Next Article in Journal
State of the Art of Business Models: A Bibliometric Analysis
Next Article in Special Issue
Numerical Study on Influence of Wall Thermal Effect on Thermal Impact of Gas Explosion
Previous Article in Journal
Examining the Impact of Marketing Motives and Concerns on User Satisfaction and Re-Purchase Intentions in a Sharing Economy
Previous Article in Special Issue
Study on Dynamic Response of Damper under Gas Explosion Impact
 
 
Font Type:
Arial Georgia Verdana
Font Size:
Aa Aa Aa
Line Spacing:
Column Width:
Background:
Article

Safety Risk Assessment and Management of Panzhihua Open Pit (OP)-Underground (UG) Iron Mine Based on AHP-FCE, Sichuan Province, China

1
School of Resources and Safety Engineering, Central South University, Changsha 410083, China
2
Panzhihua Iron and Steel Group Mining Co., Ltd., Panzhihua 617000, China
*
Author to whom correspondence should be addressed.
Sustainability 2023, 15(5), 4497; https://doi.org/10.3390/su15054497
Submission received: 9 February 2023 / Revised: 25 February 2023 / Accepted: 25 February 2023 / Published: 2 March 2023
(This article belongs to the Special Issue Mining Risk and Safety Management)

Abstract

In order to prevent accident cases and improve safety in the mining industry, a safety risk assessment and management process is needed to identify and respond to high-risk hazards in mines. This study aims to investigate the main safety risks factors influencing the typology of accidents in the Panzhihua OP-UG iron ore mine with the concept of minimizing them, reducing injuries and fatalities, and improving prevention policies. A methodology based on the analytic hierarchy process and fuzzy comprehensive evaluation (AHP-FCE) is applied to conduct a study on the assessment and evaluation of mine safety risks. Upon investigating the safety situation at the mine site, 85 risk factors were identified, of which 49 factors were considered to be non-threatening and therefore compatible with existing control measures. The remaining potential hazards, altogether 36 factors, were ultimately categorized into six major specific groups. A mine safety index system and safety risk evaluation model are established to support the evaluation process. The results show that the overall risk level of the Panzhihua OP-UG iron mine is at a medium level with a score of 86.5%. Appropriate risk management measures were recommended for each risk factor from the perspectives of theoretical analysis, safety system optimization of mine technology, disaster prevention and control of slope failure, etc. Finally, this research serves as a great industrial value and academic significance to provide technical support for the safety production of mining enterprises. Hence, the FCE method can serve as a technique to accurately evaluate the impact of iron mine risk.

1. Introduction

In recent years, the issue of risk assessment and management in mine enterprises has attracted global attention, bringing serious safety challenges to the development of the mining industry. To avoid these challenges, mine enterprises must take precautions related to accidents as well as maintain the highest safety standards for all concerned [1,2,3]. In addition, mine accidents have various causes and consequences, but the main concern is the casualties [4]. At present, the overall technical level of safety production in metal and non-metal mines in China has made great progress, but the issue of safety production is still under great pressure, and the incidence of mine safety risks accidents remains high compared to other industries [5]. This is because in an OP-UG mine, there are always a variety of hazards (e.g., mine geological condition, floods, mechanical, transportation, landslide, electrical hazards, etc.).
According to relevant information, about 90% of China’s open pit iron ore mines have been converted to deep concave open pit mining, and many deep concave open pit mines are being or have been converted to deep underground mining. During the production stage of the mine, it is widely known that the conversion of a mine from open pit to underground mining usually goes through three stages: a single open pit (OP) mining period, an open pit and underground (OP-UG) synergistic period, and a single underground (UG) mining period. Before the operation of an open pit mine extends to underground mining, mine safety risks are usually accommodated in the above-mentioned three stages of the mine transition period, such as: (i) safety risks in an open pit (OP) mine; (ii) risks encountered during interaction between the open pit–underground (OP-UG) mine; and finally, (iii) risks in the underground (UG) mine. Generally, the existence of risks in a mine may result in a reduction in production as well as leading to major production hazards, damage to the natural environment (e.g., soil, air, and soil pollution, subsidence, noise, etc.), and various social disputes [6,7], which seriously affect the smooth operation of mining enterprises. In the current era, the systematic implementation of a risk management approach has contributed to a significant decrease in the frequency of fatalities and injuries in China mines. In the past, safety management was mainly to identify hazards and formulate safety management measures for a single phase of open pit and underground mining separately but not from the perspective of the whole combination of risk assessment of two sites. For this purpose, there is a lack of safety understanding between safety risk identification and safety countermeasures for each phase of open pit to underground operation, which makes it very easy to have problems such as insufficient safety awareness of operators, lack of management measures and high risks. To avoid any further escalation of risks, various accidents should be investigated, and in most circumstances, sufficient information should be collected to prevent accidents prior to occurring [8].
Because of the enormous economic and psychological burdens of risk taking on various industrial projects, the case of risk assessment and management has received increasing attention in China and globally. Mine enterprises must conduct risk assessments in relation to certain high risks and hazards associated with slope, highwall instability and poor management as well as abide by the regulations issued and as required by the environmental protection agencies, etc. [9,10]. In order to keep valid safety records in mine enterprises, there are several evaluation methods needed to evaluate and analyze the safety risks. Currently, the most commonly used methods of safety evaluation include analytic hierarchy process (AHP) and risk index evaluation, among others. The AHP is one of the ways for deciding among the complex criteria structure in different levels [11]. Despite the flexibility of AHP in combining both the quantitative and qualitative methods to imitate multi-criteria decision-making problems, the existence of fuzziness and vagueness in many decision-making problems may result in the imprecise judgements of the decision making in conventional AHP approaches [12,13]. When the fuzziness of the decision makers is taken into consideration, the traditional AHP method is extended in a synthesized manner to create the fuzzy-AHP. One way to look at the fuzzy-AHP technique is as a more advanced analytical method that was created from the classical AHP approach. Several methods have been established to handle the fuzzy-AHP: Van Laarhoven and Pedrycz proposed the first study of the F-AHP method for comparing fuzzy ratios described by triangular fuzzy numbers [14]. In various related works, Tuzkaya et al. utilized a hybrid fuzzy-analytic network process and fuzzy-preference ranking organization method for the evaluation of the environmental performances of suppliers [15,16]. Significantly, there are numerous risk assessment techniques available, each of which may play a great role in a particular circumstance. So far, there is no single risk assessment method which proved the best for assessing safety risks in a combined OP-UG mine or any other particular situation. Therefore, the overall mine management, mine safety production management, and engineers should consider the special conditions of the mines and select the most appropriate techniques to ensure that a comprehensive risk assessment is carried out.
Several contributions have been made about risk assessment and the management of mining enterprises such as studies outlined by Tesfamariam et al. who proposed risk-based environment decision-making using (F-AHP) [17]. Gul et al. examined the occupational hazards in an underground copper and zinc mine. Their findings indicate that fuzzy approach solutions can be used to classify hazards at various levels [18]. Skhno et al. analyzed the available approaches which are used to determine risks of injuries of miners and established a new method for assessing risks of roof fall [19]. Kiani et al. assessed the risks of blasting in open pit mines using the FAHP method [20].Tripathy et al. investigated the safety hazards in India’s underground coal mines. They established a database that can help to better manage decisions to identify the most important hazards [21]. Leger analyzed the principle causes of occupational fatalities and disasters in the South African mining industry. His findings indicate that a miner who spent twenty years working underground would face a one in thirty chance of dying in an occupational accident, and the most important cause of fatalities was falls of ground [22]. You et al. analyzed the comprehensive classification reservoir’s producing conditions during the ultra-high water cut construction phase based on a multilevel FCE evaluation mathematics method for solving the problem of analyzing remaining oil in different kinds of reservoirs [23]. These studies do not adopt the analyzed AHP-FCE method in their risk evaluation analyses, and consequently, they face some flaws such as subjectivity in determining the weight vector of the evaluation criteria, rigid cutting of the membership degree of the risk evaluation grade, etc. Currently, the use of fuzzy sets is more considered and favored because of the simplification of the decision-making procedures and the fuzzy nature of pairwise comparisons that has led to reduction in decision uncertainty [24]. However, it is essential to analyze this method further in order to adapt the comprehensive evaluation of safety risks with a diverse evaluation judgment grading set. In comparison with risks in various sectors [25,26,27,28], this work provides an evaluation approach based on an analyzed AHP-FCE methodology to support the construction of the systematic risk control and evaluation process during the transition or operation of an OP-UG mine and to alleviate the concerns mentioned above. With this approach, the assessment matrix in accordance with the risk can be calculated to determine the risk degree, allowing the risk to be graded and the evaluation accuracy to be achieved. The main objective of this study is to analyze the safety information data of the Panzhihua OP-UG iron ore mine and to identify the main safety risk factors influencing the typology of accidents, which are mostly associated with potential hazards, by considering the application of analyzed AHP-FCE in evaluating them. At the same time, we also intend to propose new control measures. Hence, the evaluation steps and findings presented in this work can be incorporated and applied beyond the field of mining to address the situational concerns.

2. Study Area and Data Collection Strategy

2.1. About Panzhihua OP-UG Iron Ore Mine

The Panzhihua iron ore mine is located in the southwest border of Sichuan province, China. The mine is about 753 km from Chengdu city, and it covers an area of 19,900 square kilometers, with a well-developed railroad transportation system. The Panzhihua iron ore mine is the largest producer of iron ore and titanium raw material in the southwest region, and in China at large. The mine belongs to the type of basal and ultramafic magmatic of endogenous ore deposits, with an estimated annual reserve of 150 million tons and economic grade of Cr2O3 0.30%. The common type of mineral ore extracted in this area consists of chromium, scandium, cobalt, nickel, and gallium, among other useful minerals. For the past decades, the mine has maintained proven reserves record of vanadium and titanium magnetite, of which reserves account for 87% and 94.3%, ranking “the world’s third and leading producer of vanadium and titanium, respectively”. The annual average temperature is 20.9 °C, the extreme maximum temperature is 41.0 °C, while the minimum temperature is −1.0 °C. Currently; both Panzhihua open pit and underground mines are being exploited individually to meet the economic demand of the country. The present status of the Panzhihua OP-UG iron mine is shown in Figure 1.
In order to carry out the smooth operation of the mine safety system, the safety management of the Panzhihua Iron ore mine is operated effectively based on national government safety policies, risk management and control strategies, safety culture, emergency response, workers training standards, safety resource allocation, exercising management responsibility, correction of unsafe events, high core supervision, and preventive measures, among other factors. Meanwhile, the safety management system of the mine is strictly based on the principle of “safety first” under the mine safety management plans to ensure the smooth and safe operation of the mine system. Despite all efforts being made and the risk control measures that has been put in place, there are still levels of uncertainty that are risky and must be taken into serious consideration.

