Influence of Pastoral Settlements Gradient on Vegetation Dynamics and Nutritional Characteristics in Arid Rangelands
Abstract
1. Introduction
2. Materials and Methods
2.1. Site Description & Environmental Conditions
Range Resources and Pastoral Settlements of Thal Desert
2.2. Site Selection and Vegetation Sampling
2.3. Biodiversity Analysis
2.3.1. Vegetation Palatability Preference
2.3.2. Vegetation Cover Determination
2.4. Forage Quality: Sample Preparation and Analysis
2.5. Statistical Analysis:
3. Results
3.1. Floral Characteristics:
3.2. Family Distribution
3.3. Near Pastoral Settlements
3.4. Away from Pastoral Settlements
3.5. Far from Pastoral Settlements
3.6. Biodiversity Analysis
3.7. Biomass Distribution
3.8. Vegetation Cover
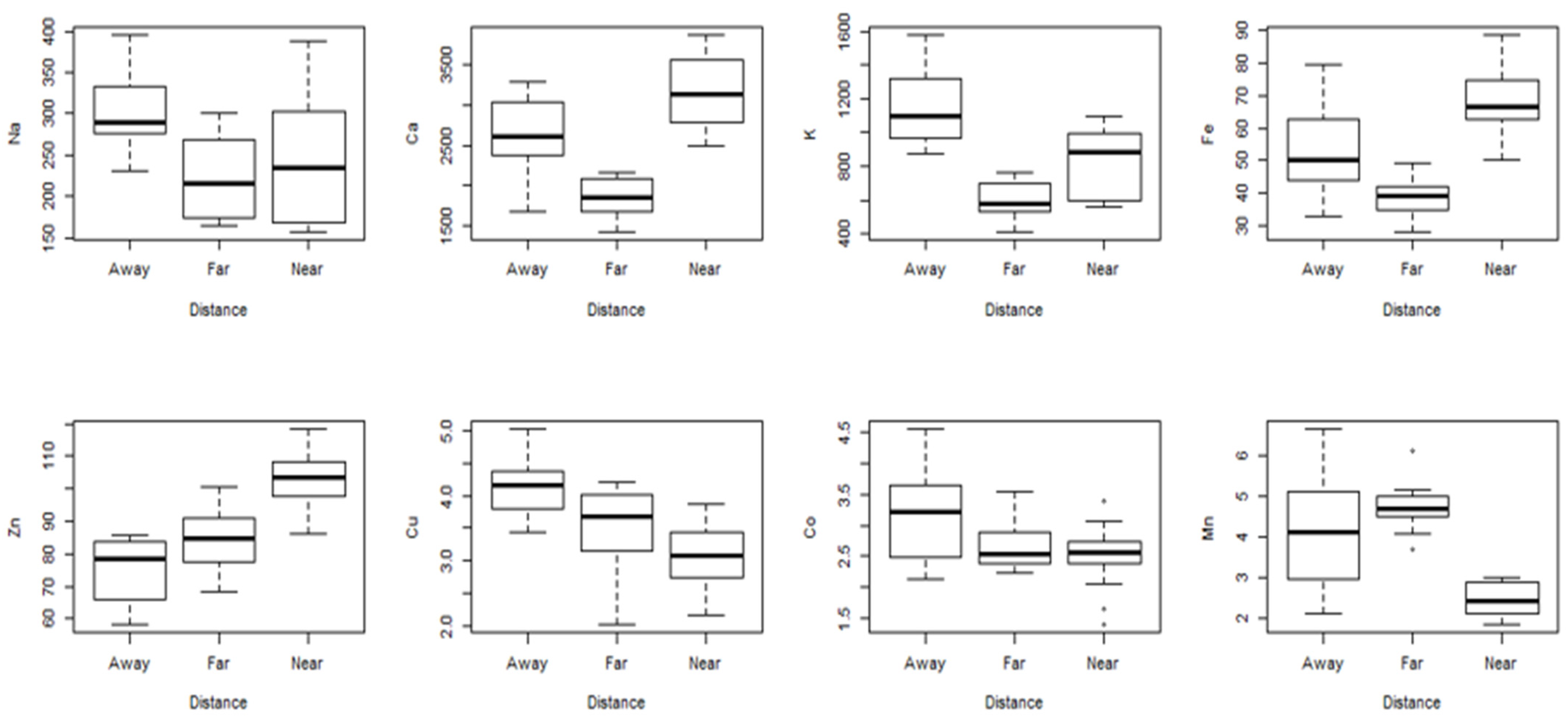
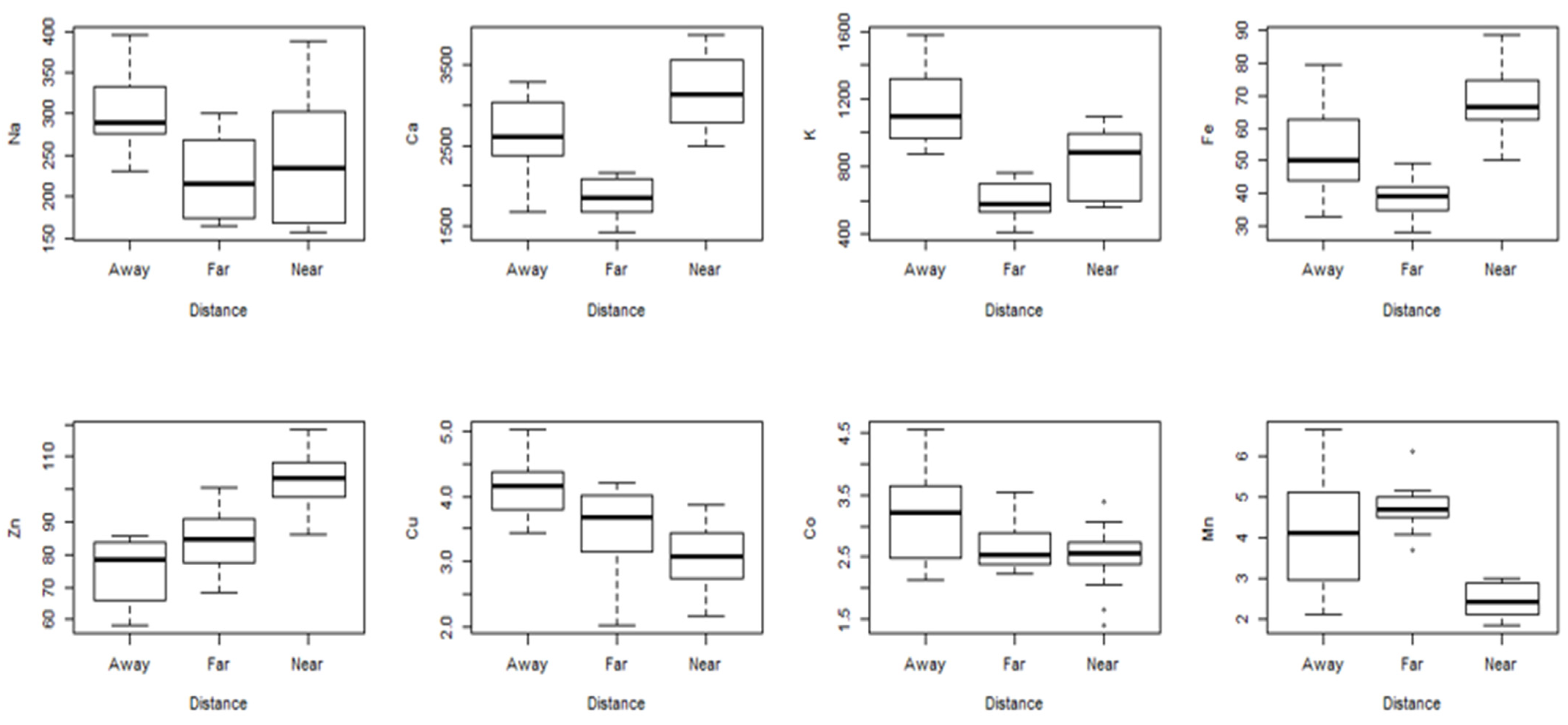
3.9. Nutrient Characteristics
4. Discussion
5. Conclusions
Author Contributions
Funding
Conflicts of Interest
References
- Filho, W.L.; Taddese, H.; Balehegn, M.; Nzengya, D.; Debela, N.; Abayineh, A.; Mworozi, E.; Osei, S.; Ayal, D.Y.; Nagy, G.J. Introducing experiences from African pastoralist communities to cope with climate change risks, hazards and extremes: Fostering poverty reduction. Int. J. Disaster Risk Reduct. 2020, 50, 101738. [Google Scholar] [CrossRef]
- Ricciardi, V.; Ramankutty, N.; Mehrabi, Z.; Jarvis, L.; Chookolingo, B. How much of the world’s food do smallholders produce? Glob. Food Sec. 2018, 17, 64–72. [Google Scholar] [CrossRef]
- Otte, J.; Pica-Ciamarra, U.; Morzaria, S. A comparative overview of the livestock-environment interactions in Asia and Sub-Saharan Africa. Front. Vet. Sci. 2019, 6, 37. [Google Scholar] [CrossRef] [PubMed]
- Reid, R.S.; Fernández-Giménez, M.E.; Galvin, K.A. Dynamics and resilience of rangelands and pastoral peoples around the globe. Annu. Rev. Environ. Resour. 2014, 39, 217–242. [Google Scholar] [CrossRef]
- Holechek, J.L.; Cibils, A.F.; Bengaly, K.; Kinyamario, J.I. Human population growth, African pastoralism, and rangelands: A perspective. Rangel. Ecol. Manag. 2017, 70, 273–280. [Google Scholar] [CrossRef]
- Enahoro, D.; Mason-D’Croz, D.; Mul, M.; Rich, K.M.; Robinson, T.P.; Thornton, P.; Staal, S.S. Supporting sustainable expansion of livestock production in South Asia and Sub-Saharan Africa: Scenario analysis of investment options. Glob. Food Sec. 2019, 20, 114–121. [Google Scholar] [CrossRef]
- Little, P.D. The social context of land degradation (“desertification”) in dry regions. In Population and Environment; Routledge: Oxford, UK, 2019; pp. 209–251. ISBN 0429302606. [Google Scholar]
- Fernandez-Gimenez, M.E.; Le Febre, S. Mobility in pastoral systems: Dynamic flux or downward trend? Int. J. Sustain. Dev. World Ecol. 2006, 13, 341–362. [Google Scholar] [CrossRef]
- Na, Y.; Bao, S.; Hashimoto, K.; McCarthy, C.; Hoshino, B. The effects of grazing systems on plant communities in steppe lands—A case study from Mongolia’s pastoralists and inner mongolian settlement areas. Land 2018, 7, 10. [Google Scholar] [CrossRef]
