Modeling and Analysis of Driving Behaviour for Heterogeneous Traffic Flow Considering Market Penetration under Capacity Constraints
Abstract
1. Introduction
2. Materials and Methods
2.1. Notation
2.2. Model
2.2.1. Upper Level Planning Model
2.2.2. Lower Level Planning Model
- Single Traffic Flow Assignment Model
- Mixed Traffic Flow Assignment Model
2.3. Solution Algorithm
2.4. Simulation Software
- Road network capacity analysis. The demand side input comprises the initial traffic demand, travel demand growth multiplier and demand multiplier step size. The model side input includes the convergence detection iteration accuracy and information quality level (familiarity of ordinary drivers with the road network). Through MATLAB software, the maximum road network capacity and corresponding travel time under the link capacity constraint are output, and the parameter of travel demand is determined.
- Market penetration analysis. The demand side input is modified to the travel demand determined in the previous part, and other input data remain unchanged. Different types of vehicles are mixed in the road network, and the average travel time under different market penetration is output through simulation calculation, and the market penetration of autonomous vehicles and ATIS vehicles are determined.
- Road network equilibrium analysis. The input data is based on the above, and the parameter of market penetration is added as input of the model side. The link flow and path flow in the equilibrium state and the corresponding travel time are obtained by MATLAB software.
3. Results and Discussion
3.1. Basic Information of Road Network
3.2. Road Network Capacity Analysis
3.3. Market Penetration Analysis
3.3.1. SO-SUE Mixed Mode
3.3.2. SO-UE Mixed Mode
3.3.3. UE-SUE Mixed Mode
3.3.4. SO-UE-SUE Mixed Mode
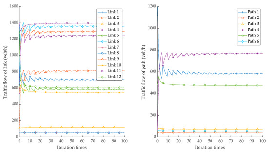
3.4. Road Network Equilibrium Analysis
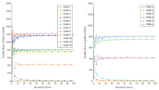
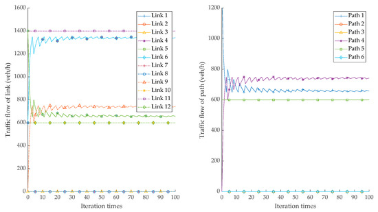
3.4.1. SUE Mode Analysis
3.4.2. UE Mode Analysis
3.4.3. SO Mode Analysis
- Regular Lanes
- Dedicated Lanes
3.4.4. Mixed Equalization Flow Analysis
3.5. Discussion
3.5.1. Analysis of Results in Road Network Capacity
- When regular lanes are adopted, there is no distinct difference between the road network capacity of different modes. Specifically, the SUE mode has the largest road network capacity but the maximum travel time because of the random distribution of traffic flow in all paths. The flow in UE mode is concentrated on the shortest path, with the minimum travel time, but the road network capacity is the smallest. The road network capacity and travel time of SO mode are in a moderate state.
- The capacity of a road network is significantly increased due to the improvement of the link capacity when dedicated lanes are adopted. In the actual road network planning, with the continuous use of autonomous vehicles, dedicated lanes can be set to increase the road network capacity and alleviate traffic congestion.
3.5.2. Analysis of Results in Market Penetration
- If only two types of vehicles are mixed in the road network, the impact of changes in market penetration on average travel time is different. Among them, in SO-SUE mode and UE-SUE mode, with the increase of market penetration, the proportion of ordinary vehicles in the road network gradually decreases, making the average travel time significantly shorter, indicating that in this context, ordinary vehicles can be encouraged to be replaced by autonomous vehicles or ATIS vehicles. In SO-UE mode, with the increase of market penetration of autonomous vehicles, the average travel time also decreases, but it is not obvious, which means that it is not necessary to excessively pursue the improvement of market penetration of autonomous vehicles against this backdrop.
- When there are three types of vehicles in the road network, increasing the market penetration of autonomous vehicles and ATIS vehicles can shorten the travel time, and the former effect is more obvious, indicating that the development of autonomous vehicles should be promoted.
