Next Article in Journal
Effect of Social Presence toward Livestream E-Commerce on Consumers’ Purchase Intention
Previous Article in Journal
Assessing Sustainable Passenger Transportation Systems to Address Climate Change Based on MCDM Methods in an Uncertain Environment
 
 
Font Type:
Arial Georgia Verdana
Font Size:
Aa Aa Aa
Line Spacing:
Column Width:
Background:
Article

Will the Tax Reduction and Exemption Policy for High Technology Enterprises Improve the GVC Position of Chinese Firms?

School of Economics and Trade, Hunan University, Changsha 410006, China
*
Author to whom correspondence should be addressed.
Sustainability 2023, 15(4), 3570; https://doi.org/10.3390/su15043570
Submission received: 16 December 2022 / Revised: 11 February 2023 / Accepted: 13 February 2023 / Published: 15 February 2023
(This article belongs to the Section Economic and Business Aspects of Sustainability)

Abstract

Figuring out how government innovation incentive policies affect the GVC (global value chain) position at a micro level is essential for choosing anaccurate policy to encourage self-dependent innovation. We examined whether and how China’s preferential tax policies enhance the GVC position of firms via firm-level data using the method of difference in differences (DID), taking the tax reduction and exemption policy of high-technology enterprises as an example. In addition, the firm heterogeneity of different factor intensities and regions was also examined. The empirical results show that, firstly, the tax reduction and exemption policy of high-technology enterprises has a significant positive impact on the firm GVC position. Secondly, this positive effect is more prominent in labor-intensive firms, capital-intensity firms and eastern enterprises. Thirdly, analysis of the mechanism indicated that the tax reduction and exemption policy of high-technology enterprises improves the firm GVC position by stimulating growth in production efficiency.

1. Introduction

China’s economy has transformed from a phase of high-speed growth to high-quality development; therefore, it is essential to improve the self-dependent innovation of firms and enhance their competitiveness (reports of 19th National Congress of the Communist Party of China, 2017). The main characteristic of global value chains (GVCs) is the fragmentation of production across countries, which means the different stages of production occur in different regions around the world (Chor et al., 2014) [1]. Since GVCs have fundamentally transformed international trade and development in recent decades, production processes have fragmented across firm boundaries and country borders (Baldwin, 2016; Antràs, 2021; World Development Report, 2020; Chor et al., 2021) [2,3,4]. Therefore, various government policies have been implemented to encourage firms to participate in GVCs (Manova and Yu, 2021) [4]. The tax reduction and exemption policy for high-technology enterprises, aiming to support and encourage self-dependent innovations, is a typical example of one of these policies. Government innovation policy may create an incentive by encouraging firm innovation activities and reducing transaction costs, and it may cause a crowding-out effect because of technology spillover and policy preference. This begs the question: Which effect is greater? This paper aims to discuss the “net” effect of the tax reduction and exemption policy of high-technology enterprises and how it affects their GVC position at a micro level.
This paper relates to two research threads. The first thread concerns the measurement of the GVC position, and the existing literature can further be divided into two topics. (1) The first topic concerns the measurement of the relative position of a production line, which is an indirect way of evaluating the GVC position. Koopman et al. (2014) first proposed the concept and measurement of the GVC position, based on the export value-added decomposition framework [5]. Whether a country is in the relative upstream of the GVC depends on whether the indirect domestic value-added rate of a country’s exports is higher than the foreign rate. Considering domestic production, Wang et al. (2017, 2022) further split the total production length into three parts, including a pure domestic segment [6,7].
(2) The second topic concerns direct ways to measure the GVC position based on production stages. Fally (2012) proposed the measurement of upstreamness and downstreamness indexes [8]. Antràs and Chor (2013) measured the distance from production to final use [9]. The above two methods are essentially the same, since they both use a specific index to measure the GVC position based on the number of production stages (Antràs et al., 2012) [10]. When the specific industrial upstreamness index is larger, the distance from production to the final use is farther. However, the above-mentioned research was based on the framework of a single-country (region) input–output (I-O) analysis model. Miller and Temurshoev (2017) then measured the input downstreamness with a multi-country (region) input–output (I-O) analysis model [11]. Later, Antràs and Chor (2018) published a comprehensive overview of the output upstreamness and input downstreamness of a country’s sectors in the GVC [12].
Recently, computation has become more specific to a firm level. Chor et al. (2014, 2021) computed the weighted-average upstreamness of firms’ imports and exports, which was the average positioning of firms’ activities within GVCs relative to final demand [1,4]. Tang et al. (2018) also discussed the firm heterogeneity following Chor et al. (2014) with the industry-level data [1,13]. This paper measures the upstreamness of firms’ exports with the method of Chor et al. (2014, 2021) [1,4].
This paper also draws comparisons to research of the impact of government innovation incentive policies on improving the firm GVC position. These can be divided into two concepts. (1) The first concept concerns the specific effects of government innovation incentive policies, which can be further divided into two categories: direct support and indirect support. Direct support mainly includes government grants, government procurement, etc., while indirect support mainly includes tax preference, R&D loans, etc. (Montmartin and Herrera, 2015) [14]. Direct support should be controlled in an appropriate range, so that it can stimulate growth in domestic private R&D expenditure. Otherwise, it will create a crowding-out effect (Görg Holger and Strobl Eric, 2007) [15]. However, this effect only occurs in the early stage, and then it returns to neutral (Boeing, 2016) [16]. Direct subsidies can also encourage private R&D activities via indirect methods since they have a certification effect on subsidized enterprises, which can ease the financing constraints of SMEs by better obtaining debt financing (Miguel and Wouter, 2008) [17]. The effectiveness of policies on innovation efficiency also differs from objectives, which arerelatively more successful in regions where the innovation capability is less than average. Aside from the above reasons, these effects also differ from different management and governance methods. Specifically, decentralized governance is more conducive to firms’ technological innovation output than centralized governance (Guo et al., 2016) [18].
(2) The second concept is mainly about the empirical methods. Görg Holger and Strobl Eric (2007) combined the nonparametric matching procedure and difference-in-differences estimator, while González and Pazó (2008) proposed the improved matching estimators that corrected deviation based on the nearest-neighbor matching estimator [15,19]. Since then, the combination of a propensity-score-matching estimator with appropriate empirical methods based on the specific empirical model has been widely used (Guo et al., 2016; Boeing, 2016; Xin et al., 2016) [16,18,20].
A country or region at the upstream of the GVC is at a high technological level in global trade and is capable of self-dependent innovation, i.e., there is a positive correlation between the firm GVC position and the capacity of self-dependent innovation. This paper chooses to investigate the tax incentive policies, which are the main form of indirect subsidies, because there is a competitive alternative effect between direct and indirect policies (Montmartin and Herrera, 2015), and tax incentive policies are relatively more effective (Lee, 2011) [14,21].
This paper makes several contributions to the existing literature. Firstly, we are among the first to study how specific tax preference policies affect the firm GVC position. The existing literature has mainly focused on the impact of the GVC position from the perspective of domestic and even global economies, which are limited to regional or industrial levels (Xu et al., 2012; Broekel, 2015; Hottenrott et al., 2017) [22,23,24]. Importantly, few studies explore the impact of the GVC position on a firm level. Secondly, we shift our focus from firm innovation activities to the GVC and explore the impact of government tax incentive policies on improving the foundation capacity of enterprises and the level of the industrial chain, which provides a supplement to the existing literature. Previous research on the effectiveness of government innovation incentive policy on firms mostly focused on firm innovation activities (González and Pazó, 2008; Xu et al., 2012; Guo et al., 2016; Bernini and Pellegrini, 2011) rather than from the perspective of the GVC, which is essential in the context of the global economy [18,19,22,25]. Thirdly, this paper studies the effectiveness of the tax preferential policies by taking the specific tax reduction and exemption policy for high-technology enterprises as an example, which is one type of the indirect government innovation policies. This helps us to alleviate the lack of research on tax preferential policies since most studies focused on the impact of direct policies (González and Pazó, 2008; Xu et al., 2012; Guo et al., 2016) [18,19,22]. Finally, this paper also puts forward several policy recommendations to help China implement a new development pattern of modernization based on empirical results, which is dominated by a domestic economic cycle and is mutually promoted by domestic and international economies. This complements existing research and provides theoretical support for follow-up research.
The structure of this paper is as follows: Section 2 introduces the institutional background of the tax reduction and exemption policy for high-technology enterprises and the possible dual effects; Section 3 explains the empirical model, the data and the indicators; Section 4 includes basic regression, a robust test, heterogeneity analysis and a mechanism test; Section 5 is the conclusion and enlightenment.

