Income Inequality, Household Debt, and Consumption Growth in the United States
Abstract
1. Introduction
2. Literature Overview and Research Hypothesis
2.1. The Impact of Income Inequality on Consumption
2.2. The Impact of Household Debt on Consumption
2.3. The Impact of Income Inequality on Household Debt
3. Materials and Methods
3.1. Data
3.2. Variable Description
3.3. Methods
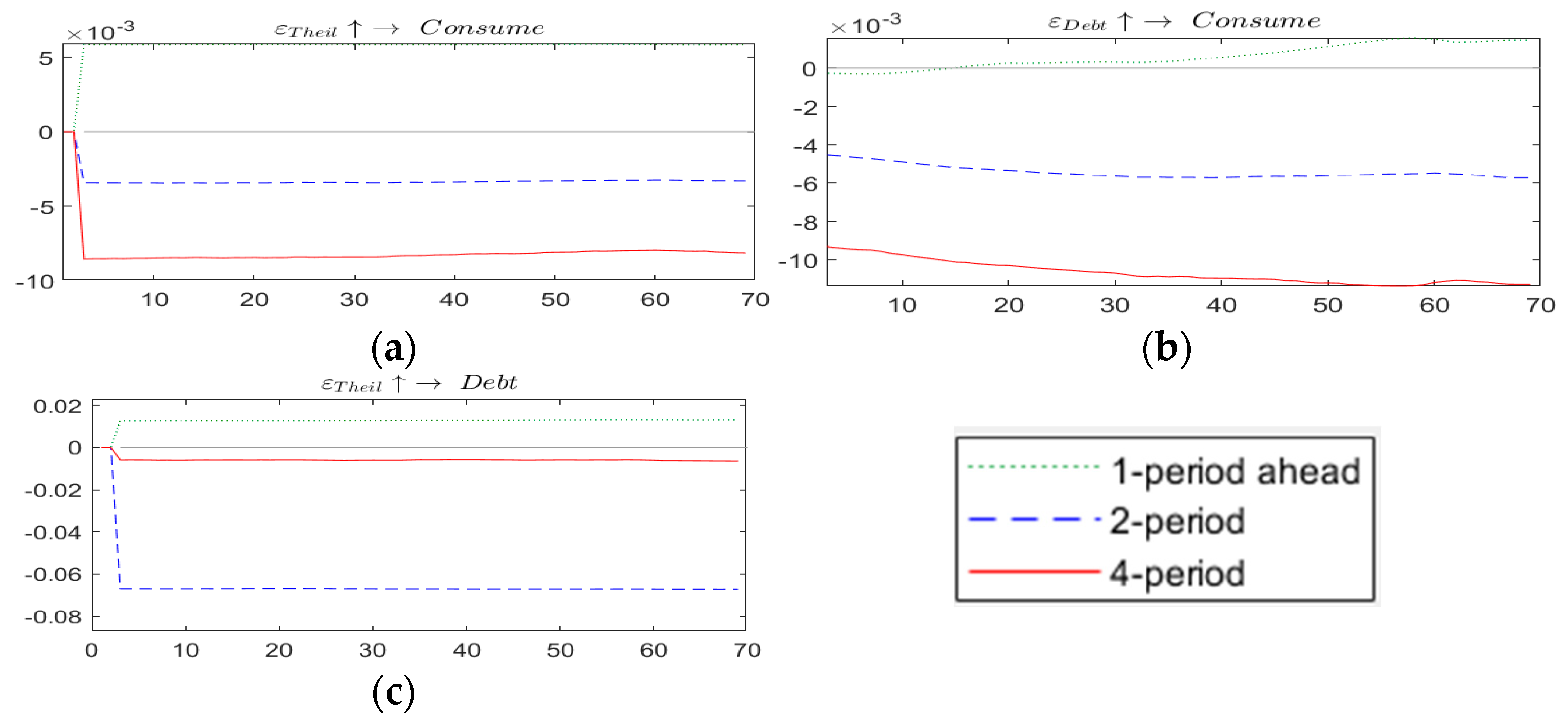
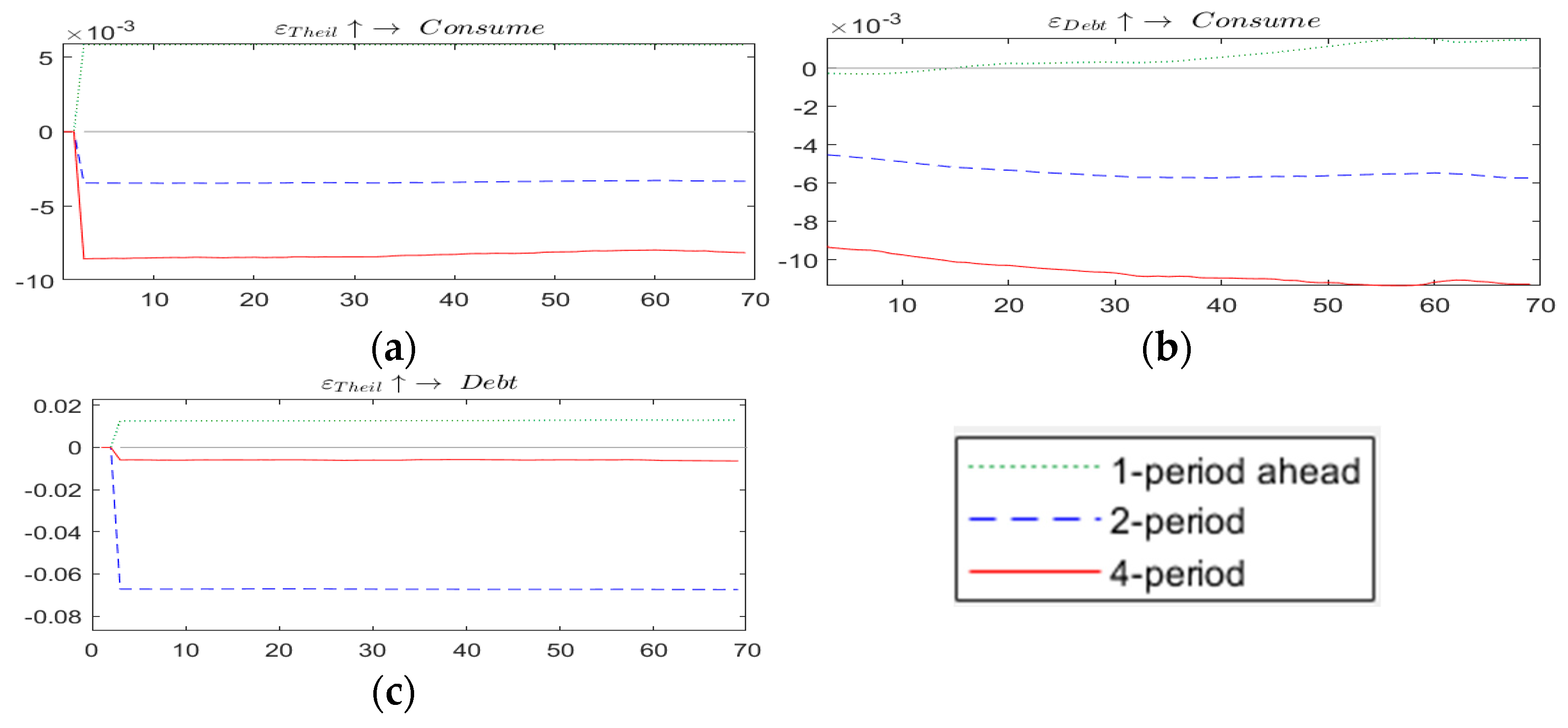
4. Results
5. Discussion
6. Conclusions
Author Contributions
Funding
Institutional Review Board Statement
Informed Consent Statement
Data Availability Statement
Conflicts of Interest
References
- Su, R.; Obrenovic, B.; Du, J.; Godinic, D.; Khudaykulov, A. COVID-19 Pandemic Implications for Corporate Sustainability and Society: A Literature Review. Int. J. Env. Res. Public Health 2022, 19, 1592. [Google Scholar] [CrossRef] [PubMed]
- Dubra, E. Socio-economic Disparity Problems and Convergence Policy in the EU States. J. Int. Bus. Res. Mark. 2016, 2, 41–48. [Google Scholar] [CrossRef]
- Huang, X.; Huang, S.J.; Shui, A. Government spending and intergenerational income mobility: Evidence from China. J. Econ. Behav. Organ. 2021, 191, 387–414. [Google Scholar] [CrossRef]
- Dunn, L.F.; Mirzaie, I.A. Consumer Debt Stress, Changes in Household Debt, and the Great Recession. Econ. Inpuiry 2016, 54, 201–214. [Google Scholar] [CrossRef]
- Saez, E. Income and Wealth Inequality: Evidence and Policy Implications. Contemp. Econ. Policy 2016, 35, 7–25. [Google Scholar] [CrossRef]
- Tavani, D.; Vasudevan, R. Capitalists, Workers, and Managers: Wage Inequality and Effective Demand. Struct. Change Econ. Dyn. 2014, 30, 120–131. [Google Scholar] [CrossRef]
- Western, B.; Rosenfeld, J. Unions, Norms, and the Rise in U.S. Wage Inequality. Am. Sociol. Rev. 2011, 76, 513–537. [Google Scholar] [CrossRef]
