Configuration Optimization of Hydrogen-Based Multi-Microgrid Systems under Electricity Market Trading and Different Hydrogen Production Strategies
Abstract
1. Introduction
1.1. Background
1.2. Innovations and Contributions
- (1)
- This paper develops a bi-level multi-objective optimization model consisting of an outer multi-objective optimization model and an inner single-objective optimization model to determine the optimal sizing of the HBMMSs. The objectives of the outer model—which are the minimum total annual cost (TAC), the minimum annual carbon emission (ACE), and the maximum self-sufficiency rate (SSR)—and the objective of the inner model, which is the minimum annual operation cost, are researched simultaneously.
- (2)
- Different hydrogen production strategies, electricity trading between the HBMMSs and UPG, and electricity trading between the MGs are considered simultaneously for the first time in the optimal configuration of the HBMMSs.
- (3)
- This paper proposes a two-stage optimization method to solve the established configuration optimization model while considering the conflicts between objectives and the objectivity of objective weights. In the first stage, the CPLEX solver is used to solve the established configuration optimization model and a Pareto solution set is obtained. In the second stage, the weights of the three objectives of the outer model are calculated using Criteria Importance Through Intercriteria Correlation (CRITIC), and the outer multi-objective optimization model is converted to a weighted single-objective optimization model.
1.3. Paper Organization
2. Literature Review
2.1. Optimization Objects, Objectives and Methods
2.2. Electricity Trading and Different Hydrogen Production Strategies
2.3. Gaps in Previous Research
- (1)
- Regarding optimization objectives, single-objective optimizations mainly focus on economic indicators. Besides economic aspects, environmental aspects and energy aspects have gotten much attention in multi-objective optimizations. In bi-level optimization, both the upper-level model and the lower-level model consider one objective or multiple objectives. However, TAC, ACE, SSR, and AOC are not simultaneously considered.
- (2)
- Although bi-level multi-objective optimization models are proposed to configure wind/PV/hydrogen hybrid systems, and a bi-level optimization model is established for the capacity-configuration of cross-regional hydrogen energy storage systems, there lacks a bi-level multi-objective optimization model to optimize the sizing of the HBMMSs.
- (3)
- Existing studies do not consider a bilateral electricity trade between the hybrid energy system and the external electricity network, a bilateral electricity trade between two hybrid energy systems, and different hydrogen production strategies at the same time. If all of these are considered simultaneously in the capacity-configuration of HBMMSs, the study will become more valuable.
- (4)
- In terms of methods, single-objective optimization algorithms, multi-objective optimization algorithms, MADM methods, and optimization software tools (such as HOMER, YALMIP, and CPLEX) are used to solve the established optimization models, but these studies cannot well consider the conflicts between objectives and the objectivity of objective weights at the same time.
3. Structure Description and Mathematical Modeling
- WT
- PV Panel
- Hydrogen Energy Subsystem
4. Bi-Level Multi-Objective Optimization for Optimal Configuration of HBMMSs
4.1. Outer Multi-Objective Optimization Model
- (1)
- Total Annual Cost (TAC)
- (2)
- Annual Carbon Emission (ACE)
- (3)
- Self-Sufficiency Rate (SSR).
- Regional Resources and Space Constraints
4.2. Inner Single-Objective Optimization Model
- Electricity Balance Constraints
- Device Output Constraints
- Electricity Network Constraints
- Spinning Reserve Capacity Constraints
- Power Generation Ratio Constraints
- Remaining hydrogen energy constraints
- Green Hydrogen Production Strategy Constraints
5. Solution Method
- (1)
- Normalize the Pareto solution set
- (2)
- Obtain the standard deviation
- (3)
- Calculate the correlation coefficients
- (4)
- Calculate the information amount
- (5)
- Obtain the weights
6. Case Study
6.1. Basic Data
6.2. Results and Discussion
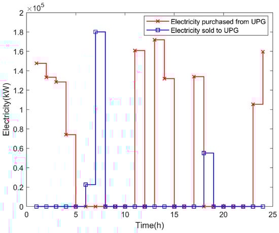
- (1)
- Configuration Results in Case 1
- (2)
- Configuration Results in Case 2
- (3)
- Comparison of the Two Cases
7. Conclusions
- (1)
- A bi-level multi-objective optimization mode was proposed. In the model, the objective of the inner model was minimum AOC and the objectives of the outer model were minimum TAC, ACE, and maximum SSR. Moreover, electricity market trading and different hydrogen production strategies were considered simultaneously.