- Entezari Zarch, A.; Ahmadi, H.; Moeini, A.; Pazira, E. Impacts of environmental and human factors on desertification-induced land degradation in arid areas. Arab. J. Geosci. 2021, 14, 1–12. [Google Scholar] [CrossRef]
- Martínez-Valderrama, J.; Ibáñez, J.; Del Barrio, G.; Alcalá, F.J.; Sanjuán, M.E.; Ruiz, A.; Hirche, A.; Puigdefábregas, J. Doomed to collapse: Why Algerian steppe rangelands are overgrazed and some lessons to help land-use transitions. Sci. Total Environ. 2018, 613, 1489–1497. [Google Scholar] [CrossRef]
- Mor-Mussery, A.; Abu-Glaion, H.; Shuker, S.; Zaady, E. The influence of trampling by small ruminants on soil fertility in semi-arid rangelands. Arid L. Res. Manag. 2021, 35, 189–197. [Google Scholar] [CrossRef]
- Oñatibia, G.R.; Amengual, G.; Boyero, L.; Aguiar, M.R. Aridity exacerbates grazing-induced rangeland degradation: A population approach for dominant grasses. J. Appl. Ecol. 2020, 57, 1999–2009. [Google Scholar] [CrossRef]
- Coppock, D.L. The Borana plateau of southern Ethiopia: Synthesis of pastoral research, development and change. Int. Livest. Cent. Afr. Addis Ababa 1994, 374, 1. [Google Scholar]
- Coppock, D.L. Pastoral system dynamics and environmental change on Ethiopia’s north-central Borana Plateau—Influences of livestock development and policy. In Pastoral System Dynamics and Environmental Change on Ethiopia’s North-Central Borana Plateau—Influences of Livestock Development and Policy; Springer: Berlin/Heidelberg, Germany, 2016; pp. 327–362. [Google Scholar]
- Coppolillo, P.B. Central-place analysis and modeling of landscape-scale resource use in an East African agropastoral system. Landsc. Ecol. 2001, 16, 205–219. [Google Scholar] [CrossRef]
- Liao, C.; Clark, P.E.; DeGloria, S.D.; Barrett, C.B. Complexity in the spatial utilization of rangelands: Pastoral mobility in the Horn of Africa. Appl. Geogr. 2017, 86, 208–219. [Google Scholar] [CrossRef]
- Homewood, K.M.; Rodgers, W.A. Maasailand Ecology: Pastoralist Development and Wildlife Conservation in Ngorongoro, Tanzania; Cambridge University Press: Cambridge, UK, 1991; ISBN 0521400023. [Google Scholar]
- Spencer, P. Nomads in Alliance: Symbiosis and Growth among the Rendille and Samburu of Kenya; Oxford University Press: Oxford, UK, 2012; ISBN 0197135765. [Google Scholar]
- Western, D. Water availability and its influence on the structure and dynamics of a savannah large mammal community. Afr. J. Ecol. 1975, 13, 265–286. [Google Scholar] [CrossRef]
- Jamil, A.; Zubair, M.; Manzoor, S.A.; Wali Muhammad, M.; Yasin, G.; Ur Rahman, S.; Alzain, M.N.; Alqarawi, A.A.; Abd_Allah, E.F. Impact of Human Settlements on Diversity of Range Vegetation. Sustainability 2022, 14, 519. [Google Scholar] [CrossRef]
- Koc, A.; Güllap, M.K.; Sürmen, M.; Erkovan, H.I. Changes in some vegetation properties of the rangelands of the Palandöken Mountains, Erzurum, over two decades. Turk. J. Agric. For. 2020, 44, 589–598. [Google Scholar] [CrossRef]
