Numerical Study of Different Engineering Conditions on the Propulsive Performance of the Bionic Jellyfish Robot
Abstract
1. Introduction
2. Methods and Model
3. Analysis
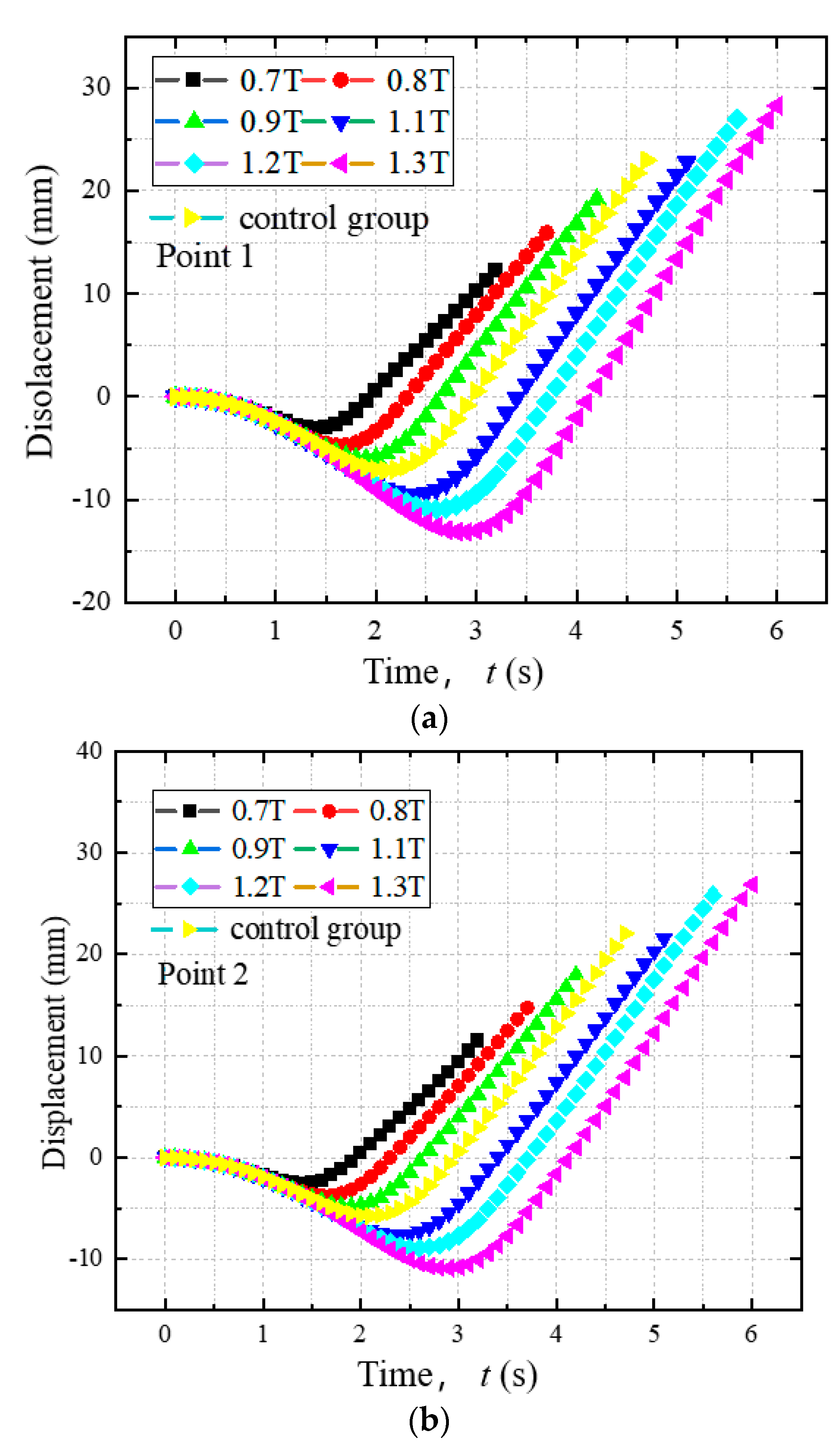
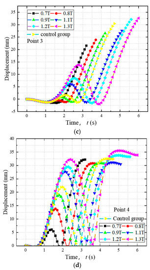
3.1. Frequency
3.2. Amplitudes
4. Conclusions
- The simplified bionic jellyfish robot model proposed in this paper can simulate its movement process in still water.
- The effect of amplitude on the motion state of the bionic jellyfish robot is small, and the forward distance of the bionic jellyfish robot does not differ much under the action of different amplitudes.
