Abstract
Crude glycerol is the main byproduct of biodiesel manufacturing from oleaginous crops and other biomass-derived oils. Approximately 10% crude glycerol is produced with every batch of biodiesel. Worldwide, there is a glut of glycerol and the price of it has decreased considerably. There are real opportunities for valorizing crude glycerol into higher value-added chemicals which can improve the economic viability of biodiesel production as an alternative fuel. Exploring new potential applications of glycerol in various sectors is needed such as in pharmaceuticals, food and beverages, cosmetics, and as a transportation fuel. However, crude glycerol produced directly from biodiesel often contains impurities that hinder its direct industrial usage and thus, a refining process is needed which is typically expensive. Hence, this review reports on current upgrading crude glycerol technologies—thermo-, bio-, physico-, and electrochemical approaches—that valorize it into higher value-added chemicals. Through comparison between those viable upgrading techniques, future research directions, challenges, and advantages/disadvantage of the technologies are described. Electrochemical technology, which is still underdeveloped in this field, is highlighted, due to its simplicity, low maintenance cost, and it working in ambient condition, as it shows promising potential to be applied as a major glycerol upgrading technique.
1. Introduction
Renewable energy is a rapidly developing industry in order to reduce the dependence on fossil fuels, oil, and natural gas as main resources for energy generation. In addition to energy savings, the shift to a civilization powered by renewable energy sources including waste, solar, wind, biomass, tidal, wave, and geothermal energy becomes an even more significant option in global use of energy. Based on the International Energy Agency (IEA) [1] report at the COP26 Climate Change Conference, it is anticipated that between 2021 and 2026, there will be a 50% increase in renewable capacity compared to the period between 2015 and 2020 which is due to aggressive support from government policies towards clean energy goals and the replacement of non-renewable fossil fuels. Renewable energy sources are anticipated to increase at the quickest rate of all energy sources according to the World Energy Outlook [2]. Furthermore, this type of energy is also expected to dominate two-thirds of the total global primary energy supply in 2050 based on the REmap Case, held in Abu Dhabi [3]. Municipal solid waste (MSW), including biomass and plastic waste, is the only energy source in this spectrum that is based on carbon. Figure 1 illustrates a breakdown of renewables in the energy sector, where the key role of bioenergy (30%) [3] comprised of biomass industry, biomass buildings, liquid biofuels and biogas as well as biomass power, which is mainly sourced from biomass and waste. Hence, there is much potential for further analysis for green energy development.
Figure 1.
Percentage of total final energy consumption by renewables, according to the IRENA’s Remap CASE 2050 (%). Note: Excludes non-energy use. DH refers to district heat. CSP refers to concentrated solar power. PV refers to photovoltaic. Source: [3].
Crude glycerol, which is widely produced as a byproduct of biodiesel production, has become of particular interest as a potential feedstock to convert into value-added biofuels, e.g., bio ethanol [4,5], green methanol [6], bio propane [7], and hydrogen [8,9]. Several publications report that glycerol yield is between 10 and 20% of the overall amount of biodiesel synthesized. In other words, for every 100 kg of biodiesel produced, roughly 10 kg of glycerol is also generated [10]. According to the most recent figures available, European Union (EU) countries recorded annual biodiesel production increased from 3.7 million tons of oil in 2006 to approximately 11 million tons of oil in 2015 and forecasted to increase slightly by 2050 [11]. This level of production will yield more than 1.2 million tons of crude glycerol as the main co-product. Given that crude glycerol exhibits poor characteristics including low heating value (16–22 MJ/kg), high oxygen content (52 wt.%), and poor combustion performance, the expanding biodiesel production in the future will undoubtedly result in an increasing supply and disposal problem. When disposed without proper treatment, there will be social and environmental problems, as along with glycerol, biodiesel washing wastewaters, methanol, and solid byproducts are also generated [12]. According to Nitayavardhana and Khanal [13], large scale biodiesel producers mainly valorized the solid bio-residues as compost or animal food whereas the crude glycerol was refined into pure form and utilized for commercial uses. However, the refinement process of crude glycerol is expensive and economically unviable [13]; as a result, many studies have been reported on crude glycerol upgrading into various valuable byproducts. Thus, researchers and industrialists believe that this approach will improve the economics of biodiesel by reducing its manufacturing costs.
Thus, there is a growing number of research papers to examine alternative technologies to improve crude glycerol into higher quality fuels with lower capital costs that are environmentally benign. Interest in this subject has been growing rapidly by the frequency of publications from 2010 to 2022 as shown in Figure 2. The number of publications of upgrading crude glycerol via biological approaches is the highest, more than 1152 studies. From previous studies, it is mentioned that this kind of technology is favored because of cheap start-up and running costs as well as mild operating conditions. However, the longer reaction time, high solvent usage, and complexity in handling microorganisms which act as biocatalysts are the main drawbacks. Moreover, the number of studies using physicochemical methods was reported as more than 479 published articles. Works relating to esterification, transesterification, and etherification of crude glycerol were prominent techniques to emulsify blended fuels from crude glycerol which can be directly used as transportation fuels. However, several hindrances do affect their development including the challenges to scale up the methodologies as batch processes to an industrial scale. Additionally, due to the high oxygen concentration of feedstock and the time-consuming process [14,15], esterification and transesterification are still insufficient as a single process for upgrading crude glycerol.
Figure 2.
Number of publications about crude glycerol upgrading from 2010 to 2022. The Web of Science (WoS) search engine was used for the data collection by using specific key words. For thermochemical approaches, “(gasification OR pyrolysis OR supercritical water OR catalytic pyrolysis OR microwave assisted pyrolysis OR steam reforming OR aqueous phase reforming) AND crude glycerol” was applied. For biological approaches, “(fermentation OR microbial conversion) AND crude glycerol” was used. For physicochemical methods, “(emulsification OR esterification OR transesterification OR etherification) AND crude glycerol” was applied, and for electrochemical techniques, “(electrochemical OR electrocatalyst OR electrooxidation) AND crude glycerol” was utilized for the search.
Compared to other technologies, thermochemical technologies have been created and used conventionally. Almost 299 published studies have been recorded between 2010 and 2022 that investigate the efficiency of pyrolysis, gasification, supercritical water reforming, and aqueous phase reforming processes in valorizing waste/crude glycerol into various chemicals. Thermochemical approaches have been widely used in upgrading crude glycerol in industrial scale. However, its relatively high process temperature and pressure, increased manufacturing costs, and complex maintenance costs for long-term uses are the current knowledge gaps within this upgrading process. Plus, to some extent, there are needs for additional hydrogen external supply, microwave radiation heater, and use of expensive catalysts depending on intended end-products, which make it less favorable in terms of technoeconomic availability. On the other hand, electrochemical techniques are currently being explored as the number of works are increasing, as observed in Figure 2. There are only around 46 literature studies that have been reported which is due to this electrochemical crude glycerol upgrading technology still being underdeveloped and facing various issues. Thus, there is significant need to further study and compare the applicability of each mechanism to be applied in the industrial scale of crude glycerol upgrading.
In this review, glycerol is first explained in terms of its properties and commercialized production methodologies. In the second part, the recent works on the various upgrading technologies of crude glycerol are discussed to present an overall view of the present state of available technologies—thermo-, bio-, physico-, and thermochemical approaches, their advantages and disadvantages, and pathways for improvements. Next, with the overview, the list of end-products produced via different approaches was also recorded and its further applications discussed. This review also aims to investigate and discuss the highly promising methodology of the electrochemical approach which is expected to successfully address the barriers to crude glycerol upgrading, according to the available research studies in the literature, via its low processing cost and ambient condition with high performance.
2. Glycerol and Its Properties
Referred to both as propane-1, 2, 3-triol and glycerin, glycerol is a basic trihydroxy sugar alcohol, shown in Figure 3, which was identified in 1779 by Swedish scientist Carl Wilhelm Scheele. Three hydrophilic hydroxyl groups bonded to carbon make up polyhydric alcohol glycerol, a feature that makes it stable, with diverse reactions and functions [16]. Glycerol is currently employed in the manufacturing of a variety of food and drink products, as a solvent for food flavors and colors, medical products, personal hygiene products, fuel additives, and anti-freeze chemicals.
Figure 3.
The structure of glycerol.
Table 1 displays physicochemical properties of glycerol as collected from numerous publications which shows glycerol has a high boiling point, is water-soluble, compatible with the majority of organic and inorganic chemicals, translucent, practically colorless, odorless, viscous, non-toxic, and hygroscopic. Additionally, glycerol has received a lot of interest as a “green solvent” in synthetic organic chemistry due to its remarkable physical and chemical properties.
Table 1.
Physicochemical properties of glycerol [16,17,18].
Glycerol can be found in three different forms: commercially produced glycerol, purified/refined glycerol, and crude/waste glycerol. The purity of refined and synthesized glycerol is higher than that of crude glycerol. While synthetic glycerol is produced in a separate way, often from propene, crude and pure glycerol are byproducts of the manufacturing of biodiesel. According to Table 2, due to its lower degree of purity (60–80%), compared to refined and synthetic glycerol, crude glycerol cannot be utilized in delicate products such as food, medicine, and cosmetics [19]. Similarly, there may be significant amounts of ash, soap, and moisture in crude glycerol. Crude glycerol has a slightly higher acidity than the other types of glycerol. Its darker hue may be caused by the aforementioned quality as well as a few other small contaminants.
Table 2.
Comparison of commercial, refined, and crude glycerol [19].
3. Various Glycerol Resources
As biodiesel production increases in the future, the glycerol surplus that emerges is being examined for potential uses. Today, however, a number of glycerol production pathways have been identified, including the saponification process (traditional soap manufacturing), obtained as a significant byproduct in the biodiesel process (the production of fatty acid ester), waste oil products, and biodiesel technology wastewater. Each of these pathways is produced through a different chemical reaction, as shown in Figure 4. In addition, glycerol can also be produced through glucose hydrogenolysis and biological fermentation, both of which are more practical and involve lower production costs [20]. The earlier synthetic glycerol manufacturing from propylene became economically unattractive as a result of these developments in glycerol production; in addition, rising crude oil prices also contributed to its demise [21].
Figure 4.
Glycerol production by (a) saponification process, (b) transesterification of biodiesel processes, and (c) hydrolysis of fat and oils.
3.1. Saponification of Soap Manufacturing
Crude glycerol has reportedly been found to contain glycerol, fatty acids, and salts during the reaction of saponification of triglycerides, including fats and oils. Within this reaction, the triglycerides are hydrolyzed with an alkali (sodium hydroxide (NaOH)) and produced two main products: salts of fatty acids (commonly known as soap) and glycerol [22]. The alkali breaks the ester bonds during the saponification reaction, generating soap of alkali metal (RCOONa) and glycerol. According to Figure 4a, one molecule of triglyceride interacts with three molecules of alkali to produce one molecule of glycerol while creating three molecules of soap. Caustic alkali spontaneously combines with free fatty acids in the presence of adequate mixing and agitation, instantly forming soap. A small amount of NaCl, precipitated impurities, free alkali, soluble soap, and 35% glycerol make up filtered soap.
Industrial soap-making method is based on this saponification mechanism, which also serves as the industry’s cornerstone. Glycerol typically accounts for around 10% of the value of the soap produced during the manufacturing process of fats and oils [23]. Thus, to optimize the economics of large-scale soap manufacture, better reaction pathways and conditions are needed, along with effective glycerol purification.
3.2. Crude Glycerol from Transesterification of Biodiesel Production
Due to its plentiful supply and inexpensive market value of about $312 (US) or ¥44,000 (JP) per ton, crude glycerol makes an intriguing substrate for bio-production. During the transesterification reaction within the biodiesel production, with the help of significant catalysts, one mole of triglyceride reacts with alcohol such as methanol to produce three moles of biodiesel and one mole of glycerol, as a byproduct. Both reactants are easily distinguished at the end of the transesterification reaction due to their different in density and polarity. The reaction stream separates into these two phases which are rich in glycerol (bottom layer) and biodiesel (top layer) [24].
3.3. Hydrolysis Reactions in Oleochemical Plants
Hydrolysis of fats and oils can produce the appropriate fatty acid and glycerol. Within this methodology, a fatty acid is liberated from the glycerol backbone of a triglyceride during the reversible process of hydrolysis, plus, glycerol compound also generated [25]. According to Gunstone [26], the hydrolysis reaction results in the production of a light phase made up of fatty acids and a heavy phase made up of glycerol and impurities. The glycerol byproduct needs to be continuously eliminated and collected for the reaction to end. The collected crude glycerol is mostly composed of glycerol, water, free fatty acids, and other impurities such undissolved triglycerides, organic and inorganic salts, and other organic materials. Therefore, in order to manufacture high grade glycerol, it is important to employ purification methods to eliminate impurities from the solution, following a similar scenario to crude glycerol yielded from saponification and transesterification process.
3.4. Biodiesel Technology Wastewater
According to Guo et al. [27], it is possible to produce glycerol from wastewater from enzymatic biodiesel technology. In this study, wastewater that included 5% glycerol underwent alkali treatment, vacuum distillation, and colloidal removal in order to collect glycerol that was up to 90.43% pure. Then, glycerol triacetate was produced using high purity glycerin and acetic acid. Glycerol and acetic acid combine to form glycerol triacetate assisted by catalyst phosphotungstic acid [27]. Thus, a yield of more than 90% glycerol triacetate is produced in 6 h. With this study, the issue of waste disposal during the production of biodiesel can be resolved, and high-value market items were also produced. Hence, this kind of effort can be a possible way to decrease the production cost of biodiesel and increase its techno economical value.
3.5. Synthetic Glycerol
Glycerol synthetically was manufactured from propylene in a number of ways, albeit typically not economical. The most crucial step is the epichlorohydrin procedure, which requires chlorinating propylene to produce allyl chloride, which is then oxidized with hypochlorite to produce dichlorohydrins, which are then reacted with a strong base to produce epichlorohydrin [17]. Glycerol is then produced by hydrolyzing this epichlorohydrin. The production of glycerol from acrolein and propylene oxide is one of the chlorine-free techniques using propylene [28]. Figure 5 shows the chemical reaction that happens within synthetic glycerol production.
Figure 5.
Reaction pathways for production of synthetic glycerol. Reproduced with permission of Ref. [17].
The market for synthetic glycerol is faltering as a result of the massive production of glycerol derived from fats and oils via aforementioned pathways [29,30]. Synthetic processes are therefore not profitable. Recently, glycerol derived from refined crude glycerol has been overproduced; hence efforts are being made to transform it into various high value-added chemicals and other chemical precursors.
4. Glycerol Upgrading
Since glycerol is available as a comparatively low-cost, high-volume biomass-derived waste, the valorization of crude glycerol which is underutilized is necessary for the economic viability of biodiesel manufacturing and waste fats/oil mass production. Due to its non-toxic, edible, biodegradable, and multifunctional qualities, glycerol is one of the top building block chemicals for organic synthesis from biomass [20]. The highly desirable molecule glycerol is utilized to make a wide range of beneficial chemical intermediates. Traditionally, one of the primary technologies for valorizing crude glycerol was through direct combustion approach. Such practice is inconvenient due to the production of acrolein, a hazardous combustion product of crude glycerol with low boiling point (53 °C) and high autoignition temperature (234 °C), and excess salt content [18]. When compared to other feedstocks, the volatile organic compound (VOC) emissions were notably greater, albeit with swirl refractory burners. Owing to its toxic potential, the acrolein produced throughout this technique has caused a lot of environmental concern [31]. Additionally, this technique of valorization falls short of utilizing full prospects of crude glycerol, which may be exploited through different high-end technologies.
