Management of Railway Power System Peaks with Demand-Side Resources: An Application to Periodic Timetables
Abstract
1. Introduction
2. Materials and Methods
2.1. Methodology Overview
2.2. Sustainability Scenario: The Transportation Sector in the Horizon 2030–2050
2.3. Energy Scenario: Energy Share in Passenger Rail Units
2.4. The Simulation Scenario: A periodic Timetable for a Terminus Railway Station
2.5. General Equations of the Motion
2.6. Traction Effort Curves and Other Considerations for Simulation
2.7. Ancillary Loads Model: Hotel Loads in Railways
2.8. Validation of the Proposed Railway Models
3. Distributed Energy Resources in Railways: Timetables and Demand
3.1. Last-Mile and Dual (Hybrid) Locomotives and EMUs
| Operator, Country, Year | Rail System | Vehicle, Manufacturer | ESS | Energy (kWh) | Power (kW) | Other | Ref. |
|---|---|---|---|---|---|---|---|
| Freiburg, Germany, 2017 | Tramway | Urbos 100, CAF | Battery, NiCd (Saft) | 124 | 350 | N/A | [42] |
| West Midlands ML, UK, 2018 | Tramway | Urbos 100, CAF | Battery, Li-ion (Saft) | 80 | 400 | 29 km w/o catenary | [43] |
| DB Regio, Germany, 2018 | EMU, regional | Talent 3, Bombardier | MITRAC, Li-ion | 300 + (400 in option) | N/A | 10 min charging | [43] |
| DB Regio, Germany, 2022 | EMU, regional | Flirt Akku, Stadler Rail | LTO | 180 | N/A | 150 km/h ** 224 km *** | [43,44] |
| SNCF, France, 2019–2023 **** | DBEMU, regional | TER Regiolis *, Alstom-SNCF | LTO | 140 | 600 | 80 km w/o catenary | [41] |
| ÖBB, Austria, 2019, 2023 **** | EMU, regional | Cityjet Desiro *, Siemens | Battery | 528 | 1300 | 100 km/h ** | [45] |
3.2. Integration of Resources in Railway Platforms and Integration of the Simulation Models
