Wireless Communication System Performance in M2M Nakagami-m Fading Channel
Abstract
1. Introduction
2. System Model
3. Statistics of M2M Fading Channels
3.1. PDF of the Output SIR
3.2. CDF and Outage Probability of the Output SIR
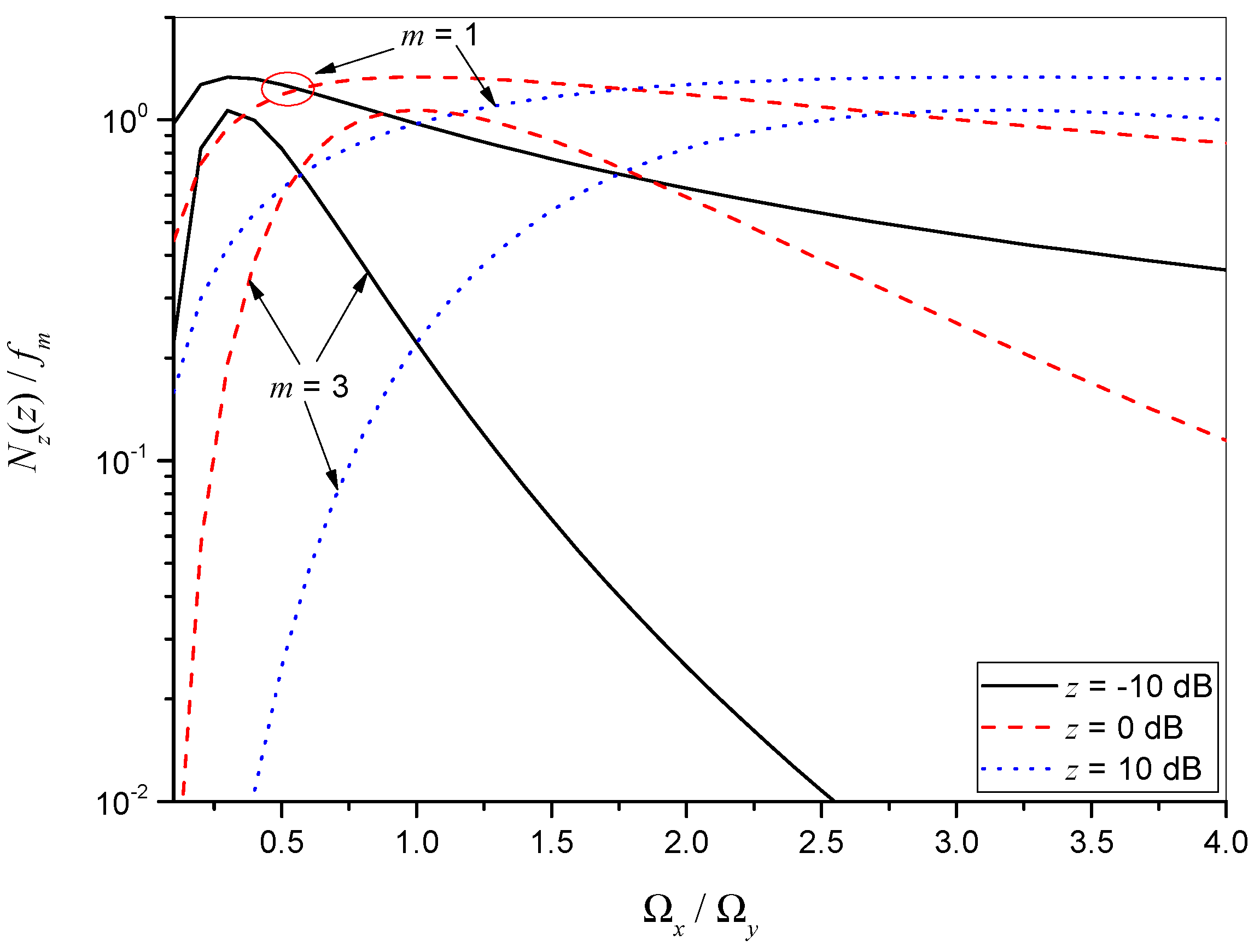
3.3. LCR of the Output SIR
4. Numerical Results
5. Conclusions
Author Contributions
Funding
Institutional Review Board Statement
Informed Consent Statement
Data Availability Statement
Conflicts of Interest
Appendix A
References
- Laneman, J.N.; Tse, D.N.C.; Wornell, G.W. Cooperative Diversity in Wireless Networks: Efficient Protocols and Outage Behavior. IEEE Trans. Inf. Theory 2004, 50, 3062–3080. [Google Scholar] [CrossRef]
- Talha, B.; Patzold, M. Channel Models for Mobile-to-Mobile Cooperative Communication Systems: A State of the Art Review. IEEE Veh. Technol. Mag. 2011, 6, 33–43. [Google Scholar] [CrossRef]
- Benevides da Costa, D.; Ding, H.; Yacoub, M.D.; Ge, J. Two-Way Relaying in Interference-Limited AF Cooperative Networks Over Nakagami- m Fading. IEEE Trans. Veh. Technol. 2012, 61, 3766–3771. [Google Scholar] [CrossRef]
- Suljović, S.; Milić, D.; Panić, S.; Stefanović, Č.; Stefanović, M. Level Crossing Rate of Macro Diversity Reception in Composite Nakagami-m and Gamma Fading Environment with Interference. Digit. Signal Process. 2020, 102, 102758. [Google Scholar] [CrossRef]
- Nguyen, N.T.T.; Vu, M.Q.; Pham, H.T.T.; Dang, B.H.; Dang, N.T. Performance Enhancement of HAP-Based Relaying M -PPM FSO System Using Spatial Diversity and Heterodyne Detection Receiver. J. Opt. Commun. 2021, 42, 111–120. [Google Scholar] [CrossRef]
- Amirabadi, M.A.; Vakili, V.T. Performance Analysis of Hybrid FSO/RFcommunication Systems with Alamouticoding or Antenna Selection. J. Eng. 2019, 2019, 3433–3437. [Google Scholar] [CrossRef]
- Zdravković, N.; Cvetković, A.M.; Milić, D.N.; Đorđević, G.T. Packet Error Rate Analysis of Decode-and-Forward Free-Space Optical Cooperative Networks in the Presence of Random Link Blockage. J. Mod. Opt. 2017, 64, 1657–1668. [Google Scholar] [CrossRef]
- Anees, S.; Harsha, P.S.S.; Bhatnagar, M.R. On the Performance of AF Based Mixed Triple-Hop RF / FSO / RF Communication System. In Proceedings of the IEEE 28th Annual International Symposium on Personal, Indoor, and Mobile Radio Communications (PIMRC), Montreal, QC, Canada, 8–13 October 2017; pp. 1–6. [Google Scholar] [CrossRef]
- Peppas, K.P. A New Formula for the Average Bit Error Probability of Dual-Hop Amplify-and-Forward Relaying Systems over Generalized Shadowed Fading Channels. IEEE Wirel. Commun. Lett. 2012, 1, 85–88. [Google Scholar] [CrossRef]
- Lee, D.; Lee, J.H. Outage Probability for Dual-Hop Relaying Systems With Multiple Interferers Over Rayleigh Fading Channels. IEEE Trans. Veh. Technol. 2011, 60, 333–338. [Google Scholar] [CrossRef]
- Alvi, S.H.; Wyne, S. On Amplify-and-Forward Relaying over Hyper-Rayleigh Fading Channels. Radioengineering 2014, 23, 1226–1233. [Google Scholar]
