Water Quality Simulation in the Bois River, Goiás, Central Brazil
Abstract
1. Introduction
2. Materials and Methods
2.1. Study Area
2.2. Data and Monitoring Sites
2.3. Modeling Tool
2.4. Model Calibration
2.4.1. River Discretization
2.4.2. Input Data
2.4.3. Model Implementation
2.5. Uncertainty and Sensitivity Analysis
3. Results and Discussion
3.1. Reaeration Rate
3.2. Nitrification Rate
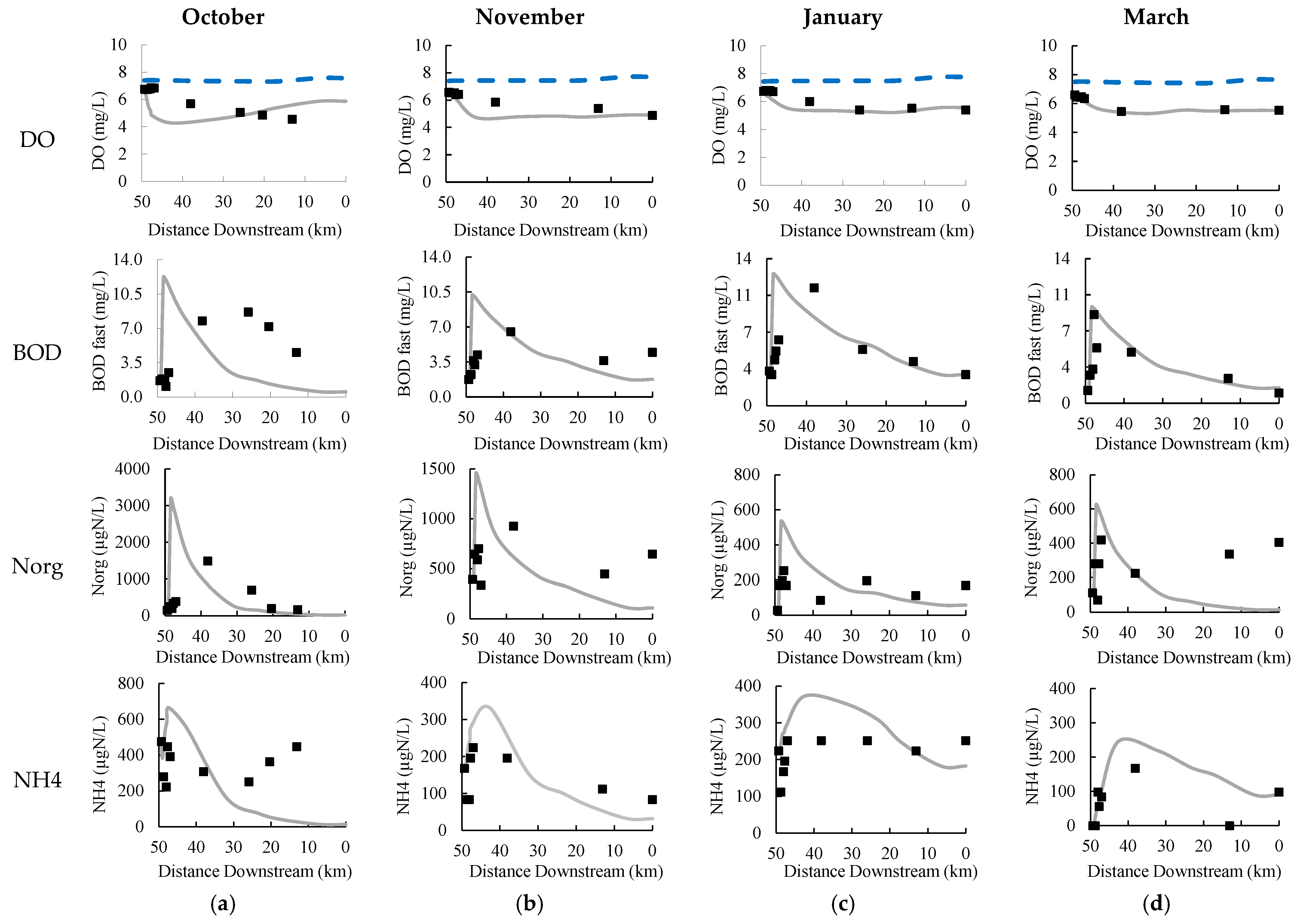
3.3. Calibration
3.4. Uncertainty and Sensitivity Analysis
3.5. Difficulties
4. Conclusions and Recommendations
Author Contributions
Funding
Institutional Review Board Statement
Informed Consent Statement
Data Availability Statement
Conflicts of Interest
References
- Borma, L.S.; Costa, M.H.; da Rocha, H.R.; Arieira, J.; Nascimento, N.C.C.; Jaramillo-Giraldo, C.; Ambrosio, G.; Carneiro, R.G.; Venzon, M.; Neto, A.F.; et al. Beyond carbon: The contributions of South American tropical humid and subhumid forests to ecosystem services. Rev. Geophys. 2022, 60, e2021RG000766. [Google Scholar] [CrossRef]
- Gude, V.G.; Gadhamshetty, V.; Ramanitharan, K. Sustainable Water: Resources, Management and Challenges; Nova Science Publishers, Inc.: New York, NY, USA, 2020; 259p. [Google Scholar]
- Zagklis, D.P.; Bampos, G. Tertiary Wastewater Treatment Technologies: A Review of Technical, Economic, and Life Cycle Aspects. Processes 2022, 10, 2304. [Google Scholar] [CrossRef]
- Zhang, Z.; Deng, C.; Dong, L.; Zou, T.; Yang, Q.; Wu, J.; Li, H. Evaluating the anthropogenic nitrogen emissions to water using a hybrid approach in a city cluster: Insights into historical evolution, attribution, and mitigation potential. Sci. Total Environ. 2023, 855, 158500. [Google Scholar] [CrossRef]
- Kannel, P.R.; Kanel, S.R.; Lee, S.; Lee, Y.-S.; Gan, T.Y. A Review of Public Domain Water Quality Models for Simulating Dissolved Oxygen in Rivers and Streams. Environ. Model. Assess. 2011, 16, 183–204. [Google Scholar] [CrossRef]
- Kouadri, S.; Elbeltagi, A.; Islam, A.R.M.T.; Kateb, S. Performance of machine learning methods in predicting water quality index based on irregular data set: Application on Illizi region (Algerian southeast). Appl. Water Sci. 2021, 11, 190. [Google Scholar] [CrossRef]
- Li, M.; Li, B.; Chu, J.; Wu, H.; Yang, Z.; Fan, J.; Yang, L.; Liu, P.; Long, J. Groundwater Quality Evaluation and Analysis Technology Based on AHP-EWM-GRA and Its Application. Water Air Soil Pollut. 2023, 234, 1–18. [Google Scholar] [CrossRef]
