Abstract
The detrimental effects of drought have adverse impacts on the crop yield as global climatic changes put unusual pressure on water resources. The challenge of attaining water security is key for the sustainable development of crops. Zinc (Zn2+) is an important nutrient that helps to alleviate drought stress by modulating the growth and yield of crops. Recently, zinc nanoparticles (ZnNPs) have been used as a novel strategy for the fertilization of crops. This study was specifically developed to observe the comparative effects of ZnNPs and conventional zinc sulfate (ZnSO4) at diverse concentration levels (0.01%, 0.05%, and 0.1%) that could effectively decrease the injurious effect of drought stress on turnip plants. In experiments on the golden turnip variety, drought stress caused a significant reduction in all growth and biochemical attributes, and increased antioxidant enzymatic activity. In a comparison with the conventional fertilizer ZnSO4, the foliar application of 0.1% ZnNPs significantly improved plant height, biomass, root/turnip length, turnip diameter, antioxidant defense system, secondary metabolites, and photosynthetic pigments in the leaves under drought stress. Based on the collected results, it is suggested that the foliar application of ZnNPs, instead of ZnSO4, under drought stress is helpful in increasing the growth and yield of turnip plants.
1. Introduction
Sustainable agriculture is the current global issue, as it includes the efficient use of water and nutrient resources. Sources of good quality irrigation water are being limited, and the extension of new water supplies is not enough to meet the demand of increasing water needs. Optimum water availability is one of the major ecological factors that affect the growth and development of plants [1]. Plant growth is stunted under water-deficit conditions [2], causing considerable impairments in various plants’ physiological and biochemical processes, such as hormonal metabolism, key enzyme activities, reactive oxygen species (ROS) accumulation, and stomatal regulation [2]. Drought stress results in the over-accumulation of ROS, which have drastic effects on proteins, deoxyribonucleic acid (DNA), ribonucleic acid (RNA), and the plasma membrane and, ultimately, affect the proper functioning of organelles [3,4]. To overcome the effects of ROS, plants adopt various counter strategies, i.e., molecular and biochemical mechanisms. These adaptations include the production of antioxidant enzymes, such as peroxidase (POD), catalase (CAT), superoxide dismutase (SOD), and non-enzymatic antioxidants, such as ascorbic acid and phenolics. The drought tolerance phenomenon in plants activates the upregulation of the antioxidant defense system [5,6].
In order to reduce the drastic impacts of stress, the foliar application of micronutrients is useful in overcoming nutrient deficiency and alleviating the adverse effects of water stress on plant growth or, ultimately, on biomass production [7,8]. Foliar application of nutrients is environmentally friendly in comparison to soil applied nutrients, and avoids toxicity on accumulation. It also boosts plant standing crop and its performance, yield, and uniformity under various environmental conditions. The foliar application of micronutrients to enhance crop production, especially Zn, results in high yields [1]. Zn acts as an important micronutrient that helps to maintain plant growth and development. Not only does Zn take part in the biosynthesis of indole acetic acid (IAA), carbohydrate and protein metabolism, but it is also crucial for the regulation of different enzymes, such as dehydrogenases, peptide enzymes, and proteinases, as well as starch formation and seed maturation [9,10,11].
Recently, it has been observed that the application of a controlled-release Zn fertilizer coated with nanomaterials results in an increase in the amount of protein and a decrease in the amount of soluble sugar content in wheat plants [12,13]. The application of nanofertilizers is a significant way to provide nutrients slowly and in a regulated manner, which is vital to alleviate the challenges of fertilizer requirements [1]. It is a fact that when micronutrients or any bulk materials change/transform into the nanoscale range, the chemical, physical, optical, physiochemical, and catalytic properties change drastically [14]. This is because, in the nanoscale range, more surface area is exposed, which ultimately causes a high reactivity with the surrounding cellular and extracellular matrix.
As an essential micronutrient, Zn deficiency causes disturbances in: chlorophyll synthesis; nitrogen metabolism; carbonic anhydrase function; protein synthesis; photosynthesis; cell division; the integrity of the membrane structure; and the functions of and reductions in the root, shoot, and dry matter [15]. Vegetables add good flavors to one’s diet. For the agricultural economy, it is desirable to improve the nutritional quality and micronutrient content of turnip plants under water-limited conditions. Plants readily absorb nanofertilizers. This study was specifically designed to use ZnNPs as nanofertilizer. In the last decade, nanotechnology was mostly used for biomedical applications. Nowadays, nanofertilizers are being widely used by the agriculture sector. It has been previously reported that nanofertilizers not only boost agricultural output but also protect crops from abiotic stresses. Therefore, nanofertilizers have sparked a lot of interest in increasing agricultural yields. Growers’ profit margin ratios are increased when they employ nanofertilizers to increase yield and product quality [16].
Turnips are highly valued for their nutritional content, which includes vitamins, carbohydrates, folate, and minerals, such as iron, copper, manganese, calcium, potassium, phosphorus, and magnesium. However, under drought conditions, the seed germination rate, yield, and development of turnip plants are significantly reduced, as reported previously [17,18]. The purpose of this study was to investigate the comparative effect of exogenously applied Zn as ZnNPs and ZnSO4 in order to determine whether either of these materials can overcome the negative effects of water scarcity on the morphological, physiological, and biochemical characteristics of turnip plants, and to observe the potential of conventional and nano-zinc fertilizer to improve yield of turnip plants.
2. Materials and Methods
2.1. Acquisition of ZnNPs and Experimental Design
The effects of varying levels of foliar applications of Zn at concentrations of 0.01%, 0.05%, and 0.1%, selected from previous studies, and a control (a negative or a positive control) were evaluated in a field experiment with 30-day-old golden turnip plants under drought stress [19]. Zinc nanoparticles (ZnNPs, 40 nm) and ZnSO4 were purchased from Sigma-Aldrich and used as fertilizers. The Randomized Complete Block Design (RCBD) was employed as an experimental design.
2.2. Seed Selection and Germination
We obtained turnip seeds from Ayub Agricultural Research Institute (AARI), Faisalabad. For the individual foliar application of ZnNPs and ZnSO4, the seeds were sown in soil (Table 1) in a field following the RCBD design. Drought stress was induced by watering the control plants with an interval of one week and by watering the stressed plants with an interval of two weeks. A foliar spray of micronutrients was applied after 28 days of germination [20]. The plants were harvested after two weeks of the application of the Zn micronutrient to investigate the effects of the ZnNPs and ZnSO4 on the activation of various biochemical, growth, and yield attributes under water-limited conditions.