4. Results
4.1. Main Assumptions
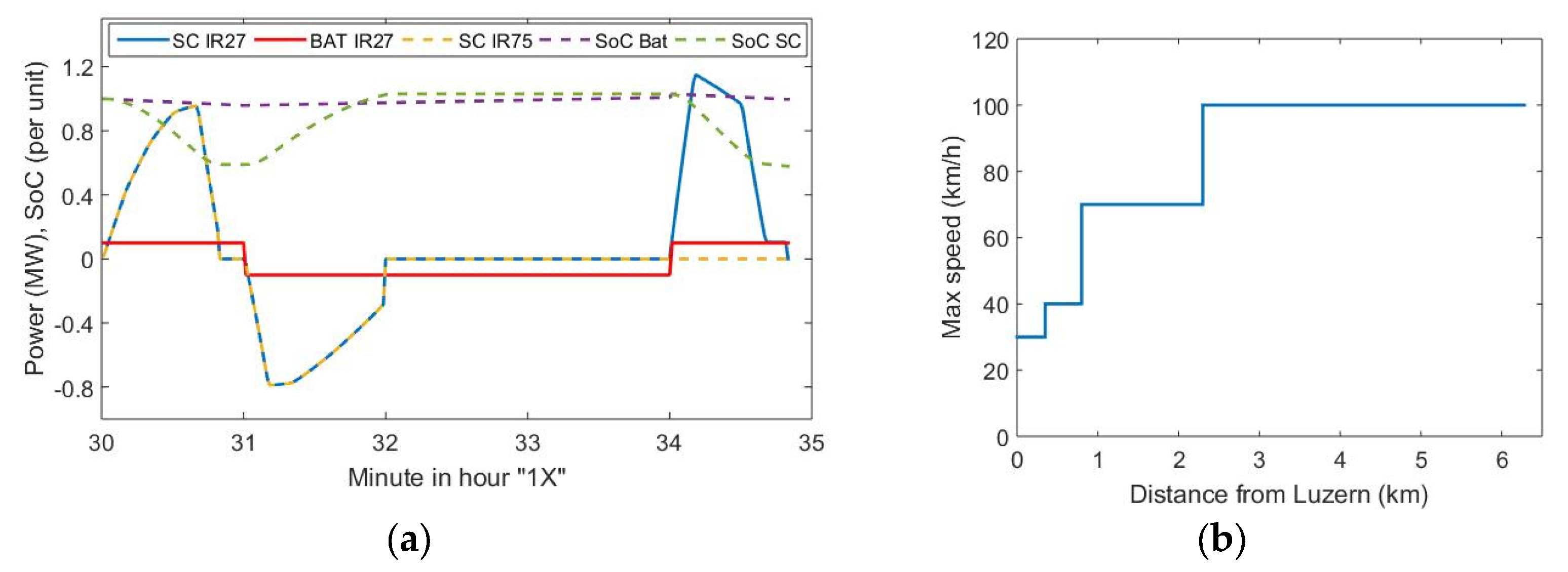
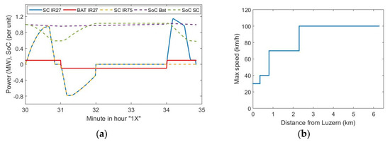
4.2. Potential of Energy Storage Systems
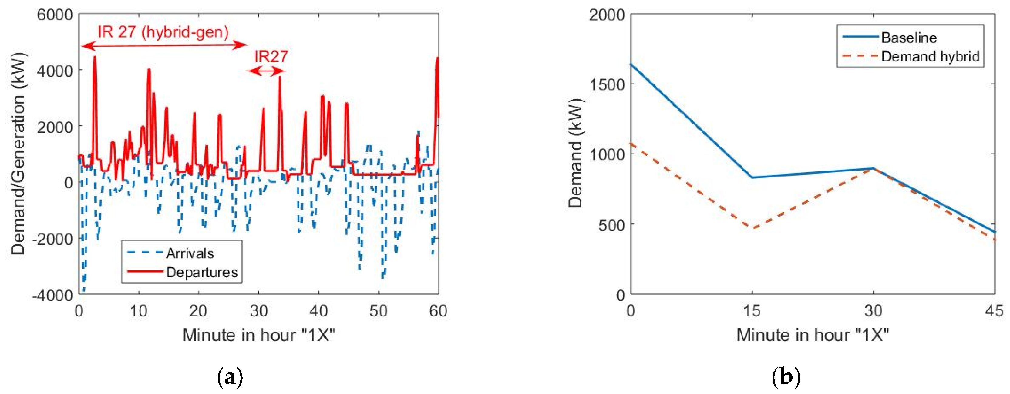
4.3. Potential for Hybrid/Dual Units
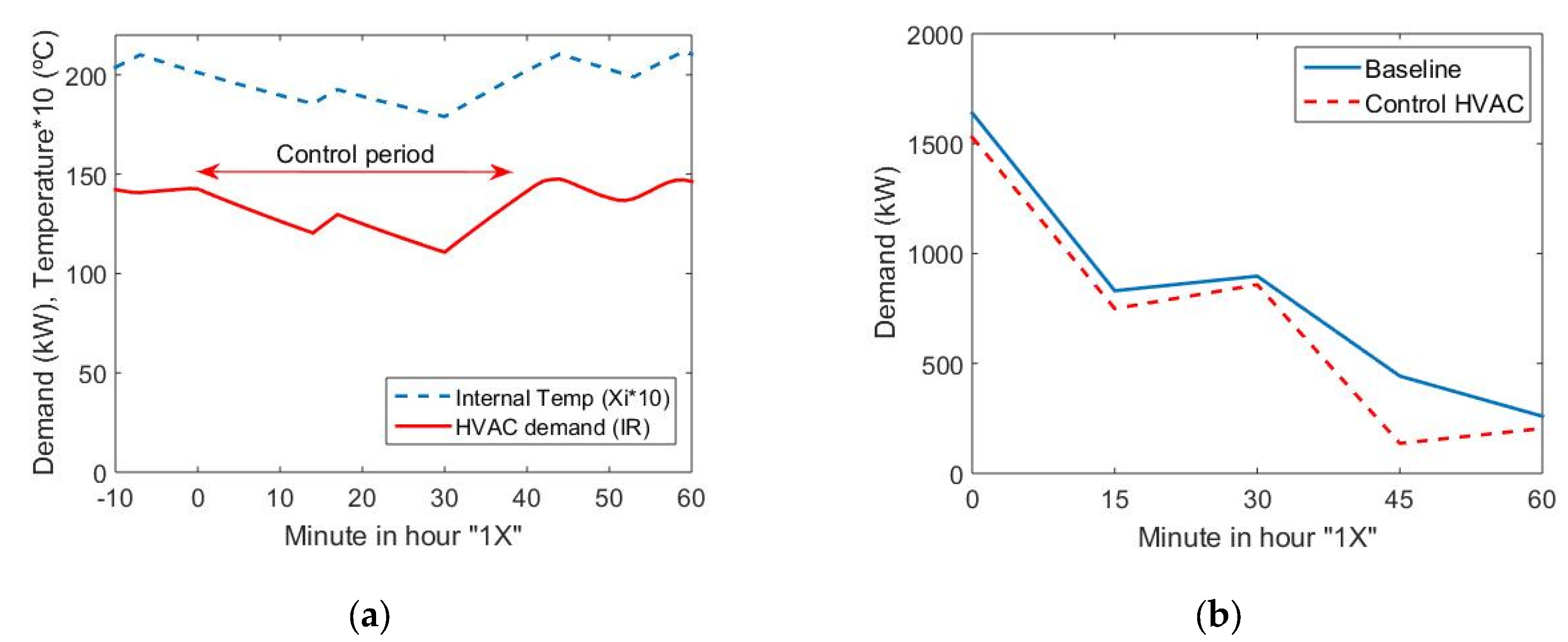
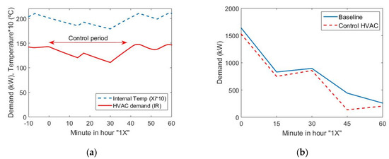
4.4. Management of “Comfort/Hotel” Train Loads
4.5. Integration of Renewables: Potential of Railway Flexible Resources
4.6. Some Economic Considerations
5. Conclusions
Author Contributions
Funding
Institutional Review Board Statement
Informed Consent Statement
Data Availability Statement
Acknowledgments
Conflicts of Interest
Abbreviations and Nomenclature
| BESS | Battery Energy Storage System |
| DB | Deutsche Bahn (German Railway Operator) |
| DBEMU | Diesel Battery Electrical Multiple Unit |
| DER | Distributed Energy Resources |
| DMU | Diesel Multiple Unit |
| DG | Distributed Generation |
| DR | Demand Response |
| DSO | Distribution System Operator |
| EMU | Electric Multiple Unit |
| ESS | Energy Storage Systems |
| FELM | Full Electric Last Mile |
| DHEMU | Dual Hybrid Electric Multiple Unit |
| HESS | Hybrid Energy Storage System |
| HVAC | Heat, Ventilation and Air Conditioning |
| OESS | On-Board Energy Storage System |
| PBLM | Physical-Based Load Modeling |
| PPS | Public Power System |
| RENFE | Spanish Railway Operator |
| RPS | Railway Power System |
| SBB | Swiss Federal Railways (Schweizerische Bundesbahnen, SBB-CFF-FFS) |
| SC | Ultra/Supercapacitor |
| SNCF | French Railway Operator (Société Nationale des Chemins de Fer Français) |
| SoC | State of Charge (battery or other ESS) |