- El Yousfi, Y.; Himi, M.; El Ouarghi, H.; Aqnouy, M.; Benyoussef, S.; Gueddari, H.; Ait Hmeid, H.; Alitane, A.; Chaibi, M.; Zahid, M.; et al. Assessment and Prediction of the Water Quality Index for the Groundwater of the Ghiss-Nekkor (Al Hoceima, Northeastern Morocco). Sustainability 2023, 15, 402. [Google Scholar] [CrossRef]
- Tharmar, E.; Abraham, M.; Prakash, R.; Sundaram, A.; Flores, E.S.; Canales, C.; Alam, M.A. Hydrogeochemistry and Water Quality Assessment in the Thamirabarani River Stretch by Applying GIS and PCA Techniques. Sustainability 2022, 14, 16368. [Google Scholar] [CrossRef]
- Azhari, H.E.; Cherif, E.K.; Sarti, O.; Azzirgue, E.M.; Dakak, H.; Yachou, H.; Esteves da Silva, J.C.G.; Salmoun, F. Assessment of Surface Water Quality Using the Water Quality Index (IWQ), Multivariate Statistical Analysis (MSA) and Geographic Information System (GIS) in Oued Laou Mediterranean Watershed, Morocco. Water 2023, 15, 130. [Google Scholar] [CrossRef]
- Hadjisolomou, E.; Stefanidis, K.; Herodotou, H.; Michaelides, M.; Papatheodorou, G.; Papastergiadou, E. Modelling Freshwater Eutrophication with Limited Limnological Data Using Artificial Neural Networks. Water 2021, 13, 1590. [Google Scholar] [CrossRef]
- Deng, T.A.; Chau, K.-W.; Duan, H.-F. Machine learning based marine water quality prediction for coastal hydro-environment management. J. Environ. Manag. 2021, 284, 112051. [Google Scholar] [CrossRef]
- COX, B. A Review of Currently Available In-Stream Water-Quality Models and Their Applicability for Simulating Dissolved Oxygen in Lowland Rivers. Sci. Total Environ. 2003, 314–316, 335–377. [Google Scholar] [CrossRef]
- Mendes, D.A.R. Aplicação Do Modelo QUAL2Kw Para Avaliação de Cargas Pontuais No Rio Itapanhaú, Escola Politécnica; Departamento de Engenharia Hidráulica e Sanitária, Universidade de São Paulo: São Paulo, Brasil, 2010. [Google Scholar]
- Mateus, A.; Vieira, R.S.; Almeida, C.; Silva, M.; Reis, F. ScoRE-A simple approach to select a water quality model. Water 2018, 10, 1811. [Google Scholar] [CrossRef]
- Ejigu, M.T. Overview of water quality modeling. Cogent Eng. 2021, 8, 1891711. [Google Scholar] [CrossRef]
- Costa, C.M.B.; Marques, L.M.; Almeida, A.K.; Leite, I.R.; Almeida, I.K. Applicability of water quality models around the world—A review. Environ. Sci. Pollut. Res. 2019, 26, 36141–36162. [Google Scholar] [CrossRef]
- Brown, L.C.; Barnwell, T.O. The Enhanced Stream Water Quality Models QUAL2E and QUAL2E-UNCAS: Documentation and User Manual; US Environmental Protection Agency, Office of Research and Development, Environmental Research Laboratory: Athens, GA, USA, 1987.
