Abstract
From a global perspective, the ecological sustainability of building systems has always been a hot research topic, especially in China, where the annual amount of new construction is nearly half of the world. The difficulty is making a complete and accurate ecological assessment of the building system. This study has designed and adopted the LCA-Emergy-ANN framework to assess and analyze an airport building system for sustainability. The results demonstrate that building material emergy and operational stage emergy play a critical role and account for 92.4% of the entire emergy, which are the primary contributors. As the vital indicator, the emergy sustainability index (ESI) is 0.669, which is unsustainable (The eligibility standard is 1). Simultaneously, to ensure the accuracy of the data results, sensitivity analysis was performed. The artificial neural network (ANN) was used by integrating the LCA method and emergy approach to predict the sustainability trend in the long run. In the end, the optimization strategy is proposed to enhance the sustainability of the building system.
1. Introduction
As an important part of the global ecosystem, building systems are indispensable for human habitation and coping with climate deterioration. With the growth of population and environmental degradation, the concept of ecological architecture is proposed and promoted [1]. For ecological building systems, it means that ecological points and methods are applied to the field of architecture to improve the ecological design and evaluation to achieve the intersection of architectural systems and ecological approaches [2,3].
For the investigation and exploration of ecologically sustainable buildings, many scholars have made in-depth studies, which mainly focus on five aspects, including ecological indexes [4,5], assessment views [6,7,8], sustainability perspective [9,10,11,12], building renewal viewpoint [13,14], intersecting methodology [15,16,17], etc.
The type of research involves many kinds, such as green buildings [4,5], built assets [6], residential buildings [7,8,9], building design process [10], building review (new buildings\in-use buildings\single building\group of building\building element) [11], school building [12], old building [13], intelligent building [14], mixed building type [15], green building example [16], high-rise timber building [17], etc.
Studies have explored the relationship between resilience indexes and building systems [4]. Depending on three-class element network indicators, the building systems were implemented and displayed for the ecological hierarchy [5].
From an evaluation point of view, it is a hot spot for building systems. Based on the decision-making framework, the building system was assessed for sustainable development [6]. A new rapid evaluation approach was utilized to obtain the building system's assessment result, showing further possibility [7]. With the complex construction process, a social-based evaluation methodology was selected for better managing sustainable results [8].
The sustainability perspective is a key point in the ecological building field. In response to local climate changes (tropical climate), benchmark sustainability standards are emphasized [9]. The LCA approach was used for building systems through environmental, economic, social, and other comprehensive considerations [10]. Several researchers have taken a closer look by reviewing the literature on sustainability investigation in the building system [11,12].
The research of architectural sustainability renewal is also the focus of scholars [13,14], which connects the present and future building development trends.
In addition, various methods are used in the field of ecological study of building systems, such as the bibliometric mapping approach [15], green system view [16], reassessment method [17], etc.
Therein, as an ecological analysis, the emergy method has been adopted and discussed in many fields, such as the ecological field [18], economic aspect [19], agricultural assessment [20], industrial study [21], urban view [22], water pollution treatment [23], etc. The cross-study between the architecture field and the emergy method is relatively new and has been rising gradually in the last decade. As a new method, LCA-Emergy was provided for the sustainability assessment in the building system [24], including building material and construction process, etc. [25,26,27,28]. In addition to common building types, large building systems and zero-energy building systems are also considered for ecological characteristics [29,30,31]. Some scholars have made various explorations involving renovation effect [32], building uncertainty [33], and cross approach [34].
In addition, the whole life cycle approach is widely used in architecture. Several authors tried to integrate LCA and emergy methods to analyze the sustainability of the building system. By reviewing the literature of the past five years, only a few articles cover the LCA-Emergy method. For example, for building refurbishment, several strategies have been conducted based on the emergy-LCA method [35]. A residential building was selected for sustainability investigation in light of emergy analysis [36]. As a necessary part of the building system, the building cement material system has been concerned and analyzed to use an emergy view [37]. As a particular form of architecture, highway engineering has also been surveyed by emergy evaluation [38].
In addition, some defects restrict the development of this direction, including an old emergy benchmark, inadequate evaluation index, an incomplete emergy assessment calculation framework, etc.
With the development of artificial intelligence computing, artificial neural network (ANN), as a new method, is gradually being applied to many domains, which are also increasing applications in building systems [39,40]. Until now, through a literature review and verification, there has been no LCA-Emergy-ANN investigation and exploration of building systems, which is just the research direction in this study. This paper aims to figure out a series of questions, including:
- How is the LCA-Emergy-ANN method framework designed?
- How is the emergy boundary of the whole life cycle of the building system controlled?
- How to define and select evaluation indicators to assess sustainability?
- How to analyze the sensitivity of emergy analysis results?
- What are sustainable building system measures? How to determine the effect of improvement?
Based on the above five questions, this paper conducts the corresponding study and discussion, which provides references for architects and engineers.
2. Methodology and Case
Section 2 has four subsections: analysis framework, emergy introduction, artificial neural network, and case study.
2.1. Analysis Framework
Figure 1 demonstrates the research framework, mainly consisting of two parts, which are the LCA-emergy method and the ANN-emergy approach, respectively.
Figure 1.
LCA-Emergy-ANN analysis framework.
Based on LCA-Emergy analysis, seven types of inputs have been adopted to explore the sustainability of building systems, including solar, material, electricity, water, diesel fuel, gasoline, and human labor. Given the ANN-Emergy approach, the emergy research method of the artificial neural network was leveraged to predict the sustainable development of building systems in the long run.
