Design and Analysis of Input Capacitor in DC–DC Boost Converter for Photovoltaic-Based Systems
Abstract
1. Introduction
- Design of the input capacitor for the DC–DC boost converter by small-signal modeling of single-diode PV panel model, coupled to the boost converter via the input capacitor.
- Analysis of the converter under different irradiance levels by varying the capacitance of the input capacitor to extract the relationship between input and output capacitance.
- Stability analysis of the converter under different values of input and output capacitance.
2. Materials and Methods
- When the switch is ON.
- When the switch is OFF.
2.1. When the Switch Is ON
2.2. When the Switch Is OFF
2.3. Design of Input Capacitor
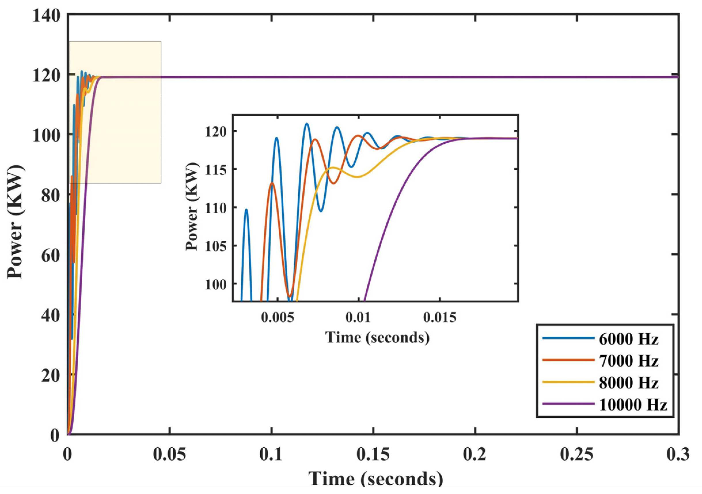
3. Results and Analysis
3.1. Input Capacitor Equal to Output Capacitor ( = 45 μF, = 45 μF, = 12 mH)
3.2. Input Capacitor Half of the Output Capacitor ( = 22.5 μF, = 45 μF, = 12 mH)
4. Conclusions
Author Contributions
Funding
Institutional Review Board Statement
Informed Consent Statement
Data Availability Statement
Conflicts of Interest
Abbreviations
| RL | Load resistance (ῼ) |
| wn | Natural frequency (Hz) |
| ζ | Damping ratio |
| Ci | Input capacitor (μF) |
| Co | Output capacitor (μF) |
| L | Inductance (mH) |
| MPPT | Maximum power point tracking |
| P.V. | Photovoltaic |
| ESR | Equivalent series resistance |
| ESL | Equivalent series inductance |
| P-Z | Pole zero |
| RE | Renewable energy |
References
- Güney, T. Renewable energy, non-renewable energy and sustainable development. Int. J. Sustain. Dev. World Ecol. 2019, 26, 389–397. [Google Scholar] [CrossRef]
- Mirza, A.F.; Mansoor, M.; Ling, Q.; Yin, B.; Javed, M.Y. A Salp-Swarm Optimization based MPPT technique for harvesting maximum energy from PV systems under partial shading conditions. Energy Convers. Manag. 2020, 209, 112625. [Google Scholar] [CrossRef]
- Humada, A.M.; Darweesh, S.Y.; Mohammed, K.G.; Kamil, M.; Mohammed, S.F.; Kasim, N.K.; Tahseen, T.A.; Awad, O.I.; Mekhilef, S. Modeling of PV system and parameter extraction based on experimental data: Review and investigation. Sol. Energy 2020, 199, 742–760. [Google Scholar] [CrossRef]
- Awasthi, A.; Shukla, A.K.; Murali Manohar, S.R.; Dondariya, C.; Shukla, K.N.; Porwal, D.; Richhariya, G. Review on sun tracking technology in solar PV system. Energy Rep. 2020, 6, 392–405. [Google Scholar] [CrossRef]
- Sibtain, D.; Mushtaq, M.A.; Murtaza, A.F. Adaptive design and implementation of fractional order PI controller for a multi-source (Battery/UC/FC) hybrid electric vehicle. Energy Sources Part A Recovery Util. Environ. Eff. 2022, 44, 8996–9016. [Google Scholar] [CrossRef]
- Sibtain, D.; Gulzar, M.M.; Shahid, K.; Javed, I.; Murawwat, S.; Hussain, M.M. Stability Analysis and Design of Variable Step-Size P&O Algorithm Based on Fuzzy Robust Tracking of MPPT for Standalone/Grid Connected Power System. Sustainability 2022, 14, 8986. [Google Scholar] [CrossRef]
- Nasiri, M.; Chandra, S.; Taherkhani, M.; McCormack, S.J. Impact of Input Capacitors in Boost Converters on Stability and Maximum Power Point Tracking in PV systems. In Proceedings of the 2021 IEEE 48th Photovoltaic Specialists Conference (PVSC), Fort Lauderdale, FL, USA, 20–25 June 2021; pp. 1004–1008. [Google Scholar] [CrossRef]
- Salim, K.; Asif, M.; Ali, F.; Armghan, A.; Ullah, N.; Mohammad, A.-S.; Al Ahmadi, A.A. Low-Stress and Optimum Design of Boost Converter for Renewable Energy Systems. Micromachines 2022, 13, 1085. [Google Scholar] [CrossRef]
