Abstract
In this study, we attempted to find an alternative method to identify and efficiently predict the interaction between the soil and basic structure of plastic greenhouses for sustainable agriculture. The interaction between the foundation structure of the plastic greenhouse and the soil appears as uplift resistance. We first measured the uplift resistance by using various artificial neural networks. The data required by the model were obtained through laboratory experiments, and a deep neural network (DNN) was employed to improve the model performance. We proposed a new deep learning structure called DNN-T that has the advantage of stabilizing neural circuits by suppressing feedback by using the concept of biological interneurons. The DNN-T was trained using driving data for four scenarios. The upward resistance of the DNN-T according to the training conditions showed a high correlation (r = 0.90), and the error decreased when the input conditions of the training data were varied. DNN-Ts mimicking interneurons can contribute to solving various nonlinear problems in geotechnical engineering. We believe that our DNN-T model can be used to determine the uplift resistance of solid and continuous pipe foundations, effectively reducing the need for time-consuming and extensive testing.
1. Introduction
Extreme weather events are occurring in several countries due to climate change [1], and global warming will lead to changes in wind speed at the global and regional levels [2]. In China, to discuss the building code specifications of coastal cities in Hangzhou and Shanghai, which are vulnerable to the tropical cyclone winds, simulations have been conducted, and the results have shown that the number of tropical cyclones is increasing [3], and the same is true for the neighboring country, Korea. Tropical cyclones can be divided into two types based on the disaster they bring about, namely, heavy rain and strong wind. In Korea, several tropical cyclones occur in the August-to-September period, causing significant disasters [4]. Therefore, Korea is vulnerable to strong winds, bad weather, and heavy snowfall, all of which can damage greenhouses and lead to loss of plants contained in these structures [5].
The ground has a highly complex, nonlinear relationship with soil, rock, air, and water [6]. The interaction between the ground and the foundation of plastic greenhouses installed on the ground is closely related to the wind load; therefore, the damage caused by strong winds has a more severe effect on the facility than on the crops growing inside [7]. However, soil exhibits very complex behavioral characteristics because of its nonhomogeneous nature and anisotropy, which affects the static stability of structures [8,9]. Geotechnical engineering properties are difficult to establish using traditional statistical methods because of the interdependence of disciplines, such as mineralogy [10]. Numerical methods are often used to predict and evaluate the behavior and stability of geotechnical structures and have the advantage of reducing various requirements and costs associated with the experiments. However, these methods require input design parameters to simulate the behavior of structures [11]. Im (2006) predicted the physical properties of the ground by employing artificial neural networks (ANNs) to predict the design parameters [12]. Kim et al. (2020) investigated the validity of standard penetration resistance value (N) values obtained from existing boreholes to predict N values using ANNs [13]. Kim (2011) used ANNs to reduce the uncertainties associated with ground properties [14]. In addition, examples of geotechnical engineering using ANNs include the prediction of various response parameters between the ground and piles using the ANN models; analysis of prediction for calculating the bearing capacity of piles; prediction of liquefaction of the ground; evaluation of nonlinear unsaturated shear strength stress; evaluation of preconsolidation stress, compression index, and settlement; and evaluation of piezocone penetration test results. The aforementioned examples indicate that ANNs exhibit excellent results with regard to modeling nonlinear multivariable problems. Penumadu et al. (1994) reported that well-trained neural networks have enormous potential for application in geotechnical research and consulting [15].
Regarding research using deep neural networks (DNNs), Nair and Hinton [16] proposed a learning method that resets weights by reflecting the error between the predicted and actual values in the calculation, again using the rectified liner unit (ReLU) activation function. Later, the need for a processor for DNN to process data quickly and economically was recognized [17]. As a way to accelerate the performance of DNNs, research on neuromorphic methods, which can import and process neural network circuits and signals of living organisms, is being actively conducted. Such methods have the advantage of being able to rapidly process a considerable amount of information at once [18]. However, a neuromorphic method that mimics the signal transmission method of intermediate neurons has not yet been attempted. The structure of such a model is designed to highlight the role of interneurons. Thus, such a model was developed in this study, called “DNN-T”, and was then applied to predict and evaluate the uplift resistance of plastic greenhouses. Plastic greenhouses can be damaged, as shown in Figure 1. Single-span plastic greenhouse generates uplift due to the air pressure difference caused by strong winds, thereby inflicting structural damage to the pipe continuous foundation [19].
Figure 1.
Cases of foundation damage caused by a single-span plastic greenhouse in south Korea.
Therefore, in this study, the nonlinear uplift resistance of embedded pipes was predicted and evaluated using a DNN, considering the unit weight and embedded ratio of the pipe. Specifically, the nonlinear uplift resistance characteristics were predicted considering the influence of water content, unit weight, and embedded ratio, which were considered as the input variables. To evaluate the uplift resistance, multiple regression models for each training condition of the input variables and prediction results obtained using the DNN and DNN-T models were analyzed using Nash–Sutcliffe efficiency (NSE), root-mean-square error (RMSE), and mean absolute percent error (MAPE).
2. Materials and Methods
2.1. Soil Sampling
The soil samples used for the test were obtained from Jumunjin Standard sand (denoted as A), Wanju, Jeollabuk-do (denoted as B), and Cheongju, Chungbuk (denoted as C). Soil sample A was sand produced in Jumunjin, Gangwon-do, was approved as standard sand by KS L 5100, and was used to measure in situ density using the sand substitution method. Soil sample B was collected from a greenhouse farm in Wanju, Jeollabuk-do, while soil sample C was collected from a greenhouse farm in Cheongju, Chungcheongbuk-do (Figure 2).
Figure 2.
Soil sampling locations by region. (a) Soil sample A (Gangwon-do), (b) soil sample B (Chungcheongbuk-do), and (c) soil sample C (Jeollabuk-do).
The physical and mechanical properties of the three aforementioned soil samples are listed in Table 1. Soil sample A can be classified as SP (poorly graded sand, nonplastic) in the unified soil classification system (USCS), with a passing percent of 0.5% and maximum dry unit weight (γdmax) of 18.70 kN m−3. Soil sample B can be classified as ML (silt, low plasticity and compressibility), with a passing percent of 66.6% (sieve number: #200) and maximum dry unit weight of 16.97 kN m−3. Finally, soil sample C can be classified as CL (lean clay, low plasticity and compressibility), with a passing percent of 52.6% and maximum dry unit weight of 18.14 kN m−3. The USCS (SP, ML, and CL) classification characteristics of the respective soil areas are as follows. Area A comprises sandy soil; area B shows characteristics of sandy soil but comprises silty soil of a size smaller than that of sand particles that contain many fine particles. Finally, area C has the characteristics of cohesion soil.
