Which Assessment of Coach-Created Motivational Climate Better Predicts Young Athletes’ Engagement over a Season? Athletes’ Perceptions and Match Observations Do
Abstract
1. Introduction
The Present Study
2. Materials and Methods
2.1. Participants
2.2. Measures
2.3. Procedure
2.4. Data Analysis
3. Results
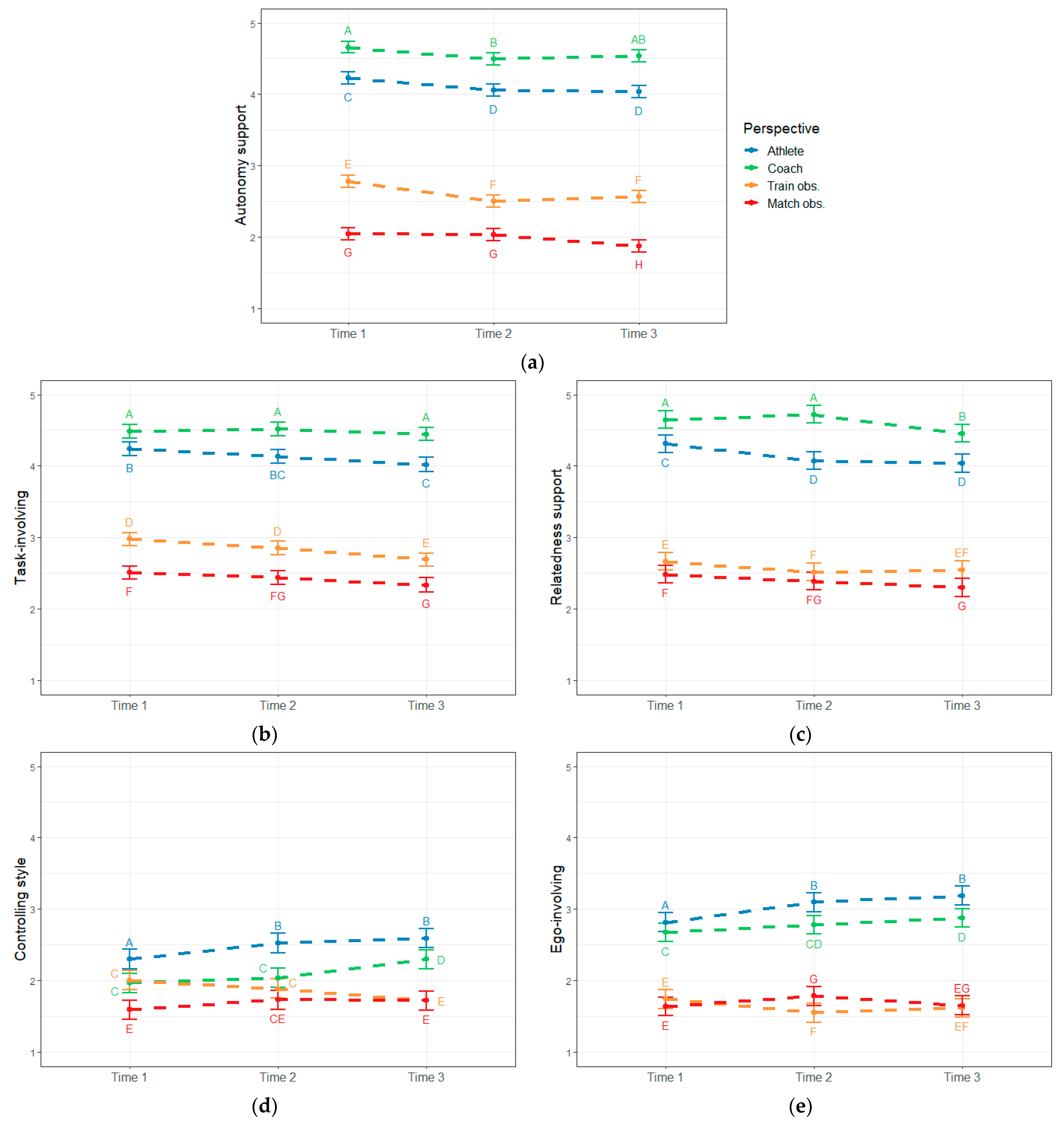
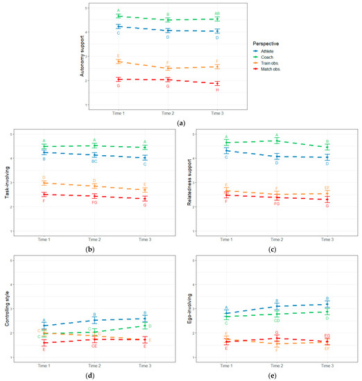
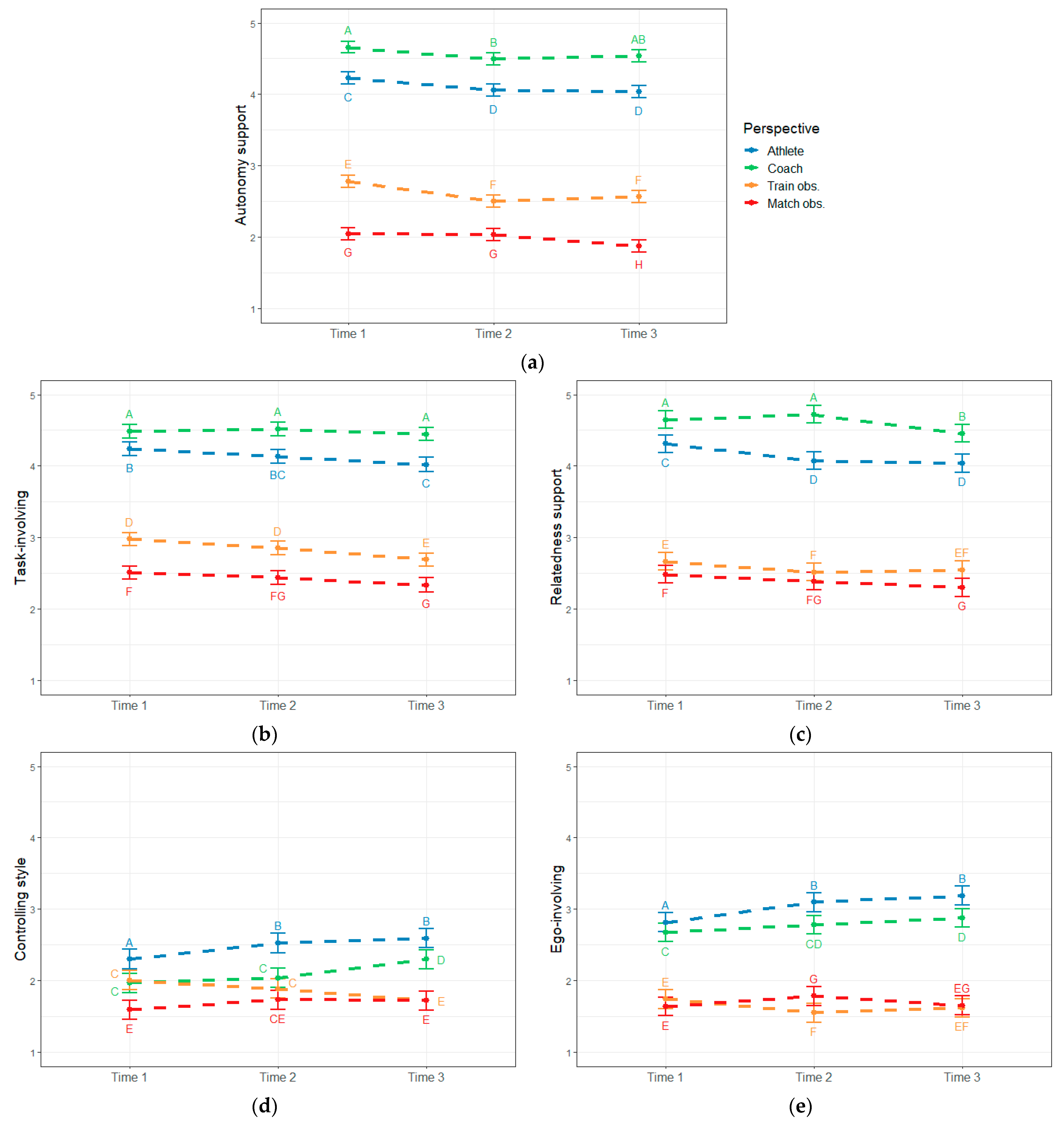
3.1. Descriptive Statistics, Internal Reliability, and Time and Perspective Differences
3.2. Multilevel Models of Environment Dimensions Predicting Athlete Engagement
4. Discussion
5. Conclusions and Practical Implications
Author Contributions
Funding
Institutional Review Board Statement
Informed Consent Statement
Data Availability Statement
Acknowledgments
Conflicts of Interest
References
- Corti, J.F.; Raimundi, M.J.; Celsi, I.; Alvarez, O.; Castillo, I. The Moderating Effect of Athletes’ Personal Values on the Relationship between Coaches’ Leadership Behaviors and the Personal and Social Skills of Young Basketball Players. Sustainability 2023, 15, 4554. [Google Scholar] [CrossRef]
- Lonsdale, C.; Hodge, K.; Raedeke, T.D. Athlete Engagement: I. A Qualitative Investigation of Relevance and Dimensions. Int. J. Sport Psychol. 2007, 38, 451–470. [Google Scholar]
- Lonsdale, C.; Hodge, K.; Jackson, S.A. Athlete Engagement: II. Development and Initial Validation of the Athlete Engagement Questionnaire. Int. J. Sport Psychol. 2007, 38, 471–492. [Google Scholar]
- Åkesdotter, C. Affect, Engagement and Reaction Time in Swedish Elite Athletes: A Randomized Control Study Regarding the Effects of a Self-Regulation Training Log. Master’s Thesis, Swedish School of Sport and Health Sciences, Stockholm, Sweden, 2013. [Google Scholar]
- Balk, Y.A.; de Jonge, J.; Geurts, S.A.E.; Oerlemans, W.G.M. Antecedents and Consequences of Perceived Autonomy Support in Elite Sport: A Diary Study Linking Coaches’ off-Job Recovery and Athletes’ Performance Satisfaction. Psychol. Sport Exerc. 2019, 44, 26–34. [Google Scholar] [CrossRef]
- Hodge, K.; Lonsdale, C.; Jackson, S.A. Athlete Engagement in Elite Sport: An Exploratory Investigation of Antecedents and Consequences. Sport Psychol. 2009, 23, 186–202. [Google Scholar] [CrossRef]
- Schmidt, V.; Molina, M.F.; Celsi, I.; Raimundi, M.J. Disfrute y realización personal a través del deporte como factores protectores del consumo de alcohol: El rol moderador del rasgo búsqueda de sensaciones impulsiva. Health Addict. Salud Drog. 2022, 22, 102–118. [Google Scholar] [CrossRef]
- Schmidt, V.; Celsi, I.; Molina, M.F.; Raimundi, M.J.; García-Arabehety, M.; Pérez-Gaido, M.; Iglesias, D.; Gonzalez, M.A. Engagement to Sports and Its Relationship with Alcohol Consumption in Adolescents and Young Adults. Cuad. Psicol. Deporte 2019, 19, 24–36. [Google Scholar] [CrossRef]