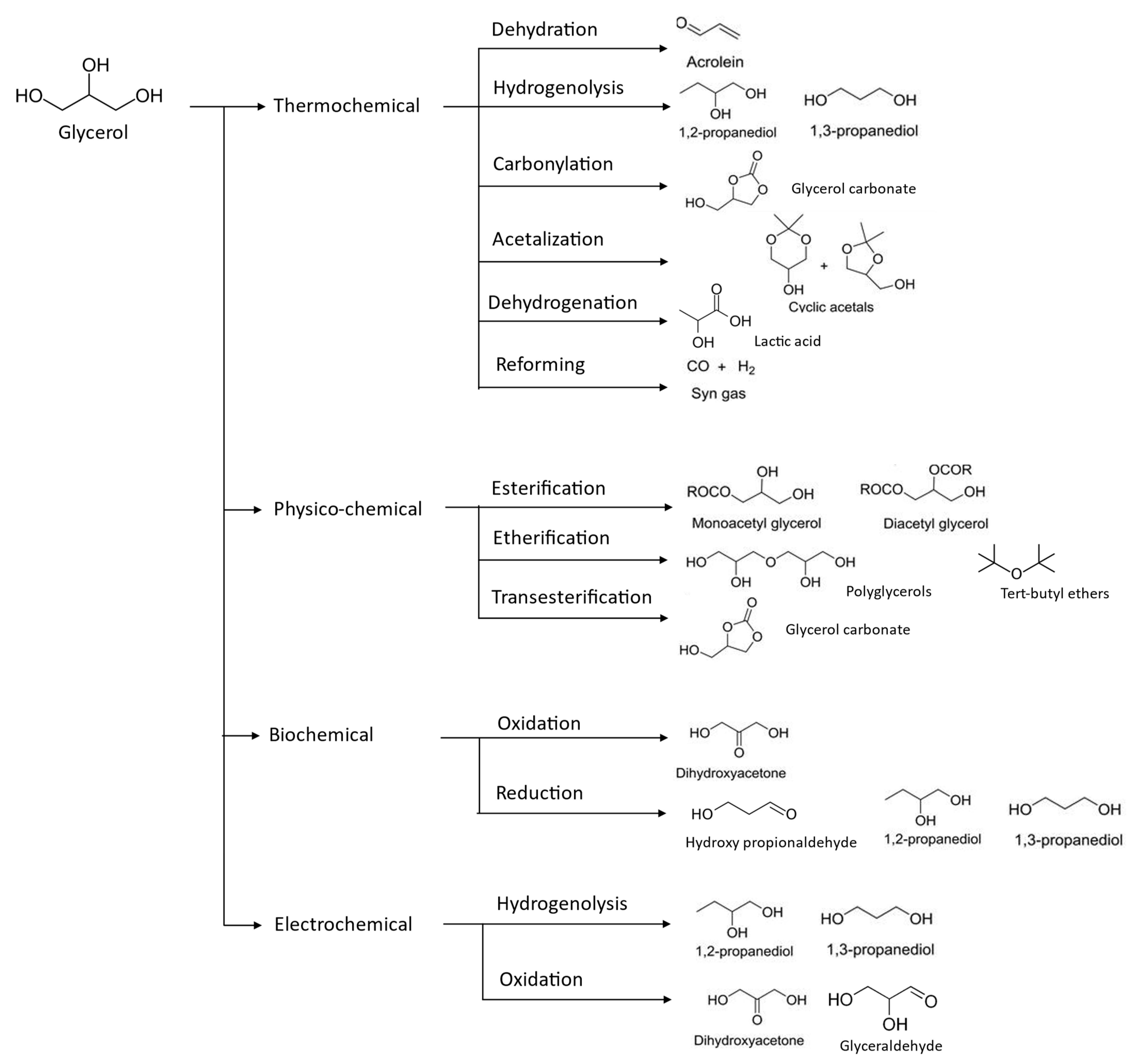
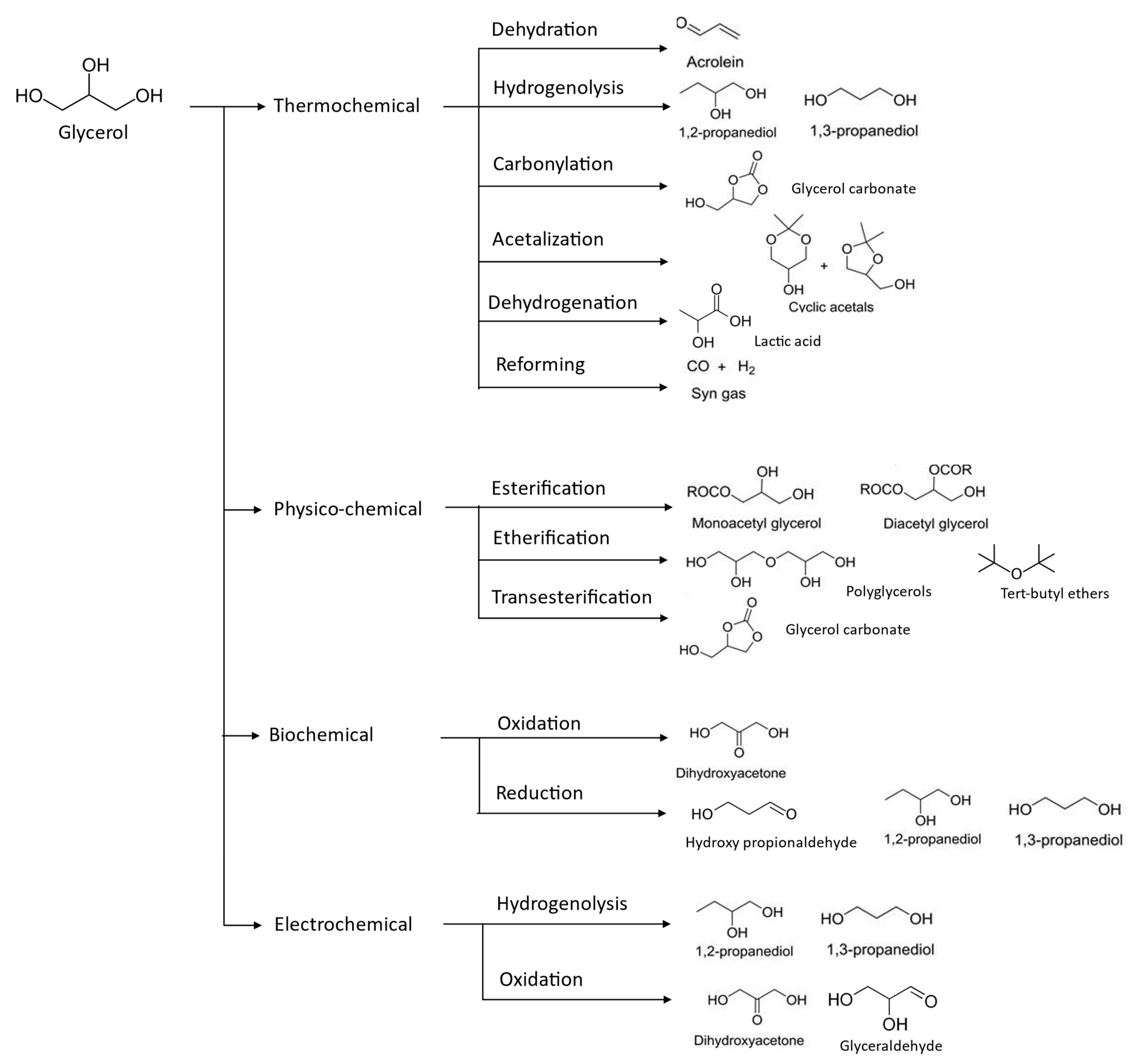
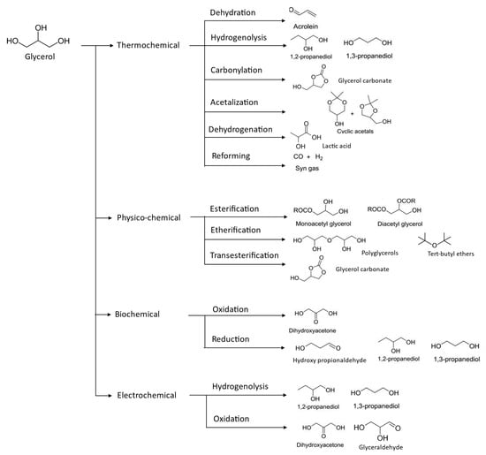
In this regard, extensive research has been conducted over the past ten years on the chemical conversion of glycerol into specialized compounds with high added value [21]. Additionally, because glycerol has a high degree of functionalization, it can be used as a precursor for the production of a variety of common chemicals, including syngas, alkenes, alcohols, diols, ethers, acids, esters, acrylates, and even polyglycerols by the use of a variety of processes, involving thermochemical approaches of pyrolysis, biological techniques—fermentation and microbial conversion, physicochemical methods of etherification, trans- and esterification, electro oxidation, hydrogenolysis, dehydration, carboxylation, halogenation, polymerization, and glycerol acetalization [32], as depicted in Figure 6. Thus, in this section, existing glycerol upgrading technologies will be summarized and compared in terms of its state-of-the-art, intended end-products, conversion efficiency, and their process condition. Table 3 displays the summary of recent research and development for crude glycerol upgrading which will be further discussed.
Figure 6.
Valorization of glycerol compounds into various intended end-products through different chemical reaction.
Table 3.
Summary of current approach for crude glycerol upgrading.
4.1. Biochemical Approaches
4.1.1. Microbial Fermentation—Anaerobic and Aerobic Digestion
Crude glycerol can also be converted biologically by fermenting with various microbial biocatalysts including yeast, fungi, bacteria, mixed culture from wastewater, and microalgae under aerobic or anaerobic conditions to produce valuable chemicals. Recent studies have concentrated on using crude glycerol as a carbon source in microbial fermentation to produce green compounds and other platform chemicals [40,69,84]. Thus, such bioconversions via biochemical approaches with the aid of microbes are a promising resource and subsequently enhances the techno economical value of the biodiesel industry. Some advantages of biological conversion via aerobic or anaerobic fermentation are due to their superior yield, selectivity, and product recovery [85]. However, due to factors including pathogenicity, stringent anaerobic conditions, contaminants in the substrate, and lower kinetic reaction which have resulted in longer reaction times may impair their growth and conversion rates. Plus, the capacity for these organisms to be manufactured at an industry scale may also hinder their further application. In this subsection, different microbial species used in upgrading crude glycerol into various high value-added products have been summarized as displayed in Table 4.
- 1.
- Bacteria
Clostridium, Klebsiella, Komagataella, Lactobacillus, Lipomyces, Escherichia, Candida, and Raoultella are a few often used glycerol-consuming species of bacteria used to manufacture valuable products either in aerobic, anaerobic, or microaerobic condition [85]. The oxidative and reductive metabolic pathways, which also result in the formation of organic acids and alcohols, are used to assimilate glycerol [86]. Clostridium butyricum [86,87,88,89] and pasteurianam [90,91,92], Klebsiella oxytoca [93,94] and pneumonia [38,95,96,97,98], Citrobacter freundii [99,100] and werkmanii [101], Lactobacillus diolivorans [102], Enterobactor sp. [39] as well as engineered Escherichia coli [103,104,105] have been widely utilized in glycerol conversion into 1,2- and 1,3-PDO. From the aforementioned previous studies of various bacteria, it can be summarized that high PDO yields have been recorded, approximately 0.62–1.09 mol/mol glycerol, with inconsistent process productivity of 0.92–10.3 g/L/h [87,88,89,90,106]. Tang et al. [105] have fabricated an engineered E. coli with additional genes for the production of 1,3-PDO, B12-independent glycerol dehydratase (DhaB1), and its activating factor (DhaB2) from C. butyricum. The final PDO yield, productivity, and conversion rate recorded were 1.09 mol/mol, 2.61 g/L/h and 90.2% (g/g), respectively. Johnson and Rehmann [91] investigated the effect of decreasing pH during fermentation of crude glycerol with C. pasteurianum which led to the decreased in cell growth rate, CO2 production, and slower fermentations, thus resulting in higher butanol and PDO yields in a continuous process.
Table 4.
Recent studies on microbial fermentation of crude glycerol into valuable products based on the type of microbes utilized.
Table 4.
Recent studies on microbial fermentation of crude glycerol into valuable products based on the type of microbes utilized.
| Microbes | Strain | Outcomes | Ref. | |
|---|---|---|---|---|
| End-Products | Yield (mol/mol Glycerol) | |||
| Bacteria | ||||
| Clostridium butyricum VPI 1718 | 1,3-PDO | 0.55 | [87] | |
| C. butyricum VPI 3266 | 1,3-PDO | 0.65 | [88] | |
| C. butyricum DSM 10702 | 1,3-PDO | 0.51 | [86] | |
| C. butyricum AKR102a | 1,3-PDO | 0.52 | [89] | |
| C. pasteurianum | 1,3-PDO | 0.17 | [91] | |
| C. pasteurianum | Butanol | 0.65 | [92] | |
| C. pasteurianum | n-butanol | 0.28 | [90] | |
| C. pasteurianum | n-butanol | 0.43 | [106] | |
| Clostridium sp. Strain CT7 | Butanol | 0.40 | [107] | |
| Klebsiella oxytoca | 1,3-PDO | 0.47 | [93] | |
| K. oxytoca | 1,3-PDO | 0.53 | [94] | |
| K. pneumonia DSMZ 2026 | 1,3-PDO | 0.42 | [38] | |
| K. pneumonia mutant | 1,3-PDO | 0.53 | [96] | |
| K.pneumonia ATCC 8724 | 1,3-PDO | 0.73 | [98] | |
| K.pneumonia M5al | 1,3-PDO | 0.53 | [95] | |
| K. pneumonia | 2-butanol | 0.01 | [108] | |
| Citrobacter freundii AD970 | 1,3-PDO | 0.49 | [100] | |
| C. freundii FMCC-B294 | 1,3-PDO | 0.48 | [99] | |
| C. werkmanii DSM17579 | 1,3-PDO | 0.62 | [101] | |
| Lactobacillus brevis N1E9.3.3 | 1,3-PDO | 0.89 | [102] | |
| L. reuteri CH53 | 1,3-PDO | 0.83 | [109] | |
| L. casei NCIM 2125 | Lactic acid | 0.16 | [110] | |
| Enterobacter sp. Strain MU-01 | 1,3-PDO | 0.24 | [39] | |
| E. aerogenes TISTR 1468 | Ethanol | 0.59 | [5] | |
| Escherichia coli | 1,2-PDO | 0.21 | [103] | |
| E. coli K-12 ER2925 | 1,3-PDO | 0.90 | [105] | |
| E. coli | n-butanol | 0.35 | [42] | |
| E. coli | D-lactic acid | 0.85 | [111] | |
| E. coli | L-lactic acid | 0.93 | [112] | |
| E. coli AC-521 | Lactic acid | 0.88 | [113] | |
| E. coli SS1 | Bioethanol | 0.88 | [37] | |
| E. coli SS1 | Ethanol | 1.0 | [114] | |
| Other bacteria and mixed culture | ||||
| Komagataella phafii Glpard | Lactic acid | 0.67 | [115] | |
| Pachysolen tannophilus | Ethanol | 0.56 | [36] | |
| Rhodopseudomonas palustris CGA009 | H2 | 0.60 | [116] | |
| Paenibacillus macerans | H2 | 0.81 | [117] | |
| Thermoanaerobacterium sp. | H2 | 0.30 | [8] | |
| Mixed culture | H2 | 0.52 | [118] | |
| Mixed culture | H2 | 0.96 | [41] | |
| Fungi | ||||
| Lentinula edodes | SCO | 0.10 | [84] | |
| Aspergillus niger | Oxalic acid | 0.62 | [84] | |
| Galactomyces geotrichum | SCO | 0.44 | [119] | |
| Thamnidium elegans | SCO | 0.48 | [87] | |
| Yeast | ||||
| Saccharomyces cerevisiae | D-lactic acid | 0.80 | [34] | |
| S. cerevisiae | Ethanol | 0.12 | [120] | |
| Yarrowia lipolytica NG40/UV7 | Citric acid | 0.90 | [121] | |
| Y. lipolytica NG40/UV5 | Citric acid | 0.90 | [122] | |
| Y. lipolytica A-101–1.22 | Citric acid | 0.64 | [123] | |
| Y. lipolytica | Succinic acid | 0.45 | [124] | |
| Microalgae | Schizochytrium limacium SR21 | Docosahexanoic acid | 0.23 | [125] |
For lactic acid generation, engineered E. coli has been widely used in converting crude glycerol as an alternative to nicotinamide adenine dinucleotide (NAD+) regeneration in the absence of external electron acceptors [112]. The biological route of crude glycerol upgrading to lactic acid assisted by microbes stimulates the development of one specific configuration of either D- or L-, because of the excellent selectivity of lactate dehydrogenase (LDH) [33]. Based on Mazumdar et al. [111,112], E. coli has been engineered to improve its efficiency towards the conversion of glycerol to D- and L-lactic acid under microaerobic and anaerobic conditions. The overall yield of 0.85 and 0.93 mol/mol glycerol has been recorded for D- and L-lactic acid, respectively, with 34 g/L and 50 g/L of each final concentration, whereas Hong et al. [126] utilized E. coli AC-521 to transform glycerol into lactic acid under the aerobic condition at optimized fermentation conditions of 42 °C, pH 6.5, and 0.85 min−1 (KLA). The overall lactic acid concentration and glycerol consumption peaked at 88 h of fermentation, resulting in 86.0 g/L lactic acid yield with 0.97 g/L/h productivity as well as a yield of 0.9 mol/mol glycerol. Other than E. coli, there are also studies relating to the utilization of L. casei NCIM 2125 [110], K. phafii Glpard [115], and yeast S. cerevisiae [34] under fed-batch fermentation for lactic acid production.
