behavior of the Data
The behavior of the data of each dependent variable of RC material prices, RC cost, and CO2 emissions of steel reinforcement has been initially examined with the inflation-related data. Figure 3, Figure 4 and Figure 5 present the outcomes of this initial assessment. As shown in each figure, each includes a scatter diagram to show the coordinates of its data along with an imaginary trend line to reflect whether the coordinates of its data are close or far from the drawn trend line. Drawing upon the trend lines of Figure 3, Figure 4 and Figure 5, it can be observed that the coordinates of the data of each figure are extremely far from its trend line. This implies that each of RC material prices, RC cost, and CO2 emissions of steel reinforcement follows a nonlinear behavior with the inflation rate. This finding has a valuable implication: the variations in RC material prices, RC cost, and CO2 emissions of steel reinforcement are not uniform/regular over time with inflation rate-related fluctuations. In such case, the proper correlation test for investigating the relationship between inflation and any of these dependent variables is Spearman correlation test. Musarat et al. [3] in Malaysia and Musarat et al. [22] in Pakistan support this conclusion that neither Pearson correlation test nor the regression analysis is suitable for exploring the relationship between inflation and construction material prices. Only Spearman correlation test is the proper analytical technique for achieving this purpose. This wide agreement suggests a reliable procedure for the analysts: the inflation–building material prices nexus is always nonlinear, and relying upon Spearman correlation test, it can be explored. In the same context, it advises the prior analysts, who scrutinized the inflation–building material prices relationship building on Pearson correlation test or the regression analysis (see Table A1), to revise and adjust their results.
4.2. Annual Percentage of Deviation
The APD has been determined for each variable of the inflation rate, RC material prices, RC cost, and CO2 emissions of steel reinforcement from 2011 to 2019. The APD has been specified using Equation (2). As explained by Musarat et al. [32], the APD occurs in a positive or negative manner. The positive and negative signs of the APD mean that the value of the studied variable has been increased and decreased, respectively, from the prior year. Table 2 pinpoints the values of the APD of the four variables of the present study. With a focus on the inflation rate, Table 2 reveals that most of its APD values are positive, indicating that there is a continuous increase in inflation over most of the years under study. On the other hand, the few negative values of the APD of inflation denote that the Egyptian government has exerted its efforts to reduce inflation; however, its economic and political instabilities from 2011 to 2019 hindered achieving its endeavors sufficiently. This analysis implies that the more the decline in the national economy is, the higher the increase in the inflation rate becomes. El-Dash and Abdel Monem [34] also agree with this conclusion, that inflation is highly affected by the countries’ economic circumstances.
Looking at the column of “average prices of RC materials” in Table 2, other consequences of Egypt’s economic and political instabilities can be grasped, mainly on the construction market. In the column of “average prices of RC materials”, the highest positive APD has been recorded for steel reinforcement, with an increase of +72.672% in 2016–2017, followed by sand with an increase of +30.188% in 2015–2016, ordinary Portland cement with an increase of +20.787% in 2012–2013, and gravel with an increase of +20.504% in 2016–2017. These statistics, in turn, reflect that the severe economic and political conditions in Egypt cause serious impacts on increasing the prices of RC materials. However, steel reinforcement prices have been more influenced by these conditions than the prices of ordinary Portland cement, sand, and gravel. The implication of this conclusion clearly appears in the column of “RC cost” in Table 2 that the highest positive APD of RC cost has been occurred in 2016–2017, with an increase of +71.101%. This is the same year where the prices of steel reinforcement have received their highest positive APD (i.e., +72.672%). These highest values of the APD of steel reinforcement prices and RC cost direct an important message to the Egyptian contractors: their focus should be more concentrated on steel reinforcement prices when calculating RC cost. In the same context, the Egyptian scholars should support their contractors with practical models to forecast the contingency cost of RC given the fluctuations in steel reinforcement prices. The availability of such models helps contractors in defining future reasonable budget of steel reinforcement needs, reducing the risk of overrunning RC cost.
