Abstract
The present study examined the impact of foreign direct investment, trade, final consumption expenditures, exports and imports of goods and services on the Romanian economic growth. The study used yearly data ranging from 1990 to 2020, and stationarity was checked using unit root testing. An asymmetric (non-linear autoregressive distributed lag) technique was employed to examine the relationship between variables with the estimation of short-run and long-run analysis. The findings of the short-run analysis show that the variables trade and final consumption expenditures positively impacted the economic growth in Romania through the positive and negative shocks. Further, the evidence also uncovered that foreign direct investment adversely influenced the economic growth, while the variable exports of goods and services revealed a significant influence to economic growth via positive shock. Imports of goods and services exposed a negative association via a positive shock and positive relation via a negative shock to the economic growth. Similarly, the long-run analysis also uncovered that variables trade and final consumption expenditures positively impacted the economic growth in Romania via positive and negative shocks, while the variable foreign direct investment showed negative linkage. Exports of goods and services uncovered a substantial influence on economic growth via positive shock, while imports of goods and services revealed a negative association via positive shock and positive linkage via negative shock to the economic growth. Foreign direct investment and imports of goods and services have a detrimental impact on Romania’s economic growth. In order to execute the right policies to solve trade and foreign investment uncertainties in Romania and boost economic growth, conservative measures are required.
1. Introduction
Since the fall of communism, Romania has been in a period of transition, and most people believe that trade liberalization and foreign inflows will produce positive externalities in the economy [1]. Foreign fund inflows, particularly FDI (foreign direct investment), have been critical to the success of many global economies. As a result, a number of economies have altered their FDI policy frameworks and implemented special conditions for attracting FDI, such as tax cuts and other inducements [2]. Foreign direct investment (FDI) transactions are not economically reasonable at times of significant uncertainty, cultural upheavals in the perception of economically worthy aims, hasty building of new economic and noneconomic institutions, and frequent transitions in the prevailing administrative era. Rational profit maximization provides a barrier since not every uncertainty can be translated into a risk. The large number of immigrants reduces Romania’s competitiveness in attracting foreign investment. Although immigration reduces Romania’s ability to attract foreign direct investment (FDI) in the near term owing to personnel loss, the potential for returning labor may boost the country’s attraction to investors in the long term [3,4].
Given the importance of FDI, it seems sensible to pay it greater attention. Because of the net influx of cash, FDI is favored above other kinds of capital. Both the investors and the interested economies are pleased with the economic benefits. It has been observed that FDI may have a spillover effect on the local economy by permitting greater human capital creation, technical externality, and access to new foreign markets [5,6]. Because of the ease with which money and capital may be moved across borders, foreign direct investment is crucial in today’s globalized economy. Foreign direct investment (FDI) reserves are less volatile than a diversified portfolio and have been and continue to be critical to the economic development of many economies since they are predicated on long-term partnerships that benefit both the investing party and the host country. Foreign direct investment (FDI) occurs when people from one region invest in the economy of another. Many people feel that FDI is a mixture of capital stock and technology. It may help to progress the economy in some way, shape, or form through a variety of channels and spillover effects [7,8].
Goods, services, and production factors may freely move across borders as a consequence of international trade. It has been and continues to be crucial to the economic development of many economies. Regardless of whether the positive effects of trade are more or less obvious in certain regions, they are important. Most policymakers and economists have long maintained that free trade is superior to trade because it reduces poverty, lowers inflation, and increases employment. Priority must be given to the sectors of health and education [9,10]. Today, many governments rely heavily on FDI to support their commitment to free trade and the rise of multinational corporations. Policymakers all throughout the world have made expanding FDI and international commerce a top priority. Despite the fact that the general system refers to deeply rooted societal standards, it is these norms that have built economic, social and political connections, as well as regulated human communication and incentives. In recent years, there has been a greater focus on the impact of institutions on international commerce and GDP development. Although it has been proven that the institution has played an essential mediating role and has incorporated FDI and international commerce as major development contributors, the evidence of resource allocation, distribution, technological transfer, and service exchange for commodities and services vary by country. It is critical to acknowledge the significance of developing high-quality institutions. Institutional quality refers to the effectiveness with which the economy’s core social and economic activities and behaviors are regulated and shaped via mechanisms such as laws and norms [11,12,13,14].
It is vital to examine the relationship between trade, foreign direct investment, and economic advancement in diverse countries in order to provide evidence indicating whether the region’s fast economic development is facilitated by FDI and trade, or by growth, trade and FDI. The extent to which this association reflects the rising trend of trade and foreign direct investment in both domestic and foreign economies, as well as the role that each plays in driving the other, is unknown [15,16]. Foreign trade often acts as a source of economic development. In countries with free trade regimes, increased demand for locally produced commodities on foreign markets has led to the formation of new sectors. The economic and political stability of the host country is a crucial element in attracting FDI, and it has a significant impact on the size of FDI inflows. Although there has been research conducted on the link between GDP and FDI, there are still factors that need to be examined. In accordance with the investigation, FDI has a favorable impact on trade as well as a good impact on GDP per capita. Trade liberalization discussions often shed light on government laws and guidelines for commercial connections, in addition to debating the foundations of what flows in and out [17,18,19]. Attracting foreign direct investment may promote capital formation and employment, raise exports, and enable transfers; as a result, it is often seen as a critical driving factor in developing, emerging and transition economies. Aside from being a major donor that often runs a deficit and a powerful weapon for economic integration policies, technical processes and long-term development of new technology, management and marketing skills to improve labor productivity are at the core of the industry [20].
Romania continues to rely on the development of larger industries rather than on foreign investment or domestic economic resources. Privatization plans in the energy and banking industries have promoted foreign investment. The spread of modern technologies, the growth of human resources, the increase in local investment, and the expansion of international trade are all influenced by foreign direct investment. The most significant benefit of FDI for developing economies is the introduction of cutting-edge technologies, processes, and strategies to better economic performance. Open economies draw an excessive share of FDI when compared to more tightly controlled countries because they provide investors with access to an educated labor force and above-average development potential. Foreign direct investment (FDI) frequently entails more than monetary expenditure. This type of legislation may include practical or technological suggestions. The exercise of decisive control, or at least considerable influence, over the activities of foreign enterprises is the distinguishing feature of foreign direct investment. The present analysis has vital contribution to the previous literature by investigating the influence of trade, foreign investment, final consumption expenditures and exports and imports of goods and services and economic progress in Romania. Study employed the annual data and stationarity of this data is rectified by employing the unit root tests. The NARDL technique was used to uncover the influence among variables via short- and long-run estimations.