- Barbee, J. Association of Coach, Peer, and Parent-Initiated Motivational Climate with Burnout and Engagement. Master’s Thesis, East Carolina University, Greenville, NC, USA, 2020. [Google Scholar]
- De Muynck, G.-J.; Morbée, S.; Soenens, B.; Haerens, L.; Vermeulen, O.; Vande Broek, G.; Vansteenkiste, M. Do Both Coaches and Parents Contribute to Youth Soccer Players’ Motivation and Engagement? An Examination of Their Unique (de)Motivating Roles. Int. J. Sport Exerc. Psychol. 2020, 19, 761–779. [Google Scholar] [CrossRef]
- Lemelin, E.; Verner-Filion, J.; Carpentier, J.; Carbonneau, N.; Mageau, G.A. Autonomy Support in Sport Contexts: The Role of Parents and Coaches in the Promotion of Athlete Well-Being and Performance. Sport Exerc. Perform. Psychol. 2022, 11, 305–319. [Google Scholar] [CrossRef]
- Mossman, L.H.; Slemp, G.R.; Lewis, K.J.; Colla, R.H.; O’Halloran, P. Autonomy Support in Sport and Exercise Settings: A Systematic Review and Meta-Analysis. Int. Rev. Sport Exerc. Psychol. 2022, 15, 1–24. [Google Scholar] [CrossRef]
- Birr, C.; Hernandez-Mendo, A.; Monteiro, D.; Rosado, A. Empowering and Disempowering Motivational Coaching Climate: A Scoping Review. Sustainability 2023, 15, 2820. [Google Scholar] [CrossRef]
- Curran, T.; Hill, A.P.; Hall, H.K.; Jowett, G.E. Relationships Between the Coach-Created Motivational Climate and Athlete Engagement in Youth Sport. J. Sport Exerc. Psychol. 2015, 37, 193–198. [Google Scholar] [CrossRef] [PubMed]
- Raimundi, M.J.; Celsi, I.; Otero, C.; Schmidt, V.; Castillo, I. Compromiso e intención de abandono en adolescentes de selecciones nacionales argentinas: El papel de los agentes sociales y efectos del género. Suma Psicol. 2021, 28, 62–70. [Google Scholar] [CrossRef]
- Ryan, R.M.; Deci, E.L. Self-Determination Theory: Basic Psychological Needs in Motivation, Development, and Wellness; Guilford Press: New York, NY, USA, 2017; ISBN 978-1-4625-2876-9. [Google Scholar]
- Ames, C. Achievement goals, motivational climate, and motivational processes. In Achievement Goals, Motivational Climate, and Motivational Processes; Roberts, G.C., Ed.; Human Kinetics: Champaign, IL, USA, 1992; pp. 161–176. [Google Scholar]
- Nicholls, J.G. The Competitive Ethos and Democratic Education; Harvard University Press: Cambridge, MA, USA, 1989; ISBN 978-0-674-15417-9. [Google Scholar]
- Mageau, G.A.; Vallerand, R.J. The Coach–Athlete Relationship: A Motivational Model. J. Sports Sci. 2003, 21, 883–904. [Google Scholar] [CrossRef]
- Bartholomew, K.J.; Ntoumanis, N.; Thøgersen-Ntoumani, C. The Controlling Interpersonal Style in a Coaching Context: Development and Initial Validation of a Psychometric Scale. J. Sport Exerc. Psychol. 2010, 32, 193–216. [Google Scholar] [CrossRef]
