Can a Change in Agriculture Management Practice Improve Soil Physical Properties
Abstract
1. Introduction
2. Materials and Methods
2.1. Description of Study Area
2.2. Soil Water Transfer Measurements
2.3. Degree of Compactness Calculations
2.3.1. Effective Bulk Density
2.3.2. Penetration Resistance
2.4. Simulation of Water Flow
3. Results and Discussions
3.1. Infiltration Measurements
3.2. Degree of Compactness
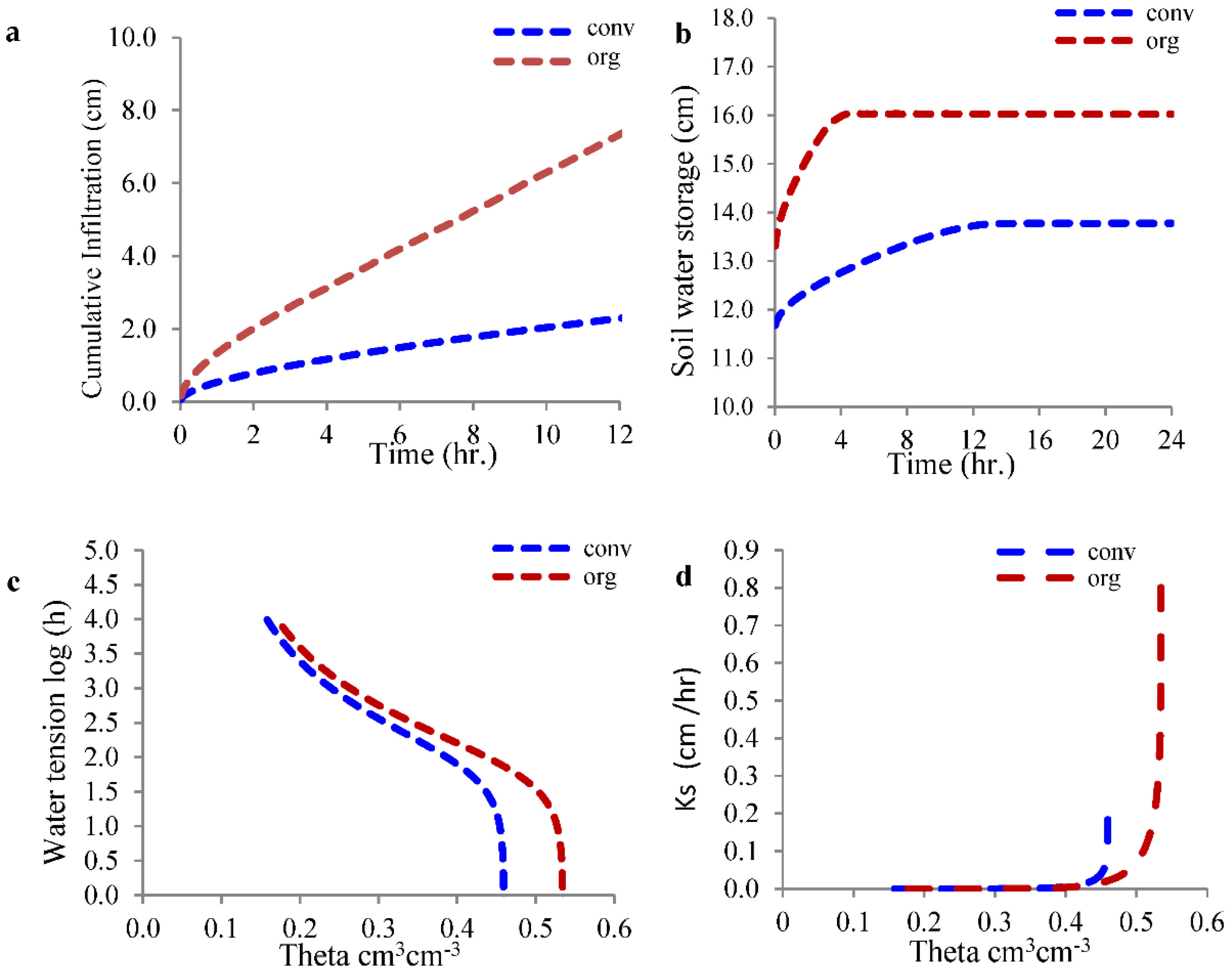
3.3. Simulation of One-Dimensional Water Flow
4. Conclusions
Author Contributions
Funding
Data Availability Statement
Acknowledgments
Conflicts of Interest
References
- Rogasik, J.; Panten, K.; Schnug, E.; Rogasik, H. Infiltration Management Factors. In Encyclopedia of Soil Science; CRC Press: Boca Raton, FL, USA, 2004. [Google Scholar] [CrossRef]
- Ozlu, E.; Gozukara, G.; Acar, M.; Bilen, S.; Babur, E. Field-Scale Evaluation of the Soil Quality Index as Influ-enced by Dairy Manure and Inorganic Fertilizers. Sustainability 2022, 14, 7593. [Google Scholar] [CrossRef]
- Schnug, E.; Rogasik, J.; Panten, K.; Paulsen, H.M.; Haneklaus, S. Oekologischer Landbau erhoeht die Versickerungsleistung von Boeden–ein unverzichtbarer Beitrag zum vorbeugenden Hochwasserschutz. Oekologie Landbau 2004, 32, 53–55. [Google Scholar]
- Abuhashim, M.; Lilienthal, H.; Stoven, K.; Schnug, E. Characteristics of soil infiltration capacity under different agricultural management. Mitt. JKI 2009, 419, 91–96. [Google Scholar]
- Ozlu, E.; Arriaga, F.J.; Bilen, S.; Gozukara, G.; Babur, E. Carbon Footprint Management by Agricultural Practices. Biology 2022, 11, 1453. [Google Scholar] [CrossRef] [PubMed]
- Papadopoulos, A.; Bird, N.R.A.; Whitmore, A.P.; Mooney, S.J. Does organic management lead to enhanced soil physical quality? Geoderma 2014, 213, 435–443. [Google Scholar] [CrossRef]
- Dexter, A.R. Soil physical quality: Part I. Theory, effects of soil texture, density, and organic matter, and effects on root growth. Geoderma 2004, 120, 201–214. [Google Scholar] [CrossRef]
- Gerhardt, R.-A. A Comparative Analysis of the Effects of Organic and Conventional Farming Systems on Soil Structure. Biol. Agric. Hortic. 1997, 14, 139–157. [Google Scholar] [CrossRef]
- Casagrande, M.; Peigné, J.; Payet, V.; Mäder, P.; Sans, F.X.; Blanco-Moreno, J.M.; Antichi, D.; Bàrberi, P.; Beeckman, A.; Bigongiali, F.; et al. Organic farmers’ motivations and challenges for adopting conservation agriculture in Europe. Org. Agric. 2015, 6, 281–295. [Google Scholar] [CrossRef]
- Peigné, J.; Vian, J.-F.; Payet, V.; Saby, N.P. Soil fertility after 10 years of conservation tillage in organic farming. Soil Tillage Res. 2018, 175, 194–204. [Google Scholar] [CrossRef]
- Blanco-Canqui, H.; Lal, R. Soil structure and organic carbon relationships following 10 years of wheat straw management in no-till. Soil Tillage Res. 2007, 95, 240–254. [Google Scholar] [CrossRef]
- Abu-Hashim, M.; Sayed, A.; Zelenakova, M.; Vranayová, Z.; Khalil, M. Soil Water Erosion Vulnerability and Suitability under Different Irrigation Systems Using Parametric Approach and GIS, Ismailia, Egypt. Sustainability 2021, 13, 1057. [Google Scholar] [CrossRef]
