The Optimal Remanufacturing Strategy of the Closed-Loop Supply Chain Network under Government Regulation and the Manufacturer’s Design for the Environment
Abstract
1. Introduction
- (1)
- Considering the impact of government regulations and OEM’s DFE, the CLSC network equilibrium model under the government regulations and OEM’s DFE is constructed based on IHRS and ORS, respectively.
- (2)
- The effect of government regulations and OEM’s DFE on the equilibrium decisions, profits, carbon emissions, and carbon taxes are analyzed qualitatively and quantitatively, which provides a scientific basis for OEMs to choose their optimal remanufacturing strategy.
- (3)
- By using the comparison analysis, we show how the decision-makers should choose the optimal remanufacturing strategy under different government regulations and the OEM’s levels of DFE.
2. Literature Review
2.1. Government Regulations
2.2. Manufacturers’ Design for the Environment
2.3. Remanufacturing Strategy
2.4. Closed-Loop Supply Chain Network Equilibrium
2.5. Research Methods
3. Model and Assumption
4. Model Formulation
4.1. IHRS Equilibrium Model
4.1.1. OEMs’ Equilibrium Decisions
4.1.2. Retailers’ Equilibrium Decisions
4.1.3. Demand-Markets’ Equilibrium Decisions
4.1.4. CLSC Network Equilibrium in IHRS
4.2. ORS Equilibrium Model
4.2.1. OEMs’ Equilibrium Decisions
4.2.2. Demand-Markets’ Equilibrium Decisions
4.2.3. 3PRs’ Equilibrium Decisions
4.2.4. CLSC Network Equilibrium in ORS
5. Numerical Analyses
5.1. Impact of DFE on Remanufacturing Strategies
- (1)
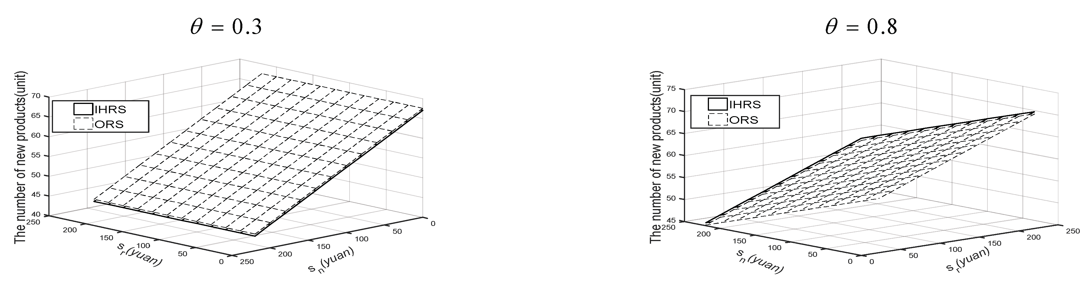
- Figure 3, Figure 4, Figure 5, Figure 6, Figure 7, Figure 8, Figure 9 and Figure 10 show that when the level of OEMs’ DFE increases, OEM technology or material innovation leads to a decrease in the production cost of new products, thereby stimulating the increase in the production of new OEM products. On the other hand, when increases, the recyclability of waste products is improved, which prompts OEMs or 3PRs to recycle more products, and the corresponding remanufactured products also increase. These results conform to the statement of Property 1. These results are consistent with real-life problems. For example, Canon and Hewlett-Packard use the design for the environment to promote their remanufacturing activities. Moreover, the reduction in costs leads to a decrease in the price of the OEMs’ products; hence, the transactions in the demand markets also increase. Thus, the improvement of the DFE level leads to an increase in the transaction volumes in the demand markets. Thus, the demand markets have more preferences in keeping waste products, which increases the product recycling price.
- (2)
- Figure 11, Figure 12, Figure 13 and Figure 14 show the impact of the level of OEMs’ DFE on the outsourcing costs as well as the economic benefits of OEMs and 3PRs under the IHRS. When , the profits of the OEMs under the IHRS decrease with the increase in . The reason is that when OEMs under the IHRS need to pay excessive DFE costs, which greatly affect their own profits. On the other hand, the profits of the OEMs under the ORS are always increasing with respect to The reason is that OEMs under the ORS can obtain dividends from their own DFEs for recycling and remanufacturing products, and hence they will correspondingly reduce the outsourcing cost of remanufactured products so that their own DFE costs can also be reduced to a certain extent. When under the pressure of paying excessive costs, OEMs prefer using the ORS to the IRHS to obtain more profits. When due to 3PRs’ reduction in the outsourcing costs and the increase in prices of the remanufactured products in the ORS, the profit of the OEMs under ORS decrease.