Table 1.
Physicochemical properties of soil.
2.3. Measurement of Plant Height, Shoot Length, Diameter, and Weight
When the turnip plants reached full maturity, the plant heights of five randomly selected plants from the experimental area were recorded. After the measurement of the plant heights of the randomly selected plants, the average height was measured in centimeters (cm). Similarly, the shoot length was also measured in centimeters (cm) one week after the foliar application of the ZnNPs and ZnSO4. After the harvesting of the crops, five turnip plants were randomly selected from each subplot to measure the turnip length (cm), diameter (cm), and weight (g). For the measurement of the turnip fresh weight, five randomly selected turnips were weighted, and the average weight was calculated. The selected turnips were dried in an oven at 75 °C, and the dry weight was also calculated.
2.4. Analysis of Chlorophyll and Carotenoid Contents
The chlorophyll (Chl a and Chl b) contents were determined by following the recommendations of Arnon [21] and calculated as described by Davies [22]. We excised 0.5 g samples of the leaves of the plants treated with the ZnNPs and ZnSO4, and we soaked them in 5 mL of 80% acetone. Subsequently, centrifugation was performed at 1000× g for 5 min. The wavelength (λ) of the supernatant was measured by using a spectrophotometer at λ = 645 nm, λ = 663 nm, and λ = 480 nm. The chlorophyll contents were determined by using the following formulae:
Note: Acar = OD 480 + 0.114(OD 663) − 0.68 (OD 645), Em × 100 = 2500, OD = optical density, V = sample extract volume, and W = sample weight.
Carotenoid (g mL−1) = Acar/Em × 100
2.5. Analysis of Activity of Antioxidant Enzymes
In order to calculate the contents of antioxidant enzymes, 0.5 g samples of the leaves of the turnip plants treated with the ZnNPs and ZnSO4 were homogenized in 50 mM phosphate buffer at pH 7.8, and they were centrifuged at 15,000× g for 20 min at 4 °C. The supernatant was carefully moved to a new tube and used for the determination of enzyme activity [23].
2.6. Analysis of Superoxide Dismutase (SOD) Activity
SOD activity was analyzed by following the method of Giannopolitis and Ries [23], which is based on the inhibition of the photochemical reduction of nitrobluetetrazolium (NBT) at λ = 560 nm. SOD activity was calculated by the addition of 50 µL enzymatic extract, 50 μM NBT, 1.3 μM methionine, and 50 mM phosphate buffer at pH 7.8. In the chamber, the solution was placed under a 30 W fluorescent light source. SOD activity was determined based on the inhibition of the reduction of NBT by xanthine oxidase. The absorbance was measured using a UV-visible spectrophotometer at λ = 560 nm. One SOD unit was characterized as the amount of enzyme necessary for a 50% inhibition rate of NBT reduction, in contrast to the tubes with the enzyme extract.
2.7. Analysis of Catalase (CAT) Activity
The reaction mixture for CAT consisted of 50 mM phosphate buffer at pH 7, 5.9 mM H2O2, and 0.1 mL enzyme extract. After every 20 s, the absorbance was recorded at λ = 240 nm. Each unit of activity is a change in the absorbance of 0.01 unit min−1 [24].
2.8. Analysis of Peroxidase (POD) Activity
The peroxidase activities of the turnip plants treated with the ZnNPs and ZnSO4 were recorded against the peroxidation of guaicol and H2O2. We added 50 mM phosphate buffer at pH 5, 20 mM guaiacol, 40 mM H2O2, and 0.1 mL enzyme extract. The absorbance was measured after every 20 s at λ = 470 nm with a spectrophotometer [24].
2.9. Analysis of Malondialdehyde (MDA) Contents
In order to measure the MDA contents, 0.5 g samples of ground leaf tissue were added to 6% trichloroacetic acid and centrifuged at 12,000× g for 10 min. In the next step, 1 mL of the supernatant was added to 3 mL of thiobarbituric acid (0.5% prepared in TCA). The mixture was placed at 95 °C in a water bath for 30 min while shaking. The sample was centrifuged for 10 min. The absorbance of the samples was measured with a spectrophotometer at λ = 532 to 600 nm [25].
2.10. Measurement of Contents of Ascorbic Acid (AA)
In order to measure the AA contents, 0.5 g samples of the leaves detached from the ZnNP- and ZnSO4-treated turnip plants were homogenized in 6% TCA and centrifuged at 14,000 rpm for 10 min. Subsequently, 2 mL of 2% dinitrophenyl hydrazine and two drops of 10% thiourea were added to 0.5 mL of the reaction mixture. The solution was boiled for 20 min and cooled at room temperature, and 5 mL of 80% H2SO4 was added [26]. Subsequently, the absorbance was measured at λ = 530 nm with a spectrophotometer. Finally, the AA contents were calculated using a standard curve and a standard solution series, ranging from 20 to 300 ppm of ascorbic acid contents.
2.11. Measurement of Total Phenolic Contents
In order to measure the total phenolic contents, the fresh leaves of the turnip plants treated with the ZnNPs and ZnSO4 were homogenized in 80% acetone and centrifuged at 14,000 rpm for 10 min. The supernatant was carefully decanted into a new protease-free tube. Subsequently, 100 µL of the plant extract was added, followed by the addition of 2.5 mL of 20% Na2CO3 and 500 µL of Folin–Ciocalteu reagent. Using a UV-visible spectrophotometer, the absorbance was read at λ = 750 nm [27].
2.12. Analysis of Total Soluble Proteins (TSPs)
In order to analyze the total protein contents, 0.25 g samples of the fresh leaves of the turnip plants treated with the ZnNPs and ZnSO4 were detached and homogenized in 5 mL of phosphate buffer at pH 7, and centrifuged at 10,000 rpm for 10 min. The supernatant was moved to a new protease-free tube and used to measure the absorbance at λ = 595 nm with a spectrophotometer, as described by Bradford [28].