2. Institutional Background and Theoretical Analysis

2.1. The Institutional Background of Tax Reduction and Exemption Policy for High-Technology Enterprises

In 1988, China’s National Science and Technology Commission formulated the “Torch Plan”, which aimed to promote the commercialization of research findings on high technology and new technology and encourage technological development. The tax reduction and exemption policy for high-technology enterprises is the most relevant policy for torch plan projects provided for high-technology enterprises and is an indirect form of government incentive policy. The Administrative Measures for the Identification of High-Technology Enterprises policy has been implemented since 1 January 2008, with the following tax preferences and requirements for recognition (The specific tax preference and the requirements for recognition can be found at www.innocom.gov.cn, accessed on 14 April 2008):
(1)
Income tax can be levied at a reduced rate of 15%;
(2)
R&D investment can be recognized as R&D expenses and enjoy preferential treatment of additional tax deductions;
(3)
Businesses can enjoy the preferential treatment of exemption from business tax for technology development, technology transfer and technology consultant contracts that have been registered in technology contracts;
(4)
Aside from the reduction and exemption offered by the state, specific policies vary between provinces. High-technology enterprises can enjoy one-time financial incentives or direct R&D assistance in different provinces.
For an enterprise to be recognized as a high-technology enterprise, the following six conditions must be met:
(1)
The registered location should be China, excluding Hong Kong, Macao and Taiwan, and the enterprise should have self-dependent intellectual property rights over their core technologies through self-dependent R&D, transfer, donation, merger and acquisition in the past three years, or through exclusive licensing for more than 5 years.
(2)
The products or services of the enterprise should fall within the scope of the High and New Technology Fields Supported by the State (The Administrative Measures for the Recognition of High-Technology Enterprises clearly divides the fields supported by the state into the following eight types: electronic information technology, biology and new pharmaceutical technology, aerospace technology, new material technology, high-tech service industry, new energy and energy-saving technology, resource and environmental technology, and the high-tech transformation of traditional industries).
(3)
Scientific and technological personnel with a college degree or above account for more than 30% of the total number of employees in the year, and R&D personnel account for more than 10%.
(4)
With continuous R&D activities and the proportion of the total R&D expenses (the total firm R&D expenses incurred in Chinese territories account for no less than 60% of the total R&D expenses), an enterprise should meet the following requirements for their last three fiscal years (if the enterprise is registered and established for less than three years, it shall be calculated according to its actual operating years): if the sales revenue < CNY 50 million, then the proportion 6%; if CNY 50 million < the sales revenue < CNY 200 million, then the proportion 4%; if the sales revenue > CNY 200 million, then the proportion 3%; and the proportion of total R&D expenses incurred in the Chinese territory 60% of the total R&D expenses.
(5)
The income of high-technology products or services > 60% of the total income of the enterprise in the current year.
(6)
The requirements of the Guidelines for the Administration of the Identification of High-Technology Enterprises are met.
From 2008 to the end of 2012, the Measures for the Recognition of High-Technology Enterprises covered 36 provinces, autonomous regions, municipalities and cities with independent planning. A total of 49,000 high-technology enterprises were recognized, with a cumulative income tax reduction of CNY 225.9 billion. After the impact of the global economic crisis, China’s high-technology enterprises became the main force in the development of China’s industrial enterprises. The average household R&D investment was 5.6 times the average level of national industrial enterprises, and 99% of the high-technology enterprises’ profitability was much higher than the national average level. According to statistics, 6413 foreign-funded enterprises were recognized as high-technology enterprises in 2011 alone, accounting for 16% of the total number of high-technology enterprises in China and three times the statistics of 2008; foreign- funded, high-technology enterprises received CNY 25.3 billion of income tax exemption in 2011, accounting for 36% of all high-technology enterprises. The average household income tax exemption was CNY 3 million, which was 1.8 times that of foreign-funded enterprises.

2.2. The Dual Effects of Tax Reduction and Exemption Policy for High-Technology Enterprises

Government technological innovation incentive policies are an impetus for enterprises’ technological innovation, but, based on economic theory, policy tools may have two opposing effects on enterprises’ technological innovation: the incentive effect and crowding-out effect. Tax reduction and exemption policy for high-technology enterprises is one of the indirect forms of the government’s technological innovation incentive policy, so it may also have dual effects.

2.2.1. Incentive Effect

The impact of the tax reduction and exemption policy of high-technology enterprises on the firm GVC position can be analyzed from two perspectives: direct channels and indirect channels.
(1) Direct channels. After the tax reduction and exemption policy of high-technology enterprises is implemented, the recognized firms’ profits increase due to income tax reduction and exemption. The costs of innovation and R&D activities are indirectly reduced, and sufficient capital is provided for firm technological innovation. Technological innovation and a higher technological level for firms can promote production efficiency, improve industrial added value and effectively improve the firm GVC position. Overall, the tax reduction and exemption policy of high-technology enterprises can promote firms’ production innovation activities, improve their production efficiency and help expand their scale of exports, i.e., it can improve the firm GVC position.
(2) Indirect channels. Due to the selectiveness of the policy, firms can be recognized as high-technology enterprises only when they reach a certain level of technology and production capacity. According to the transaction cost theory, it will effectively reduce search costs and information costs and, ultimately, decrease transaction costs. The reduction in transaction costs will attract foreign investors with sufficient funds to promote technological innovation and private R&D investment. Thus, the growing capacity of self-dependent innovation will help improve the firm GVC position.

2.2.2. Crowding-Out Effect

On the contrary, the tax reduction and exemption policy for high-technology enterprises may allow firms to decrease basic R&D costs and increase other non-operating costs.
(1) Technology spillover. Considering the existence of technology spillovers, other unrecognized firms in the same industry with high-technology enterprises may reap the results and reduce their investment in innovation, which will cause an unexpected decreasing or even secular stagnation to the whole production line. Thus, technology spillover will eventually decrease the firm GVC position.
(2) Policy preference. Although the specific content of the policy is the same for different firms, the government tends to choose the enterprises with a high-technology and high-level, self-dependent innovation capacity as the implement objects because that will maximize the positive effect of the policy. However, the government can only examine the enterprises using existing results and indicators that mostly relate to their scales and financial statuses. Therefore, large enterprises with fruitful achievements and outstanding indicators are more likely to be favored due to the selectiveness of the tax reduction and exemption policy for high-technology enterprises, meaning that small enterprises with real high-intensity innovative R&D activities cannot obtain policy support in time, and, ultimately, the preferences are diverted to large- and medium-sized enterprises with relatively low R&D intensity. The improvement in the firm GVC position is closely related to the innovation intensity and R&D activities. Therefore, the selectiveness of the policy has a certain inhibitory effect on improvement in the firm GVC position.
Is the incentive effect greater than the crowding-out effect, or is the crowding-out effect greater than the incentive effect? Can the tax reduction and exemption policy for high-technology enterprises help improve the firm GVC position? If it plays a promoting role, what is the mechanism for improving the firm GVC position? This paper tries to solve the above problems by establishing a multi-period difference-in-differences model to evaluate the effectiveness of the tax reduction and exemption policy for high-technology enterprises for improving the firm GVC position.

