Next Article in Journal
The Three-Dimensional Analytical and Governance Logic of China’s Digital Divide Bridging Policy
Next Article in Special Issue
Mitigation of Nitrous Oxide Emissions from Rice–Wheat Cropping Systems with Sub-Surface Application of Nitrogen Fertilizer and Water-Saving Irrigation
Previous Article in Journal
An Explorative Study of Resilience Influence on Business Performance of Korean Manufacturing Venture Enterprise
Previous Article in Special Issue
Integrated Plant Nutrient Systems Improve Rice Yields without Affecting Greenhouse Gas Emissions from Lowland Rice Cultivation
 
 
Font Type:
Arial Georgia Verdana
Font Size:
Aa Aa Aa
Line Spacing:
Column Width:
Background:
Article

Geospatial Visualization and Ecological Risk Assessment of Heavy Metals in Rice Soil of a Newly Developed Industrial Zone in Bangladesh

by
Mahmuda Akter
1,
Mohammad Humayun Kabir
1,
Mohammad Ashraful Alam
1,
Hammadullah Al Mashuk
2,
Mohammad Mizanur Rahman
1,
Mohammad Saiful Alam
1,
Graham Brodie
3,
S. M. Mofijul Islam
4,
Yam Kanta Gaihre
5 and
Golum Kibria Muhammad Mustafizur Rahman
1,*
1
Department of Soil Science, Bangabandhu Sheikh Mujibur Rahman Agricultural University (BSMRAU), Gazipur 1706, Bangladesh
2
Soil Science Division, Bangladesh Agricultural Research Institute (BARI), Gazipur 1700, Bangladesh
3
School of Engineering and Physical Sciences, James Cook University, Townsville, QLD 4811, Australia
4
Soil Science Division, Bangladesh Rice Research Institute (BRRI), Gazipur 1701, Bangladesh
5
International Fertilizer Development Center, Muscle Shoals, AL 35661, USA
*
Author to whom correspondence should be addressed.
Sustainability 2023, 15(9), 7208; https://doi.org/10.3390/su15097208
Submission received: 22 February 2023 / Revised: 3 April 2023 / Accepted: 6 April 2023 / Published: 26 April 2023
(This article belongs to the Special Issue Sustainable Agriculture: Soil Fertility and Nutrient Management)

Abstract

With rapid industrialization in Gazipur areas of Bangladesh, untreated industrial effluents have been polluting rice soils which could exert potential ecological risk. Therefore, four different types of industries including chemical (SL), textile and paints (MIX), dyeing (CK), and sweater and dyeing (RD) were selected to monitor the intensity of heavy metal pollution in rice soils and ecological risk assessment. The di-acid digestion method was used for the determination of Pd, Cd, and Ni, and the DTPA extraction method was used for Fe, Zn, and Cu. ArcGIS was used to visualize the spatial patterns of heavy metal pollution, and different pollution indices were calculated to assess the ecological risk. The highest concentration (mg kg−1) of Cd (0.72), Pb (104.20), and Ni (5.02) was found in soils of the MIX industrial area. The highest concentration (mg kg−1) of Fe (147.65) and Zn (11.27) was found in the SL industry, while the highest Cu (7.67) was found in the CK industry. It was evident from the spatial distribution that the soils of paddy fields adjacent to the different industries are more contaminated than background soil. Although the potential ecological risk of heavy metal was low, different pollution indices indicated low to high pollution. Thus, the adjacent rice field soil of different industries is being contaminated by different heavy metals which may raise ecological risk.

1. Introduction

In recent years, much care has been paid to environmental pollution by means of rapid urbanization and industrialization throughout the world, and Bangladesh is part of this [1,2]. Owing to industrialization, the most serious environmental problem is the pollution of agricultural soil. A huge amount of wastewater generated from the industries has been discharged into the environment without appropriate treatments [3,4]. The spreading of these untreated heavy metals and contaminated effluents used for irrigation purposes could contaminate agricultural soils. Thus, heavy metal accumulation in agricultural soils has received serious attention due to potential health risks and their adverse effects on soil health, toxicity and persistence in the environment, and food safety issues as food chain contaminant through plant uptake [5,6,7,8,9].
Anthropogenic activities such as mining, transportation, waste disposal, industrialization, and social and agricultural activities have significant impact on ecological pollution and the total ecosystem [10,11]. Different factors like climate, parent materials, mineralogy, and soil texture and type are involved in distributing heavy metals in nature [12,13]. However, various sources of untreated industrial wastewater are the main anthropogenic origin of heavy metals in the soil of Bangladesh [14,15,16]. Irrigation with different sources of contaminated water such as industrial, municipal, and sewage sludge wastewater and the dumping of solid waste directly into farmland result in the spreading of untreated effluent throughout the farmland, and plants are exposed to poisonous metal ponds without any treatment [17,18,19].
Many industries have been identified in the country by the Department of Environmental Promotion (DoE) which do not have sewage and waste treatment facilities [20,21]. This highly toxic wastewater discharges directly into the adjacent soil and rivers and includes lead (Pb), cadmium (Cd), nickel (Ni), iron (Fe), zinc (Zn), and copper (Cu), which are mainly responsible for environmental pollution [1,2,4,22]. In addition, floods can cause arable land to be inundated with industrial wastewater through the discharge of untreated industrial wastewater [23]. Therefore, the crops grown in the vicinity of the industrial zone contain higher concentrations of heavy metals and enter into the edible and non-edible parts. The high quantities of heavy metal-containing food may cause toxicity for all living beings including human beings because the appropriate mechanisms are not available to eliminate them. In many cases, they are considered as contaminated bio-monitor loads [24].
The history of industrialization in Bangladesh is very brief, but the impact of contamination from untreated wastewater from dyeing, textiles, and pharmaceuticals is recognized in industrial zones [7,19,25]. Some sporadic research on heavy metal pollution has been conducted [1,2,15,25], but no systematic studies have been attempted that are urgently needed to know the causes and sources of different heavy metal loads in the environment of the newly developed industries. As rice is the principal cereal in Bangladesh, heavy metal accumulation in paddy soils is the greatest concern for human and animal health. However, a methodical study for quantifying heavy metal pollution in agricultural soils and their sources has not yet been conducted in Bangladesh. Therefore, this study aimed (1) to investigate the contamination level of heavy metals in the command areas of paddy field soil adjacent to an industrial zone, (2) to identify the sources of heavy metals using a spatial distribution map, and (3) to evaluate the ecological risk of heavy metals in paddy soil using chemometric approaches. The outcomes of this study will provide significant information on the impacts of urban activities of the newly developed industrial zone of Bangladesh and safety of soil ecology, and furthermore, it could provide a reference guideline to conduct studies across other urban regions of Bangladesh.

2. Materials and Methods

2.1. Study Area

This study covered four different types of industries and associated agricultural sites. They were the chemical industry (SL), textile and paints industry (MIX), dyeing industry (CK), and sweater and dyeing industry (RD). They are situated at South Donua of Sreepur, Jangaliapara of Gazipur Sadar, and Kewa and Nayanpur of Sreepur in the Gazipur District of Bangladesh located between 24.095° and 24.309°N and between 90.373° and 90.388°E (Figure 1). The age of the industries ranges between 15 and 20 years (Figure 2).