2.2. Data Collection Strategy

The collection of data in this study was obtained in four perspectives: firstly, site observation; secondly, review of mine safety documents; thirdly, an interview with highly experienced mine workers and experts was conducted for the assessment of high risks areas during the operation of mine; fourthly, the questionnaire means.
Based on the initial investigation of the safety situation at mine site, 85 risk factors were identified. Due to already existing risk control measures, 49 factors were considered non-threatening to the safe production of the mine. Among the existing and remaining potential safety risks, 36 in total were classified into six main risk factor groups. Each risk group consist of sub-risk factors.
Specifically, the questionnaire survey was analyzed using two main techniques: first is the pairwise comparison for weight determination; the second form uses the risk rating mean. The first survey was presented to 40 mine workers, and each was asked to assign a value between 1 and 9 to a risk factor. Only 36 participants completed the survey, while the remaining others failed to accomplished the requirement due to other commitments. The validity of the questionnaires lies at an effective rate of 90%, making the results of the survey more reliable. During the survey, a method based on AHP was applied to provide a structured framework for setting priorities using pairwise comparisons that are quantified using 1–9 Saaty scales shown in Table 1. To avoid ambiguity in calculation, scores of highly experienced specialists from various departments, especially managers, professional technicians and management experts of safety and engineering departments with expertise in mine safety risks, were used to generate comprehensive data shown in Table 2. For the second survey, we use scores driven from experts’ rating to evaluate the risk factors, and we finally utilize the FCE method to determine the safety status of various types of risk. The specific process and scoring results are discussed in Section 5.3 of this study. Additionally, this study establishes the mine safety risk evaluation model based on combining the fuzzy comprehensive evaluation theory with a weight system to evaluate the safe production of the Panzhihua OP-UG iron mine, as illustrated in Figure 2 [29,30,31].

3. Research Methodology

3.1. Analytic Hierarchy Process (AHP)

The AHP is a widely known multi-criteria decision-making method developed by an American researcher, Thomas L. Saaty, in the 1970s [32,33]. Its combines both qualitative and quantitative system analysis, which deals in solving complex fuzzy multi-factor problems effectively and conveniently [34]. AHP is a team decision-making technique, which involves the ranking of decision items and comparison of cluster pairs [35]. According to the relationship between the elements and membership, the multilevel structure is constructed by AHP. Based on the hierarchical structure model, we can achieve the judgment matrix. The judgement matrix D = [dij]n×n is built by the following method, in which Dij reflects the relationship between two elements [36]. After establishing the evaluation matrix, the maximum eigenvalue λ max and its corresponding feature vector W are determined, which is the sequence of relative importance of each evaluation element. Therefore, this method will provide a weighting for each element inside a hierarchy level and determine the weights of criteria for the six categories of risk indicators and their sub-risks indexes proposed in this work.

3.2. Fuzzy Comprehensive Evaluation (FCE)

FCE is a comprehensive decision-making approach of a multivariate problem-solving difficult decision process [37]. It is the application of fuzzy transformation and maximum degree of membership principle. Specifically, it is an effective strategy for complicated systems with multiple layers and fuzzy-influenced variables through which numerous interrelated aspects are reviewed exhaustively and multiple objectives are considered simultaneously to generate a fuzzy evaluation result [38]. Initially, the fuzzy set is utilized to represent several factors related to the evaluation object. Next, it is then applied to calculate the evaluation matrix and the weights of evaluation factors. Finally, the fuzzy transformation function is employed to obtain the evaluation results of a fuzzy set [39]. The mining industry presents unique challenges in the field of worker safety, which can be achieved through the identification and control of hazards that include environmental and equipment-based factors. As discussed above, the process in mine hazards evaluation inherently involves fuzzy, dynamic, uncertainty and changing of safety information. Therefore, the FCE technique adopted in this work will serve to analyze the relative weights of the risk-based criteria and sub-criteria, identified by the AHP, as inputs to the numerical calculations for the definition of the positive and negatively solutions and, consequently, for evaluating and obtaining the ranking of mine safety risks alternatives. The authors believe that the FCE will be an effective evaluation method to evaluate safety risks for achieving long-term safe performance for the Panzhihua OP-UG iron mine.

4. Determining of Weight Vector by AHP

Considering the complex formation of the Panzhihua OP-UG iron mine, the analytic hierarchy process is applied to determine the weight of safety risk factors according to the following process. Firstly, the fuzzy comprehensive evaluation analysis diagram for the mine safety risks evaluation index system is constructed and can be divided into three layers: the target layer, criterion layer (first-layer indexes) and sub-criterion layer (second-layer indexes) (see Figure 3). Secondly, the judgment matrix of the first-level indices (B1~B6) is obtained according to the 1–9 scale defined in Table 1. Thirdly, the eigenvalues and eigenvectors of each judgment matrix are determined based on the fuzzy analytic process (F-AHP) method. Then, the weighted sum values of the first-layer indicators (Bi) and second-layer indicators (Cij) in the evaluation index system are calculated. Based on the calculation, the weighted values of first-level layer indicators with respect to the target layer (A) are obtained. The results are then compared and analyzed to achieve the ranking criteria.. Finally, by using the combination of fuzzy comprehensive index evaluation and project risk assessment, the risk evaluation score of the Panzhihua OP-UG iron mine is determined to obtain the overall risk level of the mine; hence, its safety status is judged based on the risk ranking order.
By taking into account the relative importance values assigned to each risk indicator, a comprehensive summary of the scores generated from specific experts for the establishment of a pairwise comparison matrix for various risk criteria is presented (see Table 2). To avoid redundancy, only the comprehensive pairwise comparison matrix and all steps of the AHP-FCE analysis approach for the “geological factor” as the main sample are presented. The assessment results for other factors are presented in the form of final weights of the parameters to support the safety risk control decision-making process. The weights of the criteria and options in the paired comparison matrix for all criteria are calculated separately.

4.1. Safety Risk Evaluation Index System of Panzhihua OP-UG Iron Mine

In order to achieve the general target of risk control desire in mines, special efforts must be put in place to meet the required risk management objectives. The mine safety evaluation index system established in this research is explained based on the following terms [29].
(1) Goal-layer index. This is the top layer of the overall mission, which is presented as the risk assessment and management of OP-UG iron ore mine A.
(2) First-layer indexes. These are the major risk-level factors for safety evaluation; they include geological condition B1, mechanical and equipment factor B2, mine personnel risk factor B3, mine face operation factor B4, management factor B5, and environmental factor B6. Each of these factors is categorized into sub-criteria depending on the occurrence of risks.
(3) Second-layer indexes. The classification of these indexes can simplify the process for authorities in charge to identify all potential risks and prioritize them accordingly for the establishment of appropriate control or mitigation strategies. These levels of indexes are established as a result of further breakdown of first-layer indexes as shown in Figure 3 [9,40,41].

4.2. Establishment of the Corresponding Judgment Matrix

The corresponding judgement matrix is termed as the relative importance of the relevant components in the hierarchy. Assuming that elements in the B layer are related to element Cij in the next layer (C layer), then the weight values in each layer can be obtained accordingly [42].
Based on the site operation hazards investigation and safety status of the mine, the geological condition factor was selected as the mine guideline layer, while the thirty sub-risk factors were presented as the scheme layer defending on their complexity and control strategies. Apparently, the corresponding judgment matrix D is established.
D ˜ k   =   a ˜   11 k   a ˜   12 k     a ˜   1 n k a ˜   21 k a ˜   2 n k a ˜   n 1 k a ˜   n 2 k a ˜   n n k
where n indicates the number of risk factors, and D1k = 1/Di, i = 1, n; k = 1, …, n.  D ˜ Kij shows the K t h decision maker’s choice of the ith element over the jth element.
For the modification of the corresponding judgment matrix, the following matrix is considered:
D ˜ = a ˜ 11 a ˜ 1 n a ˜ n 1 a ˜ n n
Although the root, sum, and power methods are commonly applied to determine the maximum eigenvalue λ max and eigenvector W in various fields, other approaches may also be used depending on the project risk safety system status and risk control measures. In this scenario, the greatest indexes weight vectors for the Panzhihua OP-UG iron mine are determined using the sum method. The weight calculation procedure is based on the following steps 1–5.
Step 1: Calculate the sum of elements of each column of the judgment matrix:
M i = j = 1 n D i j ,   ( i = 1 ,   2 ,   ,   n )
Step 2: Normalize each column of the judgment matrix D independently:
W ij = D i j M i   ,   ( i = 1 ,   2 ,   ,   n ,   j = 1 ,   2 ,   ,   n )
Step 3: Determine the average weight of each row of the judgment matrix W i ¯ :
W ¯ i = W i j j = 1 n W i j ,   ( i = 1 ,   2 ,   ,   n )
Hence, the eigenvectors W ¯ can be expressed as follows:
W ¯ =   [ W ¯ 1 ,   W ¯ 2 ,   W ¯ 3 ,   W ¯ j ] T ,   ( j   =   1 , 2 ,   ,   n )
The W = [W1, W2, …Wn]T represents the feature vector weights as well as the overall criteria weights of each risk factor of the Panzhihua OP-UG iron mine that need to be determined.
Step 4: Calculate the largest eigenvalues λ max of the judgment matrix through the following formula:
λ max = i = 1 n D W i n W i
In the formula, λ max is the maximum eigenvalue, D is the prioritized judgment matrix, DW is the ith component of the vector matrix and Wi is the corresponding eigenvector. When the prioritized judgment matrix D = [dij]n×n, the elements in the “ith” row and “jth” column represent dij, i.e., 1 ≤ in, 1 ≤ jn.
Step 5: Testing the consistency index of the judgment:
To determine the difference between the maximum eigenvalue and the matrix dimension, the average value is taken as an index for measuring the consistency of the judgment matrix and is expressed according to the equation below:
C I = λ max n n 1
where CI denotes the consistency index, and n denotes the matrix dimension.
To affirm the randomness and consistency of the judgment matrix, and to approve whether the eigenvectors are acceptable, the empirical formula of the test is defined as:
CR = C I R I
Accordingly, CR is the random consistency ratio of the corresponding judgment matrix; CI is the consistency of the corresponding judgement matrix and RI is the average random consistency index of the corresponding judgement matrix and is determined in Table 3.
When the value of consistency ratio CR < 0.1, the judgment result is considered satisfactory and the decision to proceed with the next step can be executed. Otherwise, there is a need to revise or re-adjust the judgment matrix until necessary requirements are fulfilled.
By using Equation (8), the relative weights of each risk factor are computed, and the ranking weight value of the second-level indicators layer pertinent to the objective layer (A) is determined as shown in Table 4.
D c i j = D c i j D B i
Accordingly, Dcij is the obtained weighted value of second-level indications Cij, which are subordinate to the first-level indicators Bi, DBi is the weight value computed for the first-level indicators Bi subordinate to the target layer A, and D c i j ' indicates the layer with the lowest total row ranking weighted value.
Regarding the above Table 4, the overall mine safety risks ranking weight value of the lowest row indicators are analyzed based on the following equations:
CI Total = i = 1 6 D B i C I i
RI Total = i = 1 6 D B i R I i  
CR Total = C I T o t a l R I T o t a l  