- Mohamed, E.S.; Abdellatif, M.A.; Abd-Elmabod, S.K.; Khalil, M.M.N. Estimation of surface runoff using NRCS curve number in some areas in northwest coast, Egypt. In E3S Web of Conferences; EDP Sciences: Les Ulis, France, 2020. [Google Scholar]
- Brown, S.M.A.; Cook, H.F.; Lee, H.C. Topsoil Characteristics from a Paired Farm Survey of Organic versus Conventional Farming in Southern England. Biol. Agric. Hortic. 2000, 18, 37–54. [Google Scholar] [CrossRef]
- Abu-Hashim, M.; Lilienthal, H.; Schnug, E.; Kucher, D.E.; Mohamed, E.S. Tempo-Spatial Variations in Soil Hydraulic Properties under Long-Term Organic Farming. Land 2022, 11, 1655. [Google Scholar] [CrossRef]
- Lee, H.; Fowler, S. A critique of methodologies for the comparison of organic and conventional farming systems. In Proceedings of the UK Organic Research 2002 Conference; Organic Centre Wales, Institute of Rural Studies, University of Wales: Cardiff, UK, 2002. [Google Scholar]
- Vakali, C.; Zaller, J.; Köpke, U. Reduced tillage effects on soil properties and growth of cereals and associated weeds under organic farming. Soil Tillage Res. 2010, 111, 133–141. [Google Scholar] [CrossRef]
- Crittenden, S.; Poot, N.; Heinen, M.; van Balen, D.; Pulleman, M. Soil physical quality in contrasting tillage systems in organic and conventional farming. Soil Tillage Res. 2015, 154, 136–144. [Google Scholar] [CrossRef]
- Abu-Hashim, M.; Elsayed, M.; Belal, A.-E. Effect of land-use changes and site variables on surface soil organic carbon pool at Mediterranean Region. J. Afr. Earth Sci. 2016, 114, 78–84. [Google Scholar] [CrossRef]
- Van Genuchten, M.T.; Nielsen, D.R. On describing and predicting the hydraulic properties. Ann. Geophys. 1985, 3, 615–628. [Google Scholar]
- Ramos, T.B.; Gonçalves, M.C.; Martins, J.C.; Genuchten, M.T.; Pires, F.P. Estimation of Soil Hydraulic Properties from Numerical Inversion of Tension Disk Infiltrometer Data. Vadose Zone J. 2006, 5, 684–696. [Google Scholar] [CrossRef]
- Wahren, A.; Feger, K.-H.; Schwärzel, K.; Münch, A. Land-use effects on flood generation—considering soil hydraulic measurements in modelling. Adv. Geosci. 2009, 21, 99–107. [Google Scholar] [CrossRef]
- Abu-Hashim, M.S.D. Impact of Land-Use and Land-Management on the Water Infiltration Capacity of Soils on a Catchment Scale. Doctoral Dissertation, Technische Universität Braunschweig, Braunschweig, Germany, 2011. [Google Scholar]
- Abu-Hashim, M.; Mohamed, E.; Belal, A.-E. Identification of potential soil water retention using hydric numerical model at arid regions by land-use changes. Int. Soil Water Conserv. Res. 2015, 3, 305–315. [Google Scholar] [CrossRef]
- Imůnek, J.; Van Genuchten, M.T. Estimating unsaturated soil hydraulic properties from tension disc infiltrometer data by numerical inversion. Water Resour. Res. 1996, 32, 2683–2696. [Google Scholar] [CrossRef]