Table 1.
Physical and mechanical properties of the three types of soil samples.
2.2. Methods of Soil Box Testing
The load gauge used for measuring the uplift resistance in the soil box test has a maximum capacity of 5 kN and minimum capacity of 0.01 N (Tokyo Sokki Kenkyuojo Co. Ltd. TCLP-500KA, Tokyo, Japan). Similarly, the displacement gauge has a working range of 100 mm to 0.01 mm (Kunhung Electronix Co. Microswitch, Seoul, Republic of Korea). The soil box test used to measure the uplift resistance is 300 mm × 300 mm × 150 mm, including the spacing of the main frame. The soil box was made of clear acrylic with a thickness of 10 mm, such that a homogeneous ground could be created and the failure shape of the ground could be observed during extraction. The pipe continuous foundation used for the uplift resistance test was a galvanized pipe with an outer diameter of 31.8 mm and thickness of 1.5 mm, which is a standard product for single-span plastic greenhouses.
The soil in the soil box was compacted based on the relative density of each soil type and compaction test results for sample A. In addition, preliminary testing was carried out to determine the range of unit weight that could be compacted in the soil box.
Soil sample A could be compacted within the range of 14.7–16.5 kN m−3. Similarly, soil samples B and C could be compacted within 11.2–14.3 kN m−3 and 13.0–15.8 kN m−3, respectively. The water content (w) of each soil type was adjusted based on the dry soil weight. Soil sample A was tested at 0%, 3%, and 5%; soil sample B was tested at ±5% under the optimum water content standard; and soil sample C was tested at ±3% at the optimum water content standard.
However, in the case of dry soil, it is difficult to observe the failure surface, and different results are expected in comparison with those obtained from testing with wet soil. Therefore, in this study, the water content was controlled during testing. Figure 3 shows a schematic overview of the model test for each condition.
Figure 3.
Front view modeling in terms of the embedded ratio of the installed pipe. (a) Test conditions for soil samples A, B, and C; (b) front view of the soil box test.
2.3. Prediction Models
This study used two analysis methods, where the input parameters were the results of the uplift resistance test for areas A, B, and C. First, we estimated the uplift resistance for the three input variables using a multiple regression model. Second, the uplift resistance was estimated based on different input conditions of the training data using a DNN model. The method employed for estimating the uplift resistance is as follows.
2.3.1. Multiple Regression Model
The multiple regression model is an analysis method used to determine the cause-and-effect relationship existing between one dependent variable and one or more independent variables [21].
A general multiple regression model can be expressed as follows:
where k () is the number of parameters, is the intercept (constant) term, and the variable corresponding to is .
The multiple regression model is used in various fields because it is very useful for analyzing the influence of variables and predicting the response variable, which is achieved by modeling the effect of the various explanatory variables on the response variable [22,23,24,25,26]. In this study, multiple regression was performed using IBM SPSS Statistics 26, considering water content, unit weight, and embedded ratio as the dependent variables and uplift resistance as the independent variable.
2.3.2. DNN Model
ANNs mimic the biological neural network of the human brain as an information-processing system using a mathematical model [27,28]. DNNs, a subset of ANNs, aim to predict future values based on existing data and are used for classification or regression analysis [29].
ANNs are designed to model the input–output characteristics and predict values of multivariate functions during training. They analyze a large quantity of data and adjust the weights connected to the nodes to increase the prediction accuracy. The prediction accuracy is typically related to the amount of data used for training [30].
Deep learning is a machine-learning technique that uses DNNs. DNNs are used to train the multilayer neural networks that contain two or more dense layers. Failure to train the dense layers results in failure to train deep neural networks [31,32]. However, the learning process of DNNs may lead to overfitting and, subsequently, poor performance [33]. Deep learning presents excellent results. However, the core technology that can enable the practical application of deep learning has not yet been developed. Current innovations in deep learning are the result of many minor technological improvements. Backpropagation algorithms experience three primary technical difficulties in the training process of DNNs, and deep learning can overcome these problems. These three primary difficulties are as follows [34]:
- Vanishing gradient: This problem occurs when the dense layer is not adequately trained. Deep learning predicts better optimal values for training DNNs using various numerical methods.
- Overfitting: DNNs are vulnerable to overfitting because the numerous dense layers and weights increase the complexity of the model. Deep learning solves the overfitting problem by training only a subset of randomly selected nodes using normalized data.
- Computational load: Deep learning reduces the training time using a graphics processing unit (GPU) and other algorithms. The number of epochs in deep learning corresponds to the number of times the entire training dataset appears in the network during training.
2.3.3. DNN-T Model Using a “Thinking Layer”
Biological neurons have multiple input tentacles and dendrites, called axons. The dendrites receive signals from other neurons in the axons to form a neural network. Strong neural pathways are formed as neurons learn new things along the neural network [35]. One major design challenge regarding neurons is building a scalable neuromorphic communication system to support numerous connections [36]. Neuromorphic engineering is the activity process adopted by synapses and neurons to increase the efficiency of mimicking certain elementary properties of neurons. Neuromorphic engineering implements artificial intelligence within neurons and synapses by mimicking how real information is transmitted and processed. In other words, as the brain activates only the neurons to which signals are transmitted, the efficiency increases compared to that of existing ANNs that perform calculations in all neural networks [37]. As shown in Figure 4, interneurons connect the sensory and motor neurons and affect different weights while processing various information according to synaptic connectivity patterns [38]. In this study, a DNN-T model, with an accompaniment called the “Thinking layer,” was constructed, which focused on the function of intermediate neurons. DNN-T trains by learning patterns in advance through trial-and-error while starting a new learning process by focusing on the synaptic function of the intermediate neurons.
Figure 4.
Scheme of neurons in the peripheral and central nervous systems.
3. Data Processing and Composition for Uplift Resistance Prediction
3.1. Processing and Composition of DNN-T Model
The structure of the model developed in this study can be divided into three parts. The first part of the model was trained as the “Thinking layer,” which consists of three layers; each layer has 64 nodes (Figure 5). The second part is a flattened layer, which serves as a link connecting the third part. The third part comprises two dense layers: a batch normalization layer and an output layer. The output layer has the function of deriving practical results.
Figure 5.
Scheme of DNN-T model’s structure.