3. Empirical Strategy

3.1. Empirical Model

The tax reduction and exemption policy for high-technology enterprises has been implemented since 2008, and newly recognized enterprises become subject to the policy every year. Because the implemented time varies between individuals, this paper builds a multi-period difference-in-differences model. We compare the firm GVC upstreamness changes in the treated group and the control group before and after policy implementationand analyze how it affects the firm GVC position. The basic empirical model is set as follows:
P it X = α + β i innopolicy i + β t Post t + β it innopolicy i × Post t + γ X it + μ t + λ i + ε it
where i indicates a firm, t indicates time, and P it X is the explained variable used to measure the GVC position of the exports of the firm i in year t, which is weighted by the proportion of the firm’s exports in each industry. Innopolicy i is a policy dummy equal to 1 if the firm is recognized as a high-technology enterprise and equal to 0 if otherwise, while Post t is a time dummy that equals 1 after the policy is implemented and equals 0 before that (after the enterprise is first identified as a high-technology enterprise, it is considered to be affected by the policy).A vector of control variables is indicated by X it . Furthermore, μ t controls yearly fixed effects, λ i controls firm fixed effects, and ε it stands for random error.
The impact of the tax reduction and exemption policy for high-technology enterprises on the firm GVC position is represented by β it , which is the coefficient of interaction between the policy dummy and the time dummy.

3.2. Measurements

3.2.1. Chinese Firm GVC Position

This paper uses the method of Miller and Temurshoev (2017) to calculate the industrial GVC position ( U jt ) of China and then computes it at a firm level by taking the proportion of enterprises’ exports in each industryto weight the industrial GVC position (Antràs and Chor, 2021) [3,11].
Firstly, we calculated the industrial upstreamness ( U i ), which can be expressed as the weighted average of the number of stages to final demand, expressed in Equation (2):
U i = 1 × F i Y i + 2 × j N d ij F j Y i + 3 × j = 1 N k = 1 N d ik d kj F j Y i + 4 × j = 1 N k = 1 N l = 1 N d il d lk d kj F j Y i +
where Y i represents the gross output of industry i,  F j  is the part of the output regarded as the final use, and d ij represents the value of i required to produce a one-dollar output of industry j and corresponds to the direct requirements coefficient in the World I-O Tables. Equation (2) in matrix form can be written as follows:
U i = X ^ 1 I + 2 A + 3 A 2 + F = X ^ 1 L 2 F
where A denotes the input matrix, I represents the identity matrix, F denotes the vectors of gross outputs and final demand, X ^ is the diagonal matrix, and L is the Leontief-inverse matrix.
The second step is to calculate the GVC position of firms’ exports ( P it X ). We weight the industry upstreamness ( U jt ) by the proportion of the enterprises’ exports in each industry according to Equation (4):
P it X = j = 1 N X ijt X it U jt
P it X represents the firm GVC position of exports of firm i in year t, X ijt denotes the export scale of enterprise i in industry j in year t, X it is the total export of enterprise i in year t, and U jt is the upstreamness of industry j in year t of one country, as expressed in Equation (2).

3.2.2. Other Variables

Core explaining variable. The core explaining variable is the interaction between the policy dummy and time dummy, and the policy dummy is divided into a treated group and control group. The value of enterprise i recognized as a high-technology enterprise (treated group) in year t is 1; otherwise, it is 0 (control group), and the time dummy represents whether the policy is implemented.The value of year t and the subsequent years when the enterprise is first recognized is 1, and the value of the previous years is 0.
Control variables. (1) Firm age (the firm age can be calculated using the following equation: age = current year − establishing year): The firm age may be related to the production capacity. The“elder” enterprises may have more mature technical skills and a stronger innovative capacity. (2) Ownership: Since the firm’s ownership may relate to technological skills and R&D investment, it may affect the firm GVC position. This study selected four kinds of ownership: state-owned enterprises (state), foreign-funded enterprises (foreign), individual enterprises (private) and collective enterprises (collection) in dummies. The specific values are shown in Table 1, in which “wholly foreign-owned enterprises”, “Sino-foreign joint ventures” and “Sino-foreign cooperative joint ventures” are classified as foreign-funded enterprises according to the CIFD. (3) Total profits (TP): The increase in profits plays a certain incentivizing role in the innovation and R&D activities of an enterprise and can alleviate the pressure of innovation and development costs. This indicator derives from CIFD. (4) Industrial Herfindahl index (HHI): The HHI mainly reflects the concentration of the industrial market and competition degree among the enterprises of one industry. Market competition can encourage R&D activities, so as to improve the firm GVC position. Table 1 shows the variable descriptions of all main variables.

3.3. Adopted Data

This study used the following data sets: (1) Chinese Customs Trade Statistics (CCTs); (2) China Industrial Firms Data (CIFD); (3) World Input–Output Table 2016 (Timmer et al., 2021) [26]. We used the WIOD database to compute the GVC upstreamness of Chinese industries (Antràs and Chor, 2021) and measure the firm GVC upstreamness of exports via weighted calculations [3]; (4) The policy dummy is derived from the published online list (The specific tax preference and the requirements for recognition can be found at www.innocom.gov.cn, accessed on 14 April 2008). Since the expiration time is three years, this paper only focuses on high-technology enterprises that are recognized for the first time.
We employ data from 2002 to 2013 for the following reasons. Firstly, 2002 was the first year after China joined the WTO, and thus it has great economic significance for China in terms of economic system reforms, expanding exports, attracting foreign investment and promoting technological progress. Secondly, the Third Plenary Session of the 18th Central Committee of the Communist Party of China passed the Decision of the Central Committee of the Communist Party of China on Several Major Issues of Comprehensively Deepening Reform on 12 November 2013. Since 2014, the reform of the administrative examine and approve system, industrial and commercial registration system, fiscal and taxation system, and financial system have been extensively promoted. Therefore, considering these two important years, 2002 and 2014, this study collected data from 2002 to 2013.

3.4. Sample and Data Description

We obtained our sample by merging the above-mentioned four data sets: (1) CCTS, CIFD and the list of high-technology enterprises. We followed the method of Brandt et al. (2012) to clean CCTs [27]. This study used the Chinese name of the enterprise to merge the three data sets (Upward et al., 2013) because Chinese enterprises are not allowed to have duplicate names with previously registered firms, as set out by the Administration for Industry and Commerce [28]. In order to solve the renaming problem of enterprises, this study merged their telephone numbers and postal codes. (2) Matching the above three data sets with the WIOD database. Firstly, we use the input–output table of WIOD to calculate the industrial upstreamness of China. Secondly, we merge the table with the three matched databases according to national industries classification and ISIC classification (Tang et al., 2018) [13].
Table 2 shows the descriptive statistics results of all main variables. The mean value of the GVC position index is 2.646, the standard deviation is 0.578, and the maximum and minimum are 5.160 and 0, indicating that there are great differences in the firm GVC position index of different enterprises. This paper aims to explore whether the difference relates to the implementation of government innovation incentive policies. The average value of the interaction is 0.241, which means that about 2.41% of the sample enterprises are recognized as high-technology enterprises. Therefore, there are sufficient data to make comparisons with the control group and accurately evaluate the effectiveness of the policy.