- Camargo, R.D.A.; Calijuri, M.L.; Santiago, A.D.F.; Couto, E.D.A.D.; E Silva, M.D.F.M. Water quality prediction using the QUAL2Kw model in a small karstic watershed in Brazil. Acta Limnol. Bras. 2010, 22, 486–498. [Google Scholar] [CrossRef]
- Melo, R.H.R.Q.; Benetti, M.; Melo, E.F.R.Q.; Melo, R.H.R.Q. Surface Water Quality Modeling of a watershed in the north of Rio Grande do Sul. Int. J. Adv. Eng. Res. Sci. IJAERS 2020, 7, 306–310. [Google Scholar] [CrossRef]
- Flynn, K.F.; Suplee, M.W.; Chapra, S.C.; Tao, H. Model-Based Nitrogen and Phosphorus (Nutrient) Criteria for Large Temperate Rivers: 1. Model Development and Application. JAWRA J. Am. Water Resour. Assoc. 2015, 51, 421–446. [Google Scholar] [CrossRef]
- Raeisi, N.; Moradi, S.; Schoz, M. Surface Water Resources Assessment and Planning with the QUAL2KW Model: A Case Study of the Maroon and Jarahi Basin (Iran). Water 2022, 14, 705. [Google Scholar] [CrossRef]
- Angello, Z.A.; Behailu, B.M.; Tränckner, J. Selection of Optimum Pollution Load Reduction and Water Quality Improvement Approaches Using Scenario Based Water Quality Modeling in Little Akaki River, Ethiopia. Water 2021, 13, 584. [Google Scholar] [CrossRef]
- Darji, J.; Lodha, P.; Tyagi, S. Assimilative capacity and water quality modeling of rivers: A review. J. Water Supply Res. Technol.—AQUA 2022, 71, 1127–1147. [Google Scholar] [CrossRef]
- Soares, S.S.; Costa, G.G.; Brito, L.B.; Oliveira GA, R.; Scalize, P.S. Assessment of surface water quality of the Bois River (Goiás, Brazil) using an integrated physicochemical, microbiological and ecotoxicological approach. J. Environ. Sci. Health Part A –Toxic/Hazard. Subst. Environ. Eng. 2022, 57, 242–249. [Google Scholar] [CrossRef]
- SECIMA Secretaria de Estado de Meio Ambiente, Recursos Hídricos, Infraestrutura, Cidades e Assuntos Metropolitanos. Proposta de instituição do Comitê da Bacia Hidrográfica do rio dos Bois, conforme resolução no 003, de 10 de abril de 2001, do Conselho Estadual de Recursos Hídricos; SECIMA: Goiânia, GO, Brasil, 2003; p. 33. [Google Scholar]
- Globoplay. Centenas de peixes são encontrados mortos no Rio dos Bois, em Goiás. Reportagem de televisão em Goiás—Brasil, em 01/10/2013. Available online: https://globoplay.globo.com/v/2858781/ (accessed on 15 February 2018).
- Volf, G.; Sušanj Čule, I.; Žic, E.; Zorko, S. Water Quality Index Prediction for Improvement of Treatment Processes on Drinking Water Treatment Plant. Sustainability 2022, 14, 11481. [Google Scholar] [CrossRef]
- Alvares, C.A.; Stape, J.L.; Sentelhas, P.C.; de Moraes Gonçalves, J.L.; Sparovek, G. Köppen’s Climate Classification Map for Brazil. Meteorologische Zeitschrift 2013, 22, 711–728. [Google Scholar] [CrossRef] [PubMed]
- SonTek. RiverSurveyor S5/M9 System Manual Firmware Version 1.0; SonTek (A YSI Environmental Company): San Diego, CA, USA, 2010. [Google Scholar]
- APHA-AWWA-WEF. Standard Methods for Examination of Water and Wastewater, 22nd ed.; American Public Health Association: Washington, DC, USA, 2012; ISBN 978-087553-013-0. [Google Scholar]
- Pelletier, G.J.; Chapra, S.C.; Tao, H. QUAL2Kw—A Framework for Modeling Water Quality in Streams and Rivers Using a Genetic Algorithm for Calibration. Environ. Model. Softw. 2006, 21, 419–425. [Google Scholar] [CrossRef]
- Kannel, P.R.; Lee, S.; Lee, Y.-S.; Kanel, S.R.; Pelletier, G.J. Application of Automated QUAL2Kw for Water Quality Modeling and Management in the Bagmati River, Nepal. Ecol. Model. 2007, 202, 503–517. [Google Scholar] [CrossRef]
- Pelletier, G.J.; Chapra, S.C.; Tao, H. QUAL2Kw—Theory and Documentation (Version 5.1). A Modeling Framework for Simulating River and Stream Water Quality; Department of Ecology: Olympia, WA, USA, 2008.
