Using the DTFM Method to Analyse the Degradation Process of Bilateral Trade Relations between China and Australia
Abstract
1. Introduction
2. Materials and Methods
2.1. Dataset Source
2.2. Displayed Competitive Comparative Advantage Index (CA)
2.3. Trade Data Spatialisation Method
2.4. Trade Data Spatialisation Method
2.5. Product Grid Generation Based on Hilbert Curves
2.6. K-Means Clustering Algorithm
3. Results
3.1. Temporal and Spatial Analysis of the “Average Importance Index”
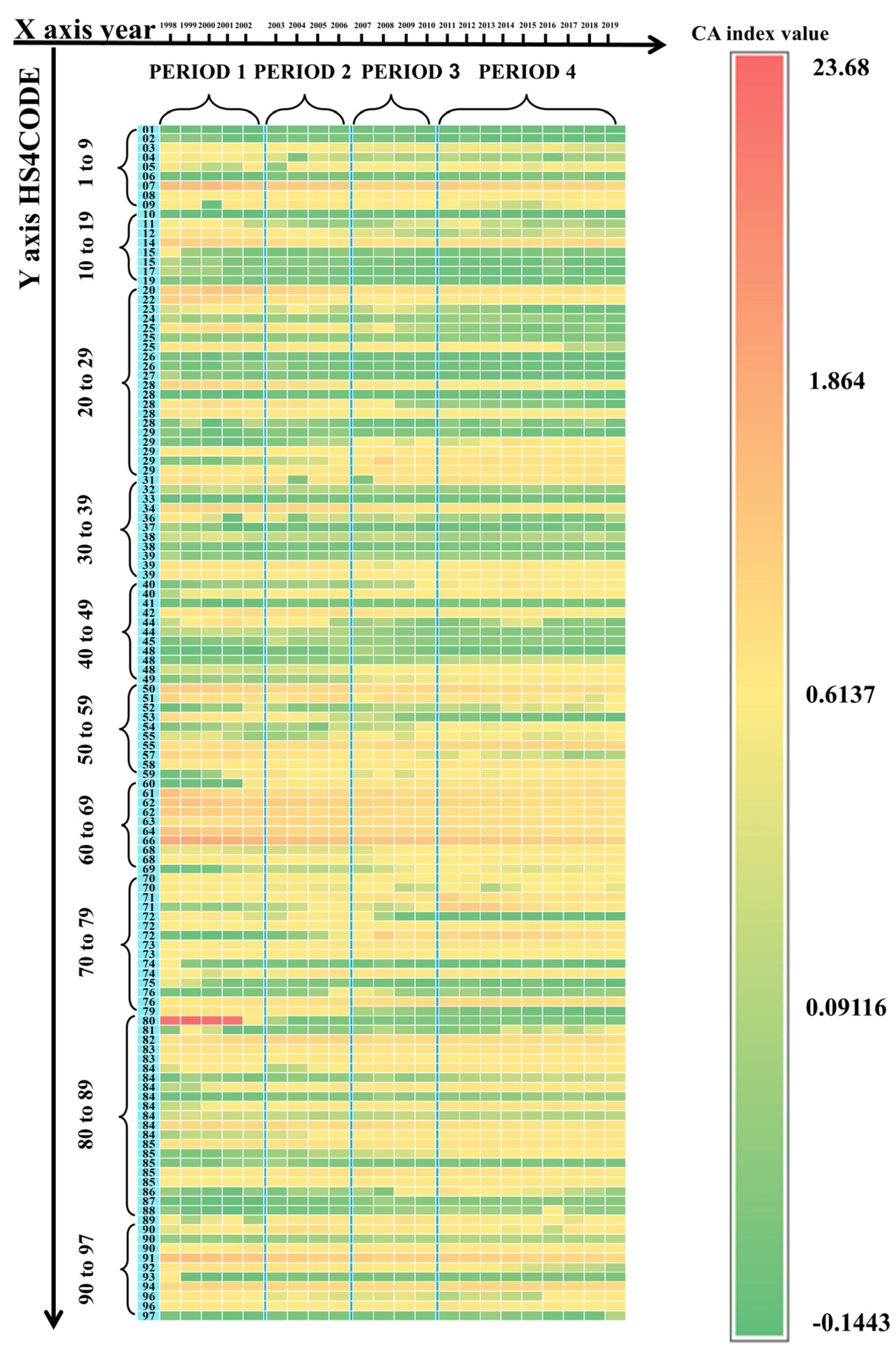
3.2. Temporal and Spatial Analysis of “Average Competitive Advantage”
3.3. Comprehensive Temporal and Spatial Analysis of the “Average Importance Index and Competitive Advantage”
4. Discussion
4.1. Average Importance Index and Competitive Advantage “Changing Pattern”
4.2. Importance Analysis of Head Commodities
4.3. Substitution of Dominant Products
4.4. Comparison and Outlook
5. Conclusions
Supplementary Materials
Author Contributions
Funding
Data Availability Statement
Acknowledgments
Conflicts of Interest
References
- Galama, T.; Hosek, J. US Competitiveness in Science and Technology; RAND Corporation: Santa Monica, CA, USA, 2008; Volume 188. [Google Scholar]
- Wu, Y. The Construction and International Comparison of National Digital Competitiveness Index. Stat. Res. 2019, 36, 14–25, (In Chinese with English abstract). [Google Scholar]
- Han, Y.; Luo, X.; Zou, J. Trade Cooperation Competitiveness and Complementarities of China and West Asia under the Background to Silk Road Economic Belt and Maritime Silk Road Strategy. World Econ. Stud. 2015, 3, 89–98+129, (In Chinese with English Abstract). [Google Scholar]
- Casanova, C.; Xia, L.; Ferreira, R. Measuring Latin America’s export dependency on China. J. Chin. Econ. Foreign Trade Stud. 2016, 9, 213–233. [Google Scholar] [CrossRef]
- Zhang, Y.; Zhang, X.; Gong, Z. Trade Interdependency Between China and Countries Along the One Belt and One Road. Econ. Geogr. 2017, 37, 21–31, (In Chinese with English Abstract). [Google Scholar]
- Tinbergen, J. An analysis of world trade flows. Shap. World Econ. 1962, 3, 1–117. [Google Scholar]
- Chen, S.; Huang, Q.; Muttarak, R.; Fang, J.; Liu, T.; He, C.; Liu, Z.; Zhu, L. Updating global urbanization projections under the Shared Socioeconomic Pathways. Sci. Data 2022, 9, 137. [Google Scholar] [CrossRef]