5. Application of the Analyzed AHP-FCE Method and Procedures for Establishment of Safety Risk Evaluation Parameters

This study proposes an analyzed approach for the comprehensive evaluation of problems with diverse evaluation judgment sets for a combined OP-UG mine safety risk grading. By using the FCE method, the examination of the heterogeneous comment sets in the questionnaire assessment is provided. More importantly, the overall evaluation concepts of FCE discussed in this section mainly comprise three sets: factor set, evaluation set and weight set, respectively. The specific steps of the comprehensive evaluation for the safety risk assessment of Panzhihua OP-UG iron mine are as follows:
Firstly, the main goal to evaluate the safe production of the Panzhihua OP-UG iron mine uses the overall safety level, which is a set of risk factors consisting of all second-level indicators C = (C11, C12, …, C66) is defined.
Secondly, we determine the factor set. The factor set is a collection of indicators that influence the evaluation results of safety risks in a productive manner, which is defined as U = (U1, U2, …, Un). In order to make evaluation more efficient, the rating of risk indicators is illustrated using four grades of evaluation set, i.e., low, medium, high, very high risk, which are denoted as V = (V1, V2, …, Vn). Hence, the evaluation result sets are expressed as: V1 = low risk, V2 = medium risk, V3 = high risk, and V4 = very high risk.
Thirdly, we construct a fuzzy comprehensive evaluation matrix. The evaluation compilation of the ith factor D = [Dij]n×n, is referred to as the single factor evaluation or membership degree, and it is signified by the symbol Rcij = (RC1, RC2, RC3, RC4, RC5, RC6). During this step, the first layer-indicators in fuzzy composite judgement matrices corresponding with risk elements in Bi are obtained. Then, the accuracy of the result is correlated with the number of the members that participated in risk evaluation. Thus, the simplified single factor evaluation vector combination to form a matrix, called the evaluation matrix R, is denoted as Rci = [RCi1, RCi2…Rcij]T.
Fourthly, we perform fuzzy evaluation of first-layer risk elements using the synthesis judgment operator. It is in this phase that the weighted product of risk elements in respect to goal level and single-factor vector evaluation matrix are analyzed to form what is referred to as the fuzzy synthetic operation Y, which is calculated based on the formula below:
Yci = Wci · Rci
In the formula, Yci denotes the synthetic operator, Wci is the criteria weight of risk factors, and Rci is the fuzzy evaluation vector. Specifically, the six main sources of safety risk factors in the first layer are calculated to achieve (YC1, YC2, YC3, YC4, YC5, YC6). Through these operational procedures, the second-layer risk index is established and can be defined as Y = [YC1, YC2, YC3, YC4, YC5, Yc6]T.
Fifth, we determine the safety evaluation system. In order to fulfill the standard requirement of rating the safe operation of the mine, a system is established, which is called the safety evaluation system Z. The system is determined by performing fuzzy synthetic calculations on the existence of risks in set Y and weights of risks factors WB in the first-layer indexes. The calculation process can be defined as:
Z = WB·Y
As a result, the final comprehensive evaluation risk score F for the mine can be obtained by fuzzy transformation of evaluation matrix R, safety evaluation system Z and weight vector M, which is calculated by the following equation:
F = MZT
where M indicates the weighted degree value corresponding to risk assessment level. The evaluation of the safety status and risk level of the mine is shown in Table 5.

5.1. Weights Calculation for Each Layer of the Safety Risk Index System

Considering the safety characteristics of the mine, safety data analysis and expert’s opinions during the assessment, the 1~9 Saaty judgement values presented in Table 1 are considered. The A~Bi hierarchy judgement matrix of the first and second-level layer is obtained. All of the experts’ opinions were taken into consideration as an example to obtain the parameters. Judgement values of the experts are used as an example to illustrate the calculation process.
On the basis of the survey’s statistical data, the weights of both first and second-level risk indicators are calculated using the MATLAB, Analytica and SPSSPRO software, and the calculations are according to Equations (1)–(11), respectively. The weights results are shown in Table 6, Table 7, Table 8, Table 9, Table 10, Table 11 and Table 12.
Table 6. The judgment matrix and indices weight of Bi with respect to goal layer A.
Table 6. The judgment matrix and indices weight of Bi with respect to goal layer A.
ABiB1B2B3B4B5B6Weights
B11323320.3158
B21/311/21/2230.1289
B31/2213320.2343
B41/321/31430.1704
B51/31/21/31/4110.0710
B61/21/31/21/3110.0796
λ max = 6.4803 CI = 0.961 RI = 1.25 CR = 0.0769 < 0.10Acceptable
WB = (0.3158B1, 0.1289B2, 0.2343B3, 0.1704B4, 0.0710B5, 0.0796B6). These are the weights of the six first-level indicators Bi with respect to the goal layer A.
Table 7. The judgment matrix and indices weight of C1j to B1.
Table 7. The judgment matrix and indices weight of C1j to B1.
C1jB1C11C12C13C14C15Weights
C1111/21/2420.2126
C12211/2310.3043
C1321/31210.2126
C141/421/211/20.0853
C151/211210.1851
λ max1 = 5.3284 CI1 = 0.0821 RI1 = 1.11CR1 = 0.074 < 0.1Acceptable
WC1 = (0.2126C11, 0.3043C12, 0.2126C13, 0.0853C14, 0.1851C15). These are the weights of the five risk indicators C1j of the second-level layer with respect to the B1 risk factor.
Table 8. The judgment matrix and indices weight of C2j to B2.
Table 8. The judgment matrix and indices weight of C2j to B2.
C2jB2C21C22C23C24C25Weights
C21111/71/41/30.0632
C22111/51/31/30.0716
C23751320.4468
C24431/3130.2521
C25331/21/310.1663
λ max2 = 5.2095 CI2 = 0.0524 RI2 = 1.11CR2 = 0.0472 < 0.1Acceptable
WC2 = (0.0632C21, 0.0716C22, 0.4468C23, 0.2521C24, 0.1663C25). These are the weights of the five risk indicators C2j of the second-level layer with respect to the B2 risk factor.
Table 9. The judgment matrix and indices weight of C3j to B3.
Table 9. The judgment matrix and indices weight of C3j to B3.
C3jB3C31C32C33C34Weights
C31131/320.2175
C321/211/430.1584
C3334140.5327
C341/21/31/410.0914
λ max3 = 4.1752 CI3 = 0.0584 RI3 = 0.882CR3 = 0.0662 < 0.1Acceptable
WC3 = (0.2175C31, 0.1584C32, 0.5327C33, 0.0914C34). These are the weights of the four risk indicators C3j of the second-level layer with respect to the B3 risk factor.
Table 10. The judgment matrix and indices weight of C4j to B4.
Table 10. The judgment matrix and indices weight of C4j to B4.
C4jC4C41C42C43C44C45C46C47Weights
C4113443620.3280
C421/31441530.2114
C431/41/411/41/521/50.0435
C441/41/4411330.1270
C451/31511230.1571
C461/61/51/21/31/211/20.0442
C471/21/351/31/3210.0889
λ max4 = 7.7863 CI4 = 0.131 RI4 = 1.341 CR4 = 0.0977 < 0.10 Acceptable
WC4 = (0.3280C41, 0.2114C42, 0.0435C43, 0.1270C44, 0.1571C45, 0.0442C46, 0.0889C47). These are the weights of the seven risk indicators C4j of the second-level layer with respect to the B4 risk factor.
Table 11. The judgment matrix and indices weight of C5j to B5.
Table 11. The judgment matrix and indices weight of C5j to B5.
C5j–B5C51C52C53C54C55Weights
C51131/2310.2163
C521/311/41/21/30.0681
C53241530.4171
C541/321/511/50.0776
C55131/3510.2209
λ max5 = 5.2174 CI5 = 0.0543 RI5 = 1.11CR5 = 0.0490 < 0.1acceptable
WC5 = (0.2163C51, 0.0681C52, 0.4171C53, 0.0776C54, 0.2209C55). These are the weights of the five risk indicators C5j of the second-level layer with respect to the B2 risk factor.
Table 12. The judgment matrix and indices weight of C6j to B6.
Table 12. The judgment matrix and indices weight of C6j to B6.
C6jB6C61C62C63C64Weights
C6112320.4133
C621/211/31/30.1078
C631/3311/20.1867
C641/23210.2922
λ max6 = 4.2606 CI6 = 0.0869 RI6 = 0.882CR6 = 0.0985 < 0.1Acceptable
WC6 = (0.4133C61, 0.1078C62, 0.1867C33, 0.2922C34). These are the weights of the four risk indicators C6j of the second-level layer with respect to the B6 risk factor.
The data provided in the tables above passed the evaluation requirement. Therefore, the estimated results are reliable and acceptable.

