Next Article in Journal
Climate-Smart Pest Management in Sustainable Agriculture: Promises and Challenges
Next Article in Special Issue
A Lipidomic Profile of a Sustainable Source of Omega-3 Long-Chain Polyunsaturated Fatty Acids, Greenshell Mussels™, Perna canaliculus
Previous Article in Journal
Experimental Investigation of Usability of Treatment Sud Ash with Road Filling Materials in Highways
Previous Article in Special Issue
Greenshell Mussel Products: A Comprehensive Review of Sustainability, Traditional Use, and Efficacy
 
 
Font Type:
Arial Georgia Verdana
Font Size:
Aa Aa Aa
Line Spacing:
Column Width:
Background:
Article

Effects of Replacement of Fish Oil with Microbial Oil (Schizochytrium sp. T18) on Membrane Lipid Composition of Atlantic Salmon Parr Muscle and Liver Tissues

1
Department of Ocean Sciences, Memorial University of Newfoundland, St. John’s, NL A1C 5S7, Canada
2
Department of Animal Science and Aquaculture, Dalhousie University, Truro, NS B2N 5E3, Canada
3
Mara Renewables Corporation, 101A Research Drive, Dartmouth, NS B2Y 4T6, Canada
*
Authors to whom correspondence should be addressed.
Sustainability 2023, 15(5), 4594; https://doi.org/10.3390/su15054594
Submission received: 6 February 2023 / Revised: 26 February 2023 / Accepted: 27 February 2023 / Published: 4 March 2023

Abstract

A 16-week feeding trial was conducted to investigate effects of replacing dietary fish oil (FO) with docosahexaenoic acid (DHA)-rich microbial oil (MO) from Schizochytrium sp. (T18) on membrane lipid composition of Atlantic salmon parr liver and muscle tissues. Four nutritionally balanced diets were formulated with varying levels of FO, MO, and canola oil (CO), including a control diet with 20% FO, a secondary control diet with 10% FO and 10% CO, and two experimental diets that completely replaced FO with a low (5%) and high (10%) proportion of MO. No significant differences were observed in growth parameters (81–98 g; weight gain), total lipid class composition, and total sterol content among the dietary treatments. However, there were significant differences in the proportions of individual ꞷ3 and ꞷ6 fatty acids in both liver and muscle tissues, reflecting the different dietary treatments. Notably, the presence of low eicosapentaenoic acid (EPA) in the MO diets did not affect the growth performance of the fish, suggesting a lower requirement for EPA in the diet and a greater necessity for DHA. The results also showed that DHA was present in very high proportions in the cellular membrane, particularly in muscle tissue, with low levels of linoleic acid and alpha-linolenic acid. Overall, the findings suggest that MO derived from Schizochytrium sp. (T18) could be a potential substitute for FO in the diet of farmed Atlantic salmon.

1. Introduction

Fish oil (FO) is an excellent source of omega-3 (ꞷ3) long-chain polyunsaturated fatty acids (LC-PUFA), and despite its limited supply and continuous cost increase, it remains the primary lipid source for aquafeed. The continuous growth of aquaculture and the constraints that utilization of FO and fish meal impose have resulted in research on alternative and more sustainable lipid sources for aquafeeds. Several studies have been conducted replacing FO with terrestrial plant oils either partially or fully [1,2,3]. Generally, most studies have shown that although terrestrial plant oils do not affect the growth parameters of the fish, it does affect the composition of ꞷ3 LC-PUFA in tissues. This is because most terrestrial plant oils are composed mainly of ꞷ6 and ꞷ9 fatty acids and lack the critical ꞷ3 LC-PUFA that are abundant in FO [4]. For nearly a century, linoleic acid (LA; 18:2ꞷ6) and alpha-linolenic acid (ALA; 18:3ꞷ3) have been termed essential fatty acids (EFA) for mammals, however, in marine literature, EPA, DHA and ARA are also termed EFA. Theoretically, the only two fatty acids that should be most rigidly termed as essential are LA and ALA, which cannot be biosynthesized de novo by fish and other vertebrates [5]. However, in fish nutrition, dietary requirements vary from species to species. Each species has different capacities to biosynthesize LC-PUFA from dietary precursors depending on the presence and expression of genes of fatty acid desaturation and elongation [6]. Top carnivores have limited ability to synthesize LC-PUFA even from dietary precursors and require the inclusion of LC-PUFA directly in their diet [7]. For Atlantic salmon, EPA, DHA, and ARA are considered EFA that need to be supplied in the diet, although they can synthesize them when large amounts of ALA and LA are provided [8]. Studies show that these EFA are essential for normal larval development, fish growth, and reproduction. They are important in the normal development of the skin, nervous system, and visual acuity in fish [9]. They are also known to provide health benefits to humans as consumers in relation to cardiovascular disease, inflammatory disease, and neurological disorders [10,11,12].
Feed composition has changed considerably over the last decades from mainly marine ingredients to an increasing inclusion of plant ingredients [13]. While terrestrial plant oils can provide digestible energy to fish, fish health and the consumer products resulting from those fish have become compromised in recent years [14]. As an alternative to terrestrial plant oils, attention has turned to marine lipid sources rich in long-chain ꞷ3 PUFA, such as microalgae and other marine microorganisms, as they show potential to replace conventional ingredients used in aquafeed [15,16].
The microbial oil (MO) used in this study was isolated from a novel strain, Schizochytrium sp. (T18), from the group of microorganisms known as thraustochytrids. Thraustochytrids are non-photosynthetic marine protists classified into the class Labryinthula of the kingdom Chromista, including genera such as Thraustochytrium, Aplanochytrium Japonochytrium, Ulkenia, and Schizochytrium [17]. Thraustochytrids are often mistakenly called microalgae when discussing their potential biotechnological applications. Although they are closely related to brown algae, thraustochytrids are not algae, and no literature classifies them as such [18]. Among numerous strains, Schizochytrium sp. is noteworthy and often considered a satisfactory alternative to FO due to the advantages of fast growth rate, high productivity, and its lipid profile [19]. Schizochytrium sp. is characterized by high lipid content (55–75% of dry matter) and up to 49% DHA of total lipids and is commonly heterotrophically cultivated for large-scale production [15]. It is worth noting the low proportion of EPA (0.5%) present in MO and how this might affect the growth parameters, the immune system, and lipid deposition in the tissues. The present study builds on the findings of Wei et al. (2021) [20], which demonstrated the potential of MO as a substitute for FO in the diet of farmed Atlantic salmon parr and its effect on total fatty acid concentrations. The current study provides a more comprehensive investigation of the impact of dietary lipids on the membranes of Atlantic salmon parr liver and muscle tissues by quantifying phospholipid fatty acids (PLFA) and sterols. This addresses a significant research gap in the field, as most feeding trials that incorporate alternative lipid sources do not evaluate PLFA, cholesterol, and phytosterols. Furthermore, we compare the PLFA proportions with total fatty acid proportions to gain a deeper understanding of the dietary impact on fish lipid composition.

2. Materials and Methods

Diet manufacture and feeding trials were done at Dalhousie University, Truro, Nova Scotia.

2.1. Experimental Diets

The diets used in this experiment were formulated as follows: a control diet (FO) composed of 20% FO; a second control diet (FO/CO) composed of a 50/50 blend of FO (10%) and canola oil (CO) (10%); an experimental diet (LMO) composed of complete replacement of FO with a lower proportion of MO (5%); a second experimental diet (HMO) composed of complete replacement of FO with a higher proportion of MO (10%). For extended details on diet formulation, see Table A1. The four diets were formulated to be isonitrogenous, isocaloric and to meet the nutritional requirements of Atlantic salmon in accordance with National Research Council (NRC), 2011 [21]. The MO used in this experiment was provided by Mara Renewables (Dartmouth, NS, Canada).

2.2. Experimental Fish and Set-Up

Atlantic salmon parr were received from the Margaree Fish Hatchery (Nova Scotia Department of Fisheries and Aquaculture, Margaree Valley, NS, Canada). Fish were inspected by the provincial government veterinarian (Department of Fisheries and Aquaculture) prior to transfer to Dalhousie University Agriculture Campus Aquaculture lab. The fish received a health status permit certificate (pathogen and disease free) that allowed transfer from the provincial hatchery to the university. A total of 360 parr (21.9 ± 4.7–26.8 ± 4.1 g) (mean ± SD) were equally and randomly distributed into 12 tanks (200 L volume) in a flow-through freshwater system at Dalhousie University Agriculture Campus Aquaculture lab (Truro, NS, Canada). A completely randomized design was used, and the tank was the experimental unit with three replicates. The salmon were fed commercial feed (3 mm EWOS Vita feed; 43% crude protein, 14% crude fat, maximum 3% fibre) twice a day for a two-week acclimation period after transfer into the system. Fish were hand-fed until visual satiation with experimental feed for 16 weeks after the initial sampling (week 0) twice a day at 9 AM and 3 PM. Hand feeding was performed carefully to ensure minimal feed waste, and feed consumption was recorded weekly. Tanks were checked for mortalities twice daily throughout the trial. Temperature and dissolved oxygen were measured and recorded daily. Weekly measurements included pH and total gas pressure.

2.3. Tissue Sampling

Feed was withheld one day before sampling for accurate weighing. Five fish per tank were randomly sampled from each tank at week 0 (before feeding experimental diets) and at the end of the trial (week 16). Ethical treatment of fish in this experiment followed guidelines according to the Canadian Council of Animal Care (Dalhousie University Faculty of Agriculture Institutional Animal Care Approved Protocol #2017-84). Individual fish were rapidly netted and euthanized with an overdose of anesthetic using tricaine methane sulfonate (MS222, administered at 150 mg/L) (Sigma Chemicals, St. Louis, MO, USA) and was buffered using sodium bicarbonate (150 mg/L) (Sigma Chemicals, St. Louis, MO, USA), and clinical signs of death were ensured prior to sampling. The skin was removed on the left side, and white dorsal muscle was subsampled for subsequent analysis. The skinless dorsal muscle tissue, as well as liver samples, were taken for protein, energy, lipid class, and fatty acid composition analysis. The samples were flash-frozen in liquid nitrogen immediately after sampling and stored at −80 °C. The sampled tissues were then placed in lipid-clean glass vials with chloroform. The air space was filled with nitrogen before capping the vials and sealing them with Teflon tape. The samples were then stored in a −20 °C freezer until extraction.

2.4. Ethical Approval

Ethical approval for the treatment of fish in this study was obtained in accordance with guidelines set forth by the Canadian Council of Animal Care. The study was conducted at the Dalhousie University Faculty of Agriculture, and the Institutional Animal Care Approved Protocol number was #2017-84. All efforts were made to ensure the welfare and ethical treatment of the fish used in this experiment.

2.5. Lipid Extraction

Lipid samples were extracted according to Parrish (1999) [22]. Samples were homogenized using Tissue Master 125 homogenizer (Omni International, Kennesaw, GA, USA) in a 2:1 mixture of ice-cold chloroform:methanol. Chloroform extracted water was added to bring the ratio of cholorform:methanol:water to 8:4:3. The sample was sonicated for 4 min in an ice bath and centrifuged at 5000 rpm for 3 min. The bottom, organic layer was removed using a double pipetting technique, placing a long lipid-clean Pasteur pipette inside a short one to remove the organic layer without disturbing the top aqueous layer. Chloroform (EMD Millipore Corporation, Burlington, MA, USA) was then added back to the extraction test tube, and the entire procedure was repeated three more times. All organic layers were pooled into a lipid-clean vial.

2.6. Fatty Acid Methyl Ester (FAME) Derivatization

To form fatty acid methyl esters (FAME), an aliquot of lipid extract was transferred to a lipid-clean 7 mL vial and evaporated under nitrogen to dryness. Then 1.5 mL of methylene chloride (EMD Millipore Corporation, Burlington, MA, USA) and 3 mL Hilditch reagent were added. The Hilditch reagent is prepared by dissolving 1.5 mL concentrated sulfuric acid (VWR International, Mississauga, ON, Canada) in 100 mL methanol (EMD Millipore Corporation, Burlington, MA, USA) that has been dried over anhydrous sodium sulphate (Fisher Scientific Company, Ottawa, ON, Canada). The mixture was capped under nitrogen, then vortexed and sonicated for 4 min before being heated at 100 °C for 1 h. The mixture was allowed to cool to room temperature, and then approximately 0.5 mL saturated sodium bicarbonate solution (Fisher Scientific Company, Ottawa, ON, Canada) was added, followed by 1.5 mL hexane (EMD Millipore Corporation, Burlington, MA, USA). The mixture was shaken, and the upper organic layer was transferred to a lipid-clean 2 mL vial. The upper, organic layer was blown dry under a constant stream of nitrogen gas and refilled with hexane to approximately 0.5 mL, capped under nitrogen and sealed with Teflon tape, then sonicated for another 4 min to re-suspend the fatty acids.

2.7. Sterol Derivatization

Derivatization of sterols was performed according to Hailat & Helleur (2014) [23] by silylation with N, O-bis-trimethylsilyl trifluoroacetamide (BSTFA) containing 1% trimethylchlorosilane (TMCS) (Supelco Inc., Bellefonte, PA, USA) to form their corresponding trimethylsilyl (TMS)-ethers. Lipid extracts were evaporated until dryness under a stream of nitrogen. 100 μL of BSTFA containing 1% TMCS was added to the lipid extract and heated at 85 °C for 15 min. Samples were then cooled to room temperature and excess reagent was evaporated under nitrogen gas. 500 μL of hexane/dichloromethane (1:1, by vol) (Sigma Chemicals, St. Louis, MO, USA), was added followed by addition of 100 μL of 100 mg/L of 5α-androstanol (Steraloids Inc., Newport, RI, USA) as internal standard and then stored at −20 °C until analysis by gas chromatography-mass spectrometry (GC-MS) and Gas Chromatography with Flame Ionization Detection (GC-FID).

2.8. Neutral Lipid/Polar Lipid (NL/PL) Separation

The NL/PL separation was done using Strata SI-1 silica tubes (Phenomenex, Torrance, CA, USA) in a vacuum chamber. First, the silica tube was rinsed with 6 mL of methanol, 6 mL of chloroform, and 3 mL of a solvent mixture of 98:1:0.5 chloroform:methanol:formic acid (Fisher Scientific Company, Ottawa, ON, Canada) through the column into a waste vial. Then the sample extract was directly applied to the silica using a long pipette followed by rinsing of the sample vial with a small amount of chloroform. The waste vial was replaced with a lipid-clean 15 mL vial, then 8 mL of the solvent mixture (98:1:0.5 mixture of chloroform: methanol: formic acid) was eluted through the column to collect all neutral lipid containing eluent. A second 15 mL vial was replaced to recover the acetone-mobile polar lipid (AMPL) by rinsing the silica gel with 6 mL (2 × 3 mL) of acetone (EMD Millipore Corporation, Burlington, MA, USA). The vial containing the AMPL fraction was replaced with a large 40 mL vial, and 3 mL of chloroform was passed through the column to remove any acetone. Phospholipids were eluted with two volumes (6 mL) of methanol followed by 9 mL of a mixture of chloroform:methanol:water (5:4:1). The PL fraction was transferred to a 50 mL round bottom flask and dried completely in a flash-evaporator. The lipids were then washed into a 15 mL vial using methanol and chloroform. The PLFA was derivatized using the same procedure as total FAME (Section 2.6).