- SECIMA Secretaria de Estado de Meio Ambiente, Recursos Hídricos, Infraestrutura, Cidades e Assuntos Metropolitanos. Available online: https://www.meioambiente.go.gov.br/images/imagens_migradas/upload/arquivos/2018-01/01-outorgas---turvo-e-dos-bois.xls (accessed on 13 February 2018).
- O’Connor, D.J.; Dobbins, W.E. Mechanism of Reaeration in Natural Streams. Trans. Am. Soc. Civ. Eng. 1958, 123, 641–666. [Google Scholar] [CrossRef]
- Churchill, M.A.; Elmore, H.L.; Buckingham, R.A. Prediction of Stream Reaeration Rates. J. Sanit. Eng. Div. 1962, 88, 1–46. [Google Scholar] [CrossRef]
- Owens, M.; Edwards, R.W.; GIBBS, J.W. Some reaeration studies in streams. Air Water Pollut. 1964, 35, 469–486. [Google Scholar]
- Von Sperling, M. Estudos e Modelagem Da Qualidade Da Água de Rios; Princípios do tratamento biológico de águas residuárias; 2a; Editora UFMG: Belo Horizonte, Brazil, 2014; ISBN 9788542300802. [Google Scholar]
- Ashu, A.; Lee, S.-I. Reuse of Agriculture Drainage Water in a Mixed Land-Use Watershed. Agronomy 2019, 9, 6. [Google Scholar] [CrossRef]
- Peña-Guzmán, C.; Orduz, A.; Rodríguez, M.; Perez, D. Analysis and comparison of 20 empirical equations for reaeration rates in urban rivers. Environ. Eng. Manag. J. 2021, 20, 1949–1962. [Google Scholar] [CrossRef]
- Palumbo, J.E.; Brown, L.C. Assessing the Performance of Reaeration Prediction Equations. J. Environ. Eng. 2014, 140, 7. [Google Scholar] [CrossRef]
- de Souza Ferreira, M.; de Campos Jordão, C.E.K.M.A.; de Souza Inácio Gonçalves, J.C.; Dodds, W.K.; Cunha, D.G.F. Surface Reaeration in Tropical Headwater Streams: The Dissolution Rate of a Soluble Floating Probe as a New Variable for Reaeration Coefficient Prediction. Water Air Soil Pollut. 2020, 231, 58. [Google Scholar] [CrossRef]
- Xin, Z.; Ye, L.; Zhang, C. Application of Export Coefficient Model and QUAL2K for Water Environmental Management in a Rural Watershed. Sustainability 2019, 11, 6022. [Google Scholar] [CrossRef]
- Ghorbani, Z.; Amanipoor, H.; Battaleb-Looie, S. Water Quality Simulation of Dez River in Iran Using QUAL2KW Model. Geocarto Int. 2022, 37, 1126–1138. [Google Scholar] [CrossRef]
- Zurita, A.; Aguayo, M.; Arriagada, P.; Figueroa, R.; Díaz, M.E.; Stehr, A. Modeling Biological Oxygen Demand Load Capacity in a Data-Scarce Basin with Important Anthropogenic Interventions. Water 2021, 13, 2379. [Google Scholar] [CrossRef]
- Wan, L.; Wang, X.H.; Peirson, W. Impacts of Climate Change and Non-Point-Source Pollution on Water Quality and Algal Blooms in the Shoalhaven River Estuary, NSW, Australia. Water 2022, 14, 1914. [Google Scholar] [CrossRef]
- Lestari, H.; Haribowo, R.; Yuliani, E. Determination of Pollution Load Capacity Using QUAL2Kw Program on The Musi River Palembang. Civ. Environ. Sci. 2019, 02, 105–116. [Google Scholar] [CrossRef]