- Cynamon, B.Z.; Fazzari, S.M. Inequality and Household Finance during the Consumer Age. In Levy Economics Institute of Bard College, Working Paper No. 752. 2013. Available online: https://www.econstor.eu/handle/10419/79489 (accessed on 10 June 2022).
- Johnson, K.W.; Li, G. Do High Debt Payments Hinder Household Consumption Smooting? In Board of Governors of the Federal Reserve System Working Paper. 2007. Available online: https://www.federalreserve.gov/econres/feds/do-high-debt-payments-hinder-household-consumption-smoothing.htm (accessed on 15 June 2022).
- Kohlscheen, E.; Lombardi, M.J.; Zakrajsek, E. Income Inequality and the Depth of Economic Downturns. In BIS Working Papers No 943. 2021. Available online: https://www.bis.org/publ/work943.htm (accessed on 20 June 2022).
- Amromin, G.; Nardi, M.D.; Schulze, K. Household Inequality and the Consumption Response to Aggregate Real Shocks. Econ. Perspect. 2018, 42, 1–20. [Google Scholar] [CrossRef]
- Jaikumar, S.; Sarin, A. Conspicuous Consumption and Income Inequality in an Emerging Economy: Evidence from India. Mark. Lett. 2015, 26, 279–292. [Google Scholar] [CrossRef]
- Kapeller, J.; Schütz, B. Conspicuous Consumption, Inequality and Debt: The Nature of Consumption-driven Profit-led Regimes. Metroeconomica 2015, 66, 51–70. [Google Scholar] [CrossRef]
- Lee, K.O.; Mori, M. Conspicuous Consumption and Household Indebtedness. Real Estate Econ. 2021, 49, 557–586. [Google Scholar] [CrossRef]
- Christen, M.; Morgan, R.M. Keeping Up with the Joneses: Analyzing the Effect of Income Inequality on Consumer Borrowing. Quant. Mark. Econ. 2005, 3, 145–173. [Google Scholar] [CrossRef]
- Charles, M.; Lundy, J.D. The local Joneses: Household Consumption and Income Inequality in Large Metropolitan Areas. Res. Soc. Stratif. Mobil. 2013, 34, 14–29. [Google Scholar] [CrossRef]