- (3)
- Figure 15 and Figure 16 show that the increase in the value of has a significant effect on reducing the unit carbon emission of product production; although the product output increases, the carbon emission tends to decrease, and hence the carbon tax paid by OEMs decreases. Therefore, when the value of increases, the OEMs have more environmental benefits and hence have more capital to invest in DFE.
5.2. Impact of Government Regulations on Remanufacturing Strategies
- (1)
- Figure 18, Figure 19 and Figure 20 show that the number of OEMs’ new products produced is negatively correlated with ; however, OEMs’ and 3PRs’ recycled products and remanufactured products produced are positively correlated with , which is consistent with the statement of Property 2. These results are also consistent with real-life problems. For example, governments such as India and Canada promote remanufacturing activities through subsidies. Due to the imposition of the system of the remanufacturing subsidy and product handling fee by the governments, OEMs will be stimulated to decrease the production of new products to reduce cost expenditure, and at the same time, they will be encouraged to engage in remanufacturing activities to obtain subsidies as well as to save production materials the system of remanufacturing subsidy and new product handling fee and reduce carbon emissions.
- (2)
- Figure 21, Figure 22, Figure 23 and Figure 24 show that the price of the new products increases with the value of but decreases with the value of ; however, the price of the remanufactured products changes in the opposite direction. Due to the imposition of new product processing fees, OEMs need to increase product sales prices to offset the payment of the processing fees. On the other hand, due to the run-on effect on the sales of products, to stimulate demand markets’ interest in purchasing remanufactured products, the governments subsidize OEMs to reduce the price of remanufactured products so that the sales of remanufactured products increase.
- (3)
- Figure 25, Figure 26 and Figure 27 show that under the government regulations, OEMs’ profits are negatively correlated with and positively correlated with , whereas 3PRs’ profits are positively correlated with and negatively correlated with When the value of increases (i.e., governments’ new product unit processing fee increases), the environmental cost borne by OEMs’ new production unit increases, which leads to the decrease in OEMs’ production quantities of the new products, resulting in a decrease in OEMs’ profits; however, the government’s subsidies not only stimulate the production of OEMs’ remanufactured products but also improve OEMs’ profits. On the other hand, when the value of increases, 3PRs’ production quantities of the remanufactured products increase due to the following reasons: Under the ORS, when the value of increases, OEMs will produce more remanufactured products to reduce the environmental costs. Thus, due to the increase in outsourcing costs, 3PRs will sell more remanufactured products. However, when the value of increases, OEMs will have more incentive to sell remanufactured products, which leads to a decrease in the prices of the remanufactured products and OEMs’ decrease in income obtained from the outsourcing cost. When the sale price of the 3PRs’ remanufactured products substantially increases, the income of the 3PRs decreases.
- (4)
- As shown in Figure 28 and Figure 29, from the perspective of environmental benefits, the increase in the value of has a significant effect on the reduction of carbon emissions; although the increase in the value of is conducive to remanufacturing activities, it also increases production emissions, which is not good for environmental benefits.
6. Conclusions
6.1. Discussion of Results
- (1)
- Under two remanufacturing strategies, the production and trading volume of new products (remanufactured products), as well as the recycled products, are positively related to OEMs’ level of DFE. It means that when the level of DFE increases, OEMs can recycle and remanufacture more products, which is consistent with [11]. The carbon taxes and carbon emissions are negatively correlated with the level of DFE. It means that when the level of DFE increases, the production emissions in the supply chain decrease, which is good for reducing environmental pollution.
- (2)
- By comparing the OEMs’ profits under the IHRS and ORS, when the level of DFE is low, OEM should choose IHRS; otherwise, OEM should choose ORS to get more profits. However, from the perspective of environmental benefits, OEMs should choose IHRS when the level of DFE is high to get fewer carbon emissions and carbon taxes.
- (3)
- The number of OEMs’ new products is negatively correlated with the new product handling fee. The numbers of recycled products and remanufactured products are positively correlated with the remanufacturing subsidies. The carbon taxes and carbon emissions are positively correlated with the new product handling fee and negatively correlated with the remanufacturing subsidies, which is consistent with the viewpoint of [29].
