Abstract
Conventionally, designing rigid polyurethane foams (RPUFs) with improved physico-mechanical properties from new, bio-based polyols is performed by modifying foam formulations via experimentation. However, experimental endeavors are very resource-dependent, costly, cumbersome, time-intensive, waste-producing, and present higher health risks. In this study, an RPUF formulation utilizing a coconut-oil (CO)-based polyol with improved physico-mechanical properties was approximated through a computational alternative in the lens of the gel time of the RPUF formation. In the RPUF formation of most bio-based polyols, their very fast gel times negatively impact foam robustness. The computational alternative functioned by finding a CO-based RPUF formulation with a gel time in good agreement with a formulation based on commercial petroleum-derived polyol (control). The CO-based RPUF formulation with the best-fit catalyst loading was approximated by simulating temperature profiles using a range of formulations with modified catalyst loadings iteratively. The computational approach in designing RPUF with improved properties was found to effectively negate foam collapse (with a shrinkage decrease of >60%) and enhance foam strength (with a compressive strength increase of >300%). This study presents an economically and environmentally sustainable approach to designing RPUFs by enabling minimized utilization of material sources for experimentation and analysis and minimized dependence on waste-producing methods.
1. Introduction
Rigid polyurethane foam (RPUF) is one of the most in-demand materials globally [1]. Moreover, in light of sustainability concerns worldwide, there are increasing investments in smart, energy-efficient “Green Buildings” across all sectors, which consequentially increased the demand for RPUFs. RPUFs are generally synthesized from the reaction between a polyol and isocyanate, as in Equation (1).
RNCO + R’CH2OH → RNHCOOCH2R’
Isocyanate Polyol Polyurethane
Isocyanate Polyol Polyurethane
Currently, both isocyanates and polyols for polyurethane (PU) industries are heavily sourced from the petroleum industry. With increasing concerns regarding the rapid depletion of fossil fuels, there has been intensive research on bio-based polyols as a renewable alternative in the sustainable growth of the PU industry. Depending on the geographical location, common raw materials researched for bio-based polyols include rapeseed oil and sunflower oil in Europe, soybean oil in America, and palm oil and coconut oil (CO) in Asia [1]. CO is oil derived from the meat of coconut fruit. Oils or triglycerides are esters composed of three fatty acid units joined to glycerol, having three of the hydroxyl hydrogens of glycerol substituted by the carboxylate (anion) of fatty acids. The fatty acids in CO are mostly lauric acid.
The intensive research endeavors on new, bio-based polyols and PUs, in turn, carry with them intensive demand for experimentation to optimize results. Experimentation, however, requires the utmost availability of ingredient materials, laboratory apparatuses for synthesis, equipment assemblies for characterization, and wide laboratory space for execution and storage. It also demands critical manual attention most of the time, may reflect large, unsystematic errors, exposes researchers to greater health risks, and produces waste. For example, the hydroxyl value (OHV) determination of a polyol, which is intensively conducted in PU performance/property optimized conditions, involves the use of pyridine—a costly ingredient that requires a special fume hood assembly and is also extremely hazardous. With the aforementioned hurdles in experimentation, an alternative technique such as computational simulations is of great significance in the economic and environmental sustainability of designing new materials such as RPUFs from new, bio-based polyols.
So far, there have been no studies that focus on the effect of the foam-formation process gel time on final RPUF properties nor in designing RPUFs by running computational simulations in the lens of the said process parameter, especially for systems based on new, bio-based polyols such as CO [2,3,4,5,6,7,8,9,10]. Raimbault et al. (2021) developed FOAMAT®, a device that determines relevant physical parameters involved in the viscosity evolution, gas expansion, and curing of PU foam systems. Such parameters included dynamic foam height, reaction temperature, the vertical velocity of the foam/air interface measured on the axis of symmetry of the container, and gas content [7]. Wright et al. (2022), on the other hand, developed an open-source Raspberry Pi device, FoamPi, that measures and records the temperature rise, change in foam height as well as changes in the mass during PU foaming reactions, utilizing its software package [8]. However, in most research, parameter values used in the simulations were based on PU foam formation using commercial, petroleum-based ingredients.
Al-Moameri et al. (2015) [11] worked on PU foam-forming reactions utilizing soybean-oil-based polyol. Their findings can provide the basis for related studies, such as this research, on the foam-forming kinetics of other bio-based polyols. In their study, they applied kinetic and thermodynamic estimates developed from commercial polyols. However, there were discrepancies between the simulated and experimental temperature profiles for their bio-based system. According to the authors, the discrepancies stem from uncertainties in the thermodynamic estimates (heat capacities and heat of reactions) used in their simulation. In the same study, the authors additionally claimed that more complete curing led to lesser foam shrinkage and the higher gel point/peak temperatures achieved during the foam formation led to such results. Accordingly, as a higher temperature is achieved during the foam-forming process, more urethane moieties are formed, which allows more polymer-polymer cross-linking.
According to Al-Moameri et al. (2015) [12], the gel time of an RPUF formation is during the time when polymer cross-linking approaches zero. This can be theoretically visualized as when a stable polymer network is formed [12] or, in simpler means, when there is no further gelling (isocyanate-polyol) reaction and no further temperature increase [13]. A model of gelling reactions is presented in Table 1. The model is reported by Ghoreishi et al. (2014), who modeled PU gelling reactions respective of the fraction of primary, secondary, and hindered-secondary/tertiary hydroxyl content of the polyol component [9].
Table 1.
A summary of reactions during the rigid polyurethane foam-forming reactions accounting for isocyanate-polyol reactions in polyurethane formation 1,2.
For most bio-based polyols, their functionalization can make possible an autocatalytic PU foam formation effect that results in very fast gel times and negatively impacts foam robustness [14,15,16,17,18]. For example, recent studies by Leng et al. (2022) [17] and Dingcong et al. (2023) [18] on using CO-based polyols in the development of bio-based PU foams with high performance highlight that the tertiary amine moieties present in their CO-based polyols, as a result of their syntheses/functionalizations, endowed an auto-catalytic effect in their PU foam formations that resulted in faster gel times and ultimately sacrificed foam compressive strength at certain formulations. The resulting foam compressive strengths from the CO-based polyols by the mentioned authors were sacrificed, more specifically, at higher bio-based polyol substitution. In this regard, especially for RPUF formation utilizing new, bio-based polyols such as CO-based polyols, a focused investigation on process gel time offers a significant resource in composing PU formulations.