2.2. Soil Sample Collection

The area of a paddy field soil in the selected study sites is considered as a command area, which has been contaminated through the effluents discharged from respective industries. Representative soil samples (total of 44 samples including 4 controls) were collected from the selected study sites during January–July 2019. Control samples were collected from an uncontaminated field where effluent does not enter. Soil samples were collected from the whole command area maintaining 15 m distance from one sampling point to another sampling point. Each sample was the composite of 5 sub-samples within 2 m surrounding a specific sampling location. Around 2.5 kg of soil for each sample were collected. The longitudes and latitudes of the sampling points were recorded using a portable GPS (global positioning system, Garmin 60CSx, Kansas City, MO, USA) machine.

2.3. Sample Processing and Heavy Metal Analyses

After collection, soil samples were air dried and cleaned to remove the stones, gravels, and plant roots. Prior to chemical analysis, the soil samples were homogenized with a vibrating sample mill (HEIKO TI-200, Tokyo, Japan) and sieved using a 2 mm sieve. For the heavy metal (Cd, Ni, and Pb) determination, the soil sample was digested by di-acid HNO3–HClO4 (2.5:1) [26,27] in a block digester (Model behrotest K24 Digestion Unit) [28]. To ensure the analysis quality at the time of digestion, the secondary reference material (SRM) was used to compare the certified value; blank and duplicate samples were used to compare the recovery percentage of digestion where 90% and above was accepted. The DTPA extraction method was used for the determination of Fe, Cu, and Zn [29]. The concentrations of Cd, Ni, Pb, Mn Fe, Cu, and Zn were determined by an atomic absorption spectrophotometer (AAS, VGP 210 Buck Scientific, Norwalk, CT, USA). The BUCK Scientific standard (BS-AQ) for individual metals was used for the calibration of the AAS.

2.4. Evaluation Method for Soil Pollution Indices

Different pollution indices were calculated based on the analysis data to evaluate the extent of the heavy metal contamination. The following indices are described here.

2.4.1. Single Factor Pollution Index (SFPI)

The Single Factor Pollution Index (SFPI) method was applied by the China Green Food Development Center [30] for the first time to evaluate the heavy metal pollution. They suggested the following equation to determine the pollution index (Pi) (Equation (1)):
P i = C i S i
where Pi is the pollution index of pollutant i; Ci is the measured value of i; and Si is the guideline value of i. The Pi value > 1 indicates metal pollution whereas <1 indicates no pollution. For calculating the SFPI, the background value was used as a guideline value.

2.4.2. Nemerow’s Multi-Factor Pollution Index

For the determination of the individual heavy metal pollution in soils, SFPI was used, whereas to measure the overall heavy metal pollution, Nemerow’s multi-factor pollution index was used by following the equation described below (Equation (2)):
I = ( P i M a x 2 + P i A v e 2 ) / 2
where I is Nemerow’s multi-factor pollution index at location i; PiMax is the maximum; and PiAve is the average value of SFPI. According to Nemerow’s multi-factor pollution index, environmental quality is divided into five levels, viz., heavy pollution level (I > 3.0), moderate level (2.0 < I ≤ 3.0), light pollution level (1.0 < I ≤ 2.0), precaution level (0.7 < I ≤ 1.0), and clean level (I ≤ 0.7) [30].

2.4.3. Contamination Factor (CF)

The magnitude of soil heavy metal contamination was assessed by using the contamination factor (CF). To measure the contamination factor (CF), the following equation (Equation (3)) was used [31]:
C F = C n ( s a m p l e ) B n
where Cn is the metal concentration of the studied soil sample, and Bn is the geochemical background value.

2.4.4. Geo-Accumulation Index (Igeo)

The Geo-accumulation index (Igeo) was used to determine the degree of metal pollution by following Equation (4) [32]:
I g e o = l o g 2 ( C n 1.5 B n )
where Cn is the metal concentration of the studied sample, and Bn is the background value.

2.4.5. Potential Ecological Risk Index (PERI)

To calculate the potential ecological risk index (RI) of heavy metals, the following equations (Equations (5) and (6)) were used [31]:
Eri = Tri × CF
where Eri is the potential ecological risk for metals; Tri is the toxic response factor; and the Tri value is 5 for Cu, Pb, and Ni, 30 for Cd, and 1 for Zn [33].
R I = i = 1 E i r
where the comprehensive potential ecological risk index of the metals is expressed as RI.

2.5. Statistical and Geostatistical Analysis

The statistical analyses of experimental data were performed using Statistix 10. An analysis of variance (ANOVA) test was performed to identify the significant results between means of heavy metals in the studied area [34]. For geostatistical analysis and visualization of map outputs, the QGIS software was used. The spatial pattern maps of Cd, Ni, Pb, Fe, Cu, and Zn in the command area were generated by using the Inverse Distance Weighted (IDW) method in a QGIS environment.

3. Results

3.1. Heavy Metal Concentration in Paddy Soil

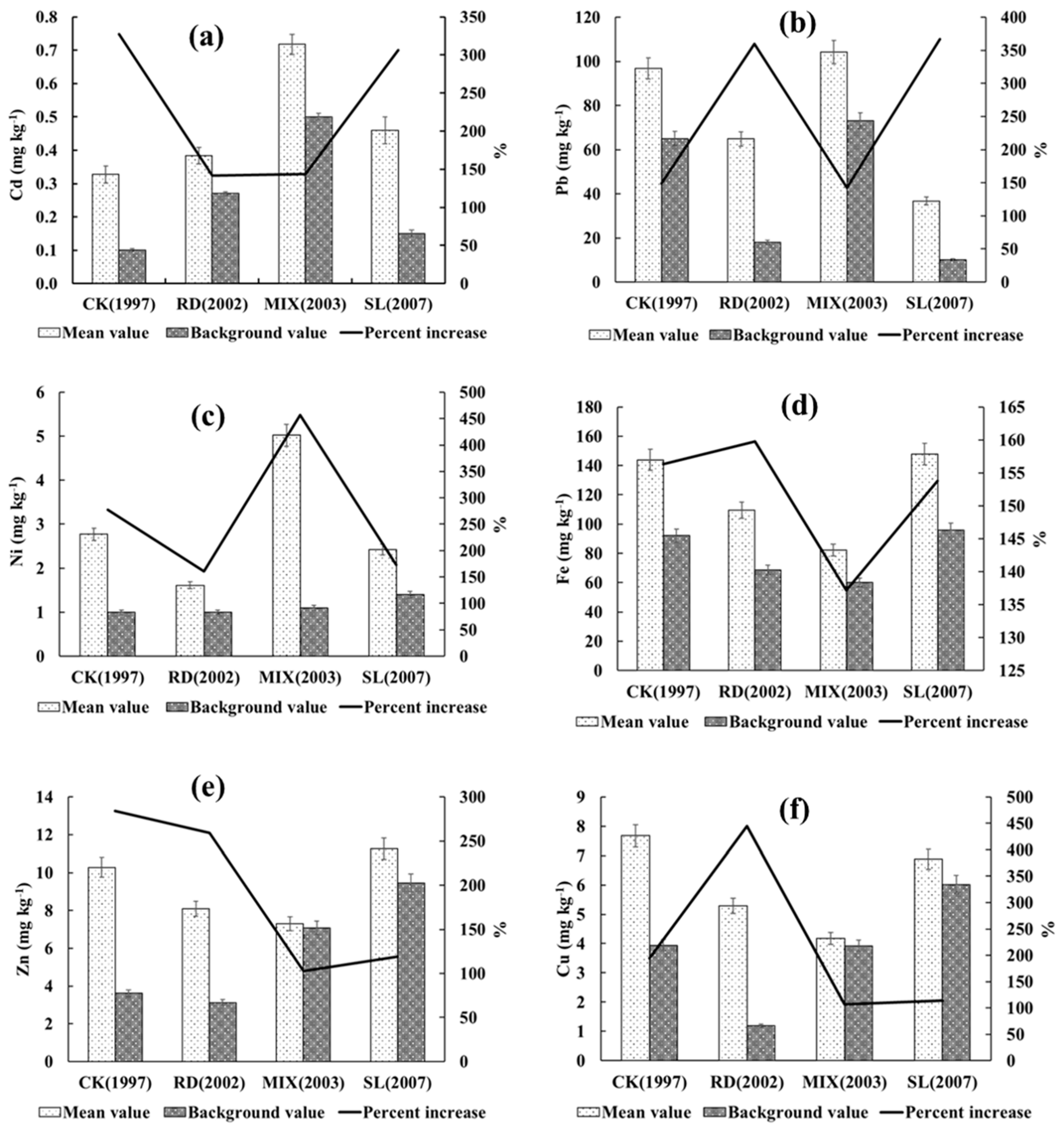
The mean concentrations (mg kg−1) of different heavy metals (Cd, Pd, Ni, Fe, Zn, and Cu) in rice soil of all selected industries are presented in Table 1. The concentrations of all heavy metals were significantly different from each other among all the selected industries. Significantly higher concentrations of Cd (0.72 mg kg−1), Pb (104.20 mg kg−1), and Ni (5.02 mg kg−1) were found in the MIX industry compared to other industries, while significantly higher concentrations of Fe (147.65 mg kg−1) and Zn (11.27 mg kg−1) were recorded in the SL industry. On the other hand, a higher concentration of Cu (7.67 mg kg−1) was detected in the CK industry which was statistically similar to the SL industry (6.88 mg kg−1).
The trend of Cd, Pb, and Ni loading in rice field soils in different industries was MIX > SL > RD > CK, MIX > CK > RD > SL, and MIX > CK > SL > RD, respectively, whereas for Fe, Zn, and Cu SL > CK > RD > MIX, SL > CK > RD > MIX, and CK > SL > RD > MIX, respectively. (Table 1).