This study is divided into five sections in addition to the introduction. Section 2 starts with an empirical literature review that focuses on previous studies in the field. Section 3 presents the methodology and data, while Section 4 uncovers the empirical findings and discussions. Section 5 includes the closing remarks and policy suggestions.
2. Empirical Literature Review
Several strategies have been proposed based on economic concepts. Increased trade openness may encourage economic growth in a variety of ways. Firstly, export revenues contribute significantly to overall foreign exchange. When domestic savings are inadequate to pay the cost of capital goods imports, this is vital. Increasing exports may also stimulate economic development by broadening the economy’s effective market, which gives larger economies of scale and stimulates capital creation and technical innovation. As a consequence, by enhancing productivity and efficiency, the export-oriented approach may promote economic growth. This is due to the increased use of new technology or FDI, which causes a productivity overflow effect [21,22,23]. Economists and political activists are captivated by the link between FDI and economic development. Modernity is characterized by more cross-border economic interconnectedness, reduced trade barriers and more broadly dispersed incentives for foreign direct investment. Foreign direct investment (FDI) has recently become the most significant source of new infrastructure finance across the globe, and it is the most consistent and ubiquitous source of foreign capital inflows into developing economies during transition periods. Several investigations have shown that FDI is beneficial to knowledge transfer, human capital development, and firm competitiveness. The increased economic activity caused by these factors is critical for eliminating poverty and raising living standards [24,25,26].
Simply said, FDI is one of the most active foreign money sources. It has aided the expansion and development of certain economies, especially those that were already well-established but in debt. It not only brings in vitally needed funds, but it also assists the host country in absorbing and benefiting from cutting-edge innovations from other countries. Developing the financial sector to a certain amount is critical for the development of any financial system since it attracts foreign direct investment and increases income. In the absence of foreign direct investment, such an influence does not occur. However, FDI’s contributions to the financial system are so significant that they cannot be ignored, and a growth in FDI flows may intensify the influence of financial development on economic progress. Foreign investment quantity and quality may have a significant influence on the financial sector’s potential to support economic growth [27,28,29]. Increases in efficiency overflow and value-added content boost FDI’s positive impact on economic growth. In-depth information on the impact of FDI on economic factors in many economies, particularly its involvement in the global monetary system, is still needed. This method of earning currency is still important for low-income nations with less established economies and less sophisticated banking institutions [30]. Foreign direct investment (FDI) may play an important role in bringing more funds into the host country’s domestic investment market. This goal may be accomplished via the manufacturing process, in which foreign investors acquire raw materials and intermediate items from local enterprises. Furthermore, FDI may boost developing economies’ export capability and, consequently, foreign exchange gains. FDI inflows may benefit a country’s economy in a wide range of ways, including job creation, the dissemination of critical technologies and increased productivity [31].
Intellectuals and politicians in emerging economies have paid close attention to the relationship between FDI and economic progress. Economic development is a top concern for these regions; hence, measures encouraging direct investment in other countries are encouraged. Foreign direct investment (FDI) is widely regarded for its ability to assist in balancing the savings–investment ratio by providing fresh finances and innovative industrial processes. Tax revenue and human resources are two additional benefits of foreign direct investment. From a different angle, FDI may be seen as a critical driver of economic integration since it strengthens economies’ long-term interests and their internal issues [32,33]. Foreign direct investment (FDI) is a fundamental driver of globalization and plays a vital role in the economic growth and development of many countries. Foreign direct investment, for the most part, benefits the economy of the country that receives it substantially. It creates assets such as cash, outside finance, real and intellectual property, and market share. Many economists and government officials consider foreign direct investment (FDI) advantageous. Most economies in the emerging and developing sectors have sought different economic reforms in recent years in order to realign their economic structures and attract more foreign direct investment. Direct investment from outside the region is very susceptible to global economic and policy developments, as well as the country’s political situation. Factors influencing FDI decisions include market size and potential, currency rate, trade openness, political stability or risk, labor cost, trade cost, investment cost, trade deficit, human capital, tax, inflation, and budget deficit [34,35,36].
Both theoretical and empirical progress has been made as a direct consequence of ongoing research into the relationship between foreign direct investment, exports and economic development among both emerging economies and economies that have already been established. The most recent evidence collected has shed light on the importance of international trade and investment for driving economic growth. In spite of assertions made by the export-led growth theory, which states that exports are the primary driver of economic development, data from actual practice demonstrate that the rate of increase in FDI flows significantly outpaces that of an increase in the volume of international trade [37]. This is in contrast to the claims made by the export-led growth theory, which states that exports are the principal driver of economic development. Trade and foreign direct investment are considered as being essential to the success of an economy. Trade provides significant advantages to skill sets, which may be further developed via the use of high-productivity technology and innovation. Exporters have the potential to benefit from technological advancements and innovations, either as subcontractors for international businesses or as direct competitors in the global market. Increasing the amount of cash that is available for local investment in East Asian countries is the primary objective of foreign direct investment (FDI). It is possible to achieve this goal via the production process. Investors from other countries buy primary commodities and then resell them as intermediate goods to corporations in the country where they are located. Additionally, foreign direct investment (FDI) may be used to estimate a country’s economic export capacity. In contrast, foreign direct investment (FDI) has the potential to enhance economic development, technological exports, and employment [38,39,40].
Capital accumulation, regardless of its source, is a prerequisite for an increase in economic activity. One of the primary reasons why foreign investment is so vital for developing economies is their capacity to concentrate on other concerns while still having access to resources. It is generally accepted that foreign investment is advantageous to emerging economies because it raises the total amount of money that is available for savings. This, in turn, reduces the number of restrictions placed on savings and enables enterprises to have more access to imports. A nation’s economy benefits from the inflow of capital from outside in the form of investments and savings, which ultimately leads to expansion. There are two different kinds of evidence that have been gathered in the past concerning the impact that the influx of overseas funds has on the investments made inside the country and the development of the economy. Several studies have shown that foreign investment can increase national savings rates; however, others contend that these funds actually replace domestic savings, increase consumer spending, and drive economic growth in other ways. These arguments are based on the fact that foreign investment can replace domestic savings and increase consumer spending. In addition to that, some people have found additional variables that contribute to the decline in savings rates, such as a rise in the amount of capital that comes from outside the country [41,42,43,44]. The two most important criteria for economic development are the ease of conducting business and the quality of available labor. This promotes the creation of innovative thoughts, inventions, and intellectual knowledge, in addition to the free flow of goods and services. It is logical to assume that the issue of increasing and expanding trade will receive considerable attention. Higher trade openness often leads to increased economic development. When something is open, there are no limits placed on who may buy or sell it; all clients are welcome. Due to this, the degree of openness to trade may be inferred from the volume of business conducted with other economies. The terms exports, imports, foreign direct investment, and remittances, as well as inflows and outflows of money denominated in a foreign currency, are all examples of typical commercial activity [45,46,47,48]. Table 1 presents the previously published research on foreign direct investment, imports and exports, inflation, remittances, savings, communication technology, and economic development by applying a variety of econometric methodologies in order to find the nexus among the studied variables.