2.13. Analysis of Total Soluble Sugar (TSS) Contents
Around 0.25 g samples of the fresh leaves of the turnip plants treated with the ZnNPs and ZnSO4 were homogenized in 5 mL of 1% acidic methanol and centrifuged at 14,000 rpm for 10 min. Subsequently, 200 µL of the supernatant was moved to a new tube, and 3 mL of anthrone was added. The reaction mixture was heated to 95 °C for 10 min, followed by cooling at room temperature. Finally, the absorbance was measured at λ = 595 nm with a UV-visible spectrophotometer [29].
2.14. Analysis of Total Free Amino Acid (TFA) Contents
In order to analyze the effect of the ZnNPs on proteins, the total free amino acid contents were measured by following the already established method of Crampton et al. [30]. To 1 mL of turnip plant leaf extract, after the treatment with the ZnNPs and ZnSO4, 1 mL of 10% pyridine and 1 mL of 2% nin-hydrin were added. Subsequently, the mixture was heated for 30 min and placed at room temperature to cool down. Finally, the absorbance was measured at λ = 570 nm by employing a spectrophotometer.
2.15. Analysis of Flavonoid Contents
To measure the flavonoid contents, 0.5 g samples of the leaves of the turnip plants treated with both the ZnNPs and ZnSO4 were homogenized in 5 mL of 80% acetone, and, subsequently, filtration was performed to remove coarse contents. About 0.5 mL of the filtrate was placed into a new tube and diluted by adding 2 mL of ddH2O, followed by the addition of 0.6 mL of 5% NaNO2, and the tube was kept at room temperature. After five minutes, 0.5 mL of 10% AlCl3 was added to the solution. As the last step, 2 mL of 1 M NaOH was added to the reaction mixture, and the absorbance was measured at λ = 510 nm by following an already published methodology [31].
2.16. Statistical Analysis
Statistix v8.1 was employed to perform a statistical analysis of the data. The mean and standard errors were determined using Microsoft Excel 2007, and the difference in the means was calculated using the least significant difference (LSD) test at the 5% probability level.
3. Results
3.1. ZnNPs Enhanced Leaf Growth Attributes
3.1.1. ZnNPs Enhanced Shoot Length of Turnip Plants
We observed significant, drastic effects of drought stress on the shoot length and plant height of the turnip plants (Figure 1 and Table 2). Around 23% of the total decrease in shoot length was observed in the turnip plants grown under drought stress. However, the foliar application of 0.05% ZnSO4 and 0.1% ZnNPs enhanced the shoot and root lengths of the turnip plants under drought stress (Figure 1a). Notably, plant height decreased by 44% under drought stress. The foliar application of 0.1% ZnNPs enhanced plant height by 89%, while 0.1% ZnSO4 enhanced plant height by 62% under drought stress (Figure 1b). In comparison with ZnSO4, the foliar spray of 0.1% ZnNPs significantly increased the plant height and fresh and dry weights of the turnip plants.
Figure 1.
Effect of foliar application of ZnNPs and ZnSO4 on (a) shoot length and (b) plant height of the golden turnip variety under drought stress. Error bars specify the standard error, and columns with different letters exhibit variations among treatments. LSD, least significant difference at 0.05.
Table 2.
Mean square values of plant growth and leaf biochemical attributes of turnip (Brassica rapa L.) subjected to foliar application of ZnNPs and ZnSO4 under drought stress.
3.1.2. ZnNPs Ameliorate Chlorophyll and Carotenoid Contents in Leaves
A significant decrease in the Chl a, Chl b, and total chlorophyll contents was observed in the leaves of the turnip plants under drought stress (Figure 2). The Chl a and Chl b contents in the leaves of the turnip plants reduced by 59% and 52%, respectively. The exogenous foliar applications of 0.1% ZnNPs and ZnSO4 enhanced the Chl a, Chl b, and total chlorophyll contents. Notably, the foliar spray of 0.1% ZnNPs under normal irrigation enhanced the contents of Chl a and Chl b significantly in comparison to those under drought. There was no significant decrease in the carotenoid contents in the leaves of the turnip plants under drought stress (Figure 2d). Despite this, 0.1% ZnNPs and ZnSO4 significantly enhanced the carotenoid contents under drought stress.
Figure 2.
Effect of foliar application of ZnNPs and ZnSO4 on (a) Chl a, (b) Chl b, (c) total chlorophyll, and (d) carotenoid contents of turnip leaves under drought stress. Error bars specify the standard error, and columns with different letters exhibit variations among treatments. LSD, least significant difference at 0.05.
3.1.3. ZnNPs Enhanced Antioxidant Enzyme Activity in Leaves
Under drought stress conditions, the leaves of the golden turnip variety displayed a significant increase in antioxidant enzyme activities, including MDA, SOD, POD, and catalase activities (Figure 3). Among these, the highest increase in MDA contents was observed in the turnip leaves upon the foliar application of 0.01% ZnSO4, followed by 0.05% ZnNPs under drought stress (Figure 3a). The highest SOD activities were observed upon the foliar application of 0.01% ZnNPs and ZnSO4 under drought stress, which were 46.4 unit min−1 and 51.9 unit min−1, respectively (Figure 3b). By contrast, the highest POD activity was observed in the leaves of the control turnip plants, followed by 0.01% ZnNPs (Figure 3c), indicating the need to further investigate the interaction between the contents of POD and ZnNPs. The foliar application of 0.01% ZnNPs and ZnSO4 improved catalase enzyme activities to 6.85 unit min−1 and 6.65 unit min−1, respectively (Figure 3d). In conclusion, it was only under drought stress that the antioxidant enzymes in the turnip plants displayed the highest activity and assisted in stress tolerance, upon the foliar application of 0.01% ZnNPs followed by 0.01% ZnSO4. However, the exogenous spray of the ZnNPs and ZnSO4 significantly decreased the devastating effects of the drought on the plants.
Figure 3.
Effect of foliar application of ZnNPs and ZnSO4 on (a) MDA, (b) SOD, (c) POD, and (d) CAT activity of the golden turnip variety under water-deficit conditions. Error bars specify the standard error, and columns with different letters exhibit variations among treatments. LSD, least significant difference at 0.05.
