Thermal Performance Optimization of Multiple Circuits Cooling System for Fuel Cell Vehicle
Abstract
:1. Introduction
2. Model Establishment and Thermal Performance Verification
2.1. Temperature Control Structure
2.2. Thermal Characteristics Model
2.2.1. PEMFC Heating Model
- (1)
- Nernst Open Circuit Voltage Enet
- (2)
- Activation Polarization Voltage Vact
- (3)
- Ohmic Polarization Voltage Vohm
- (4)
- Concentration Polarization Voltage Vcon
2.2.2. MCCS Heat Dissipation Model
2.3. Wind Characteristics Model
2.3.1. Radiator Wind Resistance Model
2.3.2. Radiator Cooling Fan Model
- (1)
- Air Volume of Fan
- (2)
- Wind Pressure of Fan
2.4. Water Characteristics Model
2.4.1. Radiator Water Resistance Model
2.4.2. Electric Water Pump Model
2.5. Thermal Performance Simulation
2.5.1. Three-Dimensional Flow Field Simulation
2.5.2. One-Dimensional Flow Field Simulation
3. Thermal Performance Optimization
3.1. Sensitivity Analysis
3.1.1. Main and Auxiliary Cooling Circuit Flow Distribution
3.1.2. Distance between Radiator and Fan
3.2. Thermal Performance Optimization Model
3.3. Thermal Performance Optimization Design
3.4. Thermal Performance Optimization Results
4. Thermal Performance Optimization Experimental Vehicle Verification
4.1. Experimental Objects
4.2. Experimental Equipment
4.3. Experimental Method
4.4. Experimental Results
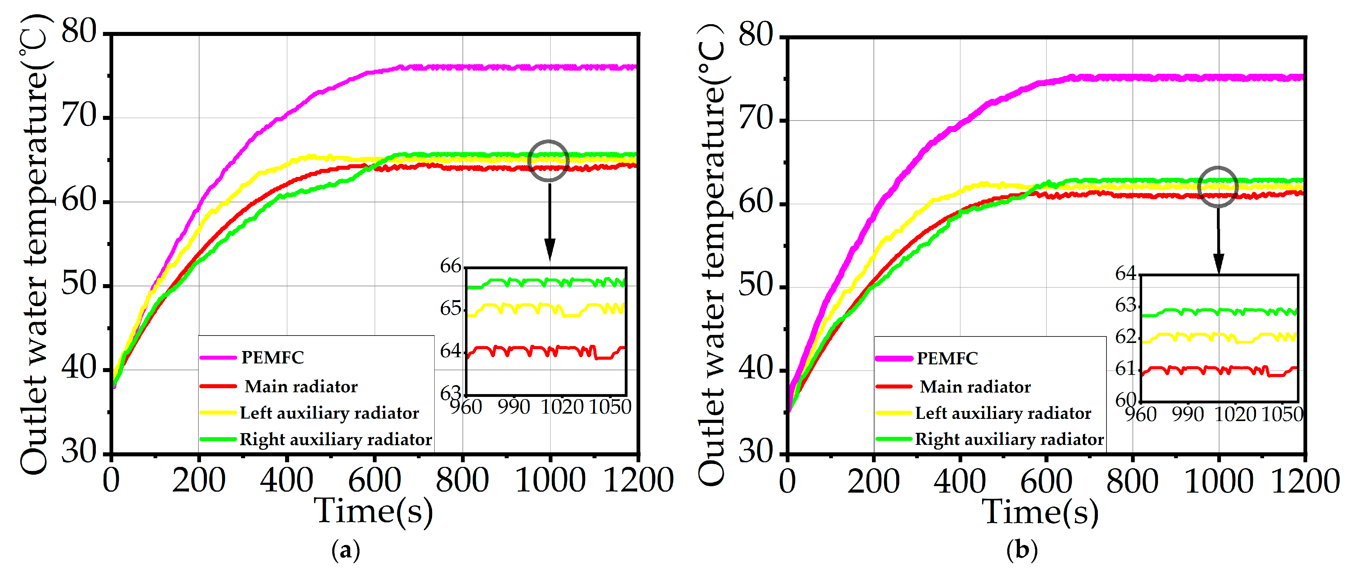
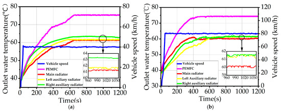
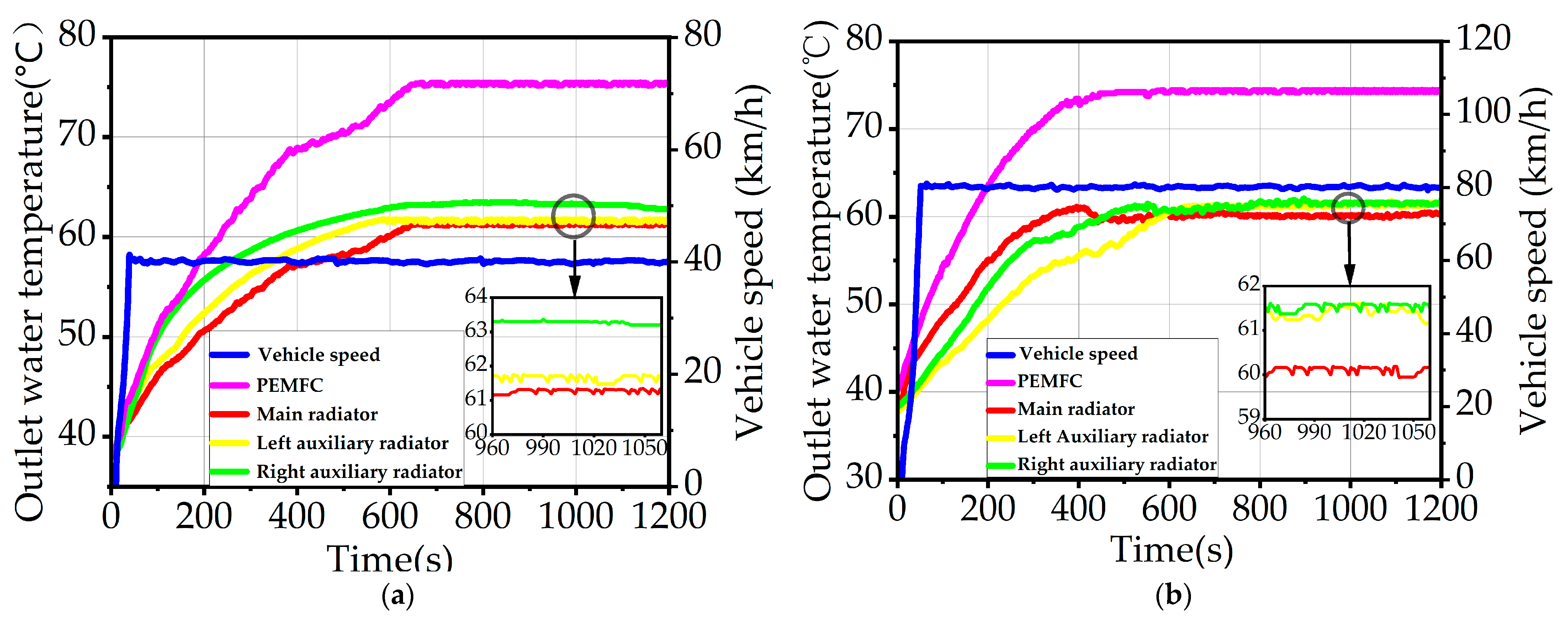
4.4.1. Idling Charging Condition
4.4.2. Uniform Speed Condition
5. Conclusions
Author Contributions
Funding
Institutional Review Board Statement
Informed Consent Statement
Data Availability Statement
Conflicts of Interest
References
- Yuan, Z.; Chuai, W.; Guo, Z.; Tu, Z.; Kong, F. Thermal Layout Analysis and Design of Direct Methanol Fuel Cells on PCB Based on Novel Particle Swarm Optimization. Micromachines 2019, 10, 641. [Google Scholar] [CrossRef] [PubMed]
- Hu, D.; Liu, J.; Yi, F.; Yang, Q.; Zhou, J. Enhancing heat dissipation to improve efficiency of two-stage electric air compressor for fuel cell vehicle. Energy Convers. Manag. 2021, 251, 115007. [Google Scholar] [CrossRef]