- The lower the frequency, the stronger the driving effect of the bionic jellyfish robot. In the same period range, the bionic jellyfish with lower frequency can advance a longer distance.
- Frequency and amplitude have little effect on the pressure distribution of the fluid around the bionic jellyfish robot, but have a higher correlation on the motion pattern of the bionic jellyfish robot. When the frequency is lower, the jellyfish robot sucks less water into the cavity in the relaxed state.
Author Contributions
Funding
Institutional Review Board Statement
Informed Consent Statement
Data Availability Statement
Acknowledgments
Conflicts of Interest
References
- Bogue, R. Underwater robots: A review of technologies and applications. Ind. Robot. 2015, 42, 186–191. [Google Scholar] [CrossRef]
- National Oceanic and Atmospheric Administration. Ocean. Available online: https://web.archive.org/web/20130424102601/http://www.noaa.gov/ocean.html (accessed on 18 June 2022).
- Salazar, R.; Campos, A.; Fuentes, V.; Abdelkefi, A. A review on the modeling, materials, and actuators of aquatic unmanned vehicles. Ocean Eng. 2019, 172, 257–285. [Google Scholar] [CrossRef]
- Rich, S.I.; Wood, R.J.; Majidi, C. Untethered soft robotics. Nat. Electron. 2018, 1, 102–112. [Google Scholar] [CrossRef]
- Sfakiotakis, M.; Lane, D.M.; Davies, J.B.C. Review of fish swimming modes for aquatic locomotion. IEEE J. Ocean. Eng. 1999, 24, 237–252. [Google Scholar] [CrossRef]
- Palmisano, J.; Geder, J.; Ramamurti, R.; Liu, K.J.; Cohen, J.J.; Mengesha, T.; Naciri, J.; Sandberg, W.; Ratna, B. Design, Development, and Testing of Flapping Fins with Actively Controlled Curvature for an Unmanned Underwater Vehicle. In Bio-Mechanisms of Swimming and Flying; Kato, N., Kamimura, S., Eds.; Springer: Tokyo, Japan, 2008; pp. 283–294. [Google Scholar] [CrossRef]
- Guo, J.; Tsai, J.F.; Chiu, F.C.; Lee, Y.J. Optimal Measurement Strategies For Target Tracking By a Biomimetic Underwater Vehicle. In Proceedings of the Seventeenth International Offshore and Polar Engineering Conference, Lisbon, Portugal, 1–6 July 2007; pp. 473–483. [Google Scholar]
- Hou, Y.; Hu, X.; Zeng, D.; Zhou, Y. Biomimetic shoulder complex based on 3-PSS/S spherical parallel mechanism. Chin. J. Mech. Eng. 2015, 28, 29–37. [Google Scholar] [CrossRef]
- Fish, F.E.; Kocak, D.M. Biomimetics and Marine Technology: An Introduction. Mar. Technol. Soc. J. 2011, 45, 8–13. [Google Scholar] [CrossRef]
- Villanueva, A.; Smith, C.; Priya, S. A biomimetic robotic jellyfish (Robojelly) actuated by shape memory alloy composite actuators. Bioinspir. Biomim. 2011, 6, 036004. [Google Scholar] [CrossRef]
- Yu, J.; Wang, M.; Dong, H.; Zhang, Y.; Wu, Z. Motion Control and Motion Coordination of Bionic Robotic Fish: A Review. J. Bionic Eng. 2018, 15, 579–598. [Google Scholar] [CrossRef]
- Jiang, H.; Han, X.; Jing, Y.; Guo, N.; Wan, F.; Song, C. Rigid–Soft Interactive Design of a Lobster-Inspired Finger Surface for Enhanced Grasping Underwater. Front. Robot AI 2021, 8, 787187. [Google Scholar] [CrossRef]
- Matta, A.; Pendar, H.; Battaglia, F.; Bayandor, J. Impact of Caudal Fin Shape on Thrust Production of a Thunniform Swimmer. J. Bionic Eng. 2020, 17, 254–269. [Google Scholar] [CrossRef]
- Wu, M.; Xu, X.; Zhao, Q.; Afridi, W.H.; Hou, N.; Afridi, R.H.; Zheng, X.; Wang, X.; Xie, G. A Fully 3D-Printed Tortoise-Inspired Soft Robot with Terrains-Adaptive and Amphibious Landing Capabilities. Adv. Mater. Technol. 2022, 7, 2200536. [Google Scholar] [CrossRef]
- Chen, B.D.; Tang, W.; He, C.; Deng, C.R.; Yang, L.J.; Zhu, L.P.; Chen, J.; Shao, J.J.; Liu, L.; Wang, Z.L. Water wave energy harvesting and self-powered liquid-surface fluctuation sensing based on bionic-jellyfish triboelectric nanogenerator. Mater. Today 2018, 21, 88–97. [Google Scholar] [CrossRef]
- Yu, J.; Zhang, C.; Wang, S. Design and Simulation Analysis of Bionic Jellyfish AUV Driven by SMA Flexible Driver. In Proceedings of the Intelligent Robotics and Applications: 14th International Conference, Yantai, China, 22–25 October 2021; pp. 498–508. [Google Scholar] [CrossRef]