Focusing on the APD of RC material prices and RC cost along with the APD of the inflation rate, a vital observation can be highlighted. In the year 2014–2015, the APD of inflation is +2.970%. This means an increase in the inflation rate from 2014 to 2015. As expected, the values associated with the APD of RC material prices and RC cost should be increased. This has been informed from prior literature (e.g., [7]) that increasing inflation increases building material prices, causing cost overrun of the projects. Surprisingly, the negative signs of the APD of steel reinforcement (APD = −3.943%), ordinary Portland cement (APD = −4.330%), and RC cost (APD = −3.939%) indicate a decrease in their values from 2014 to 2015. On the other hand, the positive signs of the APD of sand (APD = +16.162%) and gravel (APD = +8.178%) signify an increase in their values from 2014 to 2015. This, in turn, informs that the prices of steel reinforcement and ordinary Portland cement and RC cost have an inverse correlation with inflation, whereas the prices of sand and gravel have a direct relationship with inflation. On the contrary, the year 2018–2019 illustrates that the APD of the inflation rate is −36.552%, reflecting a decrease in the inflation rate from the previous year. Predictably, the values of the APD of RC material prices and RC cost should record significant decreases. However, the positive signs of the APD of sand (APD = +9.833%) and gravel (APD = +7.303%) show that the prices of sand and gravel have been increased from 2018 to 2019. Yet, the negative signs of the APD of steel reinforcement (APD = −5.052%), ordinary Portland cement (APD = −3.984%), and RC cost (APD = −5.021%) confirm that their prices and RC cost have been increased from 2018 to 2019. This summarizes that the prices of steel reinforcement and ordinary Portland cement as well as RC cost have a direct correlation with inflation. Yet, the prices of sand and gravel have an inverse relationship with inflation.
Indeed, the findings of the year 2014–2015 and the year 2018–2019 concerning the relationship between inflation and each of RC material prices and RC cost are different. However, each of which is very accurate because the outputs are based on reliable data and an accurate methodology. This difference between the results of the year 2014–2015 and the year 2018–2019 raises an important issue: the impact of inflation on the price of the same construction material can differ from year to year. The same concern is associated with the inflation rate and CO2 emissions of steel reinforcement (see the column of “CO2 emissions” in Table 2). For example, in the year 2011–2012, the APD signs of inflation (APD = −29.703%) and CO2 emissions of steel reinforcement (APD = −25.301%) are negative, indicating that the CO2 emissions of steel reinforcement have a direct correlation with inflation. Conversely, in the year 2018–2019, although the APD sign of inflation (APD = −36.552%) is negative, the APD sign of CO2 emissions of steel reinforcement (APD = +3.406%) is positive. This implies that the CO2 emissions of steel reinforcement have an inverse relationship with inflation. All of these aforementioned analyses reveal that the correlation between inflation and each dependent variable of RC material prices, RC cost, and CO2 emissions of steel reinforcement has two scenarios. While the first scenario leads to a direct relationship between inflation and each of the dependent variables, the second scenario denotes an inverse correlation.
To know which scenario is the prevalent between inflation and each dependent variable, two consecutive steps can be followed. While the first phase is exploratory, the second step is a conformity stage. Focusing on the exploratory step, the AAPD (average of the values of the APD) from 2011 to 2019 with respect to inflation, RC material prices, RC cost, and CO2 emissions of steel reinforcement will be defined. By investigating the sign of the AAPD of each dependent variable with its counterpart of the inflation rate, the study can largely determine the dominant correlation scenario between inflation and each dependent variable. Then, the role of the second step appears to confirm the outputs of the exploratory step building on applying Spearman correlation test on the APD values of the variables from 2011 to 2019. Although the tools of these two steps have been mentioned in the related literature (e.g., [3,23]), they have not been arranged in such manner. This adds to the knowledge body how the correlation between inflation and another dependent variable can be precisely specified. Regarding the exploratory step, the last row in Table 2 presents the AAPD of each variable of the current work. As this row demonstrates, the signs of the AAPD of the independent variable of inflation and the dependent variables of RC material prices, RC cost, and CO2 emissions of steel reinforcement are positive. These positive signs show that the most likely scenario concerning the correlation between inflation and each dependent variable refers to a direct relationship. The next subsection will verify this result further relying upon the conformity step of Spearman correlation test.