2.2. Emergy Introduction
The Emergy concept has been defined as embodied energy, which differs from the energy view. H.T. Odum first put forward to evaluate the sustainability of ecological systems [41], which has an obvious advantage in building a platform for environmental assessment. As available energy, it realizes the alignment of various input items based on one unit standard to compare. The unit of emergy is the solar joule (sej), which can be transformed from any kind of energy. Among them, unit emergy value is the core point to measure and judge the hierarchy in the building system, which has three forms, including emergy per unit of energy (J), substance (g), and economic ($). Hence, the unit of UEV is sej/j, sej/g, and sej/$.
2.2.1. Basic Emergy Calculation
Emergy analysis can basically be divided into five main steps: (1) Basic data acquisition and collection; (2) Emergy system diagram design; (3) Emergy analysis table calculation; (4) Comprehensive emergy indicators analysis; (5) Final evaluation and strategic analysis in the building system.
The emergy T can be calculated by Equation (1).
where T is the total emergy, is the available energy or exergy, and is the unit emergy value.
2.2.2. LCA-Emergy Element Calculation Model
To determine the emergy of the whole life cycle of the building system, seven types of inputs are considered and analyzed: solar, mass, electricity, water, diesel fuel, and gasoline.
- (1)
- Solar irradiation model
The solar emergy can be used in Equation (2):
where represents the solar emergy in the construction process, A is the site surface, is the solar radiation amount (3.5 × 109 J/m2), ω is the surface albedo (0.7), is the construction time, and is the unit emergy values.
- (2)
- Mass Calculation Model
The mass of the emergy calculation model equation is calculated as follows (3).
where is the mass emergy; is mass quantity, and is the unit emergy value.
- (3)
- Electricity calculation model
The electricity calculation equation can be obtained by using Equation (4):
where is the emergy of electricity in the building system; is the electricity quantity; and is the unit emergy value.
- (4)
- Water emegy model
The water emergy has two parts. Firstly, it should be calculated in the building demolition and construction stage. The specific Equation (5) can be used as follows:
where is the water emergy, is the water volume, is the water density, G is the Gibbs energy of water (4.92 J/g), and is the water transformity.
Secondly, the water emergy should also be considered in the operation phase, and the equation can be utilized as (6).
where is the water emergy in the building operation stage, is the water volume per day for one person (25 L/d/p), is the employee number (the number is 200), and is the working time (280 days in this study).
- (5)
- Diesel fuel emergy model
Because of the machinery used, diesel fuel is necessary for the building system. The equation can be calculated in Equation (7):
where represents the emergy of the diesel fuel, is the amount of diesel oil used in the buildings system, shows the calorific value of diesel fuel, and is the unit emergy value.
- (6)
- Gasoline emergy calculation model
It can be computed based on Equation (8):
where is the gasoline emergy, is the gasoline quantity, is the calorific value, and is the unit emergy value.
- (7)
- Human labor emergy calculation model
The emergy of human labor can be counted from Equation (9):
where is the emergy of human labor, is the working time (8 h), is the number of employed workers, is the working day, and is the unit emergy value.
2.2.3. Emergy Diagram
In Figure 2, the building system's whole life cycle energy diagram is designed and defined in detail.
Figure 2.
LCA-Emergy evaluation boundary diagram of the building system.
There are four primary parts, including renewable resource input (on the left), non-renewable inputs (on the top), main system boundary (in the middle), and the external system (on the right). The whole life cycle of a building system consists of five stages, namely the building material stage, material transformation stage, construction stage, operational stage, and demolition stage, respectively.
2.2.4. Sustainable Indicators
For sustainability assessment in the building system, a series of indexes have been adopted to demonstrate sustainable hierarchy, as follows:
- (1)
- Emerge intensity (Ep) represents the emergy per person.
- (2)
- Emergy per RMB (Ee) demonstrates the amount of emergy per unit of money.
- (3)
- Emergy density (Ed) illustrates the emergy per unit area.
- (4)
- Renewability rate (Re) explains the proportion of renewable inputs.
- (5)
- Non-renewability rate (Nr) displays the proportion of non-renewable inputs.
- (6)
- Non-renewability rate of purchased resource (Np) shows the ratio of non-renewable resources purchased.
- (7)
- Purchased emergy dependence level (Pe) describes the proportion of resources purchased by external inputs.
- (8)
- Emergy investment ratio (EIR) instructs emergy ratio of external investment.
- (9)
- Environmental loading ratio (ELR) represents the system’s load pressure on the environment.
- (10)
- Emergy yield ratio (EYR) expresses the emergy independent level in the system.
- (11)
- Emergy sustainability index (ESI) states the sustainability degree of the target system. According to the standard [41], the basic criteria is ESI = 1(if ESI < 1, unqualified).
According to the study of architectural cases, the selection criteria of sustainability goals include three types: basic criteria (average emergy index group), procedural criteria (basic emergy index group), and final qualitative criteria (comprehensive key emergy index).
Basic criteria can express the basic structural sustainability of the building, including Emerge intensity (Ep), Emergy per RMB (Ee), Emergy density (Ed), etc.
Procedural criteria demonstrate the sustainable process of building cases involving Renewability rate (Re), Non-renewability rate (Nr), Purchased emergy dependence level (Pe), and Emergy investment ratio (EIR).
The final qualitative criteria provide the comprehensive sustainability assessment results based on the Environmental loading ratio (ELR), Emergy yield ratio (EYR), and Emergy sustainability index (ESI).
