Alginate-Based Sustainable Green Composites of Polymer and Reusable Birm for Mitigation of Malachite Green Dye: Characterization and Application for Water Decontamination
Abstract
:1. Introduction
2. Materials and Methods
2.1. Preparation of SA@GG@B Novel Composites
2.2. Adsorbent Characterization
2.3. Batch Process
- ➢
- Initial Concentration of the Adsorbate (20–100 ppm),
- ➢
- Amount of Adsorbent (0.3 gm),
- ➢
- PH (3–12), and
- ➢
- Contact Time (30–150 min).
2.4. Kinetics and Isotherm Study
3. Results & Discussion
3.1. Characterization of Adsorbent
3.2. Adsorption Studies
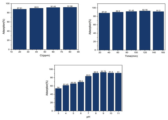
3.2.1. Effect of Initial Concentration
3.2.2. Effect of pH
3.2.3. Effect of Contact Time
3.3. Kinetic and Isothermal Analysis
- k1 is the rate constant of pseudo first-order reaction.
- k2 is the rate constant of pseudo second-order reaction.
3.4. Mode of Adsorption on Composites
3.5. Reusability of Adsorbent
4. Conclusions
Supplementary Materials
Author Contributions
Funding
Institutional Review Board Statement
Informed Consent Statement
Data Availability Statement
Acknowledgments
Conflicts of Interest
References
- Taqui, S.N.; Syed, U.T.; Syed, R.T.; Alqahtani, M.S.; Abbas, M.; Syed, A.A. Bioremediation of Textile Industrial Effluents Using Nutraceutical Industrial Spent: Laboratory-Scale Demonstration of Circular Economy. Nanomaterials 2022, 12, 1684. [Google Scholar]
- Pandit, P.; Singha, K.; Maity, S. Introduction to Advancement in Textile Dyes and Pigments. Text. Dye. Pigment. A Green Chem. Approach 2022, 1. [Google Scholar]
- Benkhaya, S.; M’rabet, S.; El Harfi, A. A review on classifications, recent synthesis and applications of textile dyes. Inorg. Chem. Commun. 2020, 115, 107891. [Google Scholar]
- Parvin, S.; Biswas, B.K.; Rahman, M.A.; Rahman, M.H.; Anik, M.S.; Uddin, M.R. Study on adsorption of Congo red onto chemically modified egg shell membrane. Chemosphere 2019, 236, 124326. [Google Scholar] [PubMed]
- Raval, A.R.; Kohli, H.P.; Mahadwad, O.K. Application of emulsion liquid membrane for removal of malachite green dye from aqueous solution: Extraction and stability studies. Chem. Eng. J. Adv. 2022, 12, 100398. [Google Scholar] [CrossRef]
- Rathi, B.S.; Kumar, P.S. Sustainable approach on the biodegradation of azo dyes: A short review. Curr. Opin. Green Sustain. Chem. 2022, 33, 100578. [Google Scholar] [CrossRef]
- Karimi-Maleh, H.; Beitollahi, H.; Kumar, P.S.; Tajik, S.; Jahani, P.M.; Karimi, F.; Karaman, C.; Vasseghian, Y.; Baghayeri, M.; Rouhi, J. Recent advances in carbon nanomaterials-based electrochemical sensors for food azo dyes detection. Food Chem. Toxicol. 2022, 164, 112961. [Google Scholar]
- Si, J.; Yang, X.; Luan, H.; Shao, Y.; Yao, K. Cheap, fast and durable degradation of azo dye wastewater by zero-valent iron structural composites. J. Environ. Chem. Eng. 2021, 9, 106314. [Google Scholar]
- Raval, N.P.; Shah, P.U.; Shah, N.K. Malachite green “a cationic dye” and its removal from aqueous solution by adsorption. Appl. Water Sci. 2017, 7, 3407–3445. [Google Scholar] [CrossRef]
- Kushwaha, A.K.; Gupta, N.; Chattopadhyaya, M. Removal of cationic methylene blue and malachite green dyes from aqueous solution by waste materials of Daucus carota. J. Saudi Chem. Soc. 2014, 18, 200–207. [Google Scholar] [CrossRef]
- Bilal, M.; Ihsanullah, I.; Hassan Shah, M.U.; Bhaskar Reddy, A.V.; Aminabhavi, T.M. Recent advances in the removal of dyes from wastewater using low-cost adsorbents. J. Environ. Manag. 2022, 321, 115981. [Google Scholar] [CrossRef] [PubMed]
- Dutta, S.; Gupta, B.; Srivastava, S.K.; Gupta, A.K.J.M.A. Recent advances on the removal of dyes from wastewater using various adsorbents: A critical review. Mater. Adv. 2021, 2, 4497–4531. [Google Scholar] [CrossRef]