Table 1.
Previous investigations on foreign direct investment, trade and economic growth.
3. Methodology and Data
The analysis used yearly time series data ranging from 1990 to 2020, which were collected from the World Development Indicators. Table 2 presents the description of the variables, including trade, foreign direct investment, final consumption expenditures, exports and imports of the goods and services and economic growth. In the analysis, we first checked the variables for stationarity using units root testing, and then confirmed the bounds tests to cointegration analysis. After that, we used the asymmetric (NARDL) approach to determine the impact of factors on economic growth.
Table 2.
Details of the variables utilized in the analysis.
Figure 1 presents the influence mechanism of the study variables, while Figure 2 illustrates the annual data trends of the variables.
Figure 1.
Influence mechanism of the variables.
Figure 2.
Trends of the studied variables.
3.1. Model for the Variables
Several studies have been conducted to investigate the links between international trade and investment, as well as economic development. Osei and Kim (2020) [60] studied the relationship between financial development and economic growth, finding that the marginal impact of FDI on economic growth diminishes as credit expands, and that too much finance is not necessarily helpful to the FDI-growth relationship. Makiela and Ouattara (2018) [61] investigated the connection between foreign direct investment (FDI) and economic progress. The outcomes suggest that FDI ultimately leads to economic progress via input changes; however, there is no strong statistical evidence to support the transmission through TFP channels. Hanif et al. (2019) [62] investigated fossil fuel consumption, foreign direct investment, and carbon-emitting economic growth in fifteen Asian developing economies, concluding that the use of fossil fuel energy increases carbon emissions and that foreign direct investment in developing countries is a significant source of CO2 emission. Similarly, Alvarado et al. (2017) [63] analyses the impact of foreign direct investment on economic growth in 19 Latin American economies. The outcomes show that in high-income countries, FDI has a positive and considerable influence on goods; however, it has an uneven and little impact in upper-middle-income economies. Finally, the detrimental effect on low- and middle-income countries was statistically significant. Furthermore, Ybrayev’s (2022) [64] study on balance of payments constrained growth shows that the average growth rate estimated by the BPCG assumptions predicts Kazakhstan’s long-term economic growth is expected to be about 2%, whereas the expansion of the economy at present is restrained by aggregate demand. However, in this analysis trade, foreign direct investment, final consumption expenditures, exports and imports of goods and the services’ influence on economic growth were examined. In an attempt to uncover the nexus amid variables, we have specified the following model as:
We can further expand Equation (1) as follows:
where, in Equation (2), ECG denotes the economic growth, TRA represents the trade, FDI represents the foreign direct investment, FCE indicates the final consumption expenditures, EGS represents the exports of goods and services and IGS represents the imports of goods and services. Where designates the error term and time is measured through t. The coefficients of the model are uncovered through –. Using asymmetric analysis, the major purpose of this investigation was to investigate the influence of trade, foreign investment, expenditures, exports and imports of commodities and services on the Romanian economic growth.
3.2. NARDL Technique
In this analysis, we have utilized the NARDL (non-linear autoregressive distributed lag) technique to explore the nexus amid variables via positive and negative shocks. In order to demonstrate the NARDL model, we will first describe the ARDL (autoregressive distributed lag) technique which is proposed by the Pesaran et al. (2001) [65] to find the correlation between the variables. The general specification of the ARDL model can be stated as follows:
Equation (3) shows the dynamic association for the given variables. Its advantages over competing standards lie in the fact that it is focused on a more manageable subset of criteria and encourages those who contribute to it. The F-test, according to Pesaran et al. (2001), can be employed to confirm both long-run predictions and the unique effects of long-term estimate for the specified variables. After verifying coexistence, - are used to compute the long-run elasticity, which is then normalized using . On the bases of the outcomes of the Shin et al. (2014) [66], we can characterize the positive and negative effects of trade, foreign direct investment, final consumption expenditures, exports and imports of the goods and services decomposition ( and (, which can be specified as follows:
Equations (6)–(13) demonstrate the positive and negative shocks for the variables; as a consequence, the asymmetrical demonstration can be denoted as follows:
Equation (14) represents the asymmetrical influence of the variables. Further, the error-correction model demonstration for the variables can be stated as follows:
Equation (15) presents the representation of the error correction model for the variables.
4. Study Empirical Findings and Discussion
Table 3 displays a descriptive and correlational analysis for the research variables. All variables, including ECG, TRA, FDI, FCE, EGS and IGS, show a positive standard deviation and J-Bera statistics, with the greatest and lowest values corresponding to economic growth. In addition, Table 4 displays the consequences of a correlation study among the variables, which suggest that all variables are interrelated.
Table 3.
Descriptive analysis.
Table 4.
Correlation analysis for the variables.
4.1. Stationarity Testing Amid Variables
This investigation used the unit root tests to determine whether or not the variables under consideration are stationary. The presence of a unit root is often used as a diagnostic criterion of the null hypothesis. However, depending on the kind of the test, the null hypothesis might be either stationarity, trend stationarity, or an explosion root. In addition, the ADF, P-P and KPSS unit root tests [67,68,69] were used during the measurement of this study. The tests were performed to determine if any of the variables under consideration had order unit roots at I(2). The ADF, P-P and KPSS unit root test revealed that none of the variables had integrals in the order of I(2). Table 5 reports the results of the unit root tests.
Table 5.
Unit root testing for the variables.
4.2. Bounds Testing to Cointegration
This study employed the non-linear ARDL technique to examine the variables such as trade, foreign direct investment, final consumption expenditures, exports and imports of the goods and services and economic growth for the period 1990–2020. The results are presented in Table 6, which shows that the F statistical value is (5.324).
Table 6.
Bounds tests for the confirmation of cointegration.