| UIC | International Union of Railways/ Union International des Chemins de Fer |
Symbols in PBLM Model
| A | Area of coach: windows, body, ceiling… (outdoor) |
| Ci | Thermal capacity of indoor masses (energy storage) |
| Cv | Thermal capacity of body/frame masses (energy storage) |
| D | Differential operator |
| ha | Thermal losses, external exchange by convection (variable value f(speed)) |
| aw0 | Thermal losses coefficient (conduction) between the frame and indoor (cabin) |
| awi | Thermal losses coefficient (conduction) between the body/frame and outdoor |
| m(t) | Thermostat state (discrete, 0/1, or continuous) |
| Kv | Heat transfer coefficient (vehicle) |
| K | Heat transfer coefficient, global (according to EN 13129-1) |
| Hch | Heat gains/extraction due to conversion to thermal energy (HVAC) |
| Hv | Input. Heat gains due to ventilation (air quality) and infiltrations |
| Hsw | Input. Heat gains due to solar radiation (coach windows) |
| Ha | Heat gains due to ancillary loads (lights, TV, informative panels) |
| Hw | Input. Heat gains due to solar radiation (coach windows) |
| Hp | Input. Heat gains due to passengers |
| Xi | State variable. Indoor temperature (cabin) |
| Xv | State variable. Vehicle temperature (body/frame) |
| Xext | Input. Temperature of water in the input pipeline |
| Xs | Thermostat setting. |
| XsMAX | Thermostat setting (maximum) |
References
- International Railways Union (UIC), “Technologies and Potential Developments for Energy Efficiency and company CO2 Reductions in Rail Systems”. 2016. Available online: https://uic.org/sustainability/energy-efficiency-and-co2-emissions/ (accessed on 6 December 2022).
