Grit and Career Construction among Chinese High School Students: The Serial Mediating Effect of Hope and Career Adaptability
Abstract
1. Introduction
2. Research Theory and Hypothesis
2.1. Career Construction Model of Adaptation
2.2. Grit and Career Construction
2.3. Grit, Hope, and Career Construction
2.4. Grit, Career Adaptability, and Career Construction
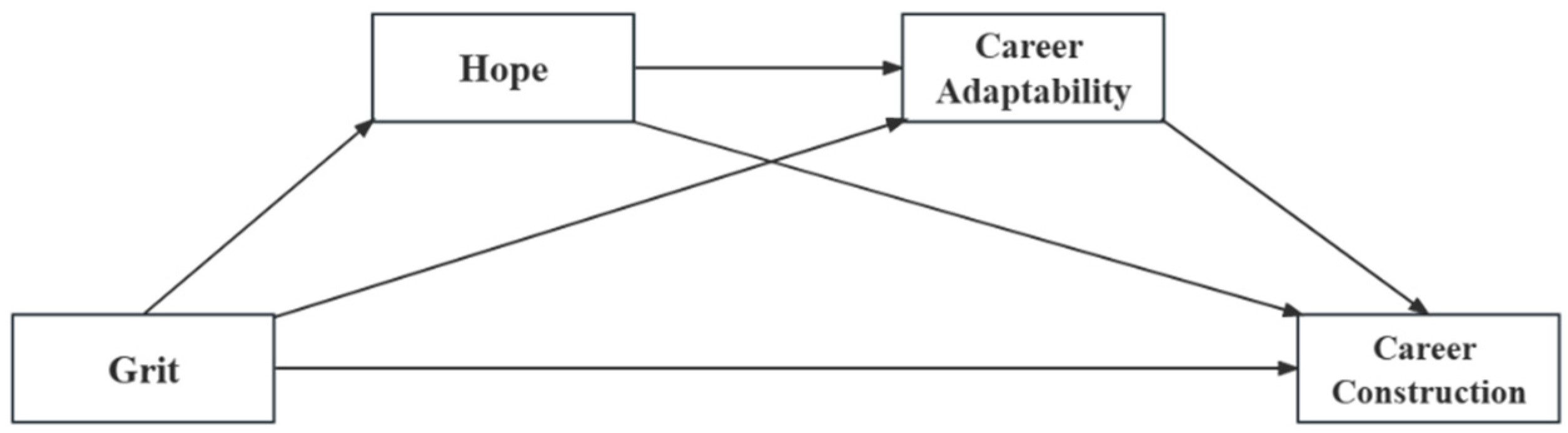
2.5. The Serial Mediating Role of Hope and Career Adaptability
3. Materials and Methods
3.1. Participants and Procedure
3.2. Measures
3.2.1. Grit
3.2.2. Career Construction
3.2.3. Hope
3.2.4. Career Adaptability
3.3. Data Analysis
4. Results
4.1. Common-Method Variance Testing
4.2. Descriptive Statistics and Correlation Analysis
4.3. Serial Mediation Analysis
5. Discussion
5.1. Practical Implications
5.2. Limitations and Future Directions
Author Contributions
Funding
Institutional Review Board Statement
Informed Consent Statement
Data Availability Statement
Acknowledgments
Conflicts of Interest
References
- Di Fabio, A. From Career Development to Career Management: A Positive Prevention Perspective. In International Handbook of Career Guidance; Athanasou, J.A., Perera, H.N., Eds.; Springer International Publishing: Cham, Switzerland, 2019; pp. 209–240. ISBN 978-3-030-25153-6. [Google Scholar]
- Bennett, N.; Lemoine, G.J. What a Difference a Word Makes: Understanding Threats to Performance in a VUCA World. Bus. Horiz. 2014, 57, 311–317. [Google Scholar] [CrossRef]
- Savickas, M.L.; Nota, L.; Rossier, J.; Dauwalder, J.P.; Duarte, M.E.; Guichard, J.; Soresi, S.; Van Esbroeck, R.; van Vianen, A.E.M. Life Designing: A Paradigm for Career Construction in the 21st Century. J. Vocat. Behav. 2009, 75, 239–250. [Google Scholar] [CrossRef]
- Savickas, M.L. Constructing Careers: Actor, Agent, and Author. J. Employ. Couns. 2011, 48, 179–181. [Google Scholar] [CrossRef]
- Sullivan, S.E.; Baruch, Y. Advances in Career Theory and Research: A Critical Review and Agenda for Future Exploration. J. Manag. 2009, 35, 1542–1571. [Google Scholar] [CrossRef]
- Savickas, M.L. Career Adaptability: An Integrative Construct for Life-Span, Life-Space Theory. Career Dev. Q. 1997, 45, 247–259. [Google Scholar] [CrossRef]
- Savickas, M.L. Career Construction: A Developmental Theory of Vocational Behavior. In Career Choice and Development; Duane, B., Ed.; Jossey-Bass: San Francisco, CA, USA, 2002; pp. 149–205. ISBN 0-7879-5741-0. [Google Scholar]
- Savickas, M.L. The Theory and Practice of Career Construction. In Career Development and Counseling: Putting Theory and Research to Work; Brown, S.D., Lent, R.W., Eds.; John Wiley & Sons, Inc.: Hoboken, NJ, USA, 2005; pp. 42–70. ISBN 0-471-28880-2. [Google Scholar]