- Crossman, J.; Bussi, G.; Whitehead, P.G.; Butterfield, D.; Lannergård, E.; Futter, M.N. A New, Catchment-Scale Integrated Water Quality Model of Phosphorus, Dissolved Oxygen, Biochemical Oxygen Demand and Phytoplankton: INCA-Phosphorus Ecology (PEco). Water 2021, 13, 723. [Google Scholar] [CrossRef]
- Brasil Ministério Do Meio Ambiente. Conselho nacional do meio ambiente—Conama. resolução n° 357, de 17de março de 2005. dispõe sobre a classificação dos corpos de água e diretrizes ambientais para o seu enquadramento e outras providências. In Diário Oficial da União; MMA: Brasília, Brazil, 2005; pp. 58–63. [Google Scholar]
- Saadatpour, M.; Afshar, A.; Khoshkam, H. Multi-Objective Multi-Pollutant Waste Load Allocation Model for Rivers Using Coupled Archived Simulated Annealing Algorithm with QUAL2Kw. J. Hydroinformatics 2019, 21, 397–410. [Google Scholar] [CrossRef]
- Babamiri, O.; Vanaei, A.; Guo, X.; Wu, P.; Richter, A.; Ng, K.T.W. Numerical Simulation of Water Quality and Self-Purification in a Mountainous River Using QUAL2KW. J. Environ. Inform. 2020, 37, 26–35. [Google Scholar] [CrossRef]
- Thomann, R.V.; Mueller, J.A. Principles of Surface Water Quality Modeling and Control; Harper & Row: Manhattan, NY, USA, 1987; ISBN 9780060466770. [Google Scholar]
- Khonok, A.; Tabrizi, M.S.; Babazadeh, H.; Saremi, A.; Ghaleni, M.M. Sensitivity analysis of water quality parameters related to flow changes in regulated rivers. Int. J. Environ. Sci. Technol. 2022, 19, 3001–3014. [Google Scholar] [CrossRef]
- Taherisoudejani, H.; Racchetti, E.; Celico, F.; Bartoli, M. Application of QUAL2Kw to the Oglio River (Northern Italy) to Assess Diffuse N Pollution via River-Groundwater Interaction. J. Limnol. 2018, 77, 452–465. [Google Scholar] [CrossRef]
- Kang, G.; Qiu, Y.; Wang, Q.; Qi, Z.; Sun, Y.; Wang, Y. Exploration of the critical factors influencing the water quality in two contrasting climatic regions. Environ. Sci. Pollut. Res. 2020, 27, 12601–12612. [Google Scholar] [CrossRef] [PubMed]











| LULC—Land Use and Land Cover | Area (%) |
|---|---|
| Native forest (Cerrado) | 17.5% |
| Planted forest | 0.3% |
| Pasture | 69.5% |
| Agriculture | 11.9% |
| Water | 0.3% |
| Urban areas | 0.5% |
| October 2015 | ||||||||||
|---|---|---|---|---|---|---|---|---|---|---|
| Point | Downstream Distance | T | pH | DO | BODfast | Norg | NH4 | Q | H | U |
| (km) | (°C) | (mgO2/L) | (mgO2/L) | (µgN/L) | (µgN/L) | (m³/s) | (m) | (m/s) | ||
| 1 | 49.33 | 26.97 | 6.80 | 6.76 | 1.65 | 154.00 | 476.00 | - | - | - |
| 2 | 48.75 | 27.03 | 6.90 | 6.74 | 1.81 | 252.00 | 280.00 | 3.56 | 1.03 | 0.23 |
| 3 | 48.04 | 27.07 | 7.00 | 6.78 | 1.81 | 196.00 | 224.00 | - | - | - |
| 4 | 47.71 | 27.30 | 7.10 | 6.86 | 1.07 | 336.00 | 448.00 | 4.04 | 0.80 | 0.28 |
| 5 | 47.01 | 27.30 | 7.20 | 6.85 | 2.47 | 392.00 | 392.00 | - | - | - |
| 6 | 38.09 | 28.67 | 7.30 | 5.69 | 7.75 | 1484.00 | 308.00 | 3.91 | 0.64 | 0.34 |