- Alvi, S.H.; Wyne, S. Error Analysis of Fixed-Gain AF Relaying with MRC Over Nakagami-m Fading Channels. Radioengineering 2016, 25, 106–113. [Google Scholar] [CrossRef]
- Benevides da Costa, D.; Ding, H.; Ge, J. Interference-Limited Relaying Transmissions in Dual-Hop Cooperative Networks over Nakagami-m Fading. IEEE Commun. Lett. 2011, 15, 503–505. [Google Scholar] [CrossRef]
- Soleimani-Nasab, E.; Matthaiou, M.; Karagiannidis, G.K.; Ardebilipour, M. Two-Way Interference-Limited AF Relaying over Nakagami-m Fading Channels. IEEE Glob. Commun. Conf. 2013, 475, 4275–4281. [Google Scholar] [CrossRef]
- Nakagami, M. The M-Distribution—A General Formula of Intensity Distribution of Rapid Fading. In Statistical Methods in Radio Wave Propagation; Elsevier: Amsterdam, The Netherlands, 1960; pp. 3–36. [Google Scholar] [CrossRef]
- Xu, L.; Zhang, H.; Wang, J.; Aaron Gulliver, T. Joint Relay Selection and Power Allocation for AF Relaying M2M Cooperative System. Wirel. Pers. Commun. 2017, 96, 4063–4077. [Google Scholar] [CrossRef]
- Alves, H.; Souza, R.D.; Benevides da Costa, D.; Latva-aho, M. Full-Duplex Relaying Systems Subject to Co-Channel Interference and Noise in Nakagami-m Fading. In Proceedings of the 2015 IEEE 81st Vehicular Technology Conference (VTC Spring), Glasgow, UK, 11–14 May 2015; Volume 2015, pp. 1–5. [Google Scholar] [CrossRef]
- He, W.; Lei, H.; Pan, G. Performance Modeling and Analysis on Conditional DF Relaying Scheme over Nakagami-m Fading Channels with Integral M. AEU-Int. J. Electron. Commun. 2016, 70, 743–749. [Google Scholar] [CrossRef]
- Lee, W.C.Y. Mobile Communications Engineering: Theory and Applications, 2nd ed.; McGraw-Hill Education: New York, NY, USA, 1998. [Google Scholar]
- Cao, Z.; Yao, Y.-D. Definition and Drivation of Level Crossing Rate and Average Fade Duration in an Interference-Limited Environment. In Proceedings of the IEEE 54th Vehicular Technology Conference. VTC Fall 2001. Proceedings (Cat. No.01CH37211), Atlantic, NJ, USA, 7–11 October 2001; Volume 3, pp. 1608–1611. [Google Scholar] [CrossRef]
- Yang, L.; Alouini, M.-S. On the Average Outage Rate and Average Outage Duration of Wireless Communication Systems With Multiple Cochannel Interferers. IEEE Trans. Wirel. Commun. 2004, 3, 1142–1153. [Google Scholar] [CrossRef]
- Patel, C.S.; Stüber, G.L.; Pratt, T.G. Statistical Properties of Amplify and Forward Relay Fading Channels. IEEE Trans. Veh. Technol. 2006, 55, 1–9. [Google Scholar] [CrossRef]
- Zlatanov, N.; Hadzi-Velkov, Z.; Karagiannidis, G.K. Level Crossing Rate and Average Fade Duration of the Double Nakagami-m Random Process and Application in MIMO Keyhole Fading Channels. IEEE Commun. Lett. 2008, 12, 822–824. [Google Scholar] [CrossRef]