The first part comprises the dense layer, which receives one neuron as a parameter and outputs 64 neurons. All 64 neurons generated from the three-input data are output as 512 neurons, and then further trained to output 1024 neurons. This study predicted the result of receiving 1024 neurons as an output layer, resulting in one final neuron as the output, using hyperbolic tangent (tanh) as an activation function. This function can be obtained by transforming the sigmoid function. In a deep network with multiple layers, the gradient becomes smaller. The tanh activation function is particularly useful for gradients less than one, as it solves the vanishing gradient problem. The activation function is also used to address the slowness of the optimization process. A batch normalization layer was performed to accelerate the learning and to avoid overfitting to stabilize the learning process. The Adam optimizer was used to determine the optimal value through training. The number of epochs (learning repetitions) was set to 10,000, and the learning rate was set to 0.0001. To ensure that the learning state for the used learning rate was efficient, this study evaluated the model’s performance using the mean squared error (MSE) as the loss function.
3.2. Dataset Building for the DNN-T Model
The given input data were used to train the model inside the neural network. In this study, supervised learning was used, that is, the error between the prediction and training data was continuously reduced by improving the neural network weights while repeating the training process.
Further, the water content, unit weight, and embedded ratio were considered factors affecting the uplift resistance and were used as the training data based on the soil box test results. The training data were constructed as a .CSV file such that the DNN-T model could recognize the data. The model was designed with four cases (Table 2). For each case, 80% of the input data comprised the training data, while 20% of the data were randomly extracted test data. As shown in Table 2, the dataset used for training the DNN-T model was considered the input dataset, and the dataset not used for model training was set as the test dataset to evaluate the uplift resistance. In the case of the DNN model, only case 4 was analyzed for comparison with the DNN-T model. The DNN model is referred to as DNN in Section 5.2.
Table 2.
Dataset setting of DNN-T.
For each case in the training set, 108 simulations were conducted, considering a random shuffle of the training sequence. The initialization parameters of the DNN-T model are listed in Table 3.
Table 3.
Configurations of the DNN-T model.
3.3. Evaluation of DNN-T Model Results
To estimate and evaluate the uplift resistance using the DNN-T model, the model’s performance was determined by classifying the test results (measured values) according to the model application conditions. As shown in Table 2, four models, including cases 1–4, were evaluated in this study. In geotechnical engineering, simple regression or multiple regression is used to analyze the design parameters; however, as this is a statistical significance test, the model is explained using a coefficient of determination [39,40,41,42]. The coefficient of determination (R2) of a linear regression equation is the most widely used statistic for evaluating the goodness-of-fit of an equation. However, its value is influenced by several factors and is more closely related to the data collection plan or experimental design than the regression equation is to the true values. Additionally, several statistics similar to the standard formula for R2 are provided for linear regression, which have been concluded as being inadequate for nonlinear cases. Using only R2 as the model fit criterion is often risky, and other statistics must be used to evaluate the superiority of the model when the response of a quantitative treatment is analyzed using a regression technique [43]. Therefore, in this study, the model was evaluated using the Pearson correlation coefficient (r), NSE, RMSE, and MAPE.
The Pearson correlation coefficient () examines the linearity between the measured and predicted values. Its range is between −1 and +1. If r = 1, it indicates that the linearity is strong. The Pearson correlation coefficient is calculated using the following equation:
NSE is mainly used to verify the accuracy of the model. An NSE value of 1 indicates that the model results are in perfect agreement with the measurements. A negative result indicates that the prediction result is worse than the average of the input values. NSE is calculated as follows:
RMSE measures the deviation between observations. It is a generalized standard deviation scale and is used to determine the difference between the actual value and the predicted value. It measures how far away the individual observations are. The closer the RMSE is to zero, the more consistent the prediction results of the model are with the actual values. It is calculated as follows:
MAPE is the most common measure of prediction error. It is suitable for cases where there are no zeros and the data have extreme values, which can lead to data close to zero showing skewed results. MAPE is calculated as follows:
where and are the measured and predicted values, respectively, and and are the averages of the measured and predicted values.
4. Results
4.1. Soil Box Test
In the soil box test, all the test conditions demonstrated the failure of the inclined wedge shape owing to the uplift of the pipe continuous foundation. Trautmann et al. [44] studied the uplift resistance with respect to anchors and proposed a model of the failure of the vertical blocks. However, White et al. (2001) proposed a wedge failure that is consistent with the observations of this study [45]. Figure 6 shows the representative soil box test results for each soil type.
Figure 6.
Plane failure of the uplift resistance tests for soil samples A, B, and C. (a) Soil sample A (SP); (b) soil sample B (ML); and (c) soil sample C (CL).
The representative uplift resistance for the soil box test is illustrated in Figure 7. As can be seen, the uplift resistances of soil samples A, B, and C increase nonlinearly with the increase in the embedded ratio. The ground compresses under a load as the voids decrease, and the skeletal structure of the soil becomes stable; consequently, the stress increases linearly [46]. However, the soil shows weak tensile strength and exhibits the characteristics of a plastic material; thus, the tensile strength decreases upon attaining the maximum strength value [47]. However, in the case of an uplift, the normal stress on top of the pipe can be increased over the normal state during failure, but this stress on the sliding plane does not increase [45]. Notably, the increase in the normal stress during failure is due to the influence of the water content, unit weight, and embedded ratio. This is also why the uplift resistance increases nonlinearly.
Figure 7.
Results of the uplift resistance test according to the change in the water content and embedded ratio of soil samples A (USCS: SP), B (USCS: ML), and C (USCS: CL).
The antidisaster standards for agricultural facilities specified by the rural development administration of South Korea recommend that only the embedded depth of the foundation be presented based on the structural type for single-span plastic greenhouses [48]. Single-span plastic greenhouses occupy 78.7% of the total structure area as of 2019 [49]; of this, 91.8% was damaged by typhoons and strong winds [50]. Thus, an in-depth analysis according to the characteristics of the parameters is required to address this problem.
4.2. Multiple Regression Model
Using a multiple regression model, the uplift resistance was predicted and evaluated using water content, unit weight, and embedded ratio as dependent variables. The nonstandardized coefficients of the dependent variable were 0.361 (water content), 0.197 (unit weight), and 0.289 (embedded ratio). The standardized coefficients of the dependent variable were 0.596 (water content), 0.308 (unit weight), and 0.611 (embedded ratio) (Table 4). Multiple regression analysis models are sensitive to noise data, and their predictive performance tends to deteriorate when unnecessary information is included [51]. The biggest obstacle is their limitation of the multicollinearity between independent variables [52]. Myers (1990) said that a predictor can have a fairly high R when regressing on other predictors, in the case of VIF > 10 [53]. However, in this study, the maximum VIF was 1.238, indicating that the correlation between the independent variables was weak. In multiple regression analysis, regularization is performed to increase predictive accuracy and generalizability [54]. However, in the current study, multicollinearity was not encountered, and so, the error term of the model was not normalized.