- He, C.; Yu, C. Multi-dimensional proximity, trade barriers and the dynamic evolution of industrial linkages between China and the world marke. Acta Geogr. Sin. 2022, 77, 275–294, (In Chinese with English Abstract). [Google Scholar]
- Chapagain, A.K.; Hoekstra, A.Y. The blue, green and grey water footprint of rice from production and consumption perspectives. Ecol. Econ. 2011, 70, 749–758, (In Chinese with English Abstract). [Google Scholar] [CrossRef]
- Fang, D.; Cai, Q.; Wu, F.; Chen, B.; Zhang, L. Modified linkage analysis for water-land nexus driven by interregional trade. J. Clean. Prod. 2022, 353, 131547. [Google Scholar] [CrossRef]
- Yu, X.; Liu, C.; Zhang, G. Market integration and virtual flow of resources under the background of international food trade: Evidence from China-Pakistan rice market. J. Nat. Resour. 2021, 36, 1505–1520, (In Chinese with English Abstract). [Google Scholar] [CrossRef]
- Hoekstra, A.; Mekonnen, M. The water footprint of humanity. Proc. Natl. Acad. Sci. USA 2012, 109, 3232. [Google Scholar] [CrossRef] [PubMed]
- Sun, S.; Wang, J.; Qi, W. Urban-and-rural virtual water trade of Qinghai-Tibet Plateau: Patterns and influencing factors. Acta Geogr. Sin. 2020, 75, 1346–1358, (In Chinese with English Abstract). [Google Scholar]
- Hertwich, E.G.; Peters, G.P. Carbon Footprint of Nations: A Global, Trade-Linked Analysis. Environ. Sci. Technol. 2009, 43, 6414–6420. [Google Scholar] [CrossRef] [PubMed]
- Peters, G.P.; Minx, J.C.; Weber, C.L.; Edenhofer, O. Growth in emission transfers via international trade from 1990 to 2008. Proc. Natl. Acad. Sci. USA 2011, 108, 8903–8908. [Google Scholar] [CrossRef] [PubMed]
- Barabas, A.; Albert, R. Emergence of scaling in random networks. Science 1999, 286, 509–512. [Google Scholar] [CrossRef] [PubMed]
- Hao, X.; An, H.; Chen, Y.; Gao, X. Research on Evolution of International Iron Ore Trade Based on Complex Network Theory. Econ. Geogr. 2013, 33, 92–97, (In Chinese with English Abstract). [Google Scholar]
- Han, M.; Li, S. Network Characteristics and Community Structure of Marine Energy Products Trade Among the Countries Along the Belt and Road. Econ. Geogr. 2020, 40, 108–117, (In Chinese with English Abstract). [Google Scholar]