- Gjesdal, S.; Stenling, A.; Solstad, B.E.; Ommundsen, Y. A Study of Coach-Team Perceptual Distance Concerning the Coach-Created Motivational Climate in Youth Sport. Scand. J. Med. Sci. Sports 2019, 29, 132–143. [Google Scholar] [CrossRef]
- Møllerløkken, N.E.; Lorås, H.; Pedersen, A.V. A Comparison of Players’ and Coaches’ Perceptions of the Coach-Created Motivational Climate within Youth Soccer Teams. Front. Psychol. 2017, 8, 109. [Google Scholar] [CrossRef]
- Rocchi, M.; Pelletier, L. The Antecedents of Coaches’ Interpersonal Behaviors: The Role of the Coaching Context, Coaches’ Psychological Needs, and Coaches’ Motivation. J. Sport Exerc. Psychol. 2017, 39, 366–378. [Google Scholar] [CrossRef]
- Rodrigues, F.; Pelletier, L.G.; Rocchi, M.; Neiva, H.P.; Teixeira, D.S.; Cid, L.; Silva, L.; Monteiro, D. Trainer-exerciser Relationship: The Congruency Effect on Exerciser Psychological Needs Using Response Surface Analysis. Scand. J. Med. Sci. Sports 2021, 31, 226–241. [Google Scholar] [CrossRef]
- Langdon, J.L.; Schlote, R.; Melton, B.; Tessier, D. Effectiveness of a Need Supportive Teaching Training Program on the Developmental Change Process of Graduate Teaching Assistants’ Created Motivational Climate. Psychol. Sport Exerc. 2017, 28, 11–23. [Google Scholar] [CrossRef]
- Boyce, B.A.; Gano-Overway, L.A.; Campbell, A.L. Perceived Motivational Climate’s Influence on Goal Orientations, Perceived Competence, and Practice Strategies across the Athletic Season. J. Appl. Sport Psychol. 2009, 21, 381–394. [Google Scholar] [CrossRef]
- Smith, N.; Tessier, D.; Tzioumakis, Y.; Fabra, P.; Quested, E.; Appleton, P.; Sarrazin, P.; Papaioannou, A.; Balaguer, I.; Duda, J.L. The Relationship between Observed and Perceived Assessments of the Coach-Created Motivational Environment and Links to Athlete Motivation. Psychol. Sport Exerc. 2016, 23, 51–63. [Google Scholar] [CrossRef]
- Smith, N.; Quested, E.; Appleton, P.R.; Duda, J.L. Observing the Coach-Created Motivational Environment across Training and Competition in Youth Sport. J. Sports Sci. 2016, 35, 149–158. [Google Scholar] [CrossRef] [PubMed]
- Balaguer, I.; González, L.; Fabra, P.; Castillo, I.; Mercé, J.; Duda, J.L. Coaches’ Interpersonal Style, Basic Psychological Needs and the Well-and Ill-Being of Young Soccer Players: A Longitudinal Analysis. J. Sports Sci. 2012, 30, 1619–1629. [Google Scholar] [CrossRef] [PubMed]
- Fabra, P.; González-García, L.; Castillo, I.; Duda, J.L.; Balaguer, I. Motivational Antecedents of Young Players’ Intentions to Drop Out of Football during a Season. Sustainability 2023, 15, 1750. [Google Scholar] [CrossRef]