3.1.4. ZnNPs Enhanced Sugars, Proteins, and Secondary Metabolites in Leaves
The total soluble sugar (TSS), total soluble protein (TSP), and total free amino acid (TAA) contents remained unchanged, while the total phenolics, flavonoids, and ascorbic acid (AA) contents decreased significantly in the turnip leaves under drought stress (Table 2 and Figure 4). The application of 0.1% ZnNPs enhanced the TSS, TSP, TAA, and total phenolics in the turnip leaves under drought stress (Figure 4a–d), while no significant changes in the flavonoid or AA (Figure 4e,f) contents were observed. The most significant increase was observed in the TFA (6.40 mg g−1 f.wt., 6.07 mg g−1 f.wt.) and TSP (1.94 mg g−1 f.wt., 1.93 mg g−1 f.wt.) under the treatment of 0.1% ZnNPs. Similarly, the foliar application of the ZnNPs and ZnSO4 enhanced the ascorbic acid contents in the turnip leaves by 1.69 mg g−1 and 3.87 mg g−1 under drought stress, respectively.
Figure 4.
Effect of foliar application of ZnNPs and ZnSO4 on leaf biochemical attributes, including (a) total soluble sugar, (b) total soluble protein, (c) total free amino acids, (d) total phenolics, (e) flavonoids, and (f) ascorbic acid, of the golden turnip variety under drought stress. Error bars specify the standard error, and columns with different letters exhibit variations among treatments. LSD, least significant difference at 0.05.
3.2. ZnNPs Enhanced Growth Attributes of Root/Turnip
3.2.1. ZnNPs Enhanced Root/Turnip Length
Drought stress significantly decreased the turnip fresh weight (F.W), dry weight (D.W), length, and diameter (Figure 5). The root/turnip length grown under drought stress decreased by 21%. We observed a significant increase in the F.W of the turnips upon the foliar application of 0.1% ZnNPs (Figure 5a). In contrast to the ZnNPs, the foliar application of 0.05% ZnSO4 enhanced the turnip D.W (Figure 5b). The turnip length and diameter were significantly enhanced upon the foliar application of 0.1% ZnNPs. In conclusion, we observed a significant effect of 0.1% ZnNPs on fruit growth under drought stress.
Figure 5.
Effect of foliar application of ZnNPs and ZnSO4 on (a) fresh weight, (b) dry weight, (c) length, and (d) diameter of the golden turnip variety under drought stress. Error bars specify the standard error, and columns with different letters exhibit variations among treatments. LSD, least significant difference at 0.05.
3.2.2. ZnNPs Enhanced Sugars, Proteins, and Secondary Metabolites in Root/Turnip
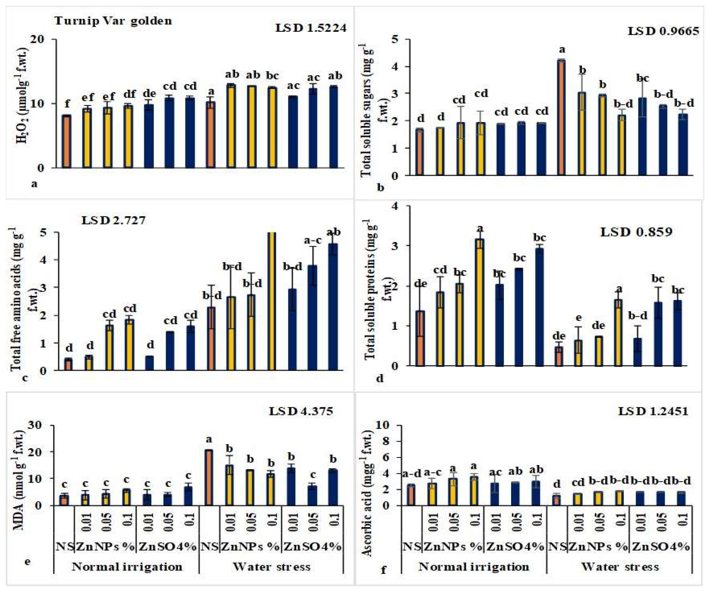
We observed a significant decrease in the TSP but an increase in the TSS and TAA in the roots/turnips under drought stress (Figure 6). The highest sugar contents were observed upon the foliar application of 0.01% ZnNPs, followed by 0.01% ZnSO4 (Figure 6b). Similarly, the foliar application of 0.1% ZnNPs followed by ZnSO4 enhanced the TAA and TSP in the roots/turnips under drought stress. In conclusion, the foliar spray of 0.1% ZnNPs enhanced the protein and sugar contents of the turnips under drought stress.
Figure 6.
Effect of foliar application of ZnNPs and ZnSO4 on (a) H2O2, (b) total soluble sugars, (c) total soluble proteins, (d) total free amino acids, (e) MDA, and (f) ascorbic acid of the golden turnip variety under drought stress. Error bars specify the standard error, and columns with different letters exhibit variations among treatments. LSD, least significant difference at 0.05.
3.2.3. ZnNPs Enhanced Antioxidant Enzyme Activity in Root/Turnip
Under drought stress, the golden turnip genotype displayed a variable antioxidant enzyme activity in the roots/turnips (Figure 6). We observed a slight increase in the contents of H2O2 and MDA and a slight decrease in the contents of ascorbic acid in the turnips under drought stress (Figure 6a,e,f). The foliar application of only 0.01% ZnNPs significantly enhanced the contents of H2O2 when compared to the application of 0.1% ZnSO4 (Figure 6a). By contrast, the foliar application of the ZnNPs and ZnSO4 decreased the MDA contents in comparison to those of the control, but it still enhanced the MDA contents in comparison to those of the normally irrigated plants (Figure 6e). The foliar application of 0.1% ZnNPs and ZnSO4 significantly enhanced the ascorbic acid contents in the turnip roots under drought stress to 1.74 mg g−1 and 1.62 mg g−1, respectively (Figure 6f). However, the exogenous spray of the ZnNPs and ZnSO4 significantly ameliorated the negative effects of the oxidants on the turnip roots.