4.3. Spearman Correlation
Table 3 introduces Spearman correlation coefficients along with the type and strength of the relationship between inflation and each dependent variable. The positive signs of Spearman correlation coefficients signify that the relationship type between inflation and each dependent variable has a direct correlation. This verifies the outputs of the prior exploratory step of Section 4.2 that increasing inflation causes a rise in RC material prices, RC cost, and CO2 emissions of steel reinforcement, and vice versa. This result can be more illustrated building on the AAPD of Table 2. When inflation has been deviated up to +9.056%, the prices of steel reinforcement, ordinary Portland cement, sand, and gravel have been driven up to 14.197%, 8.174%, 13.909%, and 10.791%, respectively. In the same vein, RC cost has been increased by 14.020%. Further, the CO2 emissions of steel reinforcement have been raised by 144.605%. By dividing the AAPD of each dependent variable by the AAPD of the inflation rate, a significant ratio can be presented for observing how the increase in inflation by 1% affects each dependent variable. It can be concluded that 1% increase in inflation leads to an increase in the prices of steel reinforcement, ordinary Portland cement, sand, and gravel by 1.568%, 0.903%, 1.534%, and 1.191%, respectively. Moreover, RC cost can increase by 1.548%. On the other hand, the CO2 emissions of steel reinforcement can increase by 15.968%. Determining these percentages has three implications. First, they guide the Egyptian contractors to define a reasonable risk margin to cover the influences of inflation on increasing RC material prices and RC cost. Second, they lead the officials in the Egyptian government to quantify the consequences of RC materials on the environment according to their CO2 emissions given increasing inflation. Third, they put forward a new area for being approached: developing models for defining the percentages of increase in RC material prices and RC cost owing to the rise in inflation. This area will verify the accuracy of the percentages identified in this study, providing the knowledge body with more exact results.
By taking a deep insight at Spearman correlation coefficients of RC material prices, an important outcome can be grasped. Steel reinforcement prices have the highest correlation coefficient with inflation (i.e., RS = +0.571), followed by ordinary Portland cement (RS = +0.548), sand (RS = +0.357), and gravel (RS = +0.357). These values on the scale of Spearman correlation coefficient mean that the prices of steel reinforcement and ordinary Portland cement have a moderate correlation with inflation. Yet, the prices of sand and gravel have a weak correlation with the inflation rate. These findings summarize that the prices of steel reinforcement and ordinary Portland cement are more sensitive to the changes in inflation than the prices of sand and gravel. However, by comparing Spearman correlation coefficients of the prices of steel reinforcement (RS = +0.571) and ordinary Portland cement (RS = +0.548), the prices of the former can be described as the most sensitive ones to the variations in inflation. This analysis defines the significance degrees of RC material prices on deviating RC cost. This directs industry stakeholders to know which RC material they should focus on for accurately estimating RC cost. From Table 3, additionally, other valuable information can be clarified: Spearman correlation coefficient of the inflation–RC cost nexus is +0.571, indicating that RC cost has a moderate relationship with inflation. This correlation highlights that even if the relationship between the inflation rate and RC cost is moderate, this correlation contributes considerably to overrunning the projects budgets. This realizes from the fact that RC is a chief building material in most construction projects. More critically, the prices of its materials represent a substantial percentage of the projects costs [24]. Accordingly, its sensitivity for being increased with inflation leads to sharp increases in the financial plans of construction projects. Unfortunately, this impacts the economic sustainability of the construction industry in terms of lessening the financial viability of its projects. Facing these impacts of inflation, this study suggests the following recommendations.
- (1)
- First, it urges governments to work in leaps and bounds for improving their economic conditions. This is a vital strategy for making their macroeconomic environments more stable. This contributes significantly to controlling the impacts of inflation on their construction sectors [35].
- (2)
- Second, it asks the officials in the construction community to shorten the duration of their projects, mainly when they are implemented in countries with high inflation rates [36,37]. Musarat et al. [3] illustrated the importance of this suggestion that inflation poses fewer effects on overrunning the costs of the short-term projects than the projects having a lengthy duration.