The potential butanol producer, according to previous studies [90,106], C. pasteurianam under optimal condition can generate 0.43 mol/mol of butanol with 0.074 g/L/h of process productivity in 120 h using crude glycerol as a substrate. In a different study by Saini et al. [42], E. coli was used to assist the fermentation of crude glycerol into butanol with 0.35 mol/mol of butanol yield. Several type of bacteria were also utilized in the production of ethanol via fermentation of crude glycerol which includes E. coli SS1 [114], E. aerogenes TISTR 1468 [5], Pachysolen tannophilus [36], and engineered K. pneumonia [108] where they resulted in 1.00, 0.59, 0.56, and 0.89 mol/mol product yields, respectively. In addition, there is also a study of glycerol upgrading aided by Saccharomyces cerevisiae yeast [120] with an overall yield of 2.4 g/L ethanol recorded which proves the possibility of yeast in ethanol production.
- 2.
- Microbial mixed cultures and other bacteria
Mixed culture communities have also been studied for their potential to upgrade crude glycerol into other value-added products which include hydrogen gas and PHAs. According to the literature review, the production of H2 was dominantly covered by fermentation of mixed culture extracted from wastewater or resulted from the mixing of rare strain types. Theoretically, crude glycerol fermentation provides a better capacity to generate hydrogen gas at the end of its reaction as compared to glucose fermentation due to it generating more NADH on a 3-carbon basis where one mole of hydrogen gas per mole of excess NADH. According to previous work, Mabutyana and Pott [116] extensively studied the homofermentative H2 production via co-fermentation of glycerol with phenolic compounds assisted by Rhodopseudomonas palustris under anaerobic conditions at temperature of 35 °C equipped with tungsten light bulbs. According to Varrone et al. [118] and Chen et al. [41], the application of enriched activity sludge or microbial mixed culture efficiently enhanced the conversion of crude glycerol into H2 with an approximate yield of 0.52–0.96 mol/mol glycerol, whereas Paenibacillus macerans [117] and Thermoanaerobacterium sp. [8], in another study, were also utilized in the fermentation of crude glycerol to produce H2 which resulted in 0.81 and 0.30 mol/mol of yield. In addition, crude glycerol may be used as a substrate for anaerobic digestion to produce biogas. In the acidogenesis and acetogenesis phases, it is degraded to volatile fatty acids (VFAs), and in the final methanogenesis stage, methane is produced from either acetic acid, CO2, or H2 by the methanogenic community [127]. For further development, anaerobic process optimization to produce hydrogen from crude glycerol is very essential and needs to be explored thoroughly.
- 3.
- Fungi
Fungi are another promising biocatalyst to enhance the microbial conversion of crude glycerol into other specific valuable products such as single-cell oil (SCO). According to Chatzifragkou et al. [87], throughout the fermentation process, fungi tend to build up lipids inside their mycelia. Andre et al. [84] studied the yield of SCO and oxalic acid from the fermentation of crude glycerol with Lentinula edodes strains and Aspergillus niger strains in carbon-limited and nitrogen-limited conditions, respectively. The maximum yield of lipid of 3.5 g/L and 0.1 g/g biomass was recorded. The SCO product was dominantly composed of oleic acids. Galactomyces geotrichum and ascomycetous fungus were utilized in SCO production of crude glycerol. Overall lipid yield of 0.44 g/g of dry biomass was accumulated, 4 times higher than pure glycerol control, with 38.0% of glycerol conversion throughout the process. A similar trend was also shown by Chatzifragkou et al. [87], who produced an improvement in lipid yield of 11.6 g/L with 70% of fat in biomass via application of eukaryotic microbes, Thamnidium elegans, for SCO production. In this study, acetic acid and mannitol were also generated as their side-products.
- 4.
- Yeast
Succinic, citric, itaconic, and malic acids may be generated from glycerol utilizing fungus of the genera Rhizopus, Aspergillus, and Ustilago [128,129]. However, recently, yeasts also exhibit the promising potential to catabolize crude glycerol via an aerobic route into citric and succinic acid. Yarrowia lipolytica exhibits the ability in upgrading crude glycerol into citric acid under the aerobic condition with optimal process parameters [121,122,123]. Li et al. [124] investigated the effect of co-fermentation of crude glycerol with various agro-residues into succinic acid under aerobic condition using Y. lipolytica. At the end of the process, 53.6 g/L of succinic acid concentration, process productivity of 1.5 g/L/h, and an overall yield of 0.5 mol/mol were produced.
4.1.2. Bio-Electrochemical Fermentation
Bio-electrochemical fermentation is one of the emerging metabolic pathways which combines both biochemical and electrochemical approaches in upgrading crude glycerol. This technology exploits microbes to catalyze redox reactions in an electrochemical reactor under mild processing conditions [130]. Microbial catalysts on the electrode have been utilized to enhance the electrochemical reaction as well as increase the rate and yields of glycerol conversion. In this approach, the electric current supplied was utilized to permit the fermentation of crude glycerol as the feedstock. By improving cells’ capacity to regenerate NAD+ into NADH, the cathodic current will stimulate microbial reduction processes and thus be able to change fermentation profiles. As mentioned in the previous study [44], a crucial NAD+/NADH ratio greater than 4 has been linked to high PDO productivity and a high specific growth rate of K. pneumoniae. However, there are still a very small number of investigations using glycerol bio-electro fermentations within the cathode [43,44,45,130,131]. Zhou et al. [130] studied the carbon and electron fluxes during the bio-electro fermentation of crude glycerol using batch biocathodes and showed an increase in 1,3-PDO generation, while in the study by Choi et al. [132], C. pasteurianum was used and successfully demonstrated a shift in the microbial metabolism with improved PDO production when an electrical potential is applied. Recently, Xafenias et al. [43] reported a significant increase in PDO synthesis with aid of Clostridiaceae. High PDO concentrations of 42 g/L were recorded which shows the potential of this approach to be further studied.
4.2. Thermochemical Approaches
4.2.1. Gasification Pyrolysis
Pyrolysis is a simple method of upgrading glycerol, yet it is just as significant as other processes. This method involves pyrolyzing feedstocks under specific processing conditions—high temperature (>600 °C), high pressure, in the deoxygenated environment inside a continuous or batch reactor [47,133], resulting from the thermochemical conversion of carbon contained in the feedstock of crude glycerol. The following processes take place to generate gaseous end-products [134]: (1) pyrolysis and devolatilization of feedstocks at relatively low temperature; (2) further degradation of the primary byproducts by continuous heating; and (3) coking gasification which leads to the production of high value-added syngas including carbon monoxide (CO), ethylene, methane, and hydrogen (H2).
Dehydration and hydrogenation reactions dominantly happened throughout this approach. In the previous work of Skoulou and Zabaniotou [48], they used mixed crude glycerol, crude olive oil, and grains in a fixed bed reactor operating at 750–850 °C. Co-gasification attempts were made to increase the amount of hydrogen produced from the gas produced during the gasification process. According to the findings, combining crude glycerol with olive particles at a biomass weight ratio of 49% resulted in gas emissions of between 0.4 and 1.2 Nm3/kg [47,48]. In another work, based on Figure 7, Blass et al. [46] employed gasification pyrolysis of glycerol with H2 in a reactor containing dehydration, hydrogenation and upgrading stages in series with help of HZSM-5 and Pd/α-Al2O3 catalysts at a temperature of 400 °C to produce a mixture of acetaldehyde, acrolein and hydroxypropanone, propanal, and olefins. Propanal condensed over Brønsted acid sites to produce C4–5 olefins, which then underwent high conversion to produce C2–3 olefins, which accounts for this. During this staged process, a C–C bond formed, and negligible carbon was dissipated as CO as a byproduct. Thus, due to environmental concerns of greenhouse gases production, industrial scaleup is limited.
Figure 7.
Schematic illustration of three staged reactor used for gasification pyrolysis of crude glycerol feed [46].
4.2.2. Fast Pyrolysis
Fast pyrolysis is a method that has been adopted to decompose biomass into essential chemical feedstocks and biofuels usually with presence of catalyst. For the manufacture of highly stable liquid fuels, the catalyst-assisted cracking process is executed at temperatures between 400 and 800 °C with a short residence time of between 0.5 and 3 s [48,49,133]. The yield and characteristics of the end-products of the process are also significantly influenced by different types of feedstocks, environment, and particularly catalyst species [135,136]. Hence, optimizing the parameters promotes enhanced byproducts yield such hydrocarbon oils with shorter chain (C1–12), gases, and char [137,138]. Conventionally, hydrotreating of bio-oils and hydrocarbon wastes, derived from engine oil, transmission oil, and hydraulic oil, which fractured into high value-added products via thermal decomposition of pyrolysis and treated with external hydrogen gas has become a key technology in upgrading bio-oil into transportation fuels [139]. However, from the authors’ knowledge, there are no works on hydrotreating of crude glycerol which may be due to its high operating costs, and it is not worth it in waste upcycling, in term of its techno economic view.
There are several previous published works on upgrading crude glycerol via fast pyrolysis assisted with catalysts. He et al. [49] performed catalytic fast pyrolysis of crude glycerol into bio-based BTX in a tandem micro-reactor using ZSM-5/bentonite catalysts which operating at 520–536 °C. The study resulted in only 8.1 wt.% of bio-BTX yield (15% carbon yield) based on crude glycerol feed with fresh catalyst. In their work, the reduced end-product yields are mainly due to coking issues. The majority of the coke (10.5 wt.%) deposit was on the ZSM-5 planes, which not only reduced the number of Lewis and Brønsted acid sites but also clogged the pores, deactivating the catalyst. From previous published works, relatively poor BTX yields (2 wt.%) were also recorded, with different catalysts—Al2O3 [140] and Pd-Ru catalysts [141]. However, in other works [142,143], zeolites favored the production of acrolein (86%) from catalytic conversion of glycerol with higher glycerol conversion.
4.2.3. Supercritical Fluids
One of the alternative thermochemical conversion techniques for crude glycerol utilizes supercritical fluids, including water, ethanol, methanol, and CO2, as the processing medium. This method has drawn a lot of interest recently and was demonstrated to be an appropriate reaction medium for biomass reforming. Either with or without the assistance of a catalyst, supercritical fluid reforming of crude glycerol and model compounds was already explored [9,51,52,144,145,146]. As an additional point, crude glycerol incorporates 6.5% of water content, as stated in Table 3; thus, the prior drying step can be neglected via this hydrothermal approach which reduced its processing cost.
Lighter weight liquid constituents and permanent gases, mixture of H2, CO, CO2, methane, and higher hydrocarbons will be produced during this glycerol upgrading process, with or without a catalyst. In addition, the rate of conversion, reaction selectivity, and the nature of the gas obtained are acknowledged to be impacted by the inclusion of a catalyst–homogenous catalysts (metal salt and acid catalysts lead to enhanced glycerol conversion and acrolein production). The utilization of various catalysts within this approach has been discussed in previous literature works by Markocic et al. [147] and Pavlovic et al. [148]. With the utilization of catalysts, the energy required for the procedure is reduced and it proceeds at lower operating temperatures and minimizes capital expenditures.
According to previous studies [52,144,147,149,150], it has been observed that the main solvent for crude glycerol upgrading via supercritical fluid reforming is water, while there are not many works utilizing CO2 [51], and methanol [53]. According to Markocic et al. [147], utilization of water is due to the unique properties of supercritical water itself, when temperature and pressure of the normal water both reached its critical point (Tc = 373 °C, Pc = 22.1 MPa). As shown in Table 5, the essential physicochemical characteristics of sub/supercritical water are markedly different from those of water in ambient and vapor phase. The solubility of additional molecules of glycerol in water is thus improved by the decreasing dielectric constant, and supercritical water takes on the characteristics of a nonpolar solvent [151]. Other than that, reduced dynamic viscosity of supercritical water also leads to improved diffusion coefficients of dissolved substances. Therefore, polar, and ionic reactions as well as free radical reactions may occur at this state. In sub- and supercritical water, crude glycerol conversion proceeds quickly, and the high solubility of the intermediates in supercritical water prevents the development of tar and coke, and high product yields are produced at comparatively low temperatures [149,150].
Table 5.
Physicochemical properties of water at different conditions [151].
4.2.4. Steam Reforming
Crude glycerol can be upgraded into H2 using the steam reforming method. In steam reforming of crude glycerol, there are four main steps—feedstocks refinement, reforming, water-gas-shift (WGS) reaction, and end-product refining [152]. In the first step of raw material purification, sulfur and chloride impurities are removed. Then, in a fixed-bed reactor, the reforming process is commonly conducted. Thus, the raw material is brought into contact with steam while being catalyzed by a heterogeneous catalyst, resulting in the production of syngas and other gaseous byproducts. The catalytic WGS reactor collects this gas mixture, where the CO combines with the steam to produce more H2. Finally, high purity H2 is produced by purifying the resulting gas stream using various techniques, including pressure swing adsorption (PSA) and/or membrane systems. This strategy is suitable to prepare chemicals made of oxygenated hydrocarbons, including waste/bio-glycerol. These processes may be complemented by undesirable ones, which including methanation, dehydration, carbon precursor reactions, and dehydrogenation, depending on the operational circumstances.
Since scaling up the steam reforming strategy to an industrial level would not necessitate substantial changes to the present infrastructures used for natural gas reforming, this method can be regarded as one of the most promising glycerol upgrading technologies [153]. Industrial steam reforming exploits γ-Al2O3 supported Ni catalysts as its catalyst option due to their increased availability and lower cost compared to precious metal-based catalysts [58,154,155,156,157]. Furthermore, Ni-based catalytic systems are capable of cleaving C–C, O–H, and C–H bonds as well as the WGS reaction, with typical NiO contents of 10 to 25 wt.% [158]. WGS can eliminate the adsorbed CO from the surface of the catalyst by converting it into CO2, the first three bonds must be broken in the reforming phase [58,156]. Due to its improved mechanical and chemical resistance, large surface area (SBET), and favorable metal dispersion, the γ-Al2O3 support is also commonly employed. However, coke deposition and particle sintering cause some deactivation in these systems. The first occurrence is often attributed to the γ-Al2O3 acidic characteristic, whereas sintering is attributed, among other aspects, to metal phases and γ-Al2O3 hydrothermal disturbances [58,159]. Within steam reforming operation parameters, these changes are often connected to the transition of γ-Al2O3 into other stable phases.
4.2.5. Aqueous Phase Reforming
With a similar objective as steam reforming technology, the catalytic method of aqueous phase reforming was developed to convert oxygenated hydrocarbons generated from biomass into H2-rich gas. However, when compared to other catalytic thermochemical approaches such as pyrolysis, gasification, or steam reforming, aqueous phase reforming exhibited various advantages [160,161]. Aqueous phase reforming chemically converts the liquid phase-feedstocks at ambient processing conditions, low temperature, around 150 to 300 °C, due to the partial evaporation of the water. Operating pressure, approximately 1.5–7 MPa, is used during the reformation of crude glycerol, such that ample pressure was exerted to allow the H2-rich effluent to be in situ filtered via swing adsorption approach or, in some cases, using membrane technology which addresses its storage issue and efficiently isolated CO2 from the main products. With extremely low CO concentrations (100–1000 ppm), it is possible to generate H2 gas in a batch reactor assisted with metal catalysts, produced higher amount of H2 as compared to the existing steam reforming technique. In conclusion, this approach functions at minimal pressure, at a low temperature, and with less costly technology [152]. Additionally, they are simple to integrate into safe, environmentally friendly energy production systems.