4. Empirical Results and Analysis

In this section, we first describe the analysis of how China’s tax reduction and exemption policy for high-technology enterprises affects the firm GVC position (Section 4.1). We then describe testing the parallel trend, which is the premise of the DID estimator (Section 4.2). Thirdly, we describe a robust test that compares the results of basic regression with those of PSM-DID and the placebo test, and we also control the effect of parallel policies (Section 4.3). Fourthly, we analyze the firm heterogeneity of factor intensity and regions (Section 4.4). Finally, an influence channel test is described (Section 4.5).

4.1. Basic Regression Results

The specific regression results are shown in Table 3.
Column (1) controls firm fixed effect and time fixed effect without adding control variables. Columns (2) to (7) add control variables to the regression model one by one based on the benchmark model of column (1). The results of column (1) show that the coefficient of the interaction that we focused on is always significantly positive at the level of 1% regardless of whether control variables are added. This shows that the tax reduction and exemption policy for high-technology enterprises plays a significant role in improving the firm GVC position, i.e., the policy has a positive effect on improving the firm GVC position. Overall, the “net” effect of the tax reduction and exemption policy for high-technology enterprises on improving the firm GVC position is positive.
As shown from column (1) to column (8), when we gradually add control variables, the tax reduction and exemption policy for high-technology enterprises always maintains a significant positive effect on improving the firm GVC position. The coefficient of interaction always fluctuates within a range from 0.0007 to 0.002 around 0.0400, indicating that the estimation results are reliable.

4.2. Parallel Trend Test

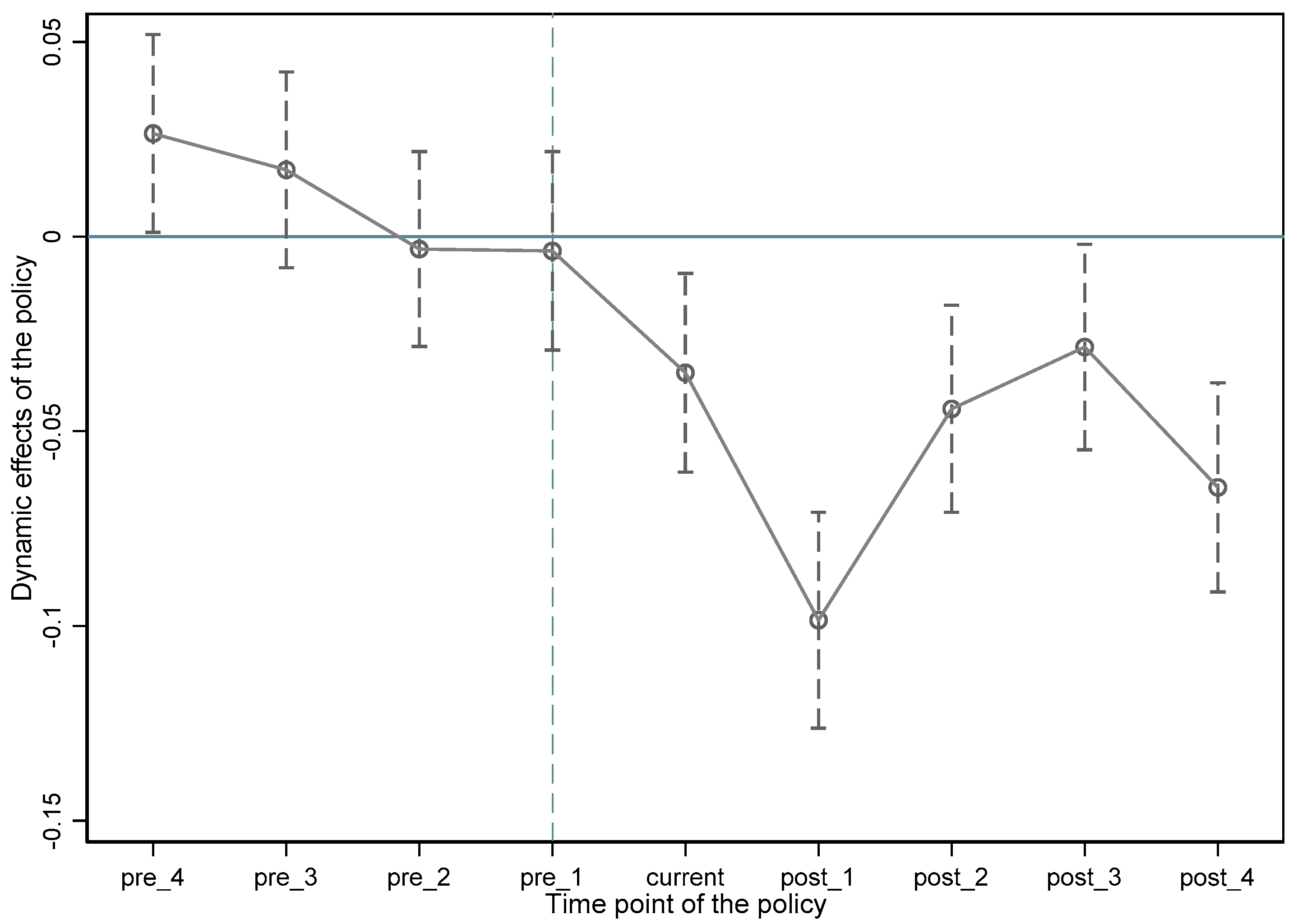
The most important premise of using the difference-in-difference model is to meet the parallel trend hypothesis, i.e., the control group and the treated group have the same time trend or development trend without the policy. This paper used an event study and set three kinds of dummies: pre, current and post. The coefficients of pre_1 to pre_4 represent the effectiveness in the first to third periods before implementation, while the coefficients of post_1 to post_4 represent the effectiveness from the first to the fourth period after implementation; the current coefficient represents the effectiveness during the current period. Considering collinearity, we took the previous five periods and the later four periods, discarding the previous first period before implementation and using this as the benchmark group.
As shown in Table 4, the coefficients of pre_1 to pre_3 are not significant, which indicates that there is no significant difference between the control group and the treated group before implementation, which adheres to the parallel trend hypothesis. The coefficients of current enterprises and from post_1 to post_4 are significantly negative, indicating that, after implementation, there is a significant difference between the control group and treated group. As the tax reduction and exemption policy for high-technology enterprises was implemented in 2008, during the global economic crisis, the overall economic situation had a downward trend. However, in this study, the downward trend of the control group was more serious than that of the treated group, indicating that the implementation of the tax reduction and exemption policy for high-technology enterprises offset the downward degree of the treated group to a certain extent, which can also confirm the incentive effect of the policy.
It is evident from Figure 1 that the coefficients of pre_1 to pre_4 fluctuate around 0 during the previous three periods before implementation. From the current period to the following four periods after implementation, the coefficients of current and post_1 to post_4 greatly deviate from 0 and are significantly negative, which indicates that the policy is highly effective. The development trend of the control group and the treated group meets the parallel trend hypothesis and is comparable.