- Raj, A.; Praveen, R. Highly efficient DC-DC boost converter implemented with improved MPPT algorithm for utility level photovoltaic applications. Ain Shams Eng. J. 2022, 13, 101617. [Google Scholar] [CrossRef]
- Zhao, J.; Burke, A.F. Electrochemical capacitors: Materials, technologies and performance. Energy Storage Mater. 2021, 36, 31–55. [Google Scholar] [CrossRef]
- Ghadrdan, M.; Peyghami, S.; Mokhtari, H.; Blaabjerg, F. Condition Monitoring of DC-Link Electrolytic Capacitor in Back-to-Back Converters Based on Dissipation Factor. IEEE Trans. Power Electron. 2022, 37, 9733–9744. [Google Scholar] [CrossRef]
- Li, C.; Yu, Y.; Yang, Z.; Liu, Q.; Peng, X. ESR Estimation for Aluminum Electrolytic Capacitor of Power Electronic Converter Based on Compressed Sensing and Wavelet Transform. IEEE Trans. Ind. Electron. 2021, 69, 1948–1957. [Google Scholar] [CrossRef]
- Asbayou, A.; Aamoume, A.; Elyaqouti, M.; Ihlal, A.; Bouhouch, L. Benchmarking study between capacitive and electronic load technic to track I-V and P-V of a solar panel. Int. J. Electr. Comput. Eng. 2022, 12, 102–113. [Google Scholar] [CrossRef]
- Basha, C.H.; Rani, C. Different Conventional and Soft Computing MPPT Techniques for Solar PV Systems with High Step-Up Boost Converters: A Comprehensive Analysis. Energies 2020, 13, 371. [Google Scholar] [CrossRef]
- Sibtain, D.; Murtaza, A.F.; Ahmed, N.; Sher, H.A.; Gulzar, M.M. Multi control adaptive fractional order PID control approach for PV /wind connected grid system. Int. Trans. Electr. Energy Syst. 2021, 31, e12809. [Google Scholar] [CrossRef]
- Shittu, S.; Li, G.; Zhao, X.; Ma, X.; Akhlaghi, Y.G.; Fan, Y. Comprehensive study and optimization of concentrated photovoltaic-thermoelectric considering all contact resistances. Energy Convers. Manag. 2020, 205, 112422. [Google Scholar] [CrossRef]
- Lai, H.; Singh, S.; Peng, Y.; Hirata, K.; Ryu, M.; Ang, A.K.R.; Miao, L.; Takeuchi, T. Enhanced Performance of Monolithic Chalcogenide Thermoelectric Modules for Energy Harvesting via Co-optimization of Experiment and Simulation. ACS Appl. Mater. Interfaces 2022, 14, 38642–38650. [Google Scholar] [CrossRef]
- Jalil, M.F.; Khatoon, S.; Nasiruddin, I.; Bansal, R.C. Review of PV array modelling, configuration and MPPT techniques. Int. J. Model. Simul. 2021, 42, 533–550. [Google Scholar] [CrossRef]
- Shahzad, S.; Abbasi, M.A.; Chaudhry, M.A.; Hussain, M.M. Model Predictive Control Strategies in Microgrids: A Concise Revisit. IEEE Access 2022, 10, 122211–122225. [Google Scholar] [CrossRef]
- Gulzar, M.M.; Iqbal, A.; Sibtain, D.; Khalid, M. An Innovative Converterless Solar PV Control Strategy for a Grid Connected Hybrid PV/Wind/Fuel-Cell System Coupled With Battery Energy Storage. IEEE Access 2023, 11, 23245–23259. [Google Scholar] [CrossRef]
- Khumalo, S.; Srivastava, V.M. Realization with fabrication of double-gate MOSFET based boost regulator. Mater. Today Proc. 2022, 59, 827–834. [Google Scholar] [CrossRef]
- Verma, D.; Nema, S.; Agrawal, R.; Sawle, Y.; Kumar, A. A Different Approach for Maximum Power Point Tracking (MPPT) Using Impedance Matching through Non-Isolated DC-DC Converters in Solar Photovoltaic Systems. Electronics 2022, 11, 1053. [Google Scholar] [CrossRef]
- Weng, X.; Xiao, X.; He, W.; Zhou, Y.; Shen, Y.; Zhao, W.; Zhao, Z. Comprehensive comparison and analysis of non-inverting buck boost and conventional buck boost converters. J. Eng. 2019, 2019, 3030–3034. [Google Scholar] [CrossRef]