4.3. Cointegration Technique
Table 7 evidently shows that the long-run association is important in light of the J-cointegration test results [70]. When the outcomes of the trace test statistic support the null hypothesis of no cointegration, the alternative hypothesis is accepted. Both the highest eigenvalue and the trace-statistic values are lower than the required threshold.
Table 7.
Results of J-cointegration test.
4.4. Outcomes of Asymmetric Technique
The findings of the asymmetric technique are presented in Table 8. The outcomes via short-run uncover that trade and final consumption expenditures positively impacted the economic growth and have positive coefficients (0.010), (0.007), (0.266), (0.090) with probability values (0.960), (0.964), (0.100), (0.791), respectively, via positive and negative shocks. Further, the variable foreign direct investment adversely impacted the economic growth with coefficients of (−0.012), (−0.048) and probability values of (0.200), (0.107) via positive and negative shocks. Exports of goods and services have a positive coefficient via positive shock and a negative coefficient via negative shock with probability values of (0.507) and (0.391). Similarly, the variable imports of goods and services exposed a negative association with economic growth via positive shock and a positive linkage via negative shock. The outcomes of the long-run analysis show that the variables trade and final consumption expenditures have coefficients of (0.035), (0.027), (0.944), (0.321) with probability values of (0.961), (0.965), (0.118), (0.766), respectively, which have been demonstrated to positively impact the economic growth in Romania via positive and negative shocks. The variable foreign direct investment negatively impacted the economic growth with coefficients of (−0.043), (−0.170) and probability values of (0.201), (0.348). Exports of goods and services have a positive coefficient via positive shock and a negative coefficient via negative shock with probability values of (0.317) and (0.508), while the variable imports of goods and services presented a negative relation with economic growth via positive shock and positive connection via negative shock. As the world’s economies become more interwoven, international economic cooperation is expanding. Shortly after trade liberalization was implemented, the consequences were obvious, benefitting those who saw its potential and implemented the required adjustments to survive in the new environment. As a consequence, competition has emerged in the home market, compelling local businesses to develop in order to fulfill the new standards while also generating many macroeconomic advantages. The host country’s government recognizes the need of setting favorable circumstances for foreign direct investment (FDI) and recognizes that a significant inflow of FDI may have a beneficial impact on the country’s economic development. Fortunately, developing economies, which have been a popular investment option in recent years, are following behind. An economy would suffer without investment; however, public funds are often allocated elsewhere, such as debt repayment or wage and pension benefits, rather than being used to drive growth. This jeopardizes the foundation of economic growth and demands private finance to address the problem. Foreign direct investment helps to long-term economic development and stability [71,72,73,74].
Table 8.
Short- and long-run analysis results.
Foreign direct investment (FDI) is seen to be a chief source of inward capital accumulation in economies that are either in transition or developing. Indirectly, FDI helps host economies because it facilitates access to global markets, facilitates the transfer of resources such as cutting-edge technology, and boosts the competitiveness of the host economy [75]. Through mechanisms such as the effect caused by the adoption of more modern technology and management techniques, FDI accelerates technological advancement in host economies. Moreover, it was shown that FDI contributes to economic development by spreading new technologies across the host countries. When foreign direct investment (FDI) enters a country, it brings with it new inputs and technology, which leads to a greater capital accumulation [76,77].
Evidence from recent decades suggests that foreign direct investment (FDI) may have an immediate and long-term impact on exports. Corporations’ worldwide reach may help guarantee that their local counterparts match the most recent distribution, safety, and consumer-demand trends. Furthermore, exports are increased when domestic firms engage in vertical integration via arm’s length transactions both domestically and with overseas rivals. The indirect link between FDI and exports is the impact of foreign direct investment (FDI) on local firm competitiveness through modern technology. Due to their comparative advantages in consumer choice, market expertise, and government aid, multinational firms may increase efficiency in the host country’s enterprises by introducing new manufacturing and processing techniques. Increased imports from abroad imply increased exports from the domestic market. As a result, FDI is a substantial driver of technology transfer, increased domestic production, and export promotion [78,79]. The free movement of goods, services, and manufacturing processes across country boundaries has been and will continue to be a major engine of economic advancement. Trade’s good impacts might be seen in a number of ways; however, they are almost always worth examining. For decades, economists and policymakers have agreed that free trade is better when compared to no trade because it is an essential growth-promoting policy variable for lowering poverty and inflation while also improving employment, education, and health. The many benefits of trade liberalization and FDI inflows demand stronger support for them. Trade improves countries in a number of ways, according to both theory and experience, including growth, poverty reduction, job creation, health improvement and price stability [80,81]. Governments, especially in the developing world, are competing with one another to attract substantial amounts of foreign direct investment (FDI) into their economies, and the number of successful countries is increasing. Foreign direct investment (FDI) is often seen to have a favorable influence on economic development and to assist the economy in a number of ways. It might be a source of significant technological expertise, aiding local businesses and increasing local GDP via authorization, imitation, worker training, improved equipment and technology, and links between foreign and domestic sectors. As a consequence, emerging economies are progressively encouraging foreign direct investment to enjoy economic advantages, while financial market growth and global financial integration promote further industrialization [82,83,84].
Similarly, the statistical values of the R2, adjusted-R2, Durbin-Watson and AIC (Akaike info criterion) are (0.999), (0.999), (2.571) and (−6.339), respectively. Figure 3 illustrates the CUSUM and its squares plot at the level of 5% significance.
Figure 3.
Plots of CUSUM and its squares.