2.9. Quantitative Lipid Analysis

Lipid classes were determined using thin-layer chromatography with flame ionization detection (TLC-FID) in a Mark VI Iatroscan (Mitsubishi Kagaku Iatron, Inc., Tokyo, Japan). Silica-coated Chromarods, and a three-step development method was used according to Parrish (1987) [24]. Each lipid extract was spotted on an individual rod using a 20 μL Hamilton syringe and then focused to a narrow band using 100% acetone solution. The first development system consisted of hexane/ethyl ether/formic acid mixture (99:1:0.05). The rods were developed for 25 min and dried in a constant humidity chamber for 5 min before developing again in the same solution for 20 min. On completion of the first development, the rods were scanned in the Iatroscan (75% of the rod), which detects the hydrocarbon (HC), steryl ester (SE), and ketone (KET) lipid classes. After the first scan, the rods were dried in a constant humidity chamber for 5 min before starting the second development for 40 min. The second development system consisted of hexane:ethyl ether:formic acid (79:20:1). On completion of the second development, the rods were scanned in the Iatroscan (89% of the rod) for the triacylglycerol (TAG), free fatty acids (FFA), alcohol (ALC), and sterol (ST) lipid classes. For the third and final development systems, the rods were developed twice in 100% acetone for 15 min, dried for 5 min in a constant humidity chamber, then developed twice for 10 min in chloroform:methanol:chloroform-extracted water (50:40:10). After the third development, the rods were scanned in the Iatroscan (100% of the rod) for the AMPL and phospholipid (PL) lipid classes. The data were collected using Peak Simple software (ver. 3.67, SRI Inc., Torrance, CA, USA.). The Chromarods were calibrated using standards from Sigma Chemicals (Sigma Chemicals, St. Louis, MO, USA).
The FAME samples were analyzed on an HP 6890 gas chromatography (GC)-FID equipped with a 7683 autosampler. The GC column was a ZB-WAXplus (Phenomenex). The column length was 30 m with an internal diameter of 0.32 mm. The column temperature began at 65 °C where it was held for 0.5 min. The temperature ramped to 195 °C at a rate of 40 °C/min, held for 15 min, then ramped to a final temperature of 220 °C at a rate of 2 °C/min. This final temperature was held for 0.75 min. The carrier gas was hydrogen flowing at a rate of 2 mL/min. The injector temperature started at 150 °C and ramped to a final temperature of 250 °C at a rate of 120 °C/min. The detector temperature stayed constant at 260 °C. Peaks were identified using retention times from standards purchased from Supelco (Supelco Inc., Bellefonte, PA, USA): 37 component FAME mix (Product number 47885-U), Bacterial acid methyl ester mix (product number 47080-U), PUFA 1 (product number 47033) and PUFA 3 (product number 47085-U). Chromatograms were integrated using the Agilent OpenLAB Data Analysis—Build 2.203.0.573 (Agilent Technologies, Inc., Santa Clara, CA, USA). A quantitative standard purchased from Nu-Chek Prep, Inc (product number GLC490) was used to check the GC column about every 300 samples (or once a month) to ensure that the areas returned were as expected.
For the quantification of sterols, a Varian CP-3800 GC/FID with a CP-8400 autosampler was used. Detection of sterols was performed using a DB-5 column. Analysis was run in splitless mode, with helium as the carrier gas at a pressure of 14.0 psi. Ten μL of sample was injected at an injector temperature of 290 °C. The initial temperature of the oven was set at 80 °C and held for 1 min. The oven temperature was then increased at a rate of 50 °C/min until it reached 200 °C. The rate was then decreased to 4 °C/min to reach a final temperature of 305 °C and held there for a period of 5 min. The total run time per sample was 34.65 min. A detector temperature of 315 °C was used. 5α-androstanol was used as the internal standard. Ratios of standard peaks to internal standard peaks were determined by integration and plotted against ratios of concentration of internal standard to sterol standard to generate calibration curves.

2.10. Statistical Analysis

The resulting data are presented as mean ± standard deviation. All statistical analyses were performed using general linear models in Minitab (version 18; Minitab Inc., State College, PA, USA). The model was designed to test diet effect (fixed factor) and nested tank (fixed factor) within diet to detect any tank effects on different lipid classes and fatty acids (response variable). The conditions, selection, and care of the tanks were purposely maintained identical and only applied to this experiment, hence the selection of tank as a fixed factor. Significant difference was set at fixed α = 5% criterion (p < 0.05). Pairwise comparison was performed using Tukey post hoc test for multiple comparisons to detect differences between diets. Normality testing was performed using the Anderson–Darling test.
Principal coordinates analysis (PCO) was used to describe the resemblance and variation of the fatty acid composition in the muscle and liver tissue through a correlation matrix plotted on two PCO axes (i.e., PCO1, PCO2) (PRIMER, Plymouth Routines in Multivariate Ecological Research; PRIMER-E Ltd., version 6.1.15, Ivybridge, UK). The similarity of percentages analysis (SIMPER) was used to quantify differences among treatments in fatty acid data. In all cases, the non-parametric Bray-Curtis similarity was used.

3. Results

The objective of this study was to investigate the potential of MO from Schizochytrium sp. (T18) as a replacement for FO in the diet of farmed Atlantic salmon parr. Specifically, we aimed to determine the effect of replacing FO with MO on membrane lipid composition in the liver and muscle tissues of Atlantic salmon parr. We hypothesized that replacing FO with MO would result in changes in the proportions of individual fatty acids in the membrane lipids of the fish. To test this hypothesis, we conducted a 16-week feeding trial in which we formulated four nutritionally balanced diets with varying levels of FO, MO, and CO and quantified the PLFA and sterol compositions of the fish liver and muscle tissues.

3.1. Diet Composition

The total lipid composition for MO (determined by TLC-FID) was 753.8 mg/g and 953.4 mg/g (determined gravimetrically). Iatroscan values for aquatic samples are routinely ∼90% of those obtained by gravimetry method. Gravimetric values tend to be higher because the Iatroscan determines non-volatile lipids, and it is possible that non-lipid material may be included in gravimetric determinations [25]. The main lipid class was TAG (76.0%), followed by AMPL (10.4%), FFA (7.0%), PL (3.8%), and ST (1.8%) (Table 1). The dominant (>5%) fatty acids were 14:0 (11.0%), 16:0 (26.5%), ꞷ6DPA (7.6%), and DHA (40.7%) (Table 1). Total PUFA (50.6%) accounted for half of the total fatty acids, followed by SFA (40.7%) and MUFA (8.7%). MO was rich in DHA (40.7%) and low in EPA and ARA (0.8%; 0.1%), respectively. Additionally, the MO was also high in ꞷ6DPA making it a potential fatty acid biomarker for Schizochytrium sp. This biomarker was present in higher proportions in the tissues of salmon fed the MO-containing diets (LMO and HMO) than in salmon fed the FO-containing diets (FO and FO/CO). The ꞷ3 composition accounted for 42.4% of total PUFA, 5-fold higher than the ꞷ6 composition, resulting in a 5.1 ꞷ3/ꞷ6 ratio.
The total lipid composition in the diets varied between 206.4 and 269.8 mg/g wet weight (ww) and mostly comprised of neutral lipids (Table 2). The main lipid classes were TAG and PL. There was no significant difference in lipid classes between FO-containing and MO-containing diets. Differences in total fatty acid proportions were minimal but often significant. The fatty acid composition of the FO diet was mainly PUFA (41.2%) followed by SFA (29.7%) and MUFA (28.1%), while FO/CO, LMO, and HMO diets were mainly MUFA (39.5–49.0%) followed by PUFA (33.4–37.5%) and SFA (17.5–23.0%) (Table 2). EPA and ARA proportions were significantly lower in MO-containing diets compared to FO diets, while the DHA proportion was significantly higher in HMO diet compared to FO diets. The long-chain ꞷ6 and ꞷ3 precursors LA and ALA varied from diet to diet. ꞷ3 FAs were 14-fold more prevalent than ꞷ6 FAs in FO-containing diets and approximately 7-fold more prevalent than ꞷ6 FAs in MO-containing diets.
The MO sample was derivatized to its TMS-ethers and the sterol TMS-ethers identified were cholesterol, lathosterol, brassicasterol, 24-methylenecholesterol, 24-methylenelophenol, stigmasterol, and spinasterol. The peaks were identified by comparing the relative retention times with those of standards and confirmed by their corresponding mass spectra. In the FO diet, four phytosterols were identified; cholesterol, campesterol, 23,24-dimethylcholest-5-en-3β-ol, and 24-ethyl-5α-cholest-7-en-3β-ol (Table 3). In the FO/CO diet, these same phytosterols were also identified, with the addition of stigmasterol and brassicasterol. In the MO-containing diets, the same four phytosterols as were present in the control were identified, as well as stigmasterol. Additionally, brassicasterol was detected in both the LMO and HMO diets. In the HMO diet, one other phytosterol, lathosterol, was also detected. This sterol was one of the phytosterols detected in the original MO analysis. Statistical analysis indicated that there were no significant differences between the amounts of sterol present in each diet. Total sterol amounts ranged from 815 μg/g for the LMO diet to 1024 μg/g in the HMO diet.

3.2. Growth Performance

There were no significant differences in all measured (weight, length, weight gain) and calculated (condition factor, visceral somatic index, specific growth rate, apparent feed intake, and feed conversion rate) parameters among the dietary treatments, resulting in over 300% growth from their initial weight (~25 g). There were no mortalities throughout the study. The full details for growth performance, colour, and texture analysis were published in Wei et al. (2021) [20], and key results are attached in Appendix A.

3.3. Liver Tissue Lipid Classes and Fatty Acid Composition

Initial liver tissue content was 34.4 mg/g wet weight (ww) total lipid, and it was mostly composed of polar lipid (Table 4). After 16 weeks of feeding, there was no major significant change in total lipids among the dietary treatments (35.0–37.4 mg/g ww) (Table 4). The tissue was mostly composed of polar lipid in all dietary treatments. PL was the only lipid class that increased in total proportion in the liver tissue of salmon fed the FO/CO diet (79.3%) and decreased in salmon fed the LMO diet (75.5%).
After 16 weeks of feeding, the fatty acid profile mostly reflected that of the fish fed diets, except the relative proportions of SFA, MUFA, and especially PUFA (Table 4). The fatty acid composition of the salmon fed the FO diet was mostly PUFA (58.5%), followed by SFA (24.3%) and MUFA (16.9%), while salmon fed the FO/CO, LMO, and HMO diets were mostly PUFA (52.8–55.9%), followed by MUFA (22.4–28.0%) and SFA (19.1–21.6%). DHA was the dominant EFA; however, differences in EFA proportion including LC ꞷ6 and ꞷ3 precursors, LA and ALA, were observed between salmon fed the FO diet and other dietary treatments. The LC-PUFA ꞷ6DPA was higher in salmon fed MO-containing diets (LMO, 3.3%; HMO, 4.4%) than salmon fed FO-containing diets (FO, 0.6%; FO/CO, 0.4%). The ꞷ3 fatty acids were ~4-fold higher than ꞷ6 fatty acids in salmon fed FO-containing diets and ~2-fold higher than ꞷ6 fatty acids in salmon fed MO-containing diets. Compared to week-0, salmon fed the FO diet had the highest increase in ꞷ3 fatty acid proportion (47.0%), and it was the only treatment that had a decrease in ꞷ6 fatty acid proportion (9.9%). On the other hand, salmon fed the LMO diet had the highest increase in ꞷ6 fatty acid proportion (18.2%), and it was the only treatment with a decrease in ꞷ3 fatty acid proportion (34.5%).
Principal coordinates analysis of week-16 liver total fatty acids showed PCO1 and PCO2 (Figure 1) accounted for 72.5% and 23.8% of variability, respectively. The PCO biplot showed a higher variation between salmon fed the FO diet and salmon fed the LMO diet and less variation between salmon fed the MO-containing diets. SIMPER analysis (Table A4 and Table A5 in Appendix B) showed there was an average of 93% similarity within groups of the same dietary treatments and different percentages of dissimilarities between salmon fed different diets. The highest dissimilarity was between salmon fed the FO and LMO diet (23.8%), confirming the spatial distribution observed in the PCO biplot. The second highest dissimilarity was between salmon fed the FO diet and HMO diets (18.9%), which makes sense based on the PCO biplot. The top driver for the similarity within the diet groups was DHA across all dietary treatments, and the top drivers for the dissimilarities between different treatments varied among 18:1ꞷ9, EPA, and DHA. For extended details on average similarities and dissimilarities results, see Appendix B.

3.4. Liver Tissue Phospholipid Fatty Acid Composition

The PLFA composition was mainly PUFA (55.0–56.7%) followed by SFA (25.6–29.3%) and MUFA (13.6–17.9%) (Table 5). Differences in EPA, DHA and ARA proportion, including LC ꞷ6 and ꞷ3 precursors, LA and ALA, were minimal across the dietary treatments except for EPA. Salmon fed FO-containing diets had significantly higher EPA proportions (FO, 8.0%; FO/CO, 6.7%) than salmon fed MO-containing diets (LMO, 1.7%; HMO, 1.4%). The LC-PUFA ꞷ6DPA was also found embedded in the membrane in higher proportions in salmon fed MO-containing diets (LMO, 4.1%; HMO, 4.7%) than salmon fed FO-containing diets (FO, 0.6%; FO/CO, 0.5%). The ꞷ3 fatty acids were ~4-fold higher than ꞷ6 fatty acids in salmon fed FO-containing diets and ~2-fold higher than ꞷ6 fatty acids in salmon fed MO-containing diets. The DHA/EPA ratio was significantly higher in salmon fed MO-containing diets (LMO, 21.2%; HMO, 27.8%) than salmon fed FO-containing diets (FO, 4.4%; FO/CO, 5.0%). The EPA/ARA ratio was significantly higher in salmon fed FO-containing diets (FO, 2.0%; FO/CO, 1.9%) than salmon fed MO-containing diets (LMO, 0.5%; HMO, 0.4%). As for the DHA/ARA ratio, differences were minimal among the dietary treatments.
Principal coordinates analysis of week-16 liver PLFA showed PCO1 and PCO2 (Figure 2) accounted for 66% and 17.6% variation, respectively. The PCO biplot showed that the highest variation in liver PL was between salmon fed the FO and LMO diets. SIMPER analysis (Table A6 and Table A7 in Appendix B) showed that there was an average of 94% similarity within the same dietary groups, and also confirmed spatial distributions in the PCO biplot in that the highest dissimilarity was between salmon fed the FO and LMO diets (17.8%) and the lowest dissimilarities was between salmon fed the LMO and HMO diets (7.9%). The top driver for the similarities in the liver PL was DHA, and the top driver for the dissimilarities varied among 18:1ꞷ9, EPA, and DHA. For extended details on average similarities and dissimilarities results, see Appendix B.