- He, M.; Zhou, G.; Yuan, T.; van Groenigen, K.J.; Shao, J.; Zhou, X. Grazing intensity significantly changes the C: N: P stoichiometry in grassland ecosystems. Glob. Ecol. Biogeogr. 2020, 29, 355–369. [Google Scholar] [CrossRef]
- Yang, Z.; Zhu, Q.; Zhan, W.; Xu, Y.; Zhu, E.; Gao, Y.; Li, S.; Zheng, Q.; Zhu, D.; He, Y. The linkage between vegetation and soil nutrients and their variation under different grazing intensities in an alpine meadow on the eastern Qinghai-Tibetan Plateau. Ecol. Eng. 2018, 110, 128–136. [Google Scholar] [CrossRef]
- Qasim, S.; Shrestha, R.P.; Qasim, M. A national review of land degradation in Pakistan. Curr. Polit. Econ. South Southeast. Cent. Asia 2017, 26, 91–108. [Google Scholar]
- Malaviya, D.R.; Roy, A.K.; Kaushal, P. Rangelands/Grasslands of India: Current status and future prospects. In Grasslands of the World; Taylor & Francis: Abingdon, UK, 2018; pp. 235–252. [Google Scholar]
- Ates, S.; Hassan, S.; Soofizada, Q.; Biradar, C.; Esmati, H.; Louhaichi, M. The Status of Forage Production in Afghanistan; Internatonal Center for Agricultural Research in the Dry Areas (ICARDA): Amman, Jordan, 2018. [Google Scholar]
- Bolo, P.O.; Sommer, R.; Kihara, J.; Kinyua, M.; Nyawira, S.; Notenbaert, A. Rangeland Degradation: Causes, Consequences, Monitoring Techniques and Remedies; CIAT Publication: Nairobi, Kenya, 2019. [Google Scholar]
- Getabalew, M.; Alemneh, T. Factors affecting the productivity of rangelands. MedPub J. 2019, 3, 19. [Google Scholar]
- Sankey, J.B.; Sankey, T.T.; Li, J.; Ravi, S.; Wang, G.; Caster, J.; Kasprak, A. Quantifying plant-soil-nutrient dynamics in rangelands: Fusion of UAV hyperspectral-LiDAR, UAV multispectral-photogrammetry, and ground-based LiDAR-digital photography in a shrub-encroached desert grassland. Remote Sens. Environ. 2021, 253, 112223. [Google Scholar] [CrossRef]
- Wang, Y.; Li, Y. Promotion of degraded land consolidation to rural poverty alleviation in the agro-pastoral transition zone of northern China. Land Use Policy 2019, 88, 104114. [Google Scholar] [CrossRef]
- Abdulahi, M.M.; Hashim, H.; Teha, M. Rangeland degradation: Extent, impacts, and alternative restoration techniques in the rangelands of Ethiopia. Trop. Subtrop. Agroecosystems 2016, 19, 305–318. [Google Scholar]
- Karami, P.; Bandak, I.; Gorgin Karaji, M. Comparing the effects of continuous grazing and long term exclosure on floristic composition and plant diversity in rangeland ecosystems of Saral, Iran. Int. J. Environ. Sci. Technol. 2019, 16, 7769–7776. [Google Scholar] [CrossRef]
- Sasaki, T.; Okayasu, T.; Jamsran, U.; Takeuchi, K. Threshold changes in vegetation along a grazing gradient in Mongolian rangelands. J. Ecol. 2008, 96, 145–154. [Google Scholar] [CrossRef]
- Rawat, S.; Nagar, B.; Adhikari, B.S.; Pandey, R.; Alatalo, J.M. Biomass loss in village ecosystems in Western Himalaya due to wild monkey interactions: A case study. Environ. Chall. 2021, 4, 100085. [Google Scholar] [CrossRef]