3.2.4. Correlation among Growth Attributes
Pearson’s correlations revealed significant positive correlations under control conditions of: root fresh and dry weights with the root length; total chlorophyll contents in the leaves; shoot length; total soluble sugars in the leaves; total soluble proteins in the roots; and ascorbic acid, phenolics, and flavonoids in the leaves (Figure 7). However, a significantly negative correlation was evident for SOD, POD, and CAT in the leaves under control conditions. Under water stress conditions, a negative correlation was evident between the root fresh weight and the total soluble proteins and ascorbic acid in the roots/turnips. For further validation of Pearson’s correlation results and an evaluation of the responses of the turnips to different ZnNP and ZnSO4 applications, a principal component analysis was executed (Figure 8). The results of Pearson’s correlation were confirmed by a PCA biplot. We imaged the direction of the cases on a factor plane in PCA with a biplot. A clear separation of all of the different parameters of the leaves and roots of the turnip in response to the different levels of ZnNPs and ZnSO4 was exhibited by Dim1 and Dim2. The contribution of Dim1 to the total variance was 51.5% in comparison to the contribution of 9.6% of Dim2. A clear separation of the leaf and root attributes with respect to the treatments was observed in the PC analysis (Figure 8).
Figure 7.
Pearson correlation between different attributes of the golden turnip variety reveals the impact of treatments under control and drought stress on turnip leaves and roots. * Highly correlated either positive or negative with colors. TSP_L = total soluble proteins in leaves; TSP_R = total soluble proteins in roots; TFA_L = total free amino acids in leaves; TFA_R = total free amino acids in roots; TSS_L = total soluble sugars in leaves; TSS_R = total soluble sugars in roots; SOD_L = superoxide dismutase activity in leaves; POD_L = peroxidase activity in leaves; CAT_L = catalase activity in leaves.
Figure 8.
Principal component analysis (PCA) showing the relationship among different measured variables of turnip leaves and roots under control and drought stress. (A) Comparison of non-stressed and stressed plants (B) Comparison among treatments. T0 = control; T1 = 0.01% ZnNPs; T2 = 0.05% ZnNPs; T3 = 0.1% ZnNPs; T4 = 0.01% ZnSO4; T5 = 0.05% ZnSO4; T6 = 0.1% ZnSO4.
4. Discussion
In recent years, drought stress has adversely affected crop production across the globe. In this study, we observed a significant decrease in the shoot and root lengths of turnip plants under drought stress, similar to that observed in bean [32], rice [33], and soybean [34]. Drought stress causes a severe halt in the growth of turnip plants by limiting the rate of supply of metabolites to growing tissues, leading to the improper regulation of biochemical and physiological processes [35]. The foliar application of micronutrients is one of the most effective ways for improving stress tolerance in many plants [36], to mitigate the adverse effects of drought. In this study, the foliar application of 0.1% ZnNPs resulted in considerable growth in comparison to the plants sprayed with ZnSO4. Similarly to our findings, Zafar et al. [37] reported that the foliar application of ZnNPs improved the growth of okra plants under salt stress by enhancing the total soluble sugar and total free amino acid contents. Similarly, Mahajan et al. [38] stated that zinc oxide nanoparticles (ZnONPs) increased root and shoot lengths.
Upon the aerial application of nanoparticles, the nanoparticles are mechanistically absorbed through the stomata, enhance oxygen transport and the absorbance of sunlight in photosystems I and II, and result in a higher biomass production [39]. In the present study, the foliar application of ZnNPs enhanced photosynthetic pigments, including the Chl a, Chl b, and total chlorophyll contents, under both stress and normal conditions (Figure 2). However, the carotenoid contents slightly increased under drought stress. These results are somewhat similar to findings in spinach [37]. According to Wang et al. [40], the decline is attributable to a stress-induced decrease in damage to the photosynthetic system, which decreases photosynthesis and chloroplast disruption and increases the chlorophyllase enzyme in plants.
Zn is a micronutrient found in plants, and it aids in the regulation of metabolism and the biosynthesis of photosynthetic pigments. The beneficial effect of zinc (ZnSO4 and ZnNPs) on chlorophyll contents could be due to its role in strengthening the chloroplast ultrastructure or in enhancing antioxidant enzyme activity, delaying senescence and decreasing reactive oxygen species generation [41]. Chlorophyll degradation and reduction and improved photosynthetic efficiency are linked to the protective effect of Zn fertilizer [42]. In this study, the exogenous application of 0.1% ZnNPs reduced the stress-related effects and increased the chlorophyll content.
The plants under water stress showed an increase in antioxidant enzyme activity, as also reported by Sachdev et al. [43]. It has been reported that the upregulation of antioxidants is helpful in drought tolerance in different plants, such as maize [44] and chickpea [45]. In this study, under water stress, the foliar application of ZnNPs and ZnSO4 helped to maintain SOD, POD, and CAT activities. The antioxidant defensive mechanism is activated by Zn applied as ZnNPs and ZnSO4, and it reduces oxidative stress damage [37]. The H2O2 and MDA contents were observed to be the highest under stress conditions as also reported in linseed [2]. However, the exogenous foliar application of Zn as ZnNPs and ZnSO4 improved the activity of antioxidants under water stress. Zinc plays an important role in the osmotic adjustment of plants and prevents membrane damage from stress-induced ROS. The flavonoid, total phenolic, and ascorbic acid contents increased with the application of Zn as ZnNPs and ZnSO4. Similar observations were reported by García-López et al. [46] in peppers. It was reported by Ain et al. [47] and Itroutwar et al. [48] that an effective source of Zn fertilizer for the growth of plants is the foliar application of ZnNPs.
The total soluble sugars and total free amino acids in the leaves and roots of the turnip plants were recorded to be the highest under stress conditions, which is consistent with the observations of Živanović et al. [49]. According to Noreen et al. [50], Zn supplementation aids in the maintenance of increased ascorbic acid levels. Increased levels of osmo-protectants, such as soluble sugars, play an important role in cellular stress defense and act as modulators of plant sensitivity [36,51]. In this study, zinc significantly enhanced all growth parameters of the non-stressed and stressed plants. It seemed that Zn counteracted the negative effects of drought on tuberous roots and turnip growth. The highest values of RL, RD, and RFW were observed in the ZnNP-treated plants, followed by ZnSO4 when compared with the untreated plants. Growth parameters, such as plant height, root length and diameter, and fresh and dry weights, significantly decreased under water stress [52].
5. Conclusions
In this study, ZnNPs foliar application significantly increased the physical parameters of turnips in comparison to those of control plants under water stress. The application of ZnNPs (0.1%) was the most promising foliar application in improving the growth, primary and secondary metabolites, and yield of the turnip plants. The application of ZnNPs had more prominent effects than a conventional fertilizer on the turnip plants. Therefore, under limited water availability in agricultural systems, the foliar application of ZnNPs is an economical option for increasing fertilizer output and sustainable production of crops.