| Component | Ripple Factor | Components Formulas | Ref # |
|---|---|---|---|
| Output capacitor | 1% | [2] | |
| Inductor | 1% | [2] |
| Irradiance Level (W/m2) at 25 °C | Damping Factor | Transient Time (s) | Poles | Zeros |
|---|---|---|---|---|
| 1000 | 3.0005 | 2.6851 × 10−4 | 1.0 × 104, −1.3271 − 0.0279 | NIL |
| 900 | 3.0110 | 2.8885 × 10−4 | 1.0 × 104, −1.1228 − 0.0330 | NIL |
| 800 | 2.6807 | 3.1196 × 10−4 | 1.0 × 103, −9.9030 − 0.3740 | NIL |
| 700 | 2.3510 | 3.5572 × 10−4 | 1.0 × 103, −8.6126 − 0.4300 | NIL |
| 600 | 2.0215 | 4.1371 × 10−4 | 1.0 × 103, −7.2586 − 0.5103 | NIL |
| 500 | 1.6924 | 4.9415 × 10−4 | 1.0 × 103, −5.8939 − 0.6284 | NIL |
| 400 | 1.3626 | 6.1373 × 10−4 | 1.0 × 103, −4.4075 − 0.8403 | NIL |
| 300 | 1.0317 | 8.1056 × 10−4 | 1.0 × 103, −2.4628 − 1.5039 | NIL |
| 200 | 0.6972 | 0.0012 | 1.0 × 103, −1.3404 + 1.3810i, −1.3404 − 1.3810i | NIL |
| 100 | 0.3559 | 0.0024 | 1.0 × 103, −0.6851 + 1.7984i, −0.6851 − 1.7984i | NIL |
| Irradiance Level (W/m2) at 25 °C | Damping Factor | Transient Time (s) | Poles | Zeros |
|---|---|---|---|---|
| 1000 | 2.1217 | 5.5743 × 10−4 | 1.0 × 103, −6.4899 − 0.2853 | NIL |
| 900 | 2.1291 | 5.5549 × 10−4 | 1.0 × 103, −5.4386 − 0.3405 | NIL |
| 800 | 1.8956 | 6.2393 × 10−4 | 1.0 × 103, −4.7485 − 0.3900 | NIL |
| 700 | 1.6624 | 7.1144 × 10−4 | 1.0 × 103, −4.0659 − 0.4555 | NIL |
| 600 | 1.4294 | 8.2741 × 10−4 | 1.0 × 103, −3.3280 − 0.5565 | NIL |
| 500 | 1.1967 | 9.8830 × 10−4 | 1.0 × 103, −2.5289 − 0.7323 | NIL |
| 400 | 0.9635 | 0.0012 | 1.0 × 103, −1.3120 + 0.3614i, −1.3120 − 0.3614i | NIL |
| 300 | 0.7295 | 0.0016 | 1.0 × 102, −9.9166 + 9.3191i, −9.9166 − 9.3191i | NIL |
| 200 | 0.4930 | 0.0024 | 1.0 × 103, −0.6702 + 1.1844i, −0.6702 − 1.1844i | NIL |
| 100 | 0.2516 | 0.0047 | 1.0 × 103, −0.3425 + 1.3170i, −0.3425 − 1.3170i | NIL |
Disclaimer/Publisher’s Note: The statements, opinions and data contained in all publications are solely those of the individual author(s) and contributor(s) and not of MDPI and/or the editor(s). MDPI and/or the editor(s) disclaim responsibility for any injury to people or property resulting from any ideas, methods, instructions or products referred to in the content. |
© 2023 by the authors. Licensee MDPI, Basel, Switzerland. This article is an open access article distributed under the terms and conditions of the Creative Commons Attribution (CC BY) license (https://creativecommons.org/licenses/by/4.0/).
Share and Cite
Hayat, A.; Sibtain, D.; Murtaza, A.F.; Shahzad, S.; Jajja, M.S.; Kilic, H. Design and Analysis of Input Capacitor in DC–DC Boost Converter for Photovoltaic-Based Systems. Sustainability 2023, 15, 6321. https://doi.org/10.3390/su15076321
Hayat A, Sibtain D, Murtaza AF, Shahzad S, Jajja MS, Kilic H. Design and Analysis of Input Capacitor in DC–DC Boost Converter for Photovoltaic-Based Systems. Sustainability. 2023; 15(7):6321. https://doi.org/10.3390/su15076321
Chicago/Turabian StyleHayat, Aamir, Daud Sibtain, Ali F. Murtaza, Sulman Shahzad, Muhammad Sheheryar Jajja, and Heybet Kilic. 2023. "Design and Analysis of Input Capacitor in DC–DC Boost Converter for Photovoltaic-Based Systems" Sustainability 15, no. 7: 6321. https://doi.org/10.3390/su15076321
APA StyleHayat, A., Sibtain, D., Murtaza, A. F., Shahzad, S., Jajja, M. S., & Kilic, H. (2023). Design and Analysis of Input Capacitor in DC–DC Boost Converter for Photovoltaic-Based Systems. Sustainability, 15(7), 6321. https://doi.org/10.3390/su15076321