Among them, the parameters positively correlated with the sustainability effect are Re, Pe, EIR, and ESI, respectively. The rest are negative feedback indicators, and the larger the value, the lower the sustainability of the building system (Figure 3). According to the logical, in-depth analysis of indicators, these indicator groups can be divided into two categories; one is the basic indicators (Ep, Ee, Ed, Re, Nr, Np, Pe), the other is the comprehensive key indicators (EIR, ELR, EYR, ESI).
Figure 3.
Indicator evaluation path map based on LCA-Emergy view.
EIR shows the economic competitiveness of building systems. ELR, as the definition, represents the environmental load concentration of a building system, which is a high standard, when it is greater than 10. EYR explains the building system’s emergy generation level and the relationship's closeness with the external environment. ESI can be counted based on EYR and ELR, which elucidates the final sustainability degree of the building system. In general, it is unsustainable when the value is less than 1 [41].
2.2.5. Sensitivity Analysis
In order to obtain an accuracy assessment result, the sensitivity analysis needs to be realized. In this paper, the sensitivity analysis has been executed for the main impact element in the building system. In general [23], the calculated equation can be used as follows:
Herein, represents the emergy, E is the energy (J), mess (kg), and money ($), respectively, UEV is the unit emergy value, shows the emergy error, and is the UEV error.
2.3. Artificial Neural Network (ANN) Method
Artificial neural network (ANN) is widely adopted as a study method in system prediction evaluation, which has rapidly developed in the last twenty years [42,43]. The ANN structure generally consists of three layers of neurons: the input layer, the hidden layer, and the output layer [44,45]. In Figure 4, an integrated prediction model has been designed to be coupled based on the LCA-Emergy view.
Figure 4.
Integrated LCA-Emergy and ANN model.
At the bottom level of the design drawing is the input of a series of indexes, including basic and comprehensive indicators. The intermediate structure is the hidden layer and the various feedback inputs, involving an unsupervised training model and material flow, energy flow, and information flow feedback. In the top-level output, the sustainability state of the entire building system is generated in the long run.
The basic mathematical formula for neural networks can be found in Equations (11) and (12).
where represents the sample, shows the input vectors, and is the output vectors. and demonstrate the bias vectors. denotes the threshold value.
2.4. Case Study
For the sake of regional economic development and personnel exchange, this new airport was built in Xuancheng city, which is located between 29°57′ and 31°19′ north latitude and 117°58′–119°40′ east longitude and belongs to the Anhui Province. The airport adopts an A2 class general airport level to design and build [46], mainly used for aviation forest protection, disaster protection, medical rescue, transportation, flight training, tourism, and other flight activities.
The airport building complex consists of three categories, namely the airport terminal, dormitory, and hangar, which are all reinforced concrete structures (Figure 5), with a total investment estimated at 228.83771 million yuan. Therein, the airport complex building has 6810 square meters of construction area (four floors) and covers an area of 1966 square meters. Correspondingly, the data for the hangar (two floors) and dormitory complex building (four floors) are 5600 m2 and 4880 m2, 6207 m2 and 2126 m2, respectively. The study case is from the machinery Industry Sixth Design and Research Institute Co., Ltd. and was authorized.
Figure 5.
An airport building case.
3. Results and Discussion
As the main outcome and discussion session, five subsections are displayed: LCA-Emergy analysis, sustainable indicators analysis, sensitivity analysis, unit emergy value, and ANN-Emergy analysis.
3.1. LCA-Emergy Analysis
In Section 3.1, five stages of the building system have been selected and analyzed (Figure 6), which are the building materials stage, materials transportation stage, construction stage, operation stage, and demolition stage, respectively. Based on the LCA-Emergy view, the emergy of building material production and operational stage plays a key role, accounting for roughly 92.4% of the total emergy in the long run, which is the primary contributor according to 30 years of service life of an airport building [47].
Figure 6.
LCA-Emergy analysis trend.
By evaluating each phase separately, the proportion of the emergy at the operation stage is the largest (61.64%), followed by the building material stage (30.49%), the demolition stage (3.7%), the construction stage (2.31%), and the material transportation stage (1.52%). The development trend can be seen in Figure 6.
From the building material point of view to analyze singly, the largest amount of emergy is concrete, followed by cement and steel, accounting for 60.7%, 20.3%, and 8.65%, respectively. The detailed trend has been shown in Figure 7A,B. From the perspective of a device (in Figure 7C,D), the first three inputs are sorted as pressure welding machines (33.8%), followed by butt welding machines (25%), and tower cranes (11.3%).
Figure 7.
Emergy trends display of building materials and equipment.
3.2. Sustainable Indicators Analysis
There are three categories of indexes in Section 3.2, which are the average emergy index group, basic emergy index group, and comprehensive key emergy index group.
Firstly, three kinds of emergy average indicators are presented: Emergy intensity (Ep) is 1.51 × 1017 sej/unit, which is a high degree. Emergy per RMB (Ee) is 3.19 × 1012 sej/unit, showing better sustainability. Meanwhile, Emergy density (Ed) has a sustainable state, and the value is 8.95 × 1015 sej/unit.
Secondly, basic emergy indicators consist of four inputs, which are Renewability rate (Re), Non-renewability rate (Nr), Non-renewability rate of purchased resource (Np), and Purchased emergy dependence level (Pe), respectively. Re is 0.23, which illustrates a poor ecological level and needs to supplement to enhance the sustainability level. Nr is 0.77, demonstrating a worse ecological extent. Np is 0.32, which should minimize the purchased resource emergy input. Pe is 3.13, and it is not enough to improve the competitiveness of the building system.