3.5.3. Analysis of Results in Road Network Equilibrium
- The total travel time in SUE mode is the maximum. When it comes to traffic flow distribution by the stochastic user optimization principle, road sources can be utilized by travelers in consideration of random factors, equally distributed flow on each chosen section, moderate degree of saturation; however, the incorrect options made by some travelers lead to an increase in the travel cost.
- When the principle of user optimization is adopted for traffic flow assignment, all travelers can fully grasp the road network situation and accurately identify the shortest path, and finally achieve UE equilibrium state, but the traffic is too concentrated, and some paths are not effectively utilized.
- When the principle of system optimization is adopted for traffic flow assignment, most of the traffic flow is not allocated to the shortest path, resulting in an increase in the time cost of some travelers. However, from a global perspective, the total travel cost can be minimized, and the result is better than SUE and UE modes.
- Further research on SO mode shows that when the dedicated lanes are adopted, there is a substantial increase in the traffic capacity and a drop in the traffic time on all the paths. In this case, the total travel time is further reduced. With the application of autonomous vehicles, setting dedicated lanes can bring positive benefits.
- The SUE-UE-SO mode is based on the initial period of autonomous vehicles; the total travel time is reduced but this is not obvious. From the perspective of development, different types of traffic flow will choose paths according to corresponding principles, which not only improves the efficiency of using road resources but also reduces travel cost as much as possible. With the continuous improvement of informatization, the operation mode of mixed traffic flow in the future will be more in line with the actual situation, and achieve greater benefits with the continuous popularity of autonomous vehicles.
4. Conclusions
Author Contributions
Funding
Institutional Review Board Statement
Informed Consent Statement
Data Availability Statement
Conflicts of Interest
Nomenclature
| Notations | Explanation |
| set of nodes | |
| set of links | |
| set of paths | |
| set of origin-destination (OD) pairs | |
| set of origin nodes | |
| set of destination nodes | |
| index of link, | |
| index of path, | |
| travel demand between OD pair | |
| travel demand of ordinary vehicles between OD pair | |
| travel demand of ATIS vehicles between OD pair | |
| travel demand of autonomous vehicles between OD pair | |
| traffic flow on link | |
| traffic flow of ordinary vehicles on link | |
| traffic flow of ATIS vehicles on link | |
| traffic flow of autonomous vehicles on link | |
| free flow travel time on link | |
| travel time on link corresponding to the traffic flow | |
| travel time of ordinary vehicles on link corresponding to the traffic flow | |
| travel time of ATIS vehicles on link corresponding to the traffic flow | |
| travel time of autonomous vehicles on link corresponding to the traffic flow | |
| traffic flow on path between OD pair | |