- Schwärzel, K.; Punzel, J. Hood Infiltrometer-A New Type of Tension Infiltrometer. Soil Sci. Soc. Am. J. 2007, 71, 1438–1447. [Google Scholar] [CrossRef]
- El Nahry, A.H.; Mohamed, E.S. Potentiality of land and water resources in African Sahara: A case study of south Egypt. Environ. Earth Sci. 2010, 63, 1263–1275. [Google Scholar] [CrossRef]
- Baroudy, A.A.E.; Ali, A.M.; Mohamed, E.S.; Moghanm, F.S.; Shokr, M.S.; Savin, I.; Poddubsky, A.; Ding, Z.; Kheir, A.M.S.; Aldosari, A.A.; et al. Modeling land suitability for rice crop using remote sensing and soil quality indicators: The case study of the nile delta. Sustainability 2020, 12, 9653. [Google Scholar] [CrossRef]
- Sauer, T.; Clothier, B.; Daniel, T. Surface measurements of the hydraulic properties of a tilled and untilled soil. Soil Tillage Res. 1990, 15, 359–369. [Google Scholar] [CrossRef]
- Logsdon, S.; Allmaras, R.R.; Wu, L.; Swan, J.B.; Randall, G.W. Macroporosity and its relation to saturated hydraulic conductivity under different tillage practices. Soil Sci. Soc. Am. J. 1990, 54, 1096–1101. [Google Scholar] [CrossRef]
- Šimůnek, J.; Angulo-Jaramillo, R.; Schaap, M.G.; Vandervaere, J.P.; van Genuchten, M.T. Using an inverse method to estimate the hydraulic properties of crusted soils from tension-disc infiltrome-ter data. Geoderma 1998, 86, 61–81. [Google Scholar] [CrossRef]
- Šimůnek, J.; van Genuchten, M.T.; Šejna, M. Development and applications of the HYDRUS and STANMOD software packages and related codes. Vadose Zone J. 2008, 7, 587–600. [Google Scholar] [CrossRef]
- El Behairy, R.A.; El Baroudy, A.A.; Ibrahim, M.M.; Mohamed, E.S.; Kucher, D.E.; Shokr, M.S. Assessment of Soil Capability and Crop Suitability Using Integrated Multivariate and GIS Approaches toward Agricultural Sustainability. Land 2022, 11, 1027. [Google Scholar] [CrossRef]
- Reynolds, W.D.; Elrick, D.E. Determination of Hydraulic Conductivity Using a Tension Infiltrometer. Soil Sci. Soc. Am. J. 1991, 55, 633–639. [Google Scholar] [CrossRef]
- Wooding, R.A. Steady Infiltration from a Shallow Circular Pond. Water Resour. Res. 1968, 4, 1259–1273. [Google Scholar] [CrossRef]
- Rienzner, M.; Gandolfi, C. Investigation of spatial and temporal variability of saturated soil hydraulic conductivity at the field-scale. Soil Tillage Res. 2014, 135, 28–40. [Google Scholar] [CrossRef]
- Gardner, W.R. Some steady-state solutions of the unsaturated moisture flow equation with application to evaporation from a water table. Soil Sci. 1958, 85, 228–232. [Google Scholar] [CrossRef]
- Carter, M.R.; Gregorich, E.G. Soil Sampling and Methods of Analysis; CRC Press: Boca Raton, FL, USA, 2007. [Google Scholar]
- Klute, A. Water retention: Laboratory methods. Methods Soil Anal. Part 1 Phys. Mineral. Methods 1986, 5, 635–662. [Google Scholar]
- Kelishadi, H.; Mosaddeghi, M.; Hajabbasi, M.; Ayoubi, S. Near-saturated soil hydraulic properties as influenced by land use management systems in Koohrang region of central Zagros, Iran. Geoderma 2014, 213, 426–434. [Google Scholar] [CrossRef]