In the last, the Emergy investment ratio (EIR), Environmental loading ratio (ELR), Emergy yield ratio (EYR), and Emergy sustainability index (ESI) were counted and analyzed. EIR is 0.23, instructing the economic input degree of the building system is weak. ELR is 3.423, interpreting the ecological load degree (medium intensity). EYR is 2.291, demonstrating the building system’s poor ability to generate emergy. As the vital indicator, ESI has been calculated based on EYR and ELR; it is 0.669, which is unsustainable in the long run according to the standard.
3.3. Sensitivity Analysis
Sensitivity analysis is closely related to the main influencing factors, which will greatly affect the accuracy of the final result. This study has six primary contributors: concrete, cement, steel, pressure welding machines, followed by butt welding machines and tower cranes, etc. To achieve the sensitivity calculation quantitatively, a hypothesis has been executed: each of the main emergy inputs changes by 10%, and other parts remain constant to verify the indicator’s sensitivity variation. Figure 8 shows the final sensitivity results of six main contributors, which illustrates the indicators change trend after conducting the hypothesis (Figure 8A–E).
Figure 8.
Comparison analysis of former and latter.
From Figure 8A,B, the pressure welding machine has the most significant fluctuation (6.019%), followed by the tower crane (5.427%) and concrete (5.113%). Simultaneously, Figure 8C–E presents the indicators variations between the former and the latter. The order changes from largest to smallest is ESI (7.72%), Ee (5.76%), Ep (5.3%), EYR (3.5%), Np (3.03%), ELR (2.81%), EIR (2.13%), Nr (1.28%), Ed (0.72%), and Pe (0.48%). Therein, Re (−5%) is distinctly different from others, which tends to decrease.
3.4. Unit Emergy Value (UEV)
As the vital analysis part, unit emergy value (UEV) is the core content from the view of the emergy method. It is one of the key indicators to evaluate the sustainability of the building system, which can judge the health state of the entire building system. To date, in the field of building systems, not all building systems have UEV analysis when the emergy approach is used.
To find out the current research status of UEV clearly, relevant kinds of literature in the last five years have been combed and sorted in Table 1.
Table 1.
UEVs literature review list.
Through the whole building system based on emergy data, the UEV of airport buildings has been estimated (6.53 × 1015 sej/m2). By comparing with the UEV data in Table 1, the value is relatively sustainable, which is consistent with the sustainability parameter of ESI. For instance, take the latest emergy study as the case to analyze; the UEV of the case [36] is 2.14 × 1018 sej/m2, higher than that studied in this paper, elucidating that the design of building inputs in this paper is feasible.
3.5. ANN-Emergy Analysis
In addition to calculating and evaluating the existing sustainability effects in the building system, the future ecological sustainability of the building system also needs to be investigated and forecasted. In this study, taking Emergy Sustainability Indicator (ESI) as the pivotal indicator, the artificial neural network (ANN) method has been used to predict the life cycle of the building. In Figure 9A, the best validation performance is 4.74 × 10−5 at epoch 30. Figure 9B demonstrates the error distribution; the zero error is at the −0.3044 station. The regression analysis graphs have been computed in Figure 9C and show the regression accuracy of training, validation, testing, and total, which are 0.99989, 0.99998, 0.99991, and 0.99989, respectively. Through the regression accuracy, the robustness of ANN has a qualified form for the building system. In Figure 9D, the uncertainty percentage of all factors has been illustrated, which demonstrates the fluctuation range.
Figure 9.
ANN analysis results.
4. Improved Sustainable Design
Two measures have been provided to improve the sustainable effect in the building system, including clean energy embedded design and a coupling design of landscape subsystem.
4.1. Clean Energy Embedded Design
The use of renewable energy affects the sustainability of building systems, according to the study in this paper (Figure 10). Up to now, solar and wind power are the types of clean energy the Chinese government has heavily promoted, which have been investigated by many scholars [48,49].
Figure 10.
Clean energy supply framework.
In Figure 10, a clean, comprehensive model of integrating solar energy and wind power has been designed and explored to confirm the sustainability change. Figure 10 consists of three sections: the composite clean energy system, the feedback system, and the building system, respectively. The composite clean energy system relies on a range of devices to supply electricity. Then, through the feedback system, the stability of the power system is guaranteed and translated into the electricity consumption mode of the building system.