- Shaheen, H.; Qureshi, R.; Qaseem, M.F.; Bruschi, P. The fodder grass resources for ruminants: A indigenous treasure of local communities of Thal desert Punjab, Pakistan. PLoS ONE 2020, 15, e0224061. [Google Scholar] [CrossRef]
- Swanson, J.C.; Murphy, P.J.; Swanson, S.R.; Schultz, B.W.; McAdoo, J.K. Plant community factors correlated with Wyoming big sagebrush site responses to fire. Rangel. Ecol. Manag. 2018, 71, 67–76. [Google Scholar] [CrossRef]
- Miller, R.I.; Wiegert, R.G. Documenting Cmpleteness, Species-Area Relations, and the Species-Abundance Distribution of a Regional Flora. Ecology 1989, 70, 16–22. [Google Scholar] [CrossRef]
- Louhaichi, M.; Borman, M.M.; Johnson, D.E. Spatially located platform and aerial photography for documentation of grazing impacts on wheat. Geocarto Int. 2001, 16, 65–70. [Google Scholar] [CrossRef]
- Hussein, E.A.; El-Ghani, M.M.A.; Hamdy, R.S.; Shalabi, L.F. Do anthropogenic activities affect floristic diversity and vegetation structure more than natural soil properties in hyper-arid desert environments? Diversity 2021, 13, 157. [Google Scholar] [CrossRef]
- Yeneayehu, F.; Wang, Y. Assessment of impact of ecological elevation on grass speciesâ€TM diversity in Yabello Rangeland, Southern Ethiopia. Int. J. Biodivers. Conserv. 2020, 12, 118–127. [Google Scholar] [CrossRef]
- Bani Hashemi, E.; Tahmasebi Kohyani, P.; Asadi, E. Variation of plant functional groups along livestock grazing gradient in semi-steppe rangelands (case study: Tangsayad rangelands of Chaharmahal Bakhtiari Province, Iran). J. Rangel. Sci. 2018, 8, 52–64. [Google Scholar]
- Ramprasad, V.; Joglekar, A.; Fleischman, F. Plantations and pastoralists: Afforestation activities make pastoralists in the Indian Himalaya vulnerable. Ecol. Soc. 2020, 25, 1. [Google Scholar] [CrossRef]
- Hoshino, A.; Yoshihara, Y.; Sasaki, T.; Okayasu, T.; Jamsran, U.; Okuro, T.; Takeuchi, K. Comparison of vegetation changes along grazing gradients with different numbers of livestock. J. Arid Environ. 2009, 73, 687–690. [Google Scholar] [CrossRef]
- Mudongo, E.; Fynn, R.; Bonyongo, M.C. Influence of fire on woody vegetation density, cover and structure at Tiisa Kalahari Ranch in western Botswana. Grassl. Sci. 2016, 62, 3–11. [Google Scholar] [CrossRef]
- Inman, E.N.; Hobbs, R.J.; Tsvuura, Z.; Valentine, L. Current vegetation structure and composition of woody species in community-derived categories of land degradation in a semiarid rangeland in Kunene region, Namibia. L. Degrad. Dev. 2020, 31, 2996–3013. [Google Scholar] [CrossRef]
- Obiri, J.F. Invasive plant species and their disaster-effects in dry tropical forests and rangelands of Kenya and Tanzania. Jàmbá J. Disaster Risk Stud. 2011, 3, 417–428. [Google Scholar] [CrossRef]
- Hendricks, H.H.; Bond, W.J.; Midgley, J.J.; Novellie, P.A. Plant species richness and composition a long livestock grazing intensity gradients in a Namaqualand (South Africa) protected area. Plant Ecol. 2005, 176, 19–33. [Google Scholar] [CrossRef]