- (4)
- From the perspective of profit, OEMs’ profits are negatively correlated with new product handling fees and positively correlated with remanufacturing subsidies, whereas the trend of 3PRs’profit is in the opposite direction. Thus, when the remanufacturing subsidies are low, OEM should choose IHRS; otherwise, OEM should choose ORS to get more profits.
- (5)
- According to the comparison results of government regulations at different levels of DEF, when the government’s subsidy for remanufactured products increases to a threshold, it will prompt OEM to adopt ORS.
6.2. Policy Implication
- (1)
- As far as OEMs are concerned, they should insist on investing in DFE to achieve the unity of economic benefits and environmental benefits. Moreover, OEMs must recognize the importance of DFE in establishing environmental friendliness so that they will actively assume social responsibility and establish a good corporate image to enhance their competitiveness in supply chain management. OEMs can share technology and costs by using ORS but should maximize the production cost savings from DFE to stimulate each other’s willingness to cooperate and achieve a win-win situation.
- (2)
- Governments can control OEMs’ production emissions by setting up new product handling fees; however, this will be detrimental to OEMs, especially for companies with low levels of DFE, because it will decrease their incentive to invest in DFE. In view of this weakness, from the perspective of improving the level of the OEMs’ DFEs, the government can implement different regularity policies according to OEMs’ economic strength. More precisely, for OEMs with weak economic strength, governments can increase their remanufacturing subsidies to alleviate their pressure for paying high costs due to the implementation of regularity policies.
6.3. Limitations and Future Research
Author Contributions
Funding
Institutional Review Board Statement
Informed Consent Statement
Data Availability Statement
Acknowledgments
Conflicts of Interest
Appendix A
Appendix B
Appendix C
References
- Majumder, P.; Groenevelt, H. Competition in remanufacturing. Prod. Oper. Manag. 2001, 10, 125–141. [Google Scholar] [CrossRef]
- Atasu, A.; Sarvary, M.; Van Wassenhove, L.N. Remanufacturing as a marketing strategy. Manag. Sci. 2008, 54, 1731–1746. [Google Scholar] [CrossRef]
- Yang, L.; Hu, Y.; Huang, L. Collecting mode selection in a remanufacturing supply chain under cap-and-trade regulation. Eur. J. Oper. Res. 2020, 287, 480–496. [Google Scholar] [CrossRef]
- Wang, X.; Zhu, Y.; Sun, H.; Jia, F. Production decisions of new and remanufactured products: Implications for low carbon emission economy. J. Clean. Prod. 2018, 171, 1225–1243. [Google Scholar] [CrossRef]
- Zou, Z.B.; Wang, J.J.; Deng, G.S.; Chen, H. Third-party remanufacturing mode selection: Outsourcing or authorization. Transp. Res. E-Log. 2016, 87, 1–19. [Google Scholar] [CrossRef]
- Zou, Z.; Wang, C.; Zhong, Q. How does retailer-oriented remanufacturing affect the OEM’s quality choice. Sustainability 2022, 14, 8028. [Google Scholar] [CrossRef]
- Alegoz, M. Simultaneous remanufacturing and government incentives in remanufacturing systems. Eur. J. Ind. Eng. 2022, 16, 757–781. [Google Scholar] [CrossRef]
- Esenduran, G.; Atasu, A.; Van Wassenhove, L.N. Valuable e-waste: Implications for extended producer responsibility. IISE Trans. 2019, 51, 382–396. [Google Scholar] [CrossRef]
- Measures for the Administration of the Collection and Use of the Fund for the Treatment of Waste Electrical and Electronic Products; OJL: Beijing, China, 2012. Available online: https://www.mee.gov.cn/gkml/hbb/gwy/201208/t20120808_234521.htm (accessed on 25 April 2023).