In this study, the physico-mechanical properties (specific volume change and compressive strength) of CO-based RPUFs were improved using computational simulations in the lens of RPUF reaction kinetics, specifically of the gel time of the RPUF formation, whereby a CO-based RPUF formulation with a processing gel time in good agreement with that of the control’s gel time was found by computational simulation (the control was an RPUF formulation using a commercial, petroleum-based polyol and standard isocyanate index equal to 110). The computational simulation used in this study determined the CO-based foam formulation through a written program/script that simultaneously solves multiple equations involving PU reaction kinetics to simulate the temperature profile of a range of formulations with modified catalyst loadings by an iterative method and suggests the formulation with the best-fit catalyst loading. RPUF-forming experiments were still performed but to evaluate the reliability of the simulation results and the validity of the computational approach in composing RPUF formulations. Computational simulations can transform the PU industry, especially from emerging sustainable, bio-based materials to more of a science than an art [11]. Furthermore, computational simulations enable sustainable chemistry in terms of sustainable process and materials analysis and of sustainable use of resources as it enables minimized resource utilization and minimized dependence on waste-producing methods.
Simulation Bases
This section describes the computational bases of the simulation endeavor in this research. Recall that the computational simulation used in this study determined the CO-based foam formulation through a written program/script that simulates the temperature profile of a range of formulations for RPUF formation. The temperature profile of an RPUF formation can be computationally found using Equation (2). In Equation (2), i represents the reaction number in Table 1, represents the sum of instantaneous heat released from each reaction i, happening in the duration of the gelling process, represents the instantaneous heat transfer from the system to the surroundings, and represents the instantaneous heat capacity of the mixture. Equation (2) involves multiple differential equations and some computational complexity depending on available data. The database includes values or guesses of pertinent physical properties (e.g., their mass, functionality, molecular weight, etc.), thermodynamic and kinetic parameters (e.g., heats of reactions and rates of reactions), and information on initial conditions (e.g., the initial temperature of the reactants and the surrounding temperature). Additionally, heuristics are used to limit the computational complexities to a manageable level and lessen the run time in solving. Some common heuristics reported by literature include those listed in Table 2.
In Table 1, for each reaction, an isocyanate group (-NCO) in the isocyanate source and a hydroxyl group (-OH) in a polyol source react to form a moiety with a urethane linkage (-OCONH-).
Table 2.
Some common heuristics used to simplify the computation of the temperature profile of a polyurethane foam formation 1,2.
Table 2.
Some common heuristics used to simplify the computation of the temperature profile of a polyurethane foam formation 1,2.
| Assumption/Heuristics |
|---|
|
|
|
|
|
|
|
|
1 temperature profiles can be computationally found using Equation (2). 2 based on the works of Zhao, Y. (2014) [3], Al-Moameri, H. H. (2017) [4], Jaf, L. (2018) [5], and Ghoreishi et al. (2014) [9]. 3 based on the work of Al-Moameri, H. H. (2021) [19].
In many kinetic studies, reactions (e.g., each reaction i in Table 1) are assumed elementary, as in Equation (3) [3,4,5,9]. In Equation (3), ri represents the rate of any reaction i, such as those presented in Table 1, ki represents the rate constant for the reaction, and Xi,1 and Xi,2 represent the concentration of the reacting moieties involved in the reaction. Additionally, according to Zhao et al. (2015), the impact of catalysts in RPUF formation can be quantified in terms of ‘appended’ rate constants, as presented in Equation (4) [10]. In Equation (4), ki represents the (overall/’appended’) rate constant for reaction i, ki,uncat represents the rate constant for the reaction if it is uncatalyzed, and ki,cat j represents the addition to the uncatalyzed rate constant if the reaction is catalyzed by catalyst j (j = POLYCATTM 8, POLYCATTM 5, etc.). The overall/’appended’ rate constant for reaction i, ki, is then plugged into Equation (3), and Equation (3) is plugged into Equation (2).
2. Materials and Methods
2.1. Materials
RPUF-forming experiments were performed to evaluate the validity of the simulations and the computational approach in composing RPUF formulations. For the experiments, the ingredients used included a standard polymeric MDI/isocyanate/iso, a petroleum-based polyol, silicone surfactants, a gelling catalyst, and a bio-based polyol. The isocyanate was PAPITM 27 manufactured by Dow®, the petroleum-based (polyether) polyol was VORANOLTM 490 (V490) also manufactured by Dow®, the silicone surfactants were INV 690 and DABCO® DC 2585 (DABCO) manufactured by Guangzhou Innovate Chemical Co., Ltd. (Guangzhou, China) and by Evonik Industries AG, respectively, the gelling catalyst was POLYCAT® 8 (Cat 8) also manufactured by Evonik Industries AG, and the bio-based polyol was pp-CDEA. The pp-CDEA was obtained from the sequential glycerolysis and amidation of CO conducted by Dingcong et al. (2023) [18], then purified following the method performed by Leng et al. (2022) [17]. All ingredients were initially at room temperature (29.0 °C). Moreover, for the commercial ingredients, the properties that are pertinent to the simulations are listed in Table 3. These properties were used in the computational approach to approximating the gel time of RPUF-forming reactions. The gel time was approximated as the x-value (abscissa) of the maximum point (gel point) in a temperature profile following the definition by Al-Moameri et al. (2017) [13]. The simulated/computational temperature profile was generated by solving Equation (2) and assuming the reactions and heuristics listed in Table 1 and Table 2, respectively.
Table 3.
The properties of commercial ingredients, isocyanate, and petroleum-based polyol pertinent to the simulation endeavor 1,2.
Bio-Based Polyol Character
Properties of the pp-CDEA pertinent to the simulation include its OHV, molecular weight, functionality, density, and specific heat capacity. Additionally, ASTM D 2074-92 and FTIR analysis were performed to confirm the presence of amine groups in the pp-CDEA. The results of the pp-CDEA characterizations are presented in Table 4 and Figure 1. The OHV of the pp-CDEA was determined following ASTM D4274-21, while its molecular weight (MW) was determined following ASTM D6474-12 using SHIMADZU Gas Permeation Chromatography assembly (SHIMADZU, Kyoto, Japan), and its functionality was calculated using Equation (5). On the other hand, its density was determined by recording the volume of water displaced per unit mass of sample, assuming the liquids do not mix (i.e., assuming the long hydrocarbon chains in the polyol render the overall material hydrophobic and immiscible in water). Lastly, its specific heat capacity was determined following ASTM E1269-11 using a PerkinElmer Differential Scanning Calorimeter Model 4000 (PerkinElmer, Waltham, MA, USA) with an Indium standard, small (40 µL) Aluminum heating pans with covers, a heating range of −30 °C to 300 °C and heating rate of 10 °C/min, a Nitrogen gas atmosphere, and sample sizes ranging from 5–10 mg.
Table 4.
The properties of the bio-based polyol, pp-CDEA 1.
Figure 1.
The FTIR spectrum of the pp-CDEA.