Author Contributions
Conceptualization, J.L., M.A., Z.H. and S.Z.; Methodology, J.L., M.A., S.Z., Z.H. and M.U.; Experiments, J.L., A.J., S.P., Z.H., M.I., S.Z., M.U., A.A. and A.H.E.-S.; Formal Analysis, M.A., J.L., S.Z., Z.H., M.I. and A.H.E.-S.; Writing—Review and Editing, J.L., M.A., M.U. and S.Z.; Supervision, M.A. and Z.H.; Project Administration, J.L.; Funding Acquisition, J.L.; Writing—Original Draft, M.A., S.Z. and J.L.; Writing—Review and Editing, M.A., S.Z. and Z.H. All authors reviewed the manuscript. All authors have read and agreed to the published version of the manuscript.
Funding
This work was funded by Yibin University’s High-Level Talent Project (No. 2018RC07), Yibin University, Yibin, China.
Institutional Review Board Statement
Not applicable.
Informed Consent Statement
Not applicable.
Data Availability Statement
The data used for the analysis in this study are available within the article, and the datasets used or analyzed during the current study are available from the corresponding author upon reasonable request.
Acknowledgments
Authors would like to extend their sincere appreciation to kind administration of Yibin University, Yibin, China, and Government College University, Faisalabad, Pakistan, for providing them with such a prestigious and well-equipped platform for research and development. They are also grateful to the kind administration of the department of Science and Technology of Sichuan Province, China.
Conflicts of Interest
The authors declare no conflict of interest.
References
- Zafar, S.; Perveen, S.; Kamran Khan, M.; Shaheen, M.R.; Hussain, R.; Sarwar, N.; Rashid, S.; Nafees, M.; Farid, G.; Alamri, S.J.P.o. Effect of zinc nanoparticles seed priming and foliar application on the growth and physio-biochemical indices of spinach (Spinacia oleracea L.) under salt stress. PLoS ONE 2022, 17, e0263194. [Google Scholar] [CrossRef] [PubMed]
- Perveen, S.; Parvaiz, M.; Shahbaz, M.; Saeed, M.; Zafar, S. Triacontanol positively influences growth, yield, biochemical attributes and antioxidant enzymes of two linseed (Linum usitatissimum L.) accessions differing in drought tolerance. Pak. J. Bot. 2022, 54, 843–853. [Google Scholar] [CrossRef] [PubMed]
- Kapoor, D.; Bhardwaj, S.; Landi, M.; Sharma, A.; Ramakrishnan, M.; Sharma, A. The impact of drought in plant metabolism: How to exploit tolerance mechanisms to increase crop production. Appl. Sci. 2020, 10, 5692. [Google Scholar] [CrossRef]
- Toubali, S.; Ait-El-Mokhtar, M.; Boutasknit, A.; Anli, M.; Ait-Rahou, Y.; Benaffari, W.; Ben-Ahmed, H.; Mitsui, T.; Baslam, M.; Meddich, A. Root reinforcement improved performance, productivity, and grain bioactive quality of field-droughted quinoa (Chenopodium quinoa). Front. Plant Sci. 2022, 13, 860484. [Google Scholar] [CrossRef]
- Hasanuzzaman, M.; Bhuyan, M.B.; Zulfiqar, F.; Raza, A.; Mohsin, S.M.; Mahmud, J.A.; Fujita, M.; Fotopoulos, V. Reactive oxygen species and antioxidant defense in plants under abiotic stress: Revisiting the crucial role of a universal defense regulator. Antioxidants 2020, 9, 681. [Google Scholar] [CrossRef]
- Waqas, M.A.; Kaya, C.; Riaz, A.; Farooq, M.; Nawaz, I.; Wilkes, A.; Li, Y. Potential mechanisms of abiotic stress tolerance in crop plants induced by thiourea. Front. Plant Sci. 2019, 10, 1336. [Google Scholar] [CrossRef]
- Abida, K.; Madiha, I.; Basra, S.M.A.; Sara, Z. Effect of different seed priming treatments on growth and nutrients uptake in wheat (Triticum aestivum) under salt stress. Int. J. Agric. Biol. 2019, 21, 964–970. [Google Scholar] [CrossRef]
- Naveen, N.; Kumari, N.; Avtar, R.; Jattan, M.; Ahlawat, S.; Rani, B.; Malik, K.; Sharma, A.; Singh, M. Evaluation of effect of brassinolide in Brassica juncea leaves under drought stress in field conditions. Horticulturae 2021, 7, 514. [Google Scholar] [CrossRef]
- El-Saadony, M.T.; Saad, A.M.; Taha, T.F.; Najjar, A.A.; Zabermawi, N.M.; Nader, M.M.; AbuQamar, S.F.; El-Tarabily, K.A.; Salama, A. Selenium nanoparticles from Lactobacillus paracasei HM1 capable of antagonizing animal pathogenic fungi as a new source from human breast milk. Saudi J. Biol. Sci. 2021, 28, 6782–6794. [Google Scholar] [CrossRef]
- Zafar, S.; Akhtar, M.; Perveen, S.; Hasnain, Z.; Khalil, A. Attenuating the adverse aspects of water stress on wheat genotypes by foliar spray of melatonin and indole-3-acetic acid. Physiol. Mol. Biol. Plants 2020, 26, 1751–1762. [Google Scholar] [CrossRef]
- Ahmad, Z.; Anjum, S.; Skalicky, M.; Waraich, E.A.; Muhammad Sabir Tariq, R.; Ayub, M.A.; Hossain, A.; Hassan, M.M.; Brestic, M.; Sohidul Islam, M. Selenium alleviates the adverse effect of drought in oilseed crops camelina (Camelina sativa L.) and canola (Brassica napus L.). Molecules 2021, 26, 1699. [Google Scholar] [CrossRef] [PubMed]
- Elemike, E.E.; Uzoh, I.M.; Onwudiwe, D.C.; Babalola, O.O. The role of nanotechnology in the fortification of plant nutrients and improvement of crop production. Appl. Sci. 2019, 9, 499. [Google Scholar] [CrossRef]