- Den Hollander, M.C.; Bakker, C.A.; Hultink, E.J. Product design in a circular economy development of a typology of key concepts and terms. J. Ind. Ecol. 2017, 21, 517–525. [Google Scholar] [CrossRef]
- Zheng, X.; Govindan, K.; Deng, Q.; Feng, L. Effects of design for the environment on firms’ production and remanufacturing strategies. Int. J. Prod. Econ. 2019, 213, 217–228. [Google Scholar] [CrossRef]
- Hammond, D.; Beullens, P. Closed-loop supply chain network equilibrium under legislation. Eur. J. Oper. Res. 2007, 183, 895–908. [Google Scholar] [CrossRef]
- Yang, G.; Wang, Z.; Li, X. The optimization of the closed-loop supply chain network. Transp. Res. E-Log. 2009, 45, 16–28. [Google Scholar] [CrossRef]
- Chan, C.K.; Zhou, Y.; Wong, K.H. A dynamic equilibrium model of the oligopolistic closed-loop supply chain network under uncertain and time-dependent demands. Transp. Res. E-Log. 2018, 118, 325–354. [Google Scholar] [CrossRef]
- Duan, C.; Yao, F.; Xiu, G.; Zhang, Y.; Zhang, X. Multi-period closed-loop supply chain network equilibrium: Perspective of marketing and corporate social responsibility. IEEE Access 2020, 9, 1495–1511. [Google Scholar] [CrossRef]
- Fu, R.; Qiang, Q.P.; Ke, K.; Huang, Z. Closed-loop supply chain network with interaction of forward and reverse logistics. Sustain. Prod. Consump. 2021, 27, 737–752. [Google Scholar] [CrossRef]
- Cao, J.; Zhang, X.; Hu, L.; Xu, J.; Zhao, Y.; Zhou, G.; Schnoor, J.L. EPR regulation and reverse supply chain strategy on remanufacturing. Comput. Ind. Eng. 2018, 125, 279–297. [Google Scholar] [CrossRef]
- Ding, J.; Chen, W.; Wang, W. Production and carbon emission reduction decisions for remanufacturing firms under carbon tax and take-back legislation. Comput. Ind. Eng. 2020, 143, 106419. [Google Scholar] [CrossRef]
- Zhang, Y.; Hong, Z.; Chen, Z.; Glock, C.H. Tax or subsidy? Design and selection of regulatory policies for remanufacturing. Eur. J. Oper. Res. 2020, 287, 885–900. [Google Scholar] [CrossRef]
- Liu, Z.; Li, K.W.; Tang, J.; Gong, B.; Huang, J. Optimal operations of a closed-loop supply chain under a dual regulation. Int. J. Prod. Econ. 2021, 233, 107991. [Google Scholar] [CrossRef]
- Wei, J.; Wang, C. Improving interaction mechanism of carbon reduction technology innovation between supply chain enterprises and government by means of differential game. J. Clean. Prod. 2021, 296, 126578. [Google Scholar] [CrossRef]
- Guo, T.; Li, C.; Chen, Y. Remanufacturing strategy under cap-and-trade regulation in the presence of assimilation effect. Sustainability 2022, 14, 2878. [Google Scholar] [CrossRef]
- Liu, Z.; Qian, Q.; Hu, B.; Shang, W.L.; Li, L.; Zhao, Y.; Zhao, Z.; Han, C. Government regulation to promote coordinated emission reduction among enterprises in the green supply chain based on evolutionary game analysis. Resour. Conserv. Recycl. 2022, 182, 106290. [Google Scholar] [CrossRef]
- Kushwaha, S.; Chan FT, S.; Chakraborty, K.; Pratap, S. Collection and remanufacturing channels selection under a product take-back regulation with remanufacturing target. Int. J. Prod. Res. 2022, 60, 7384–7410. [Google Scholar] [CrossRef]
- Zhao, M.; Li, B.; Ren, J.; Hao, Z. Competition equilibrium of ride-sourcing platforms and optimal government subsidies considering customers’ green preference under peak carbon dioxide emissions. Int. J. Prod. Econ. 2023, 255, 108679. [Google Scholar] [CrossRef]
- Chen, C. Design for the environment: A quality-based model for green product development. Manag. Sci. 2001, 47, 250–263. [Google Scholar] [CrossRef]
- Raz, G.; Druehl, C.T.; Blass, V. Design for the environment: Life-cycle approach using a newsvendor model. Prod. Oper. Manag. 2013, 22, 940–957. [Google Scholar] [CrossRef]