5.2. Hierarchical Overall Ranking of Safety Risk Index Levels

Based on the synthesized weights of the risk indexes presented in Table 6, Table 7, Table 8, Table 9, Table 10, Table 11 and Table 12, Equation (8) is adopted to determine the ranking of weights of each risk indicator in the second-level layer. Equations (9)–(11) are applied to check the flexibility of the results. The specific evaluation index weights are obtained by the analytic hierarchy process, as indicated in Table 13.
CI Total = i = 1 6 D B i C I i = 0.014
RI Total = i = 1 6 D B i R I i = 1.251
CR Total = C I t o t a l R I t o t a l = 0.011
The above results are obtained through the calculation process illustrated below:
DBi [0.3158B1, 0.1289B2, 0.2343B3, 0.1704B4, 0.0710B5, 0.0796B6] × CIi [0.0821CI1, 0.0524CI2, 0.0584CI3, 0.131CI4, 0.0543CI5, 0.0869CI6]
= 0.3158 × 0.0821 + 0.1289 × 0.0524 + 0.2343 × 0.0584 + 0.1704 × 0.131 + 0.0710 × 0.0543 + 0.0796 × 0.0869 = 0.014
Similarly, the RITotal values are obtained through the same calculation process.
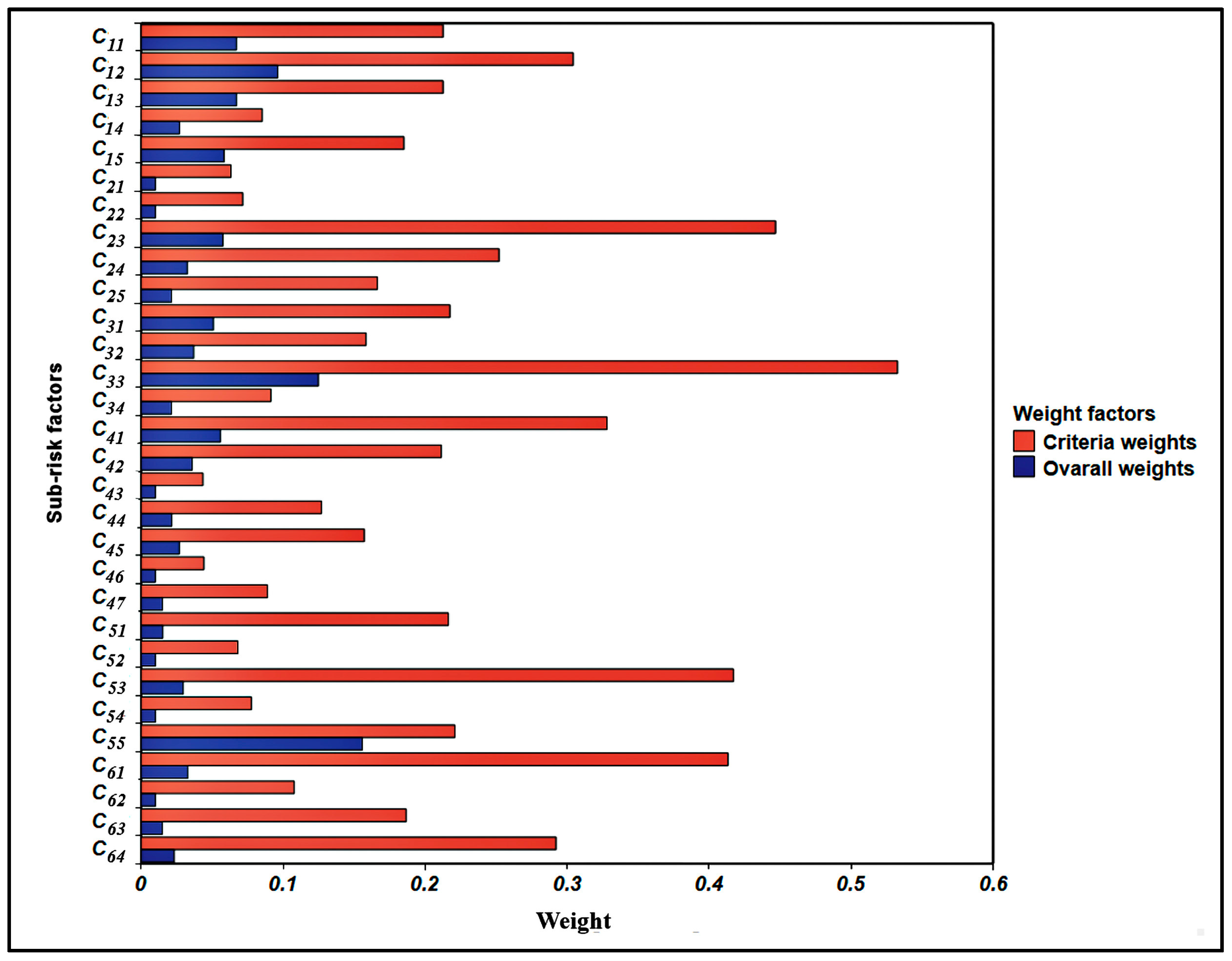
It can clearly be seen that the CRTotal = (0.011) is less than 0.1. Thus, the overall ranking weights are credible, and the risk control measures can be decided by the experts based on the ranking criteria of the risk factors. The hierarchical comparison of indicators weight for the C layer relative to the A layer are shown in Figure 4.
Table 13. The overall evaluation index weight values of C indicators.
Table 13. The overall evaluation index weight values of C indicators.
BB1B2B3B4B5B6Overall Weights
C0.31580.12890.23430.17040.07100.0796
C110.2126000000.0671
C120.3043000000.0961
C130.2126000000.0671
C140.0853000000.0269
C150.1851000000.0584
C2100.063200000.0081
C2200.071600000.0092
C2300.446800000.0576
C2400.252100000.0325
C2500.166300000.0214
C31000.21750000.0509
C32000.15840000.0371
C33000.53270000.1248
C34000.09140000.0214
C410000.3280000.0558
C420000.2114000.0360
C430000.0435000.0074
C440000.1270000.0216
C450000.1571000.0268
C460000.0442000.0075
C470000.0889000.0151
C5100000.216300.0153
C5200000.068100.0048
C5300000.417100.0296
C5400000.077600.0055
C5500000.220900.0157
C61000000.41330.0329
C62000000.10780.0086
C63000000.18670.0149
C64000000.29220.0233