3.5. Muscle Tissue Lipid Class and Fatty Acid Composition

Initial muscle tissue contained 9.9 mg/g ww total lipid, and it was mostly composed of polar lipid (Table 6). After 16 weeks of feeding, there was a ~5-fold increase in total lipid in salmon fed the FO diet (45.4 mg/g ww), and a ~4-fold increase in salmon fed the FO/CO, LMO, and HMO diets (36.1–38.3 mg/g ww). There was a significant difference in total lipid concentration between salmon fed the FO diet and salmon fed the FO/CO diet. The lipid class composition of salmon fed the FO diet was mostly composed of polar lipids, while interestingly, salmon fed the FO/CO, LMO, and HMO diets were mostly composed of neutral lipids. The dominant lipid classes in the muscle tissue were TAG (40.4–57.4%) and PL (21.9–36.9%). The TAG proportion increased in all salmon while the PL proportion decreased in all treatments. Salmon fed the FO diet had the lowest TAG and the highest PL proportion, and it was significantly different from other treatments.
After 16 weeks of feeding, the muscle tissue fatty acid profile mostly reflected the diets, except the relative proportions of MUFA, PUFA, and SFA (Table 6). The fatty acid composition of the salmon fed the FO and HMO diets were mostly PUFA (FO, 47.7%; HMO, 42.4%) followed by MUFA (FO, 28.6%; HMO, 37.7%) and SFA (FO, 23.0%; HMO, 19.7%), while salmon fed the FO/CO and LMO diets were mostly MUFA (FO/CO, 41.3%; LMO, 45.6%), followed by PUFA (FO/CO, 40.0%; LMO, 38.2%) and SFA (FO/CO, 18.3%; LMO, 16.1%). There were significant differences in EPA, DHA and ARA proportions, including ꞷ6 and ꞷ3 precursors, LA and ALA, across the dietary treatments, especially between salmon fed the FO diet and the salmon fed the FO/CO, LMO, and HMO diets. DHA was not always the dominant EFA; it was only the dominant EFA in salmon fed the FO and HMO diets, while LA was the dominant EFA in salmon fed the FO/CO and LMO diets. The EPA proportion was significantly higher in salmon fed FO-containing diets (FO, 3.1%; FO/CO, 1.3%) than in salmon fed MO-containing diets (LMO, 0.3%; HMO, 0.3%). The LC-PUFA ꞷ6DPA was higher in salmon fed MO-containing diets (LMO, 1.5%; HMO, 2.6%) than salmon fed FO-containing diets (FO, 0.3%; FO/CO, 0.3%). The ꞷ3 fatty acids were ~3-fold higher than ꞷ6 fatty acids in salmon fed FO-containing diets and ~2-fold higher than ꞷ6 fatty acids in salmon fed MO-containing diets.
Principal coordinates analysis of week-16 muscle total fatty acids showed PCO1 and PCO2 (Figure 3) accounted for 83.9% and 15.0% variability, respectively. There was a clear variability among different dietary groups with the largest variability being between salmon fed the FO and LMO diets. SIMPER analysis (Table A8 and Table A9 in Appendix B) showed an average of 97% similarity within the same dietary group and confirmed the spatial distribution in the PCO biplot that the highest dissimilarity was between salmon fed the FO and LMO diets (33.5%). The top driver for the similarities varied among 18:1ꞷ9 and 16:0, while the top driver for the dissimilarities between different treatments varied among 18:1ꞷ9 and DHA. For extended details on average similarities and dissimilarities results, see Appendix B.

3.6. Muscle Tissue Phospholipid Fatty Acid Composition

The PLFA composition was mostly PUFA (54.2–59.8%) followed by SFA (24.2–32.7%) and MUFA (12.7–17.7%) (Table 7). DHA was the dominant EFA, followed by EPA and ARA. Salmon fed FO-containing diets had significantly higher EPA proportions (FO, 8.7%; FO/CO, 8.8%) than salmon fed MO-containing diets (LMO, 1.8%; HMO, 1.4%). The LC-PUFA ꞷ6DPA was also found embedded in the membrane at higher proportions in salmon fed MO-containing diets (LMO, 3.9%; HMO, 4.0%) than salmon fed FO-containing diets (FO, 0.5%; FO/CO, 0.6%). The ꞷ3 fatty acids were ~10-fold higher than ꞷ6 fatty acids in salmon fed the FO diet were ~7-fold higher than ꞷ6 fatty acids in salmon fed the FO/CO diet, ~4-fold more prevalent than ꞷ6 fatty acids in salmon fed the LMO diet and were ~5-fold more prevalent than ꞷ6 fatty acids in salmon fed the HMO diet. The DHA/EPA ratio was significantly higher in salmon fed MO-containing diets (LMO, 22.1%; HMO, 31.6%) than those containing FO (FO, 3.8%; FO/CO, 4.1%). The EPA/ARA ratio was significantly higher in salmon fed FO-containing diets (FO, 7.5%; FO/CO, 6.5%) than those containing MO (LMO, 1.5%; FO/CO, 1.3%). The DHA/ARA ratio was significantly higher in salmon fed MO-containing diets (LMO, 42.4%; HMO, 32.4%) than those containing FO (FO, 29.0%; FO/CO, 26.3%).
Principal coordinates analysis of week-16 muscle PLFA showed PCO1 and PCO2 (Figure 4) accounted for 58.3% and 29.3% variability, respectively. The PCO biplot showed that the highest variation in muscle PL was between salmon fed the FO and LMO diets. Visually the variability was not as clear as the muscle total fatty acids; however, the PCO biplot still showed that the main dissimilarity was between salmon fed the FO and LMO diets and also indicated that salmon fed the LMO and HMO diets were much more similar. SIMPER analysis (Table A10 and Table A11 in Appendix B) showed an average of 94.0% similarity for FO/CO, LMO, and HMO dietary groups and an 85.6% similarity for the FO dietary group. The highest dissimilarity was between the FO and LMO dietary groups (23.6%), which confirms the spatial distribution in the PCO biplot. The second highest dissimilarity was between FO and HMO dietary groups (21.6%), and the lowest dissimilarity was between the LMO and HMO dietary groups. The top driver for the similarities within the dietary groups was DHA, while the top driver for the dissimilarities between different treatments varied among DHA and EPA. For extended details on average similarities and dissimilarities results, see Appendix B.

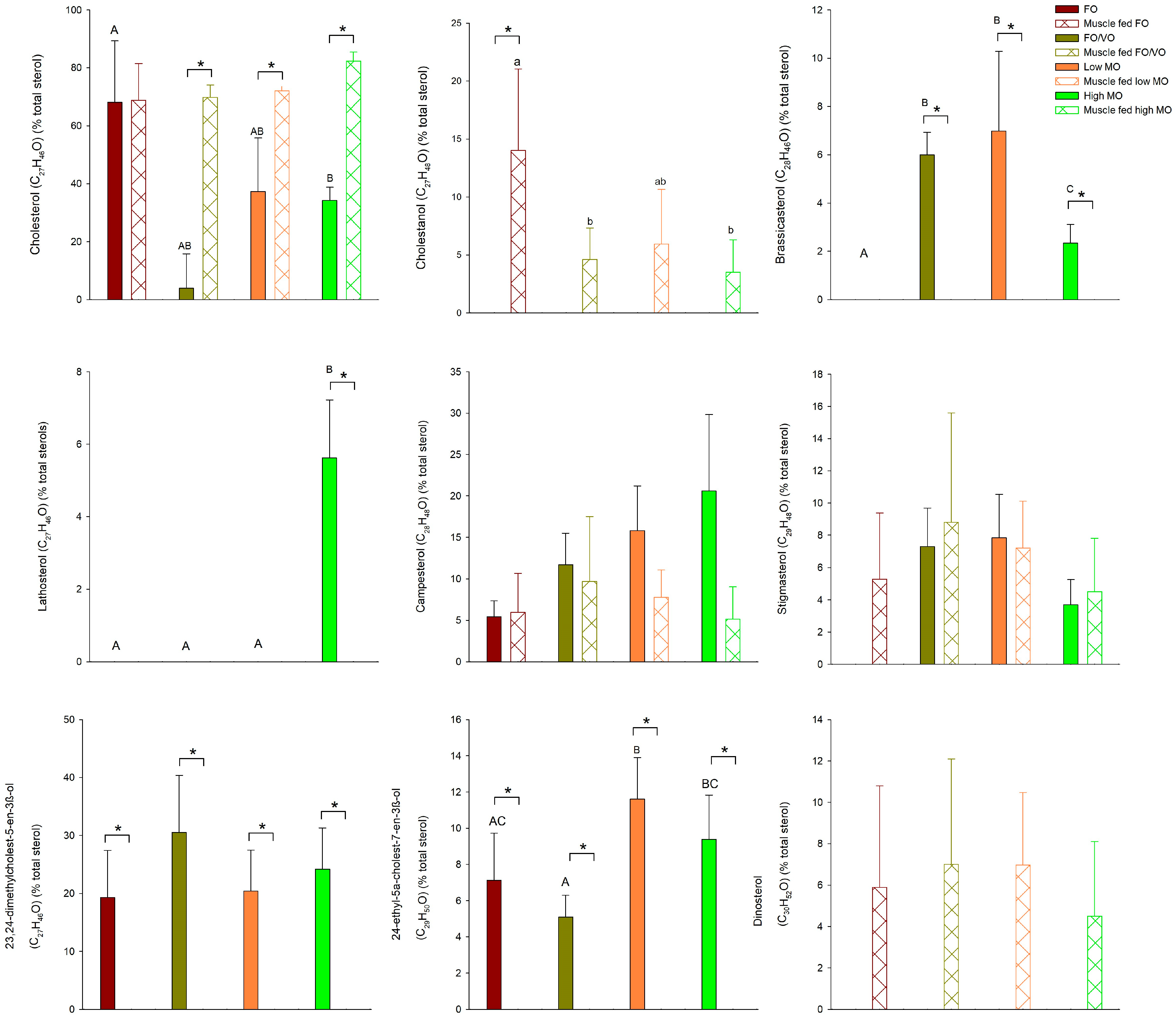
3.7. Muscle Tissue Sterol Composition

After 16 weeks of feeding, the sterols identified in the muscle tissue extracts were cholesterol, cholestanol, campesterol, stigmasterol, and dinosterol. Cholesterol content was significantly higher in salmon fed MO-containing diets than in salmon fed the FO/CO diet, but not higher than in salmon fed the FO diet. Salmon fed the LMO diet had cholestanol, a derivative of cholesterol, present in all samples, and was highest in salmon fed the FO diet. Campesterol, which was also identified in the diet samples, was present in all samples, and the highest amount was found in salmon fed the LMO diet. Similarly, stigmasterol was present in all samples, with the highest amount being found in salmon fed the LMO diet. Dinosterol, a high molecular weight sterol, was present in all samples as well, with a higher amount found in salmon fed the LMO diet. Statistically significant differences were not found in muscle tissue concentrations of cholestanol, campesterol, stigmasterol or dinosterol.
Significant differences were found when sterol data were compared as proportions of total sterols (Figure 5). Brassicasterol, lathosterol, 23,24-dimethylcholest-5-en-3β-ol, or 24-ethyl-5α-cholest-7-en-3β-ol, which were identified in the experimental diets, were not present in the muscle tissue samples. Lathosterol was detected in only salmon fed the HMO diet at 5.6% and was not present in any of the muscle tissues. Campesterol was present in all diets at an average of 13.4% and all muscle tissues with an average of 7.2%, but there were no significant differences among them. Stigmasterol was present in most diets and all muscle tissue at low (<8%) levels but there were also no significant differences between treatments. Dinosterol was detected at even lower levels (≤7%) in muscle only, but mean values were not significantly different to zero (Table 8).

4. Discussion

In this study, the MO used was isolated from a novel strain, Schizochytrium sp. (T18), which is rich in DHA and low in EPA. According to NRC (2011) [21] the dietary requirement for salmon is 0.5–1.0% EPA + DHA, which was recently reviewed by Qian et al. (2020) [26], who concluded that the minimum requirement is 0.5% EPA + DHA of dry diet. It is worth noting that the EPA + DHA requirement has not been de-coupled, since it is unknown what the requirements are for EPA and DHA separately. The EPA + DHA composition of the experimental diets (Table 2) in this study exceeds the minimum requirement suggested by NRC; therefore, EPA + DHA was not a limiting factor for growth. Despite the low proportion of EPA in the diets, the fish grew over 300% from their initial weight and, numerically, salmon fed the LMO and HMO diets gained 14% and 18%, respectively, more weight than the salmon fed the FO or FO/CO diets, within the 16-week period [20]. Previous studies using MO from Schizochytrium sp. in diets for Atlantic salmon showed positive growth performance [27,28], and a high digestibility [14].
Studies often refer to EPA + DHA as one component of the dietary requirement; however, most of these studies provided little to no information as to which fatty acid was more important for different biological functions. The present study demonstrates that DHA-rich MO from Schizochytrium sp. (T18) is an effective alternative lipid source for farmed Atlantic salmon parr reared in freshwater and that low dietary EPA (LMO, 0.16%; HMO, 0.20%) and high dietary DHA (LMO, 1.97%; HMO, 3.87%) relative to control diet (FO: 1.81% EPA, 1.05% DHA; FO/CO: 0.97% EPA; 0.56% DHA) did not impact growth performance. The total fatty acid profile reflected the diets, and the quantification of PLFA showed similar patterns as with the total fatty acid composition, where DHA was present in a very high proportion in the membrane, especially in muscle tissue. Additionally, Schizochytrium sp. had high proportions of ꞷ6DPA, which was reflected in the muscle and liver tissues of salmon fed the MO-containing diets. The LC-PUFA ꞷ6DPA was also found embedded in the membrane in higher proportions in salmon fed the MO-containing diets than salmon fed the FO-containing diets. Replacing dietary FO with MO had clear effects on PLFA compositions of both liver and muscle tissues, although the magnitude of the effects varied between the tissues.

4.1. Liver Tissue

The liver is considered an important site for LC-PUFA synthesis and lipid metabolism in Atlantic salmon [29]. Replacing dietary FO with MO did not significantly change the total lipid composition in the liver tissue (Table 4). The majority of the lipid classes were similar across the dietary treatments, except for TAG, where it differed significantly between salmon fed the FO diet and salmon fed the HMO diet. HMO feeding showed higher TAG than FO feeding indicating that the excess lipid was likely stored as TAG in the liver tissue instead of being metabolized for energy. However, PL was the dominant lipid class in the liver, accounting for ~78% total lipid across the dietary treatments suggesting that there was more membrane material in the liver than in the muscle (~37% in FO fed fish and ~23% in FO/CO, LMO, HMO fed fish). There was a much greater proportion of PL and ST in the liver tissue than in the diet suggesting the accumulation and retention of these classes in the liver (Table 2). Both PL and ST play a major role in maintaining the structure of the membrane. Cholesterol is an essential structural component of animal cell membranes that is required to establish proper membrane permeability and fluidity [30]. However, to assess adjustments of cellular fluidity, it is necessary to look at significant differences in PL/ST ratio and the membrane PUFA/SFA (P/S) ratio. The PL/ST ratio (Table 4), as well as the P/S ratio in the liver PL (Table 5), showed no significant difference across the dietary treatments. Also, the inverse relationship between PL/ST ratio and P/S ratio was not consistent across the dietary treatments. However, there are suggestions of possible adjustments to optimize fluidity in the membrane, as salmon fed the FO/CO diet had the highest PL/ST ratio and the second highest P/S ratio, and salmon fed the LMO diet had the lowest PL/ST ratio but the highest P/S ratio.
While similarities were observed between liver tissue total fatty acid profile and PLFA profile, the PCO analysis showed a higher variation between the diets for liver total fatty acids (Figure 1) than liver PLFA (Figure 2). The PUFA proportion in the liver PL was noticeably higher than that of the diet (Table 2), while the MUFA proportion was noticeably lower, suggesting possible ß-oxidation of these fatty acids. SFA proportions in liver PL were higher in salmon fed the FO/CO, LMO, and HMO diets and lower in salmon fed the FO diet than that of the diet. Replacing dietary FO with MO, rich in DHA, resulted in higher DHA proportions for the PLFA in salmon fed MO-containing diets compared to FO-containing diets. In contrast, the EPA proportion was lower in salmon fed MO-containing diets than in salmon fed FO-containing diets. This might be an indication that retro-conversion from DHA to EPA did not occur and also highlights the importance of DHA in the liver membrane compared to EPA. The levels of ARA in liver PL were higher than EPA (ARA > EPA) in salmon fed MO-containing diets despite both EPA and ARA being significantly lower in the diet. This could be an indication of elongation and desaturation from LA to ARA but not from ALA to EPA. Both EPA and ARA serve as precursors of eicosanoid biosynthesis, and there is direct substrate competition between the two fatty acids, where the increase in one results in the decrease of the other [31,32].
Changes in the ꞷ3/ꞷ6 ratio can affect eicosanoid production. Increased consumption of ꞷ3 LC-PUFA reduces the synthesis of ꞷ6 LC-PUFA derived pro-inflammatory eicosanoids and elevates the production of anti-inflammatory eicosanoids from ꞷ3 PUFA [33]. The EPA/ARA ratio in salmon fed MO-containing diets was lower compared to salmon fed FO-containing diets. This may suggest the production of pro-inflammatory eicosanoids; however, the ꞷ3/ꞷ6 ratio remained >1 across the dietary treatments. The impact of the low diet and tissue EPA/ARA ratio on the salmon immune system requires further investigation. The DHA/ARA ratio remained >1, indicating the important role of DHA in membranes.