- Pybus, K.; Power, M.; Pickett, K.E.; Wilkinson, R. Income Inequality, Status Consumption and Status Anxiety: An Exploratory Review of Implications for Sustainability and Directions for Future Research. Soc. Sci. Humanit. Open 2022, 6, 100353. [Google Scholar] [CrossRef]
- Frank, R.H.; Levine, A.S.; Dijk, O. Expenditure Cascades. Rev. Behav. Econ. 2014, 1, 55–73. [Google Scholar] [CrossRef]
- Jin, Y.; Li, H.B.; Wu, B.Z. Income Inequality, Consumption, and Social-Status Seeking. J. Comp. Econ. 2011, 39, 191–204. [Google Scholar] [CrossRef]
- Shen, Z.L.; Fan, W.; Hu, J. Income Inequality, Consumption, and the Debt Ratio of Chinese Households. PLoS ONE 2022, 17, e0265851. [Google Scholar] [CrossRef]
- Breza, E.; Kinnan, C. Measuring the Equilibrium Impacts of Credit: Evidence from the Indian Microfinance Crisis. Q. J. Econ. 2021, 136, 1447–1497. [Google Scholar] [CrossRef]
- Pan, W.F. Household Debt in the Times of Populism. J. Econ. Behav. Organ. 2023, 205, 202–215. [Google Scholar] [CrossRef]
- Verner, E.; Gyöngyösi, G. Household Debt Revaluation and the Real Economy: Evidence from a Foreign Currency Debt Crisis. Am. Econ. Rev. 2020, 110, 2667–2702. [Google Scholar] [CrossRef]
- Ludvigson, S. Consumption and Credit: A Model of Time-Varying Liquidity Constraints. Rev. Econ. Stat. 1999, 81, 434–447. [Google Scholar] [CrossRef]
- Parker, J.A. The Reaction of Household Consumption to Predictable Changes in Social Security Taxes. Am. Econ. Rev. 1999, 89, 959–973. [Google Scholar] [CrossRef]
- Lombardi, M.; Mohanty, M.; Shim, I. The Real Effects of Household Debt in the Short and Long Run. In BIS Working Papers No 607. 2017. Available online: https://www.bis.org/publ/work607.htm (accessed on 7 July 2022).
- Mian, A.; Sufi, A.; Verner, E. Household Debt and Business Cycles Worldwide. Q. J. Econ. 2017, 32, 1755–1817. [Google Scholar] [CrossRef]