- (2)
- A two-stage solution method that combined CPLEX solver and CRITIC was developed to attain the optimal installed numbers and operation situation of each device, and the values of the three objectives under the different scenarios. In the first stage, Pareto solutions with respect to three objectives were obtained using the CPLEX solver; in the second stage, the CRITIC method was used to determine the weights of the TAC, ACE, and SSR, and the weighted optimization model was constructed.
- (3)
- In the case study, when considering the green hydrogen production strategies, the best HBMMSs with the TAC of USD 404.987 million, the ACE of 1.106 million tons, and the SSR of 0.486 was determined. The results of the comparative analysis indicate that adopting the green hydrogen production strategies was very conductive to reducing carbon emissions, while the independence of the electricity supply of the HBMMS was affected.
- (4)
- When electricity market trading was involved in the configuration optimization of HBMMSs, the electricity trading principles between the HBMMSs and the UPG, and between MGs should be clearly discriminated. Besides this, as the core of electricity trading principles, the setting of an electricity trading price should be highly valued.
- (5)
- The proposed model has some limitations. On the one hand, it is very difficult to be solved due to the complex structure of the bi-level optimization model; on the other hand, it only considers electricity trading, and does not consider carbon trading and hydrogen trading. Therefore, an electricity-carbon-hydrogen real-time trading optimization model could be established to promote the collaborative construction of the electricity market, carbon markets, and the hydrogen market in the future.
Author Contributions
Funding
Institutional Review Board Statement
Informed Consent Statement
Data Availability Statement
Conflicts of Interest
Nomenclature
| MG | Microgrid | Electricity output of the FC at time | |
| PV | Photovoltaic | Electricity generated per m3 of hydrogen | |
| EL | Electrolyzer | Lifetime of the device of type | |
| FC | Fuel cell | Interest rate | |
| HBMMS | Hydrogen-based multi-microgrid system | Unit investment cost of the device of type | |
| HT | Hydrogen tank | Installed capacity of the device of type of the MG | |
| TAC | Total annual cost | Carbon emission factor of the CFPU | |
| ACE | Annual carbon emission | Carbon emission factor of the UPG | |
| SSR | Self-sufficiency rate | Electricity generated by the CFPU of MG at time | |
| AOC | Annual operating cost | Electricity that MG buys from UPG at time | |
| CRITIC | Criteria Importance Through Intercriteria Correlation | Electricity output of the WTs of MG at time | |
| MADM | Multi-attribute decision-making | Electricity output of the PV panels of MG at time | |
| MODM | Multi-objective decision-making | Electricity load demand of MG at time | |
| WT | Wind turbine | Installed number of devices of type of MG | |
| STC | Standard test condition | Maximum number of devices of type of MG available for capacity configuration | |
| AIC | Annual investment cost | Electricity purchase price of the HBMMSs while trading with UPG at time | |
| CFPU | Coal-fired power units | Electricity selling price of the HBMMSs while trading with UPG at time | |
| UPG | Utility power grid | Electricity that MG sells to UPG at time | |
| AOMC | Annual operation and maintenance cost | Unit electricity transmission cost between MGs at time | |
| AFC | Annual fuel cost | Electricity that other MGs transmit to MG at time | |