4.3. Robust Test

4.3.1. PSM-DID Test

Since the object of the tax reduction and exemption policy for high-technology enterprises is the result of screening, enterprises with a strong innovation and development capacity are more likely to be recognized; therefore, there may be selective differences between groups. In order to eliminate the possible differences between the treated group and the control group, except for the effectiveness of the policy, and reduce the possible estimation bias to the greatest extent, we used a propensity score matching difference-in-differences (PSM-DID) estimator for further testing. The premise of PSM-DID is to meet the common support hypothesis and balance test hypothesis. We used the k nearest-neighbor matching method (k = 2, the radius is 0.05) (Wang Haicheng et al., 2016) [29].
Figure 2 shows the balance test results of all matched covariates. The standard deviation of all covariates after matching is controlled within 10% and is significantly smaller than that before matching, indicating that the balance hypothesis is met.
Figure 3 shows the test results of the common support hypothesis. Figure 3a,b show the kernel density distribution of the propensity scores before and after matching. There is a clear deviation in the kernel density curve before and after matching, but the change in the maximum value of the ordinate shows that the deviation has been reduced. The same conclusion can be drawn from the reduction in distance between the two mean lines, which shows that the propensity score matching meets the common support hypothesis.
Table 5 shows the comparison of the regression results of the basic model and PSM-DID after controlling the fixed effects and adding allcontrol variables. Column (2) shows the results of the PSM-DID model.
From the results of PSM-DID, it can be seen that, under the premise of balance hypothesis and common support hypothesis, the coefficient of the interaction is still significantly positive at the level of 1%, and the value of the coefficient is 0.0477, which is essentially consistent with the estimation results of the basic model. This further confirms the conclusion from the basic regression: the tax reduction and exemption policy for high-technology enterprises plays a positive role in improving the firm GVC position, and the incentive effect is greater than the crowding-out effect.

4.3.2. Placebo Test

This study also adopted the placebo test for further verification. The treated group is randomly selected and repeated 1000 times. We compared the real policy effect with the placebo test results of the coefficient, t value and P value.
After randomization, the mean value of the estimated kernel density of the coefficient is −0.000026, and that of the t value is −0.129796. Both of them greatly deviate from their true values (coefficient = 0.048, t = 5.41). The specific diagram of kernel density is shown from Figure 4 and Figure 5.
Figure 6 is a scatter diagram of p values. It can be seen that, after randomization, most of the p values of coefficients are above the dotted line of p = 0.1, indicating that most coefficients are not significant at the level of 10%.
In summary, the robustness of the regression results can further be confirmed by the results of the placebo test, indicating that the effectiveness of the tax reduction and exemption policy for high-technology enterprises on the firm GVC position is not caused by other random factors.

4.3.3. Control Concurrent Policy Impact

To verify the robustness of the basic regression results, we controlled the effect of other parallel policies. We mainly considered two policies: the value-added tax (VAT) reform from 2004 to 2008, and the corporate income tax reform in 2008, because they might affect the regression results since VAT reform was implemented before the implementation of tax reduction and the exemption policy of high-technology enterprises while the corporate income tax reform was implemented at the same time with the policy we studied.
VAT policy is an important method of national macro control, and it mainly refers to the transformation from “production VAT” to “consumption VAT”. In 2004, in order to speed up the revitalization of the old industrial base in the northeast of China, the first choice for VAT reform was eight industries in the three provinces there. After that, it gradually expanded to 26 cities in six central provinces in 2007. In 2008, it continued to expand to five cities in the Inner Mongolia League and the areas badly affected by the Wenchuan earthquake. Until 2009, the consumption-oriented VAT tax system was officially established in China. The main content of the corporate income tax reform is “Two taxes in one” for domestic and foreign-funded firms of China, which is applied to all the firms of China.
To qualify VAT reform, we took 2004, 2007 and 2008 as the three time points of policy impact and set three VAT reform dummies: VAT2004, VAT2007 and VAT2008, which are represented by the interaction of whether they belongs to the pilot region and the pilot industry and whether they are in the effective year of the policy. As for the corporate income tax reform, we set a dummy “income tax” to qualify it, which equals to 1 after 2008 and equals to 0 before 2008.
Table 6 shows the regression results after taking the concurrent policies as control variables. Column (1) shows the results that only controlled the effect of VAT reform, while column (2) shows the results that only controlled the effect of corporate income tax reform, and column (3) shows the results that controlled both the effect of the VAT reform and the effect of the corporate income tax reform. It shows that the coefficients of the interaction are still significantly positive at the level of 1%, which is basically consistent with the basic regression results. The basic estimated results are still robust after considering the effectiveness of concurrent policies.

4.4. Heterogeneity Analysis

In order to further test firm heterogeneity, we divide the entire sample into two subsample groups according to two factors: factor intensity and region.

4.4.1. Heterogeneity of Factor Intensity

Different factor intensities mean different divisions of the labor position in the GVC, so it may affect the GVC position of different firms. The factor intensities of different firms can be mainly divided into three types: labor-intensive firms, capital-intensive firms and technology-intensive firms. Table 7 shows the classification of the factor intensities of the manufacturing industry.
Columns (1) to (3) in Table 8 show the estimation results of three different factor intensities. The results show that the estimated coefficient of labor-intensive firms is significantly positive at the level of 1%, while the estimated coefficient of capital-intensive firms is significantly positive at the level of 5%. The impacts of the policy on labor-intensive firms and capital-intensive firms are significantly greater than technology-intensive firms, and the policy has the greatest impact on labor-intensive firms. This is because labor-intensive firms are responsible for the production of primary components or processing and assembly in the GVC, which means they are more dependent on intermediate inputs. Innovation-intensive policy can encourage firms to perform R&D activities, which can indirectly help reduce the cost of intermediate inputs, i.e., it can help firms climb to the upstream of the GVC.

4.4.2. Heterogeneity of Different Regions

There may be differences in the effectiveness of the tax reduction and exemption policy for high-technology enterprises because of differences in geographical conditions, economic development level, infrastructure, resource endowment and other aspects of different regions. According to the general economic zoning, this paper divides the entire sample into three regional subsample groups: eastern, central and western. Columns (1) to (3) in Table 9 report the test results of different regions. This shows that the coefficient of eastern enterprises is significantly positive at the level of 1%, while the coefficients of central and western enterprises are not significant. In conclusion, the tax reduction and exemption policy for high-technology enterprises significantly improves the GVC position of eastern firms, but the effectiveness on central firms and western firms is not significant; the policy does not play a significant role in improving the GVC position of central and western enterprises.

4.5. Influence Channels

The above basic regression results confirm that the tax reduction and exemption policy for high-technology enterprises has a significant incentive effect on improving the firm GVC position. This section further describes the verification of the mechanism from two approaches: production efficiency and foreign investment. Based on the mediating effect model, the mechanism test is taken with two mediating variables: foreign investment (foreign investment is quantified by the proportion of foreign investment (fdi) of enterprises. The proportion of foreign investment = (the amount of foreign capital of the enterprise + the amount of capital of Hong Kong, Macao and Taiwan)/total paid-up capital) (fdi) and production efficiency (TFP) (this study uses the total factor productivity (TFP) to measure the production efficiency. We applied a fixed effect (FE) to estimate firms’ TFP).
Table 10 shows the results of the mechanism test. Column (1) shows that the coefficient of the interaction is significantly positive at the level of 1%, which means that the policy plays a significant positive role in promoting the production efficiency. The coefficient of the interaction in column (3) decreases from 0.0407 to 0.038 compared with that of the basic regression and is significantly positive at the level of 1%, indicating that TFP has a strong mediating effect on the impact of the policy on the firm GVC position; the production efficiency is able to be the mediating variable.
The results in column (2) show that the coefficient of the interaction is significantly negative at the level of 1%, which means the policy has an inhibitory effect on attracting foreign investment, while the coefficient of fdi in column (4) is significantly negative at the level of 10%, indicating that increasing foreign investment will inhibit the improvement in the firm GVC position, but there is a strong mediating effect, so the proportion of foreign investment is also a reasonable mediating variable. This differs from the above mechanism analysis, showing that the tax reduction and exemption policy for high-technology enterprises improves the firm GVC position by inhibiting foreign investment. A possible explanation is that the entry of foreign investment will intensify the industry-level competition, so that the enterprises with a low productivity cannot survive and eventually leave the market, while the surviving enterprises with a high productivity face the temptation of higher interests and choose to move to the low end of the GVC. Therefore, there is a negative correlation between the increase in foreign investment and the improvement in the firm GVC position. The coefficient of the interaction decreases from 0.0407 to 0.035 in column (4) and is significantly negative at the level of 1%, indicating that the tax reduction and exemption policy for high-technology enterprises has played a positive role in improving the firm GVC position by reducing the proportion of foreign investment.
The coefficient of TFP is significantly positive at a level of 1%, while the coefficient of fdi is significantly negative at a level of 10%, indicating that the tax reduction and exemption policy for high-technology enterprises mainly promotes the firm GVC position by improving the production efficiency.