5.3. Development of Single Factor Fuzzy Comprehensive Evaluation Matrix

In the empirical study, we present the underlying context of this study as well as an analysis of a questionnaire survey of mine workers. Then, we use expert scores to analyze the risk factors and finally apply the FCE method to quantify the various types of risk. A comprehensive assessment by using both main and sub-risk risk factors rating methods that inform of low, medium, high and very high risk in four statuses is presented [43,44]. Additionally, a total number of 20 experts and scholars were invited to evaluate the safety situation of the mine and indicate scores based on each risk factor of second-level indicators. A summary of questionnaire responses from the twenty evaluators is listed in the Appendix A. The statistical evaluation results obtained are shown as in Table 14.
The results derived from the statistical collation questionnaire as a result of the expertise rating of risks are processed to generate six matrices: RC1, RC2, RC3, RC4, RC5, and RC6. The number of experts who participated in rating of each risk factor are summed together and then divided by their total number. The calculation process is as follows:
R C 1   = 11 6 2 1 13 4 3 0 7 12 7 10 8 11 2 0 1 1 0 1 = 0.55 0.30 0.10 0.05 0.65 0.20 0.15 0.00 0.35 0.60 0.35 0.50 0.40 0.55 0.10 0.00 0.05 0.05 0.00 0.05
R C 2 = 8 6 4 2 5 12 2 1 9 15 16 7 5 3 3 0 1 1 0 0 = 0.40 0.30 0.20 0.10 0.25 0.60 0.10 0.05 0.45 0.75 0.80 0.35 0.25 0.15 0.15 0.00 0.05 0.05 0.00 0.00  
R C 3 = 17 3 0 0 13 7 0 0 19 18 1 2 0 0 0 0 = 0.85 0.15 0.00 0.00 0.65 0.35 0.00 0.00 0.95 0.90 0.05 0.10 0.00 0.00 0.00 0.00  
R C 4 = 9 9 2 0 10 6 3 1 7 8 12 5 15 8 9 6 10 4 3 2 1 3 1 2 1 1 2 0 = 0.45 0.45 0.10 0.00 0.50 0.30 0.15 0.05 0.35 0.40 0.60 0.25 0.75 0.40 0.45 0.30 0.50 0.20 0.15 0.10 0.05 0.15 0.05 0.10 0.05 0.05 0.10 0.00  
R C 5 = 18 2 0 0 19 1 0 0 17 16 13 3 4 6 0 0 0 0 0 0 = 0.90 0.10 0.00 0.00 0.95 0.05 0.00 0.00 0.85 0.80 0.65 0.15 0.20 0.30 0.00 0.00 0.00 0.00 0.00 0.00  
R C 6 = 7 10 2 1 6 9 4 1 12 11 6 5 1 3 1 1 = 0.35 0.50 0.10 0.05 0.30 0.45 0.20 0.05 0.60 0.55 0.30 0.25 0.05 0.15 0.05 0.05  
By using Equation (12), the results obtained from the aforementioned six matrices RC1, RC2, RC3, RC4, RC5, and RC6 are multiplied with the weights of each risk factor of the second-level factors in accordance to the evaluation of the first-level layer factors.
The fuzzy comprehensive evaluation result of each risk group of the first-level risk indicators in relative to safety target of Panzhihua OP-UG iron mine is as follows:
The geological risk factor with respect to A layer:
Y C 1   =   W C 1   ×   R C 1 =   0.2126 0.3043 0.2126 0.0853 0.1851 ×   0.55 0.30 0.10 0.05 0.65 0.20 0.15 0.00 0.35 0.60 0.35 0.50 0.40 0.55 0.10 0.00 0.05 0.05 0.00 0.05 = 0.5051 0.3669 0.0974 0.0305
Similarly, the same calculation process is applied to all, hence obtaining the evaluation results for each factor.
Mechanical and equipment risk factor with respect to the A layer:
Y C 2 = W C 2   ×   R C 2 = 0.5664 0.3063 0.0951 0.0322
Mine personnel risk factor with respect to A layer:
Y C 3 = W C 3   ×   R C 3 = 0.8762 0.1238 0.0000 0.0000
Mine face operation risk factor with respect to the A layer:
Y C 4 = W C 4   ×   R C 4 = 0.4913 0.3726 0.1027 0.0335
Management risk factor with respect to the A layer:
Y C 5 = W C 5   ×   R C 5 = 0.8196 0.1694 0.0000 0.0000
Environmental risk factor with respect to the A layer:
Y C 6 = W C 6   ×   R C 6 = 0.4497 0.3842 0.1161 0.0500
The aforementioned weights indexes of YC1, YC2, YC3, YC4, YC5 and YC6 are combined to establish the fuzzy comprehensive evaluation matrix of Y as shown below.
Y = 0.5051 0.3669 0.0974 0.0305 0.5664 0.3063 0.0951 0.0322 0.8762 0.4913 0.8196 0.4497 0.1238 0.3726 0.1694 0.3842 0.0000 0.1027 0.0000 0.1161 0.0000 0.0335 0.0000 0.0500
By computing the weights of the first-level factors WB (0.3158, 0.1289, 0.2343, 0.1704, 0.0710, 0.0796) with the fuzzy comprehensive evaluation matrix Y of second-level indexes, the mine safety evaluation system Z is determined according to Equation (13), and the following results are obtained.
Z = 0.6155 0.2905 0.0698 0.0235
By considering the weighted values of the corresponding sets in Table 5, the final comprehensive score F of Panzhihua OP-UG iron ore mine safety risk evaluation can be determined through Equation (14):
F = 0.6155 0.2905 0.0698 0.0235   ×   95 80 60 25 T = 86.5
In line with Table 5, the final comprehensive evaluation result is 86.5%, which indicates that the general condition of the Panzhihua OP-UG iron mine risk level is in the medium range, and it is safe for production. Based on the four risk grades, the final comprehensive evaluation results of first-level factors are shown in Figure 5.
As illustrated in Figure 5, B3 and B5 are the most important attributes, which are consistent with the experts’ evaluation of the assessment. Unlike B6, B4, B1 and B2 show the biggest impact. Based on the evaluation results, targeted improvement measures must be devised in order to reduce the overall risk of the mine. The results obtained in this analysis are very consistent with the current situation of the mine. Hence, the use of the fuzzy comprehensive evaluation method is very reasonable for the evaluation of the mine safety risks.

6. General Analysis of the Evaluation Results of Panzhihua OP-UG Iron Mine Safety Risks

Diverse measures have been devised to mitigate the recognized safety issues that hinder the safe production at the Panzhihua iron ore mine. In this context, the AHP-FCE approach is employed to prioritize the most significant strategy to utilize mine safety hazards. The analysis of experts presented in Table 2 and Table 14 generated a fuzzy evaluation sequence for acquiring the decision matrix and normalization of weights, among others. The overall ranking weights of the proposed techniques are depicted in Table 13.
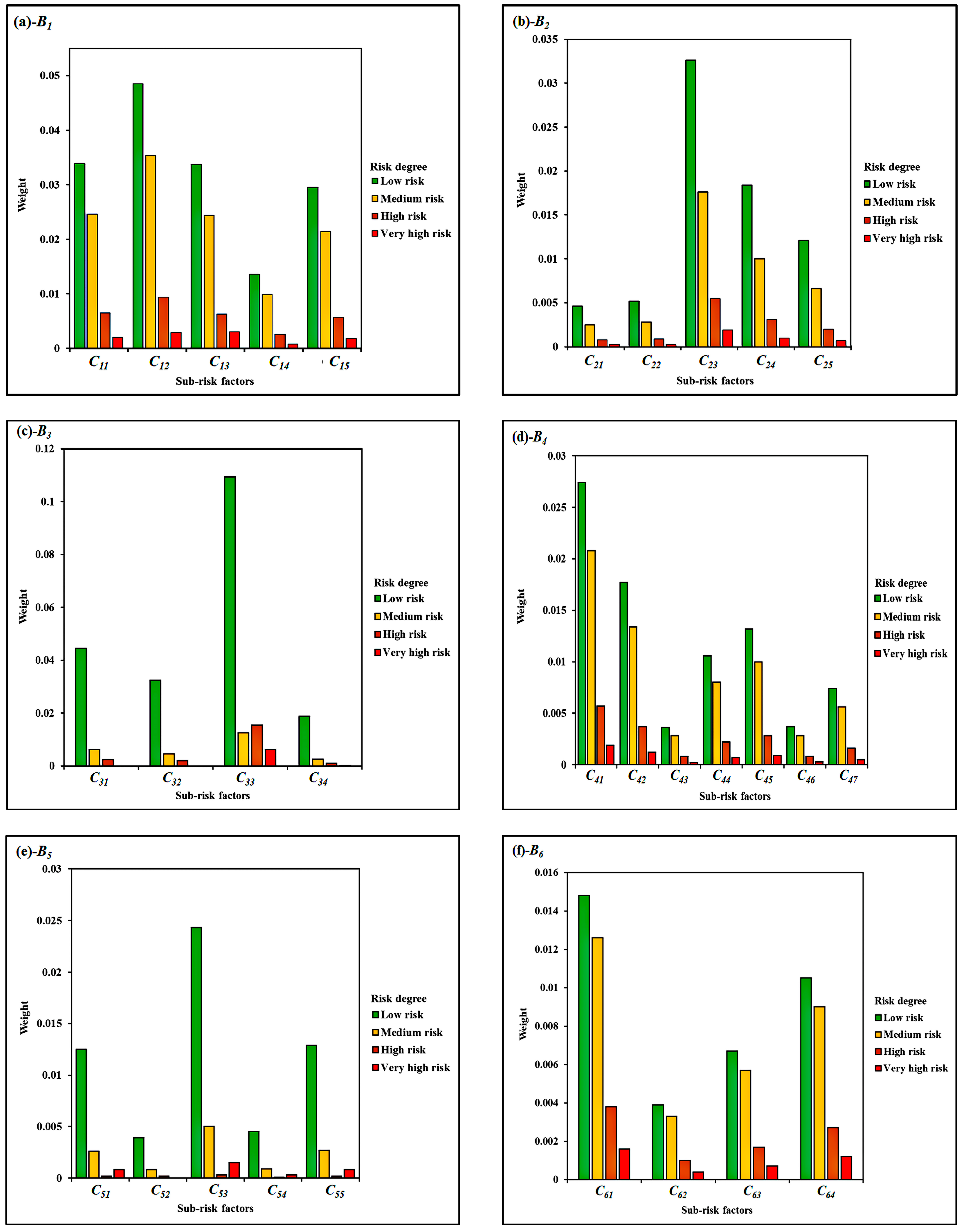
This research performed a sensitivity analysis to determine the feasibility of the study’s findings. By adjusting the weights of criteria in various indexes, the major objective of this research is to identify Panzhihua OP-UG iron mine-related potential safety threats. In order to verify the final ranking of risk factors, the weights of the criteria have been presented accordingly. In this work, we outlined six major risk indicators, each of which comprised sub-risks. Figure 6 displays the final evaluation findings of the AHP-FCE analysis strategy of mine safety situation as an alternative to deeper comprehension. It is clearly visible that the outcome of the analysis of the risk level (low risk) is consistent among all scenarios. The overall mine safety results are discussed in the Discussion section.