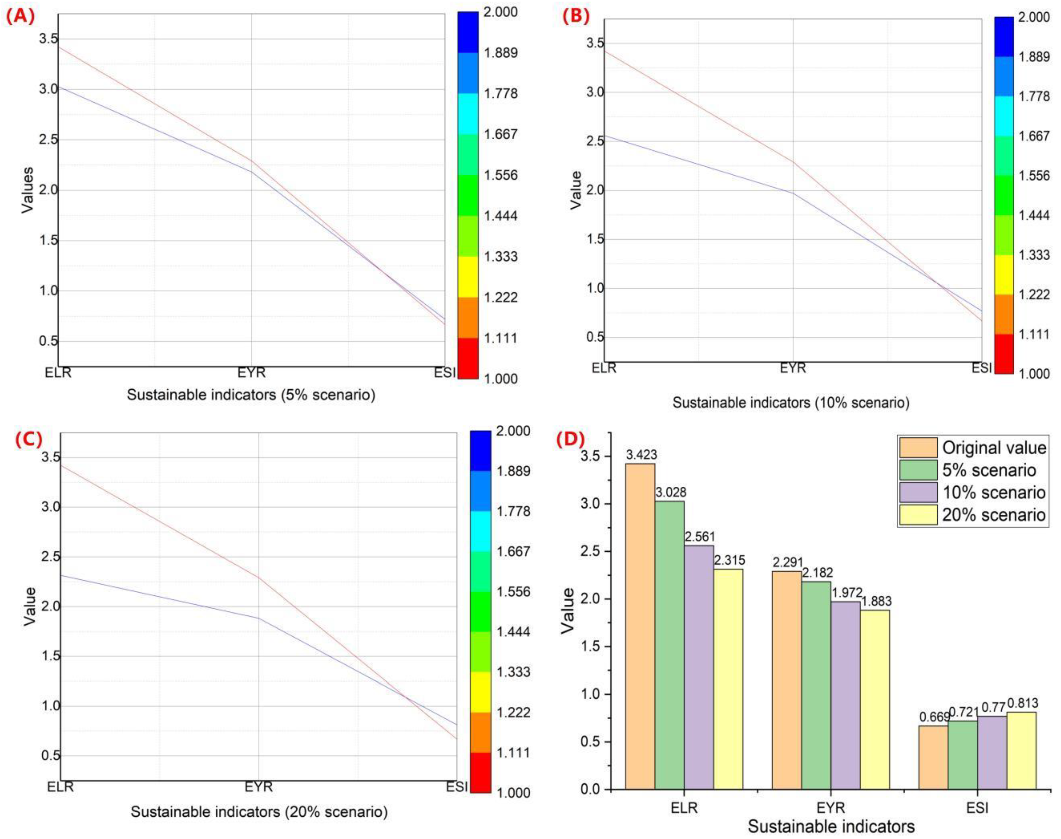
In this study, three scenarios are presented and analyzed, including 5%, 10%, and 20% of renewable energy replacement, respectively. Through the calculation of three key indicators (ELR, EYR, and ESI), changes in the three indicators are calculated and displayed in Figure 11. Figure 11A–D depicts the sustainable index changes. In Figure 11A–C, the indicators in the three scenarios were compared with the original indicators, showing that the environmental load rates of the entire building system are reduced (from 3.423 to 3.028/2.561/2.315), which are positive roles for the entire building system. Similarly, at the same time, the emergy production rate also has a similar trend (from 2.291 to 2.182/1.972/1.882). However, the reduced energy production rate has a negative effect on the sustainability of the building system. Based on ELR and EYR, ESI has been evaluated quantitatively, which are 0.669 of original data, 0.721 for the 5% scenario, 0.77 for the 10% scenario, and 0.813 for the 20% scenario, respectively (Figure 11D). Analyzing the trend as a whole, the sustainability parameter (ESI) is a positive trend, demonstrating that the sustainability of the entire building system is raised with the continuous input of clean energy. The fact is verified that using clean energy can optimize the sustainability level of building systems based on the LCA-Emergy method.
Figure 11.
Sustainable index variations after considering the clean energy input.
Nevertheless, in practice, several disadvantages hinder their promotion and application [50], such as enormous investment, professional and technical barriers, and geographical conditions. In this context, financial subsidies and favorable tax policies are effective measures to increase the use of clean energy and improve the building system’s sustainability.
4.2. A Coupling Design of Landscape Subsystem
The coupling of landscape ecosystems contributes to the mitigation of environmental climate change. In this study, three types of elements are utilized to design landscape systems, including trees, water, and flowers. Four landscape design schemes were designed based on these basic elements, which will be coupled to the building system to enhance sustainability. In Figure 12, the basic implementation framework is shown.
Figure 12.
Sustainable promotion based on landscape subsystems.
In Figure 13, four design schemes of landscape subsystems have been displayed about the sustainability effect. Based on the critical indicator group (ELR, EYR, and ESI) displays, a clear pattern can be obtained from Figure 13a–d. When the architectural system is coupled with the landscape design subsystem, sustainability is significantly improved, no matter what kind of landscape subsystem input.
Figure 13.
Sustainability change based on landscape subsystem impact.
However, disparate types of landscape design reveal distinct differences in the sustainable improvement of the building system. Figure 13b has the best sustainability improvement, followed by Figure 13a,c,d. In Figure 13b, the primary feature is the water landscape design, which demonstrates that the water landscape has a relatively ameliorative effect on sustainability. In Figure 13c, green space design is the major characteristic (large area than others’ design schemes), showing better sustainability (like the effect of water landscape design). In Figure 13d, a landscape design scheme that integrates green space and trees is more sustainable than a single tree planting (Figure 13a). To sum up, the sustainability effects of landscape design elements are water landscape design, green space design, green tree design, and flower design in order (from good to bad). The above facts also verify the positive sustainability impact of landscape subsystems on building systems, which gives architects new design ideas and inspiration to enhance the sustainability of building systems.
5. Conclusions
To investigate the environmental sustainability of the building system, LCA-Embodied energy (Emergy)-ANN methodology was implemented to analyze the airport buildings in this study.
Through LCA-emergy calculations, five stages of the building system have been compared. The building operation stage has the highest emergy mass, approximately 62% of the total emergy, followed by the building material stage (30.49%), the demolition stage (3.7%), the construction stage (2.31%), and the material transportation stage (1.52%), which identifies priorities if it is necessary to reduce the emergy level of the entire building system.