- Savickas, M.L.; Porfeli, E.J. Career Adapt-Abilities Scale: Construction, Reliability, and Measurement Equivalence across 13 Countries. J. Vocat. Behav. 2012, 80, 661–673. [Google Scholar] [CrossRef]
- Savickas, M.L. The Theory and Practice of Career Construction. In Career Development and Counseling: Putting Theory and Research to Work, 2nd ed.; Brown, S.D., Lent, R.W., Eds.; John Wiley & Sons, Inc.: Hoboken, NJ, USA, 2013; pp. 147–183. ISBN 978-1-118-23627-7. [Google Scholar]
- Hartung, P.J.; Porfeli, E.J.; Vondracek, F.W. Child Vocational Development: A Review and Reconsideration. J. Vocat. Behav. 2005, 66, 385–419. [Google Scholar] [CrossRef]
- Savickas, M.L. The Transition from School to Work: A Developmental Perspective. Career Dev. Q. 1999, 47, 326–336. [Google Scholar] [CrossRef]
- Super, D.E. A Life-Span, Life-Space Approach to Career Development. In Career Choice and Development: Applying Contemporary Theories to Practice, 2nd ed.; Brown, D., Brooks, L., Eds.; The Jossey-Bass Management Series and The Jossey-Bass Social and Behavioral Science Series; Jossey-Bass: San Francisco, CA, USA, 1990; pp. 197–261. ISBN 1-55542-196-2. [Google Scholar]
- Creed, P.A.; Patton, W.; Prideaux, L.A. Predicting Change over Time in Career Planning and Career Exploration for High School Students. J. Adolesc. 2007, 30, 377–392. [Google Scholar] [CrossRef] [PubMed]
- Perry, J.C.; Liu, X.Y.; Pabian, Y. School Engagement as a Mediator of Academic Performance Among Urban Youth: The Role of Career Preparation, Parental Career Support, and Teacher Support. Couns. Psychol. 2010, 38, 269–295. [Google Scholar] [CrossRef]
- Skorikov, V. Continuity in Adolescent Career Preparation and Its Effects on Adjustment. J. Vocat. Behav. 2007, 70, 8–24. [Google Scholar] [CrossRef]
- Fan, W.; Cheung, F.M.; Leong, F.T.L.; Cheung, S.F. Contributions of Family Factors to Career Readiness: A Cross-Cultural Comparison. Career Dev. Q. 2014, 62, 194–209. [Google Scholar] [CrossRef]
- Rudolph, C.W.; Lavigne, K.N.; Katz, I.M.; Zacher, H. Linking Dimensions of Career Adaptability to Adaptation Results: A Meta-Analysis. J. Vocat. Behav. 2017, 102, 151–173. [Google Scholar] [CrossRef]
- Rudolph, C.W.; Lavigne, K.N.; Zacher, H. Career Adaptability: A Meta-Analysis of Relationships with Measures of Adaptivity, Adapting, Responses, and Adaptation Results. J. Vocat. Behav. 2017, 98, 17–34. [Google Scholar] [CrossRef]
- Johnston, C.S. A Systematic Review of the Career Adaptability Literature and Future Outlook. J. Career Assess. 2018, 26, 3–30. [Google Scholar] [CrossRef]
- Šverko, I.; Babarović, T. Applying Career Construction Model of Adaptation to Career Transition in Adolescence: A Two-Study Paper. J. Vocat. Behav. 2019, 111, 59–73. [Google Scholar] [CrossRef]
- Öztemel, K.; Yıldız-Akyol, E. From Adaptive Readiness to Adaptation Results: Implementation of Student Career Construction Inventory and Testing the Career Construction Model of Adaptation. J. Career Assess. 2021, 29, 54–75. [Google Scholar] [CrossRef]