- Zhang, Y.; Zhang, C.; Huang, Z.; Xu, L.; Liu, Z.; Liu, M. Real-Time Energy Management Strategy for Fuel Cell Range Extender Vehicles Based on Nonlinear Control. IEEE Trans. Transp. Electrif. 2019, 5, 1294–1305. [Google Scholar] [CrossRef]
- Cheng, S.; Hu, D.; Hao, D.; Yang, Q.; Wang, J.; Feng, L.; Li, J. Investigation and analysis of proton exchange membrane fuel cell dynamic response characteristics on hydrogen consumption of fuel cell vehicle. Int. J. Hydrogen Energy 2022, 47, 15845–15864. [Google Scholar] [CrossRef]
- Li, M.; Bai, Y.; Zhang, C.; Song, Y.; Jiang, S.; Grouset, D.; Zhang, M. Review on the research of hydrogen storage system fast refueling in fuel cell vehicle. Int. J. Hydrogen Energy 2019, 44, 10677–10693. [Google Scholar] [CrossRef]
- Hu, D.; Hou, W.; Hu, L.; Yang, L.; Yang, Q.; Zhou, J. Optimal operation region of super-high-speed electrical air compressor in fuel cell system for working stability under multiple-time scale excitation. Int. J. Hydrogen Energy 2021, 46, 20054–20064. [Google Scholar] [CrossRef]
- Song, Y.; Zhang, C.; Ling, C.-Y.; Han, M.; Yong, R.-Y.; Sun, D.; Chen, J. Review on current research of materials, fabrication and application for bipolar plate in proton exchange membrane fuel cell. Int. J. Hydrogen Energy 2019, 45, 29832–29847. [Google Scholar] [CrossRef]
- Hu, D.; Yang, L.; Yi, F.; Hu, L.; Yang, Q.; Zhou, J. Optimization of speed response of super-high-speed electric air compressor for hydrogen fuel cell vehicle considering the transient current. Int. J. Hydrogen Energy 2021, 46, 27183–27192. [Google Scholar] [CrossRef]
- Li, Y.; Chang, G.; Zhao, W. Experimental Investigation on the Operating Characteristics of Flat-Plate CLPHP for PEMFC Cooling. World Electr. Veh. J. 2021, 12, 116. [Google Scholar] [CrossRef]
- Rezk, H.; Fathy, A. Performance Improvement of PEM Fuel Cell Using Variable Step-Size Incremental Resistance MPPT Technique. Sustainability 2020, 12, 5601. [Google Scholar] [CrossRef]