4.2. Muscle Tissue

Replacing FO with MO in the diet of Atlantic salmon parr resulted in no significant difference in total lipid composition in the muscle tissue between salmon fed MO-containing diets and salmon fed the FO and FO/CO diets. However, the total lipid content in salmon fed the FO diet and salmon fed the FO/CO diet was different. This could be due to the equal concentration of FO and CO in the FO/CO diet compared to no CO in the FO diet (Table A1 in Appendix A). Unlike liver tissue, the muscle lipids were mainly composed of TAG (40% in FO fed fish; >50% in FO/CO, LMO, HMO fed fish) (Table 6). TAG are the primary class for lipid storage and energy provision, and the major lipid storage site for Atlantic salmon is the muscle tissue [34,35]. Although PL was not as dominant in the muscle compared to the liver, it was still present in a high proportion (40% in FO fed fish; ~23% in FO/CO, LMO, HMO fed fish). The neutral and polar composition of the muscle tissue highlighted the difference between salmon fed the FO diet and salmon fed the FO/CO, LMO, and HMO diets, where the lipid in salmon fed the FO diet was mainly composed of polar lipids (52%), while the other treatments were mainly composed of neutral lipid (>60%). The difference between salmon fed the FO diet and the other treatments were also detected in TAG and PL lipid classes. However, salmon fed the FO diet were not significantly different from salmon fed the LMO and HMO diets for ST. Both PL and ST play essential roles in maintaining membrane fluidity, where they have an inverse relationship [36,37]. Variation in PL/ST ratio was observed across the dietary treatments, where salmon fed the FO diet had the highest PL/ST ratio (43.2), while salmon fed the FO/CO diet had the lowest PL/ST ratio (14.0). Also, a significant difference for PL/ST ratio was observed between salmon fed the FO diet and salmon fed the FO/CO and LMO diets (Table 6). A similar difference was also observed for P/S ratio in the muscle PL (Table 7). An inverse relationship between PL/ST ratio and P/S ratio was observed in a way that salmon fed the FO diet had the highest PL/ST ratio and the lowest P/S ratio, while salmon fed the FO/CO diet had the lowest PL/ST ratio and one of the two equally highest P/S ratios. Salmon fed the LMO diet had a similar P/S ratio to salmon fed the FO/CO diet, but the muscle had the second lowest PL/ST ratio. Given that these two counteract each other, it could indicate an adjustment to minimize fluidity effects of diet-induced changes to membranes.
The distribution of total fatty acids (Table 6) and PLFA (Table 7) shared similarities as both reflected the diets, the PCO analysis showed a higher variation in muscle total fatty acid (Figure 3) than muscle PLFA (Figure 4). The excess of DHA in the MO diets resulted in high DHA proportions being incorporated into muscle tissue. The DHA proportion in muscle PL was higher than that of the diet, demonstrating the importance of DHA in the membrane. In contrast, the level of EPA was lower in salmon fed MO-containing diets compared to salmon fed FO-containing diets. It is worth noting that the concentration of EPA was low in MO treatments; however, no signs of retro-conversion from DHA to EPA in any appreciable amounts were observed since EPA remained low in the muscle. Similar to other published studies where dietary DHA was present in excess, DHA was the preferred fatty acid to be accumulated in the tissues, while EPA was probably used for energy production or biosynthesis of DHA [29,38,39]. EPA is more readily ß-oxidized by mitochondria than DHA, primarily due to DHA being a poor substrate for ß-oxidation due to the fact that insertion and removal of the Δ4 double bond in DHA requires a special mechanism [40].
It was observed in the liver tissue and within liver PL that ARA > EPA in salmon fed MO-containing diets; however, in the muscle tissue and within muscle PL, ARA < EPA across all dietary treatments with possible connections to energy production and storage versus inflammation and immunity, and was therefore primarily stored in the liver. In terms of regiospecificity, ARA is known to be located almost exclusively in the sn-2 position of the glycerol of PI, which has critical roles in many areas of cellular signal transductions [41]. Recently, Yeo & Parrish (2021) identified a relatively smaller number of PS and PI molecular species was in salmon muscle tissue compared to PC and PE [42]. Therefore, this could indicate why there is a lower proportion of ARA in the muscle tissue compared to the liver tissue. The regiospecificity of DHA and EPA is also generally at the sn-2 position [40,43]; however, new incoming DHA from the diet has a preference to be incorporated into PE, while high levels of EPA can be found in PI [36,40]. PC and PE are the dominant PL classes in most eukaryotic membranes [42]. Unlike liver tissue, the EPA/ARA ratio in salmon fed MO-containing diets remained >1. The ꞷ3/ꞷ6 ratios also remained >1 across the dietary treatments, perhaps suggesting the production of anti-inflammatory eicosanoids with consequent effects on immunity. The DHA/ARA ratio for the muscle PL also remained >1, but it is worth noting the ratio was 3–4 times higher than liver PL.
Five sterols were identified in the muscle tissue: cholesterol, cholestanol, campesterol, stigmasterol, and dinosterol. Cholesterol was present in all dietary treatments, with the highest amounts being found in MO-containing diets, however not at significantly higher levels than in salmon fed the FO diet. They were significantly higher than in the FO/CO-containing diet, indicating the cholesterol can be obtained from MO and incorporated by the fish. There were no significant differences in the amounts of the other sterols as compared to the control diets. Sissener et al. (2018) looked at cholesterol and phytosterol retention levels. Campesterol was the predominant sterol in all samples, and they found that the retention of campesterol correlated negatively with both dietary cholesterol and dietary phytosterol content. Retention of brassicasterol correlated negatively with dietary phytosterol content but not with dietary cholesterol [44]. Brassicasterol was not detected in the muscle tissue samples from this MO trial, however campesterol was detected in all samples. It does not appear that phytosterol retention increased or decreased in any of the samples from the MO trial, as there was no significant difference among the treatments. Sissener et al. (2018) determined that dietary phytosterols did not seem to affect cholesterol absorption or tissue cholesterol levels, and also did not affect tissue phytosterol levels [44]. Cholestanol was present in muscle from all diets and is a reduced form of cholesterol. Campesterol was also present in all samples, as was seen in the diets, and can be attributed to the wheat content of the diets. Stigmasterol was present in all diets, with no significant difference among the treatments. Dinosterol was present in all diets and is common in dinoflagellates. Total sterol amounts ranged from 77 μg/g for muscle tissue from salmon fed the FO/CO diet to 165 μg/g in the muscle tissue from salmon fed the LMO diet. The low amount in the FO/CO diet can be attributed to the decrease in cholesterol. The muscle samples with the highest total sterol content were from salmon fed the LMO diet, which was the opposite of what was seen in the diet samples. The total sterol concentration averaged 0.13 mg/g across all treatments. Miller et al. (2007) conducted a study replacing fish oil with thraustochytrid Schizochytrium sp. oil in Atlantic salmon diets and found an average sterol content of 0.26 mg/g, with no significant difference among treatments [28]. There was no significant difference in the total sterol content among the muscle from fish fed the experimental diets versus muscle from fish fed the control diets.
Although there were significant differences in the proportions of cholesterol in the diets (Figure 5), there were no significant differences in the cholesterol in the muscle tissues. The FO/CO and two MO tissues had cholesterol proportions which were all significantly higher than in the diets. Sissener et al. (2018) found that the retention of cholesterol proved a high extent of de novo production in Atlantic salmon when fed low dietary levels, which could explain the similar effect seen here [44]. Cholestanol and dinosterol were only present in the tissue samples and were not present in the diets. Brassicasterol, 23,24-dimethylcholest-5-en-3β-ol, and 24-ethyl-5α-cholest-7-en-3β-ol were detected in the diets, but not in the muscle tissues. While campesterol and stigmasterol were present in both diets and tissue samples, there were no significant differences between the treatments. Brassicasterol is typically well absorbed, however Hamada et al. (2006) showed that campesterol was much more solubilized in the micelles than brassicasterol which may have influenced the absence of brassicasterol in the tissues while campesterol remained stable [45]. Six sterols were identified in the MO, four of which were detected in the diets, and two of these were subsequently found in the muscle tissue. There were also two different sterols that were found in the muscle tissue that were not in the diets or the MO. This indicates that sterols in MO can be transferred to the fish by consumption, but not all sterols were found to do so. Also, phytosterols can be metabolized to other sterols by the fish, as was seen with cholesterol and cholestanol.
The proportion of EPA + DHA in the muscle tissue, commonly referred to as the fillet, is important for human consumption. Atlantic salmon is considered to be part of a healthy diet, primarily due to its high content ꞷ3 PUFA, which are known to be beneficial for the prevention and treatment of coronary disease. According to the American Dietetic Association/Dietitians of Canada, the daily recommendation is 500 mg/day of EPA + DHA provided by two servings of fatty fish/week (one serving is 112 g cooked) [46]. Our data show DHA + EPA/112 g (uncooked) would provide 924 mg per serving from salmon fed the FO diet, 467 mg from salmon fed the FO/CO and LMO diets, and 670.9 mg from salmon fed the HMO diet. Although salmon fed the FO diet had the highest EPA + DHA/112 g (uncooked) per serving, salmon fed the HMO diet also fulfills the 500 mg/day recommendation. Depending on different ways of cooking fish, the nutritional composition of the fillet can change based on the cooking method applied. Generally, most information about PUFA content is available for raw fish; thus, the consumer has little knowledge about the nutritive values of cooked fish [47]. Deep-frying fish induces the largest change in fish lipids due to the absorption of high amounts of frying oil, such as vegetable oil which contains high amounts of ꞷ6 fatty acids, thus resulting in an increased content of ꞷ6 fatty acids [48]. However, it is worth mentioning that few lipid changes have been observed during frying for fish with a high-fat content [49,50]. Appendix C compares the moisture and fat content of different fatty fishes when raw, cooked (deep-fried), and held warm. Oven baking resulted in loss of water with a consequent increase in protein, fat, and ash content. In contrast, grilling resulted in an increase in total lipids and ꞷ3 PUFA, presumably due to the decrease in tissue water content [48].

5. Conclusions

This study aimed to investigate the potential use of MO as a replacement for FO in the diet of farmed Atlantic salmon, with a focus on the impact of dietary lipids on the membranes of liver and muscle tissues. Our results demonstrated that Schizochytrium sp. (T18)-derived MO can replace FO in the diet of Atlantic salmon without negative effects on growth and fatty acid composition of tissues. The fatty acid profiles of the tissues reflected their respective dietary treatments, and liver and muscle PL showed variations in response to dietary MO, reflecting the functions of each tissue. In addition, our findings revealed that the proportions of EPA and DHA in the tissue were dependent on the diet composition, with less necessity for EPA and more necessity for DHA. The presence of certain sterols in the MO that were also detected in muscle tissue indicated that some sterols could be transferred by consumption, while others cannot. These results provide important insights into the use of MO as a potential alternative to FO in the diet of farmed Atlantic salmon.

Author Contributions

Conceptualization, N.G. and C.C.P.; methodology, N.G. and C.C.P.; formal analysis, N.G.; investigation, N.G. and M.W.; data curation N.G.; writing—original draft preparation, N.G.; writing—review and editing, N.G., C.C.P., M.W., J.P., R.E.A. and S.M.C.; visualization, N.G. All authors have read and agreed to the published version of the manuscript.

Funding

Research funding was provided by the Ocean Frontier Institute through an award from the Canada First Research Excellence Fund.

Institutional Review Board Statement

The animal study protocol was approved by the Institutional Review Board (or Ethics Committee) of Dalhousie University Faculty of Agriculture Institutional Animal Care (protocol code #2017-84).

Informed Consent Statement

Not applicable.

Data Availability Statement

Data available upon request.

Acknowledgments

The authors would like to thank Matthew Rise for an informal review of our manuscript. We would also like to extend our thanks to Mohamed Eman for his helpful comments, suggestions, and assistance in designing the PCO graphs. We also thank Jeanette Wells for her support in running some fatty acid analyses.

Conflicts of Interest

The authors declare no conflict of interest.

Appendix A

Table A1. Formulation of experimental diets (g/kg as fed basis) containing microbial oil (MO), fish oil (FO), or fish oil/canola oil (FO/CO) blend, fed to Atlantic salmon.
Table A1. Formulation of experimental diets (g/kg as fed basis) containing microbial oil (MO), fish oil (FO), or fish oil/canola oil (FO/CO) blend, fed to Atlantic salmon.
Ingredient (g/kg) 1FOFO/COLMOHMO
Fish meal150150150150
Fish oil (Herring)20010000
Microbial oil (MO) 20050100
Canola oil0100150100
Ground wheat117.5117.5117.5117.5
Empyreal (corn protein concentrate)250250250250
Poultry byproduct170170170170
Soybean meal80808080
Vitamin/mineral mix 32222
Dicalcium phosphate20202020
Special premix 42.52.52.52.5
Lysine HCL5555
Choline chloride3333
DHA (%)1.050.561.973.87
EPA (%)1.8060.9660.163010.20003
DHA + EPA (%)2.861.532.134.07
1 All ingredients were supplied and donated by Northeast Nutrition (Truro, NS, Canada). 2 Produced by Mara Renewables (Dartmouth, NS, Canada). 3 Vitamin/mineral mix contains (/kg): zinc, 77.5 mg; manganese, 125 mg; iron, 84 mg; copper, 2.5 mg; iodine, 7.5 mg; vitamin A, 5000 IU; vitamin D, 4000 IU; vitamin K, 2 mg; vitamin B12, 4 μg; thiamine, 8 mg; riboflavin, 18 mg; pantothenic acid, 40 mg; niacin, 100 mg; folic acid, 4 mg; biotin, 0.6 mg; pyridoxine, 15 mg; inositol, 100 mg; ethoxyquin, 42 mg; wheat shorts, 1372 mg. 4 Special premix contains (/kg): selenium, 0.220 mg; vitamin E, 250 IU; vitamin C, 200 mg; astaxanthin, 60 mg; wheat shorts, 1988 mg.
Table A2. Chemical composition of experimental diets 1.
Table A2. Chemical composition of experimental diets 1.
Chemical Composition (%)
FOFO/COLMOHMO
Dry matter93.693.994.694.1
Crude protein46.947.545.446.3
Crude fat25.725.125.627.7
Ash6.76.56.96.6
1 Data express as % diet (wet weight), values are means (n = 3 per treatment) ± standard deviation. Means with different superscripts indicate significant differences among treatment diets based on Tukey’s post hoc test following a one-way ANOVA. FO = fish oil; FO/CO = fish oil/canola oil; LMO = low microbial oil; HMO = high microbial oil.
Table A3. Growth performance of Atlantic salmon fed experimental diets for 16 weeks.
Table A3. Growth performance of Atlantic salmon fed experimental diets for 16 weeks.
FOFO/COLMOHMO
Initial weight 125.0 ± 4.222.3 ± 3.521.9 ± 4.726.8 ± 4.1
Final weight 2106.6 ± 10.2120.8 ± 8.7115.2 ± 5.1123.5 ± 2.4
Weight gain 381.6 ± 9.898.6 ± 6.693.3 ± 5.996.7 ± 2.3
Initial length 113.9 ± 0.713.3 ± 0.716.2 ± 5.414.1 ± 0.6
Final length 221.3 ± 2.122.2 ± 2.021.9 ± 1.722.4 ± 2.0
Initial CF 40.92 ± 0.080.94 ± 0.090.93 ± 0.070.96 ± 0.07
Final CF 41.08 ± 0.071.09 ± 0.081.07 ± 0.071.07 ± 0.11
Initial VSI 59.6 ± 2.49.5 ± 2.111.9 ± 3.69.7 ± 1.7
Final VSI9.9 ± 0.69.4 ± 0.810.1 ± 1.19.3 ± 0.9
SGR 61.3 ± 0.91.5 ± 0.11.5 ± 0.21.4 ± 0.02
AFI 776.8 ± 5.784.9 ± 6.877.9 ± 1.987.5 ± 1.3
FCR 80.90 ± 0.190.86 ± 0.030.84 ± 0.030.90 ± 0.04
1 Initial measurements are mean ± standard deviation, body weight (g/fish), fork length (cm/fish), n = 5. 2 Final measurements are mean ± standard deviation, body weight (g/fish), fork length (cm/fish), n = 15. 3 Weight gain (g/fish) = final weight − initial weight. 4 Condition factor = body weight (g)/length (cm)3 × 100, calculated by individual fish, the mean was obtained from 5 fish in each treatment. 5 Visceral somatic index (%) = 100 × (viscera mass/body mass). 6 Specific growth rate (%/day) = (ln (final body weight) − ln (initial body weight))/number of days in period × 100. 7 Apparent feed intake (g/fish) = (total feed consumed, g)/(number of fish per tank). 8 Feed conversion rate = (feed intake, g/fish)/(weight gain, g/fish).