5. Conclusions

In this paper, we examine the impact of China’s preferential tax policies on the GVC position at a micro level with a multi-period DID estimator, taking the tax reduction and exemption policy for high-technology enterprises as an example, as well as using the CCTs, CIFD, WIOD and a list of recognized high-technology enterprises. We are among the first to study how government indirect innovation policy affects the firm GVC position and shifts the focus from private innovation to the GVC. The main conclusions are summarized as follows.
Firstly, the basic regression results show that the tax reduction and exemption policy for high-technology enterprises has a significant positive impact on the firm GVC position. Secondly, the results of the heterogeneity analysis show that the tax reduction and exemption policy for high-technology enterprises plays a clearer role in improving the GVC position of labor-intensive firms, capital-intensive firms and eastern firms. Finally, the results of the mechanism test indicate that the main mechanism for the tax reduction and exemption policy for high-technology enterprises to improve the firm GVC position is to stimulate growth in production efficiency.
The empirical results of this paper lead to the following conclusions. Since the scientific and technological innovation capability of Chinese enterprises is still at an intermediate and low level around the world, a series of government innovation incentive policies must be relied upon to modernize the industrial chain and reach the high end of the GVC. In order to escape the current dilemma of an insufficient foundation capacity and poor self-dependent innovation ability, we must improve the protection of intellectual property rights. Alternatively, we must strengthen the government’s policy support for high-technology enterprises and encourage them to increase investments in technological innovation through tax reduction and exemption, so that China can improve its foundation capacity and strengthen self-dependent innovation. The results of a firm heterogeneity analysis show that the government should take specific factor intensities and regions into account when formulating policies so that it can maximize their effectiveness.
Finally, we suggest the following improvements and future research directions. (1) Since the Chinese Government’s innovation incentive policies can mainly be divided into two types, direct and indirect, we only studied the effectiveness of tax preference policies, which is the indirect form. Although we made our best effort to guarantee the preciseness of the methods used in the empirical process, possible selective deviation cannot be completely avoided. Therefore, we plan to expand the types of policies to be studied and further systematize innovation incentive policies. (2) The functional upgrading of a country’s exports means that it can expand from processing and manufacturing to R&D management and market services, forming the high-value-added and high-tech links at both ends of the “smile curve” (Meng et al., 2020) [30]. Thus, functional upgrading will help China climb to the high end of the GVC and realize the structural transformation from high-speed growth to high-quality development. In the future, we will investigate the effectiveness of different forms of innovation incentive policies from the perspectives of GVC functional specialization and the domestic value added. (3) Specifically, the effectiveness of government innovation policies may differ between different industries. As mentioned above, it is essential to encourage the development of high-value-added and high-tech industries so that China can realize this transformation and improve its self-dependent innovation. Therefore, we plan to further study how innovation incentive policies affect firms from different industries.

Author Contributions

Conceptualization, M.L., Y.Z. and Z.W.; Methodology, M.L. and Y.Z.; Formal analysis, M.L.; Investigation, M.L.; Data curation, M.L. and Z.W.; Writing—original draft, M.L.; Writing—review & editing, M.L.; Supervision, Y.Z. and Z.W. All authors have read and agreed to the published version of the manuscript.

Funding

This research was funded by [the Major Program of National Fund of Philosophy and Social Science of China] grant number [18ZDA068], [the National Natural Science Foundation of China] grant number [72203058], [Project funded by China Postdoctoral Science Foundation] grant number [2021M701164], and [Project funded by China Postdoctoral Science Foundation] grant number [2022T150204].

Institutional Review Board Statement

Not applicable.

Informed Consent Statement

This research article isn’t a study involving humans.

Data Availability Statement

The data presented in this study are openly available in the WIOD database at wiod.org/home (accessed on 7 December 2021); and the recognized High Technology Enterprises database at www.innocom.gov.cn (accessed on 14 April 2008).

Conflicts of Interest

The authors declare no conflict of interest.