4.2.6. Microwave-Assisted Pyrolysis
The microwave-assisted pyrolysis process uses a distinct technology of microwave radiation, as an indirect heat source, to pyrolyze waste materials and/or biomass as shown in Figure 8 [136,137]. The microwave absorbent must be capable of absorbing microwave energy and heat to the requisite temperature in order to pyrolyze waste [162]. Based on a study by Leong et al. [66], using a carbonaceous catalyst and temperatures between 300–800 °C, a microwave heating technique utilized to convert crude glycerol collected from biodiesel plants into biofuels. The product yields in each phase of such a process is determined by the processing conditions including residence time, process temperature, and type of catalysts employed during the reaction, all of which affect the reaction system and relative activation energy. From previous studies [65,66,67,162], it is observed that there was a decreased total mass of gaseous products due to the catalyst’s inclination toward hydrogen gas selectivity. Other than that, temperature reduction and longer residence times increased the overall energy production. The findings demonstrated that crude glycerol has the potential to produce syngas and bio-oil for use in bioenergy [67].
Figure 8.
Microwave-assisted pyrolysis of crude glycerol by magnetron microwave in a quartz reactor with the presence of activated carbon as catalyst. Extracted with permission from Ref. [136].
4.3. Physicochemical Techniques
4.3.1. Esterification
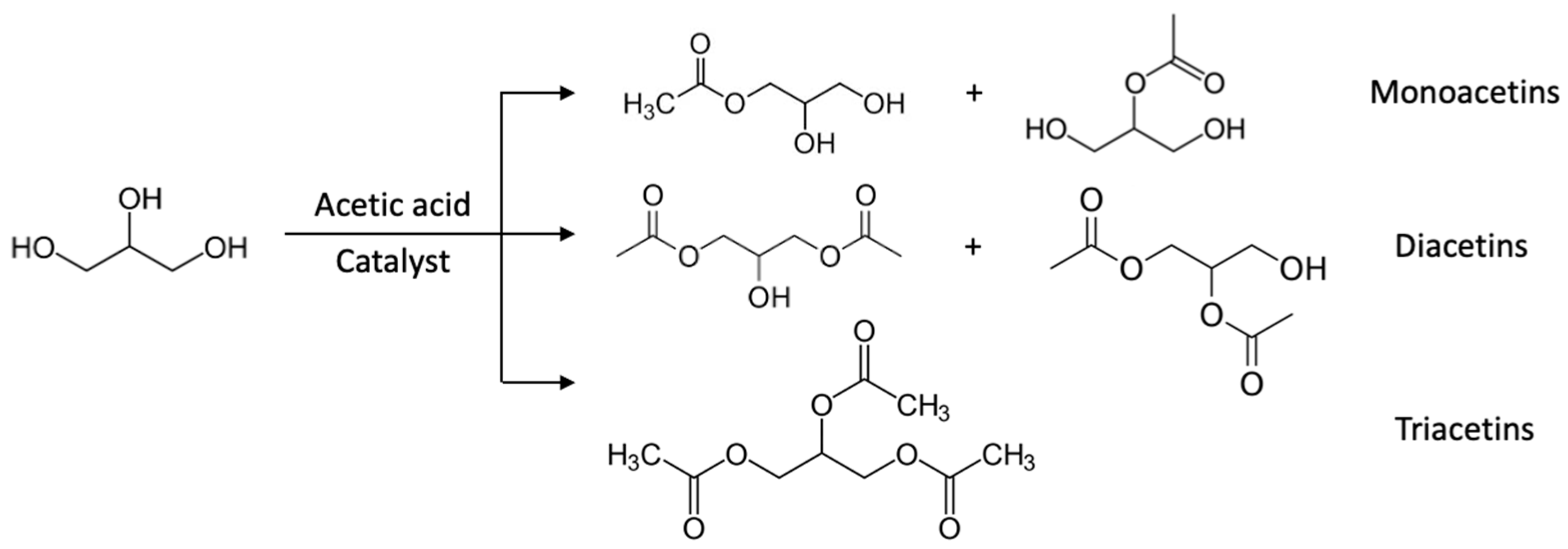
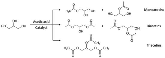
Esterification is a reversible chemical reaction, thus adding an excess of one reagent might tip the balance in favor of the desired products through acetylation reaction. The acetylation, as shown in Figure 9, is another potential method for converting biodiesel-derived glycerol [54,163,164,165]. The mono-, di-, and triacetyl esthers that are produced have several industrial uses. The mono- and diacetylated esters, or mono- and diacetin, are employed as fuel additives in diesel engines cryogenics, and as fuel sources to synthesize biodegradable polyesters, whereas triacetin, a triacetylated derivative, is primarily utilized in various sectors including food and beverages, cosmetics, as fuel additives and in pharmaceutical applications.
Figure 9.
Chemical pathways of acetylation of crude glycerol by esterification method [166].
Based on the above figure, the three-step method for the complete glycerol esterification reaction results in mono-, di-, and triacetin formation [166]. With the assistance of an acid catalyst, the mechanism for glycerol’s reaction with acetic acid primarily entails a first protonation encouraged by the acid catalyst upon that oxygen electronic pair of the acetic acid, preceded by a succession of nucleophilic attacks on the hydrophilic group of glycerol to generate monoacetin and water. A third acetic acid molecule can be combined with diacetin to create triacetin, a compound having three acyl groups, and a fourth electrophilic acetic acid molecule can be combined with monoacetin to create monoacetin and water. From previous works, the presence of catalysts is essential for enhancing these reactions’ selectivity to produce the three acetins and speeding up the reaction [165,167]. In another work, using a laboratory-made carbon-based catalyst by sulfonating carbonized sucrose, Sanchez et al. [168] examined the esterification of glycerol. The results indicated a high selectivity to triacetin, approximately 50%, at 105 °C for 4 h. On the other hand, Khayoon and Hameed [169] studied the effect of utilization of different catalyst, sulfonated carbon catalysts with high glycerol conversion (90%) and found comparable selectivity of about 40, 30, and 35% for mono-, di-, and triacetin, respectively, under 3 h reaction at processing temperature of 120 °C. According to the aforementioned findings, sulfonated carbon catalysts may serve as a promising acid catalyst replacement for enhancing glycerol esterification operations.
4.3.2. Transesterification
The process of allowing crude glycerol to chemically react with alcohol is known as transesterification or alcoholysis [15]. Methanol and ethanol are the alcohols that are used in this process the most frequently since they are affordable and widely accessible. This process has been widely used to turn triglycerides into esters and to lessen the viscosity of crude glycerol. Catalytic and noncatalytic transesterification are two methods that may be used to carry out transesterification. Industrially, transesterification employs an acyl acceptor of dimethyl carbonate (DMC) assisted with a heterogeneous catalyst that mainly yields glycerol carbonate, as well as methanol as a byproduct [22,54]. Potassium or calcium carbonate (K2CO3 or CaCO3) and hydroxides (KOH or Ca (OH)2) are two candidates of homogeneous catalysts that can be utilized in the process. Isahak et al. [170] and Ochoa-Gomez et al. [171] utilized catalysts which improved the conversion ratios and higher glycerol carbonate yields (about 95%) with shortened reaction times.
4.3.3. Catalytic Etherification
Glycerol can be transformed into branching, oxygen-containing components during the etherification process by reacting with either alcohols or alkenes [19]. Tert-butyl ethers, one of the reaction products, has the potential to be exploited as lucrative fuel additives. A lot of studies have been done on this etherification of crude glycerol [74,76,172]. In order to improve the yields and selectivity of the end-products, various type of catalysts have been investigated with its significant affects. Heterogeneous catalysts such zeolites [173,174], mesoporous silica [175,176], and metal oxides as well as homogenous catalysts have been widely investigated. The commercially strong acid ion-exchange resin Amberlyst 15 has proven to be the most effective heterogeneous catalyst to date, whereas p-toluenesulfonic acid has proven to be the most effective homogeneous catalyst. Klepácová et al. [174] conducted a thorough investigation into the catalytic selectivity and activity of large-pore zeolites and Amberlyst 15-type ion-exchange resins on the tert-butylation of glycerol with isobutylene and tert-butyl alcohol. According to Karinen and Krause [177], approximately five ether products can be produced during the liquid-phase etherification of isobutene and glycerol which assisted with an acidic ion-exchange resin catalyst, in addition to side products in the form of C8–16 hydrocarbons.
There are various advantages of utilizing heterogenous catalysts in this approach; it is low in cost, reusable, able to be recovered following the reaction process, and easily separated from the reaction [178,179]. Thus, heterogenous catalysts are anticipated to replace traditional homogeneous catalysts in the near future for both financial and environmental reasons.
4.4. Electrochemical Approaches—Electrolysis
Glycerol derived byproducts manufacturing using an innovative and straightforward process called electrochemical conversion of glycerol has not received enough attention in prior studies [180]. In contrast to electrochemical reductions, which can take place in an aqueous medium at ambient pressure and temperature with electrons acting as the reduction equivalent (while protons are supported by protic solvents and/or by electrode), catalytic hydrogenation reactions typically require high temperatures (250–400 °C) and hydrogen pressures [181]. Electrochemical conversion of crude glycerol has been studied because of its straightforward structure and robust functionality. When compared to chemical methods, the electrolysis process uses less energy and operates at ambient pressure and temperature. Moreover, renewable resources such as solar energy have the potential to replace fossil fuel derived electricity [181]. Adjusting selectivity and boosting efficiency in a thermochemical process requires changing temperatures and pressures, which significantly raises operating costs. When compared to chemical technologies, electrochemical processes do not need to be equipped with pressure or heat equipment within the system, thus, lead to lesser operating costs and smaller space required for industrial scale setup.
Additionally, from published literature, there are several main processing parameters including the electrical characteristics of electrodes, applied potentials, pH of the electrolyte, and electrocatalyst choice which significantly altered the selectivity and product yields [77,78,80,182,183,184,185]. Adsorption, atomic bond breaking, electronic charge transfer, interaction between oxygenated species and alcohol fragments, and desorption of reaction products are a few of the general processes that are involved in the electrochemical conversion of alcohols [186]. Accordingly, the contact of the electrocatalyst surface with the reactant molecules, the interaction of the catalyst surface with the molecules of the adsorbed fragments, and the production of surface oxides all affect the overall efficiency.
Because of the distinctive advantages of electrocatalysis, the electrooxidation of glycerol has attracted increased attention in recent years and is widely reported [187,188,189]. However, based on the literature review of previous published works, there is still a lack of research on electroreduction of crude glycerol. Electroreduction of crude glycerol, theoretically, has a promising future to be discovered especially in the effort of upgrading the crude glycerol via deoxygenation and hydrogenation pathways. This approach can be a promising candidate to substitute the conventional thermochemical hydrotreating technology to convert crude glycerol into lower oxygen content compounds including diols, alcohols and alkane. As a byproduct, electrochemical upgrading technology produces H2 and pure O2 that can be used as a final product or an in situ supplement for downstream processes [11,125].
Electroreduction technology has a potential to be an alternative pathway for future upgrading technology. Currently, there are several types of electrochemical reactor/cell which apply slightly different state-of-the-art in upgrading crude glycerol as feedstocks as illustrated in Figure 10, which includes undivided cell, single membrane cell or two-chamber cells or H-cell or polymer exchange membrane (PEM) cell, also known as anion/cation exchange membrane (AEM/PEM) cell, double membrane cell, and continuous flow cell. Within this underdeveloped pathway, crude glycerol, as the feedstock, acts as the anolyte in electrooxidation setup, while, for electroreduction pathway, the glycerol will become the catholyte placed in the cathode chamber. In the electroreduction of crude glycerol, the crude glycerol is electrolyzed or reduced at the cathode which is used to ionize the oxygen from the oxygenated organic substance. Simultaneously, the water (in divided cell) or moisture content within the crude glycerol (in undivided cell) is electrolyzed or oxidized at the anode into H+ ions and oxygen (O2). Thus, the residual hydrocarbon radical in electrolyte reacts with the hydrogen proton (H+) and leads to hydrodeoxygenation or hydrogenation reaction. Therefore, crude glycerol may be theoretically deoxygenated by electrochemical conversion assisted with electrocatalysts to an alcoholic product, with release of oxygen gas as O2 at anode. Release of O2 is not attainable through thermal catalytic methods under high-pressure H2. However, there is hindrance in terms of coking deposition at the cathode which thus reduced the reaction rate and conversion efficiency within the system [11,82]. Thus, researchers have explored new electrochemical cell designs with dividing the cell into two or three chambers using ion exchange membrane to address this issue of coking formation.
Figure 10.
Electrochemical cell/reactor design, which includes (a) undivided cell, single membrane cell for (b) electroreduction, and (c) electrooxidation, (d) multi-layered electrodes cell, (e) double membrane cell, and (f) continuous-flow reactor, for crude glycerol upgrading.
5. Future Outlooks for Crude Glycerol Upgrading
The current technology to upgrade bio-oil or crude oil into biofuels as a substitute for conventional fuels is via full deoxygenation refining of hydrotreating process [137]. The hydrotreating approach is an established upgrading technology as it successfully removes oxygen along with other heteroatoms (impurities) from the bio-oil and increase its cetane number for higher quality biofuels that uses hydrogen supply under high reaction temperatures and pressure, plus, assisted by catalysts. However, since a significant volume of hydrogen gas must be used to allow hydrodeoxygenation reaction, a large operating cost may be required for this process. Furthermore, the requirement for hydrogen volume increases when the hydro denitrogenating process is involved [137], especially for crude glycerol and raw bio-oil.
Thus, in previous sections, the aforementioned studies were aimed to counteract this hindrance in order to produce techno economically stable technology for crude glycerol upgrading. To maximize the effectiveness and profitability of particular entities and keep them competitive in the market, a number of technologies and conversion routes (such as thermochemical, biological, physicochemical, electrochemical) have been introduced and integrated during the past 20 years.
For enhancing crude glycerol quality and addressing existing upgrading issues, such as high operating costs of thermochemical conversion, low conversion of physicochemical approaches, and time-consuming microbial pathways, the electrochemical technique is currently being explored as the number of works are increasing. The main problem with this method is membrane fouling and glycerol instability, as well as the reaction’s ineffectiveness due to the poor conductivity of crude glycerol [181]. However, retaining hydrogen from the water (H2O) content during deoxygenation is the distinct advantage of electrochemical treatment, which lowers the amount of additional hydrogen required for further upgrading. Since this approach exhibits mild operating conditions, it has been shown to have an impact on the quality of crude glycerol, but it cannot yet be said to be productive of usable liquid hydrocarbons. Electrochemical applications, on the other hand, stabilize the crude glycerol by lowering the acid and oxygen contents. Although crude glycerol to biofuel conversion procedures via electrochemical pathways have not been shown to be efficient because of present complexities, there is a big chance that these methods can be improved from where they are now.
Further research and development efforts in order to advance crude glycerol upgrading technologies are as follows—exploration of integrated energy systems by combining two or more approaches which can ensure low operating costs with high value-added chemicals production, for example, the combination of thermochemical and electrochemical conversion, deeper investigations of existing treatments with mild-operating process such as electrochemical technology by utilizing artificial intelligence (AI) and machine learning for prediction modeling and simulation as well as technoeconomic analysis (TEA) comparing various available approaches for commercialization are needed. Similar approaches of application of AI [190,191] and TEA [192,193] have been applied in bio-oil sector which is currently widely expanding. These further works to advance the crude glycerol upgrading are significant to compare suitable technology to be utilized according to different intended end-products, to optimize the overall process condition, and to study its availability to be used on a larger industrial scale with comparing its manufacturing cost with the profit that can be earned in the future.
