Mechanical Properties of the Combination of Surrounding Rock and Primary Support under Impacting Load
Abstract
:1. Introduction
2. Methodology
2.1. Structure of the Testing Specimen
2.2. Physical Properties
2.3. Experimental Apparatus
2.4. Experimental Scheme
3. Results
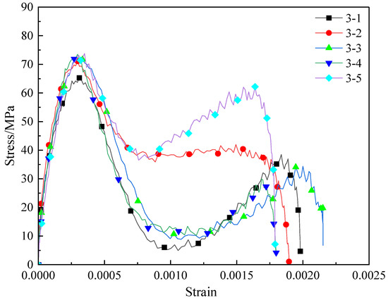
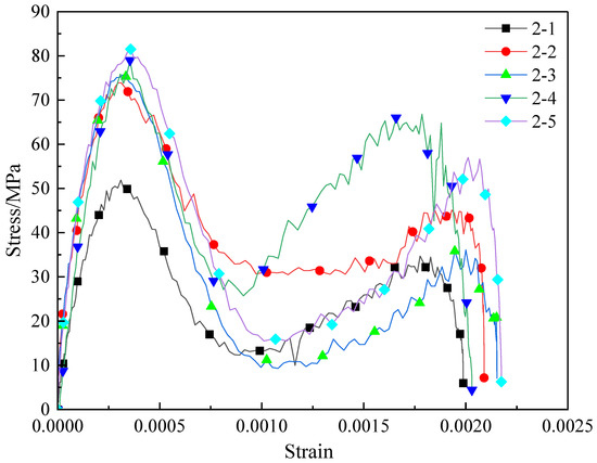
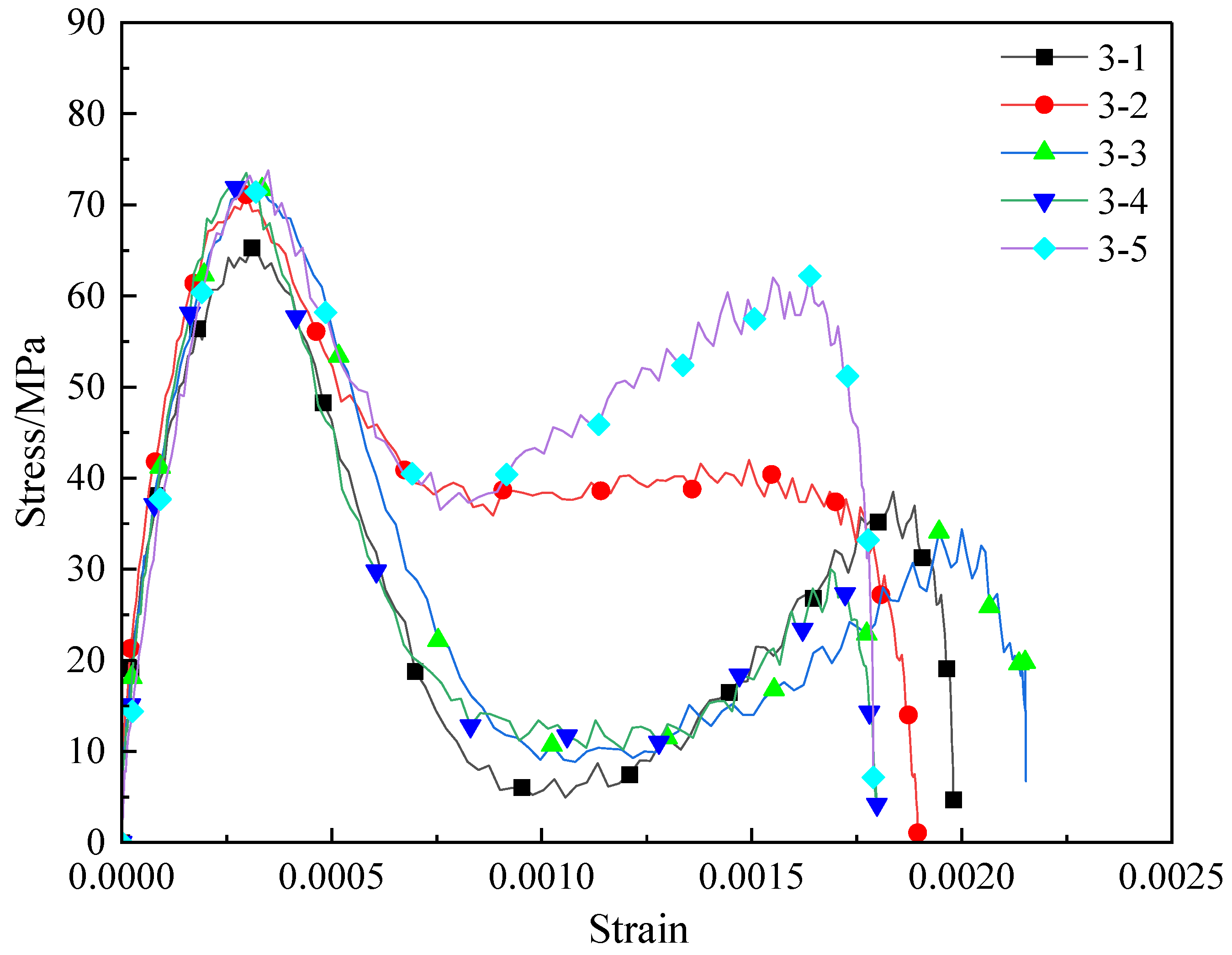
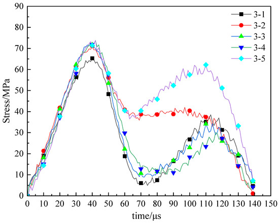
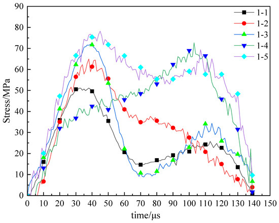
3.1. Stress-Time Curves
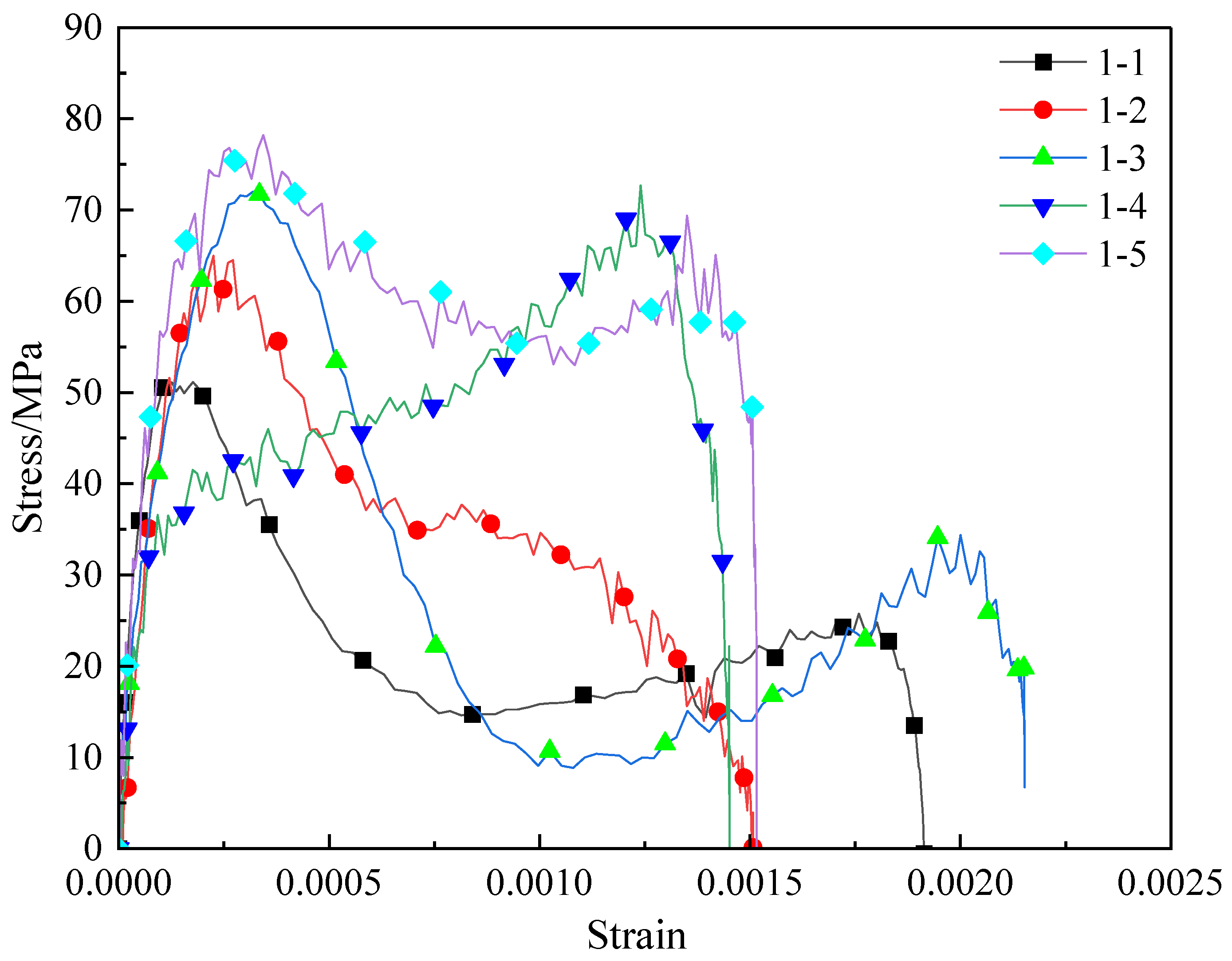
3.2. Stress–Strain Curves
3.3. Dynamic Strength
4. Discussion
4.1. Energy Consumption
4.2. Failure Mode
4.3. Contacting Force
- FihE—The horizontal seismic force in the calculated mass point, kN;
- η—The correction coefficient considering the horizontal seismic force, generally 0.20 for rock foundation and 0.25 for non-rock foundation;
- Ag—Acceleration in the seismic peak, m/s2;
- mi—Mass of the combination construction in the calculated point, ton.
5. Conclusions
Author Contributions
Funding
Institutional Review Board Statement
Informed Consent Statement
Data Availability Statement
Conflicts of Interest
References
- Sun, Z.; Zhang, D.; Fang, Q. Taiwan Qimin, Yu Fucai Temporal and spatial evolution characteristics of interaction between tunnel initial support and surrounding rock. J. Rock Mech. Eng. 2017, 36 (Suppl. S2), 3943–3956. [Google Scholar]