- Dong, C.; Yin, Q.; Lane, K.J.; Yan, Z.; Shi, T.; Liu, Y.; Bell, M.L. Competition and transmission evolution of global food trade: A case study of wheat. Phys. A Stat. Mech. Its Appl. 2018, 509, 998–1008. [Google Scholar] [CrossRef]
- Gao, P.; Xie, Y.; Song, C.; Cheng, C.; Ye, S. Exploring detailed urban-rural development under intersecting population growth and food production scenarios: Trajectories for China’s most populous agricultural province to 2030. J. Geogr. Sci. 2023, 33, 222–244. [Google Scholar] [CrossRef]
- Hao, X.; An, H.; Sun, X.; Zhong, W. The import competition relationship and intensity in the international iron ore trade: From network perspective. Resour. Policy 2018, 57, 45–54. [Google Scholar] [CrossRef]
- Bai, X.; Hu, X.; Wang, C.; Lim, M.K.; Vilela, A.L.; Ghadimi, P.; Yao, C.; Stanley, H.E.; Xu, H. Most influential countries in the international medical device trade: Network-based analysis. Phys. A Stat. Mech. Its Appl. 2022, 604, 127889. [Google Scholar] [CrossRef]
- Xu, H.; Sun, T.; Cheng, L. Trade pattern and influencing factors of high-end manufacturing industry in the Belt and Road Initiative: Analysis of Index Random Graph based on complex network. Financ. Econ. 2015, 2015, 74–88, (In Chinese with English Abstract). [Google Scholar]
- Ermann, L.; Shepelyansky, D. Ecological analysis of world trade. Phys. Lett. A 2013, 377, 250–256. [Google Scholar] [CrossRef]
- Coquidé, C.; Lages, J.; Ermann, L.; Shepelyansky, D.L. COVID-19’s Impact on International Trade. Entropy 2022, 24, 327. [Google Scholar] [CrossRef] [PubMed]
- He, C.; Dong, Y.; Zhou, Y. Evolution of export product space in China: Path-dependent or path-breaking? Acta Geogr. Sin. 2016, 71, 970–983, (In Chinese with English Abstract). [Google Scholar]
- Hidalgo, C.; Hausmann, R. The building blocks of economic complexity. Proc. Natl. Acad. Sci. USA 2009, 106, 10570–10575. [Google Scholar] [CrossRef]
- Hausmann, R.; Klinger, B. The Structure of the Product Space and the Evolution of Comparative Advantage. Working Paper. April 2007. Available online: http://nrs.harvard.edu/urn-3:HUL.InstRepos:42482358 (accessed on 1 January 2020).