| 7 | 25.92 | 29.13 | 7.10 | 5.07 | 8.66 | 700.00 | 252.00 | 4.44 | 0.56 | 0.44 |
| 8 | 20.42 | 28.70 | 7.20 | 4.86 | 7.17 | 196.00 | 364.00 | 4.89 | 0.95 | 0.23 |
| 9 | 13.13 | 28.50 | 7.20 | 4.56 | 4.53 | 168.00 | 448.00 | 5.00 | 1.08 | 0.22 |
| November 2015 | ||||||||||
| Point | Downstream distance | T | pH | OD | BODfast | Norg | NH4 | Q | H | U |
| (km) | (°C) | (mgO2/L) | (mgO2/L) | (µgN/L) | (µgN/L) | (m³/s) | (m) | (m/s) | ||
| 1 | 49.33 | 25.87 | 8.56 | 6.58 | 1.73 | 392.00 | 168.00 | - | - | - |
| 2 | 48.75 | 25.88 | 8.47 | 6.54 | 2.23 | 644.00 | 84.00 | 9.33 | 1.35 | 0.433 |
| 3 | 48.04 | 25.75 | 8.30 | 6.55 | 3.63 | 588.00 | 84.00 | - | - | - |
| 4 | 47.71 | 26.73 | 8.39 | 6.41 | 3.22 | 700.00 | 196.00 | 9.95 | 0.75 | 0.524 |
| 5 | 47.01 | 26.17 | 8.42 | 6.43 | 4.20 | 336.00 | 224.00 | - | - | - |
| 6 | 38.09 | 27.47 | 8.41 | 5.86 | 6.51 | 924.00 | 196.00 | 9.86 | 0.92 | 0.506 |
| 9 | 13.13 | 25.98 | 8.25 | 5.40 | 3.63 | 448.00 | 112.00 | 13.27 | 1.37 | 0.451 |
| 10 | 0.00 | 26.09 | 8.06 | 4.88 | 4.45 | 644.00 | 84.00 | 17.99 | 1.93 | 0.504 |
| January 2016 | ||||||||||
| Point | Downstream distance | T | pH | OD | BODfast | Norg | NH4 | Q | H | U |
| (km) | (°C) | (mgO2/L) | (mgO2/L) | (µgN/L) | (µgN/L) | (m³/s) | (m) | (m/s) | ||
| 1 | 49.33 | 26.73 | 7.10 | 6.74 | 3.30 | 28.00 | 224.00 | - | - | - |
| 2 | 48.75 | 26.27 | 7.48 | 6.80 | 2.97 | 168.00 | 112.00 | 12.84 | 1.36 | 0.471 |
| 3 | 48.04 | 26.00 | 7.68 | 6.79 | 4.37 | 196.00 | 168.00 | - | - | - |
| 4 | 47.71 | 26.03 | 7.81 | 6.79 | 5.19 | 252.00 | 196.00 | 13.60 | 0.95 | 0.595 |
| 5 | 47.01 | 26.33 | 7.03 | 6.72 | 6.27 | 168.00 | 252.00 | - | - | - |
| 6 | 38.09 | 26.37 | 7.98 | 6.01 | 11.21 | 84.00 | 252.00 | - | - | - |
| 7 | 25.92 | 26.30 | 7.95 | 5.41 | 5.36 | 196.00 | 252.00 | - | - | - |
| 9 | 13.13 | 26.07 | 8.15 | 5.52 | 4.20 | 112.00 | 224.00 | 15.31 | 1.38 | 0.524 |
| 10 | 0.00 | 26.47 | 7.25 | 5.40 | 2.97 | 168.00 | 252.00 | 15.63 | 1.70 | 0.459 |
| March 2016 | ||||||||||
| Point | Downstream distance | T | pH | OD | BODfast | Norg | NH4 | Q | H | U |
| (km) | (°C) | (mgO2/L) | (mgO2/L) | (µgN/L) | (µgN/L) | (m³/s) | (m) | (m/s) | ||
| 1 | 49.33 | 26.23 | 7.48 | 6.61 | 1.24 | 112.00 | 0.00 | - | - | - |
| 2 | 48.75 | 26.50 | 7.56 | 6.45 | 2.72 | 280.00 | 0.00 | 7.23 | 0.98 | 0.325 |
| 3 | 48.04 | 26.63 | 7.58 | 6.42 | 3.30 | 70.00 | 98.00 | - | - | - |
| 4 | 47.71 | 26.63 | 7.70 | 6.47 | 8.57 | 280.00 | 56.00 | 8.30 | 0.92 | 0.489 |
| 5 | 47.01 | 27.57 | 7.69 | 6.36 | 5.36 | 420.00 | 84.00 | - | - | - |
| 6 | 38.09 | 27.07 | 7.58 | 5.47 | 4.95 | 224.00 | 168.00 | 8.34 | 0.72 | 0.446 |
| 9 | 13.13 | 27.40 | 7.67 | 5.59 | 2.39 | 336.00 | 0.00 | 11.97 | 1.24 | 0.436 |
| 10 | 0.00 | 27.17 | 7.57 | 5.54 | 0.99 | 406.00 | 98.00 | 14.25 | 1.69 | 0.459 |
| October 2015 | |||||||||||
|---|---|---|---|---|---|---|---|---|---|---|---|