Table 4.
Results of multiple regression coefficients.
Regarding the Pearson correlation coefficient for each dependent variable, the uplift resistance showed the best correlation with the embedded ratio, followed by water content and unit weight. However, the unit weight had a low correlation with the water content and embedded ratio (Table 5). The prediction results in the nonstandardized state yielded a coefficient of determination (R2) of 0.6771 when using the multiple regression model of the training data. In contrast, the standardized state yielded an R2 value of 0.7097 (Figure 8).
Table 5.
Results of Pearson correlation coefficient.
Figure 8.
Prediction of uplift resistance using multiple regression. (a) Prediction of the nonstandardized coefficient and (b) prediction of the standardized coefficient.
As shown in the analysis of the actual and predicted data of Figure 9, the predicted data present specific errors. The MSE and MAPE of the nonstandardized state are 0.079 and 410.3%, respectively, whereas those of the standardized state are 0.158 and 336.8%. Thus, it was confirmed that the error for the predicted data was large (Figure 9).
Figure 9.
Linear change in the uplift resistance for the nonstandardized and standardized states. (a) Nonstandardized states and (b) standardized states.
4.3. DNN Model
The DNN model consists of two dense layers, and each layer has 512 and 1024 nodes. This model employs tanh and sigmoid functions as the activation functions of the dense layer and final output layer, respectively. Figure 10 shows the change in the model training results with all samples (A, B, and C). The loss was 0.1410 in the first epoch and decreased to 0.0049 in the last epoch. The Val_Loss in the validation dataset was 0.1294 in the first epoch and decreased to 0.0546 in the last epoch (Figure 10a). The MAE was 0.3538 in the first epoch and decreased to 0.0508 in the last epoch. The Val_ MAE was 0.3176 in the first epoch and decreased to 0.1560 in the last epoch (Figure 10b). In the training and validation dataset plots, the loss decreased sharply for approximately 300 epochs, and the loss and Val_Loss converged with a large difference. It did not show overfitting.
Figure 10.
Results of DNN model training on soil samples A, B, and C. (a) Loss and validation loss and (b) MAE and validation MAE.
Figure 11 shows the errors of the results predicted, using the training data for soil samples A, B, and C as the input. The MSE and MAPE values in the case of the DNN-T were 0.009 and 54.2%, respectively. However, the overall plot showed a similar distribution of the uplift resistance as that for the other cases, as shown in Figure 11b.
Figure 11.
Prediction of the uplift resistance for soil samples A, B, and C. (a) Comparison of the results for the actual and predicted datasets and (b) comparison of the data of the actual and predicted datasets.
4.4. DNN-T Model for Example Cases
4.4.1. Case 1 of DNN-T
Figure 12 and Figure 13 depict the changes in the training result when the uplift resistances of soil samples B and C are predicted by the model trained using the test results of soil sample A.
Figure 12.
Results of DNN-T model training on soil sample B. (a) Loss and validation loss and (b) MAE and validation MAE.
Figure 13.
Result of DNN-T model training on soil sample C. (a) Loss and validation loss and (b) MAE and validation MAE.
The loss and MAE values for soil samples B and C decrease during training, and the same is true for validation as well. The plots for the training and validation datasets of soil samples B and C showed a decreasing trend for roughly 800 epochs. None of the metrics in the DNN-T model represented ideal training conditions, as the final analysis showed large amplitudes in all the plots. As the number of epochs increased, the metric converged to values close to zero. Since overfitting did not occur, it was confirmed that training and generalization of the model proceeded satisfactorily.
Figure 14 and Figure 15 show the differences between the measured and predicted values for soil samples B and C when soil sample A is used as the input training data. For DNN-T, when soil sample A was used for training to predict the test results for soil sample B, the MSE and MAPE values were 0.096 and 99.1%, respectively. Furthermore, in the training and prediction of soil sample C, the MSE and MAPE values were 0.072 and 93.0%, respectively. This result showed that the reliability of the prediction results is very low when only soil sample A is trained.
Figure 14.
Prediction of uplift resistance for soil sample B using sample A. (a) Comparison of results for the actual and predicted datasets and (b) comparison of the actual and predicted datasets.
Figure 15.
Prediction of uplift resistance for soil sample C using sample A. (a) Comparison of results for the actual and predicted datasets and (b) comparison of the actual and predicted datasets.
4.4.2. Case 2 of DNN-T
A change in the data, as shown in Figure 16, was observed when predicting the uplift resistance of soil sample C by training the test results of soil samples A and B. The loss was 0.1462 in the first epoch and decreased to 0.0003 in the last epoch. The Val_Loss in the validation dataset was 0.0886 in the first epoch and decreased to 0.0054 in the last epoch. The MAE value was 0.3649 in the first epoch and decreased to 0.0125 in the last epoch. The Val_ MAE value was 0.2525 in the first epoch and decreased to 0.0419 in the last epoch. The training and validation dataset plots show a sharp decrease for approximately 281 epochs, after which they maintain constant convergence for approximately 2000 epochs. The datasets then converged after a decrease at approximately 2180 epochs, further converging for approximately 3700 epochs, and then decreasing beyond that. Subsequently, the difference in the datasets gradually increased, and the metrics in the validation dataset were higher than in the training dataset. None of the DNN-T model metrics represented ideal training conditions, as the final analysis showed large amplitudes in all the plots. However, as the number of epochs increased, the metrics converged to a value close to zero. Because overfitting did not occur, this study was able to confirm that the training and generalization of the model progressed satisfactorily.
Figure 16.
Results of DNN-T model training on soil sample C. (a) Loss and validation loss and (b) MAE and validation MAE.
Figure 17 shows the prediction of the measurements of Sample C by input the training data of Samples A and B. The predicted MSE and MAPE values of DNN-T were 0.051 and 147.9%, respectively. This result denotes that the reliability of the prediction is inferior when the model is trained with soil samples A and B. The distribution of the prediction results is considerably different from the average value of the uplift resistance test results.
Figure 17.
Prediction of uplift resistance for sample C using soil samples A and B. (a) Comparison of results for the actual and predicted datasets and (b) comparison of the actual and predicted datasets.