- Ma, Y.; Li, X.; Liang, B.; Du, Y.; Liu, J.; Yang, S. Development and Motion Mode Analysis of IPMC Bionic Jellyfish Based on App Bluetooth Remote Control. IOP Conf. Ser. Earth Environ. Sci. 2019, 252, 022040. [Google Scholar] [CrossRef]
- Hsieh, W.H.; Peng, C.C. On the kinematic synthesis of jet propulsion mechanisms for bionic jellyfishes with 6 links. Trans. Can. Soc. Mech. Eng. 2007, 31, 289–299. [Google Scholar] [CrossRef]
- Lee, J.S.; Lee, C.W. The development of small water-jet propulsion for 150HP grade inboard type. J. Adv. Mar. Eng. Technol. 2014, 38, 246–252. [Google Scholar] [CrossRef]
- Georgiades, C.; German, A.; Hogue, A.; Liu, H.; Prahacs, C.; Ripsman, A.; Sim, R.; Torres-Méndez, L.A.; Zhang, P.; Buehler, M.; et al. AQUA: An aquatic walking robot. In Proceedings of the 2004 IEEE/RSJ International Conference on Intelligent Robots and Systems (IROS) (IEEE Cat. No.04CH37566), Sendai, Japan, 28 September–2 October 2004; pp. 3525–3531. [Google Scholar]
- Hsieh, W.H.; Chen, T.I. On the resonance analysis for compliant bionic jellyfishes. Sci. China Technol. Sci. 2010, 53, 2976–2982. [Google Scholar] [CrossRef]
- Kato, N. Median and Paired Fin Controllers for Biomimetic Marine Vehicles. Appl. Mech. Rev. 2005, 58, 238–252. [Google Scholar] [CrossRef]
- Hu, H.; Liu, J.; Dukes, I.; Francis, G. Design of 3D Swim Patterns for Autonomous Robotic Fish. In Proceedings of the 2006 IEEE/RSJ International Conference on Intelligent Robots and Systems, Beijing, China, 9–15 October 2006; pp. 2406–2411. [Google Scholar] [CrossRef]
- Cai, Y.; Bi, S.; Zheng, L. Design and Experiments of a Robotic Fish Imitating Cow-Nosed Ray. J. Bionic Eng. 2010, 7, 120–126. [Google Scholar] [CrossRef]
- Wang, Q.; Lu, P. Research on Application of Artificial Intelligence in Computer Network Technology. Int. J. Pattern Recogn. Artif. Intell. 2019, 33, 1959015. [Google Scholar] [CrossRef]
- Daniel, T.L. Cost of Locomotion: Unsteady Medusan Swimming. J. Exp. Biol. 1985, 119, 149–164. [Google Scholar] [CrossRef]
- Dabiri, J.O. On the Estimation of Swimming and Flying Forces from Wake Measurements. J. Exp. Biol. 2005, 208, 3519–3532. [Google Scholar] [CrossRef] [PubMed]
- Dabiri, J.O.; Colin, S.P.; Costello, J.H.; Gharib, M. Flow Patterns Generated by Oblate Medusan Jellyfish: Field Measurements and Laboratory Analyses. J. Exp. Biol. 2005, 208, 1257–1265. [Google Scholar] [CrossRef] [PubMed]
- Colin, S.P.; Costello, J.H. Morphology, Swimming Performance and Propulsive Mode of Six Co-occurring Hydromedusae. J. Exp. Biol. 2002, 205, 427–437. [Google Scholar] [CrossRef]
- McHenry, M.J.; Jed, J. The Ontogenetic Scaling of Hydrodynamics and Swimming Performance in Jellyfish (aurelia Aurita). J. Exp. Biol. 2003, 206, 4125–4137. [Google Scholar] [CrossRef] [PubMed]
- Park, S.; Chang, C.; Huang, W.; Sung, H. Simulation of Swimming Oblate Jellyfish with a Paddling-based Locomotion. J. Fluid Mech. 2014, 748, 731–755. [Google Scholar] [CrossRef]
- Park, S.G.; Kim, B.; Lee, J.; Huang, W.; Sung, H.J. Dynamics of Prolate Jellyfish with a Jet-based Locomotion. J. Fluids Struct. 2015, 57, 331–343. [Google Scholar] [CrossRef]
- Soliman, M.; Mousa, M.A.; Saleh, M.A.; Elsamanty, M.; Radwan, A.G. Modelling and implementation of soft bio-mimetic turtle using echo state network and soft pneumatic actuators. Sci. Rep. 2021, 11, 12076. [Google Scholar] [CrossRef]
- Marchese, A.D.; Komorowski, K.; Onal, C.D.; Rus, D. Design and control of a soft and continuously deformable 2d robotic manipulation system. In Proceedings of the 2014 IEEE International Conference on Robotics and Automation (ICRA), Hong Kong, China, 31 May–7 June 2014; pp. 2189–2196. [Google Scholar]
- Qin, W.; Datta, S.; Zhang, W. 3D Simulation Models Simplified to 2D Planar/Axisymmetric Problems in Automotive Structures. Available online: https://saemobilus.sae.org/content/2016-01-0397/ (accessed on 18 June 2022).