- Talha, B.; Patzold, M. On the Statistical Analysis of Equal Gain Combining over Multiple Double Rice Fading Channels in Cooperative Networks. In Proceedings of the 2010 IEEE 72nd Vehicular Technology Conference-Fall, Ottawa, ON, Canada, 6–9 September 2010; pp. 1–5. [Google Scholar] [CrossRef]
- Akram, M.I.; Sheikh, A.U.H. On the Second Order Statistics of Non-Isotropic Nakagami Hoyt Mobile to Mobile Fading Channel. AEU-Int. J. Electron. Commun. 2013, 67, 549–556. [Google Scholar] [CrossRef]
- Milosevic, N.; Stefanovic, C.; Nikolic, Z.; Bandjur, M.; Stefanovic, M. First- and Second-Order Statistics of Interference-Limited Mobile-to-Mobile Weibull Fading Channel. J. Circuits, Syst. Comput. 2018, 27, 1850168. [Google Scholar] [CrossRef]
- Krstic, D.; Głąbowski, M.; Stefanovic, M.; Peric, M. Level Crossing Rate of Ratio of Product of Two Rayleigh and One Nakagami-m Random Variable and of Ratio of Rayleigh and Product of Two Nakagami-m Random Variables. In Proceedings of the 11th International Symposium on Communication Systems, Networks & Digital Signal Processing (CSNDSP), Budapest, Hungary, 18–20 July 2018; pp. 1–6. [Google Scholar] [CrossRef]
- Stefanovic, C.; Milovanovic, I.; Panic, S.; Stefanovic, M. LCR and AFD of the Products of Nakagami-m and Nakagami-m Squared Random Variables: Application to Wireless Communications Through Relays. Wirel. Pers. Commun. 2022, 123, 2665–2678. [Google Scholar] [CrossRef]
- Mekić, E.; Stefanović, M.; Spalević, P.; Sekulović, N.; Stanković, A. Statistical Analysis of Ratio of Random Variables and Its Application in Performance Analysis of Multihop Wireless Transmissions. Math. Probl. Eng. 2012, 2012, 841092. [Google Scholar] [CrossRef]
- Đošić, D.; Milošević, N.; Nikolić, Z.; Dimitrijević, B.; Banđur, M.; Stefanović, M. Statistics of signal to interference ratio process at output of mobile-to-mobile rayleigh fading channel in the presence of cochannel interference. Facta Univ. Ser. Autom. Control Robot. 2017, 16, 185–196. [Google Scholar] [CrossRef]
- Pavlović, D.Č.; Sekulović, N.M.; Milovanović, G.V.; Panajotović, A.S.; Stefanović, M.Č.; Popović, Z.J. Statistics for Ratios of Rayleigh, Rician, Nakagami- m, and Weibull Distributed Random Variables. Math. Probl. Eng. 2013, 2013, 252804. [Google Scholar] [CrossRef]
- Krstic, D.S.; Nikolic, P.B.; Vulic, I.; Minic, S.; Stefanovic, M.C. Performance of the Product of Three Nakagami-m Random Variables. J. Commun. Softw. Syst. 2020, 16, 122–130. [Google Scholar] [CrossRef]
- Sahu, H.K.; Sahu, P.R. Use of Nakagami-m Fading Channel in SSK Modulation and Its Performance Analysis. Wirel. Pers. Commun. 2019, 108, 1261–1273. [Google Scholar] [CrossRef]
- Tsan-Ming, W.; Shiuan-Yuan, T. Sum-of-Sinusoids-Based Simulator for Nakagami-m Fading Channels. In Proceedings of the 2003 IEEE 58th Vehicular Technology Conference. VTC 2003-Fall (IEEE Cat. No.03CH37484), Orlando, FL, USA, 6–9 October 2003; pp. 158–162. [Google Scholar] [CrossRef]