- Xiong, S.; Wu, Z.; Li, W.; Li, D.; Zhang, T.; Lan, Y.; Zhang, X.; Ye, S.; Peng, S.; Han, Z.; et al. Improvement of Temperature and Humidity Control of Proton Exchange Membrane Fuel Cells. Sustainability 2021, 13, 10578. [Google Scholar] [CrossRef]
- He, T.; Shi, R.; Peng, J.; Zhuge, W.; Zhang, Y. Waste Heat Recovery of a PEMFC System by Using Organic Rankine Cycle. Energies 2016, 9, 267. [Google Scholar] [CrossRef]
- Hu, D.; Wang, Y.; Li, J.; Yang, Q.; Wang, J. Investigation of optimal operating temperature for the PEMFC and its tracking control for energy saving in vehicle applications. Energy Convers. Manag. 2021, 249, 114842. [Google Scholar] [CrossRef]
- Xu, J.; Zhang, C.; Fan, R.; Bao, H.; Wang, Y.; Huang, S.; Chin, C.S.; Li, C. Modelling and control of vehicle integrated thermal management system of PEM fuel cell vehicle. Energy 2020, 199, 117495. [Google Scholar] [CrossRef]
- Zhang, Q.; Xu, L.; Li, J.; Ouyang, M. Performance prediction of proton exchange membrane fuel cell engine thermal management system using 1D and 3D integrating numerical simulation. Int. J. Hydrog. Energy 2018, 43, 1736–1748. [Google Scholar] [CrossRef]
- Xing, L.; Xiang, W.; Zhu, R.; Tu, Z. Modeling and thermal management of proton exchange membrane fuel cell for fuel cell/battery hybrid automotive vehicle. Int. J. Hydrogen Energy 2021, 47, 1888–1900. [Google Scholar] [CrossRef]
- Zhang, Q.; Tong, Z.; Tong, S.; Cheng, Z. Research on performance of liquid drive fan cooling system for hydrogen fuel cell forklift. Int. J. Hydrogen Energy 2022, 47, 9690–9705. [Google Scholar] [CrossRef]
- Zhu, R.; Xing, L.; Tu, Z. Simulations and analysis of high-temperature proton exchange membrane fuel cell and its cooling system to power an automotive vehicle. Energy Convers. Manag. 2022, 253, 115182. [Google Scholar] [CrossRef]
- Philip, N.; Ghosh, P.C. A generic sizing methodology for thermal management system in fuel cell vehicles using pinch analysis. Energy Convers. Manag. 2022, 269. [Google Scholar] [CrossRef]
- Fly, A.; Thring, R. A comparison of evaporative and liquid cooling methods for fuel cell vehicles. Int. J. Hydrogen Energy 2016, 41, 14217–14229. [Google Scholar] [CrossRef]