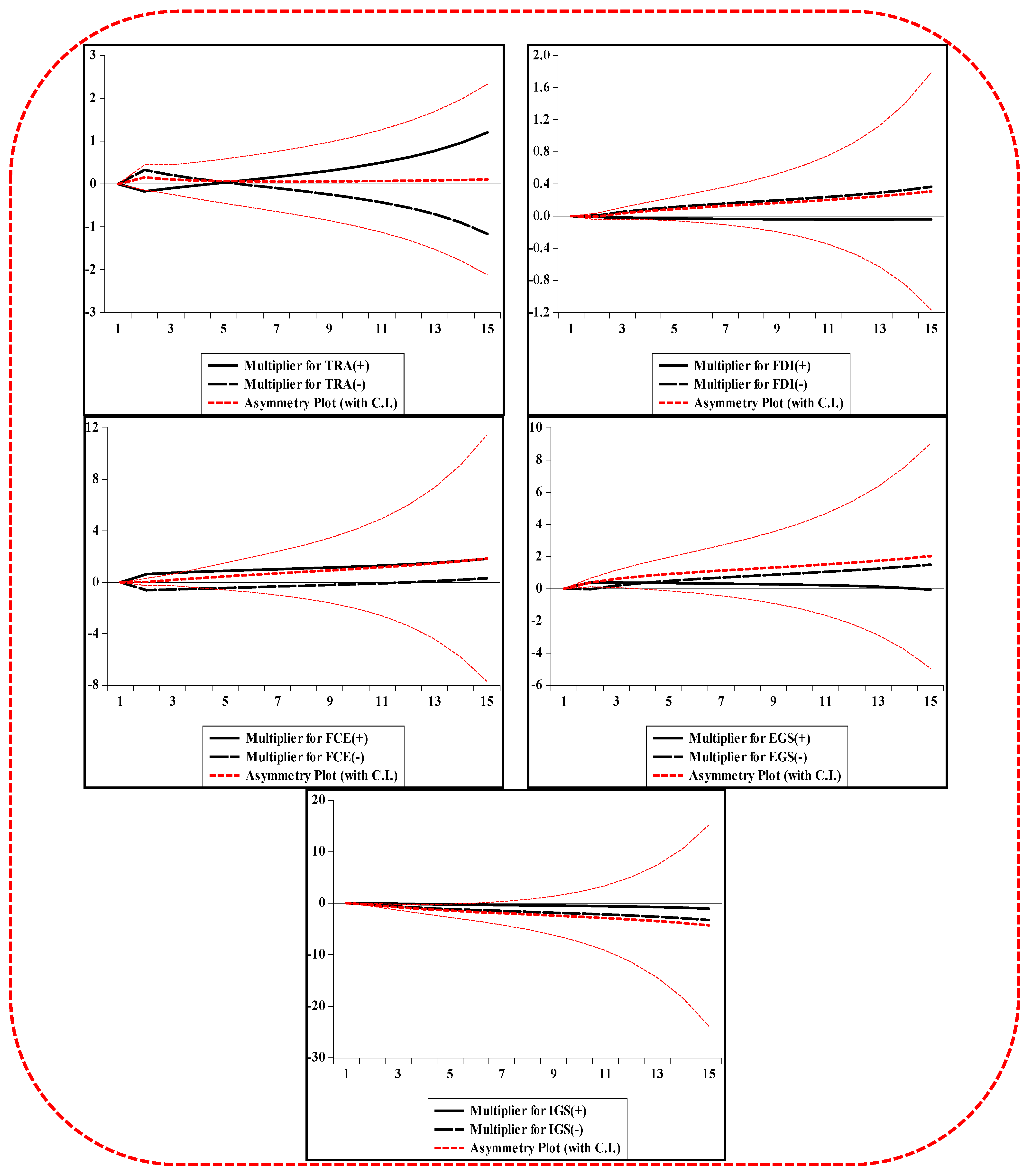
Furthermore, Figure 4 shows the asymmetrical positive and negative shocks of the trade, foreign direct investment, final consumptions expenditures, exports and imports of goods and services.
Figure 4.
Asymmetrical plots of the variables (multipliers positive and negative shocks).
5. Conclusions and Policy Directions
The primary purpose of this research was to examine the impact of foreign direct investment, trade, final consumption expenditures, and exports and imports of the goods and services on the Romanian economic growth. Unit root testing was used to compensate for stationarity, and the analysis included yearly data from 1990 to 2020. A nonlinear autoregressive distributed lag model was used to analyze the impact of various variables on economic growth. The short-run analysis results show that trade and final consumption expenditures positively impacted the economic growth in Romania via positive and negative shocks. Further, the evidence uncovered that foreign direct investment adversely influenced the economic growth, while the variables exports of goods and services represent a significant influence on economic growth via positive shock. Imports of goods and services revealed a negative association via positive shock and a positive linkage via negative shock to economic growth. Similarly, the long-run analysis outcomes also revealed that the variables trade and final consumption expenditures positively impacted the economic progress via positive and negative shocks, while the variable foreign direct investment showed a negative linkage. Exports of goods and services revealed a substantial influence on the economic growth via positive shock, while imports of goods and services revealed a negative relation via positive shock and a positive linkage via negative shock on economic growth. Romania needs to take precautionary steps to execute the necessary policies in order to overcome trade and foreign investment uncertainty and stimulate economic development.
Foreign investment influences the development of an economy, the dissemination of new technologies, the expansion of human resources, the rise in domestic investment, and the expansion of international trade. The adoption of cutting-edge technologies, processes, and strategies to improve economic performance is the most important advantage of foreign direct investment (FDI) for emerging economies. It is common for international firms to pay higher wages than their domestic counterparts. Overall pay levels in host countries grow as a consequence of FDI activity, although wage spillovers to local businesses are not always visible. The evidence implies that local companies in emerging economies may benefit from FDI via productivity spillovers; however, the impacts are usually minor or even detrimental. Foreign direct investment (FDI) may assist developing countries in improving their economies, and is often beneficial to the host country, especially developing economies. Romania needs to take preventative measures and implement suitable policies to address the uncertainties surrounding trade and foreign investment, as well as to boost economic growth. This analysis has a few limitations, and additional research could be conducted in the future to address the problems associated with international trade, foreign investment, and the capital assets nexus to economic growth. This could be accomplished by collecting large samples of data and using other econometric techniques.
Author Contributions
Conceptualization: M.I.A. and A.R.; data curation and software: M.I.A., B.G. and A.R.; analysis: B.G., E.N. and A.R.; writing—original draft: M.I.A., B.G., E.N. and A.R.; reviewing and supervision: A.R. All authors have read and agreed to the published version of the manuscript.
Funding
This research is supported by the project “6PFE” of the University of Life Sciences “King Mihai I” from Timişoara and Research Institute for Biosecurity and Bioengineering from Timisoara.
Institutional Review Board Statement
Not applicable.
Informed Consent Statement
Not applicable.
Data Availability Statement
Not applicable.
Conflicts of Interest
The authors declare no conflict of interest.
References
- Cristina, J.; Ioana, P.S.M. Some Determinants of Economic Growth in Romania: Foreign Trade and Foreign Direct Investments. 2020, pp. 229–235. Available online: https://citeseerx.ist.psu.edu/viewdoc/download?doi=10.1.1.598.8162&rep=rep1&type=pdf (accessed on 10 July 2022).