- Amjad, S.F.; Mansoora, N.; Din, I.U.; Khalid Iqbal, R.; Jatoi, G.H.; Murtaza, G.; Yaseen, S.; Naz, M.; Danish, S.; Fahad, S.; et al. Application of zinc fertilizer and mycorrhizal inoculation on physio-biochemical parameters of wheat grown under water-stressed environment. Sustainability 2021, 13, 11007. [Google Scholar] [CrossRef]
- Jeevanandam, J.; Barhoum, A.; Chan, Y.S.; Dufresne, A.; Danquah, M.K. Review on nanoparticles and nanostructured materials: History, sources, toxicity and regulations. Beilstein J. Nanotechnol. 2018, 9, 1050–1074. [Google Scholar] [CrossRef]
- Nadeem, F.; Farooq, M. Application of micronutrients in rice-wheat cropping system of South Asia. Rice Sci. 2019, 26, 356–371. [Google Scholar] [CrossRef]
- Zulfiqar, F.; Navarro, M.; Ashraf, M.; Akram, N.A.; Munné-Bosch, S. Nanofertilizer use for sustainable agriculture: Advantages and limitations. Plant Sci. 2019, 289, 110270. [Google Scholar] [CrossRef]
- Jia, K.; Yan, C.; Yan, H.; Gao, J. Physiological responses of turnip (Brassica rapa L. subsp. rapa) seedlings to salt stress. HortScience 2020, 55, 1567–1574. [Google Scholar] [CrossRef]
- Wahocho, N.; Wahocho, S.; Memon, N.; Leghari, M.; Baloch, Q. Growth and yield response of turnip to various nitrogen application rates. Pak. J. Agric. Agric. Eng. Vet. Sci. 2016, 32, 143–149. [Google Scholar]
- El-Zohri, M.; Al-Wadaani, N.A.; Bafeel, S.O. Foliar sprayed green zinc oxide nanoparticles mitigate drought-induced oxidative stress in tomato. Plants 2021, 10, 2400. [Google Scholar] [CrossRef]
- Semida, W.M.; Abdelkhalik, A.; Mohamed, G.F.; Abd El-Mageed, T.A.; Abd El-Mageed, S.A.; Rady, M.M.; Ali, E.F. Foliar application of zinc oxide nanoparticles promotes drought stress tolerance in eggplant (Solanum melongena L.). Plants 2021, 10, 421. [Google Scholar] [CrossRef]
- Arnon, D.I. Copper enzymes in isolated chloroplasts. Polyphenoloxidase in Beta vulgaris. Plant Physiol. 1949, 24, 1. [Google Scholar] [CrossRef]
- Davies, B. Carotenoids in higher plants. In Lipids and Lipid Polymers in Higher Plants; Springer: Berlin/Heidelberg, Germany, 1977; pp. 199–217. [Google Scholar]
- Giannopolitis, C.N.; Ries, S.K. Superoxide dismutases: I. Occurrence in higher plants. Plant Physiol. 1977, 59, 309–314. [Google Scholar] [CrossRef] [PubMed]
- Chance, B.; Maehly, A. Assay of catalases and peroxidases. Methods Enzymol. 1955, 2, 764–775. [Google Scholar] [CrossRef]
- Cakmak, I.; Horst, W.J. Effect of aluminium on lipid peroxidation, superoxide dismutase, catalase, and peroxidase activities in root tips of soybean (Glycine max). Physiol. Plant. 1991, 83, 463–468. [Google Scholar] [CrossRef]
- Maxie, E.; Rae, H.L.; Eaks, I.; Sommer, N. Studies on radiation-induced ethylene production by lemon fruits. Radiat. Bot. 1966, 6, 445–455. [Google Scholar] [CrossRef]
- Sakanaka, S.; Tachibana, Y.; Okada, Y. Preparation and antioxidant properties of extracts of Japanese persimmon leaf tea (kakinoha-cha). Food Chem. 2005, 89, 569–575. [Google Scholar] [CrossRef]
- Bradford, M.M. A rapid and sensitive method for the quantitation of microgram quantities of protein utilizing the principle of protein-dye binding. Anal. Biochem. 1976, 72, 248–254. [Google Scholar] [CrossRef]
- Liu, T.; Phang, I.Y.; Shen, L.; Chow, S.Y.; Zhang, W.-D. Morphology and mechanical properties of multiwalled carbon nanotubes reinforced nylon-6 composites. Macromolecules 2004, 37, 7214–7222. [Google Scholar] [CrossRef]
- Crampton, C.F.; Stein, W.H.; Moore, S. Comparative studies on chromatographically purified histones. J. Biol. Chem. 1957, 225, 363–386. [Google Scholar] [CrossRef]
- Zhishen, J.; Mengcheng, T.; Jianming, W. The determination of flavonoid contents in mulberry and their scavenging effects on superoxide radicals. Food Chem. 1999, 64, 555–559. [Google Scholar] [CrossRef]
- Polania, J.; Rao, I.M.; Cajiao, C.; Grajales, M.; Rivera, M.; Velasquez, F.; Raatz, B.; Beebe, S.E. Shoot and root traits contribute to drought resistance in recombinant inbred lines of MD 23–24× SEA 5 of common bean. Front. Plant Sci. 2017, 8, 296. [Google Scholar] [CrossRef] [PubMed]
- Kim, Y.; Chung, Y.S.; Lee, E.; Tripathi, P.; Heo, S.; Kim, K.-H. Root response to drought stress in rice (Oryza sativa L.). Int. J. Mol. Sci. 2020, 21, 1513. [Google Scholar] [CrossRef]
- Zhang, Y.; Ding, J.; Wang, H.; Su, L.; Zhao, C. Biochar addition alleviate the negative effects of drought and salinity stress on soybean productivity and water use efficiency. BMC Plant Biol. 2020, 20, 288. [Google Scholar] [CrossRef]
- Ali, A.; Salman, A.; Khan, G.D.; Khan, A.A.; Hassan, S.S.; Goheer, M.A.; Khan, M.A.; Ahmed, S. Growth and yield response of turnip to different deficit irrigation levels and sowing dates under the agro-ecological conditions of Khyber Pakhtuankhwa. Pak. J. Agric. Res. 2020, 33, 480. [Google Scholar] [CrossRef]
- Zafar, S.; Ashraf, M.Y.; Saleem, M. Shift in physiological and biochemical processes in wheat supplied with zinc and potassium under saline condition. J. Plant Nutr. 2018, 41, 19–28. [Google Scholar] [CrossRef]