References

  1. Chor, D.; Manova, K.; Yu, Z. The global production line position of Chinese firms. In Proceedings of the Industrial Upgrading and Urbanization Conference, Stockholm, Sweden, 28–29 August 2014; pp. 28–29. [Google Scholar]
  2. Blonigen, B.A. Industrial policy and downstream export performance. Econ. J. 2016, 126, 1635–1659. [Google Scholar] [CrossRef]
  3. Antràs, P.; Chor, D. Global Value Chains; NBER Working Paper; NBER: Cambridge, MA, USA, 2021. [Google Scholar]
  4. Chor, D.; Manova, K.; Yu, Z. Growing like China: Firm performance and global production line position. J. Int. Econ. 2021, 130, 103445. [Google Scholar] [CrossRef]
  5. Koopman, R.; Wang, Z.; Wei, S.J. Tracing value-added and double counting in gross exports. Am. Econ. Rev. 2014, 104, 459–494. [Google Scholar] [CrossRef]
  6. Wang, Z.; Wei, S.J.; Yu, X.; Zhu, K. Characterizing Global Value Chains: Production Length and Upstreamness; National Bureau of Economic Research: Cambridge, MA, USA, 2017. [Google Scholar]
  7. Wang, Z.; Wei, S.J.; Yu, X.; Zhu, K. Global value chains over business cycles. J. Int. Money Financ. 2022, 126, 102643. [Google Scholar] [CrossRef]
  8. Fally, T. Production Staging: Measurement and Facts; University of Colorado Boulder: Boulder, CO, USA, 2012; pp. 155–168. [Google Scholar]
  9. Antràs, P.; Chor, D. Organizing the global value chain. Econometrica 2013, 81, 2127–2204. [Google Scholar]
  10. Antràs, P.; Chor, D.; Fally, T.; Hillberry, R. Measuring the upstreamness of production and trade flows. Am. Econ. Rev. 2012, 102, 412–416. [Google Scholar] [CrossRef]
  11. Miller R, E.; Temurshoev, U. Output upstreamness and input downstreamness of industries/countries in world production. Int. Reg. Sci. Rev. 2017, 40, 443–475. [Google Scholar] [CrossRef]
  12. Antràs, P.; Chor, D. On the Measurement of Upstreamness and Downstreamness in Global Value Chains; NBER Working Paper; NBER: Cambridge, MA, USA, 2018. [Google Scholar]
  13. Tang, Y.; Zhang, P. Research on the GVC position and the change mechanism of Chinese enterprises. Manag. World 2018, 34, 28–46. [Google Scholar]
  14. Montmartin, B.; Herrera, M. Internal and external effects of R&D subsidies and fiscal incentives: Empirical evidence using spatial dynamic panel models. Res. Policy 2015, 44, 1065–1079. [Google Scholar]
  15. Görg, H.; Strobl, E. The effect of R&D subsidies on private R&D. Economica 2007, 74, 215–234. [Google Scholar]
  16. Boeing, P. The allocation and effectiveness of China’s R&D subsidies-Evidence from listed firms. Res. Policy 2016, 45, 1774–1789. [Google Scholar]
  17. Meuleman, M.; De Maeseneire, W. Do R&D Subsidies Affect SMEs’ Access to External Financing; Working Paper; Vlerik Leuven Gent Management School: Ghent, Belgium, 2008. [Google Scholar]
  18. Guo, D.; Guo, Y.; Jiang, K. Government-subsidized R&D and firm innovation: Evidence from China. Res. Policy 2016, 45, 1129–1144. [Google Scholar]
  19. González, X.; Pazó, C. Do public subsidies stimulate private R&D spending? Res. Policy 2008, 37, 371–389. [Google Scholar]
  20. Xin, F.; Zhang, J.; Chen, Z.; Du, X. Do the types of subsidies and firms’ heterogeneity affect the effectiveness of public R&D subsidies? Evidence from China’s Innofund programme. Asian J. Technol. Innov. 2016, 24, 317–337. [Google Scholar]
  21. Lee, C.Y. The differential effects of public R&D support on firm R&D: Theory and evidence from multi-country data. Technovation 2011, 31, 256–269. [Google Scholar]
  22. Xu, E.; Xu, K. A multilevel analysis of the effect of taxation incentives on innovation performance. IEEE Trans. Eng. Manag. 2012, 60, 137–147. [Google Scholar] [CrossRef]
  23. Broekel, T. Do cooperative research and development (R&D) subsidies stimulate regional innovation efficiency? Evidence from Germany. Reg. Stud. 2015, 49, 1087–1110. [Google Scholar]
  24. Hottenrott, H.; Lopes Bento, C.; Veugelers, R. Direct and cross scheme effects in a research and development subsidy program. Res. Policy. 2017, 46, 1118–1132. [Google Scholar] [CrossRef]
  25. Bernini, C.; Pellegrini, G. How are growth and productivity in private firms affected by public subsidy? Evidence from a regional policy. Reg. Sci. Urban Econ. 2011, 41, 253–265. [Google Scholar] [CrossRef]
  26. Timmer, M.P.; Los, B.; Stehrer, R.; de Vries, G.J. Supply chain fragmentation and the global trade elasticity: A new accounting framework. IMF Econ. Rev. 2021, 69, 656–680. [Google Scholar] [CrossRef]
  27. Brandt, L.; Van Biesebroeck, J.; Zhang, Y. Creative accounting or creative destruction? Firm-level productivity growth in Chinese manufacturing. J. Dev. Econ. 2012, 97, 339–351. [Google Scholar] [CrossRef]
  28. Upward, R.; Wang, Z.; Zheng, J. Weighing China’s export basket: The domestic content and technology intensity of Chinese exports. J. Comp. Econ. 2013, 41, 527–543. [Google Scholar] [CrossRef]
  29. Wang, H.; Lv, T. Judicial protection of intellectual property rights and enterprise innovation—A quasi-natural experiment based on the “Three Trials in One” of intellectual property cases in Guangdong Province. Manag. World 2016, 118–133. [Google Scholar]
  30. Meng, B.; Ye, M.; Wei, S.J. Measuring Smile Curves in Global Value Chains. Oxf. Bull. Econ. Stat. 2020, 82, 988–1016. [Google Scholar] [CrossRef]
Figure 1. Parallel trend test.
Figure 1. Parallel trend test.
Sustainability 15 03570 g001
Figure 2. Balance test.
Figure 2. Balance test.
Sustainability 15 03570 g002
Figure 3. Kernel density distribution: (a) before matching; (b)after matching.
Figure 3. Kernel density distribution: (a) before matching; (b)after matching.
Sustainability 15 03570 g003
Figure 4. Distribution of coefficient.
Figure 4. Distribution of coefficient.
Sustainability 15 03570 g004
Figure 5. Distribution of t value.
Figure 5. Distribution of t value.
Sustainability 15 03570 g005
Figure 6. Distribution of p value.
Figure 6. Distribution of p value.
Sustainability 15 03570 g006
Table 1. Main variables and the description.
Table 1. Main variables and the description.
TypeNameSymbolDescription
Explained variableGVC position P it X The GVC position of firm i in the year t
Core explaining variablePolicy dummy innopolicy it × Post t The interaction between policy dummy variables and time dummy variables
Control variablesAge of enterpriseageThe establishing time of the enterprise
Total annual profit of enterpriseTPThe total annual profit of the enterprise, unit: CNY 10,000,000
Industrial Herfindal indexHHIThe calculated Herfindahl index.
Whether it is a foreign-funded enterpriseforeignDummy, when the enterprise is a foreign-funded enterprise, foreign = 1; otherwise, foreign = 0
Whether it is a state-owned enterprisestateDummy, when the enterprise is a state-owned enterprise, state = 1; otherwise, state = 0
Whether it is a private enterpriseprivateDummy, when the enterprise is a private enterprise, private = 1; otherwise, private = 0
Whether it is a collective enterprisecollectionDummy, when the enterprise is a collective enterprise, collection = 1; otherwise, collection = 0
Table 2. Descriptive statistics.
Table 2. Descriptive statistics.
Variable NameMeanStandard DeviationMinimumMaximum
PX2.6460.57805.160
TP1.72343.47−73511,900
Innopolicy i × Post t 0.02410.15301
Age10.228.4160169
State0.04370.20501
Private0.1760.38101
Collection0.04820.21401
Foreign0.5920.49201
HHI0.05460.08720.001981
Table 3. Regression results.
Table 3. Regression results.
Variable(1)(2)(3)(4)(5)(6)(7)(8)
Innopolicy × post 0.0385 ***0.0384 ***0.0392 ***0.0397 ***0.0396 ***0.0397 ***0.0397 ***0.0407 ***
(4.49)(4.48)(4.57)(4.63)(4.61)(4.62)(4.62)(4.75)