4.4.3. Case 3 of DNN-T
Figure 18 shows the prediction of the measurements of Sample B by input the training data of Samples A and C. The loss was 0.1780 in the first epoch and decreased to 0.0004 in the last epoch. The Val_Loss in the validation dataset started as 0.1280 in the first epoch and decreased to 0.0059 in the last epoch. The MAE was 0.4131 in the first epoch and decreased to 0.0158 in the last epoch. Val_ MAE was 0.3436 in the first epoch and decreased to 0.0656 in the last epoch. In training and validation dataset plots, both loss and Val_Loss decreased until after approximately 850 epochs. However, the Val_Loss increased afterward, and the loss converged. As the number of epochs increased, the metrics converged to zero, and the metrics were higher in the validation dataset than in the training dataset. As overfitting did not occur, we were able to confirm that the training and generalization of the model progressed satisfactorily.
Figure 18.
Results of DNN model training on soil sample B. (a) Loss and validation loss and (b) MAE and validation MAE.
Figure 19 shows the difference between the measured and predicted values of soil sample B, obtained using the training data of soil samples A and C as the input. The predicted MSE and MAPE values of DNN-T were 0.004 and 61.2%, respectively. Thus, the prediction reliability improved by 86.7% compared to case 2, when soil samples A and C were trained. However, there are still significant differences from the uplift resistance test results.
Figure 19.
Prediction of uplift resistance for soil sample B using samples A and C. (a) Comparison of the results obtained on the actual and predicted datasets and (b) comparison of the actual and predicted datasets.
4.4.4. Case 4 of DNN-T
Figure 20 shows the prediction of the measurements by input the training data of Samples A, B, and C. The loss was 0.1317 in the first epoch and decreased to 0.0050 in the last epoch. The Val_Loss in the validation dataset was 0.1309 in the first epoch and decreased to 0.0050 in the last epoch. The MAE was 0.3397 in the first epoch and decreased to 0.0508 in the last epoch. The Val_ MAE was 0.3227 in the first epoch and decreased to 0.1563 in the last epoch.
Figure 20.
Results of DNN-T model training on soil samples A, B, and C. (a) Loss and validation loss and (b) MAE and validation MAE.
In the training and validation dataset plots, the loss and Val_Loss decreased sharply for approximately 200 epochs. However, both loss and Val_Loss converged with a large difference. None of the metrics of the model represented ideal training conditions, as the plots showed large amplitudes. In addition, as the number of epochs increased, the metrics converged to a value close to zero; the metrics were higher in the validation dataset than in the training dataset. As overfitting did not occur, we were able to confirm that the training and generalization of the model progressed satisfactorily.
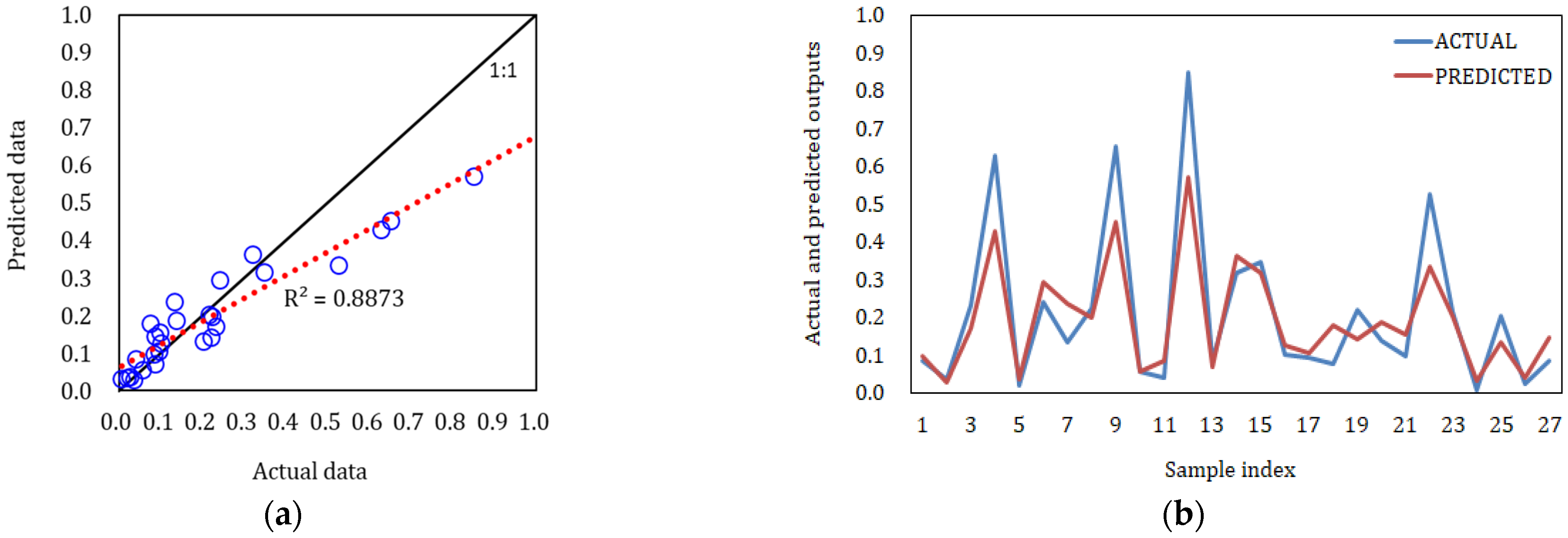
Figure 21 shows the errors of the predicted results, obtained by using the training data for soil samples A, B, and C as the input. The predicted MSE and MAPE values of DNN-T were 0.009 and 53.2%, respectively. The prediction reliability improved by 8.0% compared to that in case 3. This result shows significant improvement in reliability over the prediction results for multiple regression and DNN-T (Cases 1, 2, 3). Moreover, the overall plot yielded a prediction of the uplift resistance that is similar to that obtained in other cases, as shown in Figure 21b.
Figure 21.
Prediction of uplift resistance for soil samples A, B, and C. (a) Comparison of results for the actual and predicted datasets and (b) comparison of the actual and predicted datasets.
5. Discussion
5.1. Difference between Training Results of the DNN and DNN-T
The training results obtained using the DNN-T and DNN are compared in Figure 22. The DNNs use loss as a metric to evaluate how well the model fits the training data. The convergence of learning with an increase in the epochs improved to a greater degree in the case of the DNN-T as compared to the DNN, and the learning time in the case of the DNN-T was less than that in the case of the DNN. This implies that the DNN-T can process the data faster than the DNN. When analyzing the data, the DNN-T exhibited better performance with respect to resolving overfitting compared to the DNN. Based on the aforementioned results, it can be inferred that the DNN-T can rapidly perform stable training and verification.
Figure 22.
Prediction of uplift resistance for all the soil samples. (a) Comparison of results for actual and predicted datasets and (b) comparison of the actual and predicted datasets.