3.2. Percent Increase of Heavy Metals Concentration

The studied paddy soils adjacent to different industrial areas showed higher heavy metals concentration compared to their background values (Figure 2). The highest Cd concentration increase (327.20%) was found in the study area of CK industry as compared to the background value (0.1 mg kg−1) which was close (306.40%) to the SL industrial area, where background value was 0.15 mg kg−1 (Figure 2a and Table 2).
The percent increases of Cd concentration for the MIX and RD industries were 143.46% and 142.00%, respectively, as compared to their background concentration (0.50, 0.27 mg kg−1) (Figure 2a and Table 2). It was observed that the maximum increase of Pb was 367.00% in the SL industry followed by the RD industry (360.00%) compared to the background values 10.00 mg kg−1 and 18.00 mg kg−1 (Table 2), respectively. However, the increasing percentages of Pb in the CK and MIX industries were 148.92 and 142.74%, respectively, compared to their background concentration (Figure 2b). In the case of Ni, the maximum increase (456.36%) was observed in the MIX industry followed by the CK (277.00%), SL (172.86%), and RD (161.00%) industries where the background concentrations were 1.10, 1.00, 1.40, and 1.00 mg kg−1, respectively (Figure 2c and Table 2).
The percent increases of Fe concentration were 159.74, 156.36, 153.80, and 137.00% in the RD, CK, SL, and MIX industries compared to their background concentrations of 68.60, 92.00, 96.00, and 60.00 mg kg−1, respectively (Figure 2d, and Table 2). The percent increase of Zn concentration was the highest (284.06%) in the CK industrial area containing a background value of 3.62 mg kg−1, where the lowest value (102.98%) was observed in the MIX industrial area having a background value of 7.08 mg kg−1 (Figure 2e and Table 2). The highest percent increase of Cu was observed in the RD industry (444.29%) followed by the CK (194.75%), SL (114.30%), and MIX (106.58%) industries, respectively, as compared with their background concentrations (1.19, 3.94, 6.02, and 3.92 mg kg−1) (Figure 2f and Table 2). The ordering of the percent increase of heavy metals in different industrial areas compared to their background values is Ni > Cu > Pb > Cd > Zn > Fe (Figure 2).

3.3. Assessment of Pollution Indices

3.3.1. Single Factor Pollution Index (SFPI)

The single factor pollution index (SFPI) of Cd by the RD, CK, SL, and MIX industry were 3.72, 3.27, 3.13, and 1.43, respectively (Table 3). The highest amount of Cd was released by RD while MIX released the lowest amount of Cd. On the other hand, the highest mean value of single factor pollution index of Pb (3.67), Ni (4.56), Fe (1.56), Zn (2.84), and Cu (2.08) was found in the SL, MIX, CK, and RD industries, respectively. It can be said that Fe released from the CK industry was similar to the SL industry. In the cases of CK and RD, the released amount Zn and Cu were almost similar and higher than the other industries (Table 3).

3.3.2. Nemerow’s Multi-Factor Pollution Index

From Nemerow’s multi-factor pollution index of heavy metals in the study areas, it was observed that, in the SL industry, heavy pollution occurred from Cd (5.02) and Pb (4.68) (Table 4), while Ni (2.32) was responsible for moderate pollution, and light pollution was found for Fe (1.80), Zn (1.40), and Cu (1.24). In the case of the MIX industry, heavy pollution was observed only for Ni (6.51), and light pollution was observed for other elements. However, in the CK industry heavy pollution was found for Ni (6.12), Cd (5.34), and Zn (3.85). Moreover, in the RD industrial area heavy pollution was revealed for Cd (4.78) and Zn (3.45), whereas Ni (2.54) and Cu (2.34) were accountable for moderate pollution. The pollution intensity of individual heavy metals followed the order of Ni > Cd > Pb > Zn > Cu > Fe (Table 4).

3.3.3. Contamination Factor (CF)

The contamination factor (CF) of heavy metals in the study areas was found < 1 for Ni, Fe, Zn, and Cu, while Pb exhibited significantly (p < 0.05) the highest CF value (5.21) followed by Cd (2.39). The highest CF value of Pb (> 3 but < 6) was recorded in the MIX industrial area which indicates the considerable contamination in the MIX industry of Pb. Likewise, the CK (4.84) and RD (3.24) industrial areas were considerably contaminated with Pb. However, moderate contamination from Pb (1.84) was found in the SL industrial area. The range of CF values for Cd was 1.90–2.39 which showed that moderate contamination (1 < CF < 3) occurred from Cd in all industrial areas (Table 5).

3.3.4. Geo-Accumulation Index (Igeo)

Geo-Accumulation Index (Igeo) of studied industrial areas is presented in Table 6. According to Igeo, all industrial areas were moderately polluted (1 < Igeo < 2) except SL (0.19), which can be considered as uncontaminated to moderately contaminated. Among them, the maximum Igeo value (1.78) of Pb was found in the MIX industrial area. In the case of Cd, only the MIX industrial area showed uncontaminated to moderately contaminated (0 < Igeo <1) levels while other industrial areas showed practically no contamination. The Igeo values of other metals (Ni, Zn, Fe, and Cu) were less than 0, which indicates that all industrial areas are practically uncontaminated (Table 6).