| traffic flow of ordinary vehicles on path between OD pair | |
| traffic flow of ATIS vehicles on path between OD pair | |
| traffic flow of autonomous vehicles on path between OD pair | |
| multiplier of travel demand growth between OD pair | |
| capacity of link on regular lanes | |
| capacity of link on dedicated lanes | |
| level of information quality, which represents the familiarity of the vehicle driver with the road network | |
| link-path incidence that equals 1 if link belongs to path between OD pair , and 0 otherwise | |
| probability of ordinary vehicles choosing path between OD pair | |
| actual travel time for path between OD pair | |
| market penetration of autonomous vehicles | |
| market penetration of ATIS vehicles |
References
- Shladover, S.; Su, D.; Lu, X.Y. Impacts of cooperative adaptive cruise control on freeway traffic flow. Transp. Res. Rec. 2012, 2324, 63–70. [Google Scholar] [CrossRef]
- Sun, J.; Zheng, Z.; Sun, J. The relationship between car following string instability and traffic oscillations in finite-sized platoons and its use in easing congestion via connected and automated vehicles with IDM based controller. Transp. Res. Part B Meth. 2020, 142, 58–83. [Google Scholar] [CrossRef]
- Chen, D.; Ahn, S.; Chitturi, M.; Noyce, D.A. Towards vehicle automation: Roadway capacity formulation for traffic mixed with regular and automated vehicles. Transp. Res. Part B Meth. 2017, 100, 196–221. [Google Scholar] [CrossRef]
- Yao, Z.; Wang, Y.; Liu, B.; Zhao, B.; Jiang, Y. Fuel Consumption and Transportation Emissions Evaluation of Mixed Traffic Flow with Connected Automated Vehicles and Human-driven Vehicles on Expressway. Energy 2021, 230, 120766. [Google Scholar] [CrossRef]
- Xiao, G.; Lee, J.; Jiang, Q.; Huang, H.; Abdel-Aty, M.; Wang, L. Safety improvements by intelligent connected vehicle technologies: A meta-analysis considering market penetration rates. Accid. Anal. Prev. 2021, 159, 106234. [Google Scholar] [CrossRef] [PubMed]
- Jia, D.; Ngoduy, D. Enhanced cooperative car-following traffic model with the combination of V2V and V2I communication. Transp. Res. Part B Meth. 2016, 90, 172–191. [Google Scholar] [CrossRef]
- Wang, Y.; Duan, X.; Tian, D.; Chen, M.; Zhang, X. A DSRC-based vehicular positioning enhancement using a distributed multiple-model kalman filter. IEEE Access 2016, 4, 8338–8350. [Google Scholar] [CrossRef]
- Arakawa, T. Trial verification of human reliance on autonomous vehicles from the viewpoint of human factors. Int. J. Innov. Comput. Inf. Control. 2018, 14, 491–501. [Google Scholar]
- Yao, Z.; Wu, Y.; Wang, Y.; Zhao, B.; Jiang, Y. Analysis of the impact of maximum platoon size of CAVs on mixed traffic flow: An analytical and simulation method. Transp. Res. Part C Emerg. Technol. 2023, 147, 103989. [Google Scholar] [CrossRef]
- Wardrop, J.G. Some theoretical aspects of road traffic research. Proc. Inst. Civ. Eng. 1952, 1, 325–362. [Google Scholar] [CrossRef]
- Daganzo, C.F.; Sheffi, Y. On stochastic models of traffic assignment. Transport. Sci. 1977, 11, 253–274. [Google Scholar] [CrossRef]
- Ben-Akiva, M. Dynamic network equilibrium research. Transp. Res. Part A General. 1985, 19, 429–431. [Google Scholar] [CrossRef]