- Kaufmann, M.; Tobias, S.; Schulin, R. Comparison of critical limits for crop plant growth based on different indicators for the state of soil compaction. J. Plant Nutr. Soil Sci. 2010, 173, 573–583. [Google Scholar] [CrossRef]
- Simunek, J.; Van Genuchten, M.T.; Sejna, M. The HYDRUS-1D software package for simulating the one-dimensional movement of water, heat, and multiple solutes in variably-saturated media. In University of California-Riverside Research Reports; University of California: San Diego, CA, USA, 2005; Volume 3, pp. 1–240. [Google Scholar]
- van Genuchten, M.T. A Closed-form Equation for Predicting the Hydraulic Conductivity of Unsaturated Soils. Soil Sci. Soc. Am. J. 1980, 44, 892–898. [Google Scholar] [CrossRef]
- Schaap, M.G.; Leij, F.J.; van Genuchten, M.T. rosetta: A computer program for estimating soil hydraulic parameters with hierarchical pedotransfer functions. J. Hydrol. 2001, 251, 163–176. [Google Scholar] [CrossRef]
- Poudel, D.D.; Ferris, H.; Klonsky, K.; Horwath, W.R.; Scow, K.M.; van Bruggen, A.H.; Thomas Lanini, W.; Mitchell, J.P.; Temple, S.R. The sustainable agriculture farming system project in California's Sacramento Valley. Outlook Agric. 2001, 30, 109–116. [Google Scholar] [CrossRef]
- Schnug, E.; Haneklaus, S. Agricultural production technique and infiltration significance of organic farming for preven-tive flood protection. Landbauforsch. Volkenrode 2002, 52, 197–203. [Google Scholar]
- Giménez, D.; Perfect, E.; Rawls, W.; Pachepsky, Y. Fractal models for predicting soil hydraulic properties: A review. Eng. Geol. 1997, 48, 161–183. [Google Scholar] [CrossRef]
- Schjønning, P.; Elmholt, S.; Munkholm, L.J.; Debosz, K. Soil quality aspects of humid sandy loams as influenced by organic and conventional long-term management. Agric. Ecosyst. Environ. 2002, 88, 195–214. [Google Scholar] [CrossRef]
- Balesdent, J.; Chenu, C.; Balabane, M. Relationship of soil organic matter dynamics to physical protection and tillage. Soil Tillage Res. 2000, 53, 215–230. [Google Scholar] [CrossRef]
- Ishaq, M.; Ibrahim, M.; Lal, R. Persistence of subsoil compaction effects on soil properties and growth of wheat and cotton in Pakistan. Exp. Agric. 2003, 39, 341–348. [Google Scholar] [CrossRef]
- Schwartz, R.C.; Evett, S.R.; Unger, P.W. Soil hydraulic properties of cropland compared with reestablished and native grassland. Geoderma 2003, 116, 47–60. [Google Scholar] [CrossRef]
- Jacques, D.; Šimnek, J.; Mallants, D.; van Genuchten, M. Multicomponent transport model for variably-saturated porous media: Application to the transport of heavy metals in soils. Dev. Water Sci. 2002, 47, 555–562. [Google Scholar] [CrossRef]
- Atkinson, B.S.; Sparkes, D.L.; Mooney, S.J. The impact of soil structure on the establishment of winter wheat (Triticum aestivum). Eur. J. Agron. 2009, 30, 243–257. [Google Scholar] [CrossRef]






| Sample Location | Crop | Soil Management | Particle Size Distribution | Texture | Bulk Density Mg m−3 | ||
|---|---|---|---|---|---|---|---|
| Sand % | Silt % | Clay % | |||||
| 1 | L | Organic | 2.1 | 52.1 | 45.8 | Clay | 1.22 |