- (3)
- Third, as explained by Musarat et al. [3], this paper highly recommends that in the case of the long-term projects, the prices of building materials must be forecasted relying upon the past inflation rates for being considered in the preliminary Bill of Quantities to avert cost overrun.
Away from the economic implications of the inflation–RC cost nexus, the inflation–RC materials relationship underlines critical effects on environmental sustainability. Table 3 shows these effects that the CO2 emissions of steel reinforcement have a correlation coefficient of +0.524, indicating a moderate direct relationship with inflation. This correlation informs that the higher the inflation rates are, the higher the CO2 emissions of steel reinforcement become, and vice versa. This precious result is long overdue to correct the inaccurate conclusion of Musarat et al. [23] that reducing inflation reduces building material prices; however, it does not assist in reducing their CO2 emissions. The reason why reducing inflation leads to a reduction in CO2 emissions of construction materials is principally ascribed to the fact that it reduces prices not only in the construction sector, but also in all sectors as a whole. This, in turn, reduces the production costs of all products in order to be selling at lower prices. This pushes contractors to purchase more construction materials before prices rise again [23]. Similarly, manufacturers of building materials are encouraged to seize this opportunity to implement the controlling systems of the construction materials’ CO2 intensity at reasonable costs. At this point, even if more building materials are produced to cover the needs of contractors, controlling the emitted CO2 intensity can effectively reduce the total resulting amount of CO2 emissions. This conclusion is supported by data from a report of Al Ezz Dekheila steel company—a leading Egyptian steel company—that when it implemented an advanced energy management system, in compliance with ISO 50001, it has been able to reduce the emitted CO2 intensity, causing a significant reduction of 84,879 tons of CO2 emissions/year [38]. This positive result highlights that manufacturers of construction materials have an important role in controlling the implications of building materials on environmental sustainability. Nevertheless, this role is associated with the support of governments in terms of combating inflation to reduce prices, causing supplies are available for all sectors at lower costs.
This study illustrates another role for governments to play to reduce construction materials’ CO2 emissions, particularly those associated with RC materials. This role is that they should cooperate with the scholars to direct their research streams toward developing green design mixes of RC by partially replacing high-carbon ordinary Portland cement with low-carbon materials, such as fly ash [39]. Previous studies (e.g., [39]) confirmed that this research direction is very useful toward highly reducing CO2 emissions of RC. Another scholarly strand in this area is that researchers should pay their attention toward utilizing the wastes of the construction industry or those of the other sectors instead of aggregates (e.g., [40,41]) and ordinary Portland cement (e.g., [42,43]) when designing their mixes of RC. This research stream will not only contribute to affording sustainable alternatives of RC [44], but will also reduce the use of new resources during their production [45]. In this respect, the scholars have to focus their attempts on developing these green design mixes as soon as possible, keeping in mind that they should be cost-effective solutions. This will pay governments to generalize the implementation of the developed design mixes in the projects of their construction industries. As a result, construction projects can be executed at proper cost, along with lower amounts of CO2 emissions. Emphatically, if the governments, manufacturers of construction materials, and scholars play their roles, as mentioned in this research, at a fast pace they can overcome inflation and its consequence on their construction sectors, economies, and environments.
5. Limitations and Upcoming Research Directions
As all the researchers, the author of the present paper faced some challenges, adding limitations to his work.
- (1)
- First, CAPMAS [29] does not have reliable data concerning the consumed quantities of ordinary Portland cement, sand, and gravel for being multiplied by their rates of CO2 emissions to determine their inflation–CO2 emissions relationships. As a result, the study was able to specify the inflation–CO2 emissions nexus with respect to steel reinforcement only. Despite the impact of this challenge, the realized investigation led to correct the implications of Musarat et al. [23] that overcoming inflation can reduce building material prices; nevertheless, it increases CO2 emissions. However, this paper advises the analysts in their future works to exert more efforts to examine the uninvestigated correlations in order to grasp the whole picture of the inflation–RC material CO2 emissions nexus.