5.2. Comparison and Evaluation of MR, DNN, and DNN-T
To evaluate the results analyzed using the MR, DNN, and DNN-T, the performances of these models were evaluated using r, NSE, RMSE, and MAPE; the results thus obtained are presented in Table 6 and Figure 23. The correlation is considered to be weak when r lies in the range of 0.1 to 0.3, moderate when r lies in the range of 0.4 to 0.6, strong when r lies in the range of 0.7 to 0.9, and perfect when r is 1 [55]. In case 2, the value of r was 0.47, indicating a moderate correlation, and in all the other cases, r was 0.80 or higher, indicating a strong correlation. An NSE value of 1 indicates that the simulation is a perfect match. An NSE value of 0 indicates that the model simulation has the same explanatory power as the mean of the test results. If the NSE is less than 0, the model is a worse predictor than the mean of the observations [56]. In this study, NSE showed negative values for the nonstandardized (MR–1) and standardized cases (MR–2), that is, cases 1 and 2, respectively. A high value of r indicates that the test and predicted results are moderately related, but the mean value is not reproducible. The model in such a case is less reliable because it is a worse predictor than the average of the observed values. The RMSE value was small in the order of MR–1 > MR–2 > case 1 > case 2 > case 3 > case 4 DNN. The model performance showed the lowest error in case 4 and when the DNN was used. Regarding the MAPE values, case 4 showed excellent predictive results. Case 4 and the DNN showed the same analysis results in terms of r, NSE, and RMSE, but case 4 showed slightly improved results in terms of MAPE. Model evaluation using RMSE and MAPE is challenging because there must be a clear criterion. However, the closer the value of RMSE or MAPE is to zero, the better the model performance evaluation. Further studies must be conducted to analyze the performance of the DNN-T model more clearly. Upon further analysis of other properties, the DNN-T model was found to demonstrate vastly improved performance. However, the contents of that analysis were not added because the result of other engineering properties was not directly comparable. Further, in the additional analysis referred to above, other input variables were also used.
Table 6.
Results of model evaluation.
Figure 23.
Comparison and Evaluation results of r, NSE, RMSE, and MAPE for MR, DNN, and DNN-T.
DNNs have shown effectiveness in solving difficult problems in actual scenarios because of the advancements in their data processing performance [17]. Bagińska and Srokosz (2019) suggested a method for obtaining a high-quality experimental training dataset instead of a large training dataset when predicting support power by constructing a layer with the optimal number of neurons and layers in a DNN using only samples [30]. Furthermore, Zeng et al. (2021) reported that the effect on uplift resistance can be predicted with high accuracy when a neural network trained via optimization is used [57]. Thus, although the number of input datasets is small, analysis methods using DNNs and the DNN-T can process data significantly faster than DNNs; such analysis methods therefore have considerable potential for application in different fields.
6. Conclusions
In this study, a method for predicting the structure–soil interaction (uplift resistance) of a plastic greenhouse was evaluated. Specifically, the DNN-T, which is based on the interneuron concept, was presented to improve the prediction performance of uplift resistance of single-span plastic greenhouses according to soil characteristics. The DNN-T showed better prediction results than the multiple regression model and similar prediction results compared to the DNN. In particular, the error of the DNN-T could be decreased by varying the scenario conditions. Further, this model had lower training costs as compared to the DNN. The study results suggest that the DNN-T is suitable for predicting the static stability of structures according to soil properties.
However, in this study, the DNN-T prediction results were not considerably different from those of the DNN; this could be due to the limited amount of data, the data type, or the hyperparameters of the DNN-T. Nevertheless, this study emphasizes that the performance of the DNN-T improves as the types of variables increase and that this model is versatile in terms of its low development costs. We believe that a follow-up study should be conducted to enhance the performance of our model as well as to expand and utilize it in the stability prediction of structures. Various other prediction methods can also be used to understand the structure–soil interaction for the foundation reinforcement of plastic greenhouses. We believe that our study findings can have a significant impact on maintaining plastic greenhouses for sustainable agriculture.
Author Contributions
Conceptualization, investigation, data curation, writing—original draft preparation, methodology, design of the work, data acquisition, analysis, and interpretation of the work, M.-H.K. Conceptualization, software, formal analysis contribution, methodology, supervision, analysis, validation, writing—reviewing and editing, and revising, C.-M.S. All authors have read and agreed to the published version of the manuscript.
Funding
This research received no external funding.
Institutional Review Board Statement
Not applicable.
Informed Consent Statement
Not applicable.
Data Availability Statement
The data used to support the findings of this study are included within the article.
Conflicts of Interest
The authors declare no conflict of interest.
References
- Greenhouse MANAGEMENT. Available online: https://greenhousemag.com/article/tech-solutions-prepare-your-greenhouse-for-high-winds/ (accessed on 14 March 2023).
- Kulkarni, S.; Deo, M.C.; Ghosh, S. Impact of Climate Change on Local Wind Conditions. In Proceedings of the HYDRO-2013—International Conference on Hydraulics and Water Resources, Chennai, India, 4–6 December 2013; IIT Madras: Chennai, India, 2013; Volume 3–7, pp. 1–12. [Google Scholar] [CrossRef]
- Xu, H.; Lin, N.; Huang, M.; Lou, W. Design Tropical Cyclone Wind Speed When Considering Climate Change. J. Struct. Eng. 2020, 146, 04020063. [Google Scholar] [CrossRef]
- Hyoun, Y.S. Classification of Typhoons Influenced the Korean Peninsula by Rainfall Intensity and Wind Speed and Analysis of Group Characteristics. Master’s Thesis, Jeju National University, Jeju, Republic of Korea, 2014. (In Korean). [Google Scholar]
- SproutRite. Available online: https://sproutrite.com/pages/5-best-greenhouses-for-high-winds (accessed on 14 March 2023).