3.3.5. Potential Ecological Risk Index (PERI)

The Potential Ecological Risk Index (PERI) of six heavy metals in all industrial areas is summarized in Table 7. The findings of this study showed that the intensity of pollution by industrial wastewater in all industrial areas was low. The PERI of Cd (32.72–71.73) was found to be highest compared to other elements. The descending order of PERI in all industrial areas was Cd > Pb > Zn > Ni > Fe > Cu (Table 7).

3.3.6. Relationship among Heavy Metals Concentration

The Pearson correlation coefficient was calculated to observe the relationship among heavy metal concentrations. The positive and significant (p < 0.05, <0.01, <0.001) correlations were observed between Ni and Cd (0.4278), between Ni and Pb (0.4272), between Zn and Fe (0.4106), between Cu and Fe (0.6702), and between Cu and Zn (0.4951) (Table 8 and Table 9).

3.3.7. Spatial Variation of Heavy Metals

The spatial distribution maps illustrate the visual display of heavy metal distribution in the command areas (Figure 3 and Figure 4). The increasing trend of heavy metal contamination was observed compared to its background value. The highest concentrations of heavy metals were found in the source of the effluent deposal area by industrial outlets, and then the concentrations gradually spread to the other areas with decreasing concentration.

4. Discussion

Due to rapid industrialization, more industries are developed day by day in Bangladesh without proper planning [37]. However, most of the industries do not have appropriate treatment plants for wastewater, and effluents are discharged directly into the agriculture fields, canals, and rivers. As a consequence, the untreated industrial wastewater carries different types of contaminants including heavy metals to the adjacent areas of each industry, and ultimately the soils become contaminated. Thus, the intrusion of and irrigation with this untreated industrial wastewater is the main source and cause of increasing heavy metal buildup in the adjacent area soils of an industrial zone. Previous research revealed that short-term sewage irrigation increases heavy metal concentration both in soil and crops [1,2,38]. The results from the present study revealed that heavy metal contamination increases in the vicinity of the industrial-contaminated rice field soils. This agrees with the outcomes of the studies conducted by [39,40]. They observed that the physical, chemical, and biological properties of the surface soil were altered due to the toxicity of heavy metals, and increasing levels of heavy metals polluted the area day by day from the adjacent industries.
Based on the findings of the present study, the mean values of Cd, Pb, Ni, Fe, Cu, and Zn in command area soils were higher than the background values which indicates an increasing trend of heavy metal contamination in paddy field soils through contaminated wastewater from the different industries of the selected industrial zone of Bangladesh (Table 1). Proshad et al. [41] also found almost similar outcomes from their study. The determined values of different heavy metals were higher due to the probability of anthropogenic activities for their distribution. The findings of Liu et al. [42] also matched our findings that anthropogenic sources of heavy metal gradually created soil pollution which ultimately contaminated the food chain. Karim et al. [43] also reported that heavy metal accumulation occurs mainly due to unplanned industrial activities and the discharge of untreated industrial wastewater in the soil environment.
Focusing on individual industries, the heavy metal loading pattern was not similar in all of the industries. For example, significantly higher concentrations of Cd, Pb, and Ni were found in MIX industry compared to other industries while significantly higher concentrations of Fe and Zn were recorded in the SL industry. Furthermore, a higher concentration of Cu was detected in the CK industry which was statistically similar to the SL industry. In the cases of maximum contamination, the effluents are not treated before being disposed of in the industrial adjacent areas. This phenomenon might be due to the cost involved and the lack of knowledge about the toxicity of soil pollution and ultimately contaminating the food chain which may cause serious health hazards [44,45,46,47]. As a result, heavy metals remain for a long time in the deposited areas, and the areas become more highly contaminated than the uncontaminated areas. It can also be observed that heavy metal pollution loading is not dependent on the year of establishment of the industry (Figure 2). The intensity of heavy metal accumulation in paddy field soils varied due to the different types discharged wastewater from the different industries (Table 1). The major sources of Cd and Pb are different types of dye complexes that are used in textile and dyeing industries [48]. This could be the reason for the higher concentrations of Cd, Pb, and Ni in the MIX industry where the effluents were discharged from the textile and paint industries. However, higher concentrations of Fe and Zn in the SL industry could be attributed to the use of different Fe- and Zn-rich raw materials for manufacturing of different chemicals. A relatively higher concentration of Cu in the CK industry could be due to the use of Cu for dyeing purposes [1,2].
The mean SFPI values of Cd, Pb, Ni, Fe, Zn, and Cu were higher than the value of 1.0, compared with the background values in the study area indicating that the soils of the study areas are being contaminated on a day by day basis through the discharge or overflow of paddy soils with industrial wastewater containing heavy metals. From this study, it is observed that if the SFPI value of any heavy metal of an agricultural soil exceeded 1, the soil is not suitable for agricultural production due to the possibility of food contamination [49]. The Igeo values indicate that there is moderate contamination of Pb in all industries except the SL industry due to a different source and industrial activities. According to [50], there is moderate pollution from Pb compared to other metals which exhibit a Igeo value of less than zero. The highest PERI value of Cd, Pb, and Ni were found in the MIX industrial area which suggests that the textiles and paints are more responsible for increasing the pollution level than the dyeing and sweater industries. According to the study of Martin et al., it can be suggested that the PERI values of Cd, Pb, and Ni were significantly higher than other metals which could be due to different types of anthropogenic activities such as the application of phosphate fertilizers and industrial activities [51]. A positive and significant correlation was observed (Table 8) among heavy metals, which indicates the common origin of these heavy metals However, a weak and negative correlation among other metals denotes the different sources of each metal, indicating that heavy metal occurrence might be either natural or anthropogenic.
The highest concentrations of heavy metals were found in the source of effluent disposal areas by industrial outlets, and then the concentrations gradually spread to other areas (Figure 3 and Figure 4). This is due to the initial deposition of effluents with higher concentrations of heavy metals near the source, and with increasing time and distance the concentrations decrease. It was reported that there is a decreasing trend in the concentration of heavy metals with increasing distance from contaminated areas [52]. The results of Faccinelli et al. and Martin et al. also revealed the similar spatial distribution of heavy metals in paddy field soil [53,54,55].

5. Conclusions

This study identified the heavy metal contamination in the vicinity of different industries located in Gazipur district of Bangladesh. Based on the background value used as a guideline value, the surface soils of rice fields adjacent to the different industries are being contaminated with different heavy metals. The spatial pattern of heavy metals indicated a higher contamination at the adjacent area of industries as compared to the distal soils. Although the ecological risk factor was not high enough yet to be threat to the environment, the pollution loading of different heavy metals varies from low to high which could include the potential rise of ecological risk in the future if the discharge of industrial effluents continues. The outcomes of this study will provide background information on soil quality status due to heavy metal contamination and can also be used as a soil quality data set for further comparisons in Bangladesh. We suggest that the GOB should require each industry to remove heavy metals from their effluent before disposing of it in nearby fields or rivers. Future studies should focus on heavy metal accumulation in rice paddies and other crops and their associated human health risk.