- Watanabe, T.; Neves, G.; Cerqueira, R.; Trocoli, T.; Reis, M.; Joyeux, S.; Albiez, J. The rock-gazebo integration and a real-time auv simulation. In Proceedings of the 2015 12 th Latin American Robotics Symposium and 2015 3rd Brazilian Symposium on Robotics (LARS-SBR), Uberlandia, Brazil, 29–31 October 2015; pp. 132–138. [Google Scholar]
- Kermorgant, O. A dynamic simulator for underwater vehicle-manipulators. In Simulation, Modeling, and Programming for Autonomous Robots; Brugali, D., Broenink, J.F., Kroeger, T., MacDonald, B.A., Eds.; Springer: Cham, Switzerland, 2014; pp. 25–36. [Google Scholar]
- Tang, B.; Jiang, L.; Li, R. Bionic Robot Jellyfish Based on Multi-Link Mechanism. In Proceedings of the 2020 International Wireless Communications and Mobile Computing (IWCMC), Limassol, Cyprus, 15–19 June 2020; pp. 649–652. [Google Scholar]
- Xiao, J.; Yu, J. Design and implementation of a biomimetic robotic jellyfish based on multi-linkage mechanism. In Proceedings of the 32 nd Chinese Control Conference, Xi’an, China, 26–28 July 2013; pp. 797–802. [Google Scholar]












Disclaimer/Publisher’s Note: The statements, opinions and data contained in all publications are solely those of the individual author(s) and contributor(s) and not of MDPI and/or the editor(s). MDPI and/or the editor(s) disclaim responsibility for any injury to people or property resulting from any ideas, methods, instructions or products referred to in the content. |
© 2023 by the authors. Licensee MDPI, Basel, Switzerland. This article is an open access article distributed under the terms and conditions of the Creative Commons Attribution (CC BY) license (https://creativecommons.org/licenses/by/4.0/).
Share and Cite
Cheng, Q.; Mo, W.; Chen, L.; Ke, W.; Hu, J.; Wu, Y. Numerical Study of Different Engineering Conditions on the Propulsive Performance of the Bionic Jellyfish Robot. Sustainability 2023, 15, 4186. https://doi.org/10.3390/su15054186
Cheng Q, Mo W, Chen L, Ke W, Hu J, Wu Y. Numerical Study of Different Engineering Conditions on the Propulsive Performance of the Bionic Jellyfish Robot. Sustainability. 2023; 15(5):4186. https://doi.org/10.3390/su15054186
Chicago/Turabian StyleCheng, Qiyun, Wenyuan Mo, Long Chen, Wei Ke, Jun Hu, and Yuwei Wu. 2023. "Numerical Study of Different Engineering Conditions on the Propulsive Performance of the Bionic Jellyfish Robot" Sustainability 15, no. 5: 4186. https://doi.org/10.3390/su15054186
APA StyleCheng, Q., Mo, W., Chen, L., Ke, W., Hu, J., & Wu, Y. (2023). Numerical Study of Different Engineering Conditions on the Propulsive Performance of the Bionic Jellyfish Robot. Sustainability, 15(5), 4186. https://doi.org/10.3390/su15054186