| Point | Location | Q | T | DO | BOD | Norg | NH4 | pH | |||
| Source | (km) | (m³/s) | (°C) | (mgO2/L) | (mgO2/L) | (µgN/L) | (µgN/L) | ||||
| CAP1 | 48.75 | 0.056 | - | 0.00 | 0.00 | 0.00 | 0.00 | - | |||
| CAP2 | 48.70 | 0.042 | - | 0.00 | 0.00 | 0.00 | 0.00 | - | |||
| LTE | 48.66 | 0.138 | 28.00 | 1.00 | 300.00 | 90000.00 | 50.00 | 7.00 | |||
| CAP3 | 48.20 | 0.014 | -- | 0.00 | 0.00 | 0.00 | 0.00 | -- | |||
| T 1 | 35.60 | 0.530 | 28.00 | 6.80 | 1.00 | 0.00 | 0.00 | 7.00 | |||
| T 2 | 25.08 | 0.450 | 28.00 | 6.80 | 1.00 | 0.00 | 0.00 | 7.00 | |||
| T 3 | 20.30 | 0.110 | 28.00 | 6.80 | 1.00 | 0.00 | 0.00 | 7.00 | |||
| T 4 | 8.21 | 0.802 | 28.00 | 6.80 | 1.00 | 0.00 | 0.00 | 7.00 | |||
| November 2015 | |||||||||||
| Point | Location | Q | T | DO | BOD | Norg | NH4 | pH | |||
| Source | (km) | (m³/s) | (°C) | (mgO2/L) | (mgO2/L) | (µgN/L) | (µgN/L) | ||||
| CAP1 | 48.75 | 0.056 | -- | 0.00 | 0.00 | 0.00 | 0.00 | - | |||
| CAP2 | 48.70 | 0.042 | - | 0.00 | 0.00 | 0.00 | 0.00 | -- | |||
| LTE | 48.66 | 0.138 | 26.00 | 2.00 | 600.00 | 80000.00 | 300.00 | 8.00 | |||
| CAP3 | 48.20 | 0.014 | -- | 0.00 | 0.00 | 0.00 | 0.00 | - | |||
| T 1 | 35.60 | 1.337 | 27.00 | 6.80 | 2.00 | 0.00 | 0.00 | 8.50 | |||
| T 2 | 25.08 | 1.135 | 27.00 | 6.80 | 2.00 | 0.00 | 0.00 | 8.50 | |||
| T 3 | 20.30 | 0.939 | 27.00 | 6.80 | 2.00 | 0.00 | 0.00 | 8.50 | |||
| T 4 | 8.21 | 4.720 | 27.00 | 6.80 | 2.00 | 0.00 | 0.00 | 8.50 | |||
| January 2016 | |||||||||||
| Point | Location | Q | T | DO | BOD | Norg | NH4 | pH | |||
| Source | (km) | (m³/s) | (°C) | (mgO2/L) | (mgO2/L) | (µgN/L) | (µgN/L) | ||||
| CAP1 | 48.75 | 0.056 | -- | 0.00 | 0.00 | 0.00 | 0.00 | -- | |||
| CAP2 | 48.70 | 0.042 | -- | 0.00 | 0.00 | 0.00 | 0.00 | -- | |||
| LTE | 48.66 | 0.138 | 26.00 | 2.00 | 900.00 | 50000.00 | 3000.00 | 8.50 | |||
| CAP3 | 48.20 | 0.014 | - | 0.00 | 0.00 | 0.00 | 0.00 | - | |||
| T 1 | 35.60 | 0.284 | 27.00 | 6.80 | 2.00 | 0.00 | 0.00 | 8.00 | |||
| T 2 | 25.08 | 0.290 | 27.00 | 6.80 | 2.00 | 0.00 | 0.00 | 8.00 | |||
| T 3 | 20.30 | 1.132 | 27.00 | 6.80 | 2.00 | 0.00 | 0.00 | 8.00 | |||
| T 4 | 8.21 | 0.320 | 27.00 | 6.80 | 2.00 | 0.00 | 0.00 | 8.00 | |||
| March 2016 | |||||||||||
| Point | Location | Q | T | DO | BOD | Norg | NH4 | pH | |||
| Source | (km) | (m³/s) | (°C) | (mgO2/L) | (mgO2/L) | (µgN/L) | (µgN/L) | ||||
| CAP1 | 48.75 | 0.056 | - | 0.00 | 0.00 | 0.00 | 0.00 | - | |||
| CAP2 | 48.70 | 0.042 | - | 0.00 | 0.00 | 0.00 | 0.00 | - | |||
| LTE | 48.66 | 0.138 | 26.00 | 2.00 | 700.00 | 30000.00 | 100.00 | 7.00 | |||
| CAP3 | 48.20 | 0.014 | - | 0.00 | 0.00 | 0.00 | 0.00 | - | |||
| T 1 | 35.60 | 1.589 | 27.00 | 6.80 | 2.00 | 0.00 | 0.00 | 7.50 | |||
| T 2 | 25.08 | 1.891 | 27.00 | 6.80 | 2.00 | 0.00 | 0.00 | 7.50 | |||
| T 3 | 20.30 | 0.150 | 27.00 | 6.80 | 2.00 | 0.00 | 0.00 | 7.50 | |||