Author Contributions

Conceptualization, M.A. and G.K.M.M.R.; methodology, M.A., M.H.K. and M.M.R.; software, M.A. and M.H.K.; validation, M.S.A. and G.K.M.M.R.; formal analysis, M.A.A., M.H.K. and H.A.M.; data curation, M.A., M.H.K. and M.A.A.; writing—original draft preparation, M.A. and G.K.M.M.R.; writing—review and editing, M.H.K., G.B., S.M.M.I. and Y.K.G. All authors have read and agreed to the published version of the manuscript.

Funding

This research was funded by Bangladesh Bureau of Educational Information and Statistics (grant number: Group-ES, No. 28).

Institutional Review Board Statement

Not applicable.

Informed Consent Statement

Not applicable.

Data Availability Statement

Data is contained within the article.

Acknowledgments

The authors express their sincere thanks to the Bangladesh Bureau of Educational Information and Statistics (BANBEIS), Ministry of Education for funding to complete this research. The authors also express their sincere thanks to M Sahadat Hossain, Department of Soil Science, Sylhet Agricultural University (SAU), Sylhet, Bangladesh, Md. Meftaul Islam and Md. Harunur Rashid, The University of Newcastle, Australia, for their suggestions to prepare manuscript.

Conflicts of Interest

The authors declare no conflict of interest.