- Jia, Y.; Hou, Z.J.; Shen, J. Adolescents’ Future Time Perspective and Career Construction: Career Adaptability as Mediator and Hope as Moderator. J. Career Dev. 2022, 49, 202–217. [Google Scholar] [CrossRef]
- Muenks, K.; Wigfield, A.; Yang, J.S.; O’Neal, C.R. How True Is Grit? Assessing Its Relations to High School and College Students’ Personality Characteristics, Self-Regulation, Engagement, and Achievement. J. Educ. Psychol. 2017, 109, 599–620. [Google Scholar] [CrossRef]
- Duckworth, A.L.; Peterson, C.; Matthews, M.D.; Kelly, D.R. Grit: Perseverance and Passion for Long-Term Goals. J. Pers. Soc. Psychol. 2007, 92, 1087–1101. [Google Scholar] [CrossRef]
- Duckworth, A.L.; Quinn, P.D. Development and Validation of the Short Grit Scale (Grit–S). J. Pers. Assess. 2009, 91, 166–174. [Google Scholar] [CrossRef] [PubMed]
- Li, J.G.; Zhao, Y.J.; Kong, F.; Du, S.L.; Yang, S.Y.; Wang, S. Psychometric Assessment of the Short Grit Scale Among Chinese Adolescents. J. Psychoeduc. Assess. 2018, 36, 291–296. [Google Scholar] [CrossRef]
- Zhao, Y.K.; Niu, G.F.; Hou, H.C.; Zeng, G.; Xu, L.Y.; Peng, K.P.; Yu, F. From Growth Mindset to Grit in Chinese Schools: The Mediating Roles of Learning Motivations. Front. Psychol. 2018, 9, 7. [Google Scholar] [CrossRef] [PubMed]
- Fan, W.; Leong, F.T.L. Introduction to the Special Issue: Career Development and Intervention in Chinese Contexts. Career Dev. Q. 2016, 64, 192–202. [Google Scholar] [CrossRef]
- Chen, S.; Xue, Y.; Chen, H.R.; Ling, H.R.; Wu, J.J.; Gu, X.Y. Making a Commitment to Your Future: Investigating the Effect of Career Exploration and Career Decision-Making Self-Efficacy on the Relationship between Career Concern and Career Commitment. Sustainability 2021, 13, 12816. [Google Scholar] [CrossRef]
- Wong, L.P.W.; Yuen, M.; Chen, G. Technology-Infused Career and Life Planning Education. Asia Pac. Career Dev. J. 2019, 2, 51–62. [Google Scholar]
- Chen, H.R.; Liu, F.; Wen, Y.; Ling, L.; Chen, S.; Ling, H.R.; Gu, X.Y. Career Exploration of High School Students: Status Quo, Challenges, and Coping Model. Front. Psychol. 2021, 12, 8. [Google Scholar] [CrossRef]
- Savickas, M.L.; Porfeli, E.J.; Hilton, T.L.; Savickas, S. The Student Career Construction Inventory. J. Vocat. Behav. 2018, 106, 138–152. [Google Scholar] [CrossRef]
- Rocha, M.; GuimarÃEs, M.I. Adaptation and Psychometric Properties of the Student Career Construction Inventory for a Portuguese Sample: Formative and Reflective Constructs. Psychol. Rep. 2012, 111, 845–869. [Google Scholar] [CrossRef]
- Duckworth, A.L.; Gross, J.J. Self-Control and Grit: Related but Separable Determinants of Success. Curr. Dir. Psychol. Sci. 2014, 23, 319–325. [Google Scholar] [CrossRef]