- Quested, E.; Duda, J.L. Antecedents of Burnout among Elite Dancers: A Longitudinal Test of Basic Needs Theory. Psychol. Sport Exerc. 2011, 12, 159–167. [Google Scholar] [CrossRef]
- Fabra, P.; Castillo, I.; González-García, L.; Duda, J.L.; Balaguer, I. Changes in Drop Out Intentions: Implications of the Motivational Climate, Goal Orientations and Aspects of Self-Worth across a Youth Sport Season. Sustainability 2021, 13, 13850. [Google Scholar] [CrossRef]
- García-Calvo, T.; Leo, F.M.; Gonzalez-Ponce, I.; Sánchez-Miguel, P.A.; Mouratidis, A.; Ntoumanis, N. Perceived Coach-Created and Peer-Created Motivational Climates and Their Associations with Team Cohesion and Athlete Satisfaction: Evidence from a Longitudinal Study. J. Sports Sci. 2014, 32, 1738–1750. [Google Scholar] [CrossRef]
- Saotome, H.; Harada, K.; Nakamura, Y. The Relationship between Change in Perceived Motivational Climate and Change in Goal Orientations among Japanese Ice Hockey Players. Int. J. Sports Sci. Coach. 2012, 7, 81–88. [Google Scholar] [CrossRef]
- Duda, J.L. The Conceptual and Empirical Foundations of Empowering CoachingTM: Setting the Stage for the PAPA Project. Int. J. Sport Exerc. Psychol. 2013, 11, 311–318. [Google Scholar] [CrossRef]
- Smith, N.; Tessier, D.; Tzioumakis, Y.; Quested, E.; Appleton, P.; Sarrazin, P.; Papaioannou, A.; Duda, J.L. Development and Validation of the Multidimensional Motivational Climate Observation System. J. Sport Exerc. Psychol. 2015, 37, 4–22. [Google Scholar] [CrossRef]
- Duda, J.L.; Appleton, P.R. Empowering and disempowering coaching climates: Conceptualization, measurement considerations, and intervention implications. In Sport and Exercise Psychology Research: From Theory to Practice; Elsevier: Amsterdam, The Netherlands, 2016; pp. 373–388. ISBN 978-0-12-803634-1. [Google Scholar]
- Ntoumanis, N. A Self-Determination theory perspective on motivation in sport and physical education: Current trends and possible future research directions. In Advances in Motivation in Sport and Exercise; Roberts, G.C., Treasure, D.C., Eds.; Human Kinetics: Champaign, IL, USA, 2012; Volume 3, pp. 91–128. ISBN 978-0-7360-9081-0. [Google Scholar]
- Observatorio Social del Deporte Encuesta Nacional Sobre Actividad Física y Deporte 2021. Available online: https://repositorio.uca.edu.ar/handle/123456789/12060 (accessed on 10 December 2022).
- Vicejefatura de Gobierno—Subsecretaría de Deportes Listado con Ubicación Geográfica de Los Clubes de Barrio de La Ciudad. Available online: https://data.buenosaires.gob.ar/dataset/clubes (accessed on 3 June 2022).
- Ministerio de Educación Contenidos para el Nivel Medio. Educación Física. Available online: http://www.buenosaires.gob.ar/areas/educacion/curricula/pdf/media/ef_contenidos_nivel-medio.pdf (accessed on 3 June 2022).