References

  1. Islam, M.S.; Ahmed, M.K.; Idris, A.M.; Phoungthong, K.; Habib, M.A.; Mustafa, R.A. Geochemical speciation and bioaccumulation of trace elements in different tissues of pumpkin in the abandoned soils: Health hazard perspective in a developing country. Toxin Rev. 2021, 41, 1124–1138. [Google Scholar] [CrossRef]
  2. Li, C.; Sun, G.; Wu, Z.; Zhong, H.; Wang, R.; Liu, X.; Cheng, J. Soil physiochemical properties and landscape patterns control trace metal contamination at the urban-rural interface in southern China. Environ. Pollut. 2019, 250, 537–545. [Google Scholar] [CrossRef]
  3. Mashuk, H.A.; Alam, M.S. Heavy Metal Contamination in Vegetables from Industrial Wastewater and Risk Assessment: A Review. Agriculturists 2020, 18, 140–156. [Google Scholar]
  4. Ali, M.M.; Islam, M.S.; Islam, A.R.M.T.; Bhuyan, M.S.; Ahmed, A.S.S.; Rahman, M.Z.; Rahman, M.M. Toxic metal pollution and ecological risk assessment in water and sediment at ship breaking sites in the Bay of Bengal Coast, Bangladesh. Mar. Pol. Bull. 2022, 175, 113274. [Google Scholar] [CrossRef]
  5. Islam, M.S.; Ahmed, M.K.; Al-Mamun, M.H.; Masunaga, S. Trace metals in soil and vegetables and associated health risk assessment. Environ. Monitor. Assess 2014, 186, 8727–8739. [Google Scholar] [CrossRef] [PubMed]
  6. Shah, A.L.; Naher, U.A.; Hasan, Z.; Islam, S.M.M.; Rahman, M.S.; Panhwar, Q.A.; Shamshuddin, J. Arsenic management in contaminated irrigation water for rice cultivation. Pertanika J. Trop. Agric. Sci. 2016, 39, 155–166. [Google Scholar]
  7. Proshad, R.; Islam, M.S.; Tusher, T.R.; Zhang, D.; Khadka, S.; Gao, J.; Kundu, S. Appraisal of heavy metal toxicity in surface water with human health risk by a novel approach: A study on an urban river in vicinity to industrial areas of Bangladesh. Toxin Rev. 2020, 40, 803–819. [Google Scholar] [CrossRef]
  8. Kormoker, T.; Proshad, R.; Islam, M.S.; Shamsuzzoha, M.; Akter, A.; Tusher, T.R. Concentrations, source apportionment and potential health risk of toxic metals in foodstuffs of Bangladesh. Toxin Rev. 2021, 40, 1447–1460. [Google Scholar] [CrossRef]
  9. Kandziora, C.M.; Gospodarek, J.; Nadgórska, S.A. Pollution and ecological risk assessment of heavy metals in forest soils with changes in the leaf traits and membrane integrity of Vaccinium myrtillus L. Eur. J. For. Res. 2022, 42, 1118–1126. [Google Scholar] [CrossRef]
  10. Koz, B.; Cevik, U.Ğ.U.R.; Akbulut, S.O.N.G.Ü.L. Heavy metal analysis around Murgul (Artvin) copper mining area of Turkey using moss and soil. Ecol. Indic. 2012, 20, 17–23. [Google Scholar] [CrossRef]
  11. Tokalti, C.; Islam, M.S. Spatial–temporal variations and bio-geo-ecological risk assessment of heavy metals in sediments of a class wetland in Turkey. Arab. J. Geos. 2021, 15, 1–14. [Google Scholar] [CrossRef]
  12. Krishna, A.K.; Govil, P.K. Soil contamination due to heavy metals from an industrial area of Surat, Gujarat, Western India. Environ. Monitor. Assess 2007, 124, 263–275. [Google Scholar] [CrossRef] [PubMed]
  13. Pecina, V.; Brtnický, M.; Baltazár, T.; Juřička, D.; Kynický, J.; Galiová, M.V. Human health and ecological risk assessment of trace elements in urban soils of 101 cities in China: A meta-analysis. Chemosphere 2022, 267, 129215. [Google Scholar] [CrossRef] [PubMed]
  14. Hossain, M.A.; Rahman, G.K.M.M.; Rahman, M.M.; Molla, A.H.; Rahman, M.M.; Uddin, M.K. Impact of industrial effluent on growth and yield of rice (Oryza sativa L.) in silty clay loam soil. J. Environ. Sci. 2015, 30, 231–240. [Google Scholar] [CrossRef]
  15. Islam, M.R.; Rahman, G.K.M.M.; Karim, A.J.M.S.; Miah, M.G.; Saleque, M.A. Quality assessment of different industrial effluents for irrigation in agriculture. J. Earth Sci. Eng. 2015, 5, 134–145. [Google Scholar] [CrossRef]
  16. Mallick, S.R.; Proshad, R.; Islam, M.S.; Sayeed, A.; Uddin, M.; Gao, J.; Zhang, D. Heavy metals toxicity of surface soils near industrial vicinity: A study on soil contamination in Bangladesh. Arch. Agric. Environ. Sci. 2019, 4, 356–368. [Google Scholar] [CrossRef]
  17. Islam, M.S.; Ahmed, M.K.; Al-Mamun, M.H.; Eaton, D.W. Human and ecological risks of metals in soils under different land use in an urban environment of Bangladesh. Pedosphere 2020, 30, 1–12. [Google Scholar] [CrossRef]
  18. EI Behairy, R.A.; EI Baroudy, A.A.; Ibrahim, M.M.; Mohamed, E.S.; Rebouh, N.Y.; Shokr, M.S. Combination of GIS and Multivariate Analysis to Assess the Soil Heavy Metal Contamination in Some Arid Zones. Agronomy 2022, 12, 2871. [Google Scholar] [CrossRef]
  19. Kamanina, I.Z.; Badawy, W.M.; Kaplina, S.P.; Makarov, O.A.; Mamikhin, S.V. Assessment of Soil Potentially Toxic Metal Pollution in Kolchugino Town, Russia: Characteristics and Pollution. Land 2023, 12, 439. [Google Scholar] [CrossRef]
  20. Islam, R.; Jannat, A.F.; Rahman, M.; Lisa, L.A.; Paul, D.K. Pollution assessment and heavy metal determination by AAS in waste water collected from Kushtia industrial zone in Bangladesh. Afri. J. Environ. Sci. Tech. 2016, 10, 9–17. [Google Scholar] [CrossRef]
  21. Islam, M.S.; Ahmed, M.K.; Raknuzzaman, M.; Al-Mamun, M.H.; Kundu, G.K. Heavy metals in the industrial sludge and their ecological risk: A case study for a developing country. J. Geochem. Explor. 2017, 172, 41–49. [Google Scholar] [CrossRef]
  22. Khan, S.; Cao, Q.; Zheng, Y.M.; Huang, Y.Z.; Zhu, Y.G. Health risks of heavy metals in contaminated soils and food crops irrigated with wastewater in Beijing, China. Environ. Pollut. 2008, 152, 686–692. [Google Scholar] [CrossRef]
  23. Lokhande, R.S.; Singare, P.U.; Pimple, D.S. Study on physico-chemical parameters of waste water effluents from Taloja industrial area of Mumbai, India. Int. J. Ecosyst. 2011, 1, 1–9. [Google Scholar] [CrossRef]
  24. Mingorance, M.D.; Valdés, B.; Oliva, S.R. Strategies of heavy metal uptake by plants growing under industrial emissions. Environ. Int. 2007, 33, 514–520. [Google Scholar] [CrossRef]
  25. Hossain, M.A.; Hossain, M.I. The Environmental Impacts of Textile Dyeing Industries in Bangladesh. Res. J. Adv. Eng. Sci. 2020, 5, 113–116. [Google Scholar]
  26. Norvell, W.A.; Wu, J.I.A.P.I.N.G.; Hopkins, D.G.; Welch, R.M. Association of cadmium in durum wheat grain with soil chloride and chelate-extractable soil cadmium. Soil Sci. Soc. Am. J. 2000, 64, 2162–2168. [Google Scholar] [CrossRef]
  27. Jacobs, L.W.; Keeney, D.R.; Walsh, L.M. Arsenic Residue Toxicity to Vegetable Crops Grown on Plainfield Sand. Agron. J. 1970, 62, 588–591. [Google Scholar] [CrossRef]
  28. Kabir, M.H.; Rahman, G.K.M.M.; Ahmed, Z.U.; Rahman, M.M. Spatial variability of rice grain arsenic in confined and unconfined Basins of Ganges River Floodplain Soils of Bangladesh. J. Environ. Sci. Nat. Res. 2015, 8, 51–55. [Google Scholar] [CrossRef]
  29. Lindsay, W.L.; Norvell, W.A. Development of a Dtpa Soil Test for Zinc, Iron, Manganese, and Copper. Soil Sci. Soc. Am. J. 1978, 42, 421–428. [Google Scholar] [CrossRef]
  30. China Green Food Development Center (CGFDC). Environmental Quality Assessment for Green Food Production Program; Science Press: Beijing, China, 1994.
  31. Hakanson, L. An ecological risk index for aquatic pollution control. A sedimentological approach. Water Res. 1980, 14, 975–1001. [Google Scholar] [CrossRef]
  32. Muller, G. Schwermettalle in den sedimenten des Rheins-Veranderungen seit 1971. Umsch. Wissensch Tech. 1979, 79, 778–783. [Google Scholar]
  33. Suresh, G.; Ramasamy, V.; Meenakshisundaram, V.; Venkatachalapathy, R.; Ponnusamy, V. Influence of mineralogical and heavy metal composition on natural radionuclide concentrations in the river sediments. Appl. Rad. Isot. 2011, 69, 1466–1474. [Google Scholar] [CrossRef] [PubMed]
  34. Carver, R.H.; Nash, J.G. Doing Data Analysis with SPSS: Version 18.0; Cengage Learning: Boston, MA, USA, 2011. [Google Scholar]
  35. CEPA. Environmental Quality Standard for Soils (GB15618-1995); CEPA: Beijing, China, 1995.
  36. Turekian, K.K.; Wedepohl, K.H. Distribution of the elements in some major units of the earth’s crust. Geol. Soc. Am. Bull. 1961, 72, 175–192. [Google Scholar] [CrossRef]
  37. Kabir, S.; Kaium, A.; Chowdhury, M.T.I.; Islam, M.A.; Bhuiya, S.A.; Ahmed, M.W.; Khan, M.S.I. Environmental pollution, ecological and human health risk assessment of heavy metals in rice farming system near the Buriganga River in Dhaka, Bangladesh. Int. J. Environ. Anal. Chem. 2022, 1–20. [Google Scholar] [CrossRef]
  38. Dong, W.Q.Y.; Cui, Y.; Liu, X. Instances of soil and crop heavy metal contamination in China. Soil Sediment Contam. 2001, 10, 497–510. [Google Scholar] [CrossRef]
  39. Khan, S.; Rehman, S.; Khan, A.Z.; Khan, M.A.; Shah, M.T. Soil and vegetables enrichment with heavy metals from geological sources in Gilgit, northern Pakistan. Ecotoxicol. Environ. Saf. 2010, 73, 1820–1827. [Google Scholar] [CrossRef]
  40. Kumar, V.; Chopra, A.K.; Kumar, S.; Singh, J.; Thakur, R.K. Effects of pulp and paper mill effluent disposal on soil characteristics in the vicinity of Uttaranchal Pulp and Paper Mill, Haridwar (Uttarakhand), India. Int. J. Agric. Sci. Res. 2015, 4, 117–125. [Google Scholar]
  41. Proshad, R.; Ahmed, S.; Rahman, M.; Kumar, T. Apportionment of hazardous elements in agricultural soils around the vicinity of brick kiln in Bangladesh. J. Environ. Anal. Toxicol. 2017, 7, 525–2161. [Google Scholar] [CrossRef]
  42. Liu, X.; Wu, J.; Xu, J. Characterizing the risk assessment of heavy metals and sampling uncertainty analysis in paddy field by geostatistics and GIS. Environ. Poll. 2006, 141, 257–264. [Google Scholar] [CrossRef]
  43. Karim, Z.; Qureshi, B.A.; Mumtaz, M.; Qureshi, S. Heavy metal content in urban soils as an indicator of anthropogenic and natural influences on landscape of Karachi—A multivariate spatio-temporal analysis. Ecolog. Indi. 2014, 42, 20–31. [Google Scholar] [CrossRef]
  44. Shaktibala, T.; Bhagat, S.K. Characterization of Waste Water of Industrial area of Sitapura, Jaipur for Post Monsoon Season 2012. Int. J. Sci. Res. Rev. 2012, 2, 227–235. [Google Scholar]
  45. Valipour, M. A comprehensive study on irrigation management in Asia and Oceania. Arch. Agron. Soil Sci. 2015, 61, 1247–1271. [Google Scholar] [CrossRef]
  46. Valipour, M. Assessment of important factors for water resources management in European agriculture. J. Water Res. Hydr. Eng. 2015, 4, 171–180. [Google Scholar] [CrossRef]