- Duarte, L.D.R.V.; Kedong, Y.; Xuemei, L. The relationship between FDI, economic growth and financial development in Cabo Verde. Int. J. Econ. Financ. 2017, 9, 132–142. [Google Scholar] [CrossRef]
- Bandelj, N. From communists to foreign capitalists. In From Communists to Foreign Capitalists; Princeton University Press: Princeton, NJ, USA, 2011. [Google Scholar]
- Cichock, M.A. From Communists to Foreign Capitalists: The Social Foundations of Foreign Direct Investment in Postsocialist Europe. Contemp. Sociol. 2009, 38, 171. [Google Scholar] [CrossRef]
- Moraru, C. Foreign direct investment and economic growth in Romania. Theor. Appl. Econ. 2013, 20, 125–134. [Google Scholar]
- Almfraji, M.A.; Almsafir, M.K. Foreign direct investment and economic growth literature review from 1994 to 2012. Procedia-Soc. Behav. Sci. 2014, 129, 206–213. [Google Scholar] [CrossRef]
- Chowdhury, M. Financial development, remittances and economic growth: Evidence using a dynamic panel estimation. Margin J. Appl. Econ. Res. 2016, 10, 35–54. [Google Scholar] [CrossRef]
- Alzaidy, G.; Ahmad, M.N.B.N.; Lacheheb, Z. The impact of foreign-direct investment on economic growth in Malaysia: The role of financial development. Int. J. Econ. Financ. Issues 2017, 7, 382–388. [Google Scholar]
- Fukase, E. Revisiting linkages between openness, education and economic growth: System GMM approach. J. Econ. Integr. 2010, 25, 193–222. [Google Scholar] [CrossRef]
- Tahir, M.; Azid, T. The relationship between international trade openness and economic growth in the developing economies: Some new dimensions. J. Chin. Econ. Foreign Trade Stud. 2015, 8, 123–139. [Google Scholar] [CrossRef]
- Singh, T. Does international trade cause economic growth? A survey. World Econ. 2010, 33, 1517–1564. [Google Scholar] [CrossRef]
- Asongu, S.A.; Nwachukwu, J.C. The mobile phone in the diffusion of knowledge for institutional quality in sub-Saharan Africa. World Dev. 2016, 86, 133–147. [Google Scholar] [CrossRef]
- Meijers, H. Does the internet generate economic growth, international trade, or both? Int. Econ. Econ. Policy 2014, 11, 137–163. [Google Scholar] [CrossRef]
- Tomizawa, A.; Zhao, L.; Bassellier, G.; Ahlstrom, D. Economic growth, innovation, institutions, and the Great Enrichment. Asia Pac. J. Manag. 2020, 37, 7–31. [Google Scholar] [CrossRef]
- Liu, X.; Shu, C.; Sinclair, P. Trade, foreign direct investment and economic growth in Asian economies. Appl. Econ. 2009, 41, 1603–1612. [Google Scholar] [CrossRef]
- Islam, M.S.; Meerza, S.I.A. Trade, foreign direct investment and economic growth linkages in selected South Asian countries. In Foreign Direct Investment, Trade and Economic Growth; Routledge India: London, UK, 2014; pp. 117–128. [Google Scholar]
- Falki, N. Impact of foreign direct investment on economic growth in Pakistan. Int. Rev. Bus. Res. Pap. 2009, 5, 110–120. [Google Scholar]
- Ali, M.; Malik, I.R. Impact of foreign direct investment on economic growth of Pakistan. 2017, 3. Available online: https://papers.ssrn.com/sol3/papers.cfm?abstract_id=3104717 (accessed on 10 July 2022).
- Sohail, S.; Mirza, S.S. Impact of foreign direct investment on economic growth of Pakistan. Asian J. Econ. Financ. Manag. 2020, 1–13. Available online: https://globalpresshub.com/index.php/AJEFM/article/view/844 (accessed on 10 July 2022).
- Ciobanu, A.M. The Impact of FDI on Economic Growth in Case of Romania. Int. J. Econ. Financ. 2021, 12, 1–81. [Google Scholar] [CrossRef]
- Çevik, E.İ.; Atukeren, E.; Korkmaz, T. Trade openness and economic growth in Turkey: A rolling frequency domain analysis. Economies 2019, 7, 41. [Google Scholar] [CrossRef]
- Keho, Y. The impact of trade openness on economic growth: The case of Cote d’Ivoire. Cogent Econ. Financ. 2017, 5, 1332820. [Google Scholar] [CrossRef]
- Ulaşan, B. Trade openness and economic growth: Panel evidence. Appl. Econ. Lett. 2015, 22, 163–167. [Google Scholar] [CrossRef]
- Vendrell-Herrero, F.; Gomes, E.; Collinson, S.; Parry, G.; Bustinza, O.F. Selling digital services abroad: How do extrinsic attributes influence foreign consumers’ purchase intentions? Int. Bus. Rev. 2018, 27, 173–185. [Google Scholar] [CrossRef]
- Wang, D.T.; Chen, W.Y. Foreign direct investment, institutional development, and environmental externalities: Evidence from China. J. Environ. Manag. 2014, 135, 81–90. [Google Scholar] [CrossRef] [PubMed]
- Li, X.; Liu, X. Foreign direct investment and economic growth: An increasingly endogenous relationship. World Dev. 2005, 33, 393–407. [Google Scholar] [CrossRef]
- Lee, C.C.; Chang, C.P. FDI, financial development, and economic growth: International evidence. J. Appl. Econ. 2009, 12, 249–271. [Google Scholar] [CrossRef]
- Hassan, M.K.; Sanchez, B.; Yu, J.S. Financial development and economic growth: New evidence from panel data. Q. Rev. Econ. Financ. 2011, 51, 88–104. [Google Scholar] [CrossRef]
- Valickova, P.; Havranek, T.; Horvath, R. Financial development and economic growth: A meta-analysis. J. Econ. Surv. 2015, 29, 506–526. [Google Scholar] [CrossRef]
- Sirag, A.; SidAhmed, S.; Ali, H.S. Financial development, FDI and economic growth: Evidence from Sudan. Int. J. Soc. Econ. 2018, 45, 1236–1249. [Google Scholar] [CrossRef]
- Belloumi, M. The relationship between trade, FDI and economic growth in Tunisia: An application of the autoregressive distributed lag model. Econ. Syst. 2014, 38, 269–287. [Google Scholar] [CrossRef]
- Vo, D.H.; Vo, A.T.; Zhang, Z. Exchange rate volatility and disaggregated manufacturing exports: Evidence from an emerging country. J. Risk Financ. Manag. 2019, 12, 12. [Google Scholar] [CrossRef]