- Appleton, P.R.; Ntoumanis, N.; Quested, E.; Viladrich, C.; Duda, J.L. Initial Validation of the Coach-Created Empowering and Disempowering Motivational Climate Questionnaire (EDMCQ-C). Psychol. Sport Exerc. 2016, 22, 53–65. [Google Scholar] [CrossRef]
- Solstad, B.E.; Stenling, A.; Ommundsen, Y.; Wold, B.; Heuzé, J.P.; Sarrazin, P.; Castillo, I.; Cruz, J.; Hall, H.; Papaioannou, A.; et al. Initial Psychometric Testing of the Coach-Adapted Version of the Empowering and Disempowering Motivational Climate Questionnaire: A Bayesian Approach. J. Sports Sci. 2020, 38, 626–643. [Google Scholar] [CrossRef]
- Raimundi, M.J.; Pérez-Gaido, M.; Celsi, I.; Castillo, I. Evaluación de los Estilos Interpersonales y Climas Motivacionales Creados por Entrenadores en Deporte Adolescente Argentino. Rev. Iberoam. Diagn. Eval. Aval. Psicol. 2022, 4, 163–178. [Google Scholar] [CrossRef]
- Fabra, P.; Balaguer, I.; Tomás, I.; Smith, N.; Duda, J.L. Versión española del Sistema de Observación del Clima Motivacional Multidimensional (MMCOS): Fiabilidad y evidencias de validez. Rev. Psicol. Deporte 2018, 27, 11–22. [Google Scholar]
- Fleiss, J. The Design and Analysis of Clinical Experiments; Wiley: New York, NY, USA, 1986; ISBN 978-0-471-34991-4. [Google Scholar]
- Raimundi, M.J.; Celsi, I.; Álvarez, O.; Schmidt, V. Engagement in Youth Sport: Validity and Reliability of the Athlete Engagement Questionnaire in Athletes from Argentina; National Council of Scientific and Technical Research (IPSIBAT-UNMDP): Mar Del Plata, Argentina, 2022. [Google Scholar]
- Heck, S.; Thomas, S.; Tabata, L. Multilevel and Longitudinal Modeling with IBM SPSS, 2nd ed.; Routledge: New York, NY, USA, 2013; ISBN 978-0-203-70124-9. [Google Scholar]
- Nakagawa, S.; Schielzeth, H. A General and Simple Method for Obtaining R2 from Generalized Linear Mixed-Effects Models. Methods Ecol. Evol. 2013, 4, 133–142. [Google Scholar] [CrossRef]
- Tessier, D.; Smith, N.; Tzioumakis, Y.; Quested, E.; Sarrazin, P.; Papaioannou, A.; Digelidis, N.; Duda, J.L. Comparing the Objective Motivational Climate Created by Grassroots Soccer Coaches in England, Greece and France. Int. J. Sport Exerc. Psychol. 2013, 11, 365–383. [Google Scholar] [CrossRef]
- De Meyer, J.; Tallir, I.B.; Soenens, B.; Vansteenkiste, M.; Aelterman, N.; van den Berghe, L.; Speleers, L.; Haerens, L. Does Observed Controlling Teaching Behavior Relate to Students’ Motivation in Physical Education? J. Educ. Psychol. 2014, 106, 541–554. [Google Scholar] [CrossRef]
- Stephen, S.A.; Habeeb, C.M.; Arthur, C.A. Congruence of Efficacy Beliefs on the Coach-Athlete Relationship and Athlete Anxiety: Athlete Self-Efficacy and Coach Estimation of Athlete Self-Efficacy. Psychol. Sport Exerc. 2022, 58, 102062. [Google Scholar] [CrossRef]
- Solstad, B.E.; Granerud, M.; Haraldsen, H.M.; Gustafsson, H.; Knight, C.J. An Exploration of Reciprocity between Female Athletes and Their Coach in Elite Junior Swimming: A Shared Reality Theory Perspective. Qual. Res. Sport Exerc. Health 2022, 14, 545–563. [Google Scholar] [CrossRef]
- Balaguer, I.; Castillo, I.; Cuevas, R.; Atienza, F. The Importance of Coaches’ Autonomy Support in the Leisure Experience and Well-Being of Young Footballers. Front. Psychol. 2018, 9, 840. [Google Scholar] [CrossRef]
- Corti, J.; Sarries, S.; Gonsebatte, B.D.; Raimundi, M.J. Usos y Contenidos de Los Tiempos Muertos En Deporte Formativo. Manuscr. Prep. 2022. preparation. [Google Scholar]
- Lorenzo, J.; Navarro, R.; Rivilla, J.; Lorenzo, A. The analysis of the basketball coach speech during the moments of game and pause in relation to the performance in competition. Rev. Psicol. Deporte 2013, 22, 227–230. [Google Scholar]
- Van de Pol, P.K.C.; Kavussanu, M.; Kompier, M. Autonomy Support and Motivational Responses across Training and Competition in Individual and Team Sports: Autonomy Support across Contexts and Sport Types. J. Appl. Soc. Psychol. 2015, 45, 697–710. [Google Scholar] [CrossRef]