- Bahn 2000—Mehr Zug Für Die Schweiz (Rail 2000 Initiative, More Railway for Switzerland). Available online: https://www.admin.ch/gov/fr/accueil/documentation/communiques.msg-id-1161.html (accessed on 15 November 2022).
- SBB-CFF-FFS. Swiss Railway Operator Web Page. Available online: http://www.sbb-cff-ffs.ch (accessed on 31 August 2022).
- Load Management—Smart Grid at SBB. Available online: https://company.sbb.ch/en/sbb-as-business-partner/services-rus/energy/load-management.html (accessed on 28 July 2019).
- Graffagnino, T. Managing Timetable Risks. 2019. Available online: https://ethz.ch/content/dam/ethz/special-interest/dual/riskcenter-dam/Seminar%20Series/Slides/191022_TimetableRisksGraffagnino_01.pdf (accessed on 29 September 2022).
- Demand Response Web Page. Available online: http://www.demandresponse.eu (accessed on 25 October 2022).
- Agency for Railways (European Union), “Fostering the Railway Sector Through the European Green Deal”. 2020. Available online: https://www.era.europa.eu/content/report-fostering-railway-sector-through-european-green-deal_en#oe-content-oe-documents (accessed on 30 November 2022).
- Europe’s Rail Joint Undertaking (EU-Rail), “Work Programme 2022-24. Draft Amendment n 2”. Available online: https://rail-research.europa.eu/wp-content/uploads/2022/09/AWP_2022_AMEMDMENT_final_20220909.pdf (accessed on 6 December 2022).
- Zawadzki, A.; Resweski, F.; Pahl, M.; Schierholz, H.; Burke, D.; Vasconcellos, B.; Toppan, M. “Riding the Rails to Sustainability”, Boston Consulting Group (BCG) Report, February 2022. Available online: https://www.bcg.com/publications/2022/riding-the-rails-to-the-future-of-sustainability (accessed on 20 November 2022).
- Raghavan, S.V.; Wei, M.; Kammen, D.M. Scenarios to decarbonize residential water heating in California. Energy Policy 2017, 109, 441–451. [Google Scholar] [CrossRef]
- Agenjos, E.; Gabaldon, A.; Franco, F.G.; Molina, R.; Valero, S.; Ortiz, M.; Gabaldon, R.J. Energy Efficiency in Railways: Energy Storage and Electric Generation in Diesel Electric Locomotives. In Proceedings of the CIRED 2009– 20th International Conference and Exhibition on Electricity Distribution, Prague, Czech Republic, 8–11 June 2009; pp. 1–7. [Google Scholar] [CrossRef]
- BLS AG (Railway Operator). Available online: https://www.bls.ch/en (accessed on 31 October 2022).
- Schweizerische Südosbahn AG (Railway Operator). Available online: https://www.sob.ch/ (accessed on 31 October 2022).
- Die Zentralbahn. Available online: https://www.zentralbahn.ch/en (accessed on 12 October 2022).
- The SBB Timetable. Available online: https://www.sbb.ch/en/timetable.html (accessed on 15 October 2022).
- Energy Efficient Timetabling at SBB, Energy Efficient Time Tabling Workshop, 20 Feb. 2018, Brussels. Available online: https://uic.org/events/IMG/pdf/006_energy_efficient_timetabling_sbb_p.keiser.pdf (accessed on 29 September 2022).