- (2)
- Second, the findings of this paper have been explored from data related to a developing country, i.e., Egypt. Hence, the presented outputs are limited to developing economies which have the same economic characteristics as Egypt in terms of causing the decreasing or increasing behavior and intensity of inflation and material prices over time.
- (3)
- Third, it was difficult to compare the outputs of this research with those of prior studies concerning the inflation–material prices relationship. The reasons are that while the findings of most of the previous works (e.g., [21]) are based on imprecise methodologies, other results (e.g., [3]) are associated with different economic and political conditions from Egypt’s circumstances.
- (4)
- Finally, the comprehensive methodology of the present paper can be utilized in various countries and applied on the materials relevant to other activities of the construction industry, such as mechanical and architectural works. Such studies are priceless to scrutinize the construction materials-specific differences in terms of their prices, costs, and CO2 emissions owing to the influences of the inflation rate, whether in similar or dissimilar contexts. Consequently, a better understanding can be realized to overcome the economic and environmental implications of inflation on the sustainable development of the construction sectors and their nations.
6. Conclusions
This study aims to verify the controversial conclusion of prior literature that overcoming inflation reduces building material prices; however, it increases construction materials’ CO2 emissions. Moreover, it bridges the knowledge gaps of grasping the economic and environmental correlations and consequences of RC in accordance with the effects of inflation and CO2 emissions, respectively. Based on reliable data from Egypt’s construction sector, Spearman correlation test has been utilized to determine (1) the inflation–RC material prices nexus, (2) the inflation–RC cost relationship, and (3) the inflation–RC material CO2 emissions correlation. The findings revealed that prices of all RC materials have direct relationships with inflation. However, steel reinforcement prices are more affected by inflation than those of other RC materials, including ordinary Portland cement, sand, and gravel. Further, inflation has a direct correlation with RC cost. These correlations have been more illustrated by calculating how 1% increase in inflation can affect each of which. It has been summarized that increasing inflation by 1% leads to increase steel reinforcement prices and RC cost by 1.568% and 1.548%, respectively. Similarly, 1% increase in inflation causes increasing the CO2 emissions of steel reinforcement by 15.968%, indicating that their nexus has a direct correlation, not an inverse relationship, as listed in the archival works. These results have been also supported by significant discussions and implications to show how the consequences of inflation on RC can be averted with a focus on the economic sustainability of the construction sector. Likewise, the research illustrated how CO2 emissions of RC can be reduced to maintain environmental sustainability.
Funding
This research received no external funding.
Institutional Review Board Statement
Not applicable.
Informed Consent Statement
Not applicable.
Data Availability Statement
All referenced data exists within the paper.
Conflicts of Interest
The author declares no conflict of interest.
Appendix A
Table A1.
Inflation and building material prices related literature.
Table A1.