- Vulić, I.; Krstić, D.; Nikolić, P.; Minic, S.; Stefanović, M. Average Fade Duration of Triple Nakagami- m Random Process and Application in Wireless Relay Communication System. In Proceedings of the 4th International Conference on Smart and Sustainable Technologies (SpliTech), Split, Croatia, 18–21 June 2019; pp. 1–5. [Google Scholar] [CrossRef]
- Yang, L.; Hasna, M.O.; Alouini, M.-S. Average Outage Duration of Multihop Communication Systems with Regenerative Relays. IEEE Trans. Wirel. Commun. 2005, 4, 1366–1371. [Google Scholar] [CrossRef]
- Asymptotic approximations of integrals: R. Wong, Academic Press, San Diego, 1989. 543 pp. US $69.95, ISBN 0-12-762535-6. Math. Comput. Simul. 1990, 32, 316. [CrossRef]
- Gradshteyn, I.S.; Ryzhik, I.M. Table of Integrals, Series, and Products, 5th ed.; Academic Press, Inc.: San Diego, CA, USA, 1994. [Google Scholar]
- Akinremi, B.V.; Akintewe, B.; Famuagun, K.S.; Idiong, U.S. On the Application of Fubini’s Theorem in the Integration of Functiions of Two Variables in a Measure Space. Int. J. Adv. Math. Sci. 2013, 1, 78–86. [Google Scholar] [CrossRef]
- Yacoub, M.D.; Bautista, J.E.V.; Guerra de Rezende Guedes, L. On Higher Order Statistics of the Nakagami-m Distribution. IEEE Trans. Veh. Technol. 1999, 48, 790–794. [Google Scholar] [CrossRef]
- Wong, R.R. Asymptotic Approximations of Integrals; Society for Industrial and Applied Mathematics: Philadelphia, PA, USA, 2001. [Google Scholar]








Disclaimer/Publisher’s Note: The statements, opinions and data contained in all publications are solely those of the individual author(s) and contributor(s) and not of MDPI and/or the editor(s). MDPI and/or the editor(s) disclaim responsibility for any injury to people or property resulting from any ideas, methods, instructions or products referred to in the content. |
© 2023 by the authors. Licensee MDPI, Basel, Switzerland. This article is an open access article distributed under the terms and conditions of the Creative Commons Attribution (CC BY) license (https://creativecommons.org/licenses/by/4.0/).
Share and Cite
Nešić, M.; Milošević, N.; Spalević, P.; Nikolić, Z.; Smilić, M. Wireless Communication System Performance in M2M Nakagami-m Fading Channel. Sustainability 2023, 15, 3211. https://doi.org/10.3390/su15043211
Nešić M, Milošević N, Spalević P, Nikolić Z, Smilić M. Wireless Communication System Performance in M2M Nakagami-m Fading Channel. Sustainability. 2023; 15(4):3211. https://doi.org/10.3390/su15043211
Chicago/Turabian StyleNešić, Milutin, Nenad Milošević, Petar Spalević, Zorica Nikolić, and Marko Smilić. 2023. "Wireless Communication System Performance in M2M Nakagami-m Fading Channel" Sustainability 15, no. 4: 3211. https://doi.org/10.3390/su15043211
APA StyleNešić, M., Milošević, N., Spalević, P., Nikolić, Z., & Smilić, M. (2023). Wireless Communication System Performance in M2M Nakagami-m Fading Channel. Sustainability, 15(4), 3211. https://doi.org/10.3390/su15043211