- Cantarella, G.E.; Cascetta, E. Dynamic processes and equilibrium in transportation networks: Towards a unifying theory. Transport. Sci. 1995, 29, 305–329. [Google Scholar] [CrossRef]
- Guo, R.Y.; Yang, H.; Huang, H.J.; Tan, Z. Link-based day-to-day network traffic dynamics and equilibria. Transp. Res. Part B Meth. 2015, 71, 248–260. [Google Scholar] [CrossRef]
- Watling, D.P.; Cantarella, G.E. Model representation and decision-making in an ever-changing world: The role of stochastic process models of transportation systems. Netw. Spat. Econ. 2015, 15, 843–882. [Google Scholar] [CrossRef]
- Yang, H. Multiple equilibrium behaviors and advanced traveler information systems with endogenous market penetration. Transp. Res. Part B Meth. 1998, 32, 205–218. [Google Scholar] [CrossRef]
- Yin, Y.; Yang, H. Simultaneous determination of the equilibrium market penetration and compliance rate of advanced traveler information systems. Transp. Res. Part A Policy Pract. 2003, 37, 165–181. [Google Scholar] [CrossRef]
- Huang, H.; Liu, T.; Yang, H. Modeling the evolutions of day-to-day route choice and year-to-year ATIS adoption with stochastic user equilibrium. J. Adv. Transp. 2008, 42, 111–127. [Google Scholar] [CrossRef]
- Cheng, L.; Lou, X.; Zhou, J.; Ma, J. A mixed stochastic user equilibrium model considering influence of advanced traveler information systems in degradable transport network. J. Cent. South Univ. 2018, 25, 1182–1194. [Google Scholar] [CrossRef]
- Ma, Y.; Zhang, Z.; Chen, S.; Yu, Y.; Tang, K. A comparative study of aggressive driving behavior recognition algorithms based on vehicle motion data. IEEE Access 2019, 7, 8028–8038. [Google Scholar] [CrossRef]
- Wang, J.; Zheng, Y.; Xu, Q.; Wang, J.; Li, K. Controllability analysis and optimal control of mixed traffic flow with human-driven and autonomous vehicles. IEEE. Trans. Intell. Transp. Syst. 2021, 22, 7445–7459. [Google Scholar] [CrossRef]
- Al-Turki, M.; Ratrout, N.T.; Rahman, S.M.; Reza, I. Impacts of autonomous vehicles on traffic flow characteristics under mixed traffic environment: Future perspectives. Sustainability 2021, 13, 11052. [Google Scholar] [CrossRef]
- Shiwakoti, N.; Stasinopoulos, P.; Fedele, F. Investigating the state of connected and autonomous vehicles: A literature Review. Transp. Res. Procedia 2020, 48, 870–882. [Google Scholar] [CrossRef]
- Wang, J.; Peeta, S.; He, X. Multiclass traffic assignment model for mixed traffic flow of human-driven vehicles and connected and autonomous vehicles. Transp. Res. Part B Meth. 2019, 126, 139–168. [Google Scholar] [CrossRef]
- Yao, Z.; Hu, R.; Wang, Y.; Jiang, Y.; Ran, B.; Chen, Y. Stability analysis and the fundamental diagram for mixed connected automated and human-driven vehicles. Phys. A 2019, 533, 1–16. [Google Scholar] [CrossRef]
- Chen, Z.; He, F.; Yin, Y.; Du, Y. Optimal design of autonomous vehicle zones in transportation networks. Transp. Res. Part B Meth. 2017, 99, 44–61. [Google Scholar] [CrossRef]
- Ye, L.; Yamamoto, T. Modeling connected and autonomous vehicles in heterogeneous traffic flow. Phys. A 2018, 490, 269–277. [Google Scholar] [CrossRef]