6. Conclusions
Crude glycerol is a promising renewable energy source which has attracted attention from researchers, industrial players, and environmentalists for its unique properties as chemical precursors for various applications including transportation fuels, pharmaceutical sectors, and food/beverage use, and others. In this review, various existing crude glycerol upgrading strategies have been summarized and discussed according to their processing conditions and their performance to convert glycerol into high value-added chemicals via specific chemical reaction pathways, including hydrogenation, deoxygenation, carbonylation, and dehydration. Furthermore, emerging technologies have been presented as well to highlight the shortcomings of current crude glycerol upgrading processes.
Several significant remarks can be achieved from this review. Currently, thermochemical treatment, including gasification, fast pyrolysis, liquefactions, aqueous steam and steam reforming, and supercritical fluids reforming, shows its dominance in upgrading processes. However, these treatments are less cost-competitive due to their demanding process requirements, which include heat and pressure. On the other hand, as a stand-alone procedure, biological treatments are insufficient for upgrading crude glycerol as there is need of complex pre- and post-treatment steps despite their advantages with low startup costs and works under ambient condition without external heating devices. Physicochemical approaches work under mild process conditions; however, they are less efficient due to their slower reaction rate, but they can be combined with other technology for better conversion efficiency. Thus, looking in the future, electrochemical processes via electrooxidation and reduction of crude glycerol appear as promising routes for glycerol upgrading to be examined in the future, despite its underdevelopment, due to their mild process conditions, low assembly and maintenance costs, higher possibility of producing biofuels and bio-alcohol as end-products, and surplus advantage of hydrogen generation during the deoxygenation process which further leads to lower manufacturing costs. However, deeper investigations are still needed to prove its performance in this field as there is a big lack of knowledge about many facets of this novel technique that must be explored, especially in industrial applications, to provide new environmental solutions.
Author Contributions
Conceptualization, M.H.M.; methodology, M.H.M.; validation, S.C. and J.S.C.; investigation, M.H.M.; writing—original draft preparation, M.H.M.; writing—review and editing, S.C. and J.S.C.; supervision, S.C. and J.S.C.; project administration, J.S.C.; funding acquisition, J.S.C. All authors have read and agreed to the published version of the manuscript.
Funding
This research received no external funding.
Institutional Review Board Statement
Not applicable.
Informed Consent Statement
Not applicable.
Data Availability Statement
Not applicable.
Acknowledgments
The authors gratefully acknowledge the Japanese Government (Ministry of Education, Culture, Sports, Science, and Technology (Monbukagakusho): MEXT) Scholarship for providing financial support and Tokyo Institute of Technology (Tokyo Tech) for funding and providing research facilities.
Conflicts of Interest
The authors declare no conflict of interest.
References
- IEA Renewable Electricity Growth Is Accelerating Faster than Ever Worldwide, Supporting the Emergence of the New Global Energy Economy. Available online: https://www.iea.org/news/renewable-electricity-growth-is-accelerating-faster-than-ever-worldwide-supporting-the-emergence-of-the-new-global-energy-economy (accessed on 25 July 2022).
- International Energy Agency. World Energy Outlook; OECD/IEA: Paris, France, 2009; ISBN 926428205X. [Google Scholar]
- Gielen, D.; Gorini, R.; Wagner, N.; Leme, R.; Gutierrez, L.; Prakash, G.; Asmelash, E.; Janeiro, L.; Gallina, G.; Vale, G.; et al. Global Energy Transformation: A Roadmap to 2050; IRENA: Abu Dhabi, United Arab Emirates, 2019. [Google Scholar]
- Loaces, I.; Rodríguez, C.; Amarelle, V.; Fabiano, E.; Noya, F. Improved Glycerol to Ethanol Conversion by E. Coli Using a Metagenomic Fragment Isolated from an Anaerobic Reactor. J. Ind. Microbiol. Biotechnol. 2016, 43, 1405–1416. [Google Scholar] [CrossRef]
- Boonyawanich, S.; Haosagul, S.; Pisutpaisal, N. Ethanol Production from Crude glycerol Using Glucose as Co-Carbon Source. Biomass Convers. Biorefinery 2021, 2021, 1–10. [Google Scholar]
- Haider, M.H.; Dummer, N.F.; Knight, D.W.; Jenkins, R.L.; Howard, M.; Moulijn, J.; Taylor, S.H.; Hutchings, G.J. Efficient Green Methanol Synthesis from Glycerol. Nat. Chem. 2015, 7, 1028–1032. [Google Scholar] [CrossRef]
- Hulteberg, C.; Nörregård, Ö.; Brandin, J.; Leveau, A. Bio Propane: Tailoring WO3/ZrO2 Catalyst for the Dehydration of Glycerol to Acrolein. In Proceedings of the 17th Nordic Symposium on Catalysis, Lund, Sweden, 14–16 June 2016; Lund University Publications: Lund, Sweden, 2016. [Google Scholar]
- Sittijunda, S.; Reungsang, A. Media Optimization for Biohydrogen Production from Crude glycerol by Anaerobic Thermophilic Mixed Cultures. Int. J. Hydrogen Energy 2012, 37, 15473–15482. [Google Scholar] [CrossRef]
- Yu-Wu, Q.M.; Weiss-Hortala, E.; Barna, R.; Boucard, H.; Bulza, S. Glycerol and Bioglycerol Conversion in Supercritical Water for Hydrogen Production. Environ. Technol. 2012, 33, 2245–2255. [Google Scholar] [CrossRef] [PubMed]
- Quispe, C.A.G.; Coronado, C.J.R.; Carvalho, J.A., Jr. Glycerol: Production, Consumption, Prices, Characterization and New Trends in Combustion. Renew. Sustain. Energy Rev. 2013, 27, 475–493. [Google Scholar] [CrossRef]
- Ennetta, R.; Soyhan, H.S.; Koyunoğlu, C.; Demir, V.G. Current Technologies and Future Trends for Biodiesel Production: A Review. Arab. J. Sci. Eng. 2022, 47, 15133–15151. [Google Scholar] [CrossRef]
- Varanda, M.G.; Pinto, G.; Martins, F. Life Cycle Analysis of Biodiesel Production. Fuel Process. Technol. 2011, 92, 1087–1094. [Google Scholar] [CrossRef]
- Nitayavardhana, S.; Khanal, S.K. Biodiesel-Derived Crude Glycerol Bioconversion to Animal Feed: A Sustainable Option for a Biodiesel Refinery. Bioresour. Technol. 2011, 102, 5808–5814. [Google Scholar] [CrossRef]
- Zheng, L.; Xia, S.; Hou, Z.; Zhang, M.; Hou, Z. Transesterification of Glycerol with Dimethyl Carbonate over Mg-Al Hydrotalcites. Chin. J. Catal. 2014, 35, 310–318. [Google Scholar] [CrossRef]
- Helwani, Z.; Othman, M.; Aziz, N.; Kim, J.; Fernando, W. Solid Heterogeneous Catalysts for Transesterification of Triglycerides with Methanol: A Review. Appl. Catal. Gen. 2009, 363, 1–10. [Google Scholar] [CrossRef]
- Ayoub, M.; Abdullah, A.Z. Critical Review on the Current Scenario and Significance of Crude Glycerol Resulting from Biodiesel Industry towards More Sustainable Renewable Energy Industry. Renew. Sustain. Energy Rev. 2012, 16, 2671–2686. [Google Scholar] [CrossRef]
- Christoph, R.; Schmidt, B.; Steinberner, U.; Dilla, W.; Karinen, R. Glycerol. In Ullmann’s Encyclopedia of Industrial Chemistry; Verlag Chemie: Hoboken, NJ, USA, 2000. [Google Scholar]
- Gupta, M.; Kumar, N. Scope and Opportunities of Using Glycerol as an Energy Source. Renew. Sustain. Energy Rev. 2012, 16, 4551–4556. [Google Scholar] [CrossRef]
- Gholami, Z.; Abdullah, A.Z.; Lee, K.-T. Dealing with the Surplus of Glycerol Production from Biodiesel Industry through Catalytic Upgrading to Polyglycerols and Other Value-Added Products. Renew. Sustain. Energy Rev. 2014, 39, 327–341. [Google Scholar] [CrossRef]
- Samudrala, S.P. Glycerol Transformation to Value-Added 1,3-Propanediol Production: A Paradigm for a Sustainable Biorefinery Process. In Glycerine Production and Transformation—An Innovative Platform for Sustainable Biorefinery and Energy; BoD—Books on Demand: Norderstedt, Germany, 2019. [Google Scholar]
- Kenar, J.A. Glycerol as a Platform Chemical: Sweet Opportunities on the Horizon? Lipid Technol. 2007, 19, 249–253. [Google Scholar] [CrossRef]
- Tan, H.; Aziz, A.A.; Aroua, M. Glycerol Production and Its Applications as a Raw Material: A Review. Renew. Sustain. Energy Rev. 2013, 27, 118–127. [Google Scholar] [CrossRef]
- Israel, A.; Obot, I.; Asuquo, J. Recovery of Glycerol from Spent Soap LyeBy-Product of Soap Manufacture. E—J. Chem. 2008, 5, 940–945. [Google Scholar] [CrossRef]
- Hasheminejad, M.; Tabatabaei, M.; Mansourpanah, Y.; Javani, A. Upstream and Downstream Strategies to Economize Biodiesel Production. Bioresour. Technol. 2011, 102, 461–468. [Google Scholar] [CrossRef]
- Ciriminna, R.; Pina, C.D.; Rossi, M.; Pagliaro, M. Understanding the Glycerol Market. Eur. J. Lipid Sci. Technol. 2014, 116, 1432–1439. [Google Scholar] [CrossRef]
- Gunstone, F. The Chemistry of Oils and Fats: Sources, Composition, Properties and Uses; John Wiley & Sons: Hoboken, NJ, USA, 2009; ISBN 1-4051-5002-5. [Google Scholar]
- Guo, X.Y.; Ci, B.B.; Li, S.G.; Hu, W.; Yu, J.L.; Tang, X.H. Study on Upgrading and Further Usage of Glycerol from Waste Water. Adv. Mater. Res. 2012, 383–390, 4511–4515. [Google Scholar] [CrossRef]
- Awuchi, C.G.; Echeta, K.C. Current Developments in Sugar Alcohols: Chemistry, Nutrition, and Health Concerns of Sorbitol, Xylitol, Glycerol, Arabitol, Inositol, Maltitol, and Lactitol. Int. J. Adv. Acad. Res. 2019, 5, 1–33. [Google Scholar]
- Eierdanz, H. Oleochemistry: Processes and Products; The American Oil Chemists Society: Urbana, IL, USA, 1993; p. 217. [Google Scholar]
- Yeong, S.K.; Idris, Z.; Hassan, H.A. Palm Oleochemicals in Non-Food Applications. In Palm Oil; Elsevier: Amsterdam, The Netherlands, 2012; pp. 587–624. [Google Scholar]
- Hejna, A.; Kosmela, P.; Formela, K.; Piszczyk, Ł.; Haponiuk, J.T. Potential Applications of Crude Glycerol in Polymer Technology–Current State and Perspectives. Renew. Sustain. Energy Rev. 2016, 66, 449–475. [Google Scholar] [CrossRef]
- Zheng, Y.; Chen, X.; Shen, Y. Commodity Chemicals Derived from Glycerol, an Important Biorefinery Feedstock. Chem. Rev. 2008, 110, 1807. [Google Scholar] [CrossRef]
- Sharninghausen, L.S.; Campos, J.; Manas, M.G.; Crabtree, R.H. Efficient Selective and Atom Economic Catalytic Conversion of Glycerol to Lactic Acid. Nat. Commun. 2014, 5, 5084. [Google Scholar] [CrossRef]
- Baek, S.-H.; Kwon, E.Y.; Kim, Y.H.; Hahn, J.-S. Metabolic Engineering and Adaptive Evolution for Efficient Production of D-Lactic Acid in Saccharomyces Cerevisiae. Appl. Microbiol. Biotechnol. 2016, 100, 2737–2748. [Google Scholar] [CrossRef]
- Rangel, A.E.T.; Reyes, L.H.; Ramírez, J.M.G.; Barrios, A.F.G. Optimization of Glycerol Consumption in Wild-type Escherichia coli Using Central Carbon Modeling as an Alternative Approach. Biofuels Bioprod. Biorefin. 2021, 15, 825–839. [Google Scholar] [CrossRef]
- Liu, X.; Jensen, P.R.; Workman, M. Bioconversion of Crude Glycerol Feedstocks into Ethanol by Pachysolen Tannophilus. Bioresour. Technol. 2012, 104, 579–586. [Google Scholar] [CrossRef]
- Adnan, N.A.A.; Suhaimi, S.N.; Abd-Aziz, S.; Hassan, M.A.; Phang, L.-Y. Optimization of Bioethanol Production from Glycerol by Escherichia coli SS1. Renew. Energy 2014, 66, 625–633. [Google Scholar] [CrossRef]
- Laura, M.; Monica, T.; Dan-Cristian, V. The Effect of Crude Glycerol Impurities on 1,3-Propanediol Biosynthesis by Klebsiella Pneumoniae DSMZ 2026. Renew. Energy 2020, 153, 1418–1427. [Google Scholar] [CrossRef]
- Kongjan, P.; Jariyaboon, R.; Reungsang, A.; Sittijunda, S. Co-Fermentation of 1,3-Propanediol and 2,3-Butanediol from Crude Glycerol Derived from the Biodiesel Production Process by Newly Isolated Enterobacter sp.: Optimization Factors Affecting. Bioresour. Technol. Rep. 2021, 13, 100616. [Google Scholar] [CrossRef]
- Rodrigues, C.V.; Santana, K.O.; Nespeca, M.G.; Rodrigues, A.V.; Pires, L.O.; Maintinguer, S.I. Energy Valorization of Crude Glycerol and Sanitary Sewage in Hydrogen Generation by Biological Processes. Int. J. Hydrogen Energy 2020, 45, 11943–11953. [Google Scholar] [CrossRef]
- Chen, Y.; Yin, Y.; Wang, J. Comparison of Fermentative Hydrogen Production from Glycerol Using Immobilized and Suspended Mixed Cultures. Int. J. Hydrogen Energy 2021, 46, 8986–8994. [Google Scholar] [CrossRef]