- Su, C.-Q.; Sun, J.-F.; Meng, G.-D.; Liu, X.; Wang, Y.-P. Thermal management control strategy of liquid-cooled fuel cell vehicle. Energy Rep. 2022, 8, 141–153. [Google Scholar] [CrossRef]
- Kim, J.; Lee, S.-M.; Srinivasan, S.; Chamberlin, C.E. Modeling of Proton Exchange Membrane Fuel Cell Performance with an Empirical Equation. J. Electrochem. Soc. 1995, 142, 2670–2674. [Google Scholar] [CrossRef]
- Amphlett, J.C.; Baumert, R.M.; Mann, R.F.; Peppley, B.A.; Roberge, P.R.; Harris, T.J. Performance Modeling of the Ballard Mark IV Solid Polymer Electrolyte Fuel Cell: I. Mechanistic Model Development. J. Electrochem. Soc. 1995, 142, 1–8. [Google Scholar] [CrossRef]
- Wu, D.; Peng, C.; Yin, C.; Tang, H. Review of System Integration and Control of Proton Exchange Membrane Fuel Cells. Electrochem. Energy Rev. 2020, 3, 466–505. [Google Scholar] [CrossRef]
- Mann, R.F.; Amphlett, J.C.; Hooper, M.A.I.; Jensen, H.M.; Peppley, B.A.; Roberge, P.R. Development and application of a generalised steady-state electrochemical model for a PEM fuel cell. J. Power Sources 2000, 86, 173–180. [Google Scholar] [CrossRef]
- Li, Q.; Chen, W.; Wang, Y.; Jia, J.; Han, M. Nonlinear robust control of proton exchange membrane fuel cell by state feedback exact linearization. J. Power Sources 2009, 194, 338–348. [Google Scholar] [CrossRef]
- Nguyen, T.V.; White, R.E. A Water and Heat Management Model for Proton-Exchange-Membrane Fuel Cells. J. Electrochem. Soc. 2019, 140, 2178–2186. [Google Scholar] [CrossRef]
- Rowe, A.; Li, X. Mathematical modeling of proton exchange membrane fuel cells. J. Power Sources 2001, 102, 82–96. [Google Scholar] [CrossRef]
- Pathapati, P.; Xue, X.; Tang, J. A new dynamic model for predicting transient phenomena in a PEM fuel cell system. Renew. Energy 2005, 30, 1–22. [Google Scholar] [CrossRef]
- Sun, T.-S.; Chen, S.; Sun, H.; Li, J. Simulation analysis on thermal management characteristics of proton-exchange-membrane fuel-cell engine. J. Chongqing Univ. 2022, 1–13. Available online: http://kns.cnki.net/kcms/detail/50.1044.N.20220105.1341.004.html (accessed on 23 December 2022).