- Ye, L.; Yamamoto, T. Impact of dedicated lanes for connected and autonomous vehicle on traffic flow throughput. Physica A 2018, 512, 588–597. [Google Scholar] [CrossRef]
- Huang, Z.; Tang, Z.; Qin, D.; Kuang, A. A Road Network Reserve Capacity Model in the Autonomous Environment. China J. Highw. Transp. 2019, 32, 98–105. [Google Scholar] [CrossRef]
- Levin, M.W.; Boyles, S.D. A multiclass cell transmission model for shared human and autonomous vehicle roads. Transp. Res. Part C Emerg. Technol. 2016, 62, 103–116. [Google Scholar] [CrossRef]
- Bifulco, G.N.; Cantarella, G.E.; Simonelli, F.; Velonà, P. Advanced traveler information systems under recurrent traffic conditions: Network equilibrium and stability. Transp. Res. Part B Meth. 2016, 92, 73–87. [Google Scholar] [CrossRef]
- Zheng, F.; Liu, C.; Liu, X.; Jabari, S.E.; Lu, L. Analyzing the impact of automated vehicles on uncertainty and stability of the mixed traffic flow. Transp. Res. Part C Emerg. Technol. 2020, 112, 203–219. [Google Scholar] [CrossRef]
- Bagloee, S.A.; Sarvi, M.; Patriksson, M.; Rajabifard, A. A mixed user-equilibrium and system-optimal traffic flow for connected vehicles stated as a complementarity problem. Comput. Aided Civ. Inf. 2017, 32, 562–580. [Google Scholar] [CrossRef]
- Bureau of Public Roads. Traffic Assignment Manual; US Dept of Commerce, Urban Planning Division: Washington, DC, USA, 1964. [Google Scholar]
- Yang, B.; Cai, J.; Yang, Z.; Kuang, K.; Zhao, H.; Lu, K. Variable lane optimization and adaptive control of intercity arterial road. J. Hunan City Univ. Nat. Sci. 2021, 30, 29–32. [Google Scholar] [CrossRef]
- Zhou, Z.; Huang, Z.; Yuan, J.; Li, P. Traffic flow optimization of different lane modes based on autonomous vehicles. J. Chang’an Univ. Nat. Sci. 2021, 41, 103–115. [Google Scholar] [CrossRef]










| No. of Link | Free-Flow Time (Min) | Capacity (Veh/h) | No. of Link | Free-Flow Time (Min) | Capacity (Veh/h) |
|---|---|---|---|---|---|
| 1 | 8 | 1400 | 7 | 12 | 1200 |
| 2 | 7 | 1800 | 8 | 13 | 1400 |
| 3 | 7 | 1000 | 9 | 5 | 1000 |
| 4 | 5 | 1600 | 10 | 9 | 1200 |
| 5 | 15 | 1400 | 11 | 10 | 1400 |
| 6 | 5 | 1800 | 12 | 9 | 1400 |
| No. of Path | Included Links | No. of Path | Included Links |
|---|---|---|---|
| 1 | 1, 5, 11 | 4 | 2, 4, 6, 9, 11 |
| 2 | 1, 3, 6, 9, 11 | 5 | 2, 4, 6, 10, 12 |
| 3 | 1, 3, 6, 10, 12 | 6 | 2, 7, 8, 12 |
| Mode | Road Network Capacity (Veh/h) | Total Travel Time (Min) | Average Travel Time (Min) |
|---|---|---|---|
| SUE | 2799 | 107,887 | 38.54 |
| UE | 2584 | 95,046.93 | 36.79 |
| SO (regular lane) | 2657 | 98,325.43 | 37.00 |
| SO (dedicated lane) | 4916 | 181,887.32 | 37.00 |
| β | 0 | 0.1 | 0.2 | 0.3 | 0.4 | 0.5 | 0.6 | 0.7 | 0.8 | 0.9 | 1.0 | |
|---|---|---|---|---|---|---|---|---|---|---|---|---|
| α | ||||||||||||
| 0 | 35.98 | 35.94 | 35.96 | 35.90 | 35.83 | 35.71 | 35.58 | 35.45 | 35.32 | 35.20 | 35.09 | |
| 0.1 | 35.90 | 35.88 | 35.91 | 35.84 | 35.71 | 35.58 | 35.45 | 35.32 | 35.20 | 35.09 | -- | |
| 0.2 | 35.79 | 35.71 | 35.65 | 35.63 | 35.54 | 35.44 | 35.31 | 35.20 | 35.08 | -- | -- | |
| 0.3 | 35.59 | 35.51 | 35.44 | 35.39 | 35.37 | 35.28 | 35.18 | 35.09 | -- | -- | -- | |
| 0.4 | 35.43 | 35.34 | 35.26 | 35.20 | 35.17 | 35.15 | 35.07 | -- | -- | -- | -- | |