Simultaneously, a series of indicators have been selected and conducted to reveal sustainability grade. In particular, the Emergy sustainability index (ESI = 0.67) provides the final unsustainable state, which should consider improvement measures. In the long run, an artificial neural network (ANN) was utilized to predict the ESI floating range of five stages, which validates again the dominance of the building operation phase and the building material production phase.
To improve the environmental sustainability of the entire airport building, clean energy was embedded in the building system by replacing non-renewable energy sources. At the same time, the landscape subsystems were also coupled to the building system to promote a sustainable hierarchy. The above two strategies positively affect the building system's sustainability, providing references for architects and civil engineers.
In this study, several drawbacks also limit further development. For example, as a complex project, data acquisition of building systems is limited to some extent. It is not possible to collect 100% of the overall construction phase data, which has a negative impact on the study results. At the same time, for the building system, since the building is in the normal use stage, the investigation of the building operation stage and the building demolition stage needs to be predicted to a certain extent according to the daily operation data, which also influenced the results of the study. The future research focus of this study requires data tracking of building systems to verify the accuracy of the results of this study.
Author Contributions
Conceptualization, J.Z.; investigation, F.X.; formal analysis, J.Z.; methodology, J.Z.; resources, G.W.; writing—review and editing, C.Z. and H.W. All authors have read and agreed to the published version of the manuscript.
Funding
The work described in this paper was supported by the Industry-university cooperative education project of Sanjiang university in 2021: Curriculum construction of residential Decoration design based on intelligent technology system (No. 202102299004); Innovation and Entrepreneurship Training Plan for Undergraduates in 2022 (No. 202210289123Y); Industry-university Cooperative Education Project of Ministry of Education: Course Construction of Residential Decoration Design based on intelligent technology System (No. 202102299004); Jiangsu Province Construction System Science and Technology Project: Research on Durability Design Method of Fully decorated Residential Buildings under Emergy Theory Framework (No. 2022ZD047); Sanjiang University Curriculum Ideological and Political Research Project: Research on Ideological and Political Construction of Interior Design Introduction Course under the development of Building Technology System (No. SZ22001); Teaching Construction and Reform Project of Sanjiang University: Teaching Reform and Research of Science and Technology System Architectural Decoration Design under Emergy Theory Framework—Taking Introduction to Interior Design as an example (No. J22045); Open fund of State Key Laboratory of Silicate Materials for Architectures (Wuhan University of Technology) (SYSJJ2022-16); Open fund of Zhejiang Engineering Research Center of Building’s Digital Carbon Neutral Technology (No. ZJ2022YB-04); “Research on the Artistic style Characteristics and Value of Early Modernist Architectural in Jiangsu during the Republic of China” (Project No.: 22YSC009).
Institutional Review Board Statement
Not applicable.
Informed Consent Statement
Not applicable.
Data Availability Statement
The study did not report any data.
Conflicts of Interest
The authors declare no conflict of interest.
References
- DeAngelis, D.L.; Franco, D.; Hastings, A.; Hilker, F.M.; Lenhart, S.; Lutscher, F.; Petrovskaya, N.; Petrovskii, S.; Tyson, R.C. Towards Building a Sustainable Future: Positioning Ecological Modelling for Impact in Ecosystems Management. Bull. Math. Biol. 2021, 83, 107. [Google Scholar] [CrossRef] [PubMed]
- Ping, L.; Yang, L. Ecological technology of green building in the initial stage of design based on BIM technology. J. Exp. Nanosci. 2023, 18, 2170355. [Google Scholar] [CrossRef]
- Adamczyk, J.; Dylewski, R.; Sobierajewicz, P. Economic and ecological benefits of thermal insulation of external partitions depending on the temperature in residential premises. J. Clean. Prod. 2023, 384, 135622. [Google Scholar] [CrossRef]
- Roostaie, S.; Nawari, N. The DEMATEL approach for integrating resilience indicators into building sustainability assessment frameworks. Build. Environ. 2022, 207, 108113. [Google Scholar] [CrossRef]
- Andrea, V.; Wei, Z.; Lixing, G.; Ni-Bin, C.; Martin, P.W. Synergies of green building retrofit strategies for improving sustainability and resilience via a building-scale food-energy-water nexus. Resour. Conserv. Recycl. 2022, 176, 105939. [Google Scholar]
- Timothy, O.O.; Daniel, W.M.C. Cloud-based sustainability assessment (CSA) system for automating the sustainability decision-making process of built assets. Expert Syst. Appl. 2022, 188, 116020. [Google Scholar]