| ATC | Annual transmission cost | Electricity output of the FC of MG at time | |
| Power output of WT at time | Electricity input of the EL of MG at time | ||
| Rated power of WT | Electricity that MG transmits to other MGs at time | ||
| Wind speed at time | Power of devices of type of MG at time | ||
| Rated wind speed | Lower limit of power of devices of type of MG in a single slot | ||
| Cut-in wind speed | Upper limit of power of devices of type of MG in a single slot | ||
| Cut-off wind speed | Upper limit of electricity trading between HBMMSs and UPG in a single slot | ||
| Power output of the PV panel at time | Upper limit of electricity transmitted between MGs in a single slot | ||
| Rated power of the PV panel under STC | Maximum electricity output of the CFPU of MG in a single slot | ||
| Solar radiation at time | Spinning reserve coefficient of the WT | ||
| STC solar radiation | Spinning reserve coefficient of the PV panel | ||
| Temperature coefficient | Spinning reserve coefficient of electricity load demand | ||
| Temperature at time | Lower limit of the power generation ratio of CFPUs of MG | ||
| STC temperature | Upper limit of the power generation ratio of CFPUs of MG | ||
| Remaining hydrogen of the HT at time | Hydrogen energy stored in the HT of MG at time | ||
| Remaining hydrogen of the HT at time | Lower limit of hydrogen energy stored in the HT of MG | ||
| Conversion efficiency of the EL | Upper limit of hydrogen energy stored in the HT of MG | ||
| Electricity input of the EL at time | Standard deviation | ||
| Hydrogen produced per kWh of electricity | Correlation coefficient between indicator and indicator | ||
| Conversion efficiency of the FC |
References
- Guo, P.; Musharavati, F.; Dastjerdi, S.M. Design and transient-based analysis of a power to hydrogen (P2H2) system for an off-grid zero energy building with hydrogen energy storage. Int. J. Hydrogen Energy 2022, 47, 26515–26536. [Google Scholar] [CrossRef]
- Dong, W.; Sun, H.; Mei, C.; Li, Z.; Zhang, J.; Yang, H. Forecast-driven stochastic optimization scheduling of an energy management system for an isolated hydrogen microgrid. Energy Convers. Manag. 2023, 277, 116640. [Google Scholar] [CrossRef]
- Alex, A.; Petrone, R.; Tala-Ighil, B.; Bozalakov, D.; Vandevelde, L.; Gualous, H. Optimal techno-enviro-economic analysis of a hybrid grid connected tidal-wind-hydrogen energy system. Int. J. Hydrogen Energy 2022, 47, 36448–36464. [Google Scholar] [CrossRef]
- Song, Y.; Mu, H.; Li, N.; Wang, H. Multi-objective optimization of large-scale grid-connected photovoltaic-hydrogen-natural gas integrated energy power station based on carbon emission priority. Int. J. Hydrogen Energy 2023, 48, 4087–4103. [Google Scholar] [CrossRef]
- Tabak, A.; Kayabasi, E.; Guneser, M.T.; Ozkaymak, M. Grey wolf optimization for optimum sizing and controlling of a PV/WT/BM hybrid energy system considering TNPC, LPSP, and LCOE concepts. Energy Sources Part A Recover. Util. Environ. Eff. 2019, 44, 1508–1528. [Google Scholar] [CrossRef]
- Tabak, A.; Özkaymak, M.; Tahir, M.; Oktay, H. Optimization and evaluation of hybrid PV/WT/BM system in different initial costs and LPSP conditions. Int. J. Adv. Comput. Sci. Appl. 2017, 8, 123–131. [Google Scholar] [CrossRef]
- Hou, H.; Xu, T.; Wu, X.; Wang, H.; Tang, A.; Chen, Y. Optimal capacity configuration of the wind-photovoltaic-storage hybrid power system based on gravity energy storage system. Appl. Energy 2020, 271, 115052. [Google Scholar] [CrossRef]