Appendix B

Table A4. Liver total fatty acids average similarities results 1.
Table A4. Liver total fatty acids average similarities results 1.
FOFO/COLMOHMO
Average Similarity: 96.0Average Similarity: 94.0Average Similarity: 91.1Average Similarity: 92.6
FAsContributionFAsContributionFAsContributionFAsContribution
DHA35.46DHA31.68DHA32.12DHA37.72
16:017.7318:1ꞷ918.1918:1ꞷ921.0316:016.56
18:1ꞷ99.6616:015.1716:014.3918:1ꞷ915.57
EPA9.28LA6.97LA8.82LA6.30
1 SIMPER data expressed as %.
Table A5. Liver total fatty acids average dissimilarities results 1.
Table A5. Liver total fatty acids average dissimilarities results 1.
FO & FO/COFO & LMOFO/CO & LMOFO & HMOFO/CO & HMOLMO & HMO
Average Dissimilarity = 14.7Average Dissimilarity = 23.8Average Dissimilarity = 13.5Average Dissimilarity = 18.9Average Dissimilarity = 14.3Average Dissimilarity = 11.5
FAsContrib.FAsContrib.FAsContrib.FAsContrib.FAsContrib.FAsContrib.
18:1ꞷ928.7018:1ꞷ925.18EPA19.20EPA20.64DHA22.50DHA25.21
DHA12.18EPA16.0418:1ꞷ914.5318:1ꞷ917.77EPA18.8018:1ꞷ924.76
LA11.33LA10.50DHA13.27ꞷ6DPA10.49ꞷ6DPA14.3516:010.11
16:09.2222:5ꞷ36.99ꞷ6DPA11.06DHA10.0518:1ꞷ910.74LA8.91
EPA8.3516:06.6316:07.6922:5ꞷ38.7016:06.69ꞷ6DPA4.78
22:5ꞷ36.21DHA6.15LA6.25LA8.09----
1 SIMPER data express as %.
Table A6. Liver phospholipid average similarities results 1.
Table A6. Liver phospholipid average similarities results 1.
FOFO/COLMOHMO
Average Similarity: 94.7Average Similarity: 93.2Average Similarity: 95.3Average Similarity: 94.7
FAsContributionFAsContributionFAsContributionFAsContribution
DHA36.64DHA34.27DHA36.65DHA38.39
16:021.2616:020.0516:018.9816:021.79
EPA8.1818:1ꞷ912.5818:1ꞷ913.7318:1ꞷ910.87
18:1ꞷ97.82EPA6.66LA6.65--
1 SIMPER data express as %.
Table A7. Liver phospholipid average dissimilarities results 1.
Table A7. Liver phospholipid average dissimilarities results 1.
FO & FO/COFO & LMOFO/CO & LMOFO & HMOFO/CO & HMOLMO & HMO
Average Dissimilarity = 10.8Average Dissimilarity = 17.8Average Dissimilarity = 12.3Average Dissimilarity = 15.2Average Dissimilarity = 12.6Average Dissimilarity = 7.9
FAsContrib.FAsContrib.FAsContrib.FAsContrib.FAsContrib.FAsContrib.
18:1ꞷ920.26EPA18.35EPA20.76EPA22.74EPA21.8DHA17.27
DHA16.3418:1ꞷ916.72ꞷ6DPA14.81ꞷ6DPA14.15DHA19.816:017.09
16:010.61LA10.63DHA13.4318:1ꞷ911.21ꞷ6DPA17.1818:1ꞷ915.93
LA10.48ꞷ6DPA10.1716:09.53DHA10.816:09.39LA10.79
EPA7.7822:5ꞷ37.3818:1ꞷ96.5822:5ꞷ38.8522:5ꞷ35.7918:06.74
18:06.9416:06.85LA6.26LA6.80--20:3ꞷ65.10
1 SIMPER data express as %.
Table A8. Muscle total fatty acids average similarities results 1.
Table A8. Muscle total fatty acids average similarities results 1.
FOFO/COLMOHMO
Average Similarity: 96.3Average Similarity: 95.7Average Similarity: 98.3Average Similarity: 97.9
FAsContributionFAsContributionFAsContributionFAsContribution
16:016.8218:1ꞷ933.118:1ꞷ938.5718:1ꞷ930
DHA16.61LA14.7LA16.27DHA19.79
18:1ꞷ916.2416:013.29DHA12.9716:014.16
EPA10.6DHA10.3516:011.48LA14.11
LA9.50------
16:1ꞷ76.86------
1 SIMPER data express as %.
Table A9. Muscle total fatty acids average dissimilarities results 1.
Table A9. Muscle total fatty acids average dissimilarities results 1.
FO & FO/COFO & LMOFO/CO & LMOFO & HMOFO/CO & HMOLMO & HMO
Average Dissimilarity = 24.0Average Dissimilarity = 33.5Average Dissimilarity = 12.4Average Dissimilarity = 26.1Average Dissimilarity = 12.8Average Dissimilarity = 12.9
FAsContrib.FAsContrib.FAsContrib.FAsContrib.FAsContrib.FAsContrib.
18:1ꞷ936.4118:1ꞷ935.518:1ꞷ926.3118:1ꞷ928.96DHA36.0618:1ꞷ932.47
EPA11.24EPA14.12EPA16.56EPA17.87EPA15.51DHA27.51
DHA11.2LA11.33DHA10.62LA9.98ꞷ6DPA9.6616:09.95
LA11.1916:1ꞷ76.94LA9.21DHA8.2518:1ꞷ98.65LA8.92
--16:06.1716:1ꞷ77.0316:1ꞷ77.5416:05.67--
----22:5ꞷ35.69------
1 SIMPER data expressed as %.
Table A10. Muscle phospholipid average similarities results 1.
Table A10. Muscle phospholipid average similarities results 1.
FOFO/COLMOHMO
Average Similarity: 85.6Average Similarity: 96.0Average Similarity: 93.2Average Similarity: 93.6
FAsContributionFAsContributionFAsContributionFAsContribution
DHA35.03DHA37.65DHA40.93DHA46.46
16:026.0516:019.716:019.8916:022
EPA9.118:1ꞷ911.318:1ꞷ913.6618:1ꞷ910.08
--EPA9.1----
1 SIMPER data express as %.
Table A11. Muscle phospholipid average dissimilarities results 1.
Table A11. Muscle phospholipid average dissimilarities results 1.
FO & FO/COFO & LMOFO/CO & LMOFO & HMOFO/CO & HMOLMO & HMO
Average Dissimilarity = 14.5Average Dissimilarity = 23.6Average Dissimilarity = 14.5Average Dissimilarity = 21.6Average Dissimilarity = 16.1Average Dissimilarity = 10.3
FAsContrib.FAsContrib.FAsContrib.FAsContrib.FAsContrib.FAsContrib.
DHA25.43DHA19.00EPA25.01DHA28.47DHA30.06DHA33.25
16:024.9816:016.06DHA23.6EPA17.34EPA23.7216:017.28
18:1ꞷ915.14EPA15.03ꞷ6DPA11.6216:015.06ꞷ6DPA11.0218:1ꞷ916.71
LA7.618:1ꞷ914.3218:1ꞷ98.5ꞷ6DPA8.4416:09.41LA8.67
--ꞷ6DPA7.3422:5ꞷ38.4618:1ꞷ97.79----
1 SIMPER data expressed as %.

Appendix C

Fish samples: salmon (Salmon salar), Spanish mackerel (Scomberomorus commersoni), and sardine (Sardine pilchardus). Fish samples (corresponding to six helpings of ≈150 g each) were cooked by a catering industry firm following their usual procedure. They were introduced into an industrial deep fryer for 5 min with cooking oil (sunflower oil) at 180 °C. After draining, a quantity corresponding to three helpings was homogenized and immediately analyzed. The rest of the samples were introduced into a thermal unit used by the company for distribution. The internal temperature of food was 65 °C. After 3 h, the samples were homogenized and analyzed. Raw samples were analyzed in the same way. Each parameter was analyzed four times for each batch. Moisture content was calculated by drying (ISO, 1973a) [49].
Table A12. Moisture and fat content of fishes 1. (Adapted with permission from [49]).
Table A12. Moisture and fat content of fishes 1. (Adapted with permission from [49]).
RawCookedWarm Held
Salmon
Moisture69.3 a ± 0.0656.3 b ± 1.0951.2 c ± 0.20
Fat12.0 a ± 0.1514.8 a ± 0.3015.9 a ± 1.66
Mackerel
Moisture61.0 a ± 0.1064.6 b ± 0.4061.1 a ± 0.02
Fat16.0 a ± 0.207.25 b ± 0.249.33 c ± 0.08
Sardines
Moisture74.0 a ± 0.4856.7 b ± 0.0157.5 b ± 0.19
Fat4.0 a ± 0.2013.3 b ± 0.2011.8 c ± 0.20
1 All values referred to g/100 g of food (mean ± standard derivations). Values in the same row bearing different letters are significantly different (p ≤ 0.05).