| 0.5 | 35.29 | 35.20 | 35.11 | 35.04 | 34.98 | 35.02 | -- | -- | -- | -- | -- | |
| 0.6 | 35.17 | 35.07 | 34.98 | 34.90 | 34.84 | -- | -- | -- | -- | -- | -- | |
| 0.7 | 35.05 | 34.96 | 34.87 | 34.79 | -- | -- | -- | -- | -- | -- | -- | |
| 0.8 | 34.94 | 34.85 | 34.76 | -- | -- | -- | -- | -- | -- | -- | -- | |
| 0.9 | 34.84 | 34.75 | -- | -- | -- | -- | -- | -- | -- | -- | -- | |
| 1.0 | 34.75 | -- | -- | -- | -- | -- | -- | -- | -- | -- | -- | |
| Link | Traffic Flow (Veh/h) | Saturation | Travel Time (Min) | Link | Traffic Flow (Veh/h) | Saturation | Travel Time (Min) |
|---|---|---|---|---|---|---|---|
| 1 | 994 | 0.71 | 8.31 | 7 | 203 | 0.17 | 12.00 |
| 2 | 1005 | 0.56 | 7.10 | 8 | 203 | 0.15 | 13.00 |
| 3 | 578 | 0.58 | 7.12 | 9 | 766 | 0.77 | 5.26 |
| 4 | 801 | 0.50 | 5.05 | 10 | 613 | 0.51 | 9.09 |
| 5 | 417 | 0.30 | 15.02 | 11 | 1183 | 0.84 | 10.76 |
| 6 | 1379 | 0.77 | 5.26 | 12 | 817 | 0.58 | 9.16 |
| Path | Traffic Flow (Veh/h) | Probability | Travel Time (Min) | Path | Traffic Flow (Veh/h) | Probability | Travel Time (Min) |
|---|---|---|---|---|---|---|---|
| 1 | 417 | 0.2085 | 34.09 | 4 | 445 | 0.2225 | 33.43 |
| 2 | 321 | 0.1605 | 36.70 | 5 | 357 | 0.1785 | 35.66 |
| 3 | 257 | 0.1285 | 38.93 | 6 | 203 | 0.1015 | 41.26 |
| Link | Traffic Flow (Veh/h) | Saturation | Travel Time (Min) | Link | Traffic Flow (Veh/h) | Saturation | Travel Time (Min) |
|---|---|---|---|---|---|---|---|
| 1 | 655 | 0.47 | 8.06 | 7 | 0 | 0.00 | 12.00 |
| 2 | 1345 | 0.75 | 7.33 | 8 | 0 | 0.00 | 13.00 |
| 3 | 0 | 0.00 | 7.00 | 9 | 745 | 0.74 | 5.23 |
| 4 | 1345 | 0.84 | 5.37 | 10 | 600 | 0.50 | 9.08 |
| 5 | 655 | 0.47 | 15.11 | 11 | 1400 | 1.00 | 11.50 |
| 6 | 1345 | 0.75 | 5.23 | 12 | 600 | 0.43 | 9.05 |
| Path | Traffic Flow (Veh/h) | Probability | Travel Time (Min) | Path | Traffic Flow (Veh/h) | Probability | Travel Time (Min) |
|---|---|---|---|---|---|---|---|
| 1 | 655 | 0.3275 | 34.67 | 4 | 745 | 0.3725 | 34.67 |
| 2 | 0 | 0.0000 | 37.02 | 5 | 600 | 0.3000 | 36.07 |
| 3 | 0 | 0.0000 | 38.42 | 6 | 0 | 0.0000 | 41.37 |
| Link | Traffic Flow (Veh·h−1) | Saturation | Travel Time (Min) | Link | Traffic Flow (Veh·h−1) | Saturation | Travel Time (Min) |
|---|---|---|---|---|---|---|---|
| 1 | 813 | 0.58 | 8.14 | 7 | 0 | 0.00 | 12.00 |
| 2 | 1187 | 0.66 | 7.20 | 8 | 0 | 0.00 | 13.00 |
| 3 | 0 | 0.00 | 7.00 | 9 | 424 | 0.42 | 5.02 |
| 4 | 1187 | 0.74 | 5.23 | 10 | 763 | 0.64 | 9.22 |
| 5 | 813 | 0.58 | 15.26 | 11 | 1237 | 0.88 | 10.91 |
| 6 | 1187 | 0.66 | 5.14 | 12 | 763 | 0.55 | 9.12 |
| Path | Traffic Flow (Veh/h) | Probability | Travel Time (Min) | Path | Traffic Flow (Veh/h) | Probability | Travel Time (Min) |
|---|---|---|---|---|---|---|---|
| 1 | 813 | 0.4065 | 34.30 | 4 | 424 | 0.2120 | 33.50 |
| 2 | 0 | 0.0000 | 36.22 | 5 | 763 | 0.3815 | 35.91 |
| 3 | 0 | 0.0000 | 38.62 | 6 | 0 | 0.0000 | 41.32 |
| Link | Traffic Flow (Veh/h) | Saturation | Travel Time (Min) | Link | Traffic Flow (Veh/h) | Saturation | Travel Time (Min) |
|---|---|---|---|---|---|---|---|
| 1 | 691 | 0.27 | 8.01 | 7 | 0 | 0.00 | 12.00 |
| 2 | 1309 | 0.39 | 7.03 | 8 | 0 | 0.00 | 13.00 |
| 3 | 0 | 0.00 | 7.00 | 9 | 1229 | 0.66 | 5.15 |