- van Loosdrecht, M.C.; Brdjanovic, D. Anticipating the next century of wastewater treatment. Science 2014, 344, 1452–1453. [Google Scholar] [CrossRef]
- Chatla, A.; Almanassra, I.W.; Kochkodan, V.; Laoui, T.; Alawadhi, H.; Atieh, M.A.J.C. Efficient removal of eriochrome black T (EBT) dye and chromium (Cr) by hydrotalcite-derived Mg-Ca-Al mixed metal oxide composite. Catalysts 2022, 12, 1247. [Google Scholar]
- Sridhar, A.; Ponnuchamy, M.; Kapoor, A.; Prabhakar, S. Valorization of food waste as adsorbents for toxic dye removal from contaminated waters: A review. J. Hazard. Mater. 2022, 424, 127432. [Google Scholar]
- Singh, A.; Pal, D.B.; Mohammad, A.; Alhazmi, A.; Haque, S.; Yoon, T.; Srivastava, N.; Gupta, V.K. Biological remediation technologies for dyes and heavy metals in wastewater treatment: New insight. Bioresour. Technol. 2022, 343, 126154. [Google Scholar]
- Sichinga, M.C.; Koshani, R.; van de Ven, T.G. Chemisorption of basic fuchsine in packed beds of dialdehyde cellulose fibres. Colloids Surf. A Physicochem. Eng. Asp. 2022, 632, 127726. [Google Scholar] [CrossRef]
- Aprilliza, M. Characterization and Properties of Sodium Alginate from Brown Algae Used as an Ecofriendly Superabsorbent; IOP conference series: Materials science and engineering; IOP Publishing: Bristol, England, 2017; p. 012019. [Google Scholar]
- Becker, A.; Vorhölter, F.-J.; Fjaervik, E.; Kim, D.R.; Seo, M.Y.; Lee, J.O.; Do Ha, S.; Kim, C.-H.; Rhee, S.-K.; Song, J.M.K. Microbial production of biopolymers and polymer precursors. In Xanthan Biosynthesis by Xanthomonas Bacteria: An Overview of the Current Biochemical and Genomic Data; Caister Academic Press: Wymendham, UK, 2009; pp. 1–13. [Google Scholar]
- Mittal, H.; Maity, A.; Ray, S.S. Gum karaya based hydrogel nanocomposites for the effective removal of cationic dyes from aqueous solutions. Appl. Surf. Sci. 2016, 364, 917–930. [Google Scholar]
- Wang, X.; Xu, Q.; Zhang, L.; Pei, L.; Xue, H.; Li, Z. Adsorption of methylene blue and Congo red from aqueous solution on 3D MXene/carbon foam hybrid aerogels: A study by experimental and statistical physics modeling. J. Environ. Chem. Eng. 2023, 11, 109206. [Google Scholar] [CrossRef]
- Wen, Y.; Xie, Z.; Xue, S.; Li, W.; Ye, H.; Shi, W.; Liu, Y. Functionalized polymethyl methacrylate-modified dialdehyde guar gum containing hydrazide groups for effective removal and enrichment of dyes, ion, and oil/water separation. J. Hazard. Mater. 2022, 426, 127799. [Google Scholar] [CrossRef]
- Albrektienė, R.; Rimeika, M.; Petraitytė, V. Research on the efficiency of filter media. Moksl. –Liet. Ateitis/Sci. –Future Lith 2013, 5, 455–460. [Google Scholar]
- Fish, J.T. Groundwater water treatment for iron and manganese reduction and fish rearing studies applied to the design of the Ruth Burnett Sport Fish Hatchery, Fairbanks, Alaska. Aquac. Eng. 2009, 41, 97–108. [Google Scholar]
- Hiiob, M.; Karro, H. Iron in the Middle Devonian aquifer system and its removal at Vıru County water treatment plants, Estonia. Est. J. Earth Sci. 2012, 61, 181–190. [Google Scholar] [CrossRef]
- Ali, N.S.; Jabbar, N.M.; Alardhi, S.M.; Majdi, H.S.; Albayati, T.M. Adsorption of methyl violet dye onto a prepared bio-adsorbent from date seeds: Isotherm, kinetics, and thermodynamic studies. Heliyon 2022, 8, e10276. [Google Scholar] [CrossRef]
- Salameh, Y.; Al-Lagtah, N.; Ahmad, M.; Allen, S.; Walker, G. Kinetic and thermodynamic investigations on arsenic adsorption onto dolomitic sorbents. Chem. Eng. J. 2010, 160, 440–446. [Google Scholar] [CrossRef]