- Dinh, T.T.H.; Vo, D.H.; The Vo, A.; Nguyen, T.C. Foreign direct investment and economic growth in the short run and long run: Empirical evidence from developing countries. J. Risk Financ. Manag. 2019, 12, 176. [Google Scholar] [CrossRef]
- Rathnayaka Mudiyanselage, M.M.; Epuran, G.; Tescașiu, B. Causal links between trade openness and foreign direct investment in Romania. J. Risk Financ. Manag. 2021, 14, 90. [Google Scholar] [CrossRef]
- Seyoum, M.; Wu, R.; Lin, J. Foreign direct investment and trade openness in Sub-Saharan economies: A panel data granger causality analysis. S. Afr. J. Econ. 2014, 82, 402–421. [Google Scholar] [CrossRef]
- Kumari, R.; Shabbir, M.S.; Saleem, S.; Khan, G.Y.; Abbasi, B.A.; Lopez, L.B. An empirical analysis among foreign direct investment, trade openness and economic growth: Evidence from the Indian economy. South Asian J. Bus. Stud. 2021, 12, 127–149. [Google Scholar] [CrossRef]
- Acaravci, A.; Ozturk, I. Foreign direct investment, export and economic growth: Empirical evidence from new EU countries. Rom. J. Econ. Forecast. 2012, 2, 52–67. [Google Scholar]
- Kalai, M.; Zghidi, N. Foreign direct investment, trade, and economic growth in MENA countries: Empirical analysis using ARDL bounds testing approach. J. Knowl. Econ. 2019, 10, 397–421. [Google Scholar] [CrossRef]
- Shaikh, F.M. Causality relationship between foreign direct investment, trade and economic growth in Pakistan. In Proceedings of the International Conference on Applied Economics ICOAE, Athens, Greece, 26–28 August 2010; pp. 717–722. [Google Scholar]
- Prabhakar, A.C.; Azam, M.; Bakhtyar, B.; Ibrahim, Y. Foreign direct investment, trade and economic growth: A new paradigm of the BRICS. Mod. Appl. Sci. 2015, 9, 32–42. [Google Scholar] [CrossRef]
- Comes, C.A.; Bunduchi, E.; Vasile, V.; Stefan, D. The impact of foreign direct investments and remittances on economic growth: A case study in Central and Eastern Europe. Sustainability 2018, 10, 238. [Google Scholar] [CrossRef]
- Agbola, F.W. Does human capital constrain the impact of foreign direct investment and remittances on economic growth in Ghana? Appl. Econ. 2013, 45, 2853–2862. [Google Scholar] [CrossRef]
- Tahir, M.; Khan, I.; Shah, A.M. Foreign remittances, foreign direct investment, foreign imports and economic growth in Pakistan: A time series analysis. Arab. Econ. Bus. J. 2015, 10, 82–89. [Google Scholar] [CrossRef]
- Das, A.; Sethi, N. Effect of foreign direct investment, remittances, and foreign aid on economic growth: Evidence from two emerging South Asian economies. J. Public Aff. 2020, 20, e2043. [Google Scholar] [CrossRef]
- Goldberg, P.; Khandelwal, A.; Pavcnik, N.; Topalova, P. Trade liberalization and new imported inputs. Am. Econ. Rev. 2009, 99, 494–500. [Google Scholar] [CrossRef]
- Siddiqui, K. Trade liberalization and economic development: A critical review. Int. J. Political Econ. 2015, 44, 228–247. [Google Scholar] [CrossRef]
- Kakar, Z.K.; Khilji, B.A. Impact of FDI and trade openness on economic growth: A comparative study of Pakistan and Malaysia. Theor. Appl. Econ. 2011, 11, 53. [Google Scholar]
- Diaconu, L.; Maxim, A.; Popescu, C.C. The impact of migration on human capital and economic development. Commun. Context Interdiscip. 2017, CCI3, 32–41. [Google Scholar]
- Omri, A.; Daly, S.; Rault, C.; Chaibi, A. Financial development, environmental quality, trade and economic growth: What causes what in MENA countries. Energy Econ. 2015, 48, 242–252. [Google Scholar] [CrossRef]
- Hussain, M.E.; Haque, M. Foreign direct investment, trade, and economic growth: An empirical analysis of Bangladesh. Economies 2016, 4, 7. [Google Scholar] [CrossRef]
- Popovici, O.C.; Călin, A.C. Economic growth, foreign investments and exports in Romania: A VECM analysis. Rom. Econ. J. 2016, 19, 95–122. [Google Scholar]
- Afolabi, B.; Danladi, J.D.; Azeez, M.I. International trade and economic growth in Nigeria. Glob. J. Hum.-Soc. Sci. Econ. 2017, 17, 1–12. [Google Scholar]
- Cinar, M.; Nulambeh, N.A. Foreign direct investment, trade openness and economic growth: A panel data analysis for sub-Saharan Africa. Bus. Econ. Res. J. 2018, 9, 749–760. [Google Scholar] [CrossRef]
- Muhammad, B.; Khan, S. Effect of bilateral FDI, energy consumption, CO2 emission and capital on economic growth of Asia countries. Energy Rep. 2019, 5, 1305–1315. [Google Scholar] [CrossRef]
- Nguyen, H.H. Impact of foreign direct investment and international trade on economic growth: Empirical study in Vietnam. J. Asian Financ. Econ. Bus. 2020, 7, 323–331. [Google Scholar] [CrossRef]
- Hobbs, S.; Paparas, D.; AboElsoud, M. Does foreign direct investment and trade promote economic growth? Evidence from Albania. Economies 2021, 9, 1. [Google Scholar] [CrossRef]
- Rehman, A.; Radulescu, M.; Ahmad, F.; Kamran Khan, M.; Iacob, S.E.; Cismas, L.M. Investigating the asymmetrical influence of foreign direct investment, remittances, reserves, and information and communication technology on Pakistan’s economic development. Econ. Res.-Ekon. Istraživanja 2022, 1–21. [Google Scholar] [CrossRef]
- Amin, A.; Anwar, S.; Liu, X.H. Outward foreign direct investment and economic growth in Romania: Evidence from non-linear ARDL approach. Int. J. Financ. Econ. 2022, 27, 665–677. [Google Scholar] [CrossRef]
- Rehman, A.; Ma, H.; Khan, S.U.; Murshed, M.; Khan, M.K.; Ahmad, F.; Chishti, M.Z. Do Exports of Communication Technology, Food, Manufacturing, and Foreign Investments Foster Economic Growth in Pakistan? An Exploration From Asymmetric Technique. J. Knowl. Econ. 2022, 1–18. [Google Scholar] [CrossRef]