- Khani, M.; Ghanbarian, G.; Kamali, M.E. Comparison between plant species richness and diversity indices along different grazing gradients in southern warm-arid rangelands of Fars. J. Environ. Sci. Technol. 2011, 22, 359–368. [Google Scholar]
- Louhaichi, M.; Ghassali, F.; Salkini, A.K.; Petersen, S.L. Effect of sheep grazing on rangeland plant communities: Case study of landscape depressions within Syrian arid steppes. J. Arid Environ. 2012, 79, 101–106. [Google Scholar] [CrossRef]
- Jamil, A.; Zubair, M.; Manzoor, S.A. A Herder’s eye view: Traditional ecological knowledge based indicators for monitoring rangeland conditions in Thal, Pakistan. Environ. Dev. 2022, 42, 100699. [Google Scholar] [CrossRef]
- Zhao, W.Y.; Li, J.L.; Qi, J.G. Changes in vegetation diversity and structure in response to heavy grazing pressure in the northern Tianshan Mountains, China. J. Arid Environ. 2007, 68, 465–479. [Google Scholar] [CrossRef]
- Oesterheld, M.; Semmartin, M. Impact of grazing on species composition: Adding complexity to a generalized model. Austral Ecol. 2011, 36, 881–890. [Google Scholar] [CrossRef]
- Bagchi, S.; Bhatnagar, Y.V.; Ritchie, M.E. Comparing the effects of livestock and native herbivores on plant production and vegetation composition in the Trans-Himalayas. Pastor. Res. Policy Pract. 2012, 2, 21. [Google Scholar] [CrossRef]
- Atroosh, K.B.; Ahmed, G.A.-K.; Lardi, O.S.; Eissa, Z.A.; Belgacem, A.O. Yield and irrigation water productivity of three varieties of buffel grass (Cenchrus ciliaris L.) in the Southern Coastal Plains of Yemen. J. Agric. Sci 2017, 10, 114. [Google Scholar] [CrossRef]
- Angassa, A. Effects of grazing intensity and bush encroachment on herbaceous species and rangeland condition in Southern Ethiopia. L. Degrad. Dev. 2014, 25, 438–451. [Google Scholar] [CrossRef]
- Tessema, Z.K.; De Boer, W.F.; de Baars, R.M.T.; Prins, H.H.T. Changes in soil nutrients, vegetation structure and herbaceous biomass in response to grazing in a semi-arid savanna of Ethiopia. J. Arid Environ. 2011, 75, 662–670. [Google Scholar] [CrossRef]
- Wezel, A.; Bender, S. Degradation of agro-pastoral village land in semi-arid southeastern Cuba. J. Arid Environ. 2004, 59, 299–311. [Google Scholar] [CrossRef]
- Edirisinghe, A.; Clark, D.; Waugh, D. Spatio-temporal modelling of biomass of intensively grazed perennial dairy pastures using multispectral remote sensing. Int. J. Appl. Earth Obs. Geoinf. 2012, 16, 5–16. [Google Scholar] [CrossRef]
- Kooch, Y.; Noghre, N. Nutrient cycling and soil-related processes under different land covers of semi-arid rangeland ecosystems in northern Iran. Catena 2020, 193, 104621. [Google Scholar] [CrossRef]
- Lengarite, M.I.; Mbugua, P.N.; Gachuiri, C.K.; Kabuage, L.W. Mineral status of sheep and goats grazing in the arid rangelands of northern Kenya. Pak. J. Nutr. 2012, 11, 383. [Google Scholar] [CrossRef]
- Habib, G.; Khan, N.A.; Sultan, A.; Ali, M. Nutritive value of common tree leaves for livestock in the semi-arid and arid rangelands of Northern Pakistan. Livest. Sci. 2016, 184, 64–70. [Google Scholar] [CrossRef]