- Gu, S.; Huang, R.; Su, P. Stress law of composite lining considering creep of tunnel surrounding rock. J. Transp. Eng. 2018, 18, 53–60. [Google Scholar]
- Sunam, Y.; Lv, G.; Fan, K. Research on the impact of tunnel blasting construction on the initial shotcrete layer. J. Undergr. Space Eng. 2019, 15 (Suppl. S1), 327–332. [Google Scholar]
- Nie, H.; Zhang, J.; Ren, W. Study on the reasonable distance between the initial support and the face of tunnel damaged by blasting. Subgrade Eng. 2018, 199, 166–172. [Google Scholar]
- Wang, Z.Z.; Jiang, Y.J.; Zhu, C.A.; Sun, T.C. Shaking table tests of tunnel linings in progressive states of damage. Tunn. Undergr. Space Technol. 2015, 50, 109–117. [Google Scholar] [CrossRef]
- Liang, P.; Gao, Y.; Zhou, Y.; Deng, D. The method for determining the reasonable supporting time of tunnel initial support and its engineering application. J. Eng. Sci. 2022, 24, 265–276. [Google Scholar]
- Qiu, W.; Li, B.; Tian, M.; Li, S.; Huang, H. Analysis of stress mode of initial tunnel support based on field measurement. Tunn. Constr. 2017, 37, 1508–1517. [Google Scholar]
- Zhang, D.; Chen, F.; Fang, Q. Research on mechanical characteristics and applicability of initial tunnel support structure. Eng. Mech. 2014, 31, 78–84. [Google Scholar]