2.2. Simulations and Simulation Approach in Material Design
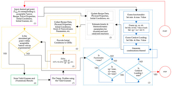
In simulating reaction temperature profiles of the RPUF samples, a MATLAB script following the algorithm presented in Figure 2 was run using an HP Pavilion AiO PC (desktop computer) powered by a 12th Generation Intel® Core™ i7 processor. Improving CO-based RPUF physico-mechanical properties (i.e., its specific volume changes and its compressive strength) via simulation approach was performed by iteratively finding the best-fit catalyst loading from 0.0 to 1.0 w/w % Cat 8 per pp-CDEA (or 0.00 to 2.00 g catalyst per 20.0 g pp-CDEA), which will yield a simulated gel time in good agreement (around 5%) with the gel time of the control (a standard RPUF production using V490).
Figure 2.
The algorithm for the simulation. (1) UserInput obtained user input of the foam formulation, pertinent properties of the ingredients, and initial conditions, (2) Bootstrap iteratively guessed best-fit parameters, (3) database contained estimates of pertinent kinetic and thermodynamic parameters, initial conditions, and general assumptions, (4) main performed MATLAB’s organic ODE45 function on ReacSim, (5) ReacSim contained the differential equations reflecting instantaneous properties and functions thereof, including Equations (2)–(4), (6) MatchMatrices stored valid guesses and corresponding (numerical) results, and (7) SimulatePlots displayed the valid simulated temperature profiles and corresponding gel time.
RPUF-forming experiments were conducted to evaluate the reliability of the simulation results and the validity of the computational approach in composing RPUF formulations. The experiments followed the formulations reflected in Table 5. Note that, in the interest of gel time investigation, this study is focused only on gel reaction temperature profiling. The control and preliminary formulation of the CO-based RPUF were both based on a standard isocyanate index of 110. This was done to provide a comparison between commercial, petroleum-based RPUF and CO/bio-based RPUF and a benchmark for CO-based RPUF improvement.
Table 5.
The recipes for the rigid polyurethane foam (RPUF)-forming experiments conducted to investigate the effect of the process gel time on RPUF physico-mechanical properties and to validate the simulation endeavors 1,2.
In Table 5, the formulation with 0.1 g Cat 8 per 20 g pp-CDEA (CO/bio-based polyol) was suggested by the simulation program as a best-fit formulation for pp-CDEA-based RPUF, while the formulation with 0.1 g Cat 8 per 20 g V490 was performed to complement the gel investigation with a commercial, petroleum-based RPUF counterpart with a formulation with reduced catalyst loading.
The B-side ingredients (polyol, catalyst, and surfactants) were mixed first for 1 minute at 350 rpm using an electronic mixer. Then, the mixture was allowed to degas for 2 min. The components were initially at room temperature (29.0 °C). Thereafter, the A-side component (isocyanate) was added, and the resulting mixture was mixed at 2000 rpm for 5–10 s. Then, the temperature of the reacting system was measured and recorded at 5 s intervals. As the maximum temperature was reached, the RPUF was then left to cure.