- Ferhat, K.; Mert, G.; Aiganym, K.; Dina, K.; Serik, T. A new stakeholder opinion-based rapid sustainability assessment method (RSAM) for existing residential buildings. Sustain. Cities Soc. 2020, 60, 102155. [Google Scholar]
- Fatourehchi, D.; Zarghami, E. Social sustainability assessment framework for managing sustainable construction in residential buildings. J. Build. Eng. 2020, 32, 101761. [Google Scholar] [CrossRef]
- Lazar, N.; Chithra, K. Benchmarking critical criteria for assessing sustainability of residential buildings in tropical climate. J. Build. Eng. 2022, 45, 103467. [Google Scholar] [CrossRef]
- Soust-Verdaguer, B.; Galean, I.B.; Llatas, C.; Montes, M.V.; Hoxh, E.; Passer, A. How to conduct consistent environmental, economic, and social assessment during the building design process. A BIM-based Life Cycle Sustainability Assessment method. J. Build. Eng. 2022, 45, 103516. [Google Scholar] [CrossRef]
- Jim’enez-Pulido, C.; Jim, A.; García-Navarro, J. Improved sustainability certification systems to respond to building renovation challenges based on a literature review. J. Build. Eng. 2022, 45, 103575. [Google Scholar] [CrossRef]
- Alhilli, H.K.; Burhan, A.M. Developing a system for assessing the sustainability in school building projects. Environ. Dev. Sustain. 2021, 23, 17483–17502. [Google Scholar] [CrossRef]
- Balasbaneh, A.T.; Yeoh, D.; Ramli, M.Z.; Valdi, M.H.T. Diferent alternative retroft to improving the sustainability of building in tropical climate: Multi-criteria decision-making. Environ. Sci. Pollut. Res. 2022, 29, 41669–41683. [Google Scholar] [CrossRef] [PubMed]
- Asim, N.; Badiei, M.; Mohammad, M.; Razali, H.; Rajabi, A.; Haw, L.C.; Ghazali, M.J. Sustainability of Heating, Ventilation and Air-Conditioning (HVAC) Systems in Buildings—An Overview. Int. J. Environ. Res. Public Health 2022, 19, 1016. [Google Scholar] [CrossRef] [PubMed]
- Lazar, N.; Chithra, K. Comprehensive bibliometric mapping of publication trends in the development of Building Sustainability Assessment Systems. Environ. Dev. Sustain. 2021, 23, 4899–4923. [Google Scholar] [CrossRef]
- Lazar, N.; Chithra, K. Green Building Rating Systems from the prospect of sustainability dimensions through the building lifecycle. Environ. Sci. Pollut. Res. 2021, 29, 51054–51064. [Google Scholar] [CrossRef]
- Tupenaite, L.; Zilenaite, V.; Kanapeckiene, L.; Gecys, T.; Geipele, I. Sustainability Assessment of Modern High-Rise Timber Buildings. Sustainability 2021, 13, 8719. [Google Scholar] [CrossRef]
- Pan, X.; Guo, S. Dynamic decomposition and regional differences of urban emergy ecological footprint in the Yangtze River Delta. J. Environ. Manag. 2023, 326, 116698. [Google Scholar] [CrossRef]
- Zhao, S.; Yan, K.; Wang, Z.; Gao, Y.; Li, K.; Peng, J. Does anaerobic digestion improve environmental and economic benefits of sludge incineration in China? Insight from life-cycle perspective. Resour. Conserv. Recycl. 2023, 188, 106688. [Google Scholar] [CrossRef]
- Zhu, Y.; Li, M.; Lu, S.; Wang, H.; Wang, J.; Wang, W. Research on the Input–Output Model of the Rural Agricultural Eco-Economic System Based on Emergy Theory. Sustainability 2022, 14, 3717. [Google Scholar] [CrossRef]
- Zhang, H.; Asutosh, A.T.; Zhang, J. A quantitative sustainable comparative study of two biogas systems based on energy, emergy and entropy methods in China. Environ. Dev. Sustain. 2022, 24, 13583–13609. [Google Scholar] [CrossRef]
- Zhang, J.; Ma, L. Urban ecological security dynamic analysis based on an innovative emergy ecological footprint method. Environ. Dev. Sustain. 2021, 23, 16163–16191. [Google Scholar] [CrossRef]
- Zhang, J.; Ma, L. Environmental Sustainability Assessment of a New Sewage Treatment Plant in China Based on Infrastructure Construction and Operation Phases Emergy Analysis. Water 2020, 12, 484. [Google Scholar] [CrossRef]
- Paneru, S.; Jahromi, F.F.; Hatami, M.; Roudebush, W.; Jeelani, I. Integration of Emergy Analysis with Building Information Modeling. Sustainability 2021, 13, 7990. [Google Scholar] [CrossRef]
- Zhang, J.; Zhang, H.; Asutosh, A.T.; Sun, N.; Fu, X.; Wang, H.; Li, X. Ecological sustainability assessment of building glass industry in China based on the point of view of raw material emergy and chemical composition. Environ. Sci. Pollut. Res. 2023, 30, 40670–40697. [Google Scholar] [CrossRef]
- Thomas, T.; Praveen, A. Emergy parameters for ensuring sustainable use of building materials. J. Clean. Prod. 2020, 276, 122382. [Google Scholar] [CrossRef]
- Zhang, J.; Srinivasan, R.S.; Peng, C. A Systematic Approach to Calculate Unit Emergy Values of Cement Manufacturing in China Using Consumption Quota of Dry and Wet Raw Materials. Buildings 2020, 10, 128. [Google Scholar] [CrossRef]
- Zhang, J.; Srinivasan, R.S.; Peng, C. Ecological Assessment of Clay Brick Manufacturing in China Using Emergy Analysis. Buildings 2020, 10, 190. [Google Scholar] [CrossRef]
- Cristiano, S.; Gonella, F. To build or not to build? Megaprojects, resources, and environment: An emergy synthesis for a systemic evaluation of a major highway expansion. J. Clean. Prod. 2019, 223, 772–789. [Google Scholar] [CrossRef]