- Gregor, M.A.; Weigold, I.K.; Wolfe, G.; Campbell-Halfaker, D.; Martin-Fernandez, J.; Del Pino, H.V.G. Positive Predictors of Career Adaptability Among Diverse Community College Students. J. Career Assess. 2021, 29, 115–128. [Google Scholar] [CrossRef]
- Datu, J.A.D.; Yuen, M.T.; Chen, G.W. Development and Validation of the Triarchic Model of Grit Scale (TMGS): Evidence from Filipino Undergraduate Students. Personal. Individ. Differ. 2017, 114, 198–205. [Google Scholar] [CrossRef]
- Ting, L.C.; Datu, J.A.D. Triarchic Model of Grit Dimensions as Predictors of Career Outcomes. Career Dev. Q. 2020, 68, 348–360. [Google Scholar] [CrossRef]
- Lee, S.; Sohn, Y.W. Effects of Grit on Academic Achievement and Career-Related Attitudes of College Students in Korea. Soc. Behav. Personal. 2017, 45, 1629–1642. [Google Scholar] [CrossRef]
- Jongun, K.; Hwa, K.S. Mediation Effects of Grit and Sense of School Belonging on the Relationship between Adult Attachment and Career Preparation Behavior of Specialized Vocational High School Students. J. Learn.-Cent. Curric. Instr. 2021, 21, 583–598. [Google Scholar] [CrossRef]
- Snyder, C.R. Hope Theory: Rainbows in the Mind. Psychol. Inq. 2002, 13, 249–275. [Google Scholar] [CrossRef]
- Snyder, C.R.; Harris, C.; Anderson, J.R.; Holleran, S.A.; Irving, L.M.; Sigmon, S.T.; Yoshinobu, L.; Gibb, J.; Langelle, C.; Harney, P. The Will and the Ways: Development and Validation of an Individual-Differences Measure of Hope. J. Pers. Soc. Psychol. 1991, 60, 570–585. [Google Scholar] [CrossRef] [PubMed]
- Niles, S.G. Career Flow: A Hope-Centered Model of Career Development. J. Employ. Couns. 2011, 48, 173–175. [Google Scholar] [CrossRef]
- Luthans, F.; Luthans, K.W.; Luthans, B.C. Positive Psychological Capital: Beyond Human and Social Capital. Bus. Horiz. 2004, 47, 45–50. [Google Scholar] [CrossRef]
- Hirschi, A. Hope as a Resource for Self-Directed Career Management: Investigating Mediating Effects on Proactive Career Behaviors and Life and Job Satisfaction. J. Happiness Stud. 2014, 15, 1495–1512. [Google Scholar] [CrossRef]
- Korkmaz, O. Will Hope and Career Adapt-Abilities Bring Students Closer to Their Career Goals? An Investigation through the Career Construction Model of Adaptation. Curr. Psychol. 2022, 12. [Google Scholar] [CrossRef]
- Ginevra, M.C.; Pallini, S.; Vecchio, G.M.; Nota, L.; Soresi, S. Future Orientation and Attitudes Mediate Career Adaptability and Decidedness. J. Vocat. Behav. 2016, 95–96, 102–110. [Google Scholar] [CrossRef]
- Ochoco, M.S.A.; Ty, W.E.G. Examining the Career Construction Model of Adaptation Among Filipino Senior High School Students. J. Career Dev. 2022, 16. [Google Scholar] [CrossRef]
- Yang, L.; Wu, D.M. Grit and Meaning in Life of Chinese Nurses: The Chain Mediating Effect of Social Support and Hope. Front. Psychol. 2021, 12, 8. [Google Scholar] [CrossRef]