- Sun, M.; Ma, T.; Shen, Z.; Wu, X.; Wang, M. Research on the proportion of lining sharing surrounding rock pressure in composite lining structure. Geotech. Mech. 2018, 39 (Suppl. S1), 437–445. [Google Scholar]
- Xin, C.L.; Wang, Z.Z.; Gao, B. Shaking table tests on seismic response and damage mode of tunnel linings in diverse tunnel-void interaction states. Tunn. Undergr. Space Technol. 2018, 77, 295–304. [Google Scholar] [CrossRef]
- Li, P.; Zhang, D.; Zhao, Y.; Zhou, Y.; Fang, Q.; Zhang, X. Study on mechanical properties of secondary lining of large section loess tunnel. J. Rock Mech. Eng. 2010, 29, 1690–1696. [Google Scholar]
- Tian, P. Study on surrounding rock pressure and secondary lining stress characteristics of high ground stress soft rock tunnel. Railw. Stand. Des. 2016, 60, 108–112. [Google Scholar]
- Han, C.; Zhang, T.; Xu, C.; Xia, C. Research on deformation characteristics of large section soft rock tunnel and control of initial support of multiple layers. Highway 2021, 1, 335–339. [Google Scholar]
- Peng, Y.; Shan, R.; Song, Y.; Huang, Z.; Tan, J.; Kang, X.; Fan, X. Study on the cumulative damage of spray concrete caused by tunnel blasting. Concrete 2020, 370, 61–66. [Google Scholar]