- Wang, Y.-X.; Qin, F.-F.; Ou, K.; Kim, Y.-B. Temperature Control for a Polymer Electrolyte Membrane Fuel Cell by Using Fuzzy Rule. IEEE Trans. Energy Convers. 2016, 31, 667–675. [Google Scholar] [CrossRef]
- Tang, P.; Qi, Z.; Qian, M.; Yi, L. Temperature modeling and control of 5kW proton exchange membrane fuel cell system. In Proceedings of the IEEE International Conference on Information and Automation (ICIA), Ningbo, China, 1–3 August 2016. [Google Scholar]
- Chen, F.; Yu, Y.; Gao, Y. Temperature Control for Proton Exchange Membrane Fuel Cell based on Current Constraint with Consideration of Limited Cooling Capacity. Fuel Cells 2017, 17, 662–670. [Google Scholar] [CrossRef]
- Lin, Z. Research on Thermal Management System of Proton Exchange Membrane Fuel Cell. Master’s Thesis, Beijing Jiaotong University, Beijing, China, 2021. [Google Scholar]
- Han, J.; Yu, S.; Yi, S. Advanced thermal management of automotive fuel cells using a model reference adaptive control algorithm. Int. J. Hydrogen Energy 2017, 42, 4328–4341. [Google Scholar] [CrossRef]
- Li, J. Thermal Management Design, Simulation and Optimization of Full-power Fuel Cell Vehicle Power System. Master’s Thesis, Wuhan University of Technology, Wuhan, China, 2020. [Google Scholar]
- Jin, L. Heat Transfer Model and Validation for Diesel Engine Cooling Systems of Heavy Duty Commercial Vehicles. Master’s Thesis, Shanghai Jiao Tong University, Shanghai, China, 2010. [Google Scholar]











| Part | Surface Average Wind Speed |
|---|---|
| Condenser | 6.08 m/s |
| Main radiator | 5.76 m/s |
| Left auxiliary radiator | 4.15 m/s |
| Right auxiliary radiator | 4.54 m/s |
| Part | Air Volume | Inlet Water Temperature | Outlet Water Temperature | Outlet Air Temperature |
|---|---|---|---|---|
| Main radiator | 0.96 kg/s | 78.54 °C | 64.10 °C | 61.74 °C |
| Left auxiliary radiator | 1.13 kg/s | 78.54 °C | 65.72 °C | 63.82 °C |
| Right auxiliary radiator | 1.22 kg/s | 78.54 °C | 66.84 °C | 63.73 °C |
| Part | Radiator Coolant Flow Increment 100% | Water Temperature Decrement 100% | Absolute Value of Water Temperature Decrease | Sensitivity Value |
|---|---|---|---|---|
| Main radiator | 0% | 0.00% | 0 | 0 |
| 10% | 0.48% | 0.31 | 3.10 | |
| 20% | 1.15% | 0.74 | 3.70 | |
| 30% | 1.71% | 1.16 | 3.87 | |
| Auxiliary radiator | 0% | 0.00% | 0 | 0 |
| 10% | 0.43% | 0.28 | 2.80 | |
| 20% | 0.85% | 0.57 | 2.85 | |
| 30% | 1.38% | 0.91 | 3.03 |
| 100% Increase in Distance between Radiator and Fan | 100% Reduction in Water Temperature | Absolute Value of Water Temperature Drop | Sensitivity Value |