Inflation and building material prices related literature.
| Study | Study Scope | Investigated Materials | Analyzing Tools |
|---|---|---|---|
| [14] |
| Cement, steel reinforcement, coarse aggregate, fine aggregate, sandcrete blocks, long-span aluminum roofing sheets, and paints. |
|
| [15] |
| Not mentioned. |
|
| [16] |
| Cement, steel reinforcement, wire mesh, gravel, granite, sand, laterite, blocks, hardwood, and paints. |
|
| [17] |
| Cement, sand, aggregate, sandcrete blocks, steel reinforcement, asbestos, roofing sheets, nails, timber, ceiling board, electrical cables, paints, sanitary fitting, flooring tiles, sliding windows, and glass. |
|
| [18] |
| Cement. |
|
| [19] |
| Cement. |
|
| [20] |
| Steel reinforcement, cement, sand, bricks, and aggregate. |
|
| [3] |
| Cement; aggregate; sand; steel reinforcement; ready mix concrete; bricks; roofing; walls and floor tiles; ceiling board; plumping; sanitary fitting; paints; steel and metal sections; plywood; timber; glass; and ironmongery. |
|
| [22] |
| Cement, steel, crushed aggregate, sand, and bricks. |
|
| [23] |
| Sand; cement; steel reinforcement; bricks; aggregate; roofing; ceiling board; walls and floor tiles; ironmongery; plumping; timber; sanitary fitting; ready concrete mix; paints; plywood; glass; and steel and metal sections. |
|
| [21] |
| Cement and steel. |
|
References
- Musarat, M.A.; Alaloul, W.S.; Liew, M.S. Impact of inflation rate on construction projects budget: A review. Ain Shams Eng. J. 2021, 12, 407–414. [Google Scholar] [CrossRef]
- Firouzi, A.; Yang, W.; Li, C.Q. Prediction of total cost of construction project with dependent cost items. J. Constr. Eng. Manag. 2016, 142, 04016072. [Google Scholar] [CrossRef]
- Musarat, M.A.; Alaloul, W.S.; Liew, M.S.; Maqsoom, A.; Qureshi, A.H. Investigating the impact of inflation on building materials prices in construction industry. J. Build. Eng. 2020, 32, 101485. [Google Scholar] [CrossRef]
- Shiha, A.; Dorra, E.M.; Nassar, K. Neural networks model for prediction of construction material prices in Egypt using macroeconomic indicators. J. Constr. Eng. Manag. 2020, 146, 04020010. [Google Scholar] [CrossRef]
- Kar, S.; Jha, K.N. Assessing criticality of construction materials for prioritizing their procurement using ANP-TOPSIS. Int. J. Constr. Manag. 2022, 22, 1852–1862. [Google Scholar] [CrossRef]
- Marzouk, M.; Amin, A. Predicting construction materials prices using fuzzy logic and neural networks. J. Constr. Eng. Manag. 2013, 139, 1190–1198. [Google Scholar] [CrossRef]
- El-Kholy, A.M. Predicting cost overrun in construction projects. Int. J. Constr. Eng. Manag. 2015, 4, 95–105. [Google Scholar]
- Balali, A.; Moehler, R.C.; Valipour, A. Ranking cost overrun factors in the mega hospital construction projects using Delphi-SWARA method: An Iranian case study. Int. J. Constr. Manag. 2022, 22, 2577–2585. [Google Scholar] [CrossRef]
- Chukwudi, U.; Chigozie, G.; Chukwujekwu, A.; Hadiza, A. The correlation between foreign exchange rates and prices of building materials in Nigeria, 2011–2017. Int. J. Bus. Manag. 2017, 5, 94–100. [Google Scholar]
- Abdulhaqq, M.O.; Abdulsamad, M.A. Correlation between petroleum pump price volatility and selected building materials prices of construction projects in Nigeria, 2011–2020. Int. J. Bus. Manag. 2021, 9, 42–51. [Google Scholar] [CrossRef]
- Faghih, S.A.M.; Kashani, H. Forecasting construction material prices using vector error correction model. J. Constr. Eng. Manag. 2018, 144, 04018075. [Google Scholar] [CrossRef]