References

  1. Bell, J.G.; McEvoy, J.; Tocher, D.R.; McGhee, F.; Campbell, P.J.; Sargent, J.R. Replacement of fish oil with rapeseed oil in diets of Atlantic salmon (Salmo salar) affects tissue lipid compositions and hepatocyte fatty acid metabolism. J. Nutr. 2001, 131, 1535–1543. [Google Scholar] [CrossRef]
  2. Bell, J.G.; McGhee, F.; Campbell, P.J.; Sargent, J.R. Rapeseed oil as an alternative to marine fish oil in diets of post-smolt Atlantic salmon (Salmo salar): Changes in flesh fatty acid composition and effectiveness of subsequent fish oil “wash out”. Aquaculture 2003, 218, 515–528. [Google Scholar] [CrossRef]
  3. Torstensen, B.E.; Bell, J.G.; Rosenlund, G.; Henderson, R.J.; Graff, I.E.; Tocher, D.R.; Lie, Ø.; Sargent, J.R. Tailoring of Atlantic salmon (Salmo salar L.) flesh lipid composition and sensory quality by replacing fish oil with a vegetable oil blend. J. Agric. Food Chem. 2005, 53, 10166–10178. [Google Scholar] [CrossRef] [PubMed]
  4. Hixson, S.M.; Parrish, C.C.; Anderson, D.M. Effect of replacement of fish oil with camelina (Camelina sativa) oil on growth, lipid class and fatty acid composition of farmed juvenile Atlantic cod (Gadus morhua). Fish Physiol. Biochem. 2013, 39, 1441–1456. [Google Scholar] [CrossRef]
  5. Turchini, G.M.; Torstensen, B.E.; Ng, W.K. Fish oil replacement in finfish nutrition. Rev. Aquac. 2009, 1, 10–57. [Google Scholar] [CrossRef]
  6. Tocher, D.R. Metabolism and functions of lipids and fatty acids in teleost fish. Rev. Fish. Sci. 2003, 11, 107–184. [Google Scholar] [CrossRef]
  7. Alhazzaa, R.; Nichols, P.D.; Carter, C.G. Sustainable alternatives to dietary fish oil in tropical fish aquaculture. Rev. Aquac. 2019, 11, 1195–1218. [Google Scholar] [CrossRef]
  8. Katan, T.; Caballero-Solares, A.; Taylor, R.G.; Rise, M.L.; Parrish, C.C. Effect of plant-based diets with varying ratios of ω6 to ω3 fatty acids on growth performance, tissue composition, fatty acid biosynthesis and lipid-related gene expression in Atlantic salmon (Salmo salar). Comp. Biochem. Physiol. Part D Genom. Proteom. 2019, 30, 290–304. [Google Scholar] [CrossRef]
  9. Miles, R.D.; Chapman, F.A. The benefits of fish meal in aquaculture diets. EDIS 2006, 5. [Google Scholar] [CrossRef]
  10. Calder, P.C. n–3 Fatty acids and cardiovascular disease: Evidence explained and mechanisms explored. Clin. Sci. 2004, 107, 1–11. [Google Scholar] [CrossRef] [PubMed]
  11. Dyall, S.C.; Michael-Titus, A.T. Neurological benefits of omega-3 fatty acids. Neuromolecular Med. 2008, 10, 219–235. [Google Scholar] [CrossRef] [PubMed]
  12. Simopoulos, A.P. Omega-3 fatty acids in inflammation and autoimmune diseases. J. Am. Coll. Nutr. 2002, 21, 495–505. [Google Scholar] [CrossRef] [PubMed]
  13. Aas, T.S.; Ytrestøyl, T.; Åsgård, T. Utilization of feed resources in the production of Atlantic salmon (Salmo salar) in Norway: An update for 2016. Aquac. Rep. 2019, 15, 100216. [Google Scholar] [CrossRef]
  14. Tibbetts, S.M.; Scaife, M.A.; Armenta, R.E. Apparent digestibility of proximate nutrients, energy and fatty acids in nutritionally-balanced diets with partial or complete replacement of dietary fish oil with microbial oil from a novel Schizochytrium sp.(T18) by juvenile Atlantic salmon (Salmo salar L.). Aquaculture 2020, 520, 735003. [Google Scholar]
  15. Shah, M.R.; Lutzu, G.A.; Alam, A.; Sarker, P.; Chowdhury, M.K.; Parsaeimehr, A.; Liang, Y.; Daroch, M. Microalgae in aquafeeds for a sustainable aquaculture industry. J. Appl. Phycol. 2018, 30, 197–213. [Google Scholar] [CrossRef]
  16. Sprague, M.; Betancor, M.B.; Tocher, D.R. Microbial and genetically engineered oils as replacements for fish oil in aquaculture feeds. Biotechnol. Lett. 2017, 39, 1599–1609. [Google Scholar] [CrossRef] [PubMed]
  17. Burja, A.M.; Radianingtyas, H.; Windust, A.; Barrow, C.J. Isolation and characterization of polyunsaturated fatty acid producing Thraustochytrium species: Screening of strains and optimization of omega-3 production. Appl. Microbiol. Biotechnol. 2006, 72, 1161. [Google Scholar] [CrossRef]
  18. Armenta, R.E.; Valentine, M.C. Single-cell oils as a source of omega-3 fatty acids: An overview of recent advances. J. Am. Oil Chem. Soc. 2013, 90, 167–182. [Google Scholar] [CrossRef]
  19. Ren, L.J.; Ji, X.J.; Huang, H.; Qu, L.; Feng, Y.; Tong, Q.Q.; Ouyang, P.K. Development of a stepwise aeration control strategy for efficient docosahexaenoic acid production by Schizochytrium sp. Appl. Microbiol. Biotechnol. 2010, 87, 1649–1656. [Google Scholar] [CrossRef]
  20. Wei, M.; Parrish, C.C.; Guerra, N.I.; Armenta, R.E.; Colombo, S.M. Extracted microbial oil from a novel Schizochytrium sp. (T18) as a sustainable high DHA source for Atlantic salmon feed: Impacts on growth and tissue lipids. Aquaculture 2021, 534, 736249. [Google Scholar] [CrossRef]
  21. NRC. Nutrient Requirements of Fish and Shrimp; National Academies Press: Washington, DC, USA, 2011. [Google Scholar]
  22. Parrish, C.C. Determination of Total Lipid, Lipid Classes, and Fatty Acids in Aquatic Samples. In Lipids in Freshwater Ecosystems; Springer: New York, NY, USA, 1999; pp. 4–20. [Google Scholar]
  23. Hailat, I.; Helleur, R.J. Direct analysis of sterols by derivatization matrix-assisted laser desorption/ionization time-of-flight mass spectrometry and tandem mass spectrometry. Rapid Commun. Mass Spectrom. 2014, 28, 149–158. [Google Scholar] [CrossRef]
  24. Parrish, C.C. Separation of aquatic lipid classes by chromarod thin-layer chromatography with measurement by latroscan flame ionization detection. Can. J. Fish. Aquat. Sci. 1987, 44, 722–731. [Google Scholar] [CrossRef]
  25. Parrish, C.C. Lipids in marine ecosystems. Int. Sch. Res. Not. 2013, 2013, 604045. [Google Scholar] [CrossRef]
  26. Qian, C.; Hart, B.; Colombo, S.M. Re-evaluating the dietary requirement of EPA and DHA for Atlantic salmon in freshwater. Aquaculture 2020, 518, 734870. [Google Scholar] [CrossRef]
  27. Li, M.H.; Robinson, E.H.; Tucker, C.S.; Manning, B.B.; Khoo, L. Effects of dried algae Schizochytrium sp., a rich source of docosahexaenoic acid, on growth, fatty acid composition, and sensory quality of channel catfish Ictalurus punctatus. Aquaculture 2009, 292, 232–236. [Google Scholar] [CrossRef]
  28. Miller, M.R.; Nichols, P.D.; Carter, C.G. Replacement of fish oil with thraustochytrid Schizochytrium sp. L oil in Atlantic salmon parr (Salmo salar L) diets. Comp. Biochem. Physiol. Part A Mol. Integr. Physiol. 2007, 148, 382–392. [Google Scholar] [CrossRef]
  29. Betancor, M.B.; Howarth, F.J.; Glencross, B.D.; Tocher, D.R. Influence of dietary docosahexaenoic acid in combination with other long-chain polyunsaturated fatty acids on expression of biosynthesis genes and phospholipid fatty acid compositions in tissues of post-smolt Atlantic salmon (Salmo salar). Comp. Biochem. Physiol. Part B Biochem. Mol. Biol. 2014, 172, 74–89. [Google Scholar] [CrossRef]
  30. Morzycki, J.W. Recent advances in cholesterol chemistry. Steroids 2014, 83, 62–79. [Google Scholar] [CrossRef] [PubMed]
  31. Bell, J.G.; Tocher, D.R.; MacDonald, F.M.; Sargent, J.R. Effects of diets rich in linoleic (18: 2n-6) and α-linolenic (18: 3n-3) acids on the growth, lipid class and fatty acid compositions and eicosanoid production in juvenile turbot (Scophthalmus maximus L.). Fish Physiol. Biochem. 1994, 13, 105–118. [Google Scholar] [CrossRef]
  32. Calder, P.C. n−3 polyunsaturated fatty acids, inflammation, and inflammatory diseases. Am. J. Clin. Nutr. 2006, 83, 1505S–1519S. [Google Scholar] [CrossRef] [PubMed]
  33. Hixson, S.M. Fish nutrition and current issues in aquaculture: The balance in providing safe and nutritious seafood, in an environmentally sustainable manner. J. Aquac. Res. Dev. 2014, 5, 234. [Google Scholar] [CrossRef]
  34. Tocher, D.R.; Bendiksen, E.Å.; Campbell, P.J.; Bell, J.G. The role of phospholipids in nutrition and metabolism of teleost fish. Aquaculture 2008, 280, 21–34. [Google Scholar] [CrossRef]
  35. Zhol, S.; Ackman, R.G.; Morrison, C. Storage of lipids in the myosepta of Atlantic salmon (Salmo salar). Fish Physiol. Biochem. 1995, 14, 171–178. [Google Scholar] [CrossRef] [PubMed]
  36. Stillwell, W.; Wassall, S.R. Docosahexaenoic acid: Membrane properties of a unique fatty acid. Chem. Phys. Lipids 2003, 126, 1–27. [Google Scholar] [CrossRef] [PubMed]
  37. Bell, J.G.; Koppe, W. Lipids in Aquafeeds. In Fish Oil Replacement and Alternative Lipid Sources in Aquaculture Feeds; CRC Press: Boca Raton, FL, USA, 2010; pp. 21–59. [Google Scholar]
  38. Codabaccus, B.M.; Carter, C.G.; Bridle, A.R.; Nichols, P.D. The “n− 3 LC-PUFA sparing effect” of modified dietary n− 3 LC-PUFA content and DHA to EPA ratio in Atlantic salmon smolt. Aquaculture 2012, 356, 135–140. [Google Scholar] [CrossRef]
  39. Emery, J.A.; Norambuena, F.; Trushenski, J.; Turchini, G.M. Uncoupling EPA and DHA in fish nutrition: Dietary demand is limited in Atlantic salmon and effectively met by DHA alone. Lipids 2016, 51, 399–412. [Google Scholar] [CrossRef]
  40. Sargent, J.R.; Tocher, D.R.; Bell, J.G. The lipids. In Fish Nutrition; Academic Press: Cambridge, MA, USA, 2003; pp. 181–257. [Google Scholar]
  41. Bell, J.G.; Sargent, J.R. Arachidonic acid in aquaculture feeds: Current status and future opportunities. Aquaculture 2003, 218, 491–499. [Google Scholar] [CrossRef]
  42. Yeo, J.; Parrish, C.C. Shotgun Lipidomics for the Determination of Phospholipid and Eicosanoid Profiles in Atlantic Salmon (Salmo salar L.) Muscle Tissue Using Electrospray Ionization (ESI)-MS/MS Spectrometric Analysis. Int. J. Mol. Sci. 2021, 22, 2272. [Google Scholar] [CrossRef]
  43. Miller, M.R.; Nichols, P.D.; Barnes, J.; Davies, N.W.; Peacock, E.J.; Carter, C.G. Regiospecificity profiles of storage and membrane lipids from the gill and muscle tissue of Atlantic salmon (Salmo salar L.) grown at elevated temperature. Lipids 2006, 41, 865–876. [Google Scholar] [CrossRef]
  44. Sissener, N.H.; Rosenlund, G.; Stubhaug, I.; Liland, N.S. Tissue sterol composition in Atlantic Salmon (Salmo salar L.) depends on the dietary cholesterol content and on the dietary phytosterols: Cholesterol ratio, but not on the dietary phytosterols content. Br. J. Nutr. 2018, 119, 599–609. [Google Scholar] [CrossRef]
  45. Hamada, T.; Goto, H.; Yamahira, T.; Sugawara, T.; Imaizumi, K.; Ikeda, I. Solubility in and affinity for the bile salt micelle of plant sterols are important determinants of their intestinal absorption in rats. Lipids 2006, 41, 551–556. [Google Scholar] [CrossRef] [PubMed]
  46. Kris-Etherton, P.M.; Grieger, J.A.; Etherton, T.D. Dietary reference intakes for DHA and EPA. Prostaglandins Leukot. Essent. Fat. Acids 2009, 81, 99–104. [Google Scholar] [CrossRef]
  47. Bhouri, A.M.; Jrah Harzallah, H.; Dhibi, M.; Bouhlel, I.; Hammami, M.; Chaouch, A. Nutritional fatty acid quality of raw and cooked farmed and wild sea bream (Sparus aurata). J. Agric. Food Chem. 2010, 58, 507–512. [Google Scholar] [CrossRef]
  48. Moradi, Y.; Bakar, J.; Motalebi, A.A.; Syed Muhamad, S.H.; Che Man, Y. A review on fish lipid: Composition and changes during cooking methods. J. Aquat. Food Prod. Technol. 2011, 20, 379–390. [Google Scholar] [CrossRef]
  49. Candela, M.; Astiasaran, I.; Bello, J. Deep-fat frying modifies high-fat fish lipid fraction. J. Agric. Food Chem. 1998, 46, 2793–2796. [Google Scholar] [CrossRef]
  50. Mai, J.; Shimp, J.; Weihrauch, J.; Kinsella, J.E. Lipids of fish fillets: Changes following cooking by different methods. J. Food Sci. 1978, 43, 1669–1674. [Google Scholar] [CrossRef]
Figure 1. Principal coordinates analysis (PCO) of Atlantic salmon liver tissue total fatty acid composition (%) after 16 weeks of feeding experimental diets.
Figure 1. Principal coordinates analysis (PCO) of Atlantic salmon liver tissue total fatty acid composition (%) after 16 weeks of feeding experimental diets.
Sustainability 15 04594 g001
Figure 2. Principal coordinates analysis (PCO) of Atlantic salmon liver tissue phospholipid fatty acid composition (%) after 16 weeks of feeding experimental diets.
Figure 2. Principal coordinates analysis (PCO) of Atlantic salmon liver tissue phospholipid fatty acid composition (%) after 16 weeks of feeding experimental diets.
Sustainability 15 04594 g002
Figure 3. Principal coordinates analysis (PCO) of Atlantic salmon muscle tissue total fatty acid composition (%) after 16 weeks of feeding experimental diets.
Figure 3. Principal coordinates analysis (PCO) of Atlantic salmon muscle tissue total fatty acid composition (%) after 16 weeks of feeding experimental diets.
Sustainability 15 04594 g003
Figure 4. Principal coordinates analysis (PCO) of Atlantic salmon muscle tissue phospholipid fatty acid composition (%) after 16 weeks of feeding experimental diets.
Figure 4. Principal coordinates analysis (PCO) of Atlantic salmon muscle tissue phospholipid fatty acid composition (%) after 16 weeks of feeding experimental diets.
Sustainability 15 04594 g004
Figure 5. Identified sterols (in % of total sterols) found in experimental diets and corresponding muscle tissue from fish fed the control and experimental microbial oil diets. Upper case letters indicate significant differences in diet proportions; lower case letters in muscle proportions. Asterisks indicate significant differences between diet and muscle.
Figure 5. Identified sterols (in % of total sterols) found in experimental diets and corresponding muscle tissue from fish fed the control and experimental microbial oil diets. Upper case letters indicate significant differences in diet proportions; lower case letters in muscle proportions. Asterisks indicate significant differences between diet and muscle.
Sustainability 15 04594 g005
Table 1. Lipid class and total fatty acid composition of the microbial oil, Schizochytrium sp. (T18), used in the study 1.
Table 1. Lipid class and total fatty acid composition of the microbial oil, Schizochytrium sp. (T18), used in the study 1.
Lipid Class Composition (%)
Total lipid (mg/g) 2953.4 ± 5.0
Triacylglycerol76.0 ± 4.4
Free fatty acids7.0 ± 3.2
Sterols1.8 ± 0.7
Acetone mobile polar lipids10.4 ± 4.9
Phospholipid3.8 ± 1.1
Fatty acid composition (%)
14:011.3 ± 0.1
16:026.5 ± 0.4
18:01.0 ± 0.0
Total SFA 340.7 ± 0.5
16:1ꞷ74.6 ± 0.1
18:1ꞷ91.0 ± 0.0
18:1ꞷ73.0 ± 0.1
Total MUFA 48.7 ± 0.1
18:2ꞷ6 (LA)0.4 ± 0.0
18:3ꞷ60.1 ± 0.0
20:4ꞷ6 (ARA)0.1 ± 0.0
22:5ꞷ6 (ꞷ6DPA)7.6 ± 0.0
18:3ꞷ3 (ALA)0.1 ± 0.0
18:4ꞷ30.2 ± 0.0
20:4ꞷ30.5 ± 0.0
20:5ꞷ3 (EPA)0.8 ± 0.0
22:5ꞷ30.1 ± 0.0
22:6ꞷ3 (DHA)40.7 ± 0.3
Total PUFA 550.6 ± 0.4
Total ꞷ342.4 ± 0.3
Total ꞷ68.2 ± 0.1
ꞷ3/ꞷ6 ratio5.1 ± 0.0
EPA + DHA41.5 ± 0.3
DHA/EPA ratio51.9 ± 0.1
1 Data expressed as percent lipid or fatty acid methyl ester (FAME); Values are means ± standard deviation (n = 3 per treatment). 2 Data determined gravimetrically. 3 Saturated fatty acid. 4 Monounsaturated fatty acid. 5 Polyunsaturated fatty acid.
Table 2. Lipid composition of experimental diets 1.
Table 2. Lipid composition of experimental diets 1.
FOFO/COLMOHMO
Total lipid (mg/g)206.4 ± 17.9269.8 ± 12.8240.5 ± 68.4220.5 ± 48.1
Triacylglycerol69.0 ± 6.3 ab66.4 ± 1.2 b77.3 ± 2.9 a74.5 ± 4.3 ab
Free fatty acids7.4 ± 1.26.3 ± 0.35.7 ± 0.36.6 ± 0.9
Sterol1.5 ± 0.21.7 ± 0.52.2 ± 0.21.8 ± 0.7
Phospholipid16.1 ± 2.7 ab19.9 ± 0.9 a12.3 ± 2.8 b13.3 ± 3.7 ab
Fatty acid composition (%)
14:06.1 ± 0.1 a3.3 ± 0.1 c2.6 ± 0.0 d4.5 ± 0.2 b
16:018.0 ± 0.1 a12.4 ± 0.1 c11.4 ± 0.1 d15.1 ± 0.3 b