- Dynan, K. Is a Household Debt Overhang Holding Back Consumption? Brook. Brook. Pap. Econ. Act. 2012, 299–362. Available online: https://scholar.harvard.edu/kdynan/publications/household-debt-overhang-holding-back-consumption (accessed on 15 July 2022). [CrossRef]
- Dynan, K.; Edelberg, W. The Relationship Between Leverage and Household Spending Behavior: Evidence from The 2007-2009 Survey of Consumer Finances. Fed. Reserve Bank St. Louis Rev. 2013, 95, 425–448. [Google Scholar] [CrossRef]
- Mian, A.; Rao, K.; Sufi, A. Household Balance Sheet, Consumption and the Economic Slump. Q. J. Econ. 2013, 128, 1687–1726. [Google Scholar] [CrossRef]
- Bunn, P.; Rostom, M. Household Debt and Spending. Bank Engl. Q. Bull. 2014, 54, 304–315. [Google Scholar]
- Alter, A.; Feng, A.X.C.; Valckx, N. Understanding the Macro-Financial Effects of Household Debt: A Global Perspective. IMF Staff. Pap. 2018, 2018, 6. [Google Scholar] [CrossRef]
- Latinovic, M.; Milosevic, N. Income Inequality and Credit Expansion in Post-Communist Countries. Post-Communist Econ. 2018, 31, 106–122. [Google Scholar] [CrossRef]
- Cardaci, A. Inequality, Household Debt and Financial Instability: An Agent-Based Perspective. J. Econ. Behav. Organ. 2018, 149, 434–458. [Google Scholar] [CrossRef]
- Berisha, E.; Meszaros, J.; Olson, E. Income Inequality, Equities, Household Debt, and Interest Rates: Evidence from a Century of Data. J. Int. Money Financ. 2018, 80, 1–14. [Google Scholar] [CrossRef]
- Berisha, E.; Meszaros, J. Household Debt, Economic Conditions, and Income Inequality: A State Level Analysis. Soc. Sci. J. 2017, 54, 93–101. [Google Scholar] [CrossRef]
- Iacoviello, M. Household Debt and Income Inequality, 1963–2003. J. Money Credit. Bank. 2008, 40, 929–965. [Google Scholar] [CrossRef]
- Kim, Y.K.; Lima, G.T.; Setterfield, M. Political Aspects of Household Debt. In Working Paper 24. 2017. Available online: http://www.economicpolicyresearch.org/econ/2017/NSSR_WP_242017.pdf (accessed on 10 August 2022).