- Mir, M.; Kabir, H.D.; Nasirzadeh, F.; Khosravi, A. Neural network-based interval forecasting of construction material prices. J. Build. Eng. 2021, 39, 102288. [Google Scholar] [CrossRef]
- Oladipo, F.O.; Oni, O.J. Review of selected macroeconomic factors impacting building material prices in developing countries–A case of Nigeria. Ethiop. J. Environment. Stud. Manag. 2012, 5, 131–137. [Google Scholar] [CrossRef]
- Oghenekevwe, O.; Olusola, O.; Chukwudi, U.S. An assessment of the impact of inflation on construction material prices in Nigeria. PM World J. 2014, III, 1–22. [Google Scholar]
- Adegbembo, T.F.; Adeniyi, O. Evaluating the Effect of Macroeconomic Indicators on Building Materials Prices. In Proceedings of the Nigerian Institute of Quantity Surveyors: 2nd Research Conference–ReCon2, Abuja, Nigeria, 1–3 September 2015. [Google Scholar]
- Kalu, J.U.; Gyang, Z.Z.; Aliagha, G.U.; Alias, B.; Joachim, O.I. Monetary policy and its price stabilization effects on the prices of building materials. Mediterran. J. Soc. Sci. 2015, 6, 171–177. [Google Scholar] [CrossRef]
- Oladipo; Olukayode, F. An assessment of the relationship between macro-economic indicators and prices of building materials in Nigerian construction industry. Int. J. Sci. Bas. Appl. Res. 2015, 24, 112–123. [Google Scholar]
- Bediako, M.; Amankwah, E.O.; Abodor, C.D. The impact of macroeconomic indicators of cement prices in Ghana. J. Sci. Res. Rep. 2016, 9, 1–6. [Google Scholar] [CrossRef]
- Oba, K.M. A multiple linear regression model to predict the price of cement in Nigeria. Int. J. Econo. Manag. Eng. 2019, 13, 1482–1487. [Google Scholar]
- Mohamed, E.B.; Mahmoud, S.Y. An assessment of the impact of inflation on the prices of selected construction materials in Sudan. Int. J. Multidiscipli. Res. Publica. 2020, 2, 41–44. [Google Scholar]
- Dilip, D.K.; Jesna, N.M. Macroeconomic indicators as potential predictors of construction material prices. Sustainabil. Agr. Food Environment. Res. 2022, 10, 1–9. [Google Scholar]
- Musarat, M.A.; Alaloul, W.S.; Qureshi, A.H.; Altaf, M. Inflation Rate and Construction Materials Prices: Relationship Investigation. In Proceedings of the International Conference on Decision Aid Sciences and Application, Sakheer, Bahrain, 8–9 November 2020. [Google Scholar]
- Musarat, M.A.; Alaloul, W.S.; Liew, M.S.; Maqsoom, A.; Qureshi, A.H. The effect of inflation rate on CO2 emission: A framework for Malaysian construction industry. Sustainability 2021, 13, 1562. [Google Scholar] [CrossRef]
- Bassioni, H.A.; Elmasry, M.I.; Ragheb, A.M.; Youssef, A.A. Time Series Analysis for the Prediction of RC Material Components Prices in Egypt. In Proceedings of the 28th Annual ARCOM Conference; Association of Researchers in Construction Management, Edinburg, UK, 3–5 September 2012. [Google Scholar]
- Marey, H.; Kozma, G.; Szabó, G. Effects of using green concrete materials on the CO2 emissions of the residential building sector in Egypt. Sustainability 2022, 14, 3592. [Google Scholar] [CrossRef]
- CAPMAS (Central Agency for Public Mobilization and Statistics). Monthly Bulletin of Average Retail Prices of Major Important Building Materials; Central Agency for Public Mobilization and Statistics: Cairo, Egypt, 2023. [Google Scholar]
- Hassanein, A.A.; Khalil, B.N. Developing general indicator cost indices for the Egyptian construction industry. J. Finan. Manag. Prop. Constr. 2006, 11, 181–194. [Google Scholar] [CrossRef]
- CAPMAS (Central Agency for Public Mobilization and Statistics). Urban’s Annual Inflation Rate of the Republic. 2023. Available online: https://www.capmas.gov.eg/Pages/IndicatorsPage.aspx?ind_id=2517 (accessed on 3 February 2023).