- Balaguer, I.; Duda, J.L.; Castillo, I.; Moreno, Y.; Crespo, M. Interacciones entre las perspectivas situacionales y disposicionales de meta y el burnout psicológico de los tenistas junior de la elite internacional. Acción Psicol. 2009, 6, 63–75. [Google Scholar] [CrossRef]
- Morales-Belando, M.T.; Côté, J.; Arias-Estero, J.L. A Longitudinal Examination of the Influence of Winning or Losing with Motivational Climate as a Mediator on Enjoyment, Perceived Competence, and Intention to Be Physically Active in Youth Basketball. Phys. Educ. Sport Pedagog. 2021, 26, 1–14. [Google Scholar] [CrossRef]
- LaVoi, N.M.; McGarry, J.E.; Fisher, L.A. Final Thoughts on Women in Sport Coaching: Fighting the War. Women Sport Phys. Act. J. 2019, 27, 136–140. [Google Scholar] [CrossRef]
- Leiter, E.; Raimundi, M.J.; Todarello, F. Las actitudes sexistas ambivalentes de entrenadores y entrenadoras y su relación con la percepción del clima motivacional que crean en sus equipos deportivos. Educ. Física Cienc. 2021, 23, e162. [Google Scholar] [CrossRef]
- Koh, K.T.; Wang, C.K.J. Gender and Type of Sport Differences on Perceived Coaching Behaviours, Achievement Goal Orientations and Life Aspirations of Youth Olympic Games Singaporean Athletes. Int. J. Sport Exerc. Psychol. 2015, 13, 91–103. [Google Scholar] [CrossRef]
- Morales-Sánchez, V.; Caballero-Cerbán, M.; Postigo-Martín, C.; Morillo-Baro, J.P.; Hernández-Mendo, A.; Reigal, R.E. Perceived Motivational Climate Determines Self-Confidence and Precompetitive Anxiety in Young Soccer Players: Analysis by Gender. Sustainability 2022, 14, 15673. [Google Scholar] [CrossRef]
- Walton, C.C.; Gwyther, K.; Gao, C.X.; Purcell, R.; Rice, S.M. Evidence of Gender Imbalance across Samples in Sport and Exercise Psychology. Int. Rev. Sport Exerc. Psychol. 2022, 15, 1–19. [Google Scholar] [CrossRef]
- Raimundi, M.J.; Schmidt, V.I.; Hernández Mendo, A. Estudio exploratorio acerca de las fortalezas humanas en deportistas adolescentes de Selecciones Nacionales Argentinas: Comparación con adolescentes de diferentes niveles de práctica. Rev. Iberoam. Psicol. Ejerc. Deporte 2018, 13, 101–110. [Google Scholar]

| Time 1 | Time 2 | Time 3 | ||||||||
|---|---|---|---|---|---|---|---|---|---|---|
| M | SD | R | M | SD | R | M | SD | R | ||
| Athlete | Engagement | 4.21 | 0.49 | 0.88 | 4.08 | 0.56 | 0.91 | 3.97 | 0.63 | 0.93 |
| Autonomy support | 4.24 | 0.56 | 0.54 | 4.07 | 0.66 | 0.60 | 4.06 | 0.71 | 0.71 | |
| Task-involving | 4.24 | 0.53 | 0.73 | 4.14 | 0.62 | 0.82 | 4.04 | 0.63 | 0.83 | |
| Relatedness support | 4.27 | 0.70 | 0.57 | 4.05 | 0.85 | 0.74 | 4.05 | 0.81 | 0.69 | |
| Controlling style | 2.33 | 0.75 | 0.55 | 2.54 | 0.78 | 0.53 | 2.61 | 0.78 | 0.58 | |
| Ego-involving | 2.83 | 0.77 | 0.71 | 3.10 | 0.79 | 0.70 | 3.18 | 0.76 | 0.70 | |
| Coach | Autonomy support | 4.67 | 0.34 | 0.51 | 4.51 | 0.42 | 0.60 | 4.56 | 0.36 | 0.57 |
| Task-involving | 4.49 | 0.40 | 0.69 | 4.53 | 0.40 | 0.80 | 4.45 | 0.47 | 0.78 | |
| Relatedness support | 4.62 | 0.50 | 0.68 | 4.70 | 0.41 | 0.55 | 4.43 | 0.47 | 0.37 | |
| Controlling style | 2.00 | 0.76 | 0.48 | 2.06 | 0.75 | 0.69 | 2.31 | 0.86 | 0.72 | |
| Ego-involving | 2.68 | 0.78 | 0.75 | 2.79 | 0.92 | 0.87 | 2.88 | 0.75 | 0.78 | |
| Training observation | Autonomy support | 2.79 | 0.77 | 0.64 | 2.50 | 0.73 | 0.58 | 2.57 | 0.80 | 0.69 |
| Task-involving | 2.98 | 0.76 | 0.59 | 2.86 | 0.76 | 0.63 | 2.70 | 0.93 | 0.60 | |
| Relatedness support | 2.64 | 0.74 | 0.62 | 2.48 | 0.87 | 0.68 | 2.52 | 0.73 | 0.67 | |
| Controlling style | 2.04 | 1.01 | 0.82 | 1.92 | 1.03 | 0.78 | 1.73 | 0.86 | 0.81 | |
| Ego-involving | 1.75 | 0.68 | 0.71 | 1.57 | 0.43 | 0.59 | 1.62 | 0.54 | 0.66 | |
| Relatedness thwarting | 0.89 | 0.67 | 0.76 | 0.77 | 0.63 | 0.79 | 0.79 | 0.68 | 0.82 | |
| Structure | 2.37 | 0.51 | 0.66 | 2.26 | 0.52 | 0.71 | 2.26 | 0.47 | 0.59 | |
| Match observation | Autonomy support | 2.05 | 0.66 | 0.67 | 2.03 | 0.75 | 0.80 | 1.90 | 0.62 | 0.65 |
| Task-involving | 2.50 | 0.73 | 0.73 | 2.43 | 0.85 | 0.71 | 2.36 | 0.71 | 0.69 | |
| Relatedness support | 2.44 | 0.78 | 0.77 | 2.37 | 0.80 | 0.80 | 2.29 | 0.72 | 0.74 | |