- Xue, H.; Gao, X.; Seliem, M.K.; Mobarak, M.; Dong, R.; Wang, X.; Fu, K.; Li, Q.; Li, Z. Efficient adsorption of anionic azo dyes on porous heterostructured MXene/biomass activated carbon composites: Experiments, characterization, and theoretical analysis via advanced statistical physics models. Chem. Eng. J. 2023, 451, 138735. [Google Scholar] [CrossRef]
- Foo, K.Y.; Hameed, B.H. Insights into the modeling of adsorption isotherm systems. Chem. Eng. J. 2010, 156, 2–10. [Google Scholar] [CrossRef]
- Kouchak, M.; Avadi, M.; Abbaspour, M.; Jahangiri, A.; Boldaji, S.K. Effect of different molecular weights of chitosan on preparation and characterization of insulin loaded nanoparticles by ion gelation method. Int. J. Drug Dev. Res. 2012, 4, 271–277. [Google Scholar]
- Bensalah, H.; Younssi, S.A.; Ouammou, M.; Gurlo, A.; Bekheet, M.F. Azo dye adsorption on an industrial waste-transformed hydroxyapatite adsorbent: Kinetics, isotherms, mechanism and regeneration studies. J. Environ. Chem. Eng. 2020, 8, 103807. [Google Scholar]
- Rausch, J.; Jaramillo-Vogel, D.; Perseguers, S.; Schnidrig, N.; Grobéty, B.; Yajan, P. Automated identification and quantification of tire wear particles (TWP) in airborne dust: SEM/EDX single particle analysis coupled to a machine learning classifier. Sci. Total Environ. 2022, 803, 149832. [Google Scholar] [CrossRef] [PubMed]
- Sun, C.; Müller, E.; Meffert, M.; Gerthsen, D. On the progress of scanning transmission electron microscopy (STEM) imaging in a scanning electron microscope. Microsc. Microanal. 2018, 24, 99–106. [Google Scholar] [PubMed]
- Belskaya, O.B.; Danilova, I.G.; Kazakov, M.O.; Mironenko, R.M.; Lavrenov, A.V.; Likholobov, V.A. FTIR spectroscopy of adsorbed probe molecules for analyzing the surface properties of supported Pt (Pd) catalysts. In Infrared Spectroscopy in Materials Science, Engineering and Technology; Theophile, P.T., Ed.; InTech: London, UK, 2012. [Google Scholar]
- Patel, A.; Schofield, G.M.; Kolt, G.S.; Keogh, J.W. Perceived barriers, benefits, and motives for physical activity: Two primary-care physical activity prescription programs. J. Aging Phys. Act. 2013, 21, 85–99. [Google Scholar] [PubMed]
- Wang, Z.; Tang, X.; Yue, G.; Kang, B.; Xie, C.; Li, X. Physical simulation of temperature influence on methane sorption and kinetics in coal: Benefits of temperature under 273.15 K. Fuel 2015, 158, 207–216. [Google Scholar]
- Chen, Z.; Zhang, J.; Fu, J.; Wang, M.; Wang, X.; Han, R.; Xu, Q. Adsorption of methylene blue onto poly (cyclotriphosphazene-co-4, 4′-sulfonyldiphenol) nanotubes: Kinetics, isotherm and thermodynamics analysis. J. Hazard. Mater. 2014, 273, 263–271. [Google Scholar]
- Alakhras, F.; Ouachtak, H.; Alhajri, E.; Rehman, R.; Al-Mazaideh, G.; Anastopoulos, I.; Lima, E.C.J.S.S. Technology, Adsorptive removal of cationic rhodamine B dye from aqueous solutions using chitosan-derived schiff base. Sep. Sci. Technol. 2022, 57, 542–554. [Google Scholar]
- Ouachtak, H.; El Guerdaoui, A.; Haounati, R.; Akhouairi, S.; El Haouti, R.; Hafid, N.; Addi, A.A.; Šljukić, B.; Santos, D.M.; Taha, M.L.J. Highly efficient and fast batch adsorption of orange g dye from polluted water using superb organo-montmorillonite: Experimental study and molecular dynamics investigation. J. Mol. Liq. 2021, 335, 116560. [Google Scholar] [CrossRef]
- Ouachtak, H.; El Haouti, R.; El Guerdaoui, A.; Haounati, R.; Amaterz, E.; Addi, A.A.; Akbal, F.; Taha, M.L.J.J. Experimental and molecular dynamics simulation study on the adsorption of Rhodamine B dye on magnetic montmorillonite composite γ-Fe2O3@ Mt. J. Mol. Liq. 2020, 309, 113142. [Google Scholar]