  47. Ladwani, K.D.; Krishna, D.L.; Vivek, S.M.; Dilip, S.R. Impact of industrial effluent discharge on physico-chemical characteristics of agricultural soil. Int. Res. J. Environ. Sci. 2012, 1, 32–36. [Google Scholar]
  48. Hossain, M.B.; Shanta, T.B.; Ahmed, A.S.S.; Hossain, M.K.; Semme, S.A. Baseline study of heavy metal contamination in the Sangu River estuary, Chattogram, Bangladesh. Mar. Poll. Bull. 2019, 140, 255–261. [Google Scholar] [CrossRef]
  49. Zhao, K.F.W.; Zhang, Y.Z.C. Contamination and spatial variation of heavy metals in the soil-rice system in Nanxun County, Southeastern China. Int. J. Environ. Res. Pub. Health 2015, 12, 1577–1594. [Google Scholar] [CrossRef]
  50. Ali, M.M.; Ali, L.M.; Islam, M.S.; Rahman, M.Z. Preliminary assessment of heavy metals in water and sediment of Karnaphuli River, Bangladesh. Environ. Nano Monitor. Man. 2016, 5, 27–35. [Google Scholar] [CrossRef]
  51. Martín, J.A.R.; Ramos, M.J.J.; Boluda, R.; Gil, C. Spatial relations of heavy metals in arable and greenhouse soils of a Mediterranean environment region (Spain). Geoderma 2013, 200, 180–188. [Google Scholar] [CrossRef]
  52. Zaini, S.; Sharifah, R.A.M.M.; Fuad, M. The analysis of heavy metal concentration per distance and depth around the vicinity of open landfill. Res. J. App. Sci. Eng. Tech. 2013, 5, 5619–5625. [Google Scholar]
  53. Facchinelli, A.; Sacchi, E.; Mallen, L. Multivariate statistical and GIS-based approach to identify heavy metal sources in soils. Environ. Poll. 2001, 114, 313–324. [Google Scholar] [CrossRef] [PubMed]
  54. Martín, J.A.R.; Arias, M.L.; Corbí, J.M.G. Heavy metals contents in agricultural top soils in the Ebro basin (Spain). Application of the multivariate geoestatistical methods to study spatial variations. Environ. Pollut. 2006, 144, 1001–1012. [Google Scholar] [CrossRef]
  55. Gu, Y.G.; Wang, Z.H.; Lu, S.H.; Jiang, S.J.; Mu, D.H.; Shu, Y.H. Multivariate statistical and GIS-based approach to identify source of anthropogenic impacts on metallic elements in sediments from the mid Guangdong coasts, China. Environ. poll. 2012, 163, 248–255. [Google Scholar] [CrossRef]
Figure 1. Map showing composite sampling points in four industrial areas in the Gazipur district of Bangladesh.
Figure 1. Map showing composite sampling points in four industrial areas in the Gazipur district of Bangladesh.
Sustainability 15 07208 g001
Figure 2. Percent increase of heavy metal concentrations compared to the industry establishment year; (a) Cd, (b) Pb, (c) Ni, (d) Fe, (e) Zn, and (f) Cu (in parenthesis year of establishment).
Figure 2. Percent increase of heavy metal concentrations compared to the industry establishment year; (a) Cd, (b) Pb, (c) Ni, (d) Fe, (e) Zn, and (f) Cu (in parenthesis year of establishment).
Sustainability 15 07208 g002
Figure 3. Spatial distributions of (a) chemical (SL) industrial and (b) textile and paints (MIX) industrial area soils.
Figure 3. Spatial distributions of (a) chemical (SL) industrial and (b) textile and paints (MIX) industrial area soils.
Sustainability 15 07208 g003
Figure 4. Spatial distributions of (a) dyeing (CK) industrial and (b) sweater and dyeing (RD) industrial area soils.
Figure 4. Spatial distributions of (a) dyeing (CK) industrial and (b) sweater and dyeing (RD) industrial area soils.
Sustainability 15 07208 g004
Table 1. Mean concentration (mg kg−1) of different heavy metals in industrial contaminated paddy field soils.
Table 1. Mean concentration (mg kg−1) of different heavy metals in industrial contaminated paddy field soils.
IndustryCdPbNiFeZnCu
SL0.46 ± 0.08 b36.70 ± 3.85 c2.42 ± 0.32 b147.65 ± 10.64 a11.27 ± 1.33 a6.88 ± 0.48 a
MIX0.72 ± 0.06 a104.20 ± 4.59 a5.02 ± 0.81 a82.31 ± 5.38 c7.29 ± 0.62 b4.18 ± 0.42 b
CK0.33 ± 0.05 b96.80 ± 5.25 b2.77 ± 0.73 b143.86 ± 10.29 a10.28 ± 1.33 ab7.67 ± 0.76 a
RD0.38 ± 0.05 b64.80 ± 6.74 b1.61 ± 0.25 b109.58 ± 8.6 b8.09 ± 0.80 b5.29 ± 0.33 b
Min0.33 ± 0.0536.70 ± 3.851.61 ± 0.2582.31 ± 5.387.29 ± 0.624.18 ± 0.42
Max0.72 ± 0.06104.20 ± 4.595.02 ± 0.81147.65 ± 10.6411.27 ± 1.337.67 ± 0.76
CV%39.7721.8162.3723.4736.4727.55
SE0.087.380.8212.691.500.74
SL, MIX, CK, and RD indicate chemical industry, textile and paints industry, dyeing industry, and sweater and dyeing industry, respectively. Values having different letters indicate significant differences among the industries.
Table 2. Background value of different industry and PTE-MPC value* of different heavy metals.
Table 2. Background value of different industry and PTE-MPC value* of different heavy metals.
Heavy MetalBackground Value (mg kg−1)PTE-MPC Value *
SLMIXCKRD
Cd0.150.500.100.270.30
Pb10.0073.000.6518.00300.00
Ni01.4001.101.0001.0050.00
Fe96.0060.0092.068.60-
Zn09.4607.083.6203.12250.00
Cu06.0203.923.9401.19100.00
SL, MIX, CK, and RD indicate chemical industry, textile and paints industry, dyeing industry, and sweater and dyeing industry, respectively. * PTE-MPC= “maximum permissible concentrations of potential toxic elements” for agricultural soils of China [35].
Table 3. Single factor pollution index (SFPI) for Cd, Pb, Ni, Fe, Zn, and Cu in industrial contaminated paddy field soils.
Table 3. Single factor pollution index (SFPI) for Cd, Pb, Ni, Fe, Zn, and Cu in industrial contaminated paddy field soils.
IndustryCdPbNi
MeanMinMaxMeanMinMaxMeanMinMax
SL3.131.286.373.671.205.501.730.712.79
MIX1.430.871.931.431.161.734.561.008.00
CK3.271.586.811.491.151.922.770.908.20
RD3.721.505.641.200.561.801.790.563.11
FeZnCu
SL1.541.052.031.190.221.581.140.461.33
MIX1.371.011.711.030.611.391.070.311.35
CK1.561.072.062.841.074.641.940.812.79
RD1.370.991.882.591.304.142.081.142.57
SL, MIX, CK, and RD indicate chemical industry, textile and paints industry, dyeing industry, and sweater and dyeing industry, respectively.
Table 4. Nemerow’s multi-factor pollution index (I) of heavy metals in soils.
Table 4. Nemerow’s multi-factor pollution index (I) of heavy metals in soils.
MetalsIndustry
SLMIXCKRD
IPLIPLIPLIPL
Cd5.02Heavy1.70Light5.34Heavy4.78Heavy
Pb4.68Heavy1.59Light1.72Light1.53Light
Ni2.32Moderate6.51Heavy6.12Heavy2.54Moderate
Fe1.80Light1.55Light1.83Light1.64Light
Zn1.40Light1.22Light3.85Heavy3.45Heavy
Cu1.24Light1.22Light2.40Light2.34Moderate
I and PL indicate Nemerow’s multi factor pollution Index and pollution level. SL, MIX, CK, and RD indicate chemical industry, textile and paints industry, dyeing industry, and sweater and dyeing industry, respectively.
Table 5. Contamination factor (CF)* of heavy metals in different industrial contaminated paddy soils.
Table 5. Contamination factor (CF)* of heavy metals in different industrial contaminated paddy soils.
IndustryPbCdNiFeZnCu
RD3.24 b1.28 b0.02 b2.32 × 10−3 b0.09 b0.12 b
CK4.84 a1.09 b0.05 b3.05 × 10−3 a0.11 ab0.17 a
SL1.84 c1.53 b0.04 b3.13 × 10−3 a0.12 a0.15 a
MIX5.21 a2.39 a0.07 a1.74 × 10−3 c0.08 b0.09 b
Min1.841.090.021.74 × 10−30.080.09
Max5.212.390.073.13 × 10−30.120.17
CV%21.8139.7462.3723.4736.4727.55
SE0.370.280.012.688 × 10−30.020.02
SL = chemical industry, MIX = textile and paints industry, CK = dyeing industry, RD= sweater and dyeing industry. Values having different letters indicate significant differences among the industries. *CFs were classified as: low contamination: CF < 1; moderate contamination: 1 < CF < 3; considerable contamination: 3 < CF < 6 and very high contamination at CF > 6 [36].
Table 6. Geo-Accumulation Index (Igeo)* of heavy metals in industrial contaminated paddy field soil.
Table 6. Geo-Accumulation Index (Igeo)* of heavy metals in industrial contaminated paddy field soil.
IndustryPbCdNiFeZnCu
RD1.03b−0.37 b−6.18 b−9.38 b−4.20 a−3.70 bc
CK1.67a−0.59 b−5.58 b−8.98 a−3.92 a−3.22 a
SL0.19c−0.15 b−5.52 b−8.94 a−3.83 a−3.34 ab
MIX1.78 a0.62 a−4.59 a−9.78 c−4.34 a−4.12 c
Min0.19−0.59−6.18−9.78−4.34−4.12
Max1.780.62−4.59−8.94−3.83−3.22
CV%37.36−533.74−16.46−3.64−15.85−14.38
SE0.200.280.400.150.290.23
SL, MIX, CK, and RD indicate the chemical industry, textile and paints industry, dyeing industry, and sweater and dyeing industry, respectively. *Igeo has seven grades: Grade 0 (practically uncontaminated); Grade 1 (uncontaminated to moderately contaminated): 0 < Igeo <1; Grade 2 (moderately contaminated): 1 < Igeo < 2; Grade 3 (moderate to heavily contaminated): 2 < Igeo < 3; Grade 4 (heavily contaminated): 3 < Igeo < 4; Grade 5 (heavy to extremely contaminated): 4 < Igeo < 5; Grade 6 (extremely contaminated): Igeo > 5 [32]. Values having different letters indicate significant differences among the industries.
Table 7. Potential Ecological Risk Index (PERI) of heavy metals in industrial contaminated paddy field soil.
Table 7. Potential Ecological Risk Index (PERI) of heavy metals in industrial contaminated paddy field soil.
IndustryPbCdNiFe *ZnCu
RD16.20 b38.34 b0.12 b-0.59 b0.02 a
CK24.20 a32.72 b0.20 b-0.85 a0.01 b
SL09.18 c45.96 b0.18b-0.76 a0.01 b
MIX26.05 a71.73 a0.37 a-0.46 b0.01 c
Min09.1832.720.12-0.460.01
Max26.0571.730.37-0.850.02
CV%21.8139.7462.37-27.5513.15
SE1.843.890.06-0.086.953 × 10−4
SL, MIX, CK, and RD indicate chemical industry, textile and paints industry, dyeing industry, and sweater and dyeing industry, respectively. RI has four categories viz. very high ≥ 600, high pollution = RI = 300–600, considerable pollution = RI = 150–300, and low pollution = RI < 150 (Hakanson 1980). Values having different letters indicate significant differences among the industries. * N.B. Tri value for Fe was not found which is why PERI is not calculated for Fe.
Table 8. The Pearson’s correlation matrix of Cd, Pb, and Ni in surface soils of the contaminated areas.
Table 8. The Pearson’s correlation matrix of Cd, Pb, and Ni in surface soils of the contaminated areas.
CdPbNi
Cd1
Pb0.28321
Ni0.4278 **0.4272 **1
** indicate significance at p < 0.01.
Table 9. The Pearson’s correlation matrix of Fe, Zn, and Cu in surface soils of contaminated area.
Table 9. The Pearson’s correlation matrix of Fe, Zn, and Cu in surface soils of contaminated area.
FeZnCu
Fe1
Zn0.4106 **1
Cu0.6702 ***0.4951 **1
** indicate significance at p < 0.01; *** indicate significance at p < 0.001.
Disclaimer/Publisher’s Note: The statements, opinions and data contained in all publications are solely those of the individual author(s) and contributor(s) and not of MDPI and/or the editor(s). MDPI and/or the editor(s) disclaim responsibility for any injury to people or property resulting from any ideas, methods, instructions or products referred to in the content.