| Controlling style | 1.64 | 0.51 | 0.70 | 1.70 | 0.49 | 0.63 | 1.70 | 0.63 | 0.53 | |
| Ego-involving | 1.66 | 0.69 | 0.67 | 1.76 | 0.57 | 0.70 | 1.65 | 0.55 | 0.49 | |
| Relatedness thwarting | 0.61 | 0.49 | 0.74 | 0.80 | 0.45 | 0.79 | 0.68 | 0.46 | 0.68 | |
| Structure | 1.76 | 0.54 | 0.79 | 1.79 | 0.58 | 0.78 | 1.94 | 0.52 | 0.77 | |
| Autonomy Support | Task-Involving | Relatedness Support | Controlling Style | Ego-Involving | |
|---|---|---|---|---|---|
| Time 1 | |||||
| Athlete–Coach | −0.43 (0.03) *** | −0.24 (0.04) *** | −0.33 (0.04) *** | 0.33 (0.04) *** | 0.14 (0.04) * |
| Athlete–Training | 1.44 (0.03) *** | 1.25 (0.04) *** | 1.64 (0.04) *** | 0.29 (0.04) *** | 1.07 (0.04) *** |
| Athlete–Match | 2.17 (0.03) *** | 1.72 (0.04) *** | 1.82 (0.04) *** | 0.70 (0.04) *** | 1.17 (0.04) *** |
| Coach–Training | 1.87 (0.03) *** | 1.50 (0.03) *** | 1.98 (0.03) *** | −0.03 (0.04) | 0.93 (0.03) *** |
| Coach–Match | 2.61 (0.03) *** | 1.97 (0.03) *** | 2.16 (0.03) *** | 0.37 (0.04) *** | 1.03 (0.03) *** |
| Training–Match | 0.73 (0.03) *** | 0.46 (0.03) *** | 0.17 (0.03) *** | 0.40 (0.04) *** | 0.10 (0.04) |
| Time 2 | |||||
| Athlete–Coach | −0.44 (0.03) *** | −0.38 (0.04) *** | −0.64 (0.04) *** | 0.48 (0.04) *** | 0.31 (0.04) *** |
| Athlete–Training | 1.55 (0.04) *** | 1.28 (0.04) *** | 1.55 (0.04) *** | 0.63 (0.04) *** | 1.54 (0.04) *** |
| Athlete–Match | 2.02 (0.04) *** | 1.69 (0.04) *** | 1.68 (0.04) *** | 0.79 (0.04) *** | 1.30 (0.04) *** |
| Coach–Training | 1.99 (0.03) *** | 1.66 (0.03) *** | 2.20 (0.04) *** | 0.14 (0.04) Ϯ | 1.22 (0.04) *** |
| Coach–Match | 2.46 (0.03) *** | 2.07 (0.04) *** | 2.33 (0.04) *** | 0.30 (0.04) *** | 0.98 (0.04) *** |
| Training–Match | 0.46 (0.03) *** | 0.40 (0.04) *** | 0.12 (0.04) | 0.15 (0.04) Ϯ | −0.23 (0.04) *** |
| Time 3 | |||||
| Athlete–Coach | −0.50 (0.04) *** | −0.42 (0.04) *** | −0.41 (0.04) *** | 0.29 (0.04) *** | 0.31 (0.04) *** |
| Athlete–Training | 1.47 (0.04) *** | 1.33 (0.04) *** | 1.49 (0.04) *** | 0.87 (0.04) *** | 1.56 (0.04) *** |
| Athlete–Match | 2.16 (0.04) *** | 1.68 (0.04) *** | 1.74 (0.04) *** | 0.87 (0.05) *** | 1.53 (0.04) *** |
| Coach–Training | 1.97 (0.03) *** | 1.75 (0.03) *** | 1.90 (0.03) *** | 0.57 (0.04) *** | 1.25 (0.03) *** |
| Coach–Match | 2.66 (0.03) *** | 2.10 (0.04) *** | 2.15 (0.04) *** | 0.57 (0.04) *** | 1.22 (0.04) *** |
| Training–Match | 0.68 (0.03) *** | 0.35 (0.04) *** | 0.24 (0.04) *** | −0.01 (0.04) | −0.03 (0.04) |
| Autonomy Support | Task-Involving | Relatedness Support | Controlling Style | Ego-Involving | |
|---|---|---|---|---|---|
| Athletes | |||||
| T1–T2 | 0.17 (0.04) ** | 0.10 (0.04) | 0.23 (0.04) *** | −0.22 (0.04) *** | −0.28 (0.04) *** |
| T1–T3 | 0.19 (0.04) ** | 0.21 (0.04) *** | 0.26 (0.04) *** | −0.29 (0.05) *** | −0.37 (0.04) *** |
| T2–T3 | 0.02 (0.04) | 0.11 (0.04) | 0.03 (0.04) | −0.06 (0.04) | −0.09 (0.04) |
| Coaches | |||||
| T1–T2 | 0.16 (0.03) ** | −0.03 (0.03) | −0.07 (0.04) | −0.06 (0.04) | −0.10 (0.03) |
| T1–T3 | 0.12 (0.03) Ϯ | 0.04 (0.03) | 0.19 (0.03) *** | −0.33 (0.04) *** | −0.20 (0.03) *** |
| T2–T3 | −0.04 (0.03) | 0.07 (0.03) | 0.26 (0.03) *** | −0.26 (0.04) *** | −0.09 (0.03) |
| Training | |||||
| T1–T2 | 0.28 (0.03) *** | 0.12 (0.03) | 0.14 (0.04) * | 0.11 (0.04) | 0.19 (0.04) *** |
| T1–T3 | 0.21 (0.03) *** | 0.28 (0.03) *** | 0.11 (0.03) | 0.28 (0.04) *** | 0.11 (0.04) |
| T2–T3 | −0.06 (0.03) | 0.02 (0.04) ** | −0.03 (0.04) | 0.16 (0.04) * | −0.07 (0.04) |
| Match | |||||
| T1–T2 | 0.01 (0.03) | 0.06 (0.04) | 0.09 (0.04) | −0.13 (0.04) | −0.14 (0.04) * |
| T1–T3 | 0.17 (0.03) ** | 0.17 (0.04) ** | 0.18 (0.04) ** | −0.12 (0.04) | −0.01 (0.04) |
| T2–T3 | 0.15 (0.04) ** | 0.10 (0.04) | 0.08 (0.04) | 0.01 (0.04) | 0.13 (0.04) |
| β (SE) | ||||||
|---|---|---|---|---|---|---|
| Fixed Effects | Model 1 | Model 2 | Model 3 | Model 4 | Model 5 | |
| (Intercept) | 4.08 (0.05) *** | 4.08 (0.06) *** | 4.06 (0.07) *** | 4.09 (0.06) *** | 2.89 (0.38) *** | |
| Athlete | Autonomy support | 0.09 (0.02) *** | - | - | - | 0.16 (0.03) *** |