| Mean ± SE Near | Range (Min–Max) | Median | Mean ± SE Away | Range (Min–Max) | Median | Mean ± SE Far | Range (Min–Max) | Median | ||
|---|---|---|---|---|---|---|---|---|---|---|
| Near Sites | Away Sites | Far Sites | ||||||||
| Vegetation Characteristics | Biomass (kg/ha) | 19.05 ± 1.87 | 9.00–36.00 | 17.00 | 14.85 ± 1.86 | 5.00–29.00 | 10.50 | 12.10 ± 1.39 | 5.00–23.00 | 9.50 |
| Density (/100 m2) | 62.54 ± 14.00 | 10.00–203.00 | 57.00 | 45.20 ± 13.73 | 10.00–206.00 | 24.00 | 23.79 ± 4.55 | 4.00–51.00 | 16.50 | |
| Plant cover (%) | 25.15 ± 1.33 | 16.00–35.00 | 24.00 | 19.25 ± 3.26 | 4.00–57.00 | 14.00 | 15.70 ± 1.65 | 5.00–29.00 | 17.00 | |
| Macro Nutrients | Na | 250.55 ± 22.02 | 157.78–387.78 | 234.44 | 301.38 ± 11.86 | 230.12–394.44 | 289.01 | 223.50 ± 12.67 | 164.44–301.09 | 216.44 |
| Ca | 3123.9 ± 123.2 | 2502.0–3867.0 | 3127.00 | 2630.8 ± 118.8 | 1682.0–3292.0 | 2604.50 | 1847.4 ± 64.1 | 1432.0–2167.0 | 1844.50 | |
| K | 812.5 ± 54.3 | 556.0–1096.0 | 888.00 | 1162.9 ± 57.4 | 876.0–1576.0 | 1099.00 | 594.7 ± 30.8 | 414.0–765.0 | 580.00 | |
| Fe | 68.95 ± 3.12 | 30.18–58.36 | 50.55 | 53.81 ± 3.37 | 43.13–79.27 | 60.18 | 39.29 ± 1.56 | 38.36–79.28 | 64.20 | |
| Zn | 102.18 ± 2.45 | 56.14–86.29 | 73.29 | 75.40 ± 2.39 | 58.12–85.43 | 78.29 | 85.00 ± 2.64 | 68.29–100.43 | 84.72 | |
| Micro Nutrients | Cu | 3.04 ± 0.15 | 2.16–3.88 | 2.29 | 4.12 ± 0.12 | 3.45–5.02 | 3.19 | 3.50 ± 0.17 | 2.02–4.21 | 3.28 |
| Co | 2.49 ± 0.15 | 1.39–3.39 | 2.56 | 3.17 ± 0.18 | 2.12–4.56 | 3.23 | 2.66 ± 0.12 | 3.23–5.56 | 3.54 | |
| Mn | 2.44 ± 0.12 | 1.82–2.97 | 2.42 | 4.08 ± 0.37 | 2.08–6.64 | 4.11 | 4.69 ± 0.15 | 3.69–6.12 | 4.67 | |
| Kruskal Wallis Test | |||
|---|---|---|---|
| Chi-Square | p-Value | ||
| Vegetation Characteristics | Biomass (kg/ha) | 8.74 | 0.013 |
| Density (/100 m2) | 7.63 | 0.022 | |
| Plant cover (%) | 11.89 | 0.003 | |
| Macro Nutrients | Na | 11.99 | 0.002 |
| Ca | 26.20 | 0.0012 | |
| K | 26.36 | 0.009 | |
| Fe | 24.99 | 0.006 | |
| Zn | 25.03 | 0.000 | |
| Micro Nutrients | Cu | 18.36 | 0.000 |
| Co | 6.35 | 0.042 | |
| Mn | 20.07 | 0.000 | |
| Species | Family | Classification | R.F | R.D | R.C | I.V |
|---|---|---|---|---|---|---|
| Cenchrus ciliaris L. | Poaceae | Highly palatable Forage | 0.27 | 0.21 | 0.15 | 0.64 |
| Cynodon dactylon (L.) Pers | Poaceae | Palatable forage | 0.25 | 0.58 | 0.14 | 0.98 |
| Citrullus colocynthis (L.) Schrader | Cucurbitaceae | Palatable (only fruits) | 0.10 | 0.030 | 0.09 | 0.23 |
| Aerva javanica (Burm.f.) C.Jussieu ex Schult | Amaranthaceae | Unpalatable/Toxic Shrub | 0.11 | 0.028 | 0.14 | 0.28 |
| Salsola baryosma (Schult.) Dandy | Amaranthaceae | Palatable Herb | 0.01 | 0.005 | 0.04 | 0.06 |
| Leptadenia pyrotechnica (Forssk.) Decne. | Apocynaceae | Palatable Shrub | 0.01 | 0.009 | 0.04 | 0.06 |
| Launaea nudicaulis (L.) Hook.fil. | Asteraceae | Less Palatable herb | 0.05 | 0.03 | 0.05 | 0.14 |