7. Discussion of Results

The systematic implementation of risk management approaches has contributed to a significant decrease in the frequency of injuries in China mines. However, injury is still a significant issue, ranging from minor to fatal [45]. Rock falls, fires, explosions, mobile equipment accidents, falls from high heights, and electrocution are still common causes of fatal injury at the Panzhihua synthesized iron ore mine.
Essentially, not all risks can be avoided in mines, and the detailed design should be based on minimizing safety concerns. In accordance with the fuzzy comprehensive evaluation principle, it can be decided what precautions must be taken prior to controlling risks. Risk management processes and controls are essential to ensuring that a management plan remains relevant. In addition, risk assessment should be viewed as a continuous process, and the adequacy of control and management measures should be reviewed and revised on a regular basis as required.
Although fuzzy assessment and AHP are widely used to determine various aspects of product quality, the fuzzy technique suggested here needs to be validated to see how well it works in practice. More importantly, the benefit of the fuzzy approach described in this paper over standard evaluation approaches such as averaging methods should be validated. In some ways, the mathematics process in the fuzzy method may be difficult to implement in practice, which is why we should strive to structure a common evaluation index within the ISO mine safety standard framework as well as weighing the value of the various aspects examined.
Due to the fact that hazards are not fully controllable and human intervention is limited, Mojtahedi et al. stated that the risk management cannot eliminate risks at once but can only identify appropriate strategies to manage them [46]. This explains that after identifying, analyzing and evaluating the risk influencing the human health and production safety, each risk must be controlled or eliminated if necessary. In view of mine project risk assessment, this study applies the method of AHP-FCE to improve the safety risk evaluation system of the mine: hence deriving the mine’s safety risk rating and fulfilling the evaluation’s goals. The contribution of this study indicates the following. (i) The application of the analyzed AHP-FCE in risk assessment and management in OP-UG mine is reliable, which broadens the application scope of the AHP-FCE methodology. Although the AHP-FCE is widely used in risk evaluation in various fields, its full application in the assessment and evaluation of a combined OP-UG mine risks remains unclear. (ii) The analyzed AHP-FCE methodology improves the establishment of the mine safety risk index system for the easy management and timely handling of potential hazards. On basis of this effort, it is still essential for relevant departments to establish a more rigorous management safety system to guide personnel during the operation stage of the OP-UG mine.
According to the results of the risk assessments obtained from this research, the first-level indexes of the fuzzy evaluation judgement matrix indicated in Table 13 illustrates that the most influential hazards in the Panzhihua OP-UG iron mine are geological factor B1, environmental risk factor B6, face operation factor B4 and mechanical and equipment risk factors B2, and these need to be prioritized, while personnel factor B3 and management factor B5 align at acceptable risk status.
Based on the results generated through combining the overall ranking and weighted values in Figure 4, we conclude that the following events must be treated seriously: training and skills ability C33, transportation C23, safety system management and security C53, rainfall and floods C61 and wind impact C63, roof fall C41 and orebody stability C12. Meanwhile, the dual prevention mechanism C52, drilling equipment C21, emergency rescue C54, radiation impact C14, loading equipment C22, dust, noise and vibration C43, water inrush C46 and falling from height and object strikes C47 pose the least risk factors.
Although the establishment of a safety risk evaluation index system and evaluation model allow for an objective assessment of the safety status and risk level, the general safety evaluation results indicate that the Panzhihua OP-UG iron ore mine lies at medium risk status, with a percentage score of 86.5%. This shows that the safety condition continues to meet the needs of the mine production. However, significant decisions and control measures can be taken to improve the safety condition of the perfect operation of the mine, achieve the enterprise’s long-term growth and fulfill higher safety needs.

8. Conclusions

One of the most effective strategies to reduce hazards in mines is to identify safety risks. The implementation of the risk management approach to identify and respond to significant hazards in mines is the most essential strategy to prevent accidents and promote safety. The current study aims to examine the assessment and management of safety risks in the Panzhihua OP-UG iron mine. In this study, the FCE method was employed to analyze and evaluate the safety risks of operating in the mine, and the main research findings are summarized as follows:
(1) The safety status of the mine was studied, and a total number of 85 hazards were identified, in which 49 hazards were considered non-threatening and therefore meet the existing control measures. Among the existing and remaining potential safety risks, altogether, 36 factors were categorized into six major groups.
(2) The safety index system consisting of three layers—namely, the goal layer, first-index layer and second-index layer—was established. The first-level index layer factors include the geological, mechanical and equipment, face operation, personnel, management and environmental factors, which consist of 30 second-level sub-risk factors all together, as illustrated in Figure 3.
(3) The weight values of the evaluation indexes and the total ranking of the first-level and second-level indicators were calculated using the hierarchical analysis method. Additionally, a mine safety risk evaluation model is developed, and the overall safety level of the mine was determined based on the fuzzy comprehensive evaluation (FCE) method. The evaluation results show that the risk level of the Panzhihua OP-UG iron mine is at “medium status”, which indicates that the general safety condition of the mine is relatively safe and compatible.
(4) This study has provided the fundamental concept for prioritizing and evaluating the most critical mine hazards which may assist the government, policymakers, managers, safety experts, supervisors, mine personnel, technicians, and engineers in formulating efficient and effective policies to address this complex issue. This could only be achieved through the prompt detection, evaluation, and ranking of hazards. Efforts must be made at the federal and provincial levels if the development or improvement of mine safety devices is to be accelerated.
(5) According to the overall analysis of AHP-FCE evaluation results depicted in Figure 6, impacts of various sub-risk indicators with respect to their main risk factors can be clearly seen, and specific control measures can be established accordingly.
(6) Compared with the traditional AHP-fuzzy and fuzzy TOPSIS evaluation method, the analyzed AHP-FCE approach is utilized more frequently due to the fact that no matter the type of evaluation, the goal is to construct a scientific evaluation index system and weight based on the actual scenario of the evaluation object. It overcomes the limitations of the simple weighted average method, solves the deficiency of the conventional AHP, enhances the fault tolerance of an element and integrates the combination of probabilistic risk assessment and FCE methods. The significant accuracy of the evaluation results is directly proportional to the scientific nature of the evaluation grade and weight of an indicator as well as the ability and status of the evaluators.
(7) The methodology presented in this study is primarily limited to safety risk evaluation findings of other risk assessment evaluation methods based on fuzzy sets [47,48,49,50]. In the future, we hope the analyzed AHP-FCE methodology presented in this research for evaluation of OP-UG mine safety risks requires a large quantity of fuzzy logic rules to be developed. This can be useful for testing the applicability and consistency of the AHP-FCE framework as well as illustrate the effectiveness of the proposed evaluation techniques.

Author Contributions

Conceptualization, J.L. and C.C.C.D.; Methodology, C.C.C.D.; Software, C.C.C.D.; Validation, J.L. and L.Z.; Formal analysis, J.X., P.S. and L.Z.; Investigation, P.S. and L.Z.; Resources, J.L.; Data curation, J.X., Z.M., P.S. and L.Z.; Writing—original draft, C.C.C.D.; Writing—review & editing, J.L., C.C.C.D., J.X., Z.M., P.S. and L.Z.; Visualization, Z.M.; Supervision, J.L.; Project administration, J.L.; Funding acquisition, J.L. All authors have read and agreed to the published version of the manuscript.

Funding

This research was funded by Fundamental Research Funds for the Central Universities of Central South University (grant No. 2022ZZTS0562 and 2022ZZTS0563).

Informed Consent Statement

Informed consent was obtained from all subjects involved in this study.

Data Availability Statement

The data that support the findings of this study are available from the corresponding author upon reasonable request.

Acknowledgments

The authors thank the Fundamental Research Funds for the Central Universities of Central South University (grant No. 2022ZZTS0562 and 2022ZZTS0563) for the support.

Conflicts of Interest

The authors declare no conflict of interest.

Appendix A

Table A1. A summary of questionnaire response from experts for evaluation of safety risk assessment at Panzhihua OP-UG iron mine.
Table A1. A summary of questionnaire response from experts for evaluation of safety risk assessment at Panzhihua OP-UG iron mine.
Total No. of EvaluatorsTwenty (20)
Safety Status
Evaluation Indicators Low RiskMedium RiskHigh RiskVery High Risk
Weights
Hydrogeological condition C11 (0.2126)11621
Ore body stability C12(0.3043)13430
Falling rocks, landslides and mudslides C13(0.2126)71021
Radiation impact C14(0.0853)12800
Safety barrier C15(0.1851)71111
Drilling equipment C21(0.0632)8642
Loading equipment C22(0.0716)51221
Transportation C23(0.4468)9731
Maintenance C24(0.2521)15500
Equipment upgrade and reliability C25(0.1663)16310
Education level C31(0.2175)17300
Physical condition C32(0.1584)13700
Training and skills ability C33(0.5327)19100
Over time factor C34(0.0914)18200
Roof fall C41(0.3280)9920
Ventilation and toxic gases C42(0.2114)10631
Dust, noise and vibration C43(0.435)7832
Fire and explosions C44(0.1270)8921
Electrical hazard C45(0.1571)12611
Water inrush C46(0.0442)51032
Falling from heights and object strikes C47(0.0889)15410
Rules and regulations C51(0.2163)18200
Dual prevention mechanism C52(0.0681)19100
Safety system management and security C53(0.4171)17300
Emergency rescue C54(0.0776)16400
Safety inspection C55(0.2209)13600
Rainfall and floods C61(0.4133)71021
High temperature C62(0.1078)6941
Wind impact C63(0.1867)12611
Earthquake C64(0.2922)11531