| Task-involving | 0.12 (0.02) *** | - | - | - | 0.15 (0.04) *** | |
| Relatedness support | −0.01 (0.02) | - | - | - | 0.00 (0.03) | |
| Controlling style | −0.01 (0.02) | - | - | - | −0.01 (0.02) | |
| Ego-involving | 0.00 (0.02) | - | - | - | 0.00 (0.02) | |
| Coach | Autonomy support | - | −0.00 (0.02) | - | - | −0.09 (0.06) |
| Task-involving | - | −0.01 (0.02) | - | - | 0.07 (0.06) | |
| Relatedness support | - | 0.01 (0.02) | - | - | 0.03 (0.05) | |
| Controlling style | - | −0.01 (0.02) | - | - | −0.01 (0.03) | |
| Ego-involving | - | 0.04 (0.02) | - | - | 0.06 (0.04) | |
| Training observation | Autonomy support | - | - | −0.03 (0.03) | - | −0.05 (0.05) |
| Task-involving | - | - | 0.01 (0.03) | - | 0.00 (0.04) | |
| Relatedness support | - | - | −0.00 (0.02) | - | 0.02 (0.04) | |
| Controlling style | - | - | 0.02 (0.03) | - | 0.01 (0.05) | |
| Ego-involving | - | - | −0.03 (0.02) | - | −0.06 (0.06) | |
| Relatedness thwarting | - | - | −0.02 (0.03) | - | −0.01 (0.05) | |
| Structure | - | - | −0.01 (0.02) | - | −0.08 (0.05) | |
| Match observation | Autonomy support | - | - | - | −0.01 (0.03) | −0.02 (0.05) |
| Task-involving | - | - | - | 0.07 (0.03) * | 0.16 (0.05) *** | |
| Relatedness support | - | - | - | −0.07 (0.02) ** | −0.16 (0.05) *** | |
| Controlling style | - | - | - | -0.02 (0.02) | −0.07 (0.06) | |
| Ego-involving | - | - | - | -0.04 (0.02) | −0.10 (0.05) Ϯ | |
| Relatedness thwarting | - | - | - | 0.02 (0.03) | 0.09 (0.06) | |
| Structure | - | - | - | 0.01 (0.02) | 0.03 (0.04) | |
| Random effects | ||||||
| Residual | 0.18 (0.42) | 0.19 (0.44) | 0.19 (0.43) | 0.19 (0.43) | 0.18 (0.42) | |
| ID Athlete | 0.08 (0.28) | 0.09 (0.31) | 0.10 (0.31) | 0.08 (0.29) | 0.07 (0.26) | |
| Time | 0.01 (0.07) | 0.01 (0.10) | 0.01 (0.11) | 0.01 (0.08) | 0.01 (0.09) | |
| Team | 0.02 (0.13) | 0.03 (0.16) | 0.02 (0.16) | 0.02 (0.15) | 0.01 (0.11) | |
| Overall model test | ||||||
| R2 | 0.12 | 0.01 | 0.01 | 0.02 | 0.13 | |
| AIC | 1779.00 | 1983.00 | 1954.30 | 1738.90 | 1670.50 | |
| BIC | 1824.90 | 2028.90 | 2010.20 | 1793.80 | 1814.84 | |
| −2LL | 1761.00 | 1965.00 | 1932.30 | 1716.90 | 1613.00 | |
Disclaimer/Publisher’s Note: The statements, opinions and data contained in all publications are solely those of the individual author(s) and contributor(s) and not of MDPI and/or the editor(s). MDPI and/or the editor(s) disclaim responsibility for any injury to people or property resulting from any ideas, methods, instructions or products referred to in the content. |
© 2023 by the authors. Licensee MDPI, Basel, Switzerland. This article is an open access article distributed under the terms and conditions of the Creative Commons Attribution (CC BY) license (https://creativecommons.org/licenses/by/4.0/).
Share and Cite
Raimundi, M.J.; Corti, J.F.; Pérez-Gaido, M.; Alvarez, O.; Castillo, I. Which Assessment of Coach-Created Motivational Climate Better Predicts Young Athletes’ Engagement over a Season? Athletes’ Perceptions and Match Observations Do. Sustainability 2023, 15, 5179. https://doi.org/10.3390/su15065179
Raimundi MJ, Corti JF, Pérez-Gaido M, Alvarez O, Castillo I. Which Assessment of Coach-Created Motivational Climate Better Predicts Young Athletes’ Engagement over a Season? Athletes’ Perceptions and Match Observations Do. Sustainability. 2023; 15(6):5179. https://doi.org/10.3390/su15065179
Chicago/Turabian StyleRaimundi, María Julia, Juan Facundo Corti, Mauro Pérez-Gaido, Octavio Alvarez, and Isabel Castillo. 2023. "Which Assessment of Coach-Created Motivational Climate Better Predicts Young Athletes’ Engagement over a Season? Athletes’ Perceptions and Match Observations Do" Sustainability 15, no. 6: 5179. https://doi.org/10.3390/su15065179
APA StyleRaimundi, M. J., Corti, J. F., Pérez-Gaido, M., Alvarez, O., & Castillo, I. (2023). Which Assessment of Coach-Created Motivational Climate Better Predicts Young Athletes’ Engagement over a Season? Athletes’ Perceptions and Match Observations Do. Sustainability, 15(6), 5179. https://doi.org/10.3390/su15065179