- Wang, H.; Li, S.; Zhao, Y. Research on blasting damage law of initial concrete support under cumulative effect. Eng. Blasting 2021, 27, 29–34. [Google Scholar]
- Tang, X.; Xia, D.; Li, D.; Wang, Y. Analysis of the influence of tunnel blasting construction on initial concrete. J. Railw. Eng. Soc. 2022, 280, 73–79. [Google Scholar]
- Liu, M.; Liu, Y.; Zhang, W.; Xu, K.; Li, M. Impact of blasting vibration on stability of initial support structure of small clear distance tunnel group. Sci. Technol. Eng. 2019, 19, 322–327. [Google Scholar]
- Zhu, Z.; Sheng, Q.; Liu, J.; Zhu, F. Study on reasonable timing of initial support of hard surrounding rock. J. Undergr. Space Eng. 2010, 6, 1240–1246. [Google Scholar]
- Wu, Q.; Weng, L.; Zhao, Y.-L.; Feng, F. Influence of infilling stiffness on mechanical and fracturing responses of hollow cylindrical sandstone under uniaxial compression tests. J. Cent. South Univ. 2021, 28, 2485–2498. [Google Scholar] [CrossRef]
- Wu, Q.-H.; Weng, L.; Zhao, Y.-L.; Zhao, F.-J.; Zhang, S.-P. Deformation and cracking characteristics of ring-shaped granite with inclusion under diametrical compression. Arab. J. Geosci. 2020, 13, 681. [Google Scholar] [CrossRef]
- JGJ/T 98-2010; Specification for Mix Proportion Design of Masonry Mortar. Chinese Standard: Beijing, China, 2010.