Afterward, the specific volume of the foams after 30 min, after 3 days, and after 5 days of curing was determined by measuring the mass and geometric volume of cut samples. Then, the compressive strength of the foams was determined following ASTM D1621-16 using a Shimadzu Universal Testing Machine AGS-X Series (Shimadzu Corp., Kyoto, Japan). Finally, the morphology of the foams was evaluated using a JSM-6510LA JEOL scanning electron microscope (JEOL, Ltd., Tokyo, Japan). In that regard, a small, thin slice of the foam (around 10 × 10 × 1 mm3) from each sample formulation was attached to the microscope’s stub using a conductive carbon tape, sputter coated with a thin layer of platinum, then imaged at an accelerating voltage of 15 kV and 85× magnification.
3. Results and Discussion
3.1. Simulation Results
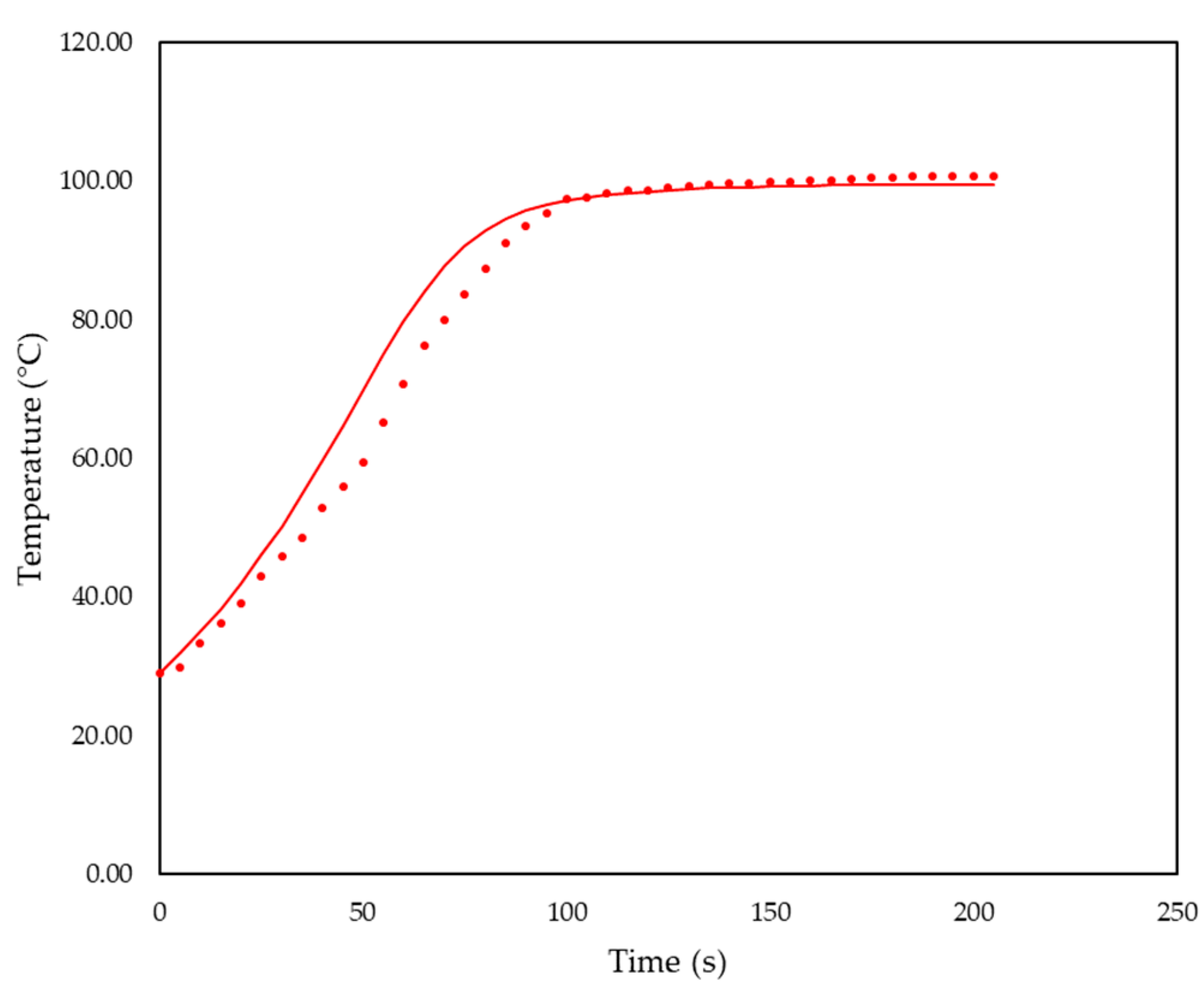
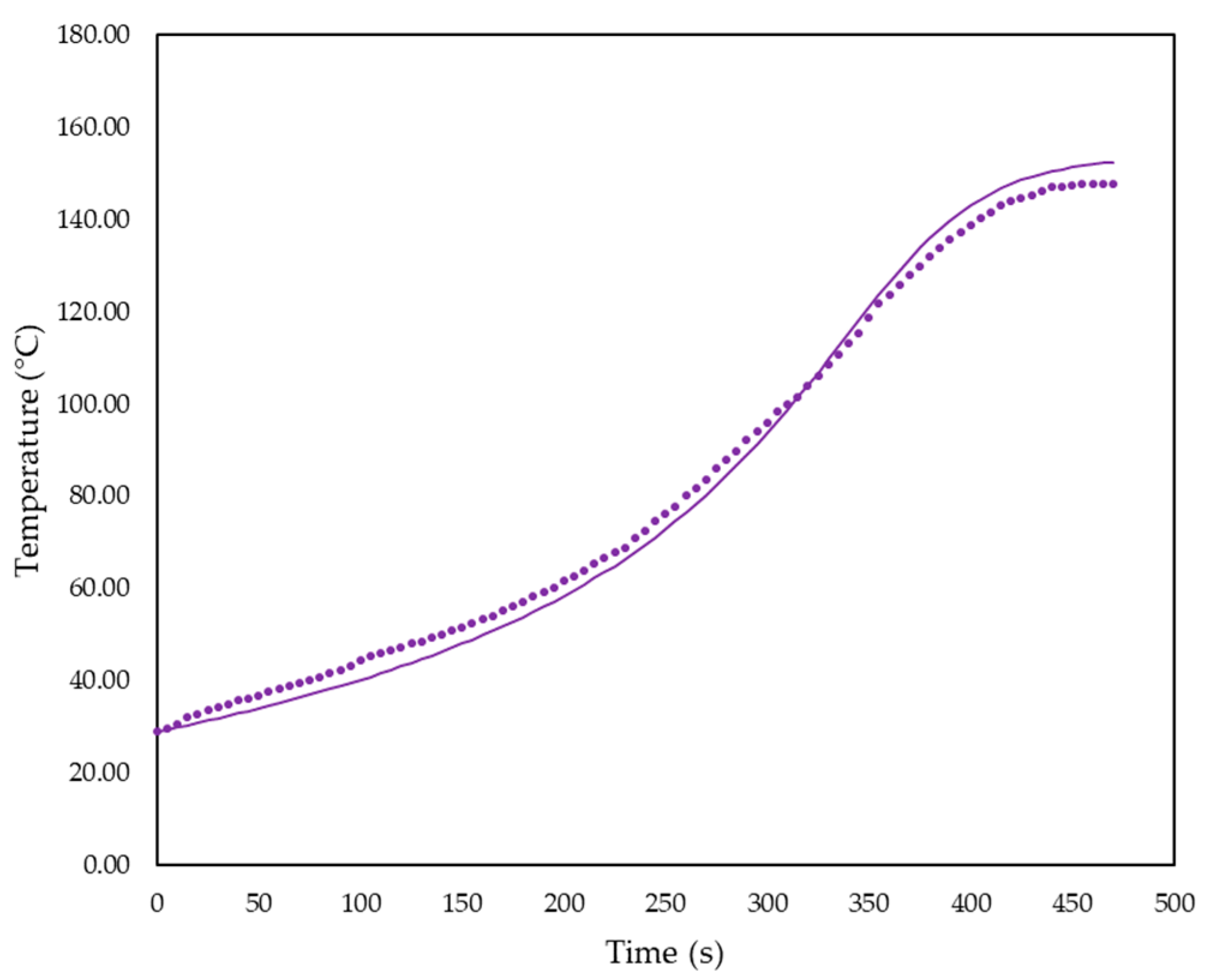
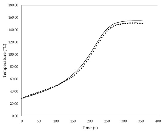
The overall script was able to reliably simulate the RPUF-forming process of commercial petroleum-based polyol, V490. As seen in Figure 3, the simulated temperature profile of the control formulation (V490-0.2) is in good agreement with that of the experimental results as the profiles closely coincide with each other—having most of the points in the simulated result falling within 5% of their experimental counterpart and generating an absolute average error of 1.5%. In simulating the RPUF-forming process of the uniquely derived CO-based polyol, pp-CDEA, necessary adjustments were performed to the heats of reactions used in the simulation as y-values of the experimental temperature profile for the pp-CDEA-0.2 formulation were higher. The observed results imply that the prepared CO-based polyol, pp-CDEA, contains moieties having significant thermodynamic effects on the system, which can be quantified in terms of increased heat of reactions, or that pp-CDEA has a higher enthalpy of formation compared to commercial polyols. Moreover, the heats of reactions used were literature values based only on visual fits from PU foam temperature profiles using commercial polyols [4,9,11]. Following the same visual fitting method conducted by previous authors, the heat involved in isocyanate-polyol reactions was adjusted from 68,000 J/mol [4,9,11] to 84,500 J/mol. Additionally, the kinetic parameters for the pp-CDEA-based systems were increased by 2% to quantify their intrinsic autocatalytic activity. That is, rate constants for each reaction considered in this study’s computational simulation for pp-CDEA-based systems increased by 2% to quantify the effect of intrinsic amine moieties in the CO-based polyol assumed to catalyze all reactions considered in the computational simulation. The adjustments yielded a simulated temperature profile that is in good agreement with the experimental, as seen in Figure 4, and an absolute average error between experimental and simulated points for the pp-CDEA-0.2 system equal to 3.7%. The results support the reliability of the simulation program and the adjusted parameters for pp-CDEA-based RPUF formation.
Figure 3.