- Wang, Z.; Guo, T.; Wang, Y. Evolution of Global Aquatic Products Trade Pattern and Influencing Factors from the Perspective of Complex Network. Areal Res. Dev. 2022, 41, 1–6+13, (In Chinese with English Abstract). [Google Scholar]
- Geng, J.; Shen, S.; Cheng, C.; Dai, K. A hybrid spatiotemporal convolution-based cellular automata model (ST-CA) for land-use/cover change simulation. Int. J. Appl. Earth Obs. Geoinf. 2022, 110, 102789. [Google Scholar] [CrossRef]
- Ye, S.; Ren, S.; Song, C.; Cheng, C.; Shen, S.; Yang, J.; Zhu, D. Spatial patterns of county-level arable land productive-capacity and its coordination with land-use intensity in mainland China. Agric. Ecosyst. Environ. 2022, 326, 107757. [Google Scholar] [CrossRef]
- Ye, S.; Song, C.; Cheng, C.; Shen, S.; Gao, P.; Zhang, T.; Chen, X.; Wang, Y.; Wan, C. Digital Trade Feature Map: A New Method for Visualization and Analysis of Spatial Patterns in Bilateral Trade. Int. J. Geo-Inf. 2020, 9, 363. [Google Scholar] [CrossRef]
- Ye, S.; Cheng, C.; Song, C.; Shen, S. Visualizing bivariate local spatial autocorrelation between commodity revealed comparative advantage index of China and USA from a new space perspective. Environ. Plan. A 2021, 53, 223–226. [Google Scholar] [CrossRef]
- Cai, H. Characteristics, Trends and Suggestions of Agricultural Trade between China and Australia; International Economic Cooperation: Tehran, Iran, 2012; pp. 64–67, (In Chinese with English Abstract). [Google Scholar]
- Mu, W.; Tong, D. A general model for creating robust choropleth maps. Comput. Environ. Urban Syst. 2022, 96, 101850. [Google Scholar] [CrossRef]
- Marks, A. An Analysis of the Structure of Trade Between Australia and China: An Australian Perspective. Econ. Voice 2020, 17, 1–18. [Google Scholar] [CrossRef]
- Wang, Y.; Song, C.; Cheng, C.; Wang, H.; Wang, X.; Gao, P. Modelling and evaluating the economy-resource-ecological environment system of a third-polar city using system dynamics and ranked weights-based coupling coordination degree model. Cities 2023, 133, 104151. [Google Scholar] [CrossRef]
- Li, H.; Wei, X. Influence of China-Australia FTA on Chinese Dairy Import. J. Int. Trade 2011, 15, 77–84, (In Chinese with English Abstract). [Google Scholar]
- Zhou, W.; Laurenceson, J. Demystifying Australia-China Trade Tensions. J. World Trade 2022, 56, 51–86. [Google Scholar] [CrossRef]
- Zhang, Y.; Liu, E. Competitiveness of Agricultural Products Trade between China and Australia; Guangdong Agricultural Sciences: Guangzhou, China, 2013. [Google Scholar]
- Wang., B.; Xiao, H. Factors of fluctuation on China-Australia livestock products trade. J. China Agric. Univ. 2016, 21, 8. [Google Scholar]
- Gao, P.; Gao, Y.; Ou, Y.; McJeon, H.; Zhang, X.; Ye, S.; Wang, Y.; Song, C. Fulfilling global climate pledges can lead to major increase in forest land on Tibetan Plateau. iScience 2023, 26, 106364. [Google Scholar] [CrossRef]
- Tcha, M.; Wright, D. Determinants of China’s import demand for Australia’s iron ore. Resour. Policy 1999, 25, 143–149. [Google Scholar] [CrossRef]
- Wang, P.; Ju, J. Comparative Analysis of the China-South Korea and China-Australian Bilateral Trades Commodity Structure. In Proceedings of the 2015 International Conference on Management Science and Management Innovation (MSMI 2015), Guilin, China, 15–16 August 2015; Atlantis Press: Amsterdam, The Netherlands, 2015; pp. 212–217. [Google Scholar]
- Gao, P.; Gao, Y.; Zhang, X.; Ye, S.; Song, C. CLUMondo-BNU for simulating land system changes based on many-to-many demand–supply relationships with adaptive conversion orders. Sci. Rep. 2023, 13, 5559. [Google Scholar] [CrossRef]