- Xiao, X.; Hao, R.; Liang, M.; Zuo, X.; Nan, J.; Li, L.; Zhang, W.J.J. One-pot solvothermal synthesis of three-dimensional (3D) BiOI/BiOCl composites with enhanced visible-light photocatalytic activities for the degradation of bisphenol-A. J. Hazard. Mater. 2012, 233, 122–130. [Google Scholar] [CrossRef]
- Al-Qodah, Z. Adsorption of dyes using shale oil ash. Water Res. 2000, 34, 4295–4303. [Google Scholar]
- Saxena, M.; Sharma, N.; Saxena, R.J.S. Interfaces, Highly efficient and rapid removal of a toxic dye: Adsorption kinetics, isotherm, and mechanism studies on functionalized multiwalled carbon nanotubes. Surfaces Interfaces 2020, 21, 100639. [Google Scholar] [CrossRef]
- Adegoke, H.; Adekola, F.; Abdulraheem, M.N. Kinetic and thermodynamic studies on adsorption of sulphate from aqueous solution by magnetite, activated carbon and magnetite-activated carbon composites. Niger. J. Chem. Res. 2017, 22, 39–69. [Google Scholar]
- Kayan, B.; Kalderis, D.; Kulaksız, E.; Gözmen, B.J.D.W.T. Adsorption of Malachite Green on Fe-modified biochar: Influencing factors and process optimization. Desalination Water Treat. 2017, 74, 383–394. [Google Scholar]







| BET Summary | ||||
|---|---|---|---|---|
| Slope (1/g) | Intercept (1/g) | Correlation Coefficient | , r C Constant | Surface Area |
| 643.057 1/g | 2.730 × 101 1/g | 0.997356 | 24.558 | 5.195 m2/g |
| Adsorption Isotherm | Values of Constant | ||
|---|---|---|---|
| Langmuir Isotherm | Qօ | b | R2 |
| 47.16 | 0.186 | 0.613 | |
| Freundlich Isotherm | KF | n | R2 |
| 9.45 | 4.71 | 0.96 | |
| Dubnin Isotherm | Kad | Qs | R2 |
| 2.522 | 111.41 | 0.814 | |
| Elovich Isotherm | Ke | Qm | R2 |
| 1.167 | 79.36 | 0.969 | |
Disclaimer/Publisher’s Note: The statements, opinions and data contained in all publications are solely those of the individual author(s) and contributor(s) and not of MDPI and/or the editor(s). MDPI and/or the editor(s) disclaim responsibility for any injury to people or property resulting from any ideas, methods, instructions or products referred to in the content. |
© 2023 by the authors. Licensee MDPI, Basel, Switzerland. This article is an open access article distributed under the terms and conditions of the Creative Commons Attribution (CC BY) license (https://creativecommons.org/licenses/by/4.0/).
Share and Cite
Iqbal, N.; Al-Hussain, S.A.; Batool, F.; Mumtaz, A.; Irfan, A.; Noreen, S.; Mustaqeem, M.; Zaki, M.E.A. Alginate-Based Sustainable Green Composites of Polymer and Reusable Birm for Mitigation of Malachite Green Dye: Characterization and Application for Water Decontamination. Sustainability 2023, 15, 3194. https://doi.org/10.3390/su15043194
Iqbal N, Al-Hussain SA, Batool F, Mumtaz A, Irfan A, Noreen S, Mustaqeem M, Zaki MEA. Alginate-Based Sustainable Green Composites of Polymer and Reusable Birm for Mitigation of Malachite Green Dye: Characterization and Application for Water Decontamination. Sustainability. 2023; 15(4):3194. https://doi.org/10.3390/su15043194
Chicago/Turabian StyleIqbal, Nida, Sami A. Al-Hussain, Fozia Batool, Amina Mumtaz, Ali Irfan, Sobia Noreen, Muhammad Mustaqeem, and Magdi E. A. Zaki. 2023. "Alginate-Based Sustainable Green Composites of Polymer and Reusable Birm for Mitigation of Malachite Green Dye: Characterization and Application for Water Decontamination" Sustainability 15, no. 4: 3194. https://doi.org/10.3390/su15043194
APA StyleIqbal, N., Al-Hussain, S. A., Batool, F., Mumtaz, A., Irfan, A., Noreen, S., Mustaqeem, M., & Zaki, M. E. A. (2023). Alginate-Based Sustainable Green Composites of Polymer and Reusable Birm for Mitigation of Malachite Green Dye: Characterization and Application for Water Decontamination. Sustainability, 15(4), 3194. https://doi.org/10.3390/su15043194