| Calotropis procera (Aiton) Dryand. | Apocynaceae | Unpalatable/Toxic Shrub | 0.01 | 0.003 | 0.02 | 0.04 |
| Heliotropium crispum Desf. | Boraginaceae | Unpalatable herb | 0.01 | 0.02 | 0.05 | 0.09 |
| Indigofera argentea Burm.f. | Fabaceae | Less palatable | 0.01 | 0.007 | 0.02 | 0.05 |
| Kochia indica Wight | Amaranthaceae | Unpalatable shrub | 0.02 | 0.06 | 0.04 | 0.23 |
| Datura innoxia Mill. | Solanaceae | Unpalatable shrub | 0.14 | 0.32 | 0.11 | 0.31 |
| Lasiurus scindicus Henrard | Poaceae | Highly Palatable Forage | 0.03 | 0.002 | 0.05 | 0.03 |
| Physalis divaricata D.Don | Solanaceae | Unpalatable shrub | 0.24 | 0.20 | 0.12 | 0.14 |
| Species | Family | Classification | R.F | R.D | R.C | I.V |
|---|---|---|---|---|---|---|
| Cynodon dactylon L. Pers | Poaceae | Palatable Forage | 1.18 | 0.69 | 0.22 | 1.87 |
| Cenchrus ciliaris L. | Poaceae | Highly palatable Forage | 0.52 | 0.24 | 0.15 | 0.77 |
| Aerva javanica (Burm.f.) C.Jussieu ex Schult | Amaranthaceae | Unpalatable/Toxic Shrub | 0.10 | 0.01 | 0.10 | 0.12 |
| Salsola baryosma (Schult.) Dandy | Amaranthaceae | Highly palatable Forage | 0.03 | 0.004 | 0.06 | 0.04 |
| Lasiurus scindicus Henrard | Poaceae | Highly Palatable Forage | 0.03 | 0.003 | 0.05 | 0.03 |
| Cenchrus biflorus Roxb. | Poaceae | Highly palatable Forage | 0.09 | 0.01 | 0.10 | 0.10 |
| Heliotropium crispum Desf | Boraginaceae | Unpalatable herb | 0.05 | 0.004 | 0.05 | 0.059 |
| Kochia indica Wight | Amaranthaceae | Unpalatable shrub | 0.07 | 0.007 | 0.09 | 0.08 |
| Haloxylon salicornicum ( Moq.) Bunge | Amaranthaceae | Less palatable Shrub | 0.03 | 0.005 | 0.058 | 0.04 |
| Leptadenia pyrotechnica ( Forssk.) Decne. | Apocynaceae | Palatable shrub | 0.03 | 0.006 | 0.068 | 0.04 |
| Cyperus alopecuroides Rottb. | Cyperaceae | Palatable forage | 1.18 | 0.69 | 0.22 | 1.87 |
| Themeda triandra Forssk | Poaceae | Palatable forage | 0.97 | 0.45 | 0.34 | 1.77 |
| Pycreus flavidus (Retz.) T.Koyama | Cyperacea | Palatable forage | 1.1 | 0.09 | 0.07 | 1.32 |
| Eragrostis minor Host | poaceae | Palatable forage | 0.78 | 0.32 | 0.12 | 1.23 |
| Panicum antidotale Retz. | Poaceae | Palatable forage | 0.02 | 0.01 | 0.04 | 0.08 |
| Cymbopogon jwarancusa ( Jones)Schult. | Poaceae | Palatable forage | 0.06 | 0.04 | 0.08 | 0.19 |
| Species | Family | Classification | R.F | R.D | R.C | I.V |
|---|---|---|---|---|---|---|
| Cenchrus ciliaris L. | Poaceae | Highly palatable forage | 0.41 | 0.33 | 0.21 | 0.74 |
| Cynodon dactylon L. Pers | Poaceae | Palatable forage | 0.34 | 0.58 | 0.17 | 0.92 |
| Desmostachya bipinnata (L.) Stapf. | Poaceae | Less palatable forage | 0.01 | 0.01 | 0.04 | 0.03 |
| Calotropis procera (Aiton) Dryand. | Apocynaceae | Toxic shrub | 0.02 | 0.009 | 0.07 | 0.03 |
| Cymbopogon jwarancusa (Jones)Schult. | Poaceae | Palatable forage | 0.02 | 0.01 | 0.08 | 0.04 |
| Indigofera hochstetteri Baker | Fabaceae | Palatable forage | 0.01 | 0.006 | 0.06 | 0.02 |
| Launaea resedifolia L. | Asteraceae | Palatable shrub | 0.01 | 0.01 | 0.04 | 0.02 |