- Osei, M.J.; Kim, J. Foreign direct investment and economic growth: Is more financial development better? Econ. Model. 2020, 93, 154–161. [Google Scholar] [CrossRef]
- Makiela, K.; Ouattara, B. Foreign direct investment and economic growth: Exploring the transmission channels. Econ. Model. 2018, 72, 296–305. [Google Scholar] [CrossRef]
- Hanif, I.; Raza, S.M.F.; Gago-de-Santos, P.; Abbas, Q. Fossil fuels, foreign direct investment, and economic growth have triggered CO2 emissions in emerging Asian economies: Some empirical evidence. Energy 2019, 171, 493–501. [Google Scholar] [CrossRef]
- Alvarado, R.; Iniguez, M.; Ponce, P. Foreign direct investment and economic growth in Latin America. Econ. Anal. Policy 2017, 56, 176–187. [Google Scholar] [CrossRef]
- Ybrayev, Z. Balance-of-payments-constrained growth model: An application to the Kazakhstan’s economy. Eurasian Econ. Rev. 2022, 12, 745–767. [Google Scholar] [CrossRef]
- Pesaran, M.H.; Shin, Y.; Smith, R.J. Bounds testing approaches to the analysis of level relationships. J. Appl. Econom. 2001, 16, 289–326. [Google Scholar] [CrossRef]
- Shin, Y.; Yu, B.; Greenwood-Nimmo, M. Modelling asymmetric cointegration and dynamic multipliers in a nonlinear ARDL framework. In Festschrift in Honor of Peter Schmidt; Springer: New York, NY, USA, 2014; pp. 281–314. [Google Scholar]
- Dickey, D.A.; Fuller, W.A. Distribution of the estimators for autoregressive time series with a unit root. J. Am. Stat. Assoc. 1979, 74, 427–431. [Google Scholar]
- Phillips, P.C.; Perron, P. Testing for a unit root in time series regression. Biometrika 1988, 75, 335–346. [Google Scholar] [CrossRef]
- Kwiatkowski, D.; Phillips, P.C.; Schmidt, P.; Shin, Y. Testing the null hypothesis of stationarity against the alternative of a unit root: How sure are we that economic time series have a unit root? J. Econom. 1992, 54, 159–178. [Google Scholar] [CrossRef]
- Johansen, S.; Juselius, K. Maximum likelihood estimation and inference on cointegration—With applications to the demand for money. Oxf. Bull. Econ. Stat. 1990, 52, 169–210. [Google Scholar] [CrossRef]
- Ciobanu, R.; Şova, R.A.; Popa, A.F. The impact of fdi over economic growth and how COVID-19 crisis can impact the CEE economies. CECCAR Bus. Rev. 2020, 1, 64–72. [Google Scholar] [CrossRef]
- Baiashvili, T.; Gattini, L. Impact of FDI on Economic Growth: The Role of Country Income Levels and Institutional Strength (No. 2020/02); EIB Working Papers; European Investment Bank: Sydney, Australia, 2020. [Google Scholar]
- Tran, H.T.T.; Hoang, H.T. An investigation into the impacts of fdi, domestic investment capital, human resources, and trained workers on economic growth in vietnam. In Proceedings of the International Econometric Conference of Vietnam, Ho Chi Minh City, Vietnam, 14–16 January 2019; Springer: Cham, Switzerland, 2019. [Google Scholar]
- Acquah, A.M.; Ibrahim, M. Foreign direct investment, economic growth and financial sector development in Africa. J. Sustain. Financ. Investig. 2020, 10, 315–334. [Google Scholar] [CrossRef]
- Gonzalez, D.R.; De Castro, J.M.; Miura, I.K.; Feijo, J. FDI inflows, transfer of knowledge, and absorptive capacity: The case of Mozambique. Afr. J. Bus. Manag. 2014, 8, 14–24. [Google Scholar] [CrossRef]
- Anwar, S.; Nguyen, L.P. Foreign direct investment and economic growth in Vietnam. Asia Pac. Bus. Rev. 2010, 16, 183–202. [Google Scholar] [CrossRef]
- Chanegriha, M.; Stewart, C.; Tsoukis, C. Testing for causality between FDI and economic growth using heterogeneous panel data. J. Int. Trade Econ. Dev. 2020, 29, 546–565. [Google Scholar] [CrossRef]
- Zhang, K.H.; Song, S. Promoting exports: The role of inward FDI in China. China Econ. Rev. 2001, 11, 385–396. [Google Scholar] [CrossRef]
- Ahmad, F.; Draz, M.U.; Yang, S.C. Causality nexus of exports, FDI and economic growth of the ASEAN5 economies: Evidence from panel data analysis. J. Int. Trade Econ. Dev. 2018, 27, 685–700. [Google Scholar] [CrossRef]
- Keho, Y. Foreign Direct Investment, Exports and Economic Growth: Some African Evidence. J. Appl. Econ. Bus. Res. 2015, 5, 209–219. [Google Scholar]
- Were, M. Differential effects of trade on economic growth and investment: A cross-country empirical investigation. J. Afr. Trade 2015, 2, 71–85. [Google Scholar] [CrossRef]
- Haque, S.; Amin, S.B. Foreign direct investment, trade openness and economic growth: The case of Bangladesh. World Rev. Bus. Res. 2018, 8, 104–125. [Google Scholar]
- Dutta, C.B.; Haider, M.Z.; Das, D.K. Dynamics of economic growth, investment and trade openness: Evidence from Bangladesh. South Asian J. Macroecon. Public Financ. 2017, 6, 82–104. [Google Scholar] [CrossRef]
- Rehman, A.; Ma, H.; Ahmad, M.; Ozturk, I.; Işık, C. Estimating the connection of information technology, foreign direct investment, trade, renewable energy and economic progress in Pakistan: Evidence from ARDL approach and cointegrating regression analysis. Environ. Sci. Pollut. Res. 2021, 28, 50623–50635. [Google Scholar] [CrossRef]
Disclaimer/Publisher’s Note: The statements, opinions and data contained in all publications are solely those of the individual author(s) and contributor(s) and not of MDPI and/or the editor(s). MDPI and/or the editor(s) disclaim responsibility for any injury to people or property resulting from any ideas, methods, instructions or products referred to in the content. |
© 2023 by the authors. Licensee MDPI, Basel, Switzerland. This article is an open access article distributed under the terms and conditions of the Creative Commons Attribution (CC BY) license (https://creativecommons.org/licenses/by/4.0/).