- Saini, M.; Wang, Z.W.; Chiang, C.-J.; Chao, Y.-P. Metabolic Engineering of Escherichia coli for Production of N-Butanol from Crude Glycerol. Biotechnol. Biofuels 2017, 10, 173. [Google Scholar] [CrossRef]
- Xafenias, N.; Anunobi, M.O.; Mapelli, V. Electrochemical Startup Increases 1,3-Propanediol Titers in Mixed-Culture Glycerol Fermentations. Process Biochem. 2015, 50, 1499–1508. [Google Scholar] [CrossRef]
- Dennis, P.G.; Harnisch, F.; Yeoh, Y.K.; Tyson, G.W.; Rabaey, K. Dynamics of Cathode-Associated Microbial Communities and Metabolite Profiles in a Glycerol-Fed Bioelectrochemical System. Appl. Environ. Microbiol. 2013, 79, 4008–4014. [Google Scholar] [CrossRef]
- Roume, H.; Arends, J.B.; Ameril, C.P.; Patil, S.A.; Rabaey, K. Enhanced Product Recovery from Glycerol Fermentation into 3-Carbon Compounds in a Bioelectrochemical System Combined with in Situ Extraction. Front. Bioeng. Biotechnol. 2016, 4, 73. [Google Scholar] [CrossRef]
- Blass, S.D.; Hermann, R.J.; Persson, N.E.; Bhan, A.; Schmidt, L.D. Conversion of Glycerol to Light Olefins and Gasoline Precursors. Appl. Catal. Gen. 2014, 475, 10–15. [Google Scholar] [CrossRef]
- Nanda, M.R.; Zhang, Y.; Yuan, Z.; Qin, W.; Ghaziaskar, H.S.; Xu, C.C. Catalytic Conversion of Glycerol for Sustainable Production of Solketal as a Fuel Additive: A Review. Renew. Sustain. Energy Rev. 2016, 56, 1022–1031. [Google Scholar] [CrossRef]
- Skoulou, V.K.; Zabaniotou, A.A. Co-Gasification of Crude Glycerol with Lignocellulosic Biomass for Enhanced Syngas Production. J. Anal. Appl. Pyrolysis 2013, 99, 110–116. [Google Scholar] [CrossRef]
- He, S.; Muizebelt, I.; Heeres, A.; Schenk, N.; Blees, R.; Heeres, H. Catalytic Pyrolysis of Crude Glycerol over Shaped ZSM-5/Bentonite Catalysts for Bio-BTX Synthesis. Appl. Catal. B Environ. 2018, 235, 45–55. [Google Scholar] [CrossRef]
- Zhang, L.; Liu, R.; Yin, R.; Mei, Y. Upgrading of Bio-Oil from Biomass Fast Pyrolysis in China: A Review. Renew. Sustain. Energy Rev. 2013, 24, 66–72. [Google Scholar] [CrossRef]
- Cui, M.; Mi, M.; Zhang, Y.; Xu, W.; Wang, M.; Shao, R.; Ding, J. Dehydration of Glycerol over H6P2W18O62/γ-Al2O3 Prepared by Supercritical Method. New J. Chem. 2022, 47, 1342–1348. [Google Scholar] [CrossRef]
- Ott, L.; Bicker, M.; Vogel, H. Catalytic Dehydration of Glycerol in Sub-and Supercritical Water: A New Chemical Process for Acrolein Production. Green Chem. 2006, 8, 214–220. [Google Scholar] [CrossRef]
- Ezhova, N.; Korosteleva, I.; Kolesnichenko, N.; Kuz’min, A.; Khadzhiev, S.; Vasil’eva, M.; Voronina, Z. Glycerol Carboxylation to Glycerol Carbonate in the Presence of Rhodium Complexes with Phosphine Ligands. Pet. Chem. 2012, 52, 91–96. [Google Scholar] [CrossRef]
- Okoye, P.; Hameed, B. Review on Recent Progress in Catalytic Carboxylation and Acetylation of Glycerol as a Byproduct of Biodiesel Production. Renew. Sustain. Energy Rev. 2016, 53, 558–574. [Google Scholar] [CrossRef]
- Chen, L.; Ren, S.; Ye, X.P. Lactic Acid Production from Glycerol Using CaO as Solid Base Catalyst. Fuel Process. Technol. 2014, 120, 40–47. [Google Scholar] [CrossRef]
- Liu, L.; Ye, X.P. Simultaneous Production of Lactic Acid and Propylene Glycol from Glycerol Using Solid Catalysts without External Hydrogen. Fuel Process. Technol. 2015, 137, 55–65. [Google Scholar] [CrossRef]
- Charisiou, N.; Papageridis, K.; Siakavelas, G.; Tzounis, L.; Kousi, K.; Baker, M.; Hinder, S.; Sebastian, V.; Polychronopoulou, K.; Goula, M. Glycerol Steam Reforming for Hydrogen Production over Nickel Supported on Alumina, Zirconia and Silica Catalysts. Top. Catal. 2017, 60, 1226–1250. [Google Scholar] [CrossRef]
- Charisiou, N.; Papageridis, K.; Tzounis, L.; Sebastian, V.; Hinder, S.; Baker, M.; AlKetbi, M.; Polychronopoulou, K.; Goula, M. Ni Supported on CaO-MgO-Al2O3 as a Highly Selective and Stable Catalyst for H2 Production via the Glycerol Steam Reforming Reaction. Int. J. Hydrogen Energy 2019, 44, 256–273. [Google Scholar] [CrossRef]
- Chen, D.; Wang, W.; Liu, C. Hydrogen Production through Glycerol Steam Reforming over Beehive-Biomimetic Graphene-Encapsulated Nickel Catalysts. Renew. Energy 2020, 145, 2647–2657. [Google Scholar] [CrossRef]
- Xiong, Y.; Wang, B.; Yan, J.; Hong, J.; Wang, L.; Zhang, Y.; Li, J.; Jing, F.; Chu, W. Plasma Assisted Preparation of Nickel-Based Catalysts Supported on CeO2 with Different Morphologies for Hydrogen Production by Glycerol Steam Reforming. Powder Technol. 2019, 354, 324–332. [Google Scholar] [CrossRef]
- Callison, J.; Subramanian, N.; Rogers, S.; Chutia, A.; Gianolio, D.; Catlow, C.R.A.; Wells, P.P.; Dimitratos, N. Directed Aqueous-Phase Reforming of Glycerol through Tailored Platinum Nanoparticles. Appl. Catal. B Environ. 2018, 238, 618–628. [Google Scholar] [CrossRef]
- Ciftci, A.; Ligthart, D.M.; Hensen, E.J. Influence of Pt Particle Size and Re Addition by Catalytic Reduction on Aqueous Phase Reforming of Glycerol for Carbon-Supported Pt (Re) Catalysts. Appl. Catal. B Environ. 2015, 174, 126–135. [Google Scholar] [CrossRef]
- Liu, F.; Okolie, C.; Ravenelle, R.M.; Crittenden, J.C.; Sievers, C.; Bruijnincx, P.C.; Weckhuysen, B.M. Silica Deposition as an Approach for Improving the Hydrothermal Stability of an Alumina Support during Glycerol Aqueous Phase Reforming. Appl. Catal. Gen. 2018, 551, 13–22. [Google Scholar] [CrossRef]
- Seretis, A.; Tsiakaras, P. A Thermodynamic Analysis of Hydrogen Production via Aqueous Phase Reforming of Glycerol. Fuel Process. Technol. 2015, 134, 107–115. [Google Scholar] [CrossRef]
- Ganesapillai, M.; Manara, P.; Zabaniotou, A. Effect of Microwave Pretreatment on Pyrolysis of Crude Glycerol–Olive Kernel Alternative Fuels. Energy Convers. Manag. 2016, 110, 287–295. [Google Scholar] [CrossRef]
- Leong, S.K.; Lam, S.S.; Ani, F.N.; Ng, J.-H.; Chong, C.T. Production of Pyrolyzed Oil from Crude Glycerol Using a Microwave Heating Technique. Int. J. Technol. 2016, 7, 323–331. [Google Scholar] [CrossRef]
- Ng, J.-H.; Leong, S.K.; Lam, S.S.; Ani, F.N.; Chong, C.T. Microwave-Assisted and Carbonaceous Catalytic Pyrolysis of Crude Glycerol from Biodiesel Waste for Energy Production. Energy Convers. Manag. 2017, 143, 399–409. [Google Scholar] [CrossRef]
- Leng, L.; Yuan, X.; Zeng, G.; Chen, X.; Wang, H.; Li, H.; Fu, L.; Xiao, Z.; Jiang, L.; Lai, C. Rhamnolipid Based Glycerol-in-Diesel Microemulsion Fuel: Formation and Characterization. Fuel 2015, 147, 76–81. [Google Scholar] [CrossRef]
- Sedghi, R.; Shahbeik, H.; Rastegari, H.; Rafiee, S.; Peng, W.; Nizami, A.-S.; Gupta, V.K.; Chen, W.-H.; Lam, S.S.; Pan, J. Turning Biodiesel Glycerol into Oxygenated Fuel Additives and Their Effects on the Behavior of Internal Combustion Engines: A Comprehensive Systematic Review. Renew. Sustain. Energy Rev. 2022, 167, 112805. [Google Scholar] [CrossRef]
- Zhang, M.; Wu, H. Stability of Emulsion Fuels Prepared from Fast Pyrolysis Bio-Oil and Glycerol. Fuel 2017, 206, 230–238. [Google Scholar] [CrossRef]
- Álvarez, M.; Frey, A.; Bitter, J.; Segarra, A.; De Jong, K.; Medina, F. On the Role of the Activation Procedure of Supported Hydrotalcites for Base Catalyzed Reactions: Glycerol to Glycerol Carbonate and Self-Condensation of Acetone. Appl. Catal. B Environ. 2013, 134, 231–237. [Google Scholar] [CrossRef]
- Hu, K.; Wang, H.; Liu, Y.; Yang, C. KNO3/CaO as Cost-Effective Heterogeneous Catalyst for the Synthesis of Glycerol Carbonate from Glycerol and Dimethyl Carbonate. J. Ind. Eng. Chem. 2015, 28, 334–343. [Google Scholar] [CrossRef]
- Khayoon, M.; Hameed, B.H. Mg1+xCa1−xO2 as Reusable and Efficient Heterogeneous Catalyst for the Synthesis of Glycerol Carbonate via the Transesterification of Glycerol with Dimethyl Carbonate. Appl. Catal. Gen. 2013, 466, 272–281. [Google Scholar] [CrossRef]
- Chang, J.-S.; Chen, D.-H. Optimization on the Etherification of Glycerol with Tert-Butyl Alcohol. J. Taiwan Inst. Chem. Eng. 2011, 42, 760–767. [Google Scholar] [CrossRef]
- Frusteri, F.; Arena, F.; Bonura, G.; Cannilla, C.; Spadaro, L.; Di Blasi, O. Catalytic Etherification of Glycerol by Tert-Butyl Alcohol to Produce Oxygenated Additives for Diesel Fuel. Appl. Catal. Gen. 2009, 367, 77–83. [Google Scholar] [CrossRef]
- Frusteri, F.; Frusteri, L.; Cannilla, C.; Bonura, G. Catalytic Etherification of Glycerol to Produce Biofuels over Novel Spherical Silica Supported Hyflon® Catalysts. Bioresour. Technol. 2012, 118, 350–358. [Google Scholar] [CrossRef]
- Bott-Neto, J.L.; Garcia, A.C.; Oliveira, V.L.; de Souza, N.E.; Tremiliosi-Filho, G. Au/C Catalysts Prepared by a Green Method towards C3 Alcohol Electrooxidation: A Cyclic Voltammetry and in Situ FTIR Spectroscopy Study. J. Electroanal. Chem. 2014, 735, 57–62. [Google Scholar] [CrossRef]
- Dai, C.; Sun, L.; Liao, H.; Khezri, B.; Webster, R.D.; Fisher, A.C.; Xu, Z.J. Electrochemical Production of Lactic Acid from Glycerol Oxidation Catalyzed by AuPt Nanoparticles. J. Catal. 2017, 356, 14–21. [Google Scholar] [CrossRef]
- Garcia, A.C.; Kolb, M.J.; van Nierop y Sanchez, C.; Vos, J.; Birdja, Y.Y.; Kwon, Y.; Tremiliosi-Filho, G.; Koper, M.T. Strong Impact of Platinum Surface Structure on Primary and Secondary Alcohol Oxidation during Electro-Oxidation of Glycerol. ACS Catal. 2016, 6, 4491–4500. [Google Scholar] [CrossRef]
- Gomes, J.F.; Tremiliosi-Filho, G. Spectroscopic Studies of the Glycerol Electro-Oxidation on Polycrystalline Au and Pt Surfaces in Acidic and Alkaline Media. Electrocatalysis 2011, 2, 96–105. [Google Scholar] [CrossRef]
- Kwon, Y.; Hersbach, T.J.; Koper, M. Electro-Oxidation of Glycerol on Platinum Modified by Adatoms: Activity and Selectivity Effects. Top. Catal. 2014, 57, 1272–1276. [Google Scholar] [CrossRef]
- Sauter, W.; Bergmann, O.L.; Schröder, U. Hydroxyacetone: A Glycerol-Based Platform for Electrocatalytic Hydrogenation and Hydrodeoxygenation Processes. ChemSusChem 2017, 10, 3105–3110. [Google Scholar] [CrossRef] [PubMed]
- Vo, T.-G.; Ho, P.-Y.; Chiang, C.-Y. Operando Mechanistic Studies of Selective Oxidation of Glycerol to Dihydroxyacetone over Amorphous Cobalt Oxide. Appl. Catal. B Environ. 2022, 300, 120723. [Google Scholar] [CrossRef]
- André, A.; Diamantopoulou, P.; Philippoussis, A.; Sarris, D.; Komaitis, M.; Papanikolaou, S. Biotechnological Conversions of Bio-Diesel Derived Crude glycerol into Added-Value Compounds by Higher Fungi: Production of Biomass, Single Cell Oil and Oxalic Acid. Ind. Crops Prod. 2010, 31, 407–416. [Google Scholar] [CrossRef]
- Pradima, J.; Kulkarni, M.R. Review on Enzymatic Synthesis of Value Added Products of Glycerol, a by-Product Derived from Biodiesel Production. Resour.-Effic. Technol. 2017, 3, 394–405. [Google Scholar] [CrossRef]
- Loureiro-Pinto, M.; González-Benito, G.; Coca, M.; Lucas, S.; García-Cubero, M.T. Valorization of Crude Glycerol from the Biodiesel Industry to 1,3-propanediol by Clostridium Butyricum DSM 10702: Influence of Pretreatment with Ion Exchange Resins. Can. J. Chem. Eng. 2016, 94, 1242–1248. [Google Scholar] [CrossRef]
- Chatzifragkou, A.; Papanikolaou, S.; Dietz, D.; Doulgeraki, A.I.; Nychas, G.-J.E.; Zeng, A.-P. Production of 1,3-Propanediol by Clostridium Butyricum Growing on Biodiesel-Derived Crude Glycerol through a Non-Sterilized Fermentation Process. Appl. Microbiol. Biotechnol. 2011, 91, 101–112. [Google Scholar] [CrossRef]
- González-Pajuelo, M.; Andrade, J.; Vasconcelos, I. Production of 1,3-Propanediol by Clostridium Butyricum VPI 3266 in Continuous Cultures with High Yield and Productivity. J. Ind. Microbiol. Biotechnol. 2005, 32, 391–396. [Google Scholar] [CrossRef]
- Wilkens, E.; Ringel, A.K.; Hortig, D.; Willke, T.; Vorlop, K.-D. High-Level Production of 1,3-Propanediol from Crude Glycerol by Clostridium Butyricum AKR102a. Appl. Microbiol. Biotechnol. 2012, 93, 1057–1063. [Google Scholar] [CrossRef]
- Jensen, T.Ø.; Kvist, T.; Mikkelsen, M.J.; Christensen, P.V.; Westermann, P. Fermentation of Crude Glycerol from Biodiesel Production by Clostridium Pasteurianum. J. Ind. Microbiol. Biotechnol. 2012, 39, 709–717. [Google Scholar] [CrossRef] [PubMed]
- Johnson, E.E.; Rehmann, L. The Role of 1,3-Propanediol Production in Fermentation of Glycerol by Clostridium Pasteurianum. Bioresour. Technol. 2016, 209, 1–7. [Google Scholar] [CrossRef] [PubMed]