- Zafar, S.; Hasnain, Z.; Aslam, N.; Mumtaz, S.; Jaafar, H.Z.; Wahab, P.E.M.; Qayum, M.; Ormenisan, A.N. Impact of Zn nanoparticles synthesized via green and chemical approach on okra (Abelmoschus esculentus L.) growth under salt stress. Sustainability 2021, 13, 3694. [Google Scholar] [CrossRef]
- Mahajan, P.; Dhoke, S.; Khanna, A. Effect of nano-ZnO particle suspension on growth of mung (Vigna radiata) and gram (Cicer arietinum) seedlings using plant agar method. J. Nanotechnol. 2011, 2011, 696535. [Google Scholar] [CrossRef]
- Abbas, M.; Yan, K.; Li, J.; Zafar, S.; Hasnain, Z.; Aslam, N.; Iqbal, N.; Hussain, S.S.; Usman, M.; Abbas, M.; et al. Agri-nanotechnology and tree nanobionics: Augmentation in crop yield, biosafety, and biomass accumulation. Front. Bioeng. Biotechnol. 2022, 10, 853045. [Google Scholar] [CrossRef]
- Wang, Z.; Li, G.; Sun, H.; Ma, L.; Guo, Y.; Zhao, Z.; Gao, H.; Mei, L. Effects of drought stress on photosynthesis and photosynthetic electron transport chain in young apple tree leaves. Biol. Open 2018, 7, bio035279. [Google Scholar] [CrossRef]
- Sattar, A.; Wang, X.; Abbas, T.; Sher, A.; Ijaz, M.; Ul-Allah, S.; Irfan, M.; Butt, M.; Wahid, M.A.; Cheema, M. Combined application of zinc and silicon alleviates terminal drought stress in wheat by triggering morpho-physiological and antioxidants defense mechanisms. PLoS ONE 2021, 16, e0256984. [Google Scholar] [CrossRef]
- Umair Hassan, M.; Aamer, M.; Umer Chattha, M.; Haiying, T.; Shahzad, B.; Barbanti, L.; Nawaz, M.; Rasheed, A.; Afzal, A.; Liu, Y. The critical role of zinc in plants facing the drought stress. Agriculture 2020, 10, 396. [Google Scholar] [CrossRef]
- Sachdev, S.; Ansari, S.A.; Ansari, M.I.; Fujita, M.; Hasanuzzaman, M. Abiotic stress and reactive oxygen species: Generation, signaling, and defense mechanisms. Antioxidants 2021, 10, 277. [Google Scholar] [CrossRef] [PubMed]
- Xie, T.; Gu, W.; Zhang, L.; Li, L.; Qu, D.; Li, C.; Meng, Y.; Li, J.; Wei, S.; Li, W. Modulating the antioxidant system by exogenous 2-(3, 4-dichlorophenoxy) triethylamine in maize seedlings exposed to polyethylene glycol-simulated drought stress. PLoS ONE 2018, 13, e0203626. [Google Scholar] [CrossRef] [PubMed]
- Hussain, N.; Yasmeen, A.; Yousaf, M. Antioxidant status and their enhancements strategies for water stress tolerance in chickpea. Braz. J. Biol. 2022, 82. [Google Scholar] [CrossRef]
- García-López, J.I.; Niño-Medina, G.; Olivares-Sáenz, E.; Lira-Saldivar, R.H.; Barriga-Castro, E.D.; Vázquez-Alvarado, R.; Rodríguez-Salinas, P.A.; Zavala-García, F. Foliar application of zinc oxide nanoparticles and zinc sulfate boosts the content of bioactive compounds in habanero peppers. Plants 2019, 8, 254. [Google Scholar] [CrossRef]
- Ain, N.U.; Naveed, M.; Hussain, A.; Mumtaz, M.Z.; Rafique, M.; Bashir, M.A.; Alamri, S.; Siddiqui, M.H. Impact of coating of urea with bacillus-augmented zinc oxide on wheat grown under salinity stress. Plants 2020, 9, 1375. [Google Scholar] [CrossRef]
- Itroutwar, P.D.; Kasivelu, G.; Raguraman, V.; Malaichamy, K.; Sevathapandian, S.K. Effects of biogenic zinc oxide nanoparticles on seed germination and seedling vigor of maize (Zea mays). Biocatal. Agric. Biotechnol. 2020, 29, 101778. [Google Scholar] [CrossRef]
- Živanović, B.; Milić Komić, S.; Tosti, T.; Vidović, M.; Prokić, L.; Veljović Jovanović, S. Leaf soluble sugars and free amino acids as important components of abscisic acid—Mediated drought response in tomato. Plants 2020, 9, 1147. [Google Scholar] [CrossRef] [PubMed]
- Noreen, S.; Sultan, M.; Akhter, M.S.; Shah, K.H.; Ummara, U.; Manzoor, H.; Ulfat, M.; Alyemeni, M.N.; Ahmad, P. Foliar fertigation of ascorbic acid and zinc improves growth, antioxidant enzyme activity and harvest index in barley (Hordeum vulgare L.) grown under salt stress. Plant Physiol. Biochem. 2021, 158, 244–254. [Google Scholar] [CrossRef]
- Rosa, M.; Prado, C.; Podazza, G.; Interdonato, R.; González, J.A.; Hilal, M.; Prado, F.E. Soluble sugars: Metabolism, sensing and abiotic stress: A complex network in the life of plants. Plant Signal. Behav. 2009, 4, 388–393. [Google Scholar] [CrossRef]
- Yang, X.; Lu, M.; Wang, Y.; Wang, Y.; Liu, Z.; Chen, S. Response mechanism of plants to drought stress. Horticulturae 2021, 7, 50. [Google Scholar] [CrossRef]
Disclaimer/Publisher’s Note: The statements, opinions and data contained in all publications are solely those of the individual author(s) and contributor(s) and not of MDPI and/or the editor(s). MDPI and/or the editor(s) disclaim responsibility for any injury to people or property resulting from any ideas, methods, instructions or products referred to in the content. |
© 2023 by the authors. Licensee MDPI, Basel, Switzerland. This article is an open access article distributed under the terms and conditions of the Creative Commons Attribution (CC BY) license (https://creativecommons.org/licenses/by/4.0/).