- Loschiavo, D. Household Debt and Income Inequality: Evidence from Italian Survey Data. Rev. Income Wealth 2021, 67, 61–103. [Google Scholar] [CrossRef]
- Giraud, G.; Grasselli, M. Household Debt: The Missing Link between Inequality and Secular Stagnation. J. Econ. Behav. Organ. 2021, 183, 901–927. [Google Scholar] [CrossRef]
- Bazillier, R.; Héricourt, J.; Ligonnière, S. Structure of Income Inequality and Household Leverage: Cross-Country Causal Evidence. Eur. Econ. Rev. 2021, 132, 103629. [Google Scholar] [CrossRef]
- Barba, A.; Pivetti, M. Rising Household Debt: Its Causes and Macroeconomic Implications—A Long-Period Analysis. Camb. J. Econ. 2009, 33, 113–137. [Google Scholar] [CrossRef]
- Kumhof, M.; Rancière, R.; Winant, P. Inequality, Leverage, and Crises. Am. Econ. Rev. 2015, 105, 1217–1245. [Google Scholar] [CrossRef]
- Wolff, E.N. Recent Trends in Household Wealth in the United States: Rising Debt and the Middle-Class Squeeze, Economics. In Levy Economics Institute Working Papers Series No. 159. 2010. Available online: https://www.levyinstitute.org/pubs/wp_589.pdf (accessed on 20 August 2022).
- Carr, M.D.; Jayadev, A. Relative Income and Indebtness: Evidence from Panel Data. Rev. Income Wealth 2015, 61, 759–772. [Google Scholar] [CrossRef]
- Klein, M. Inequality and Household Debt: A Panel Cointegration Analysis. Empirica 2015, 42, 391–412. [Google Scholar] [CrossRef]
- Cynamon, B.Z.; Fazzari, S.M. Inequality, the Great Recession and Slow Recovery. Camb. J. Econ. 2016, 40, 373–399. [Google Scholar] [CrossRef]
- Wildauer, R. Determinants of US Household Debt: New Evidence from the SCF. Post Keynesian Economics Study Group. In Working Paper No PKWP1608. 2016. Available online: https://www.postkeynesian.net/working-papers/1608/ (accessed on 25 August 2022).
- Belabed, C.A.; Theobald, T.; Treeck, T.V. Income Distribution and Current Account Imbalances. Camb. J. Econ. 2018, 42, 47–94. [Google Scholar] [CrossRef]
- Bahadir, B.; De, K.; Lastrapes, W.D. Household Debt, Consumption and Inequality. J. Int. Money Financ. 2020, 109, 1–17. [Google Scholar] [CrossRef]
- Cheah, S.P.; Lau, L.S.; Choong, C.K. Income Inequality and Household Debt in Malaysia: Is There an Asymmetric Relationship? Int. J. Econ. Manag. 2022, 16, 95–105. [Google Scholar]
- Berisha, E.; Meszaros, J. Household Debt, Consumption, and Income Inequality. Int. Econ. Jouranl 2018, 32, 161–176. [Google Scholar] [CrossRef]
- Hwang, S.; Lee, J. Conspicuous Consumption and Income Inequality. Oxf. Econ. Pap. 2017, 69, 870–896. [Google Scholar] [CrossRef]
- Ordabayeva, N.; Chandon, P. Getting ahead of the Joneses: When Equality Increases Conspicuous Consumption among Bottom-Tier Consumers. J. Consum. Res. 2011, 38, 27–41. [Google Scholar] [CrossRef]
- Paskov, M.; Gërxhani, K.; Van De Werfhorst, H.G. Giving up on the Joneses? The Relationship between Income Inequality and Status-seeking. Eur. Sociol. Rev. 2017, 33, 112–123. [Google Scholar] [CrossRef]
- Ryoo, S.; Kim, Y.K. Income Distribution, Consumer Debt and Keeping up with the Joneses. Metroeconomica 2014, 65, 585–618. [Google Scholar] [CrossRef]