- Zhang, X.; Campana, P.E.; Bi, X.; Egusquiza, M.; Xu, B.; Wang, C.; Guo, H.; Chen, D.; Egusquiza, E. Capacity configuration of a hydro-wind-solar-storage bundling system with transmission constraints of the receiving-end power grid and its techno-economic evaluation. Energy Convers. Manag. 2022, 270, 116177. [Google Scholar] [CrossRef]
- Hou, R.; Maleki, A.; Li, P. Design optimization and optimal power management of standalone solar-hydrogen system using a new metaheuristic algorithm. J. Energy Storage 2022, 55, 105521. [Google Scholar] [CrossRef]
- Tebibel, H.; Labed, S. Design and sizing of stand-alone photovoltaic hydrogen system for HCNG production. Int. J. Hydrogen Energy 2014, 39, 3625–3636. [Google Scholar] [CrossRef]
- Alanazi, A.; Alanazi, M.; Nowdeh, S.A.; Abdelaziz, A.Y.; El-Shahat, A. An optimal sizing framework for autonomous photovoltaic/hydrokinetic/hydrogen energy system considering cost, reliability and forced outage rate using horse herd optimization. Energy Rep. 2022, 8, 7154–7175. [Google Scholar] [CrossRef]
- Coulibaly, S.; Zhao, J.; Li, W. Design and performance assessment of a solar-to-hydrogen system thermally assisted by recovered heat from a molten carbonate fuel cell. Clean. Energy Syst. 2022, 1, 100003. [Google Scholar] [CrossRef]
- Pu, Y.; Li, Q.; Zou, X.; Li, R.; Li, L.; Chen, W.; Liu, H. Optimal sizing for an integrated energy system considering degradation and seasonal hydrogen storage. Appl. Energy 2021, 302, 117542. [Google Scholar] [CrossRef]
- Zhang, G.; Shi, Y.; Maleki, A.; Rosen, M.A. Optimal location and size of a grid-independent solar/hydrogen system for rural areas using an efficient heuristic approach. Renew. Energy 2020, 156, 1203–1214. [Google Scholar] [CrossRef]
- Ayodele, T.; Mosetlhe, T.; Yusuff, A.; Ntombela, M. Optimal design of wind-powered hydrogen refuelling station for some selected cities of South Africa. Int. J. Hydrogen Energy 2021, 46, 24919–24930. [Google Scholar] [CrossRef]
- Jiang, Y.; Deng, Z.; You, S. Size optimization and economic analysis of a coupled wind-hydrogen system with curtailment decisions. Int. J. Hydrogen Energy 2019, 44, 19658–19666. [Google Scholar] [CrossRef]
- Lv, X.; Li, X.; Xu, C. A robust optimization model for capacity configuration of PV/battery/hydrogen system considering multiple uncertainties. Int. J. Hydrogen Energy 2023, 48, 7533–7548. [Google Scholar] [CrossRef]
- Deng, Z.; Jiang, Y. Optimal sizing of wind-hydrogen system considering hydrogen demand and trading modes. Int. J. Hydrogen Energy 2020, 45, 11527–11537. [Google Scholar] [CrossRef]
- Guo, S.; He, Y.; Pei, H.; Wu, S. The multi-objective capacity optimization of wind-photovoltaic-thermal energy storage hybrid power system with electric heater. Sol. Energy 2020, 195, 138–149. [Google Scholar] [CrossRef]
- Zhang, Y.; Sun, H.; Tan, J.; Li, Z.; Hou, W.; Guo, Y. Capacity configuration optimization of multi-energy system integrating wind turbine/photovoltaic/hydrogen/battery. Energy 2022, 252, 124046. [Google Scholar] [CrossRef]
- Zhou, J.; Wu, Y.; Zhong, Z.; Xu, C.; Ke, Y.; Gao, J. Modeling and configuration optimization of the natural gas-wind-photovoltaic-hydrogen integrated energy system: A novel deviation satisfaction strategy. Energy Convers. Manag. 2021, 243, 114340. [Google Scholar] [CrossRef]
- Okundamiya, M. Size optimization of a hybrid photovoltaic/fuel cell grid connected power system including hydrogen storage. Int. J. Hydrogen Energy 2021, 46, 30539–30546. [Google Scholar] [CrossRef]
- El-Sattar, H.A.; Kamel, S.; Sultan, H.M.; Zawbaa, H.M.; Jurado, F. Optimal design of photovoltaic, biomass, fuel cell, hydrogen tank units and electrolyzer hybrid system for a remote area in Egypt. Energy Rep. 2022, 8, 9506–9527. [Google Scholar] [CrossRef]