|---|---|---|---|
| 0% | 0.00% | 0 | 0 |
| 10% | 1.34% | 0.86 | 8.60 |
| 20% | 2.35% | 1.51 | 7.55 |
| 30% | 3.34% | 2.14 | 7.13 |
| Increase Distance between Radiator and Fan (mm) | Air Intake of Main Radiator (kg/s) | Air Intake of Left Auxiliary Radiator (kg/s) | Air Intake of Right Auxiliary Radiator (kg/s) | Total Air Intake of Fan (kg/s) | Air Intake of Radiator Increases Total Specific Gravity |
|---|---|---|---|---|---|
| 0 | 0.960 | 1.130 | 1.220 | 0.813 | 0 |
| 10 | 0.968 | 1.136 | 1.224 | 0.832 | 1.890% |
| 20 | 0.974 | 1.142 | 1.235 | 0.843 | 3.749% |
| 30 | 0.981 | 1.154 | 1.241 | 0.846 | 6.032% |
| 40 | 0.976 | 1.149 | 1.238 | 0.851 | 4.825% |
| K | 1 | 2 | 3 | 4 |
|---|---|---|---|---|
| R | 0.6724 | 0.9617 | 0.9943 | 0.999937 |
| η | η1 | 4η1 | 9η1 | 16η1 |
| Project | A Main Radiator Air Intake Speed | B Auxiliary Radiator Air Intake Speed | C Main Radiator Core Area | D Auxiliary Radiator Core Area | E Water Pump Speed Ratio | F Heating Pipe Diameter |
|---|---|---|---|---|---|---|
| Level 1 | 6.00 m/s | 4.60 m/s | 0.52 m2 | 0.43 m2 | 1.35 | 15.8 mm |
| Level 2 | 6.25 m/s | 4.75 m/s | 0.58 m2 | 0.46 m2 | 1.52 | 12.0 mm |
| Controllable Factor | Ai | Bi | Ci | Di | Ei | Fi | Water Temperature/°C | S/N |
|---|---|---|---|---|---|---|---|---|
| Plan 1 | 1 | 1 | 1 | 1 | 1 | 1 | 77.35 | −37.77 |
| Plan 2 | 1 | 1 | 1 | 2 | 2 | 2 | 76.45 | −37.67 |
| Plan 3 | 1 | 2 | 2 | 1 | 1 | 2 | 75.00 | −37.50 |
| Plan 4 | 1 | 2 | 2 | 2 | 2 | 1 | 76.62 | −37.69 |
| Plan 5 | 2 | 1 | 2 | 1 | 2 | 1 | 77.91 | −37.83 |
| Plan 6 | 2 | 1 | 2 | 2 | 1 | 2 | 78.76 | −37.93 |
| Plan 7 | 2 | 2 | 1 | 1 | 2 | 2 | 75.32 | −37.54 |
| Plan 8 | 2 | 2 | 1 | 2 | 1 | 1 | 78.87 | −37.94 |
| Controllable Factors | Ai | Bi | Ci | Di | Ei | Fi | Water Temperature/°C |
|---|---|---|---|---|---|---|---|
| Plan 9 | 2 | 2 | 1 | 2 | 2 | 2 | 74.26 |
| Plan 10 | 2 | 1 | 1 | 2 | 1 | 1 | 74.63 |
| Loop | Flow | Water Resistance |
|---|---|---|
| Total circuit | 200.07 L/min | 36.14 kPa |
| Main radiator circuit | 72.36 L/min | 28.32 kPa |
| Left auxiliary radiator circuit | 63.58 L/min | 32.62 kPa |
| Right auxiliary radiator circuit | 64.13 L/min | 33.72 kPa |
| Part | Air Volume | Water Temperature | Water Temperature | Outlet Temperature |
|---|---|---|---|---|
| Main radiator | 1.26 kg/s | 74.26 °C | 62.37 °C | 60.83 °C |
| Left auxiliary radiator | 1.57 kg/s | 74.26 °C | 63.54 °C | 61.94 °C |
| Right auxiliary radiator | 1.62 kg/s | 74.26 °C | 64.19 °C | 62.35 °C |