Treated0.0792 ***0.0792 ***0.0728 ***0.0727 ***0.0725 ***0.0729 ***0.0729 ***0.0696 ***
(9.84)(9.84)(9.03)(9.00)(8.97)(9.03)(9.03)(8.62)
Time−0.0855 ***−0.0855 ***−0.0860 ***−0.0864 ***−0.0864 ***−0.0864 ***−0.0864 ***−0.0867 ***
(−12.80)(−12.79)(−12.88)(−12.92)(−12.91)(−12.92)(−12.90)(−12.99)
Age −0.0002−0.0002−0.0006 ***−0.0005 ***−0.0006 ***−0.0006 ***−0.0006 ***
(−0.83)(−0.81)(−2.74)(−2.66)(−2.86)(−2.86)(−2.83)
Foreign −0.0439 ***−0.0359 ***−0.0389 ***−0.0359 ***−0.0359 ***−0.0338 ***
(−12.59)(−10.04)(−9.31)(−7.99)(−7.99)(−7.56)
State 0.1001 ***0.0968 ***0.1005 ***0.1006 ***0.0956 ***
(10.68)(10.03)(10.15)(10.16)(9.75)
Private −0.0090 *−0.0055−0.0055−0.0036
(−1.78)(−1.04)(−1.04)(−0.67)
Collection 0.0212 **0.0212 **0.0218 **
(2.41)(2.41)(2.51)
TP −0.0000−0.0000
(−0.03)(−0.31)
HHI 0.2714 ***
(15.99)
Constant2.4352 ***2.4360 ***2.4602 ***2.4523 ***2.4556 ***2.4522 ***2.4522 ***2.4295 ***
(873.64)(824.49)(676.62)(665.23)(576.61)(532.92)(532.93)(507.33)
Firm fixed effectYESYESYESYESYESYESYESYES
Time fixed effectYESYESYESYESYESYESYESYES
Observations360,775360,775360,775360,775360,775360,775360,775360,775
R20.3100.3100.3100.3100.3100.3100.3100.312
Note: robust t-statistics in parentheses; *** p < 0.01, ** p < 0.05, * p < 0.1.
Table 4. Parallel trend results.
Table 4. Parallel trend results.
Variable(1)(2)
Pre_40.022 *0.026 **
(1.68)(2.04)
Pre_30.0150.017
(1.15)(1.34)
Pre_2−0.005−0.003
(−0.43)(−0.25)
Pre_1−0.005−0.004
(−0.42)(−0.28)
Current−0.037 ***−0.035 ***
(−2.87)(−2.68)
Post_1−0.101 ***−0.099 ***
(−7.13)(−6.96)
Post_2−0.046 ***−0.044 ***
(−3.38)(−3.26)
Post_3−0.031 **−0.028 **
(−2.33)(−2.11)
Post_4−0.068 ***−0.064 ***
(−4.99)(−4.70)
Constant2.432 ***2.407 ***
(987.88)(315.84)
Control variablesNOYES
Firm fixed effectYESYES
Time fixed effectYESYES
Observations360,775360,775
R20.3100.312
Note: robust t-statistics in parentheses; *** p < 0.01, ** p < 0.05, * p < 0.1.
Table 5. Regression results of PSM-DID.
Table 5. Regression results of PSM-DID.
Variable(1)(2)
Innopolicy × Post 0.0407 ***0.0477 ***
(4.75)(5.80)
Treated0.0696 ***0.0486 ***
(8.62)(6.05)
Time−0.0867 ***−0.0785 ***
(−12.99)(−12.21)
Age−0.0006 ***−0.0003
(−2.83)(−1.15)
Foreign−0.0338 ***−0.0302 ***
(−7.56)(−6.88)
State0.0956 ***0.1086 ***
(9.75)(10.75)
Private−0.0036−0.0053
(−0.67)(−1.00)
Collection0.0218 **0.0422 ***
(2.51)(4.70)
TP−0.0000−0.0000
(−0.31)(−0.12)
HHI0.2714 ***0.3076 ***
(15.99)(17.63)
Constant2.4295 ***2.4879 ***
(507.33)(495.09)
Firm fixed effectYESYES
Time fixed effectYESYES
Observations360,775332,967
R20.3120.297
Note: robust t-statistics in parentheses; *** p < 0.01, ** p < 0.05.
Table 6. Regression results after controlling concurrent policies.
Table 6. Regression results after controlling concurrent policies.
Variable(1) VAT(2) Income Tax(3) Concurrent Policies
Innopolicy × Post 0.0396 ***0.0407 ***0.0396 ***
(4.62)(4.75)(4.62)
VAT20040.0408 *** 0.0408 ***
(6.84) (6.84)
VAT2007−0.0115 −0.0115
(−1.10) (−1.10)
VAT2008−0.0459 *** −0.0459 ***
(−4.73) (−4.73)
Income tax 0.5630 ***0.5640 ***
(140.20)(140.31)
Control variablesYESYESYES
Firm fixed effectYESYESYES
Time fixed effectYESYESYES
Observations360,775360,775360,775
R20.3130.3120.313
Note: robust t-statistics in parentheses; *** p < 0.01.
Table 7. Industrial classification of factor intensity.
Table 7. Industrial classification of factor intensity.
Type of Factor IntensityIndustries
Labor intensityAgricultural and sideline product processing industry; food manufacturing industry; beverage manufacturing industry; tobacco products industry; textile industry; manufacturing of textile clothing, shoes and hats; leather, fur, feathers (velvet) and their products; wood processing and wood, bamboo, rattan, brown, grass products industry; furniture manufacturing; paper and paper products industry; reproductionof printing and recording media; cultural, educational and sports goods manufacturing industry; metal products industry; arts and crafts and other manufacturing; waste resources and waste materials recycling processing industry.
Capital intensityPetroleum processing, coking and nuclear fuel processing industries; manufacturing of chemical raw materials and chemical products; pharmaceutical manufacturing industry; chemical fiber manufacturing; rubber products industry; plastic products industry; nonmetallic mineral products industry; ferrous metal smelting and rolling industry; nonferrous metal smelting and rolling industry.
Technology intensityGeneral equipment manufacturing; special equipment manufacturing industry; transportation equipment manufacturing industry; electrical machinery and equipment manufacturing; manufacturing of communication equipment, computers and other electronic equipment; instrumentation and cultural; office machinery manufacturing.
Table 8. Estimated results of different factor intensities.
Table 8. Estimated results of different factor intensities.
Variable(1) Labor Intensity(2) Capital Intensity(3) Technology Intensity
Innopolicy × Post 0.085 ***0.036 **0.015
(4.43)(2.31)(1.62)
Control variablesYESYESYES
Firm fixed effectYESYESYES
Time fixed effectYESYESYES
Observations151,70273,998133,751
R20.5660.4170.348
Note: robust t-statistics in parentheses; *** p < 0.01, ** p < 0.05.
Table 9. Estimated results of regions.
Table 9. Estimated results of regions.
Variable(1) Eastern(2) Central(3) Western
Innopolicy × Post 0.049 ***0.037−0.018
(5.29)(0.83)(−0.27)
Control variablesYESYESYES
Firm fixed effectYESYESYES
Time fixed effectYESYESYES
Observations325,73319,3058077
R20.3190.3110.293
Note: robust t-statistics in parentheses; *** p < 0.01.
Table 10. Influence channel test.
Table 10. Influence channel test.
Variable(1) TFP(2) Proportion of
Foreign Investment
(3) GVC Position(4) GVC Position
Innopolicy × Post 0.060 ***−0.019 ***0.038 ***0.035 ***
(2.63)(−3.45)(3.72)(3.49)
TFP 0.005 ***
(5.49)
fdi −0.006 *
(−1.66)
Constant4.964 ***0.498 ***2.411 ***2.416 ***
(227.24)(61.06)(377.10)(269.06)
Control variablesYESYESYESYES
Firm fixed effectYESYESYESYES
Time fixed effectYESYESYESYES
Observations291,328293,426290,562292,639
R20.2140.0150.3480.321
Note: robust t-statistics in parentheses; *** p< 0.01, * p< 0.1.
Disclaimer/Publisher’s Note: The statements, opinions and data contained in all publications are solely those of the individual author(s) and contributor(s) and not of MDPI and/or the editor(s). MDPI and/or the editor(s) disclaim responsibility for any injury to people or property resulting from any ideas, methods, instructions or products referred to in the content.

Share and Cite

MDPI and ACS Style

Li, M.; Zhang, Y.; Wang, Z. Will the Tax Reduction and Exemption Policy for High Technology Enterprises Improve the GVC Position of Chinese Firms? Sustainability 2023, 15, 3570. https://doi.org/10.3390/su15043570

AMA Style

Li M, Zhang Y, Wang Z. Will the Tax Reduction and Exemption Policy for High Technology Enterprises Improve the GVC Position of Chinese Firms? Sustainability. 2023; 15(4):3570. https://doi.org/10.3390/su15043570

Chicago/Turabian Style

Li, Muwu, Yabin Zhang, and Zhenguo Wang. 2023. "Will the Tax Reduction and Exemption Policy for High Technology Enterprises Improve the GVC Position of Chinese Firms?" Sustainability 15, no. 4: 3570. https://doi.org/10.3390/su15043570

APA Style

Li, M., Zhang, Y., & Wang, Z. (2023). Will the Tax Reduction and Exemption Policy for High Technology Enterprises Improve the GVC Position of Chinese Firms? Sustainability, 15(4), 3570. https://doi.org/10.3390/su15043570

Note that from the first issue of 2016, this journal uses article numbers instead of page numbers. See further details here.

Article Metrics

Back to TopTop