The temperature profile of the rigid polyurethane foam formation using the control (V490-0.2). The black, solid circles (●) represent experimental data, and the black, solid line (—) represents the simulation result.
Figure 4.
The temperature profile of the rigid polyurethane foam formation using pp-CDEA-0.2. The red, solid circles (●) represent experimental data, and the red, solid line (—) represents the simulation result.
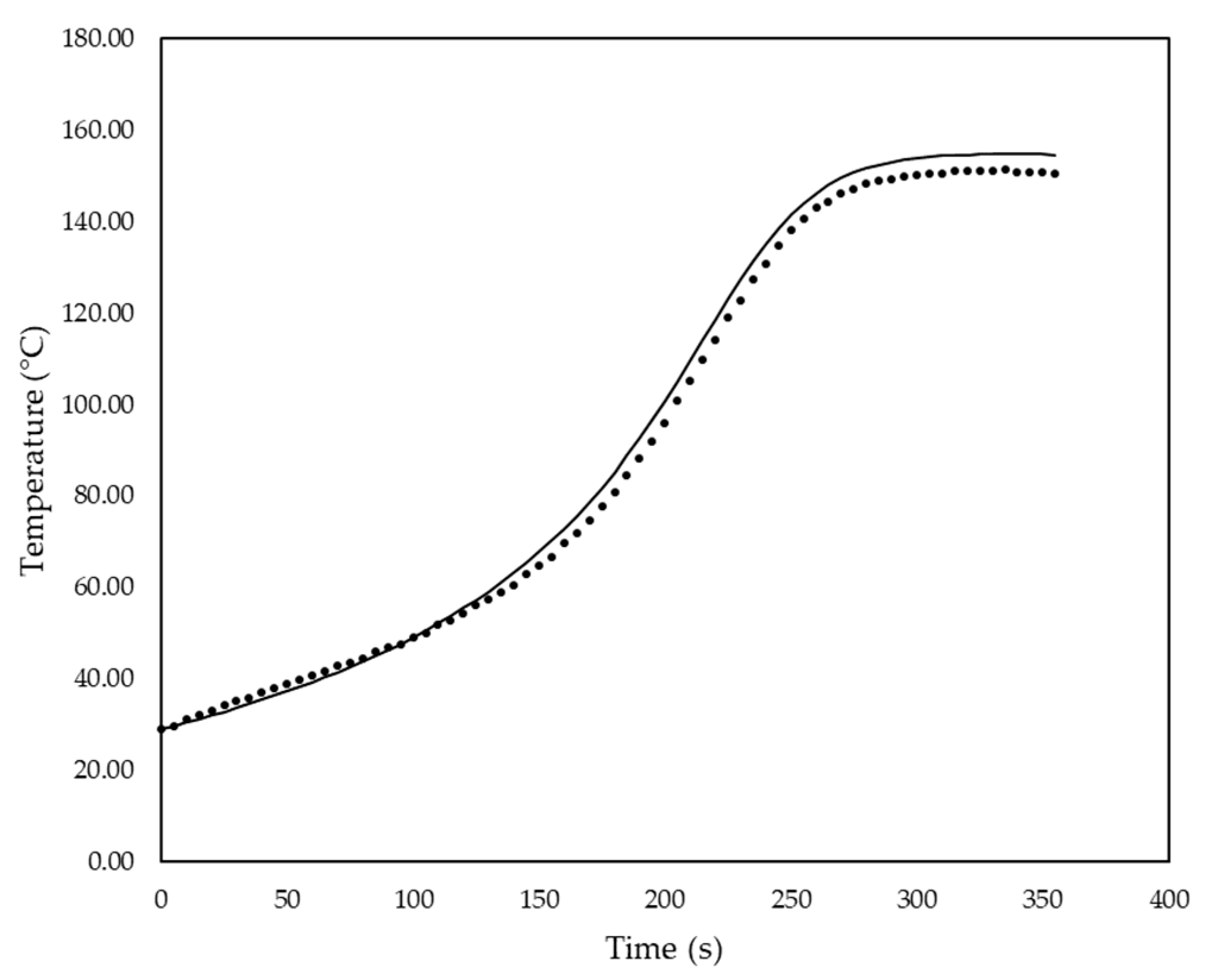
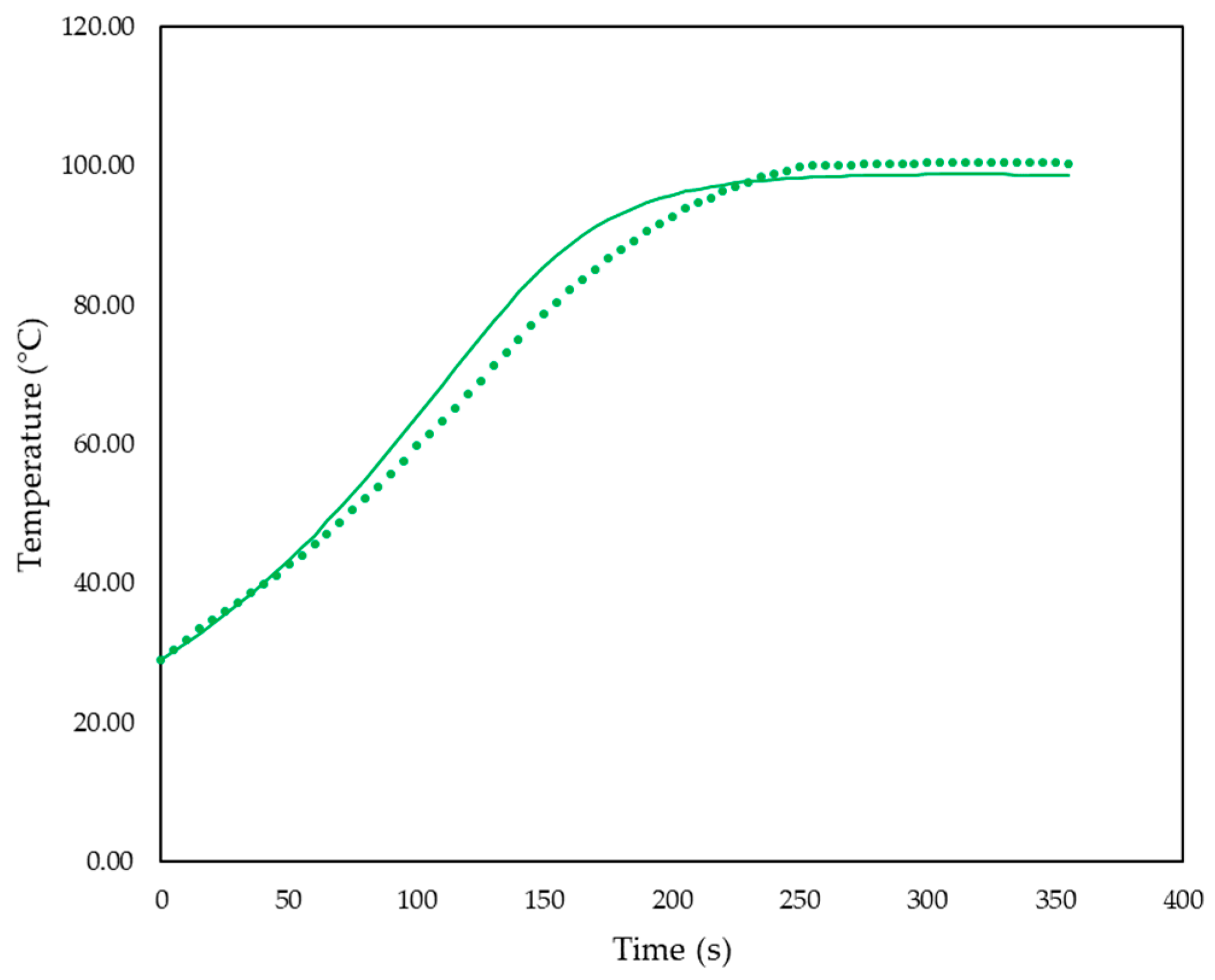
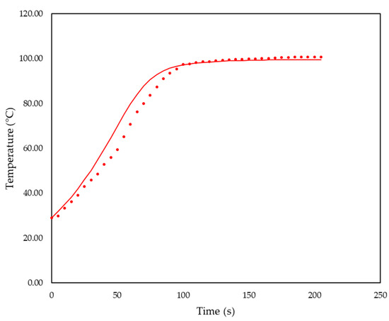
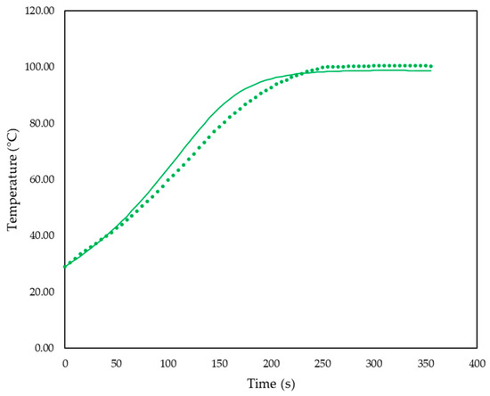
Applying the simulation program based on the V490-0.2 system for the V490-0.1 formulation also yielded a simulation result that is in good agreement with its experimental counterpart, generating an absolute average error equal to 2.5% (see Figure 5). Moreover, running the simulation program with the adjusted thermodynamic parameter based on the pp-CDEA-0.2 system for the pp-CDEA-0.1 formulation also yielded a simulated temperature profile in good agreement with their experimental counterpart, as seen in Figure 6, garnering an absolute average error of 2.2%. Figure 5 and Figure 6 further reinforce the reliability of the simulation program for V490-based and pp-CDEA-based systems, respectively.
Figure 5.
The temperature profile of the rigid polyurethane foam formation using V490-0.1. The purple, solid circles (●) represent experimental data, and the purple, solid line (—) represents the simulation result.
Figure 6.
The temperature profile of the rigid polyurethane foam formation using pp-CDEA-0.1. The green, solid circles (●) represent experimental data, and the green, solid line (—) represents the simulation result.
Overall, the simulation program was able to produce reliable temperature profiles of both V490-based and pp-CDEA-based RPUF formations as, for each system, their experimental and simulated results closely coincide with each other, and the absolute average error between simulated and experimental points for each system is less than 5%. The errors may stem from experimental endeavors, such as minor errors in the actual masses used in the formulations. Furthermore, for both systems, the results justify the validity of the heuristics assumed.
The results of all temperature profiling endeavors are superimposed in Figure 7. pp-CDEA-based systems exhibited lower peak temperatures relative to V490-based coherent to their lower OHV (fewer reactive sites) compared to V490. Moreover, despite being formed from the same formulation (iso index = 110), RPUF formed from pp-CDEA-0.2 exhibited faster gel times compared to RPUF formed using V490-0.2. This partially confirms the presence of both intrinsic moieties in the pp-CDEA that have autocatalytic effects in PU foam formation and a large fraction of primary hydroxyl groups present in the pp-CDEA as reported by the literature [17,18]. Lastly, lowering catalyst loading for both systems decelerated RPUF formation coherent to the established chemical principle on catalyst effect to reactions.