18:04.0 ± 0.1 a3.2 ± 0.1 c2.3 ± 0.0 d2.0 ± 0.0 b
Total SFA 229.7 ± 0.3 a20.2 ± 0.1 c17.5 ± 0.1 d23.0 ± 0.3 b
16:1ꞷ76.8 ± 0.1 a4.0 ± 0.1 b2.0 ± 0.0 d2.8 ± 0.2 c
18:1ꞷ912.8 ± 0.2 d32.5 ± 0.1 b41.0 ± 0.1 a29.6 ± 0.8 c
18:1ꞷ72.4 ± 0.02.3 ± 0.12.3 ± 0.12.5 ± 0.1
20:1ꞷ91.9 ± 0.11.9 ± 0.11.6 ± 0.01.7 ± 0.5
Total MUFA 328.2 ± 0.3 d43.9 ± 0.5 b49.0 ± 0.1 a39.5 ± 1.1 c
18:2ꞷ6 (LA)8.1 ± 0.0 c14.6 ± 0.1 b17.6 ± 0.1 a14.2 ± 0.5 b
18:3ꞷ60.2 ± 0.1 a0.1 ± 0.0 b0.0 ± 0.0 b0.1 ± 0.1 b
20:3ꞷ60.1 ± 0.10.1 ± 0.10.0 ± 0.00.0 ± 0.0
20:4ꞷ6 (ARA)1.0 ± 0.1 a0.6 ± 0.1 b0.2 ± 0.0 c0.2 ± 0.0 c
22:4ꞷ60.1 ± 0.0 a0.1 ± 0.0 ab0.0 ± 0.0 b0.0 ± 0.0 b
22:5ꞷ6 (ꞷ6DPA)0.3 ± 0.0 c0.2 ± 0.1 c1.4 ± 0.0 b2.7 ± 0.1 a
18:3ꞷ3 (ALA)1.2 ± 0.1 c3.8 ± 0.0 b4.9 ± 0.0 a3.6 ± 0.2 b
18:4ꞷ32.0 ± 0.0 a1.1 ± 0.1 b0.1 ± 0.0 c0.2 ± 0.0 c
20:4ꞷ30.6 ± 0.1 a0.3 ± 0.1 b0.1 ± 0.0 c0.2 ± 0.0 bc
20:5ꞷ3 (EPA)12.8 ± 0.0 a6.7 ± 0.3 b0.7 ± 0.6 c0.8 ± 0.1 c
22:5ꞷ31.6 ± 0.0 a0.8 ± 0.0 b0.1 ± 0.0 c0.1 ± 0.0 c
22:6ꞷ3 (DHA)8.0 ± 0.1 b4.3 ± 0.1 c8.1 ± 0.1 b15.0 ± 0.6 a
Total PUFA 441.2 ± 0.4 a35.3 ± 0.5 c33.4 ± 0.1 d37.5 ± 1.1 b
Total ꞷ327.0 ± 0.2 a17.4 ± 0.4 c14.0 ± 0.1 d19.9 ± 0.6 b
Total ꞷ69.9 ± 0.2 d15.7 ± 0.1 c19.3 ± 0.1 a17.4 ± 0.6 b
ꞷ3/ꞷ6 ratio2.7 ± 0.1 a1.1 ± 0.0 b0.7 ± 0.0 c1.1 ± 0.0 b
EPA + DHA20.8 ± 0.1 a11.0 ± 0.4 c8.7 ± 0.1 d15.9 ± 0.5 b
EPA + DHA g/kg feed3.73 ± 0.42.53 ± 0.11.87 ± 0.53.10 ± 0.8
DHA/EPA ratio0.6 ± 0.0 c0.6 ± 0.0 c12.2 ± 1.1 b18.6 ± 3.3 a
EPA/ARA ratio12.5 ± 0.8 a11.1 ± 1.6 a3.4 ± 0.3 b3.6 ± 0.5 b
DHA/ARA ratio7.8 ± 0.5 c7.0 ± 0.9 c40.8 ± 2.9 b66.7 ± 6.7 a
1 Data expressed as percent lipid or fatty acid methyl ester (FAME); Values are means ± standard deviation (n = 9 per treatment). Means with different superscripts indicate significant differences (p < 0.05) based on Tukey’s post-hoc test following a general linear model analysis; FO = fish oil; FO/CO = fish oil/canola oil; LMO = low microbial oil; HMO = high microbial oil. 2 Saturated fatty acid. 3 Monounsaturated fatty acid. 4 Polyunsaturated fatty acid.
Table 3. Sterol composition of experimental diets expressed in μg/g 1.
Table 3. Sterol composition of experimental diets expressed in μg/g 1.
FOFO/COLMOHMO
Cholesterol736 ± 229551 ± 167304 ± 151349.8 ± 58.7
Brassicasterol-84.0 ± 1356.9 ± 2723.9 ± 13.8
Lathosterol---57.6 ± 9.1
Campesterol58.9 ± 21163 ± 53129 ± 44210.9 ± 58.7
Stigmasterol-102 ± 3363.9 ± 2238.0 ± 16.3
23,24-dimethylcholest-5-en-3β-ol209 ± 87427 ± 139166 ± 58247.7 ± 73.6
24-ethyl-5α-cholest-7-en-3β-ol76.9 ± 2871.2 ± 1794.9 ± 1996.1 ± 20.9
Total Sterol1081 ± 911398 ± 70815 ± 541024 ± 72.5
1 Values are means ± standard deviation (n = 3 per treatment). FO = fish oil; FO/CO = fish oil/canola oil; LMO = low microbial oil; HMO = high microbial oil.
Table 4. Lipid class and total fatty acid composition of Atlantic salmon liver tissue, prior to feeding experimental diets and after 16 weeks of feeding experimental diets 1.
Table 4. Lipid class and total fatty acid composition of Atlantic salmon liver tissue, prior to feeding experimental diets and after 16 weeks of feeding experimental diets 1.
InitialFOFO/COLMOHMO
Lipid composition (%)
Total lipid (mg/g)34.4 ± 8.735.03 ± 4.2837.44 ± 6.7437.41 ± 6.2235.77 ±4.72
Neutral lipid34.0 ± 9.216.8 ± 4.415.6 ± 3.318.9 ± 5.517.6 ± 4.4
Polar lipid66.0 ± 9.283.2 ± 4.484.4 ± 3.381.1 ± 5.582.4 ± 4.4
Lipid class composition (%)
Triacylglycerol5.7 ± 10.00.1 ± 0.1 b0.7 ± 0.8 ab0.4 ± 0.6 ab2.8 ± 4.2 a
Free fatty acids18.5 ± 3.17.8 ± 2.97.6 ± 2.39.3 ± 1.37.9 ± 2.5
Sterol9.1 ± 2.57.4 ± 2.85.2 ± 1.55.9 ± 1.85.6 ± 1.4
Phospholipid58.0 ± 10.777.4 ± 8.079.3 ± 4.975.5 ± 8.778.3 ± 5.5
PL/ST ratio6.7 ± 1.813.7 ± 11.616.6 ± 4.813.6 ± 3.914.9 ± 4.0
Fatty acid composition (%)
14:01.3 ± 0.21.9 ± 0.2 a1.4 ± 0.1 c1.2 ± 0.1 d1.7 ± 0.2 b
16:014.3 ± 1.917.0 ± 1.4 a14.6 ± 1.4 b14.1 ± 2.3 b15.7 ± 1.3 ab
18:05.2 ± 0.54.8 ± 0.6 a4.0 ± 0.4 b3.3 ± 0.3 c3.5 ± 0.4 bc
Total SFA 221.7 ± 2.024.3 ± 1.6 a20.4 ± 1.8 bc19.1 ± 2.4 c21.6 ± 1.6 b
16:1ꞷ72.4 ± 0.62.0 ± 0.3 a1.5 ± 0.2 b0.9 ± 0.2 c1.1 ± 0.2 c
18:1ꞷ917.8 ± 4.69.3 ± 0.9 c17.3 ± 1.5 ab20.8 ± 4.4 a15.8 ± 2.9 b
18:1ꞷ72.6 ± 0.52.4 ± 0.32.2 ± 0.32.0 ± 0.42.1 ± 0.3
Total MUFA 327.4 ± 6.616.9 ± 1.6 c24.9 ± 2.5 ab28.0 ± 6.2 a22.4 ± 3.6 b
18:2ꞷ6 (LA)6.8 ± 2.23.5 ± 0.2 a6.6 ± 0.5 b8.3 ± 0.8 c6.4 ± 1.2 b
18:3ꞷ60.3 ± 0.20.1 ± 0.0 a0.1 ± 0.0 a0.1 ± 0.0 ab0.1 ± 0.0 b
20:3ꞷ60.9 ± 0.20.3 ± 0.1 d0.8 ± 0.1 b1.3 ± 0.2 a0.6 ± 0.1 c
20:4ꞷ6 (ARA)3.6 ± 0.74.0 ± 0.3 a3.1 ± 0.4 b3.0 ± 0.6 b3.3 ± 0.7 ab
22:4ꞷ60.2 ± 0.10.5 ± 0.1 a0.4 ± 0.2 b0.1 ± 0.0 c0.1 ± 0.0 c
22:5ꞷ6 (ꞷ6DPA)0.5 ± 0.10.6 ± 0.1 c0.4 ± 0.0 c3.3 ± 0.4 b4.4 ± 0.4 a
18:3ꞷ3 (ALA)0.9 ± 0.20.3 ± 0.0 c1.1 ± 0.1 ab1.3 ± 0.2 a1.0 ± 0.3 b
18:4ꞷ30.5 ± 0.20.1 ± 0.00.1 ± 0.10.1 ± 0.00.1 ± 0.0
20:4ꞷ30.6 ± 0.20.8 ± 0.1 a0.6 ± 0.1 b0.3 ± 0.1 c0.2 ± 0.0 d
20:5ꞷ3 (EPA)5.8 ± 1.19.0 ± 0.9 a6.7 ± 1.0 b1.6 ± 0.4 c1.5 ± 0.2 c
22:5ꞷ31.5 ± 0.33.6 ± 0.2 a1.9 ± 0.2 b0.4 ± 0.1 c0.4 ± 0.1 c
22:6ꞷ3 (DHA)27.0 ± 5.732.8 ± 0.9 ab29.8 ± 2.0 b30.5 ± 4.2 b35.8 ± 3.0 a
Total PUFA 450.6 ± 4.658.5 ± 0.6 a54.4 ± 1.4 b52.8 ± 3.9 b55.9 ± 2.4 ab
Total ꞷ336.6 ± 6.247.0 ± 0.9 a40.4 ± 1.6 b34.5 ± 4.2 c39.2 ± 2.8 b
Total ꞷ612.9 ± 1.99.9 ± 0.5 a13.0 ± 0.4 b18.2 ± 0.7 c16.5 ± 0.5 d
ꞷ3/ꞷ6 ratio2.9 ± 0.74.8 ± 0.3 a3.1 ± 0.2 b1.9 ± 0.3 d2.4 ± 0.2 c
EPA + DHA32.8 ± 6.641.8 ± 0.9 ab36.4 ± 1.8 b32.1 ± 4.5 a37.3 ± 3.1 ab
DHA/EPA ratio4.7 ± 0.83.7 ± 0.4 c4.6 ± 0.9 c19.2 ± 3.2 b24.6 ± 2.6 a
EPA/ARA ratio1.6 ± 0.23.3 ± 0.4 a2.1 ± 0.3 a0.6 ± 0.2 b0.5 ± 0.1 b
DHA/ARA ratio7.6 ± 0.68.4 ± 0.7 b9.6 ± 1.4 ab10.3 ± 1.7 ab11.1 ± 1.9 a
1 Data expressed as percent lipid or fatty acid methyl ester (FAME); Values are means ± standard deviation (n = 9 per treatment). Means with different superscripts indicate significant differences (p < 0.05) based on Tukey’s post-hoc test following a general linear model analysis; FO = fish oil; FO/CO = fish oil/canola oil; LMO = low microbial oil; HMO = high microbial oil. 2 Saturated fatty acid. 3 Monounsaturated fatty acid. 4 Polyunsaturated fatty acid.
Table 5. Phospholipid fatty acid composition of Atlantic salmon liver tissue after 16 weeks of feeding experimental diets 1.
Table 5. Phospholipid fatty acid composition of Atlantic salmon liver tissue after 16 weeks of feeding experimental diets 1.
FOFO/COLMOHMO
Fatty acid composition (%)
14:01.7 ± 0.2 a1.3 ± 0.1 b1.1 ± 0.2 b1.6 ± 0.1 a
16:020.3 ± 1.819.3 ± 2.118.9 ± 2.020.9 ± 1.3
18:06.5 ± 1.2 a6.1 ± 1.4 a4.9 ± 0.5 b5.6 ± 1.0 ab
Total SFA 229.3 ± 2.8 a27.3 ± 3.4 ab25.6 ± 2.5 b28.9 ± 2.0 a
16:1ꞷ71.6 ± 0.4 a1.4 ± 0.4 b0.8 ± 0.2 c1.0 ± 0.2 c
18:1ꞷ97.3 ± 0.3 d11.5 ± 0.3 b13.1 ± 0.4 a10.6 ± 0.9 c
18:1ꞷ72.0 ± 0.1 a1.6 ± 0.2 b1.4 ± 0.1 c1.5 ± 0.1 bc
20:1ꞷ91.1 ± 0.2 b1.5 ± 0.5 ab1.7 ± 0.5 a1.5 ± 0.4 ab
Total MUFA 313.6 ± 0.5 c17.5 ± 1.1 a17.9 ± 0.8 a15.7 ± 1.3 b
18:2ꞷ6 (LA)2.7 ± 0.2 a4.9 ± 0.5 b6.4 ± 0.3 c4.7 ± 0.6 b
18:3ꞷ60.1 ± 0.0 a0.1 ± 0.0 ab0.1 ± 0.0 bc0.1 ± 0.0 c
20:2ꞷ60.9 ± 0.1 c1.6 ± 0.5 b2.1 ± 0.6 a1.6 ± 0.4 ab
20:3ꞷ60.3 ± 0.1 d0.8 ± 0.1 b1.4 ± 0.3 a0.6 ± 0.1 c
20:4ꞷ6 (ARA)4.1 ± 0.33.6 ± 0.53.7 ± 0.63.7 ± 0.4
22:4ꞷ60.2 ± 0.1 a0.2 ± 0.1 ab0.1 ± 0.0 ab0.1 ± 0.0 b
22:5ꞷ6 (ꞷ6DPA)0.6 ± 0.1 c0.5 ± 0.1 c4.1 ± 0.2 b4.7 ± 0.3 a
18:3ꞷ3 (ALA)0.2 ± 0.0 c0.6 ± 0.1 ab0.7 ± 0.1 a0.5 ± 0.1 b
20:3ꞷ30.1 ± 0.0 b0.2 ± 0.1 a0.2 ± 0.1 a0.2 ± 0.0 a
20:4ꞷ30.5 ± 0.1 a0.5 ± 0.1 a0.3 ± 0.1 c0.1 ± 0.0 b
20:5ꞷ3 (EPA)8.0 ± 1.1 a6.7 ± 1.2 b1.7 ± 0.4 c1.4 ± 0.2 c
22:5ꞷ32.9 ± 0.2 a1.7 ± 0.2 b0.4 ± 0.1 c0.3 ± 0.1 c
22:6ꞷ3 (DHA)34.6 ± 2.6 ab32.5 ± 2.9 b35.1 ± 1.5 ab37.1 ± 2.6 a
Total PUFA 456.7 ± 3.055.0 ± 3.756.5 ± 2.455.4 ± 2.7
PUFA/SFA ratio2.0 ± 0.32.1 ± 0.42.2 ± 0.31.9 ± 0.2
Total ꞷ346.7 ± 2.7 a42.5 ± 3.2 b38.4 ± 1.6 c39.7 ± 2.7 bc
Total ꞷ68.9 ± 0.4 a11.7 ± 0.7 b17.8 ± 1.3 c15.5 ± 0.6 d
ꞷ3/ꞷ6 ratio5.3 ± 0.4 a3.6 ± 0.2 b2.2 ± 0.2 d2.6 ± 0.2 c
EPA + DHA42.6 ± 2.6 a39.2 ± 3.1 b36.8 ± 1.5 b38.4 ± 2.7 b
DHA/EPA ratio4.4 ± 0.7 c5.0 ± 1.1 c21.2 ± 4.1 b27.8 ± 2.8 a
EPA/ARA ratio2.0 ± 0.4 a1.9 ± 0.4 a0.5 ± 0.2 b0.4 ± 0.1 b
DHA/ARA ratio8.5 ± 0.99.2 ± 1.79.7 ± 1.810.3 ± 1.6
1 Data expressed as percent lipid or fatty acid methyl ester (FAME); Values are means ± standard deviation (n = 9 per treatment). Means with different superscripts indicate significant differences (p < 0.05) based on Tukey’s post-hoc test following a general linear model analysis; FO = fish oil; FO/CO = fish oil/canola oil; LMO = low microbial oil; HMO = high microbial oil. 2 Saturated fatty acid. 3 Monounsaturated fatty acid. 4 Polyunsaturated fatty acid.
Table 6. Lipid class and total fatty acid composition of Atlantic salmon muscle tissue, prior to feeding experimental diets and after 16 weeks of feeding experimental diets 1.
Table 6. Lipid class and total fatty acid composition of Atlantic salmon muscle tissue, prior to feeding experimental diets and after 16 weeks of feeding experimental diets 1.
InitialFOFO/COLMOHMO
Lipid composition (%)
Total lipid (mg/g)9.9 ± 3.245.4 ± 11.1 a36.1 ± 10.8 b38.3 ± 7.0 ab37.4 ±6.6 ab
Neutral lipid27.9 ± 9.747.8 ± 16.8 b60.8 ± 12.9 a65.8 ± 6.1 a60.6 ± 8.7 a
Polar lipid72.1 ± 9.752.2 ± 16.8 a39.2 ± 12.9 b34.2 ± 6.1 b39.4 ± 8.7 b
Lipid class composition (%)
Triacylglycerol16.0 ± 9.740.4 ± 14.5 b53.1 ± 13.9 a57.4 ± 6.7 a51.9 ± 8.2 a
Free fatty acids4.3 ± 2.24.3 ± 1.54.0 ± 1.15.6 ± 1.05.5 ± 1.6
Sterol6.8 ± 1.80.9 ± 0.6 b1.8 ± 0.8 a1.2 ± 0.3 ab0.8 ± 0.4 b
Phospholipid68.8 ± 11.936.9 ± 15.4 a23.7 ± 13.4 b21.9 ± 8.2 b23.3 ± 6.1 b
PL/ST ratio10.6 ± 2.143.2 ± 39.3 a14.0 ± 7.7 b19.6 ± 9.1 b27.5 ± 21.1 ab
Fatty acid composition (%)
14:01.5 ± 0.44.3 ± 0.3 a2.5 ± 0.2 c1.9 ± 0.1 d3.1 ± 0.2 b
16:014.8 ± 0.914.9 ± 0.5 a12.2 ± 0.5 c11.1 ± 0.4 d13.5 ± 0.3 b
18:04.5 ± 0.42.9 ± 0.1 a2.8 ± 0.1 a2.3 ± 0.1 b2.1 ± 0.1 c
Total SFA 221.5 ± 0.923.0 ± 0.4 a18.3 ± 0.4 c16.1 ± 0.5 d19.7 ± 0.6 b
16:1ꞷ72.7 ± 0.86.2 ± 0.4 a3.5 ± 0.2 b1.9 ± 0.1 d2.6 ± 0.1 c
18:1ꞷ913.9 ± 3.114.5 ± 0.8 d30.6 ± 1.6 b36.8 ± 0.4 a28.7 ± 0.7 c
18:1ꞷ72.6 ± 0.22.8 ± 0.1 a2.7 ± 0.1 b2.7 ± 0.0 b2.8 ± 0.0 a
Total MUFA 323.9 ± 5.628.6 ± 1.6 d41.3 ± 2.1 b45.6 ± 0.4 a37.7 ± 0.9 c
18:2ꞷ6 (LA)6.7 ± 1.38.6 ± 0.6 c13.5 ± 0.6 b15.7 ± 0.4 a13.4 ± 0.2 b
18:3ꞷ60.2 ± 0.10.3 ± 0.0 bc0.3 ± 0.0 b0.3 ± 0.0 a0.2 ± 0.0 c
20:3ꞷ60.5 ± 0.10.2 ± 0.0 c0.2 ± 0.0 b0.4 ± 0.0 a0.2 ± 0.0 bc
20:4ꞷ6 (ARA)1.8 ± 0.41.0 ± 0.0 a0.6 ± 0.1 b0.5 ± 0.0 c0.5 ± 0.0 c
22:5ꞷ6 (ꞷ6DPA)0.6 ± 0.10.3 ± 0.0 c0.2 ± 0.0 d1.5 ± 0.0 b2.6 ± 0.1 a
18:3ꞷ3 (ALA)1.3 ± 0.21.2 ± 0.1 d3.3 ± 0.2 b3.8 ± 0.1 a3.1 ± 0.1 c
18:4ꞷ30.7 ± 0.21.6 ± 0.1 a1.0 ± 0.1 b0.5 ± 0.0 c0.3 ± 0.0 d
20:4ꞷ30.7 ± 0.10.8 ± 0.0 a0.5 ± 0.0 b0.3 ± 0.0 c0.3 ± 0.0 c
20:5ꞷ3 (EPA)6.8 ± 1.19.6 ± 0.7 a4.7 ± 0.5 b0.8 ± 0.0 c0.9 ± 0.2 c
22:5ꞷ32.1 ± 0.23.3 ± 0.1 a1.6 ± 0.1 b0.3 ± 0.0 c0.3 ± 0.0 c
22:6ꞷ3 (DHA)29.8 ± 5.915.6 ± 2.0 b10.7 ± 2.3 c12.6 ± 0.5 c19.4 ± 1.3 a
Total PUFA 453.4 ± 5.447.7 ± 1.7 a40.0 ± 2.0 c38.2 ± 0.6 c42.4 ± 1.4 b
Total ꞷ341.9 ± 6.433.1 ± 2.4 a22.3 ± 2.6 b18.5 ± 0.5 c24.5 ± 1.4 b
Total ꞷ610.4 ± 1.210.9 ± 0.6 d15.6 ± 0.6 c19.2 ± 0.4 a17.6 ± 0.2 b
ꞷ3/ꞷ6 ratio4.2 ± 1.03.1 ± 0.4 a1.4 ± 0.2 b1.0 ± 0.0 c1.4 ± 0.1 b
EPA + DHA36.5 ± 6.825.2 ± 2.5 c15.4 ± 2.7 c13.4 ± 0.5 b20.3 ± 1.4 a
DHA/EPA ratio4.4 ± 0.51.6 ± 0.1 a2.3 ± 0.3 c15.7 ± 1.1 c21.7 ± 3.3 b
EPA/ARA ratio3.8 ± 0.410.2 ± 0.5 a7.4 ± 0.4 b1.8 ± 0.1 c1.9 ± 0.3 c
DHA/ARA ratio16.4 ± 2.416.4 ± 1.9 c16.7 ± 2.3 c27.9 ± 1.9 b40.1 ± 3.0 a
DHA + EPA/112 g273.3924.0467.0467.0670.9
1 Data expressed as percent lipid or fatty acid methyl ester (FAME); Values are means ± standard deviation (n = 9 per treatment). Means with different superscripts indicate significant differences (p < 0.05) based on Tukey’s post-hoc test following a general linear model analysis; FO = fish oil; FO/CO = fish oil/canola oil; LMO = low microbial oil; HMO = high microbial oil. 2 Saturated fatty acid. 3 Monounsaturated fatty acid. 4 Polyunsaturated fatty acid.
Table 7. Phospholipid fatty acid composition of Atlantic salmon muscle tissue after 16 weeks of feeding experimental diets 1.
Table 7. Phospholipid fatty acid composition of Atlantic salmon muscle tissue after 16 weeks of feeding experimental diets 1.
FOFO/COLMOHMO
Fatty acid composition (%)
14:01.7 ± 0.5 a1.0 ± 0.1 b1.0 ± 0.3 b1.2 ± 0.3 b
16:025.8 ± 8.3 a19.2 ± 1.6 b19.4 ± 2.9 b21.7 ± 2.7 ab
18:04.4 ± 1.2 a3.6 ± 0.3 ab3.2 ± 0.6 b3.4 ± 0.5 b
Total SFA 232.7 ± 10.0 a24.4 ± 1.8 b24.2 ± 3.8 b26.9 ± 3.3 ab
16:1ꞷ71.9 ± 0.4 a1.3 ± 0.1 b0.8 ± 0.1 c1.0 ± 0.1 bc
18:1ꞷ96.8 ± 1.3 c11.0 ± 0.9 b13.3 ± 1.9 a9.9 ± 1.2 b
18:1ꞷ72.4 ± 0.52.2 ± 0.12.4 ± 0.32.3 ± 0.3
20:1ꞷ90.5 ± 0.1 ab0.5 ± 0.1 b0.6 ± 0.1 a0.4 ± 0.1 b
Total MUFA 312.6 ± 2.6 c15.7 ± 1.1 ab17.7 ± 2.6 a14.3 ± 1.6 bc
18:2ꞷ6 (LA)2.3 ± 0.2 a4.4 ± 0.5 b5.4 ± 0.5 c3.7 ± 0.3 d
18:3ꞷ60.1 ± 0.0 a0.1 ± 0.0 a0.1 ± 0.0 a0.1 ± 0.0 b
20:2ꞷ60.3 ± 0.0 c0.5 ± 0.1 b0.7 ± 0.1 a0.4 ± 0.1 b
20:3ꞷ60.1 ± 0.0 c0.4 ± 0.1 b0.6 ± 0.1 a0.2 ± 0.0 c
20:4ꞷ6 (ARA)1.1 ± 0.3 b1.4 ± 0.1 a1.2 ± 0.1 ab1.1 ± 0.1 b
22:4ꞷ60.2 ± 0.0 a0.2 ± 0.0 a0.1 ± 0.1 b0.1 ± 0.0 b
22:5ꞷ6 (ꞷ6DPA)0.5 ± 0.1 b0.6 ± 0.0 b3.9 ± 0.5 a4.0 ± 0.4 a
18:3ꞷ3 (ALA)0.5 ± 0.0 a1.7 ± 0.1 b2.0 ± 0.2 c1.2 ± 0.1 d
18:4ꞷ30.3 ± 0.0 a0.3 ± 0.0 a0.2 ± 0.0 b0.1 ± 0.0 c
20:3ꞷ30.1 ± 0.0 c0.2 ± 0.0 b0.2 ± 0.0 a0.1 ± 0.0 c
20:4ꞷ30.6 ± 0.1 a0.7 ± 0.1 a0.4 ± 0.1 b0.2 ± 0.0 c
20:5ꞷ3 (EPA)8.7 ± 2.1 a8.8 ± 0.7 a1.8 ± 0.3 b1.4 ± 0.2 b
22:5ꞷ33.6 ± 0.6 a2.9 ± 0.2 b0.6 ± 0.1 c0.4 ± 0.1 c
22:6ꞷ3 (DHA)33.7 ± 9.5 b35.8 ± 1.5 b39.8 ± 6.0 ab45.0 ± 4.5 a
Total PUFA 454.2 ± 12.659.8 ± 1.358.0 ± 6.458.7 ± 4.8
PUFA/SFA ratio1.9 ± 0.8 b2.5 ± 0.2 a2.5 ± 0.5 a2.2 ± 0.4 ab
Total ꞷ348.0 ± 12.450.8 ± 1.245.1 ± 6.348.5 ± 4.7
Total ꞷ64.7 ± 0.3 a7.5 ± 0.7 b12.0 ± 0.6 c9.5 ± 0.6 d
ꞷ3/ꞷ6 ratio10.2 ± 2.3 a6.8 ± 0.6 b3.8 ± 0.5 c5.1 ± 0.6 c
EPA + DHA42.4 ± 11.544.6 ± 1.241.6 ± 6.346.4 ± 4.7
DHA/EPA ratio3.9 ± 0.4 c4.1 ± 0.4 c22.1 ± 1.5 b31.6 ± 1.7 a
EPA/ARA ratio7.5 ± 0.4 a6.5 ± 0.3 b1.5 ± 0.2 c1.3 ± 0.2 c
DHA/ARA ratio29.0 ± 3.3 bc26.3 ± 2.6 c32.4 ± 3.9 b42.4 ± 4.8 a
1 Data expressed as percent lipid or fatty acid methyl ester (FAME); Values are means ± standard deviation (n = 9 per treatment). Means with different superscripts indicate significant differences (p < 0.05) based on Tukey’s post-hoc test following a general linear model analysis; FO = fish oil; FO/CO = fish oil/canola oil; LMO = low microbial oil; HMO = high microbial oil. 2 Saturated fatty acid. 3 Monounsaturated fatty acid. 4 Polyunsaturated fatty acid.
Table 8. Sterol composition of Atlantic salmon muscle tissue after 16 weeks of feeding experimental diets expressed in μg/g 1.
Table 8. Sterol composition of Atlantic salmon muscle tissue after 16 weeks of feeding experimental diets expressed in μg/g 1.
FOFO/COLMOHMO
Cholesterol89.9 ± 16.6 a53.9 ± 3.35 b119 ± 2.57 a117 ± 4.38 a
Cholestanol18.3 ± 9.193.57 ± 2.079.8 ± 7.795.03 ± 3.94
Campesterol7.8 ± 6.077.5 ± 6.0112.8 ± 5.457.31 ± 5.54
Stigmasterol6.9 ± 5.386.83 ± 5.2411.9 ± 4.936.41 ± 4.63
Dinosterol7.7 ± 6.505.40 ± 3.9111.5 ± 5.726.40 ± 5.07
Total Sterol131 ± 9.877 ± 5.6165 ± 5.3142 ± 4.7
1 Values are means ± standard deviation (n = 5 per treatment). Means with different superscripts indicate significant differences (p < 0.05) based on Tukey’s post-hoc test following a general linear model analysis; FO = fish oil; FO/CO = fish oil/canola oil; LMO = low microbial oil; HMO = high microbial oil.
Disclaimer/Publisher’s Note: The statements, opinions and data contained in all publications are solely those of the individual author(s) and contributor(s) and not of MDPI and/or the editor(s). MDPI and/or the editor(s) disclaim responsibility for any injury to people or property resulting from any ideas, methods, instructions or products referred to in the content.