- Pyne, M.E.; Sokolenko, S.; Liu, X.; Srirangan, K.; Bruder, M.R.; Aucoin, M.G.; Moo-Young, M.; Chung, D.A.; Chou, C.P. Disruption of the Reductive 1,3-Propanediol Pathway Triggers Production of 1, 2-Propanediol for Sustained Glycerol Fermentation by Clostridium Pasteurianum. Appl. Environ. Microbiol. 2016, 82, 5375–5388. [Google Scholar] [CrossRef] [PubMed]
- Metsoviti, M.; Paraskevaidi, K.; Koutinas, A.; Zeng, A.-P.; Papanikolaou, S. Production of 1,3-Propanediol, 2,3-Butanediol and Ethanol by a Newly Isolated Klebsiella Oxytoca Strain Growing on Biodiesel-Derived Glycerol Based Media. Process Biochem. 2012, 47, 1872–1882. [Google Scholar] [CrossRef]
- Yang, G.; Tian, J.; Li, J. Fermentation of 1,3-Propanediol by a Lactate Deficient Mutant of Klebsiella Oxytoca under Microaerobic Conditions. Appl. Microbiol. Biotechnol. 2007, 73, 1017–1024. [Google Scholar] [CrossRef] [PubMed]
- Cheng, K.-K.; Zhang, J.-A.; Liu, D.-H.; Sun, Y.; Liu, H.-J.; Yang, M.-D.; Xu, J.-M. Pilot-Scale Production of 1,3-Propanediol Using Klebsiella Pneumoniae. Process Biochem. 2007, 42, 740–744. [Google Scholar] [CrossRef]
- Oh, B.-R.; Hong, W.-K.; Heo, S.-Y.; Luo, L.H.; Kondo, A.; Seo, J.-W.; Kim, C.H. The Production of 1,3-Propanediol from Mixtures of Glycerol and Glucose by a Klebsiella Pneumoniae Mutant Deficient in Carbon Catabolite Repression. Bioresour. Technol. 2013, 130, 719–724. [Google Scholar] [CrossRef]
- Yang, X.; Kim, D.S.; Choi, H.S.; Kim, C.K.; Thapa, L.P.; Park, C.; Kim, S.W. Repeated Batch Production of 1,3-Propanediol from Biodiesel Derived Crude glycerol by Klebsiella Pneumoniae. Chem. Eng. J. 2017, 314, 660–669. [Google Scholar] [CrossRef]
- Yang, X.; Choi, H.S.; Lee, J.H.; Lee, S.K.; Han, S.O.; Park, C.; Kim, S.W. Improved Production of 1,3-Propanediol from Biodiesel-Derived Crude Glycerol by Klebsiella Pneumoniae in Fed-Batch Fermentation. Chem. Eng. J. 2018, 349, 25–36. [Google Scholar] [CrossRef]
- Metsoviti, M.; Zeng, A.-P.; Koutinas, A.A.; Papanikolaou, S. Enhanced 1,3-Propanediol Production by a Newly Isolated Citrobacter Freundii Strain Cultivated on Biodiesel-Derived Crude glycerol through Sterile and Non-Sterile Bioprocesses. J. Biotechnol. 2013, 163, 408–418. [Google Scholar] [CrossRef]
- Celińska, E.; Drożdżyńska, A.; Jankowska, M.; Białas, W.; Czaczyk, K.; Grajek, W. Genetic Engineering to Improve 1,3-Propanediol Production in an Isolated Citrobacter Freundii Strain. Process Biochem. 2015, 50, 48–60. [Google Scholar] [CrossRef]
- Maervoet, V.E.; Beauprez, J.; De Maeseneire, S.L.; Soetaert, W.K.; De Mey, M. Citrobacter Werkmanii, a New Candidate for the Production of 1,3-Propanediol: Strain Selection and Carbon Source Optimization. Green Chem. 2012, 14, 2168–2178. [Google Scholar] [CrossRef]
- Vivek, N.; Pandey, A.; Binod, P. Biological Valorization of Pure and Crude Glycerol into 1,3-Propanediol Using a Novel Isolate Lactobacillus Brevis N1E9. 3.3. Bioresour. Technol. 2016, 213, 222–230. [Google Scholar] [CrossRef] [PubMed]
- Clomburg, J.M.; Gonzalez, R. Metabolic Engineering of Escherichia coli for the Production of 1, 2-propanediol from Glycerol. Biotechnol. Bioeng. 2011, 108, 867–879. [Google Scholar] [CrossRef] [PubMed]
- Przystałowska, H.; Lipiński, D.; Słomski, R. Biotechnological Conversion of Glycerol from Biofuels to 1,3-Propanediol Using Escherichia coli. Acta Biochim. Pol. 2015, 62, 23–34. [Google Scholar] [CrossRef] [PubMed]
- Tang, X.; Tan, Y.; Zhu, H.; Zhao, K.; Shen, W. Microbial Conversion of Glycerol to 1,3-Propanediol by an Engineered Strain of Escherichia coli. Appl. Environ. Microbiol. 2009, 75, 1628–1634. [Google Scholar] [CrossRef]
- Khanna, S.; Goyal, A.; Moholkar, V.S. Production of N-Butanol from Biodiesel Derived Crude Glycerol Using Clostridium Pasteurianum Immobilized on Amberlite. Fuel 2013, 112, 557–561. [Google Scholar] [CrossRef]
- Xin, F.; Chen, T.; Jiang, Y.; Lu, J.; Dong, W.; Zhang, W.; Ma, J.; Zhang, M.; Jiang, M. Enhanced Biobutanol Production with High Yield from Crude Glycerol by Acetone Uncoupled Clostridium Sp. Strain CT7. Bioresour. Technol. 2017, 244, 575–581. [Google Scholar] [CrossRef]
- Oh, B.-R.; Heo, S.-Y.; Lee, S.-M.; Hong, W.-K.; Park, J.M.; Jung, Y.R.; Kim, D.-H.; Sohn, J.-H.; Seo, J.-W.; Kim, C.H. Production of 2-Butanol from Crude Glycerol by a Genetically-Engineered Klebsiella Pneumoniae Strain. Biotechnol. Lett. 2014, 36, 57–62. [Google Scholar] [CrossRef]
- Ju, J.-H.; Wang, D.; Heo, S.-Y.; Kim, M.-S.; Seo, J.-W.; Kim, Y.-M.; Kim, D.-H.; Kang, S.-A.; Kim, C.-H.; Oh, B.-R. Enhancement of 1,3-Propanediol Production from Industrial by-Product by Lactobacillus Reuteri CH53. Microb. Cell Factories 2020, 19, 6. [Google Scholar] [CrossRef]
- Sumitha, V.; Christy Mathelin, R.; Sivanandham, M. Effect of Major and Minor Nutrients on Lactic Acid Production Using Biodiesel Waste-Derived Crude Glycerol as a Carbon Source by Lactobacillus Casei NCIM 2125. Energy Sources Part Recovery Util. Environ. Eff. 2018, 40, 1322–1331. [Google Scholar] [CrossRef]
- Mazumdar, S.; Clomburg, J.M.; Gonzalez, R. Escherichia coli Strains Engineered for Homofermentative Production of D-Lactic Acid from Glycerol. Appl. Environ. Microbiol. 2010, 76, 4327–4336. [Google Scholar] [CrossRef] [PubMed]
- Mazumdar, S.; Blankschien, M.D.; Clomburg, J.M.; Gonzalez, R. Efficient Synthesis of L-Lactic Acid from Glycerol by Metabolically Engineered Escherichia coli. Microb. Cell Factories 2013, 12, 7. [Google Scholar] [CrossRef] [PubMed]
- Cheng, K.-K.; Zeng, J.; Jian, J.-H.; Zhu, J.-F.; Zhang, G.-X.; Liu, D.-H. Model-Based Temperature Control for Improving Lactic Acid Production from Glycerol. RSC Adv. 2019, 9, 11614–11620. [Google Scholar] [CrossRef]
- Soo, C.-S.; Yap, W.-S.; Hon, W.-M.; Ramli, N.; Shah, U.K.M.; Phang, L.-Y. Co-Production of Hydrogen and Ethanol by Escherichia coli SS1 and Its Recombinant. Electron. J. Biotechnol. 2017, 30, 64–70. [Google Scholar] [CrossRef]
- Tamires Moreira Melo, N.; Pontes, G.C.; Procópio, D.P.; de Gois e Cunha, G.C.; Eliodório, K.P.; Costa Paes, H.; Basso, T.O.; Parachin, N.S. Evaluation of Product Distribution in Chemostat and Batch Fermentation in Lactic Acid-Producing Komagataella Phaffii Strains Utilizing Glycerol as Substrate. Microorganisms 2020, 8, 781. [Google Scholar] [CrossRef]
- Mabutyana, L.; Pott, R.W. Photo-Fermentative Hydrogen Production by Rhodopseudomonas Palustris CGA009 in the Presence of Inhibitory Compounds. Int. J. Hydrogen Energy 2021, 46, 29088–29099. [Google Scholar] [CrossRef]
- Gupta, A.; Murarka, A.; Campbell, P.; Gonzalez, R. Anaerobic Fermentation of Glycerol in Paenibacillus Macerans: Metabolic Pathways and Environmental Determinants. Appl. Environ. Microbiol. 2009, 75, 5871–5883. [Google Scholar] [CrossRef]
- Varrone, C.; Giussani, B.; Izzo, G.; Massini, G.; Marone, A.; Signorini, A.; Wang, A. Statistical Optimization of Biohydrogen and Ethanol Production from Crude Glycerol by Microbial Mixed Culture. Int. J. Hydrogen Energy 2012, 37, 16479–16488. [Google Scholar] [CrossRef]
- Marchand, K.; Lubitz, W.; Nicol, R. Utilization of Biodiesel Derived Crude Glycerol by Fungal Isolates for Biomass and Single Cell Oil Production. J. Biobased Mater. Bioenergy 2013, 7, 415–419. [Google Scholar] [CrossRef]
- Yu, K.O.; Kim, S.W.; Han, S.O. Engineering of Glycerol Utilization Pathway for Ethanol Production by Saccharomyces Cerevisiae. Bioresour. Technol. 2010, 101, 4157–4161. [Google Scholar] [CrossRef] [PubMed]
- Morgunov, I.G.; Kamzolova, S.V.; Lunina, J.N. The Citric Acid Production from Raw Glycerol by Yarrowia Lipolytica Yeast and Its Regulation. Appl. Microbiol. Biotechnol. 2013, 97, 7387–7397. [Google Scholar] [CrossRef] [PubMed]
- Morgunov, I.G.; Kamzolova, S.V.; Lunina, J.N. Citric Acid Production by Yarrowia Lipolytica Yeast on Different Renewable Raw Materials. Fermentation 2018, 4, 36. [Google Scholar] [CrossRef]
- Rymowicz, W.; Fatykhova, A.R.; Kamzolova, S.V.; Rywińska, A.; Morgunov, I.G. Citric Acid Production from Glycerol-Containing Waste of Biodiesel Industry by Yarrowia Lipolytica in Batch, Repeated Batch, and Cell Recycle Regimes. Appl. Microbiol. Biotechnol. 2010, 87, 971–979. [Google Scholar] [CrossRef] [PubMed]
- Li, C.; Gao, S.; Yang, X.; Lin, C.S.K. Green and Sustainable Succinic Acid Production from Crude Glycerol by Engineered Yarrowia Lipolytica via Agricultural Residue Based in Situ Fibrous Bed Bioreactor. Bioresour. Technol. 2018, 249, 612–619. [Google Scholar] [CrossRef]
- Lung, Y.-T.; Tan, C.H.; Show, P.L.; Ling, T.C.; Lan, J.C.-W.; Lam, H.L.; Chang, J.-S. Docosahexaenoic Acid Production from Crude Glycerol by Schizochytrium Limacinum SR21. Clean Technol. Environ. Policy 2016, 18, 2209–2216. [Google Scholar] [CrossRef]
- Hong, A.; Cheng, K.; Peng, F.; Zhou, S.; Sun, Y.; Liu, C.; Liu, D. Strain Isolation and Optimization of Process Parameters for Bioconversion of Glycerol to Lactic Acid. J. Chem. Technol. Biotechnol. 2009, 84, 1576–1581. [Google Scholar] [CrossRef]
- Nomanbhay, S.; Ong, M.Y.; Chew, K.W.; Show, P.-L.; Lam, M.K.; Chen, W.-H. Organic Carbonate Production Utilizing Crude Glycerol Derived as By-Product of Biodiesel Production: A Review. Energies 2020, 13, 1483. [Google Scholar] [CrossRef]
- Iyyappan, J.; Bharathiraja, B.; Baskar, G.; Kamalanaban, E. Process Optimization and Kinetic Analysis of Malic Acid Production from Crude Glycerol Using Aspergillus Niger. Bioresour. Technol. 2019, 281, 18–25. [Google Scholar] [CrossRef]
- Kuenz, A.; Hoffmann, L.; Goy, K.; Bromann, S.; Prüße, U. High-Level Production of Succinic Acid from Crude Glycerol by a Wild Type Organism. Catalysts 2020, 10, 470. [Google Scholar] [CrossRef]
- Zhou, M.; Chen, J.; Freguia, S.; Rabaey, K.; Keller, J. Carbon and Electron Fluxes during the Electricity Driven 1,3-Propanediol Biosynthesis from Glycerol. Environ. Sci. Technol. 2013, 47, 11199–11205. [Google Scholar] [CrossRef] [PubMed]
- Selembo, P.A.; Perez, J.M.; Lloyd, W.A.; Logan, B.E. High Hydrogen Production from Glycerol or Glucose by Electrohydrogenesis Using Microbial Electrolysis Cells. Int. J. Hydrogen Energy 2009, 34, 5373–5381. [Google Scholar] [CrossRef]
- Choi, O.; Kim, T.; Woo, H.M.; Um, Y. Electricity-Driven Metabolic Shift through Direct Electron Uptake by Electroactive Heterotroph Clostridiumpasteurianum. Sci. Rep. 2014, 4, 6961. [Google Scholar] [CrossRef] [PubMed]
- Harussani, M.; Sapuan, S.; Rashid, U.; Khalina, A.; Ilyas, R. Pyrolysis of Polypropylene Plastic Waste into Carbonaceous Char: Priority of Plastic Waste Management amidst COVID-19 Pandemic. Sci. Total Environ. 2022, 803, 149911. [Google Scholar] [CrossRef] [PubMed]
- Li, X.-L.; Zhou, Q.; Pan, S.-X.; He, Y.; Chang, F. A Review of Catalytic Upgrading of Biodiesel Crude glycerol to Valuable Products. Curr. Green Chem. 2020, 7, 259–266. [Google Scholar] [CrossRef]
- Isahak, W.N.R.W.; Hisham, M.W.; Yarmo, M.A.; Hin, T.Y. A Review on Bio-Oil Production from Biomass by Using Pyrolysis Method. Renew. Sustain. Energy Rev. 2012, 16, 5910–5923. [Google Scholar] [CrossRef]
- Khosravanipour Mostafazadeh, A.; Solomatnikova, O.; Drogui, P.; Tyagi, R.D. A Review of Recent Research and Developments in Fast Pyrolysis and Bio-Oil Upgrading. Biomass Convers. Biorefin. 2018, 8, 739–773. [Google Scholar] [CrossRef]
- Lam, S.S.; Liew, R.K.; Jusoh, A.; Chong, C.T.; Ani, F.N.; Chase, H.A. Progress in Waste Oil to Sustainable Energy, with Emphasis on Pyrolysis Techniques. Renew. Sustain. Energy Rev. 2016, 53, 741–753. [Google Scholar] [CrossRef]
- Harussani, M.M.; Rashid, U.; Sapuan, S.M.; Abdan, K. Low-Temperature Thermal Degradation of Disinfected COVID-19 Non-Woven Polypropylene—Based Isolation Gown Wastes into Carbonaceous Char. Polymers 2021, 13, 3980. [Google Scholar] [CrossRef]
- Pinheiro Pires, A.P.; Arauzo, J.; Fonts, I.; Domine, M.E.; Fernández Arroyo, A.; Garcia-Perez, M.E.; Montoya, J.; Chejne, F.; Pfromm, P.; Garcia-Perez, M. Challenges and Opportunities for Bio-Oil Refining: A Review. Energy Fuels 2019, 33, 4683–4720. [Google Scholar] [CrossRef]
- Shahnazari, A. Catalytic Co-Conversion of Glycerol and Proton-Donor Species to Gasoline-Range Aromatics over Alumina. Ph.D. Thesis, University of New Brunswick, Fredericton, NB, Canada, 2016; p. 113. Available online: https://unbscholar.lib.unb.ca/islandora/object/unbscholar%3A8006/datastream/PDF/download/citation.pdf (accessed on 1 February 2023).