| 4 | 1309 | 0.44 | 5.03 | 10 | 80 | 0.04 | 9.00 |
| 5 | 691 | 0.27 | 15.01 | 11 | 1920 | 0.74 | 10.45 |
| 6 | 1309 | 0.39 | 5.02 | 12 | 80 | 0.03 | 9.00 |
| Path | Traffic Flow (Veh/h) | Probability | Travel Time (Min) | Path | Traffic Flow (Veh/h) | Probability | Travel Time (Min) |
|---|---|---|---|---|---|---|---|
| 1 | 691 | 0.3455 | 33.47 | 4 | 1229 | 0.6145 | 32.67 |
| 2 | 0 | 0.0000 | 35.62 | 5 | 80 | 0.0400 | 35.07 |
| 3 | 0 | 0.0000 | 38.02 | 6 | 0 | 0.0000 | 41.03 |
| Link | Traffic Flow (Veh/h) | Saturation | Travel Time (Min) | Link | Traffic Flow (Veh/h) | Saturation | Travel Time (Min) |
|---|---|---|---|---|---|---|---|
| 1 | 701 | 0.50 | 8.08 | 7 | 57 | 0.05 | 12.00 |
| 2 | 1299 | 0.72 | 7.29 | 8 | 57 | 0.04 | 13.00 |
| 3 | 120 | 0.12 | 7.00 | 9 | 818 | 0.82 | 5.34 |
| 4 | 1242 | 0.78 | 5.27 | 10 | 544 | 0.45 | 9.06 |
| 5 | 581 | 0.41 | 15.07 | 11 | 1399 | 1.00 | 11.50 |
| 6 | 1362 | 0.76 | 5.25 | 12 | 601 | 0.43 | 9.05 |
| Path | Traffic Flow (Veh/h) | Probability | Travel Time (Min) | Path | Traffic Flow (Veh/h) | Probability | Travel Time (Min) |
|---|---|---|---|---|---|---|---|
| 1 | 581 | 0.2903 | 34.64 | 4 | 771 | 0.3854 | 34.64 |
| 2 | 47 | 0.0237 | 37.15 | 5 | 472 | 0.2358 | 35.91 |
| 3 | 72 | 0.0362 | 38.42 | 6 | 57 | 0.0284 | 41.33 |
| Mode | Total Travel Time (Min) |
|---|---|
| SUE | 71,983.99 |
| UE | 70,180 |
| SO (regular lane) | 69,489.23 |
| SO (dedicated lane) | 66,084.8 |
| SUE-UE-SO (, ) | 70,650.9 |
Disclaimer/Publisher’s Note: The statements, opinions and data contained in all publications are solely those of the individual author(s) and contributor(s) and not of MDPI and/or the editor(s). MDPI and/or the editor(s) disclaim responsibility for any injury to people or property resulting from any ideas, methods, instructions or products referred to in the content. |
© 2023 by the authors. Licensee MDPI, Basel, Switzerland. This article is an open access article distributed under the terms and conditions of the Creative Commons Attribution (CC BY) license (https://creativecommons.org/licenses/by/4.0/).
Share and Cite
Zhou, Z.; Yuan, J.; Zhou, S.; Long, Q.; Cai, J.; Zhang, L. Modeling and Analysis of Driving Behaviour for Heterogeneous Traffic Flow Considering Market Penetration under Capacity Constraints. Sustainability 2023, 15, 2923. https://doi.org/10.3390/su15042923
Zhou Z, Yuan J, Zhou S, Long Q, Cai J, Zhang L. Modeling and Analysis of Driving Behaviour for Heterogeneous Traffic Flow Considering Market Penetration under Capacity Constraints. Sustainability. 2023; 15(4):2923. https://doi.org/10.3390/su15042923
Chicago/Turabian StyleZhou, Zhaoming, Jianbo Yuan, Shengmin Zhou, Qiong Long, Jianrong Cai, and Lei Zhang. 2023. "Modeling and Analysis of Driving Behaviour for Heterogeneous Traffic Flow Considering Market Penetration under Capacity Constraints" Sustainability 15, no. 4: 2923. https://doi.org/10.3390/su15042923
APA StyleZhou, Z., Yuan, J., Zhou, S., Long, Q., Cai, J., & Zhang, L. (2023). Modeling and Analysis of Driving Behaviour for Heterogeneous Traffic Flow Considering Market Penetration under Capacity Constraints. Sustainability, 15(4), 2923. https://doi.org/10.3390/su15042923