- Kim, Y.M.; Kang, S.G. The Analysis of Tunnel Behavior Using Different Constitutive Models. J. Korean Soc. Rock Mech. 2010, 20, 73–81. (In Korean) [Google Scholar]
- Ryu, H.R.; Cho, M.W.; Yu, I.H.; Moon, D.G. Finite Element Modeling for Structure-Soil Interaction Analysis of Plastic Greenhouse Foundation. Korean J. Agric. Sci. 2014, 41, 455–460. (In Korean) [Google Scholar] [CrossRef]
- Song, K.I.; Cho, G.C. Effect of Spatial Distribution of Geotechnical Parameters on Tunnel Deformation. J. Korean Tunn. Undergr. Space Assoc. 2006, 8, 249–257. (In Korean) [Google Scholar]
- Song, K.I.; Cho, G.C.; Lee, S.W. Effects of Spatially Variable Weathered Rock Properties on Tunnel Behavior. Probab. Eng. Mech. 2011, 26, 413–426. [Google Scholar] [CrossRef]
- Yang, Y.; Rosenbaum, M.S. The Artificial Neural Network as a Tool for Assessing Geotechnical Properties. Geotch Geol. Eng. 2002, 20, 149–168. [Google Scholar] [CrossRef]
- KICT. A Development of Integrated Rock Mass Properties Evaluation System for the Optimal Design of Underground Structures; Korea Institute of Civil Engineering and Building Technology: Goyang, Republic of Korea, 2002. (In Korean) [Google Scholar]
- Im, A.S. The Prediction of Surface Settlement and Tunnel’s Behavior During Tunnel Excavation by Using Artificial Neural Network in This Research. Ph.D. Thesis, Kyungpook National University, Daegu, Republic of Korea, 2006; p. 224. (In Korean). [Google Scholar]
- Kim, K.M.; Park, H.J.; Goo, T.H.; Kim, H.C. A Prediction of N-Value Using Artificial Neural Network. J. Eng. Geol. 2020, 30, 457–468. [Google Scholar] [CrossRef]
- Kim, J.K. A Case Study on the Estimation of a Proper Tunnel Support Pattern Using Back Analysis Based on Artificial Neural Network. Ph.D. Thesis, The University of Suwon, Hwaseong, Republic of Korea, 2011; p. 94. (In Korean). [Google Scholar]
- Penumadu, D.; Jin-Nan, L.; Chameau, J.L.; Arumugam, S. Rate Dependent Behavior of Clays Using Neural Networks. In Proceedings of the 13th Conference of the International Society of Soil Mechanics & Foundation Engineering, New Delhi, India, 5–10 January 1994; pp. 1445–1448. [Google Scholar]
- Nair, V.; Hinton, G.E. Rectified Linear Units Improve Restricted Boltzmann Machines. In Proceedings of the 27th International Conference on Machine Learning, Haifa, Israel, 21–24 June 2010. [Google Scholar]
- SKhynix Newsroom. 25 February 2022. Available online: https://news.skhynix.co.kr/post/current-and-future-of-ai-semiconductors (accessed on 22 November 2022). (In Korean).
- SKhynix Newsroom. 1 April 2022. Available online: https://news.skhynix.co.kr/post/various-applications-of-ai-technology (accessed on 22 November 2022). (In Korean).
- Yun, S.W.; Choi, M.K.; Lee, S.Y.; Yoon, Y.C. Uplift Capacity of Continuous Pipe Foundation for Prevention of Meteorological Disaster. J. Agric. Life Sci. 2015, 49, 303–310. [Google Scholar] [CrossRef]
- ASTM D 2487-06; International. Standard Practice for Classification of Soils for Engineering Purposes (Unified Soil Classification System). ASTM International: West Conshohocken, PA, USA, 2006.
- Ministry for Food, Agriculture, Forestry and Fisheries (MIFAFF); Rural Development Administration (RDA). Designated Notice of Standards to Endure Disaster for Horticultural and Special Facilities; MIFAFF: Gwacheon, Republic of Korea; RDA: Suwon, Republic of Korea, 2014. (In Korean)
- MAFRA. Facility Vegetable Greenhouse Status and Vegetable Production Output Report; Ministry of Agriculture, Food and Rural Affairs: Seoul, Republic of Korea, 2020; pp. 105–108. (In Korean)
- Ministry of the Interior Safety. The Interior and Safety Statistical Yearbook; Ministry of the Interior Safety: Seoul, Republic of Korea, 2021; Volume 2021, Available online: https://www.mois.go.kr/frt/bbs/type001/commonSelectBoardArticle.do?bbsId=BBSMSTR_000000000013&nttId=86616 (accessed on 30 November 2022). (In Korean)
- Won, J.; Ryu, S.L. A Study on the Impact of Operational Efficiency on Firm Value. J. Korean Data Anal. Soc. 2015, 17, 2607–2619. (In Korean) [Google Scholar]
- Cha, E.J.; Lee, S.H. Effects of Depression, Loneliness, and Social Support on Aging Anxiety in Middle-Aged Men. J. Korean Data Anal. Soc. 2015, 17, 2705–2717. (In Korean) [Google Scholar]
- Lee, D.H. Bivariate Count Regression Models with Heterogeneous Responses. J. Korean Data Anal. Soc. 2015, 17, 150–161. (In Korean) [Google Scholar]
- Elgibaly, A.A.; Elkamel, A.M. A New Correlation for Predicting Hydrate Formation Conditions for Various Gas Mixtures and Inhibitors. Fluid Phase Equilibria 1998, 152, 23–42. [Google Scholar] [CrossRef]
- Groupe, D. Principle of Artificial Neural Networks, 2nd ed.; World Scientific Publishing Co.: Singapore, 2007. [Google Scholar]
- Lee, M.J.; Kim, J.S.; Yoo, Y.H.; Kim, H.S.; Kim, S.E.; Kim, S.J. Water Level Prediction in Taehwa River Basin Using Deep Learning Model Based on DNN and LSTM. J. Korea Water Resour. Assoc. 2021, 54, 1061–1069. [Google Scholar] [CrossRef]
- Bagińska, M.; Srokosz, P.E. The Optimal ANN Model for Predicting Bearing Capacity of Shallow Foundations Trained on Scarce Data. KSCE J. Civ. Eng. 2019, 23, 130–137. [Google Scholar] [CrossRef]
- Li, C.; Zhang, Y.; Ren, X. Modeling Hourly Soil Temperature Using Deep BiLSTM Neural Network. Algorithms 2020, 13, 173. [Google Scholar] [CrossRef]
- Wang, X.; Li, W.; Li, Q. A New Embedded Estimation Model for Soil Temperature Prediction. Sci. Program. 2021, 2021, 5881018. [Google Scholar] [CrossRef]
- Cogswell, M.; Ahmed, F.; Grishick, R.; Zitnick, L.; Batra, D. Reducing Overfitting in Deep Networks by Decorrelating Representations. arXiv 2016. [Google Scholar] [CrossRef]
- Kim, P. MATLAB Deep Learning: With Machine Learning, Neural Networks and Artificial Intelligence, 1st ed.; Apress: Berkeley, CA, USA, 2017. [Google Scholar] [CrossRef]
- Hankyung Dictionary. Available online: https://dic.hankyung.com/economy/view/?seq=13183 (accessed on 23 November 2022).