| T 4 | 8.21 | 2.280 | 27.00 | 6.80 | 2.00 | 0.00 | 0.00 | 7.50 | |||
| Sample Point | Month/Year | ||||||
|---|---|---|---|---|---|---|---|
| October 2015 | November 2015 | ||||||
| U | H | K2 | U | H | K2 | ||
| (m.s−1) | (m) | (d−1) | (m.s−1) | (m) | (d−1) | ||
| 2 | 0.23 ± 0.01 | 1.15 ± 0.02 | 1.53 ± 0.01 | 0.43 ± 0.03 | 1.58 ± 0.17 | 1.31 ± 0.15 | |
| 4 | 0.28 ± 0.01 | 1.00 ± 0.04 | 2.08 ± 0.03 | 0.52 ± 0.02 | 1.21 ± 0.04 | 2.14 ± 0.03 | |
| 6 | 0.34 ± 0.01 | 0.83 ± 0.05 | 3.05 ± 0.02 | 0.51 ± 0.02 | 1.220.12 | 2.06 ± 0.06 | |
| 9 | 0.22 ± 0.01 | 1.20 ± 0.01 | 1.40 ± 0.01 | 0.45 ± 0.01 | 1.50 ± 0.01 | 1.44 ± 0.01 | |
| 10 | - | - | - | 0.50 ± 0.07 | 2.26 ± 0.08 | 0.82 ± 0.13 | |
| Sample Point | Month/Year | ||||||
| January 2016 | March 2016 | ||||||
| U | H | K2 | U | H | K2 | ||
| (m.s−1) | (m) | (d−1) | (m.s−1) | (m) | (d−1) | ||
| 2 | 0.47 ± 0.01 | 1.64 ± 0.03 | 1.29 ± 0.02 | 0.33 ± 0.01 | 1.38 ± 0.02 | 1.39 ± 0.02 | |
| 4 | 0.60 ± 0.02 | 1.37 ± 0.02 | 1.89 ± 0.01 | 0.49 ± 0.05 | 1.20 ± 0.12 | 2.09 ± 0.10 | |
| 6 | - | - | - | 0.45 ± 0.00 | 1.27 ± 0.00 | 1.84 ± 0.00 | |
| 9 | 0.52 ± 0.00 | 1.49 ± 0.01 | 1.56 ± 0.01 | 0.44 ± 0.01 | 1.40 ± 0.01 | 1.57 ± 0.01 | |
| 10 | 0.46 ± 0.03 | 2.19 ± 0.09 | 0.82 ± 0.05 | 0.46 ± 0.05 | 2.04 ± 0.07 | 0.91 ± 0.07 | |
| Month/Year | Koa | Error | Kan | Error |
|---|---|---|---|---|
| October 2015 | 0.25 | 2.4743 | 0.20 | 0.0702 |
| November 2015 | 0.20 | 0.3124 | 0.77 | 0.0242 |
| January 2016 | 0.20 | 0.0372 | 1.00 | 0.0951 |
| March 2016 | 0.25 | 0.1490 | 1.00 | 0.0309 |
Disclaimer/Publisher’s Note: The statements, opinions and data contained in all publications are solely those of the individual author(s) and contributor(s) and not of MDPI and/or the editor(s). MDPI and/or the editor(s) disclaim responsibility for any injury to people or property resulting from any ideas, methods, instructions or products referred to in the content. |
© 2023 by the authors. Licensee MDPI, Basel, Switzerland. This article is an open access article distributed under the terms and conditions of the Creative Commons Attribution (CC BY) license (https://creativecommons.org/licenses/by/4.0/).
Share and Cite
Soares, S.; Vasco, J.; Scalize, P. Water Quality Simulation in the Bois River, Goiás, Central Brazil. Sustainability 2023, 15, 3828. https://doi.org/10.3390/su15043828
Soares S, Vasco J, Scalize P. Water Quality Simulation in the Bois River, Goiás, Central Brazil. Sustainability. 2023; 15(4):3828. https://doi.org/10.3390/su15043828
Chicago/Turabian StyleSoares, Samara, Joel Vasco, and Paulo Scalize. 2023. "Water Quality Simulation in the Bois River, Goiás, Central Brazil" Sustainability 15, no. 4: 3828. https://doi.org/10.3390/su15043828
APA StyleSoares, S., Vasco, J., & Scalize, P. (2023). Water Quality Simulation in the Bois River, Goiás, Central Brazil. Sustainability, 15(4), 3828. https://doi.org/10.3390/su15043828