- Yi, H.; Srinivasan, R.S.; Braham, W.W.; Tilley, D.R. An ecological understanding of net-zero energy building: Evaluation of sustainability based on emergy theory. J. Clean. Prod. 2017, 143, 654–671. [Google Scholar] [CrossRef]
- Lee, J.M.; Braham, W.W. Building emergy analysis of Manhattan: Density parameters for high-density and high-rise developments. Ecol. Model. 2017, 363, 157–171. [Google Scholar] [CrossRef]
- Andri, I.; Pina, A.; Ferrao, P.; Lacarriere, B.; Corre, O.L. The impact of renovation measures on building environmental performance: An emergy approach. J. Clean. Prod. 2017, 162, 776–790. [Google Scholar] [CrossRef]
- Yi, H.; Braham, W.W. Uncertainty characterization of building emergy analysis (BEmA). Build. Environ. 2015, 92, 538–558. [Google Scholar] [CrossRef]
- Yi, H.; Srinivasan, R.S.; Braham, W.W. An integrated energyeemergy approach to building form optimization: Use of EnergyPlus, emergy analysis and Taguchi-regression method. Build. Environ. 2015, 84, 89–104. [Google Scholar] [CrossRef]
- Cui, W.; Hong, J.; Liu, G.; Li, K.; Huang, Y.; Zhang, L. Co-Benefifits Analysis of Buildings Based on Differenewal Strategies: The Emergy-Lca Approach. Int. J. Environ. Res. Public Health 2021, 18, 592. [Google Scholar] [CrossRef]
- Chen, X.; Wang, H.; Zhang, J.; Zhang, H.; Asutosh, A.T.; Wu, G.; Wei, G.; Shi, Y.; Yang, M. Sustainability Study of a Residential Building near Subway Based on LCA-Emergy Method. Buildings 2022, 12, 679. [Google Scholar] [CrossRef]
- Wang, H.; Liu, Y.; Zhang, J.; Zhang, H.; Huang, L.; Xu, D.; Zhang, C. Sustainability Investigation in the Building Cement Production System Based on the LCA-Emergy Method. Sustainability 2022, 14, 16380. [Google Scholar] [CrossRef]
- Silvio, C. The “price” of saved time, the illusion of saved fuel: Life-Cycle Assessment of a major highway expansion. J. Clean. Prod. 2022, 344, 131087. [Google Scholar]
- Zini, M.; Carcasci, C. Machine learning-based monitoring method for the electricity consumption of a healthcare facility in Italy. Energy 2023, 262, 125576. [Google Scholar] [CrossRef]
- López-Pérez, L.A.; Flores-Prieto, J.J. Adaptive thermal comfort approach to save energy in tropical climate educational building by artificial intelligence. Energy 2023, 263, 125706. [Google Scholar] [CrossRef]
- Odum, H.T. Environmental Accounting. In Energy and Environmental Decision Making; John Wiley: New York, NY, USA, 1996; pp. 32–34. [Google Scholar]
- Mousavi, A.A.; Zhang, C.; Masri, S.F.; Gholipour, G. Structural damage localization and quantifcation based on a CEEMDAN Hilbert transform neural network approach: A model steel truss bridge case study. Sensors 2020, 20, 1271. [Google Scholar] [CrossRef] [PubMed]
- Hu, J.; Zheng, B.; Wang, C.; Zhao, C.; Hou, X.; Pan, Q.; Xu, Z. A survey on multi-sensor fusion based obstacle detection for intelligent ground vehicles in of-road environments. Front. Inf. Technol. Electron. Eng. 2020, 21, 675–692. [Google Scholar] [CrossRef]
- Chen, Y.; Li, J.; Lu, H.; Yan, P. Coupling system dynamics analysis and risk aversion programming for optimizing the mixed noise-driven shale gas-water supply chains. J. Clean. Prod. 2021, 278, 123209. [Google Scholar] [CrossRef]
- Bai, B.; Guo, Z.; Zhou, C.; Zhang, W.; Zhang, J. Application of adaptive reliability importance sampling-based extended domain PSO on single mode failure in reliability engineering. Inf. Sci. 2021, 546, 42–59. [Google Scholar] [CrossRef]
- General Airport Classification Management Method in China. 2017. Available online: http://zn.caac.gov.cn/ZN_XXGK/ZN_GFWJ/XXGK_ZNJJG/201705/P020170524388543132638.pdf (accessed on 8 February 2023).
- Civil Aviation Law of the People’s Republic of China. Available online: https://flk.npc.gov.cn/detail2.html?ZmY4MDgxODE3YWIyMmI4YTAxN2FiZDgzYmZlMzA2MDI (accessed on 8 February 2023).
- Peronato, G.; Rastogi, P.; Rey, E.; Andersen, M. A toolkit for multi-scale mapping of the solar energy-generation potential of buildings in urban environments under uncertainty. Sol. Energy 2018, 173, 861–874. [Google Scholar] [CrossRef]
- Zhou, B.; Zhang, Z.; Li, G.; Yang, D.; Santos, M. Review of Key Technologies for Offshore Floating Wind Power Generation. Energies 2023, 16, 710. [Google Scholar] [CrossRef]
- Wang, Y.; Zhao, M.; Chang, J.; Wang, X.; Tian, Y. Study on the combined operation of a hydro-thermal-wind hybrid power system based on hydro-wind power compensating principles. Energy Convers. Manag. 2019, 194, 94–111. [Google Scholar] [CrossRef]
Disclaimer/Publisher’s Note: The statements, opinions and data contained in all publications are solely those of the individual author(s) and contributor(s) and not of MDPI and/or the editor(s). MDPI and/or the editor(s) disclaim responsibility for any injury to people or property resulting from any ideas, methods, instructions or products referred to in the content. |
© 2023 by the authors. Licensee MDPI, Basel, Switzerland. This article is an open access article distributed under the terms and conditions of the Creative Commons Attribution (CC BY) license (https://creativecommons.org/licenses/by/4.0/).