- Hill, P.L.; Burrow, A.L.; Bronk, K.C. Persevering with Positivity and Purpose: An Examination of Purpose Commitment and Positive Affect as Predictors of Grit. J. Happiness Stud. 2016, 17, 257–269. [Google Scholar] [CrossRef]
- Karacan-Ozdemir, N.; Ayaz, A. Adolescents’ Future Expectations of Work and Education Within Adaptation Model of Career Construction Theory. J. Career Dev. 2021. [Google Scholar] [CrossRef]
- Tolentino, L.R.; Sibunruang, H.; Garcia, P.R.J.M. The Role of Self-Monitoring and Academic Effort in Students’ Career Adaptability and Job Search Self-Efficacy. J. Career Assess. 2019, 27, 726–740. [Google Scholar] [CrossRef]
- Hirschi, A.; Herrmann, A.; Keller, A.C. Career Adaptivity, Adaptability, and Adapting: A Conceptual and Empirical Investigation. J. Vocat. Behav. 2015, 87, 1–10. [Google Scholar] [CrossRef]
- Nilforooshan, P. From Adaptivity to Adaptation: Examining the Career Construction Model of Adaptation. Career Dev. Q. 2020, 68, 98–111. [Google Scholar] [CrossRef]
- Merino-Tejedor, E.; Hontangas, P.M.; Boada-Grau, J. Career Adaptability and Its Relation to Self-Regulation, Career Construction, and Academic Engagement among Spanish University Students. J. Vocat. Behav. 2016, 93, 92–102. [Google Scholar] [CrossRef]
- Li, H.H.; Yu, X.; Mei, Y.F.; Liu, X.H.; Li, L.; Luo, N. The Effect of Grit on Career Adaptability of Chinese College Students Based on the Self-Regulatory Processes. Front. Psychol. 2021, 12, 11. [Google Scholar] [CrossRef]
- Zeng, Q.; Li, J.; Huang, S.J.; Wang, J.Q.; Huang, F.F.; Kang, D.R.; Zhang, M.Q. How Does Career-Related Parental Support Enhance Career Adaptability: The Multiple Mediating Roles of Resilience and Hope. Curr. Psychol. 2022, 13. [Google Scholar] [CrossRef]
- Wilkins, K.G.; Santilli, S.; Ferrari, L.; Nota, L.; Tracey, T.J.G.; Soresi, S. The Relationship among Positive Emotional Dispositions, Career Adaptability, and Satisfaction in Italian High School Students. J. Vocat. Behav. 2014, 85, 329–338. [Google Scholar] [CrossRef]
- Gu, X.Y.; Tang, M.; Chen, S.; Montgomery, M.L.T. Effects of a Career Course on Chinese High School Students’ Career Decision-Making Readiness. Career Dev. Q. 2020, 68, 222–237. [Google Scholar] [CrossRef]
- Hou, Z.J.; Leung, S.A.; Li, X.X.; Li, X.; Xu, H. Career Adapt-Abilities Scale-China Form: Construction and Initial Validation. J. Vocat. Behav. 2012, 80, 686–691. [Google Scholar] [CrossRef]
- Hayes, A.F. Introduction to Mediation, Moderation, and Conditional Process Analysis : A Regression-Based Approach, 2nd ed.; The Guilford Press: New York, NY, USA, 2018; ISBN 978-1-4625-3466-1. [Google Scholar]
- Harman, H.H. Modern Factor Analysis, 3rd Rev Ed; University of Chicago Press: Oxford, UK, 1976; ISBN 978-0226316529. [Google Scholar]