| L | Conventional | 2.2 | 51.5 | 46.3 | Clay | 1.48 | |
| 2 | WW | Organic | 11.3 | 52.1 | 36.5 | Silty Clay Loam | 1.23 |
| WW | Conventional | 11.3 | 58.5 | 30.3 | Silty Clay Loam | 1.29 | |
| 3 | E | Organic | 3.3 | 44.3 | 52 | Clay | 1.2 |
| E | Conventional | 3 | 60.8 | 36.2 | Silty Clay Loam | 1.28 | |
| 4 | SE | Organic | 3.3 | 63 | 33.7 | Silty Clay Loam | 1.02 |
| SE | Conventional | 6.1 | 56.6 | 37.4 | Silty Clay Loam | 1.37 | |
| 5 | WW | Organic | 1.2 | 60.9 | 37.8 | Silty Clay Loam | 1.14 |
| WW | Conventional | 1.9 | 54.9 | 43.5 | Silty Clay Loam | 1.36 | |
| Sample Location | Crop | Soil Management | eBD | qs (h) | Ks |
|---|---|---|---|---|---|
| Mg m−3 | (cm h−1) | (cm h−1) | |||
| 1 | L | Organic | 1.63 | 54.6 | 33.17 |
| L | Conventional | 1.9 | 30.6 | 18.59 | |
| 2 | WW | Organic | 1.55 | 47.4 | 28.79 |
| WW | Conventional | 1.56 | 25.8 | 15.67 | |
| 3 | E | Organic | 1.67 | 78.6 | 47.75 |
| E | Conventional | 1.6 | 43.8 | 26.61 | |
| 4 | SE | Organic | 1.32 | 64.2 | 38.99 |
| SE | Conventional | 1.71 | 24.6 | 14.94 | |
| 5 | WW | Organic | 1.48 | 67.2 | 40.82 |
| WW | Conventional | 1.75 | 27 | 16.4 | |
| St. dev. | 0.15 | 19.49 | 11.78 |
| Field Management | Soil Type | eBD | Theta r | Theta s (cm3 cm−3) | Alpha (1/cm) | n | Ks |
|---|---|---|---|---|---|---|---|
| Mg m−3 | (cm3 cm−3) | (cm.h−1) | |||||
| Conventional | Clay | 1.9 | 0.095 | 0.46 | 0.012 | 1.367 | 0.184 |
| Organic | Clay | 1.63 | 0.102 | 0.535 | 0.014 | 1.374 | 0.803 |
Disclaimer/Publisher’s Note: The statements, opinions and data contained in all publications are solely those of the individual author(s) and contributor(s) and not of MDPI and/or the editor(s). MDPI and/or the editor(s) disclaim responsibility for any injury to people or property resulting from any ideas, methods, instructions or products referred to in the content. |
© 2023 by the authors. Licensee MDPI, Basel, Switzerland. This article is an open access article distributed under the terms and conditions of the Creative Commons Attribution (CC BY) license (https://creativecommons.org/licenses/by/4.0/).
Share and Cite
Abu-hashim, M.; Lilienthal, H.; Schnug, E.; Lasaponara, R.; Mohamed, E.S. Can a Change in Agriculture Management Practice Improve Soil Physical Properties. Sustainability 2023, 15, 3573. https://doi.org/10.3390/su15043573
Abu-hashim M, Lilienthal H, Schnug E, Lasaponara R, Mohamed ES. Can a Change in Agriculture Management Practice Improve Soil Physical Properties. Sustainability. 2023; 15(4):3573. https://doi.org/10.3390/su15043573
Chicago/Turabian StyleAbu-hashim, Mohamed, Holger Lilienthal, Ewald Schnug, Rosa Lasaponara, and Elsayed Said Mohamed. 2023. "Can a Change in Agriculture Management Practice Improve Soil Physical Properties" Sustainability 15, no. 4: 3573. https://doi.org/10.3390/su15043573
APA StyleAbu-hashim, M., Lilienthal, H., Schnug, E., Lasaponara, R., & Mohamed, E. S. (2023). Can a Change in Agriculture Management Practice Improve Soil Physical Properties. Sustainability, 15(4), 3573. https://doi.org/10.3390/su15043573