- Xiang, H.; Kuang, Y.; Li, C. Impact of the China–Australia FTA on global coal production and trade. J. Policy Model. 2017, 39, 65–78. [Google Scholar] [CrossRef]
- Mu, W.; Tong, D. Computation of the distance between a polygon and a point in spatial analysis. Int. J. Geogr. Inf. Sci. 2022, 36, 1575–1600. [Google Scholar] [CrossRef]
- Vollrath, T. Revealed Competitive Advantage for Wheat; Staff Reports; United States Department of Agriculture, Economic Research Service: Washington, DC, USA, 1987. [Google Scholar]
- Hu, L.; Song, C.; Ye, S.; Gao, P. Spatiotemporal Statistical Imbalance: A Long-Term Neglected Defect in UN Comtrade Dataset. Sustainability 2022, 14, 1431. [Google Scholar] [CrossRef]
- Minami, M. Using ArcMap; ESRI: Redlands, CA, USA, 2002. [Google Scholar]
- Zipf, G.K. Human Behaviour and the Principle of Least Effort. Econ. J. 1950, 60, 808. [Google Scholar]
- Jiang, B.; Liu, X. Scaling of geographic space from the perspective of city and field blocks and using volunteered geographic information. Int. J. Geogr. Inf. Sci. 2012, 26, 215–229. [Google Scholar] [CrossRef]
- Fisher, W. On grouping for maximum homogeneity. ASA 1958, 53, 789–798. [Google Scholar] [CrossRef]
- Jenks, G.F. Generalization in Statistical Mapping. Ann. Assoc. Am. Geogr. 1963, 53, 15–26. [Google Scholar] [CrossRef]
- Wang, J.-F.; Li, X.-H.; Christakos, G.; Liao, Y.-L.; Zhang, T.; Gu, X.; Zheng, X.-Y. Geographical detectors-based health risk assessment and its application in the neural tube defects study of the Heshun region, China. IJGIS 2010, 24, 107–127. [Google Scholar] [CrossRef]
- Jiang, B.; Ma, D. How complex is a fractal? Head/tail breaks and fractional hierarchy. Geovis. Spat. Anal. 2018, 2, 16. [Google Scholar] [CrossRef]
- Jiang, B.; Yin, J. Ht-Index for Quantifying the Fractal or Scaling Structure of Geographic Features. Ann. AAG 2014, 104, 530–540. [Google Scholar] [CrossRef]
- Taleb, N. The Black Swan: The Impact of the Highly Improbable; Allen Lane: London, UK, 2007. [Google Scholar]
- Jiang, B. Head/tail Breaks: A New Classification Scheme for Data with a Heavy-tailed Distribution. Prof. Geogr. 2013, 65, 482–494. [Google Scholar] [CrossRef]
- Wang, S.; Xu, X. A new algorithm of hilbert scanning matrix and its MATLAB program. Image Graph. 2006, 1, 119–122. [Google Scholar]
- Macqueen, J. Some Methods for Classification and Analysis of MultiVariate Observations. Proc. Berkeley Symp. Math. Stat. 1967, 1, 281–297. [Google Scholar]
- Yang, J.; Zhao, C. Survey on K- Means clustering algorithm. Comput. Eng. Appl. 2019, 55, 7–14, (In Chinese with English Abstract). [Google Scholar]
- Ye, S.; Song, C.; Gao, P.; Liu, C.; Cheng, C. Visualizing clustering characteristics of multidimensional arable land quality indexes at the county level in mainland. China Environ. Plan. A. Econ. Space 2022, 54, 222–225. [Google Scholar] [CrossRef]
- Huang, M.; Fang, Z. Current situation and future trend of China-Australia economic and trade relations. Asia-Pac. Econ. Rev. 2020, 70–79+150, (In Chinese with English Abstract). [Google Scholar] [CrossRef]
- Ye, S.; Song, C.; Shen, S.; Gao, P.; Cheng, C.; Cheng, F.; Wan, C.; Zhu, D. Spatial pattern of arable land-use intensity in China. Land Use Policy 2020, 99, 104845. [Google Scholar] [CrossRef]
- Li, W.; Huang, S.; Qi, Y.; An, H. RDEU hawk-dove game analysis of the China-Australia iron ore trade conflict. Resour. Policy 2022, 77, 102643. [Google Scholar] [CrossRef]
- Wang, B. Current status, new features and recommendations of China-Australia cooperation in minerals and energy. Contemp. Int. Relat. 2020, 30, 138–153. [Google Scholar]