- CAPMAS (Central Agency for Public Mobilization and Statistics). Annual Bulletin of Construction & Building Statistics for Private Sector Companies; Central Agency for Public Mobilization and Statistics: Cairo, Egypt, 2023. [Google Scholar]
- Enterprise. Just How Bad is Construction Material Pollution in Egypt? Enterprise Ventures LLC: Cairo, Egypt, 2021. [Google Scholar]
- Alaloul, W.S.; Musarat, M.A.; Liew, M.S.; Qureshi, A.H.; Maqsoom, A. Investigating the impact of inflation on labour wages in construction industry of Malaysia. Ain Shams Eng. J. 2021, 12, 1575–1582. [Google Scholar] [CrossRef]
- Musarat, M.A.; Alaloul, W.S.; Liew, M.S. Inflation rate and labours’ wages in construction projects: Economic relation investigation. Eng. Constr. Archit. Manag. 2022, 29, 2461–2494. [Google Scholar] [CrossRef]
- Xiao, C.; Ye, J.; Esteves, R.M.; Rong, C. Using Spearman’s correlation coefficients for exploratory data analysis on big dataset. Concurr. Computat. Pract. Exper. 2016, 28, 3866–3878. [Google Scholar] [CrossRef]
- El-Dash, K.; Abdel Monem, M. Potential Risks in Civil Infrastructure Projects in Egypt. In Proceedings of the VIII International Congress on Project Engineering-III IPMA-ICEC International Expert Seminar, Bilbao, Spain, 6–8 October 2004. [Google Scholar]
- Cheung, E.; Chan, A.; Kajewski, S. Factors contributing to successful public private partnership projects: Comparing Hong Kong with Australia and the United Kingdom. J Facili. Manag. 2012, 10, 45–58. [Google Scholar] [CrossRef]
- Tiong, R. CSFs in competitive tendering and negotitaion model for BOT projects. J. Constr. Eng. Maanag. 1996, 122, 205–211. [Google Scholar] [CrossRef]
- Zhang, X. Concessionaire selection: Methods and criteria. J. Constr. Eng. Maanag. 2004, 130, 235–244. [Google Scholar] [CrossRef]
- IEA (Industrial Energy Accelerator). Case study: Al Ezz Dekheila Steel company: Implementation of Energy Management System (EnMS) to Decrease Energy Consumption. 2023. Available online: https://www.industrialenergyaccelerator.org/egypt/case-study-al-ezz-dekheila-steel-company/ (accessed on 3 March 2023).
- Hamza, A.S. Assessment of Carbon Dioxide Emission and Its Impact on High-Rise Mixed-Use Buildings in Egypt. Master’s Thesis, American University in Cairo, Cairo, Egypt, 2021. [Google Scholar]
- Colangelo, F.; Petrillo, A.; Farina, I. Comparative environmental evaluation of recycled aggregates from construction and demolition wastes in Italy. SCi. Tot. Environ. 2021, 798, 149250. [Google Scholar] [CrossRef]
- Petrillo, A.; Colangelo, F.; Farina, I.; Travaglioni, M.; Salzano, C.; Cioffi, R. Multi-criteria analysis for Life Cycle Assessment and Life Cycle Costing of lightweight artificial aggregates from industrial waste by double-step cold bonding palletization. J. Clean. Product. 2022, 351, 131395. [Google Scholar] [CrossRef]
- Tang, Y.; Lee, Y.; Amran, M.; Fediuk, R.; Vatin, N.; Kueh, A.; Lee, Y. Artificial neural network-forecasted compression strength of alkaline-activated alag concretes. Sustainability 2022, 14, 5214. [Google Scholar] [CrossRef]
- Demissew, A.; Fufa, F.; Assefa, S. Partial replecemnt of cement by coffee husk ash for C-25 concrete production. J. Civ. Eng. Sci. Tech. 2019, 10, 12–21. [Google Scholar] [CrossRef]
- Hafez, H.; Kurda, R.; Al-Ayish, N.; Garcia-Segura, T.; Cheung, W.; Nagaratnam, B. A whole life cycle performance-based ECOnomic and ECOlogical assessment framework (ECO2) for concrete sustainability. J. Clean. Product. 2021, 292, 126060. [Google Scholar] [CrossRef]
- Akbarnezhad, A.; Ong, K.; Chandra, L. Economic and environmental assessment of deconstruction strategies using building information modeling. Automat. Constr. 2014, 37, 131–144. [Google Scholar] [CrossRef]
Disclaimer/Publisher’s Note: The statements, opinions and data contained in all publications are solely those of the individual author(s) and contributor(s) and not of MDPI and/or the editor(s). MDPI and/or the editor(s) disclaim responsibility for any injury to people or property resulting from any ideas, methods, instructions or products referred to in the content. |
© 2023 by the author. Licensee MDPI, Basel, Switzerland. This article is an open access article distributed under the terms and conditions of the Creative Commons Attribution (CC BY) license (https://creativecommons.org/licenses/by/4.0/).