- Barhoumi, E.M.; Okonkwo, P.C.; Ben Belgacem, I.; Zghaibeh, M.; Tlili, I. Optimal sizing of photovoltaic systems based green hydrogen refueling stations case study Oman. Int. J. Hydrogen Energy 2022, 47, 31964–31973. [Google Scholar] [CrossRef]
- Wang, J.; Xue, K.; Guo, Y.; Ma, J.; Zhou, X.; Liu, M.; Yan, J. Multi-objective capacity programming and operation optimization of an integrated energy system considering hydrogen energy storage for collective energy communities. Energy Convers. Manag. 2022, 268, 116057. [Google Scholar] [CrossRef]
- Hosseinnia, H.; Mohammadi-Ivatloo, B.; Mohammadpourfard, M. Multi-objective configuration of an intelligent parking lot and combined hydrogen, heat and power (IPL-CHHP) based microgrid. Sustain. Cities Soc. 2021, 76, 103433. [Google Scholar] [CrossRef]
- He, J.; Wu, Y.; Wu, M.; Xu, M.; Liu, F. Two-stage configuration optimization of a novel standalone renewable integrated energy system coupled with hydrogen refueling. Energy Convers. Manag. 2022, 251, 114953. [Google Scholar] [CrossRef]
- Fan, G.; Liu, Z.; Liu, X.; Shi, Y.; Wu, D.; Guo, J.; Zhang, S.; Yang, X.; Zhang, Y. Two-layer collaborative optimization for a renewable energy system combining electricity storage, hydrogen storage, and heat storage. Energy 2022, 259, 125047. [Google Scholar] [CrossRef]
- Luo, Z.; Yang, S.; Xie, N.; Xie, W.; Liu, J.; Souley Agbodjan, Y.; Liu, Z. Multi-objective capacity optimization of a distributed energy system considering economy, environment and energy. Energy Convers. Manag. 2019, 200, 112081. [Google Scholar] [CrossRef]
- Li, P.; Wang, Z.; Liu, H.; Wang, J.; Guo, T.; Yin, Y. Bi-level optimal configuration strategy of community integrated energy system with coordinated planning and operation. Energy 2021, 236, 121539. [Google Scholar] [CrossRef]
- Pan, G.; Gu, W.; Qiu, H.; Lu, Y.; Zhou, S.; Wu, Z. Bi-level mixed-integer planning for electricity-hydrogen integrated energy system considering levelized cost of hydrogen. Appl. Energy 2020, 270, 115176. [Google Scholar] [CrossRef]
- Qiu, Y.; Li, Q.; Wang, T.; Yin, L.; Chen, W.; Liu, H. Optimal planning of cross-regional hydrogen energy storage systems considering the uncertainty. Appl. Energy 2022, 326, 119973. [Google Scholar] [CrossRef]
- Zeng, B.; Wang, W.; Zhang, W.; Wang, Y.; Tang, C.; Wang, J. Optimal configuration planning of vehicle sharing station-based electro-hydrogen micro-energy systems for transportation decarbonization. J. Clean. Prod. 2023, 387, 135906. [Google Scholar] [CrossRef]
- Li, J.; Zhao, J.; Chen, Y.; Mao, L.; Qu, K.; Li, F. Optimal sizing for a wind-photovoltaic-hydrogen hybrid system considering levelized cost of storage and source-load interaction. Int. J. Hydrogen Energy 2023, 48, 4129–4142. [Google Scholar] [CrossRef]
- Shang, J.; Gao, J.; Jiang, X.; Liu, M.; Liu, D. Optimal configuration of hybrid energy systems considering power to hydrogen and electricity-price prediction: A two-stage multi-objective bi-level framework. Energy 2023, 263, 126023. [Google Scholar] [CrossRef]
- Ju, L.; Yin, Z.; Zhou, Q.; Li, Q.; Wang, P.; Tian, W.; Li, P.; Tan, Z. Nearly-zero carbon optimal operation model and benefit allocation strategy for a novel virtual power plant using carbon capture, power-to-gas, and waste incineration power in rural areas. Appl. Energy 2022, 310, 118618. [Google Scholar] [CrossRef]
- Yang, S.; Tan, Z.; Zhou, J.; Xue, F.; Gao, H.; Lin, H.; Zhou, F. A two-level game optimal dispatching model for the park integrated energy system considering Stackelberg and cooperative games. Int. J. Electr. Power Energy Syst. 2021, 130, 106959. [Google Scholar] [CrossRef]