- Leicht, K.T.; Fitzgerald, S.T. The Real Reason 60 is the New 30: Consumer Debt and Income Insecurity in Late Middle Age. Sociol. Q. 2014, 55, 236–260. [Google Scholar] [CrossRef]
- Bertrand, M. and A. Morse. Trickle Down Consumption. Rev. Econ. Stat. 2012, 98, 863–879. [Google Scholar] [CrossRef]
- Bacchetta, P.; Gerlach, S. Consumption and Credit Constraints: International Evidence. J. Monet. Econ. 1997, 40, 207–238. [Google Scholar] [CrossRef]


| Variable | Variable Setting | Processing Methods |
|---|---|---|
| Income Inequality | Theil | Difference |
| Household Debt | Debt | Difference |
| Personal Consumption Expenditures | Consume | Difference |
| Theil | Debt | Consume | |
|---|---|---|---|
| Mean | 0.017237 | 0.235941 | 0.05337 |
| Median | 0.017821 | 0.060463 | 0.049828 |
| Maximum | 0.171515 | 4.624372 | 0.104617 |
| Minimum | −0.138381 | −2.146016 | −0.024454 |
| Std. Dev. | 0.055457 | 0.917062 | 0.026617 |
| Skewness | −0.118047 | 2.381443 | 0.04788 |
| Kurtosis | 3.737226 | 12.56041 | 2.909194 |
| ADF test | Stationary (−7.797500) | Stationary (−9.689600) | Stationary (−8.710366) |
| Parameter | Mean | Std. Dev. | 95%U | 95%L | Geweke Statistic | Inefficiency Factor |
|---|---|---|---|---|---|---|
| sb1 | 0.0094 | 0.0030 | 0.0053 | 0.0170 | 0.952 | 23.15 |
| sb2 | 0.0064 | 0.0016 | 0.0040 | 0.0103 | 0.556 | 10.64 |
| sa1 | 0.0055 | 0.0016 | 0.0034 | 0.0096 | 0.864 | 22.53 |
| sa2 | 0.0055 | 0.0016 | 0.0034 | 0.0097 | 0.041 | 19.22 |
| sh1 | 0.1398 | 0.0747 | 0.0346 | 0.3200 | 0.823 | 65.19 |
| sh2 | 0.0063 | 0.0042 | 0.0034 | 0.0132 | 0.147 | 91.66 |
Disclaimer/Publisher’s Note: The statements, opinions and data contained in all publications are solely those of the individual author(s) and contributor(s) and not of MDPI and/or the editor(s). MDPI and/or the editor(s) disclaim responsibility for any injury to people or property resulting from any ideas, methods, instructions or products referred to in the content. |
© 2023 by the authors. Licensee MDPI, Basel, Switzerland. This article is an open access article distributed under the terms and conditions of the Creative Commons Attribution (CC BY) license (https://creativecommons.org/licenses/by/4.0/).
Share and Cite
Piao, Y.; Li, M.; Sun, H.; Yang, Y. Income Inequality, Household Debt, and Consumption Growth in the United States. Sustainability 2023, 15, 3910. https://doi.org/10.3390/su15053910
Piao Y, Li M, Sun H, Yang Y. Income Inequality, Household Debt, and Consumption Growth in the United States. Sustainability. 2023; 15(5):3910. https://doi.org/10.3390/su15053910
Chicago/Turabian StylePiao, Ying’ai, Meiru Li, Hongyuan Sun, and Ying Yang. 2023. "Income Inequality, Household Debt, and Consumption Growth in the United States" Sustainability 15, no. 5: 3910. https://doi.org/10.3390/su15053910
APA StylePiao, Y., Li, M., Sun, H., & Yang, Y. (2023). Income Inequality, Household Debt, and Consumption Growth in the United States. Sustainability, 15(5), 3910. https://doi.org/10.3390/su15053910