References

  1. Chu, C.; Muradian, N. Safety and environmental implications of coal mining. Int. J. Environ. Pollut. 2016, 59, 250–268. [Google Scholar] [CrossRef]
  2. Chu, Z.-Q.; Sasanipour, J.; Saeedi, M.; Baghban, A.; Mansoori, H. Modeling of wax deposition produced in the pipelines using PSO-ANFIS approach. Pet. Sci. Technol. 2017, 35, 1974–1981. [Google Scholar] [CrossRef]
  3. Domínguez, C.R.; Martínez, I.V.; Piñón Peña, P.M.; Rodríguez Ochoa, A. Analysis and evaluation of risks in underground mining using the decision matrix risk-assessment (DMRA) technique, in Guanajuato, Mexico. J. Sustain. Min. 2019, 18, 52–59. [Google Scholar] [CrossRef]
  4. Kasap, Y.; Subaşı, E. Risk assessment of occupational groups working in open pit mining: Analytic Hierarchy Process. J. Sustain. Min. 2017, 16, 38–46. [Google Scholar] [CrossRef]
  5. Komljenovic, D.; Groves, W.A.; Kecojevic, V.J. Injuries in US mining operations—A preliminary risk analysis. Saf. Sci. 2008, 46, 792–801. [Google Scholar] [CrossRef]
  6. Marker, B.R.; Petterson, M.G.; McEvoy, F.; Stephenson, M.H. Sustainable minerals operations in the developing world: Introduction. Geol. Soc. Lond. Spec. Publ. 2005, 250, 1–4. [Google Scholar] [CrossRef]
  7. Owen, J.R.; Kemp, D. Extractive Relations: Countervailing Power and the Global Mining Industry; Routledge: London, UK, 2017. [Google Scholar]
  8. Allanson, C. Strata Control in Underground Coal Mines: A Risk Management Perspective. In Proceedings of the Coal 2002: Coal Operators’ Conference, Wollongong, Australia, 6–8 February 2002; pp. 135–153. [Google Scholar]
  9. Huang, S.; Li, X.; Wang, Y. A new model of geo-environmental impact assessment of mining: A multiple-criteria assessment method integrating Fuzzy-AHP with fuzzy synthetic ranking. Environ. Earth Sci. 2012, 66, 275–284. [Google Scholar] [CrossRef]
  10. Song, X.; Mu, X. The safety regulation of small-scale coal mines in China: Analysing the interests and influences of stakeholders. Energy Policy 2013, 52, 472–481. [Google Scholar] [CrossRef]
  11. Karimi, A.R.; Mehrdadi, N.; Hashemian, S.J.; Nabi Bidhendi, G.R.; Tavakkoli Moghaddam, R. Selection of Wastewater Treatment Process Based on Analytical Hierarchy Process. Int. J. Civ. Eng. Technol. 2011, 5, 27–33. [Google Scholar]
  12. An, M.; Chen, Y.; Baker, C.J. A fuzzy reasoning and fuzzy-analytical hierarchy process based approach to the process of railway risk information: A railway risk management system. Inf. Sci. 2011, 181, 3946–3966. [Google Scholar] [CrossRef]
  13. Bouyssou, D.; Marchant, T.; Pirlot, M.; Perny, P.; Tsoukias, A.; Vincke, P. Evaluation and Decision Models: A Critical Perspective; Kluwer Acad. Publ. Bost.; Springer: Berlin/Heidelberg, Germany, 2000. [Google Scholar]
  14. Van Laarhoven, P.J.M.; Pedrycz, W. A fuzzy extension of Saaty’s priority theory. Fuzzy Sets Syst. 1983, 11, 199–227. [Google Scholar] [CrossRef]
  15. Tuzkaya, G.; Ozgen, A.; Ozgen, D.; Tuzkaya, U.R. Environmental performance evaluation of suppliers: A hybrid fuzzy multi-criteria decision approach. Int. J. Environ. Sci. Technol. 2009, 6, 477–490. [Google Scholar] [CrossRef]
  16. Tuzkaya, U.R.; Ozgen, A.; Ozgen, D.; Tuzkaya, U.R. Evaluating the environmental effects of transportation modes using an integrated methodology and an application. Int. J. Environ. Sci. Technol. 2009, 6, 277–290. [Google Scholar] [CrossRef]
  17. Tesfamariam, S.; Sadiq, R. Risk-based environmental decision-making using fuzzy analytic hierarchy process (F-AHP). Stoch. Environ. Res. Risk Assess. 2006, 21, 35–50. [Google Scholar] [CrossRef]
  18. Gul, M.; Ak, M.F.; Guneri, A.F. Pythagorean fuzzy VIKOR-based approach for safety risk assessment in mine industry. J. Saf. Res. 2019, 69, 135–153. [Google Scholar] [CrossRef]
  19. Sakhno, I.; Sakhno, S.; Vovna, O. Assesing a risk of roof fall in the development mine workings in the process of longwall coal mining in terms of Ukrainian mines. Min. Miner. Depos. 2020, 14, 72–80. [Google Scholar] [CrossRef]
  20. Kiani, M.; Hosseini, S.H.; Taji, M.; Gholinejad, M. Risk assessment of blasting operations in open pit mines using fahp method. Min. Miner. Depos. 2019, 13, 76–86. [Google Scholar] [CrossRef]
  21. Tripathy, D.P.; Ala, C.K. Identification of safety hazards in Indian underground coal mines. J. Sustain. Min. 2018, 17, 3. [Google Scholar] [CrossRef]
  22. Leger, J.-P. Trends and causes of fatalities in South African mines. Saf. Sci. 1991, 14, 169–185. [Google Scholar] [CrossRef]
  23. You, C.M.; Wang, J.C.; Li, X.; Sun, X.J.; Lv, X.H.; Song, S.M. The application of multistage fuzzy comprehensive evaluation mathematics method for the analysis of determining the remaining oil in ultra_high water-cut oilfeld. Adv. Mater. Res. 2014, 926, 4429–4432. [Google Scholar] [CrossRef]
  24. Sitorus, F.; Cilliers, J.J.; Brito-Parada, P.R. Multi-criteria decision making for the choice problem in mining and mineral processing: Applications and trends. Expert Syst. Appl. 2019, 121, 393–417. [Google Scholar] [CrossRef]
  25. Zhao, D.; Ma, J.; Wang, Y. Model of Fuzzy Risk Assessment of the Information System. J. Commun. 2007, 4, 51–56. [Google Scholar]
  26. Marhavilas, P.K.; Koulouriotis, D.E. A risk estimation methodological framework using quantitative assessment techniques and real accidents’ Data: Application in an aluminum extrusion industry. J. Loss Prev. Process Ind. 2008, 6, 596–603. [Google Scholar] [CrossRef]
  27. Liu, X.Y.; Jia, Z.X.; Jin, M.J.; Hao, J.N. Comparison and Selection of Expressways in Goaf with Improved AHP-Fuzzy Evaluation Method. J. Taiyuan Univ. Sci. Technol. 2019, 5, 395–400. [Google Scholar]
  28. Xia, F.Q. A Method of Tea Sensory Quality Evaluation Based on Improved Fuzzy Comprehensive Evaluation Method. J. Hunan Inst. Eng. (Nat. Sci. Ed.) 2019, 3, 57–60. [Google Scholar]
  29. Lu, M.J.; Lu, M.; Zhu, M.; Liu, W.; Zhang, A.; Ai, L.; Peng, J.; Ning, L.; Li, H. Study on Safety Assessment Modeling in Sijiaying Open-Pit Iron Mine. Adv. Mater. Res. 2012, 429, 200–205. [Google Scholar] [CrossRef]
  30. Dong, G.; Wei, W.; Xia, X.; Woźniak, M.; Damaševičius, R. Safety risk assessment of a Pb-Zn mine based on fuzzy-grey correlation analysis. Electronics 2020, 9, 130. [Google Scholar] [CrossRef]
  31. Lei, Z.; Jienan, P.; Xiaomin, Z. Fuzzy comprehensive evaluation of mining geological condition in the No.9 coal seam, Linhuan coal mine, Huaibei Coalfield, China. Procedia Environ. Sci. 2012, 12, 9–16. [Google Scholar] [CrossRef]
  32. Chen, Y.; Liu, R.; Barrett, D.; Gao, L.; Zhou, M.; Renzullo, L.; Emelyanova, I. A spatial assessment framework for evaluating flood risk under extreme climates. Sci. Total Environ. 2015, 538, 512–523. [Google Scholar] [CrossRef]
  33. Lyu, H.M.; Zhou, W.H.; Shen, S.L.; Zhou, A.N. Inundation risk assessment of metro system using AHP and TFN-AHP in Shenzhen. Sustain. Cities Soc. 2020, 56, 102103. [Google Scholar] [CrossRef]
  34. Ruan, J.; Chen, Y.; Xiao, X.; Yong, G.; Huang, R.; Miao, Z. Fuzzy Comprehensive Evaluation of Ecological Risk Based on Cloud Model: Taking Chengchao Iron Mine as Example. IOP Conf. Ser. Earth Environ. Sci. 2018, 111, 012005. [Google Scholar] [CrossRef]
  35. Gnanavelbabu, A.; Arunagiri, P. Ranking of MUDA using AHP and Fuzzy AHP algorithm. Mater. Today Proc. 2018, 5, 13406–13412. [Google Scholar] [CrossRef]
  36. Ahmad, N.; Berg, D.; Simons, G.R. The integration of analytical hierarchy process and data envelopment analysis in a multi-criteria decision-making problem. Int. J. Inf. Technol. Decis. Mak. 2011, 2, 263–276. [Google Scholar] [CrossRef]
  37. Bai, Y.; Zhang, H.; Hao, Y.; Bai, Y.; Zhang, H.; Hao, Y. The performance of the backpropagation algorithm with varying slope of the activation function. Chaos Solitons Fractals 2009, 40, 66–77. [Google Scholar] [CrossRef]
  38. Guo, L.; Gao, J.; Yang, J.; Kang, J.; Guo, L.; Gao, J.; Yang, J.; Kang, J. Criticality evaluation of petrochemical equipment based on fuzzy comprehensive evaluation and a BP neural network. J. Loss Prev. Process Ind. 2009, 4, 469–476. [Google Scholar] [CrossRef]
  39. Chen, M.F.; Zhang, X.Y. Fuzzy comprehensive evaluation method for evaluating water injection development in oilfelds. Fault Block Oil Gas F 2001, 2, 27–30. [Google Scholar]
  40. Tingting, L.; Luan, T.T.; Xie, Z.H. Work Safety Standardization Grade Evaluation Model and System Development of Bauxite Mines. Procedia Eng. 2011, 26, 1927–1933. [Google Scholar] [CrossRef]
  41. Gao, Y.-K.; Bao, N.; Zhang, Y.-H.; Jiang, L.-M.; Huang, Z.-A. Research on Index System of Rock Slope Safety Evaluation for Open Pit Mine. Procedia Eng. 2011, 26, 1692–1697. [Google Scholar] [CrossRef]
  42. Saaty, T.L. Decision-Making with the AHP: Why Is the Principal Eigenvector Necessary. Eur. J. Oper. Res. 2003, 145, 85–89. [Google Scholar] [CrossRef]
  43. Wang, Z.G.; Zheng, J.; Li, H.Y. The Risk Evaluation Model of Mining Project Investment Based on Fuzzy Comprehensive Method. Appl. Mech. Mater. 2013, 295–298, 2928–2934. [Google Scholar] [CrossRef]
  44. Yari, M.; Bagherpour, R.; Khoshouei, M.; Pedram, H. Investigating a comprehensive model for evaluating occupational and environmental risks of dimensional stone mining. Rudarsko-Geološko-Naftni Zbornik 2020, 35, 101–109. [Google Scholar] [CrossRef]
  45. Donoghue, A.M. Occupational health hazards in mining: An overview. Occup. Med. 2004, 54, 283–289. [Google Scholar] [CrossRef] [PubMed]
  46. Mahdevari, S.; Shahriar, K.; Esfahanipour, A. Human health and safety risks management in underground coal mines using fuzzy TOPSIS. Sci. Total Environ. 2014, 488–489, 85–99. [Google Scholar] [CrossRef] [PubMed]
  47. Petrović, D.V.; Tanasijević, M.; Milić, V.; Lilić, N.; Stojadinović, S.; Svrkota, I. Risk assessment model of mining equipment failure based on fuzzy logic. Expert Syst. Appl. 2014, 41, 8157–8164. [Google Scholar] [CrossRef]
  48. Ullah, I.; Fayaz, M.; Kim, D. Analytical Modeling for Underground Risk Assessment in Smart Cities. Appl. Sci. 2018, 8, 921. [Google Scholar] [CrossRef]
  49. Samantra, C.; Datta, S.; Mahapatra, S.S. A risk-based decision support framework for selection of appropriate safety measure system for underground coal mines. Int. J. Inj. Control Saf. Promot. 2017, 24, 54–64. [Google Scholar] [CrossRef]
  50. Fayaz, M.; Ullah, I.; Park, D.-H.; Kim, K.; Kim, D. An Integrated Risk Index Model Based on Hierarchical Fuzzy Logic for Underground Risk Assessment. Appl. Sci. 2017, 7, 1037. [Google Scholar] [CrossRef]
Figure 1. The simulated diagram of Panzhihua OP-UG iron mine.
Figure 1. The simulated diagram of Panzhihua OP-UG iron mine.
Sustainability 15 04497 g001
Figure 2. Safety evaluation model of Panzhihua OP-UG iron mine.
Figure 2. Safety evaluation model of Panzhihua OP-UG iron mine.
Sustainability 15 04497 g002
Figure 3. The safety risks evaluation indexes system of Panzhihua OP-UG Iron mine.
Figure 3. The safety risks evaluation indexes system of Panzhihua OP-UG Iron mine.
Sustainability 15 04497 g003
Figure 4. The synthesized indicators weights of C layer with respect to the A layer.
Figure 4. The synthesized indicators weights of C layer with respect to the A layer.
Sustainability 15 04497 g004
Figure 5. Safety risks results of first level evaluation.
Figure 5. Safety risks results of first level evaluation.
Sustainability 15 04497 g005
Figure 6. The analysis of AHP-FCE evaluation results of various sub-risk factors in respect to major-risk factors: ((a)-B1) AHP-FCE results for geological factor, ((b)-B2) AHP-FCE results for machinery and equipment factor, ((c)-B3) AHP-FCE results for personnel factor, ((d)-B4) AHP-FCE results for face operation factor, ((e)-B5) AHP-FCE results for management factor, ((f)-B6) AHP-FCE results for environmental factor.
Figure 6. The analysis of AHP-FCE evaluation results of various sub-risk factors in respect to major-risk factors: ((a)-B1) AHP-FCE results for geological factor, ((b)-B2) AHP-FCE results for machinery and equipment factor, ((c)-B3) AHP-FCE results for personnel factor, ((d)-B4) AHP-FCE results for face operation factor, ((e)-B5) AHP-FCE results for management factor, ((f)-B6) AHP-FCE results for environmental factor.
Sustainability 15 04497 g006
Table 1. Judgment matrix scale and its explanation.
Table 1. Judgment matrix scale and its explanation.
ScaleLinguistic ExpressionExplanation
1Equal ImportanceBoth ith and jth factor are of equal importance
3Moderate ImportanceOne factor, ith, is favored over jth by experience and judgment
5Strong ImportanceJudgement strongly favors ith factor over jth factor
7Very Strong ImportanceThe ith factor is very strongly favored over the jth factor
9Extremely Strong ImportantThe judgment affirms that the ith factor is of extremely strong importance over the jth factor
2Intermediate ValuesConsidered only where compromise is needed between the ith and the jth factor
4
6
8
Table 2. Pairwise comparison matrix of Bi and Ci criteria in the Panzhihua OP-UG iron mine.
Table 2. Pairwise comparison matrix of Bi and Ci criteria in the Panzhihua OP-UG iron mine.
BiB1B2B3B4B5B6BiB1B2B3B4B5B6
B1132332B1135351
B21/311/21/223B21/314272
B31/221332B31/51/41131
B41/321/3123B41/31/21131
B51/31/21/31/211B51/51/71/31/311
B61/21/31/21/311B611/21111
CiC1C2C3C4C5CiC1C2C3C4C5
C111/21/331/3C111179
C221331C211179
C331/3121C31/31179
C41/31/21/811/2C41/71/71/715
C531121C51/91/91/91/51
BiB1B2B3B4B5B6CiB1B2B3B4B5B6
B1153535B1155553
B21/512433B21/511111/3
B31/31/21313B31/511111/3
B41/51/41/3123B41/511111/3
B51/31/311/213B51/511111/3
B61/51/31/31/31/31B61/333331
CiC1C2C3C4C5CiC1C2C3C4CC5
C113353C111/311/41/2
C21/31333C23131/33
C31/31/3132C311/311/41/3
C41/51/31/312C443413
C51/31/31/21/21C521/331/31
BiB1B2B3B4B5B6BiB1B2B3B4B5B6
B1131/3221B1131/3221
B21/311/311/22B21/311/311/22
B3331232B3331332
B41/211/211/31B41/211/311/31
B51/221/3313B51/221/2313
B611/21/211/31B611/21/211/31
CiC1C2C3C4C5CiC1C2C3C4C5
C111/3151C111/3151
C231331C231351
C311131C311/3131
C41/51/31/311/3C41/51/51/311/3
C511131C511131
Table 3. Random consistency index table of the judgement matrix.
Table 3. Random consistency index table of the judgement matrix.
Serial123456789
RI000.520.891.121.261.361.411.46
Table 4. Layer of the lowest total ranking of the row preface values.
Table 4. Layer of the lowest total ranking of the row preface values.
B to AB1B2BiBnC Layer Ranking
C to BDB1DB2DBiDBn
C1jDC1j000DcijDBi, j = 1, 2, …, 5
C2k0DC2k00DC2kDB2, K = 1, 2, …, 5
C1sDCisDcisDBi
C6m000DC6mDC6mDB6, s = 1, 2, …, 6
Table 5. Safety evaluation degree of OP-UG iron mine.
Table 5. Safety evaluation degree of OP-UG iron mine.
Risk ScoreRisk LevelWeighted ValueDescription
90–100Low95Acceptable risks; control measures are taken to minimize the located risk at early stage
70–90Medium risk80The range of risks shows no threat, but there is a need to develop improvement measures for risk reduction.
50–70High risk60Such a level indicates that the safety evaluation system is in a dangerous stage and there is need to take action against the existing risks
0–50Very high risk25Extremely very high risks as a result of poor safety system maintenance. Appropriate risk control measures need to be performed.
Table 14. Subordinate of matrices for fuzzy comprehensive evaluation.
Table 14. Subordinate of matrices for fuzzy comprehensive evaluation.
Safety StatusLow RiskMedium RiskHigh RiskVery High Risk
Evaluation Indicators
Hydrogeological condition C110.550.30.10.05
Ore body stability C120.650.20.150
Falling rocks, landslides and mudslides C130.350.50.10.05
Radiation impact C140.60.400
Safety barrier C150.350.550.050.05
Drilling equipment C210.40.30.20.1
Loading equipment C220.250.60.10.05
Transportation C230.450.350.150.05
Maintenance C240.750.2500
Equipment upgrade and reliability C250.80.150.050
Education level C310.850.1500
Physical condition C320.650.3500
Training and skills ability C330.950.0500
Over time factor C340.90.100
Roof fall C410.450.450.10
Ventilation and toxic gases C420.50.30.150.05
Dust, noise and vibration C430.350.40.150.1
Fire and explosions C440.40.450.10.05
Electrical hazard C450.60.30.050.05
Water inrush C460.250.50.150.1
Falling from heights and object strikes C470.750.20.050
Rules and regulations C510.90.100
Dual prevention mechanism C520.950.0500
Safety system management and security C530.850.1500
Emergency rescue C540.80.200
Safety inspection C550.650.300
Rainfall and floods C610.350.50.10.05
High temperature C620.30.450.20.05
Wind impact C630.60.30.050.05
Earthquake C640.550.250.150.05
Disclaimer/Publisher’s Note: The statements, opinions and data contained in all publications are solely those of the individual author(s) and contributor(s) and not of MDPI and/or the editor(s). MDPI and/or the editor(s) disclaim responsibility for any injury to people or property resulting from any ideas, methods, instructions or products referred to in the content.