Figure 7.
The temperature profiling results of simulated and experimental rigid polyurethane foam-forming reactions at different catalyst loadings.
3.2. Foam Design Using Simulation
RPUF design is conventionally conducted by modifying foam formulations through trial-and-error experimentation. However, experimentation carries a lot of hurdles, such as high resource dependence (i.e., on materials, equipment, and facilities) and waste production. They also carry high financial requirements, are labor- and time-intensive, and present higher health risks. While RPUF design in this study through a computational simulation eliminates these factors, thus providing a more economically and environmentally sustainable alternative. In this regard, to improve the specific volume change and the compressive strength of the RPUF made from pp-CDEA, a pp-CDEA-based formulation with the best-fit catalyst loading was found with a computational simulation using the program/script previously described in Section 2.2. According to the program, a formulation with just 0.10 g catalyst for the pp-CDEA system can exhibit an RPUF-forming process with a gel time of around 5% of the gel time of the control (see Figure 8). It is hypothesized that with this change in gel time, resulting pp-CDEA-based RPUF will yield a more comparable specific volume change and compressive strength with that of the control.
Figure 8.
The simulated temperature profiles of rigid polyurethane foam (RPUF)-forming reactions at different catalyst loading to identify a pp-CDEA-based RPUF formulation with a gel time within 5% of the control’s gel time.
3.3. Gel Time Investigation
For most PU foam-formation using bio-based polyols, the occurrence of very fast gel times exists as a critical concern because it can negatively impact foam robustness [14,15,16,17,18]. In this regard, a focused investigation on process gel time offers a significant resource in composing PU formulations, especially for RPUF formations utilizing new, bio-based polyols such as CO-based polyols. RPUF formation of formulations with 0.1 g Cat 8 per 20 g pp-CDEA (a CO-based polyol) was performed both to test the validity of the simulation program in suggesting RPUF formulations and as an investigation on the impact of reaction kinetics, more specifically of the RPUF process gel time, on the physico-mechanical properties of pp-CDEA-based RPUF. Moreover, the gel time investigation was complemented with a commercial, petroleum-based RPUF counterpart of a formulation with reduced catalyst loading to provide a comparison of the different systems (bio-based vs. petroleum-based) and a better understanding of the matter. The results of the investigation are presented in Table 6 and Figure 9, Figure 10 and Figure 11.