- Chen, H.; Dong, Z.; Li, G.; He, K. Remanufacturing process innovation in closed-loop supply chain under cost-sharing mechanism and different power structures. Comput. Ind. Eng. 2021, 162, 107743. [Google Scholar] [CrossRef]
- Wang, Q.; Li, B.; Chen, B.; Wang, Z.; Liu, W.; Cheng, Y. Impact of product design on remanufacturing under environmental legislation. Comput. Ind. Eng. 2021, 165, 107889. [Google Scholar] [CrossRef]
- Hu, Y.; Chen, L.; Chi, Y.; Song, B. Manufacturer encroachment on a closed-loop supply chain with design for remanufacturing. Manag. Decis. Econ. 2022, 43, 1941–1959. [Google Scholar] [CrossRef]
- Pazoki, M.; Samarghandi, H. Take-back regulation: Remanufacturing or eco-design. Int. J. Prod. Econ. 2020, 227, 107674. [Google Scholar] [CrossRef]
- Wang, Q.; Wang, X. Does product eco-design promote remanufacturing: Application of a stylized game-theoretic model. Sustainability 2022, 15, 691. [Google Scholar] [CrossRef]
- Zhang, X.; Li, Q.; Liu, Z.; Chang, C.T. Optimal pricing and remanufacturing mode in a closed-loop supply chain of WEEE under government fund policy. Comput. Ind. Eng. 2021, 151, 106951. [Google Scholar] [CrossRef]
- Qiao, H.; Su, Q. Impact of government subsidy on the remanufacturing industry. Waste Manag. 2021, 120, 433–447. [Google Scholar] [CrossRef]
- Feng, D.; Shen, C.; Pei, Z. Production decisions of a closed-loop supply chain considering remanufacturing and refurbishing under government subsidy. Sustain. Prod. Consump. 2021, 27, 2058–2074. [Google Scholar] [CrossRef]
- Zhou, Y.; Xiong, Y.; Jin, M. The entry of third-party remanufacturers and its impact on original equipment manufacturers in a two-period game-theoretic model. J. Clean. Prod. 2021, 279, 123635. [Google Scholar] [CrossRef]
- Chen, S.; Pan, Y.; Wu, D.; Dolgui, A. In-house versus outsourcing collection in a closed-loop supply chain with remanufacturing technology development. Int. J. Prod. Res. 2022, 61, 1720–1735. [Google Scholar] [CrossRef]
- Liu, J.; Mantin, B.; Song, X. Rent, sell, and remanufacture: The manufacturer’s choice when remanufacturing can be outsourced. Eur. J. Oper. Res. 2022, 303, 184–200. [Google Scholar] [CrossRef]
- Fang, C.; Fan, S.Y.; Qiu, Y.W. The choice of remanufacturing strategy for the OEM with third-party remanufacturers’ advantages. Comput. Ind. Eng. 2023, 176, 108973. [Google Scholar] [CrossRef]
- Li, W.; Sun, H.; Dong, H.; Gan, Y.; Koh, L. Outsourcing decision-making in global remanufacturing supply chains: The impact of tax and tariff regulations. Eur. J. Oper. Res. 2023, 304, 997–1010. [Google Scholar] [CrossRef]
- Yang, Y.; Goodarzi, S.; Bozorgi, A.; Fahimnia, B. Carbon cap-and-trade schemes in closed-loop supply chains: Why firms do not comply. Transp. Res. E-Log. 2021, 156, 102486. [Google Scholar] [CrossRef]
- Cheng, P.; Ji, G.; Zhang, G.; Shi, Y. A closed-loop supply chain network considering consumer’s low carbon preference and carbon tax under the cap-and-trade regulation. Sustain. Prod. Consump. 2022, 29, 614–635. [Google Scholar] [CrossRef]
- Zhou, Y.; Liu, X.Q.; Wong, K.H. Remanufacturing policies options for a closed-loop supply chain network. Sustainability 2021, 13, 6640. [Google Scholar] [CrossRef]
- Nagurney, A. Network Economics: A Variational Inequality Approach, 2nd ed.; Kluwer Academic Publishers: Dordrecht, The Netherlands, 1999. [Google Scholar]
- Nash, J.R.J.F. Equilibrium points in n-person games. Proc. Natl. Acad. Sci. USA 1950, 36, 48–49. [Google Scholar] [CrossRef] [PubMed]
- Cui, L.; Wu, K.J.; Tseng, M.L. Selecting a remanufacturing quality strategy based on consumer preferences. J. Clean. Prod. 2017, 161, 1308–1316. [Google Scholar] [CrossRef]
- Fremstad, A.; Paul, M. The impact of a carbon tax on inequality. Ecol. Econ. 2019, 163, 88–97. [Google Scholar] [CrossRef]