Share and Cite

MDPI and ACS Style

Li, J.; Deng, C.C.C.; Xu, J.; Ma, Z.; Shuai, P.; Zhang, L. Safety Risk Assessment and Management of Panzhihua Open Pit (OP)-Underground (UG) Iron Mine Based on AHP-FCE, Sichuan Province, China. Sustainability 2023, 15, 4497. https://doi.org/10.3390/su15054497

AMA Style

Li J, Deng CCC, Xu J, Ma Z, Shuai P, Zhang L. Safety Risk Assessment and Management of Panzhihua Open Pit (OP)-Underground (UG) Iron Mine Based on AHP-FCE, Sichuan Province, China. Sustainability. 2023; 15(5):4497. https://doi.org/10.3390/su15054497

Chicago/Turabian Style

Li, Jielin, Cyril Chol Chol Deng, Jiye Xu, Zhongjian Ma, Pei Shuai, and Liangbing Zhang. 2023. "Safety Risk Assessment and Management of Panzhihua Open Pit (OP)-Underground (UG) Iron Mine Based on AHP-FCE, Sichuan Province, China" Sustainability 15, no. 5: 4497. https://doi.org/10.3390/su15054497

APA Style

Li, J., Deng, C. C. C., Xu, J., Ma, Z., Shuai, P., & Zhang, L. (2023). Safety Risk Assessment and Management of Panzhihua Open Pit (OP)-Underground (UG) Iron Mine Based on AHP-FCE, Sichuan Province, China. Sustainability, 15(5), 4497. https://doi.org/10.3390/su15054497

Note that from the first issue of 2016, this journal uses article numbers instead of page numbers. See further details here.

Article Metrics

Back to TopTop