- ITGS Classroom. Available online: https://sites.google.com/site/mrstevensonstechclassroom/hl-topics-only/4a-robotics-ai/neural-networks-computational-intelligence (accessed on 22 November 2022).
- Jeong, J.H.; Jung, J.M.; Yun, Y.S. Feature Representation Method to Improve Image Classification Performance in FPGA Embedded Boards Based on Neuromorphic Architecture. J. Softw. Assess. Valuat. 2021, 17, 161–172. [Google Scholar] [CrossRef]
- Klausberger, T.; Magill, P.J.; Márton, L.F.; Roberts, J.D.B.; Cobden, P.M.; Buzsáki, G.; Somogyi, P. Brain-State- and Cell-Type-Specific Firing of Hippocampal Interneurons In Vivo. Nature 2003, 421, 844–848. [Google Scholar] [CrossRef]
- Heo, Y.; Yun, S.H.; Jung, K.C.; Oh, S.T. Analysis on the Relationship of Soil Parameters of Marine Clay. J. Korean GEO-Environ. Soc. 2008, 9, 37–45. (In Korean) [Google Scholar]
- Kong, J.Y.; Chae, H.Y.; Chun, B.S. Comparison of Correlation Equations Between N Value and Shear Wave Velocity. In Proceedings of the KGS Spring National Conference, Gyeonggi, Republic of Korea, 25–26 March 2010; pp. 656–665. (In Korean). [Google Scholar]
- Park, J.M.; Han, Y.B.; Jang, Y.S. Estimation of Ultimate Bearing Capacity of Gravel Compaction Piles Using Nonlinear Regression Analysis. J. Korean Soc. Coast. Ocean. Eng. 2013, 25, 112–121. (In Korean) [Google Scholar] [CrossRef]
- Lim, S.H.; Yoo, N.J. Correlation Analysis Between Physical Properties and Compression Index for Dredged and Reclaimed Marine Clay in the Southern Coast of Korea. J. Ind. Technol. 2014, 34, 53–59. (In Korean) [Google Scholar]
- Cornell, J.A.; Berger, R.D. Factors That Influence the Value of the Coefficient of Determination in Simple Linear and Nonlinear Regression Models. Phytopathology 1987, 77, 63–70. [Google Scholar] [CrossRef]
- Trautmann, C.H.; O’Rourfce, T.D.; Kulhawy, F.H. Uplift Force-Displacement Response of Buried Pipe. J. Geotech. Eng. 1985, 111, 1061–1076. [Google Scholar] [CrossRef]
- White, D.J.; Barefoot, A.J.; Bolton, M.D. Centrifuge Modelling of Upheaval Buckling in Sand. Int. J. Phys. Model. Geotech. 2001, 1, 19–28. [Google Scholar] [CrossRef]
- Bong, T.H.; Kim, S.P.; Heo, J.; Son, Y.H. An Experimental Study for Soil Pressure Increment Ratios According to Strip Load in Sandy Soil. J. Korean Soc. Agric. Eng. 2011, 53, 21–27. [Google Scholar] [CrossRef]
- Seo, Y.K.; Choi, H.W. Experimental Study on Unconfined Compression Strength and Split Tensile Strength Properties in Relation to Freezing Temperature and Loading Rate of Frozen Soil. J. Ocean. Eng. Technol. 2012, 26, 19–26. [Google Scholar] [CrossRef]
- Baek, J.W.; Chung, K. Context Deep Neural Network Model for Predicting Depression Risk Using Multiple Regression. IEEE Access. 2020, 8, 18171–18181. [Google Scholar] [CrossRef]
- Kim, K.S.; Jeon, J.J.; Choi, H.S. A Comparison Study of Correlation Modeling. J. Korean Data Anal. Soc. 2019, 11, 3319–3329. (In Korean) [Google Scholar]
- Choi, K.L.; Sakong, J.H. A Study on the Relationship Between Stock’s Performance and the Company’s Performance–Focusing on KOSPI200. J. Korean Data Anal. Soc. 2011, 13, 2935–2944. (In Korean) [Google Scholar]
- Park, H.J.; Jang, K.Y.; Lee, Y.H.; Kim, W.J.; Kang, P.S. Prediction of Correct Answer Rate and Identification of Significant Factors for CSAT English Test Based on Data Mining Techniques. KIPS Trans. Softw. Data Eng. 2015, 4, 509–520. [Google Scholar] [CrossRef]
- Thaithanan, J.; Wanishsakpong, W.; Panityakul, T.; Prangchumpol, D. The Efficiency of Ridge Estimations for Multicollinearity Multiple Linear Regression: A Monte-Carlo Simulation-Based Study. Int. J. Math. Comput. Sci. 2021, 16, 1721–1727. [Google Scholar]
- Myers, R.H. Classical and Modern Regression with Applications, 2nd ed.; Duxbury Press: Boston, MA, USA, 1990. [Google Scholar]
- Eom, S.H.; Joe, I.H. Prediction of Standard Price Based on Multi-linear Regression and Its Regularized Models in Multiple Preliminary Prices of the Korea On-Line E-Procurement System (KONEPS). J. Korean. Inst. Commun. Inf. Sci. 2022, 47, 1576–1585. (In Korean) [Google Scholar]
- Dancey, C.P.; Reidy, J. Statistics Without Math for Psychology, 6th ed.; Pearson: New York, NY, USA, 2014. [Google Scholar]
- Schaefli, B.; Gupta, H.V. Do Nash Values Have Value? Hydrol. Process. 2007, 21, 2075–2080. [Google Scholar] [CrossRef]
- Zeng, J.; Asteris, P.G.; Mamou, A.P.; Mohammed, A.S.; Golias, E.A.; Armaghani, D.J.; Faizi, K.; Hasanipanah, M. The Effectiveness of Ensemble-Neural Network Techniques to Predict Peak Uplift Resistance of Buried Pipes in Reinforced Sand. Appl. Sci. 2021, 11, 908. [Google Scholar] [CrossRef]
Disclaimer/Publisher’s Note: The statements, opinions and data contained in all publications are solely those of the individual author(s) and contributor(s) and not of MDPI and/or the editor(s). MDPI and/or the editor(s) disclaim responsibility for any injury to people or property resulting from any ideas, methods, instructions or products referred to in the content. |
© 2023 by the authors. Licensee MDPI, Basel, Switzerland. This article is an open access article distributed under the terms and conditions of the Creative Commons Attribution (CC BY) license (https://creativecommons.org/licenses/by/4.0/).






