- Podsakoff, P.M.; MacKenzie, S.B.; Lee, J.-Y.; Podsakoff, N.P. Common Method Biases in Behavioral Research: A Critical Review of the Literature and Recommended Remedies. J. Appl. Psychol. 2003, 88, 879–903. [Google Scholar] [CrossRef] [PubMed]
- Podsakoff, P.M.; Organ, D.W. Self-Reports in Organizational Research: Problems and Prospects. J. Manag. 1986, 12, 531–544. [Google Scholar] [CrossRef]
- Preacher, K.J.; Hayes, A.F. Asymptotic and Resampling Strategies for Assessing and Comparing Indirect Effects in Multiple Mediator Models. Behav. Res. Methods 2008, 40, 879–891. [Google Scholar] [CrossRef] [PubMed]
- Park, D.; Yu, A.; Baelen, R.N.; Tsukayama, E.; Duckworth, A.L. Fostering Grit: Perceived School Goal-Structure Predicts Growth in Grit and Grades. Contemp. Educ. Psychol. 2018, 55, 120–128. [Google Scholar] [CrossRef] [PubMed]
- Coetzee, M.; Schreuder, D. Proactive Career Self-Management: Exploring Links among Psychosocial Career Attributes and Adaptability Resources. South Afr. J. Psychol. 2018, 48, 206–218. [Google Scholar] [CrossRef]
- Lent, R.W.; Morris, T.R.; Wang, R.J.; Moturu, B.P.; Cygrymus, E.R.; Yeung, J.G. Test of a Social Cognitive Model of Proactive Career Behavior. J. Career Assess. 2022, 20. [Google Scholar] [CrossRef]
- Hayden, S.C.W.; Osborn, D.S.; Peace, C.; Lange, R. Enhancing Agency in Career Development via Cognitive Information Processing Theory. Br. J. Guid. Couns. 2021, 49, 304–315. [Google Scholar] [CrossRef]
- Datu, J.A.D.; Yuen, M.; Fung, E.; Zhang, J.H.; Chan, S.; Wu, F. The Satisfied Lives of Gifted and Gritty Adolescents: Linking Grit to Career Self-Efficacy and Life Satisfaction. J. Early Adolesc. 2022, 42, 1052–1072. [Google Scholar] [CrossRef]
- Shek, D.T.L.; Chan, L.K. Hong Kong Chinese Parents’ Perceptions of the Ideal Child. J. Psychol. 1999, 133, 291–302. [Google Scholar] [CrossRef]
- Yu, H.B.; Dong, Z.H.; Guan, X.Y.; Yan, C.L.; Su, X.; Cheng, L. A Multiple Mediational Meta-Analysis of the Influence of Proactive Personality on Subjective Career Success at the Career Exploration Stage. J. Career Assess. 2022, 26. [Google Scholar] [CrossRef]
- Fang, F.; McCall, B.; Zhong, B.L. How Does Family Background Influence Students’ Choice of Subjects for the National College Entrance Examination? High. Educ. Res. Dev. 2022, 15. [Google Scholar] [CrossRef]
- Mandela, N.R. Deconstruction, Reconstruction, Co-Construction : Career Construction Theory in a Developing World Context. Indian J. Career Livelihood Plan. 2014, 2, 3–14. [Google Scholar]
- Wong, L.P.W. Issues Concerning the Interpretation and Assessment of Career Adaptability: Perspective from Hong Kong, China. Youth 2022, 2, 181–194. [Google Scholar] [CrossRef]


| Variables | M | SD | 1 | 2 | 3 |
|---|---|---|---|---|---|
| 1. Grit | 2.99 | 0.66 | – | ||
| 2. Hope | 2.63 | 0.47 | 0.56 *** | – | |