Table 6.
The physico-mechanical properties of rigid polyurethane foams at different gel times.
Figure 9.
The specific volume of the rigid polyurethane foams after 30 min, after 3 days, and after 5 days of curing.
Figure 10.
The relationship between the gel time of the rigid polyurethane foam-forming reactions and their resulting foam’s compressive strength. Bars on the left (column A) represent petroleum-based systems, while bars on the right (column B) represent coconut-based systems.
Figure 11.
The scanning electron micrographs (at 85× magnification) of a cut section of the rigid polyurethane foams showing their cell morphology. (a) = V490-0.2, (b) = pp-CDEA-0.2, (c) = V490-0.1, and (d) = pp-CDEA-0.1.
Evident in Table 6 (and in Figure 9 and Figure 10) is that despite being formed from the same formulation (iso index = 110), RPUF formed from pp-CDEA-0.2, which exhibited faster gel time, has inferior properties (exhibiting foam shrinkage over time and low compressive strength) compared to RPUF formed using V490-0.2. Comparing the micrographs of the different RPUFs (Figure 11, a vs. b) reinforces the observed results as pp-CDEA-0.2 RPUF has ruptured cells compared to V490-0.2 RPUF, which has relatively more robust cells. That is, the ruptured cells of pp-CDEA-0.2 RPUF account for their shrinkage over time and low compressive strength.
Additionally, evident in Table 6 (and in Figure 9 and Figure 10) is that decelerating the gel time for the pp-CDEA-based system allowed for its RPUF to exhibit less foam shrinkage and higher compressive strength. This implies better RPUF curing if the gel time is decelerated. In addition, the micrographs of the two pp-CDEA-based systems (Figure 11b,d) suggest that reducing the gel time of the RPUF formation by decreasing catalyst loading offsets the autocatalytic effect of the bio-based polyol—ultimately minimizing cell rupture. Moreover, the resulting RPUF’s shrinkage decreased to more than 60%, and its compressive strength increased to more than 300%. Thus, the simulation approach in approximating the best-fit CO-based RPUF formulation, in the lens of their RPUF formation’s process gel time, effectively produced RPUFs of negated foam collapse and enhanced mechanical strength. Furthermore, the pp-CDEA-based RPUF with reduced catalyst loading of 0.1 g Cat 8 per 20.0 g of the polyol exhibited physico-mechanical properties closer to RPUF made from the control as hypothesized and as suggested by the simulation, and the simulation suggestion of the pp-CDEA-based RPUF formulation is coherent to the empirical suggestion (see Table 7).
Table 7.
Details of the experimental catalyst loading, gel time, specific volume, and compressive strength of the rigid polyurethane foams 1.
For the RPUF formulations involving petroleum-based polyol (V490), Table 6 (and Figure 9 and Figure 10) presents that decreasing gel time by reducing the catalyst loading in the system also improves RPUF properties. Although, the positive changes to the resulting RPUF involved in the modification of the V490-based formulations are lesser in magnitude compared to the positive changes to the resulting RPUF involved in RPUF formulations involving bio-based polyol (pp-CDEA). This implies the heavy significance of the intrinsic autocatalytic moieties for bio/CO/pp-CDEA-based RPUF formulations, which, if properly controlled, can yield RPUFs with properties comparable to RPUFs from the commercial, petroleum-based polyol.
Furthermore, the micrographs of systems with reduced catalyst loading, both V490/petroleum-based and pp-CDEA/bio-based (Figure 11a–d), suggest that reducing the gel time of the RPUF formation by decreasing catalyst loading allows better growth of cells. However, with a lesser offsetting phenomenon, cell expansion can be uncontrolled and result in the occurrence of larger-sized cells.
Using the simulation program to better understand the fundamentals of the observed results (refer to Figure 12), the higher compressive strengths exhibited by V490-based RPUFs can be traced to greater urethane formation involved in the reacting system compared to pp-CDEA systems. The observed high compressive strength of the pp-CDEA-0.1 RPUF, moreover, may be traced to more complete curing.
Figure 12.
The simulated urethane concentration profiles for the rigid polyurethane foam-forming reactions.
4. Conclusions
In material science and engineering, there have been no studies that focus on the effect of the process gel time on PU foam properties, nor in designing RPUFs by running computational simulations in the lens of the said process parameter, especially for PU foam formation using bio-based polyols. Furthermore, while conventional endeavors in designing RPUFs from new materials involve frequent experimentation, which can be very resource-dependent, costly, attention- and time-intensive, waste-producing, space-consuming, and present higher health risk, this study presented an alternative sustainable method by enabling minimal resource consumption and waste generation. Note, however, that while some experimental trials were performed in the study, they were to verify the validity of the simulation program. The validated simulation program can then be used to expedite unlimited possibilities in designing PU foams utilizing the coconut-oil-based polyol. This includes finding the best formulations to acquire foams of a better mix of physical, mechanical, thermal properties, etc., with less dependence on resource-intensive and waste-producing experimental trial-and-errors on a plethora of formulations.
Author Contributions
Conceptualization, F.L.A.M.A., R.G.D.J. and H.H.A.-M.; software, F.L.A.M.A., L.C.C.M., R.G.D.J. and H.H.A.-M.; methodology, F.L.A.M.A. and R.G.D.J.; validation, F.L.A.M.A. and R.G.D.J.; formal analysis, F.L.A.M.A. and A.A.L. (Alona A. Lubguban); investigation, F.L.A.M.A., R.G.D.J. and L.C.C.M.; resources, L.C.C.M., R.G.D.J., H.H.A.-M., A.A.A., R.M.M. and A.A.L. (Arnold A. Lubguban); data curation, F.L.A.M.A. and R.G.D.J.; writing—original draft preparation, F.L.A.M.A.; writing—review and editing, F.L.A.M.A., R.G.D.J., G.G.D., R.M.M. and A.A.L. (Arnold A. Lubguban); visualization, F.L.A.M.A. and R.G.D.J.; supervision, R.G.D.J., R.M.M. and A.A.L. (Arnold A. Lubguban); project administration, R.G.D.J., A.A.A., R.M.M. and A.A.L. (Arnold A. Lubguban); funding acquisition, A.A.A., R.M.M. and A.A.L. (Arnold A. Lubguban). All authors have read and agreed to the published version of the manuscript.
Funding
This research received funding from the Philippine Department of Science and Technology (DOST) through the Niche Centers in the Region (NICER)–R&D Center for Sustainable Polymers, grant number 101-02-0194-2022.
Institutional Review Board Statement
Not applicable.