- Suib, S.L. New and Future Developments in Catalysis: Catalytic Biomass Conversion; Newnes: Oxford, UK, 2013; ISBN 0-444-53879-8. [Google Scholar]
- Hoang, T.Q.; Zhu, X.; Danuthai, T.; Lobban, L.L.; Resasco, D.E.; Mallinson, R.G. Conversion of Glycerol to Alkyl-Aromatics over Zeolites. Energy Fuels 2010, 24, 3804–3809. [Google Scholar] [CrossRef]
- Suh, Y.-W.; Jang, H.-S.; Bae, K.-B. Method for Producing Bio-Aromatics from Glycerol. U.S. Patent 9,834,489, 5 December 2017. [Google Scholar]
- Müller, J.B.; Vogel, F. Tar and Coke Formation during Hydrothermal Processing of Glycerol and Glucose. Influence of Temperature, Residence Time and Feed Concentration. J. Supercrit. Fluids 2012, 70, 126–136. [Google Scholar] [CrossRef]
- Onwudili, J.A.; Williams, P.T. Hydrothermal Reforming of Bio-Diesel Plant Waste: Products Distribution and Characterization. Fuel 2010, 89, 501–509. [Google Scholar] [CrossRef]
- Van Bennekom, J.; Venderbosch, R.; Assink, D.; Heeres, H. Reforming of Methanol and Glycerol in Supercritical Water. J. Supercrit. Fluids 2011, 58, 99–113. [Google Scholar] [CrossRef]
- Markočič, E.; Kramberger, B.; van Bennekom, J.G.; Heeres, H.J.; Vos, J.; Knez, Ž. Glycerol Reforming in Supercritical Water; a Short Review. Renew. Sustain. Energy Rev. 2013, 23, 40–48. [Google Scholar] [CrossRef]
- Pavlovic, I.; Knez, Z.; Skerget, M. Hydrothermal Reactions of Agricultural and Food Processing Wastes in Sub-and Supercritical Water: A Review of Fundamentals, Mechanisms, and State of Research. J. Agric. Food Chem. 2013, 61, 8003–8025. [Google Scholar] [CrossRef]
- Remón, J.; Zhu, G.; Budarin, V.L.; Clark, J.H. Analysis and Optimisation of a Microwave-Assisted Hydrothermal Process for the Production of Value-Added Chemicals from Glycerol. Green Chem. 2018, 20, 2624–2636. [Google Scholar] [CrossRef]
- Cui, Z.; Cheng, F.; Jarvis, J.M.; Jena, U.; Brewer, C.E. Integrated Extraction and Catalytic Upgrading of Biocrude Oil from Co-Hydrothermal Liquefaction of Crude Glycerol and Algae. Energy Fuels 2021, 35, 12165–12174. [Google Scholar] [CrossRef]
- Krammer, P.; Mittelstädt, S.; Vogel, H. Investigating the Synthesis Potential in Supercritical Water. Chem. Eng. Technol. Ind. Chem. Equip.-Process Eng. 1999, 22, 126–130. [Google Scholar] [CrossRef]
- El Doukkali, M.; Iriondo, A.; Gandarias, I. Enhanced Catalytic Upgrading of Glycerol into High Value-Added H2 and Propanediols: Recent Developments and Future Perspectives. Mol. Catal. 2020, 490, 110928. [Google Scholar] [CrossRef]
- Fasolini, A.; Cespi, D.; Tabanelli, T.; Cucciniello, R.; Cavani, F. Hydrogen from Renewables: A Case Study of Glycerol Reforming. Catalysts 2019, 9, 722. [Google Scholar] [CrossRef]
- Charisiou, N.D.; Siakavelas, G.; Tzounis, L.; Dou, B.; Sebastian, V.; Hinder, S.J.; Baker, M.A.; Polychronopoulou, K.; Goula, M.A. Ni/Y2O3–ZrO2 Catalyst for Hydrogen Production through the Glycerol Steam Reforming Reaction. Int. J. Hydrogen Energy 2020, 45, 10442–10460. [Google Scholar] [CrossRef]
- Dahdah, E.; Estephane, J.; Gennequin, C.; Aboukais, A.; Abi-Aad, E.; Aouad, S. Zirconia Supported Nickel Catalysts for Glycerol Steam Reforming: Effect of Zirconia Structure on the Catalytic Performance. Int. J. Hydrogen Energy 2020, 45, 4457–4467. [Google Scholar] [CrossRef]
- Iriondo, A.; Barrio, V.; Cambra, J.; Arias, P.; Guemez, M.; Sanchez-Sanchez, M.; Navarro, R.; Fierro, J. Glycerol Steam Reforming over Ni Catalysts Supported on Ceria and Ceria-Promoted Alumina. Int. J. Hydrogen Energy 2010, 35, 11622–11633. [Google Scholar] [CrossRef]
- Zamzuri, N.H.; Mat, R.; Amin, N.A.S.; Talebian-Kiakalaieh, A. Hydrogen Production from Catalytic Steam Reforming of Glycerol over Various Supported Nickel Catalysts. Int. J. Hydrogen Energy 2017, 42, 9087–9098. [Google Scholar] [CrossRef]
- El-Bousiffi, M.; Gunn, D. A Dynamic Study of Steam-Methane Reforming. Int. J. Heat Mass Transf. 2007, 50, 723–733. [Google Scholar] [CrossRef]
- Yan, Z.; Liu, S.; Zhang, Y.; Wang, T.; Luo, S.; Chu, W.; Jing, F. The Role of Zr in NiZrAl Oxides Catalyst and the Evaluation on Steam Reforming of Glycerol for Hydrogen Product. Catal. Today 2019, 319, 229–238. [Google Scholar] [CrossRef]
- Davda, R.; Shabaker, J.; Huber, G.; Cortright, R.; Dumesic, J.A. A Review of Catalytic Issues and Process Conditions for Renewable Hydrogen and Alkanes by Aqueous-Phase Reforming of Oxygenated Hydrocarbons over Supported Metal Catalysts. Appl. Catal. B Environ. 2005, 56, 171–186. [Google Scholar] [CrossRef]
- El Doukkali, M.; Iriondo, A.; Arias, P.; Requies, J.; Gandarías, I.; Jalowiecki-Duhamel, L.; Dumeignil, F. A Comparison of Sol–Gel and Impregnated Pt or/and Ni Based γ-Alumina Catalysts for Bioglycerol Aqueous Phase Reforming. Appl. Catal. B Environ. 2012, 125, 516–529. [Google Scholar] [CrossRef]
- Lam, S.S.; Mahari, W.A.W.; Jusoh, A.; Chong, C.T.; Lee, C.L.; Chase, H.A. Pyrolysis Using Microwave Absorbents as Reaction Bed: An Improved Approach to Transform Used Frying Oil into Biofuel Product with Desirable Properties. J. Clean. Prod. 2017, 147, 263–272. [Google Scholar] [CrossRef]
- Dosuna-Rodríguez, I.; Gaigneaux, E.M. Glycerol Acetylation Catalysed by Ion Exchange Resins. Catal. Today 2012, 195, 14–21. [Google Scholar] [CrossRef]
- Gao, X.; Zhu, S.; Li, Y. Graphene Oxide as a Facile Solid Acid Catalyst for the Production of Bioadditives from Glycerol Esterification. Catal. Commun. 2015, 62, 48–51. [Google Scholar] [CrossRef]
- Gonçalves, V.L.; Pinto, B.P.; Silva, J.C.; Mota, C.J. Acetylation of Glycerol Catalyzed by Different Solid Acids. Catal. Today 2008, 133, 673–677. [Google Scholar] [CrossRef]
- Rodrigues, A.; Bordado, J.C.; Galhano dos Santos, R. Upgrading the Glycerol from Biodiesel Production as a Source of Energy Carriers and Chemicals—A Technological Review for Three Chemical Pathways. Energies 2017, 10, 1817. [Google Scholar] [CrossRef]
- Zhou, L.; Nguyen, T.-H.; Adesina, A.A. The Acetylation of Glycerol over Amberlyst-15: Kinetic and Product Distribution. Fuel Process. Technol. 2012, 104, 310–318. [Google Scholar] [CrossRef]
- Sánchez, J.A.; Hernández, D.L.; Moreno, J.A.; Mondragón, F.; Fernández, J.J. Alternative Carbon Based Acid Catalyst for Selective Esterification of Glycerol to Acetylglycerols. Appl. Catal. Gen. 2011, 405, 55–60. [Google Scholar] [CrossRef]
- Khayoon, M.; Hameed, B. Acetylation of Glycerol to Biofuel Additives over Sulfated Activated Carbon Catalyst. Bioresour. Technol. 2011, 102, 9229–9235. [Google Scholar] [CrossRef]
- Isahak, W.; Ismail, M.; Yarmo, M.; Jahim, J.; Salimon, J. Purification of Crude Glycerol from Transesterification RBD Palm Oil over Homogeneous and Heterogeneous Catalysts for the Biolubricant Preparation. J. Appl. Sci. 2010, 10, 2590–2595. [Google Scholar] [CrossRef]
- Ochoa-Gómez, J.R.; Gómez-Jiménez-Aberasturi, O.; Maestro-Madurga, B.; Pesquera-Rodríguez, A.; Ramírez-López, C.; Lorenzo-Ibarreta, L.; Torrecilla-Soria, J.; Villarán-Velasco, M.C. Synthesis of Glycerol Carbonate from Glycerol and Dimethyl Carbonate by Transesterification: Catalyst Screening and Reaction Optimization. Appl. Catal. Gen. 2009, 366, 315–324. [Google Scholar] [CrossRef]
- Behr, A.; Obendorf, L. Development of a Process for the Acid-catalyzed Etherification of Glycerine and Isobutene Forming Glycerine Tertiary Butyl Ethers. Eng. Life Sci. 2002, 2, 185–189. [Google Scholar] [CrossRef]
- Clacens, J.-M.; Pouilloux, Y.; Barrault, J.; Linares, C.; Goldwasser, M. Mesoporous Basic Catalysts: Comparison with Alkaline Exchange Zeolites (Basicity and Porosity). Application to the Selective Etherification of Glycerol to Polyglycerols. In Studies in Surface Science and Catalysis; Elsevier: Amsterdam, The Netherlands, 1998; Volume 118, pp. 895–902. ISBN 0167-2991. [Google Scholar]
- Klepáčová, K.; Mravec, D.; Bajus, M. Tert-Butylation of Glycerol Catalysed by Ion-Exchange Resins. Appl. Catal. Gen. 2005, 294, 141–147. [Google Scholar] [CrossRef]
- Khayoon, M.; Hameed, B. Synthesis of Hybrid SBA-15 Functionalized with Molybdophosphoric Acid as Efficient Catalyst for Glycerol Esterification to Fuel Additives. Appl. Catal. Gen. 2012, 433, 152–161. [Google Scholar] [CrossRef]
- Shi, Y.; Dayoub, W.; Chen, G.-R.; Lemaire, M. Selective Synthesis of 1-O-Alkyl Glycerol and Diglycerol Ethers by Reductive Alkylation of Alcohols. Green Chem. 2010, 12, 2189–2195. [Google Scholar] [CrossRef]
- Karinen, R.; Krause, A. New Biocomponents from Glycerol. Appl. Catal. Gen. 2006, 306, 128–133. [Google Scholar] [CrossRef]
- Corma, A.; Iborra, S.; Miquel, S.; Primo, J. Catalysts for the Production of Fine Chemicals: Production of Food Emulsifiers, Monoglycerides, by Glycerolysis of Fats with Solid Base Catalysts. J. Catal. 1998, 173, 315–321. [Google Scholar] [CrossRef]
- Mat, R.; Samsudin, R.A.; Mohamed, M.; Johari, A. Solid Catalysts and Their Application in Biodiesel Production. Bull. Chem. React. Eng. Catal. 2012, 7, 142–149. [Google Scholar] [CrossRef]
- Hunsom, M.; Saila, P. Electrochemical Conversion of Enriched Crude Glycerol: Effect of Operating Parameters. Renew. Energy 2015, 74, 227–236. [Google Scholar] [CrossRef]
- Rahim, S.A.N.M.; Lee, C.S.; Abnisa, F.; Aroua, M.K.; Daud, W.A.W.; Cognet, P.; Pérès, Y. A Review of Recent Developments on Kinetics Parameters for Glycerol Electrochemical Conversion–A by-Product of Biodiesel. Sci. Total Environ. 2020, 705, 135137. [Google Scholar] [CrossRef]
- Li, N.; Xia, W.-Y.; Xu, C.-W.; Chen, S. Pt/C and Pd/C Catalysts Promoted by Au for Glycerol and CO Electrooxidation in Alkaline Medium. J. Energy Inst. 2017, 90, 725–733. [Google Scholar] [CrossRef]
- Liu, C.; Hirohara, M.; Maekawa, T.; Chang, R.; Hayashi, T.; Chiang, C.-Y. Selective Electro-Oxidation of Glycerol to Dihydroxyacetone by a Non-Precious Electrocatalyst–CuO. Appl. Catal. B Environ. 2020, 265, 118543. [Google Scholar] [CrossRef]
- Zhou, Y.; Shen, Y.; Xi, J.; Luo, X. Selective Electro-Oxidation of Glycerol to Dihydroxyacetone by PtAg Skeletons. ACS Appl. Mater. Interfaces 2019, 11, 28953–28959. [Google Scholar] [CrossRef] [PubMed]
- Okada, K. Electrochemical Oxidation of Glycerol in a Proton-Exchange-Membrane Reactor. Ph.D. Thesis, University of Michigan, Ann Arbor, MI, USA, 2013. Available online: https://deepblue.lib.umich.edu/bitstream/handle/2027.42/97812/kanadian_1.pdf?sequence=1 (accessed on 1 February 2023).
- Mostafazadeh, A.K.; De La Torre, M.S.; Padilla, Y.; Drogui, P.; Brar, S.K.; Tyagi, R.D.; Le Bihan, Y.; Buelna, G.; Moroyoqui, P.G. An Insight into an Electro-Catalytic Reactor Concept for High Value-Added Production from Crude Glycerol: Optimization, Electrode Passivation, Product Distribution, and Reaction Pathway Identification. Renew. Energy 2021, 172, 130–144. [Google Scholar] [CrossRef]
- Li, K.; Sun, Y. Electrocatalytic Upgrading of Biomass-derived Intermediate Compounds to Value-added Products. Chem. Eur. J. 2018, 24, 18258–18270. [Google Scholar] [CrossRef]
- Coutanceau, C.; Baranton, S.; Kouamé, R.S.B. Selective Electrooxidation of Glycerol into Value-Added Chemicals: A Short Overview. Front. Chem. 2019, 7, 100. [Google Scholar] [CrossRef]
- Ahmad, M.S.; Ab Rahim, M.H.; Alqahtani, T.M.; Witoon, T.; Lim, J.-W.; Cheng, C.K. A Review on Advances in Green Treatment of Glycerol Waste with a Focus on Electro-Oxidation Pathway. Chemosphere 2021, 276, 130128. [Google Scholar] [CrossRef] [PubMed]
- Ge, S.; Shi, Y.; Xia, C.; Huang, Z.; Manzo, M.; Cai, L.; Ma, H.; Zhang, S.; Jiang, J.; Sonne, C. Progress in Pyrolysis Conversion of Waste into Value-Added Liquid Pyro-Oil, with Focus on Heating Source and Machine Learning Analysis. Energy Convers. Manag. 2021, 245, 114638. [Google Scholar] [CrossRef]
- Tang, Q.; Chen, Y.; Yang, H.; Liu, M.; Xiao, H.; Wu, Z.; Chen, H.; Naqvi, S.R. Prediction of Bio-Oil Yield and Hydrogen Contents Based on Machine Learning Method: Effect of Biomass Compositions and Pyrolysis Conditions. Energy Fuels 2020, 34, 11050–11060. [Google Scholar] [CrossRef]
- Mirkouei, A.; Haapala, K.R.; Sessions, J.; Murthy, G.S. A Review and Future Directions in Techno-Economic Modeling and Optimization of Upstream Forest Biomass to Bio-Oil Supply Chains. Renew. Sustain. Energy Rev. 2017, 67, 15–35. [Google Scholar] [CrossRef]
- Dang, Q.; Wright, M.M.; Li, W. Technoeconomic Analysis of a Hybrid Biomass Thermochemical and Electrochemical Conversion System. Energy Technol. 2018, 6, 178–187. [Google Scholar] [CrossRef]
Disclaimer/Publisher’s Note: The statements, opinions and data contained in all publications are solely those of the individual author(s) and contributor(s) and not of MDPI and/or the editor(s). MDPI and/or the editor(s) disclaim responsibility for any injury to people or property resulting from any ideas, methods, instructions or products referred to in the content. |
© 2023 by the authors. Licensee MDPI, Basel, Switzerland. This article is an open access article distributed under the terms and conditions of the Creative Commons Attribution (CC BY) license (https://creativecommons.org/licenses/by/4.0/).