- Nagurney, A.; Dong, J.; Zhang, D. A supply chain network equilibrium model. Transp. Res. E-Log. 2002, 38, 281–303. [Google Scholar] [CrossRef]
- Orsdemir, A.; Ziya, E.K.; Parlakturk, A.K. Competitive quality choice and remanufacturing. Prod. Oper. Manag. 2014, 23, 48–64. [Google Scholar] [CrossRef]
- Kinderlehrer, D.; Stampacchia, G. An Introduction to Variational Inequalities and Their Applications; Academic Press: Cambridge, MA, USA, 1980. [Google Scholar]
- Korpelevich, G.M. The extra gradient method for finding saddle points and other problems. Matecon 1976, 12, 747–756. [Google Scholar]































| Reference | IHRS | ORS | Government Regulations | DFE | CLSC Network | |||||
|---|---|---|---|---|---|---|---|---|---|---|
| Yes | No | Yes | No | Yes | No | Yes | No | Yes | No | |
| Zheng et al. (2019) [11] | √ | √ | √ | √ | √ | |||||
| Pozaki and Samarghandi.(2020) [31] | √ | √ | √ | √ | √ | |||||
| Zhang et al. (2020) [19] | √ | √ | √ | √ | √ | |||||
| Fu et al. (2021) [16] | √ | √ | √ | √ | √ | |||||
| Wang et al. (2021) [29] | √ | √ | √ | √ | √ | |||||
| Feng et al. (2021) [35] | √ | √ | √ | √ | √ | |||||
| Zhou et al. (2021) [43] | √ | √ | √ | √ | √ | |||||
| Wang et al. (2022) [32] | √ | √ | √ | √ | √ | |||||
| Cheng et al. (2022) [42] | √ | √ | √ | √ | √ | |||||
| Li et al. (2023) [40] | √ | √ | √ | √ | √ | |||||
| This study | √ | √ | √ | √ | √ | |||||
| Parameter | Definition |
|---|---|
| OEMs’ | |
| Retailers’ | |
| Retailers’ | |
| Governments’ unit new product handling fee (unit: yuan) | |
| Governments’ unit remanufacturing subsidies (unit: yuan) | |
| Decision Variable | Definition |
|---|---|
| The waste products collected by OEM from the demand market . | |
| The price for purchasing 1 item of new products at demand market k. All these prices form a vector | |
| The price for purchasing 1 item of the remanufactured products at demand market k. All these prices form a vector |
| Decision Variable | Definition |
|---|---|
| . |
| The Members of Supply Chain | Cost Functions | |
|---|---|---|
| OEM | ||
| retailer | ||
| Demand market | ||
| Demand functions | ||
| 3PR | ||
Disclaimer/Publisher’s Note: The statements, opinions and data contained in all publications are solely those of the individual author(s) and contributor(s) and not of MDPI and/or the editor(s). MDPI and/or the editor(s) disclaim responsibility for any injury to people or property resulting from any ideas, methods, instructions or products referred to in the content. |
© 2023 by the authors. Licensee MDPI, Basel, Switzerland. This article is an open access article distributed under the terms and conditions of the Creative Commons Attribution (CC BY) license (https://creativecommons.org/licenses/by/4.0/).
Share and Cite
Zhou, Y.; Hou, M.; Wong, K.-H. The Optimal Remanufacturing Strategy of the Closed-Loop Supply Chain Network under Government Regulation and the Manufacturer’s Design for the Environment. Sustainability 2023, 15, 7342. https://doi.org/10.3390/su15097342
Zhou Y, Hou M, Wong K-H. The Optimal Remanufacturing Strategy of the Closed-Loop Supply Chain Network under Government Regulation and the Manufacturer’s Design for the Environment. Sustainability. 2023; 15(9):7342. https://doi.org/10.3390/su15097342
Chicago/Turabian StyleZhou, Yan, Miao Hou, and Kar-Hung Wong. 2023. "The Optimal Remanufacturing Strategy of the Closed-Loop Supply Chain Network under Government Regulation and the Manufacturer’s Design for the Environment" Sustainability 15, no. 9: 7342. https://doi.org/10.3390/su15097342
APA StyleZhou, Y., Hou, M., & Wong, K.-H. (2023). The Optimal Remanufacturing Strategy of the Closed-Loop Supply Chain Network under Government Regulation and the Manufacturer’s Design for the Environment. Sustainability, 15(9), 7342. https://doi.org/10.3390/su15097342