- Ye, Z.; Zhao, F.; Zhou, Z. Mechanical characteristics of unloading rock under coupled dynamic and static loads. Chin. J. Geotech. Eng. 2013, 35, 454–459. [Google Scholar]
- Liu, X.; Hu, S. Propagation characteristics of stress pulse in tapered SHPB rod with variable cross section. Explos. Shock Waves 2000, 2, 110–114. [Google Scholar]
- Liu, X.; Hu, S. 2d numerical analysis of dispersion effect of large diameter SHPB. J. Exp. Mech. 2000, 4, 371–376. [Google Scholar]
- Hou, G.; Li, X.; Liang, H.; Liang, J.; Zhang, G.; Jin, H. Specimens (thick-walled cylinder) simulating roadway excavation. J. China Coal Soc. 2018, 43, 616–625. [Google Scholar]




















| Parameter | Group | ||||
|---|---|---|---|---|---|
| 1 | 2 | 3 | 4 | 5 | |
| External radius R/mm | 160 | 170 | 180 | 190 | 200 |
| Internal radius r0/mm | 60 | 60 | 60 | 60 | 60 |
| Height h/mm | 50 | 50 | 50 | 50 | 50 |
| Parameter Name | Poisson’s Ratio | Uniaxial Compressive Strength/MPa | Tensile Strength/MPa | Elastic Modulus/GPa |
|---|---|---|---|---|
| Cement mortar | 0.22 | 43.38 | 3.72 | 8.17 |
| Sandstone | 0.2 | 30.26 | 2.67 | 5.43 |
| No. | Hollow Ring Diameter/mm | Thickness of Cement Mortar/mm | Thickness of Sandstone/mm | Diameter of Specimens/mm |
|---|---|---|---|---|
| 1-1 | 60 | 10 | 40 | 160 |
| 1-2 | 60 | 15 | 40 | 170 |
| 1-3 | 60 | 20 | 40 | 180 |
| 1-4 | 60 | 25 | 40 | 190 |
| 1-5 | 60 | 30 | 40 | 200 |
| No. | Hollow Ring Diameter/mm | Thickness of Cement Mortar/mm | Thickness of Sandstone/mm | Diameter of Specimens/mm |
|---|---|---|---|---|
| 2-1 | 60 | 20 | 30 | 160 |
| 2-2 | 60 | 20 | 35 | 170 |
| 2-3 | 60 | 20 | 40 | 180 |
| 2-4 | 60 | 20 | 45 | 190 |
| 2-5 | 60 | 20 | 50 | 200 |
| No. | Hollow Ring Diameter/mm | Thickness of Cement Mortar/mm | Thickness of Sandstone/mm | Diameter of Specimens/mm |
|---|---|---|---|---|
| 3-1 | 60 | 10 | 50 | 180 |
| 3-2 | 60 | 15 | 45 | 180 |
| 3-3 | 60 | 20 | 40 | 180 |
| 3-4 | 60 | 25 | 35 | 180 |
| 3-5 | 60 | 30 | 30 | 180 |
Disclaimer/Publisher’s Note: The statements, opinions and data contained in all publications are solely those of the individual author(s) and contributor(s) and not of MDPI and/or the editor(s). MDPI and/or the editor(s) disclaim responsibility for any injury to people or property resulting from any ideas, methods, instructions or products referred to in the content. |
© 2023 by the authors. Licensee MDPI, Basel, Switzerland. This article is an open access article distributed under the terms and conditions of the Creative Commons Attribution (CC BY) license (https://creativecommons.org/licenses/by/4.0/).
Share and Cite
Ye, Z.; Zhang, L.; Zhou, Z.; Pan, K.; Liu, X.; Liu, W.; Wu, Q. Mechanical Properties of the Combination of Surrounding Rock and Primary Support under Impacting Load. Sustainability 2023, 15, 4410. https://doi.org/10.3390/su15054410
Ye Z, Zhang L, Zhou Z, Pan K, Liu X, Liu W, Wu Q. Mechanical Properties of the Combination of Surrounding Rock and Primary Support under Impacting Load. Sustainability. 2023; 15(5):4410. https://doi.org/10.3390/su15054410
Chicago/Turabian StyleYe, Zhouyuan, Liling Zhang, Zhihua Zhou, Kun Pan, Xubin Liu, Wenhui Liu, and Qiuhong Wu. 2023. "Mechanical Properties of the Combination of Surrounding Rock and Primary Support under Impacting Load" Sustainability 15, no. 5: 4410. https://doi.org/10.3390/su15054410
APA StyleYe, Z., Zhang, L., Zhou, Z., Pan, K., Liu, X., Liu, W., & Wu, Q. (2023). Mechanical Properties of the Combination of Surrounding Rock and Primary Support under Impacting Load. Sustainability, 15(5), 4410. https://doi.org/10.3390/su15054410