- Tabar, V.S.; Ghassemzadeh, S.; Tohidi, S. Energy management in hybrid microgrid with considering multiple power market and real time demand response. Energy 2019, 174, 10–23. [Google Scholar] [CrossRef]
- Chaudhary, P.; Rizwan, M. Energy management supporting high penetration of solar photovoltaic generation for smart grid using solar forecasts and pumped hydro storage system. Renew. Energy 2018, 118, 928–946. [Google Scholar] [CrossRef]
- Xu, C.; Ke, Y.; Li, Y.; Chu, H.; Wu, Y. Data-driven configuration optimization of an off-grid wind/PV/hydrogen system based on modified NSGA-II and CRITIC-TOPSIS. Energy Convers. Manag. 2020, 215, 112892. [Google Scholar] [CrossRef]
- Wu, Y.; Deng, Z.; Tao, Y.; Wang, L.; Liu, F.; Zhou, J. Site selection decision framework for photovoltaic hydrogen production project using BWM-CRITIC-MABAC: A case study in Zhangjiakou. J. Clean. Prod. 2021, 324, 129233. [Google Scholar] [CrossRef]
- Shao, M.; Zhao, Y.; Sun, J.; Han, Z.; Shao, Z. A decision framework for tidal current power plant site selection based on GIS-MCDM: A case study in China. Energy 2023, 262, 125476. [Google Scholar] [CrossRef]
- Yang, X.; Zheng, X.; Zhou, Z.; Miao, H.; Liu, H.; Wang, Y.; Zhang, H.; You, S.; Wei, S. A novel multilevel decision-making evaluation approach for the renewable energy heating systems: A case study in China. J. Clean. Prod. 2023, 390, 135934. [Google Scholar] [CrossRef]
- Lai, H.; Liao, H. A multi-criteria decision making method based on DNMA and CRITIC with linguistic D numbers for blockchain platform evaluation. Eng. Appl. Artif. Intell. 2021, 101, 104200. [Google Scholar] [CrossRef]















| Literature | Objects | Objectives | Methods |
|---|---|---|---|
| Tabak et al. [5] | A PV/WT/biomass hybrid energy system | TNPC | Grey wolf optimizer |
| Tabak et al. [6] | A PV/WT/biomass hybrid energy system | TNPC | Genetic algorithm |
| Hou et al. [7] | A wind/photovoltaic/storage hybrid power system | Total cost | CSO method |
| Zhang et al. [8] | A hydro/wind/solar/storage bundling system | Total cost | CPLEX solver |
| Hou et al. [9] | A standalone solar-hydrogen system | SAC | Three MHS algorithms |
| Alanazi et al. [11] | An autonomous photovoltaic/hydrokinetic/hydrogen energy system | COE | HHO algorithm |
| Pu et al. [13] | An integrated energy system with hydrogen storage | LCC | RT-GWO |
| Zhang et al. [14] | An off-grid solar/hydrogen energy system | TLCC | Improved harmony search and GIS |
| Ayodele et al. [15] | A wind-powered hydrogen refueling station | Net present cost | HOMER Pro |
| Jiang et al. [16] | A coupled wind-hydrogen system | ROE | CPLEX |
| Guo et al. [19] | A wind/photovoltaic/thermal energy storage hybrid power system | LCOE and URTC | MOPSO algorithm |
| Zhou et al. [21] | A natural gas-wind-photovoltaic-hydrogen integrated energy system | ACC and ACE | YALMIP |
| Okundamiya [22] | A hybrid power system including hydrogen storage | Energy cost and carbon emissions | HOMER |
| El-Sattar et al. [23] | An isolated hybrid system with hydrogen tank storage | EPC, LPSP, and excess energy | MOA |
| Barhoumi et al. [24] | PV systems-based green hydrogen refueling stations | NPC, LHC, and LEC | HOMER |
| Wang et al. [25] | An integrated energy system with hydrogen energy storage | PESR, ACSR, PERR, and GDRR | MRM and PSO |
| Hosseinnia et al. [26] | An MG including hydrogen energy | Economic costs and emission performance | GAMS and max–min fuzzy decision-making method |
| He et al. [27] | A novel standalone renewable integrated energy system coupled with hydrogen refueling | LCCL, EER, and HHR | An enhanced immune clone PSO, BWM, and MABAC |