| Vehicle Condition | Full Power Idle Charging | Half Power Idle Charging | Uniform Speed 40 km/h | Uniform Speed 80 km/h |
|---|---|---|---|---|
| Main radiator coolant flow rate (L/min) | 74.21 | 73.96 | 73.45 | 73.84 |
| Left auxiliary radiator flow rate (L/min) | 64.15 | 65.28 | 65.71 | 65.41 |
| Right auxiliary radiator flow rate (L/min) | 65.74 | 66.13 | 65.86 | 66.39 |
| PEMFC inlet water temperature (°C) | 66.23 | 64.46 | 64.63 | 62.05 |
| PEMFC outlet water temperature (°C) | 76.05 | 75.18 | 75.35 | 74.53 |
| Ambient temperature of the vehicle (°C) | 38 | 38 | 38 | 38 |
| Liquid-air temperature difference of each radiator (°C) | 50 | 50 | 50 | 50 |
| Air intake grill wind speed in front cabin (m/s) | 2.24 | 2.23 | 6.57 | 10.03 |
| Outlet water temperature of main radiator (°C) | 64.09 | 61.05 | 61.26 | 60.16 |
| Outlet water temperature of left auxiliary radiator (°C) | 65.03 | 62.04 | 61.65 | 61.52 |
| Outlet water temperature of right auxiliary radiator (°C) | 65.65 | 62.84 | 63.25 | 61.55 |
Disclaimer/Publisher’s Note: The statements, opinions and data contained in all publications are solely those of the individual author(s) and contributor(s) and not of MDPI and/or the editor(s). MDPI and/or the editor(s) disclaim responsibility for any injury to people or property resulting from any ideas, methods, instructions or products referred to in the content. |
© 2023 by the authors. Licensee MDPI, Basel, Switzerland. This article is an open access article distributed under the terms and conditions of the Creative Commons Attribution (CC BY) license (https://creativecommons.org/licenses/by/4.0/).
Share and Cite
Huang, H.; Ding, H.; Hu, D.; Cheng, Z.; Qiu, C.; Shen, Y.; Su, X. Thermal Performance Optimization of Multiple Circuits Cooling System for Fuel Cell Vehicle. Sustainability 2023, 15, 3132. https://doi.org/10.3390/su15043132
Huang H, Ding H, Hu D, Cheng Z, Qiu C, Shen Y, Su X. Thermal Performance Optimization of Multiple Circuits Cooling System for Fuel Cell Vehicle. Sustainability. 2023; 15(4):3132. https://doi.org/10.3390/su15043132
Chicago/Turabian StyleHuang, Hao, Hua Ding, Donghai Hu, Zhaoxu Cheng, Chengyun Qiu, Yuran Shen, and Xiangwen Su. 2023. "Thermal Performance Optimization of Multiple Circuits Cooling System for Fuel Cell Vehicle" Sustainability 15, no. 4: 3132. https://doi.org/10.3390/su15043132
APA StyleHuang, H., Ding, H., Hu, D., Cheng, Z., Qiu, C., Shen, Y., & Su, X. (2023). Thermal Performance Optimization of Multiple Circuits Cooling System for Fuel Cell Vehicle. Sustainability, 15(4), 3132. https://doi.org/10.3390/su15043132