| Citrullus colocynthis (L.) Schrad | Cucurbitaceae | Palatable (only fruits) | 0.05 | 0.006 | 0.05 | 0.06 |
| Peganus mharmala L. | Tetradiclidaceae | Less Palatable herb | 0.02 | 0.009 | 0.06 | 0.03 |
| Aerva javanica (Burm.f.) C.Jussieu ex Schult. | Amaranthaceae | Unpalatable Shrub | 0.15 | 0.10 | 0.16 | 0.42 |
| Aristida funiculate Trin. & Pupr | Poaeceae | Palatable shrub | 0.10 | 0.09 | 0.08 | 0.29 |
| Sporobolus arabicus Boiss. | Poaceae | Palatable forage | 0.32 | 0.09 | 0.10 | 0.51 |
| Cyperus alopecuroides Rottb. | Cyperaceae | Palatable forage | 0.56 | 0.08 | 0.32 | 0.97 |
| Poa annua L | Poaceae | Less palatable forage | 0.72 | 0.21 | 0.38 | 1.32 |
| Schismus arabicus Nees | Poaceae | Palatable forage | 0.03 | 0.12 | 0.56 | 0.72 |
| Ochthochloa compressa( Forssk.) Hilu | Poaceae | Palatable forage | 0.02 | 0.05 | 0.03 | 0.11 |
| Panicum antidotale Retz. | Poaceae | Palatable forage | 0.02 | 0.01 | 0.04 | 0.08 |
| Salsola baryosma (Roem. & Schult.) Dandy | Amaranthaceae. | Palatable Herb | 0.01 | 0.005 | 0.04 | 0.06 |
| Lasiurus scindicus Henrard. | Poaceae | Highly Palatable Forage | 0.03 | 0.003 | 0.05 | 0.03 |
| Indices | Sites | ||
|---|---|---|---|
| Near from Community | Away from Community | Far from Community | |
| Shannon H | 1.205 | 1.028 | 1.891 |
| Simpson 1-D | 0.5255 | 0.5872 | 0.7023 |
| Menhinick (Spp Richness) | 0.7224 | 0.4697 | 0.5087 |
| Buzas and Gibson’s evenness | 0.1971 | 0.2191 | 0.3459 |
Disclaimer/Publisher’s Note: The statements, opinions and data contained in all publications are solely those of the individual author(s) and contributor(s) and not of MDPI and/or the editor(s). MDPI and/or the editor(s) disclaim responsibility for any injury to people or property resulting from any ideas, methods, instructions or products referred to in the content. |
© 2023 by the authors. Licensee MDPI, Basel, Switzerland. This article is an open access article distributed under the terms and conditions of the Creative Commons Attribution (CC BY) license (https://creativecommons.org/licenses/by/4.0/).
Share and Cite
Jamil, A.; Zubair, M.; Endress, B.A. Influence of Pastoral Settlements Gradient on Vegetation Dynamics and Nutritional Characteristics in Arid Rangelands. Sustainability 2023, 15, 4849. https://doi.org/10.3390/su15064849
Jamil A, Zubair M, Endress BA. Influence of Pastoral Settlements Gradient on Vegetation Dynamics and Nutritional Characteristics in Arid Rangelands. Sustainability. 2023; 15(6):4849. https://doi.org/10.3390/su15064849
Chicago/Turabian StyleJamil, Akash, Muhammad Zubair, and Bryan A. Endress. 2023. "Influence of Pastoral Settlements Gradient on Vegetation Dynamics and Nutritional Characteristics in Arid Rangelands" Sustainability 15, no. 6: 4849. https://doi.org/10.3390/su15064849
APA StyleJamil, A., Zubair, M., & Endress, B. A. (2023). Influence of Pastoral Settlements Gradient on Vegetation Dynamics and Nutritional Characteristics in Arid Rangelands. Sustainability, 15(6), 4849. https://doi.org/10.3390/su15064849