Informed Consent Statement
Not applicable.
Data Availability Statement
The data presented in this study are available on request from the corresponding author.
Acknowledgments
The authors would like to acknowledge the support of the Philippine Council for Industry, Energy and Emerging Technology Research and Development (PCIEERD) of the Department of Science and Technology (DOST) through the Niche Centers in the Region (NICER)—R&D Center for Sustainable Polymers and the Engineering Research and Development for Technology (ERDT) Scholarship Program.
Conflicts of Interest
The authors declare no conflict of interest.
References
- Zieleniewska, M.; Leszczyński, M.K.; Kurańska, M.; Prociak, A.; Szczepkowski, L.; Krzyżowska, M.; Ryszkowska, J. Preparation and characterisation of rigid polyurethane foams using a rapeseed oil-based polyol. Ind. Crops Prod. 2015, 74, 887–897. [Google Scholar] [CrossRef]
- Krol, P. Synthesis methods, chemical structures and phase structures of linear polyurethanes. Properties and applications of linear polyurethanes in polyurethane elastomers, copolymers and ionomers. Prog. Mater. Sci. 2007, 52, 915–1015. [Google Scholar] [CrossRef]
- Zhao, Y. Modeling and Experimental Study of Polyurethane Foaming Reactions. Doctoral Dissertation, University of Missouri-Columbia, Columbia, MO, USA, 2015. Available online: https://hdl.handle.net/10355/48715 (accessed on 31 November 2022).
- Al-Moameri, H.H. Simulation Aided Analysis and Experimental Study of Polyurethane Polymerization Reaction and Foaming Process. Doctoral Dissertation, University of Missouri-Columbia, Columbia, MO, USA, 2017. Available online: https://hdl.handle.net/10355/61892 (accessed on 31 November 2022).
- Jaf, L. Modeling and Experimental Study of Polyurethane Foaming and Gelling Reactions. Doctoral Dissertation, University of Missouri-Columbia, Columbia, MO, USA, 2018. Available online: https://hdl.handle.net/10355/66081 (accessed on 31 November 2022).
- Rusche, H.; Karimi, M.; Ferkl, P.; Karolius, S. Simulating Polyurethane Foams Using the MoDeNa Multi-Scale Simulation Framework. In OpenFOAM®; Springer Nature AG: Basel, Switzerland, 2019; pp. 401–417. [Google Scholar] [CrossRef]
- Raimbault, C.; Laure, P.; François, G.; Boyer, S.; Vincent, M.; Choquart, F.; Agassant, J.F. Foaming parameter identification of polyurethane using FOAMAT® device. Polym. Eng. Sci. 2021, 61, 1243–1256. [Google Scholar] [CrossRef]
- Wright, H.C.; Cameron, D.D.; Ryan, A.J. FoamPi: An open-source raspberry Pi-based apparatus for monitoring polyurethane foam reactions. HardwareX 2022, 12, e00365. [Google Scholar] [CrossRef] [PubMed]
- Ghoreishi, R.; Zhao, Y.; Suppes, G.J. Reaction modeling of urethane polyols using fraction primary secondary and hindered-secondary hydroxyl content. J. Appl. Polym. Sci. 2014, 131, 40388. [Google Scholar] [CrossRef]
- Zhao, Y.; Zhong, F.; Tekeei, A.; Suppes, G.J. Modeling impact of catalyst loading on polyurethane foam polymerization. Appl. Catal. A-Gen. 2014, 469, 229–238. [Google Scholar] [CrossRef]
- Al-Moameri, H.; Ghoreishi, R.; Zhao, Y.; Suppes, G.J. Impact of the maximum foam reaction temperature on reducing foam shrinkage. RSC Adv. 2015, 5, 17171–17178. [Google Scholar] [CrossRef]
- Al-Moameri, H.; Zhao, Y.; Ghoreishi, R.; Suppes, G.J. Simulation of liquid physical blowing agents for forming rigid urethane foams. J. Appl. Polym. Sci. 2015, 132, 42454. [Google Scholar] [CrossRef]
- Al-Moameri, H.; Ghoreishi, R.; Suppes, G. Impact of inter-and intra-molecular movements on thermoset polymerization reactions. Chem. Eng. Sci. 2017, 161, 14–23. [Google Scholar] [CrossRef]
- Furtwengler, P.; Avérous, L. Renewable polyols for advanced polyurethane foams from diverse biomass resources. Polym. Chem. 2018, 9, 4258–4287. [Google Scholar] [CrossRef]
- Malani, R.S.; Malshe, V.C.; Thorat, B.N. Polyols and polyurethanes from renewable sources: Past, present and future—Part 1: Vegetable oils and lignocellulosic biomass. J. Coat. Technol. 2022, 19, 201–222. [Google Scholar] [CrossRef]
- Malani, R.S.; Malshe, V.C.; Thorat, B.N. Polyols and polyurethanes from renewable sources: Past, present, and future—Part 2: Plant-derived materials. J. Coat. Technol. 2022, 19, 361–375. [Google Scholar] [CrossRef]
- Leng, X.; Li, C.; Cai, X.; Yang, Z.; Zhang, F.; Liu, Y.; Yang, G.; Wang, Q.; Fang, G.; Zhang, X. A study on coconut fatty acid diethanolamide-based polyurethane foams. RSC Adv. 2022, 12, 13548–13556. [Google Scholar] [CrossRef] [PubMed]
- Dingcong, R.; Malaluan, R.; Alguno, A.; Estrada, D.; Szczepkowski, L.; Lubguban, A.A.; Resurreccion, E.; Dumancas, G.; Al-Moameri, H.; Lubguban, A.A. A Novel Reaction Mechanism for the Synthesis of Coconut Oil-Derived Biopolyol for Rigid Poly(urethane-urea) Hybrid Foam Application. RSC Adv. 2023, 13, 1985–1994. [Google Scholar] [CrossRef] [PubMed]
- Al-Moameri, H.; Zhao, Y.; Ghoreishi, R.; Suppes, G. Simulation Silicon Surfactant Rule on Polyurethane Foaming Reactions. Iran. J. Chem. Chem. Eng. 2021, 40, 1256–1268. [Google Scholar] [CrossRef]
Disclaimer/Publisher’s Note: The statements, opinions and data contained in all publications are solely those of the individual author(s) and contributor(s) and not of MDPI and/or the editor(s). MDPI and/or the editor(s) disclaim responsibility for any injury to people or property resulting from any ideas, methods, instructions or products referred to in the content. |
© 2023 by the authors. Licensee MDPI, Basel, Switzerland. This article is an open access article distributed under the terms and conditions of the Creative Commons Attribution (CC BY) license (https://creativecommons.org/licenses/by/4.0/).