| Fan et al. [28] | A renewable energy system with hydrogen energy storages | ACE, TAC, and TGI | NSGA-II and TOPSIS |
| Luo et al. [29] | A distributed energy system | ATC, ATE, and CEP | NSGA-II, Shannon entropy approach, and TOPSIS |
| Li et al. [30] | A cooling-heating-electricity-gas community integrated energy system | TAC and AOC | CAPSO algorithm and Gurobi solver. |
| Pan et al. [31] | An electricity-hydrogen integrated energy system. | TAC and LCOH | CPLEX |
| Qiu et al. [32] | Cross-regional hydrogen energy storage systems | Total cost and operation cost | MBSA and YALMIP / CPLEX |
| Zeng et al. [33] | A vehicle sharing station-based electro-hydrogen micro-energy systems | NII and AOR | A genetic algorithm |
| Li et al. [34] | A wind-photovoltaic-hydrogen hybrid system | TAC, SOLFR, SLTC, SLPC, and LCOS | CS, PSO, and NSGA-II |
| Shang et al. [35] | Hybrid energy systems considering power to hydrogen | NPB, ACE, LOEC, and MPB | CPLEX-NSGA-II and entropy method-cumulative prospect theory |
| Literature | A Bilateral Electricity Trading Between the Hybrid Energy System and the External Electricity Network | Electricity Purchased from the External Electricity Network | Electricity Sold to the External Electricity Network | Different Hydrogen Production Strategies |
|---|---|---|---|---|
| Hou et al. [7] | ✓ | |||
| Deng and Jiang [18] | ✓ | |||
| Zhang et al. [20] | ✓ | |||
| Okundamiya [22] | ✓ | |||
| Barhoumi et al. [24] | ✓ | |||
| Wang et al. [25] | ✓ | |||
| Hosseinnia et al. [26] | ✓ | |||
| Fan et al. [28] | ✓ | |||
| Luo et al. [29] | ✓ | |||
| Li et al. [30] | ✓ | |||
| Pan et al. [31] | ✓ | |||
| Qiu et al. [32] | ✓ | |||
| Zeng et al. [33] | ✓ | |||
| Shang et al. [35] | ✓ |
| Cases | TAC (Million $) | ACE (Million Tons) | SSR |
|---|---|---|---|
| Case 1 | 404.987 | 1.106 | 0.486 |
| Case 2 | 399.917 | 2.090 | 0.658 |
Disclaimer/Publisher’s Note: The statements, opinions and data contained in all publications are solely those of the individual author(s) and contributor(s) and not of MDPI and/or the editor(s). MDPI and/or the editor(s) disclaim responsibility for any injury to people or property resulting from any ideas, methods, instructions or products referred to in the content. |
© 2023 by the authors. Licensee MDPI, Basel, Switzerland. This article is an open access article distributed under the terms and conditions of the Creative Commons Attribution (CC BY) license (https://creativecommons.org/licenses/by/4.0/).
Share and Cite
Lu, Z.; Li, Y.; Zhuo, G.; Xu, C. Configuration Optimization of Hydrogen-Based Multi-Microgrid Systems under Electricity Market Trading and Different Hydrogen Production Strategies. Sustainability 2023, 15, 6753. https://doi.org/10.3390/su15086753
Lu Z, Li Y, Zhuo G, Xu C. Configuration Optimization of Hydrogen-Based Multi-Microgrid Systems under Electricity Market Trading and Different Hydrogen Production Strategies. Sustainability. 2023; 15(8):6753. https://doi.org/10.3390/su15086753
Chicago/Turabian StyleLu, Zhiming, Youting Li, Guying Zhuo, and Chuanbo Xu. 2023. "Configuration Optimization of Hydrogen-Based Multi-Microgrid Systems under Electricity Market Trading and Different Hydrogen Production Strategies" Sustainability 15, no. 8: 6753. https://doi.org/10.3390/su15086753
APA StyleLu, Z., Li, Y., Zhuo, G., & Xu, C. (2023). Configuration Optimization of Hydrogen-Based Multi-Microgrid Systems under Electricity Market Trading and Different Hydrogen Production Strategies. Sustainability, 15(8), 6753. https://doi.org/10.3390/su15086753