| 3. Career adaptability | 3.82 | 0.60 | 0.48 *** | 0.56 *** | – |
| 4. Career construction | 3.26 | 0.76 | 0.37 *** | 0.49 *** | 0.59 *** |
| Predictors | Equation 1 (Hope) | Equation 2 (Career Adaptability) | Equation 3 (Career Construction) | ||||||
|---|---|---|---|---|---|---|---|---|---|
| β | SE | t | β | SE | t | β | SE | t | |
| Grit | 0.56 | 0.03 | 15.29 *** | 0.23 | 0.04 | 5.50 *** | 0.03 | 0.05 | 0.73 |
| Hope | 0.46 | 0.05 | 10.94 *** | 0.18 | 0.08 | 3.92 *** | |||
| Career adaptability | 0.47 | 0.06 | 10.57 *** | ||||||
| R2 | 0.32 | 0.39 | 0.38 | ||||||
| F | 233.91 *** | 159.21 *** | 104.31 *** | ||||||
| Pathway | Estimated Effect | Boot SE | 95%CI | Relative |
|---|---|---|---|---|
| (Standardized) | Mediating Effect (%) | |||
| Total effect | 0.368 | 0.048 | 0.332, 0.520 | – |
| Direct effect | 0.032 | 0.050 | −0.062, 0.136 | – |
| Total Indirect effect | 0.336 | 0.033 | 0.273, 0.403 | 91.31 |
| Grit→Hope→Career construction | 0.104 | 0.034 | 0.037, 0.170 | 28.21 |
| Grit→Career adaptability→Career construction | 0.110 | 0.026 | 0.066, 0.165 | 29.76 |
| Grit→Hope→Career adaptability→Career construction | 0.123 | 0.024 | 0.081, 0.175 | 33.34 |
Disclaimer/Publisher’s Note: The statements, opinions and data contained in all publications are solely those of the individual author(s) and contributor(s) and not of MDPI and/or the editor(s). MDPI and/or the editor(s) disclaim responsibility for any injury to people or property resulting from any ideas, methods, instructions or products referred to in the content. |
© 2023 by the authors. Licensee MDPI, Basel, Switzerland. This article is an open access article distributed under the terms and conditions of the Creative Commons Attribution (CC BY) license (https://creativecommons.org/licenses/by/4.0/).
Share and Cite
Zhai, C.; Chai, X.; Shrestha, S.; Zhong, N. Grit and Career Construction among Chinese High School Students: The Serial Mediating Effect of Hope and Career Adaptability. Sustainability 2023, 15, 3608. https://doi.org/10.3390/su15043608
Zhai C, Chai X, Shrestha S, Zhong N. Grit and Career Construction among Chinese High School Students: The Serial Mediating Effect of Hope and Career Adaptability. Sustainability. 2023; 15(4):3608. https://doi.org/10.3390/su15043608
Chicago/Turabian StyleZhai, Chengxi, Xiaoyun Chai, Silu Shrestha, and Nian Zhong. 2023. "Grit and Career Construction among Chinese High School Students: The Serial Mediating Effect of Hope and Career Adaptability" Sustainability 15, no. 4: 3608. https://doi.org/10.3390/su15043608
APA StyleZhai, C., Chai, X., Shrestha, S., & Zhong, N. (2023). Grit and Career Construction among Chinese High School Students: The Serial Mediating Effect of Hope and Career Adaptability. Sustainability, 15(4), 3608. https://doi.org/10.3390/su15043608