- Mackerras, C. Australia-China Relations in Decline: An Alternative Viewpoint; Social Alternatives: Maroochydore, QLD, Australia, 2021; Volume 40, pp. 37–44. [Google Scholar]
- Hidalgo, C.A.; Klinger, B.; Barabási, A.-L.; Hausmann, R. The Product Space Conditions the Development of Nations. Science 2007, 317, 482–487. [Google Scholar] [CrossRef]
- Wu, X.; Zurita-Milla, R.; Kraak, M.-J. Co-clustering geo-referenced time series: Exploring spatio-temporal patterns in Dutch temperature data. Int. J. Geogr. Inf. Sci. 2015, 29, 624–642. [Google Scholar] [CrossRef]
- Han, J.; Kamber, M.; Pei, J. Data Mining: Concepts and Techniques; Morgan Kaufman Publisher: Waltham, MA, USA, 2012; Volume 10, pp. 971–978. [Google Scholar]
- Banerjee, A.; Dhillon, I.; Ghosh, J.; Merugu, S.; Modha, D.S. A generalized maximum entropy approach to Bregman Co-clustering and matrix approximation. J. Mach. Learn. Res. 2007, 8, 1919–1986. [Google Scholar]
- Wu, X.; Zurita-Milla, R.; Kraak, M.J. A novel analysis of spring phenological patterns over Europe based on co-clustering. J. Geophys. Res. Biogeosci. 2016, 121, 1434–1448. [Google Scholar] [CrossRef]
- Cho, H.; Dhillon, I.S.; Guan, Y.; Sra, S. Minimum sum-squared residue co-clustering of gene expression data. In Proceedings of the 2004 SIAM International Conference on Data Mining, Lake Buena Vista, FL, USA, 22–24 April 2004; SIAM: Lake Buena Vista, FL, USA, 2004; pp. 114–125. [Google Scholar]










| Time Period | Cluster 1 (n1 = 9) | Cluster2 (n2 = 1105) | Cluster3 (n3 = 142) |
|---|---|---|---|
| 1998–2002 | 29.0142130 | 1.3675999 | 8.3746590 |
| 2003–2006 | 33.5533474 | 1.2112864 | 7.7501643 |
| 2007–2010 | 27.9883261 | 1.1526156 | 6.1057149 |
| 2011–2019 | 21.6110437 | 1.1589974 | 4.7332523 |
| Time Period | Cluster 1 (n1 = 335) | Cluster 2 (n2 = 903) | Cluster 3 (n3 = 18) |
|---|---|---|---|
| 1998–2002 | 72.7118379 | 16.9254715 | −65.9744152 |
| 2003–2006 | 65.6300128 | −3.7909736 | −93.8163177 |
| 2007–2010 | 75.6674041 | 10.7797741 | −159.7832256 |
| 2011–2019 | 76.1712667 | −2.0935835 | 1.6082544 |
Disclaimer/Publisher’s Note: The statements, opinions and data contained in all publications are solely those of the individual author(s) and contributor(s) and not of MDPI and/or the editor(s). MDPI and/or the editor(s) disclaim responsibility for any injury to people or property resulting from any ideas, methods, instructions or products referred to in the content. |
© 2023 by the authors. Licensee MDPI, Basel, Switzerland. This article is an open access article distributed under the terms and conditions of the Creative Commons Attribution (CC BY) license (https://creativecommons.org/licenses/by/4.0/).
Share and Cite
Han, X.; Ye, S.; Ren, S.; Song, C. Using the DTFM Method to Analyse the Degradation Process of Bilateral Trade Relations between China and Australia. Sustainability 2023, 15, 7297. https://doi.org/10.3390/su15097297
Han X, Ye S, Ren S, Song C. Using the DTFM Method to Analyse the Degradation Process of Bilateral Trade Relations between China and Australia. Sustainability. 2023; 15(9):7297. https://doi.org/10.3390/su15097297
Chicago/Turabian StyleHan, Xiaoyang, Sijing Ye, Shuyi Ren, and Changqing Song. 2023. "Using the DTFM Method to Analyse the Degradation Process of Bilateral Trade Relations between China and Australia" Sustainability 15, no. 9: 7297. https://doi.org/10.3390/su15097297
APA StyleHan, X., Ye, S., Ren, S., & Song, C. (2023). Using the DTFM Method to Analyse the Degradation Process of Bilateral Trade Relations between China and Australia. Sustainability, 15(9), 7297. https://doi.org/10.3390/su15097297