Share and Cite

MDPI and ACS Style

Akter, M.; Kabir, M.H.; Alam, M.A.; Al Mashuk, H.; Rahman, M.M.; Alam, M.S.; Brodie, G.; Islam, S.M.M.; Gaihre, Y.K.; Rahman, G.K.M.M. Geospatial Visualization and Ecological Risk Assessment of Heavy Metals in Rice Soil of a Newly Developed Industrial Zone in Bangladesh. Sustainability 2023, 15, 7208. https://doi.org/10.3390/su15097208

AMA Style

Akter M, Kabir MH, Alam MA, Al Mashuk H, Rahman MM, Alam MS, Brodie G, Islam SMM, Gaihre YK, Rahman GKMM. Geospatial Visualization and Ecological Risk Assessment of Heavy Metals in Rice Soil of a Newly Developed Industrial Zone in Bangladesh. Sustainability. 2023; 15(9):7208. https://doi.org/10.3390/su15097208

Chicago/Turabian Style

Akter, Mahmuda, Mohammad Humayun Kabir, Mohammad Ashraful Alam, Hammadullah Al Mashuk, Mohammad Mizanur Rahman, Mohammad Saiful Alam, Graham Brodie, S. M. Mofijul Islam, Yam Kanta Gaihre, and Golum Kibria Muhammad Mustafizur Rahman. 2023. "Geospatial Visualization and Ecological Risk Assessment of Heavy Metals in Rice Soil of a Newly Developed Industrial Zone in Bangladesh" Sustainability 15, no. 9: 7208. https://doi.org/10.3390/su15097208

APA Style

Akter, M., Kabir, M. H., Alam, M. A., Al Mashuk, H., Rahman, M. M., Alam, M. S., Brodie, G., Islam, S. M. M., Gaihre, Y. K., & Rahman, G. K. M. M. (2023). Geospatial Visualization and Ecological Risk Assessment of Heavy Metals in Rice Soil of a Newly Developed Industrial Zone in Bangladesh. Sustainability, 15(9), 7208. https://doi.org/10.3390/su15097208

Note that from the first issue of 2016, this journal uses article numbers instead of page numbers. See further details here.

Article Metrics

Back to TopTop