Share and Cite

MDPI and ACS Style

Guerra, N.; Parrish, C.C.; Wei, M.; Perry, J.; Armenta, R.E.; Colombo, S.M. Effects of Replacement of Fish Oil with Microbial Oil (Schizochytrium sp. T18) on Membrane Lipid Composition of Atlantic Salmon Parr Muscle and Liver Tissues. Sustainability 2023, 15, 4594. https://doi.org/10.3390/su15054594

AMA Style

Guerra N, Parrish CC, Wei M, Perry J, Armenta RE, Colombo SM. Effects of Replacement of Fish Oil with Microbial Oil (Schizochytrium sp. T18) on Membrane Lipid Composition of Atlantic Salmon Parr Muscle and Liver Tissues. Sustainability. 2023; 15(5):4594. https://doi.org/10.3390/su15054594

Chicago/Turabian Style

Guerra, Nigel, Christopher C. Parrish, Minmin Wei, Judy Perry, Roberto E. Armenta, and Stefanie M. Colombo. 2023. "Effects of Replacement of Fish Oil with Microbial Oil (Schizochytrium sp. T18) on Membrane Lipid Composition of Atlantic Salmon Parr Muscle and Liver Tissues" Sustainability 15, no. 5: 4594. https://doi.org/10.3390/su15054594

APA Style

Guerra, N., Parrish, C. C., Wei, M., Perry, J., Armenta, R. E., & Colombo, S. M. (2023). Effects of Replacement of Fish Oil with Microbial Oil (Schizochytrium sp. T18) on Membrane Lipid Composition of Atlantic Salmon Parr Muscle and Liver Tissues. Sustainability, 15(5), 4594. https://doi.org/10.3390/su15054594

Note that from the first issue of 2016, this journal uses article numbers instead of page numbers. See further details here.

Article Metrics

Back to TopTop