- Wang, Y.; Li, D.; Cao, Z. Integrated timetable synchronization optimization with capacity constraint under time-dependent demand for a rail transit network. Comput. Ind. Eng. 2020, 142, 106374. [Google Scholar] [CrossRef]
- Caimi, G.; Kroon, L.; Liebchen, C. Models for railway timetable optimization: Applicability and applications in practice. J. Rail Transp. Plan. Manag. 2017, 6, 285–312. [Google Scholar] [CrossRef]
- Herrigel, S.; Laumanns, M.; Nash, A.; Weidmann, U. Hierarchical Decomposition Methods for Periodic Railway Timetabling Problems. Transp. Res. Rec. J. Transp. Res. Board 2013, 2374, 73–82. [Google Scholar] [CrossRef]
- Restel, F.; Haładyn, S.M. The Railway Timetable Evaluation Method in Terms of Operational Robustness against Overloads of the Power Supply System. Energies 2022, 15, 6458. [Google Scholar] [CrossRef]
- Urbaniak, M.; Kardas-Cinal, E. Optimization of Train Energy Cooperation Using Scheduled Service Time Reserve. Energies 2022, 15, 119. [Google Scholar] [CrossRef]
- Transpotrail WebMagasin. Le Cadencement: L’horlogerie Ferroviaire Suisse. Available online: http://transportrail.canalblog.com/pages/le-cadencement---l-horlogerie-ferroviaire-suisse/39243719.html (accessed on 13 September 2022).
- PEEXPORT. Center Market Data. Available online: https://www.epexspot.com/en/extras/download-center/market_data. (accessed on 15 October 2022).
- Allenbach, J.-M.; Chapas, P.; Comte, M.; Kaller, R. Traction Électrique; Presses Polytechniques et Universitaires Romandes: Lausanne, Switzerland, 2008; ISBN 2880746744. [Google Scholar]
- Wu, Q.; Spiryagin, M.; Cole, C. Train energy simulation with locomotive adhesion model. Rail. Eng. Science. 2020, 28, 75–84. [Google Scholar] [CrossRef]
- Ogawa, T.; Manabe, S.; Yoshikawa, G.; Imamura, Y.; Kayegama, M. Method of Calculating Running Resistance by the Use of the Train Data Collection Device. Q. Rep. RTRI 2017, 58, 21–27. [Google Scholar] [CrossRef]
- García-Garre, A.; Gabaldón, A. Analysis, Evaluation and Simulation of Railway Diesel-Electric Units as Distributed Energy Resource. Appl. Sci. 2019, 9, 3605. [Google Scholar] [CrossRef]
- Rochard, B.P.; Schmid, F. A review of methods to measure, Lausanneand calculate train resistances. Proc. Inst. Mech. Eng. Part F J. Rail Rapid Transit 2000, 214, 185–199. [Google Scholar] [CrossRef]
- Wu, Q.; Wang, B.; Spiryagin, M.; Cole, C. Curving resistance from wheel-rail interface. Veh. Syst. Dyn. 2022, 60, 1018–1036. [Google Scholar] [CrossRef]
- Wu, Q.; Yang, X.; Jin, X. Hill-starting a heavy haul train with a 24-axle locomotive. Proc. Inst. Mech. Eng. Part F J. Rail Rapid Transit. 2022, 236, 201–211. [Google Scholar] [CrossRef]
- Voith Web Page: Rail Vehicles. Available online: https://voith.com/cn/1728_e_g_2180_e_rb_maxima_sgl_2010.pdf (accessed on 25 October 2022).
- Vitins, J. New Electric Locomotives for the UK: TRAXX UK with Last Mile Feature, The 20th Annual Rail Freight Group Conference, May 2012, London (UK). Available online: https://www.qca.org.au/wp-content/uploads/2019/06/10088_r-bombadiernewelectriclocomotivesfortheukthe20thannualrailfreightgroupconference-submission-qrnetworketsdaau-1012.pdf (accessed on 25 October 2022).
- Spiryagin, M.; Wu, Q.; Wolfs, P.; Sun, Y.; Cole, C. Comparison of locomotive energy storage systems for heavy-haul operation. Int. J. Rail Transp. 2018, 6, 1–15. [Google Scholar] [CrossRef]
- García-Garre, A.; Gabaldón, A.; Álvarez-Bel, C.; Ruiz-Abellón, M.D.C.; Guillamón, A. Integration of Demand Response and Photovoltaic Resources in Residential Segments. Sustainability 2018, 10, 3030. [Google Scholar] [CrossRef]
- Rail Tec Arsenal Fahrzeugversuchsanlage, Wien, Austria. Available online: https://www.rta.eu/en/ (accessed on 9 June 2022).
- Zhang, L.; Hu, X.; Wang, Z.; Sun, F.; Dorrell, D.G. A review of supercapacitor modeling, estimation, and applications: A control/management perspective. Renew. Sustain. Energy Rev. 2018, 81, 1868–1878. [Google Scholar] [CrossRef]
- Sustrail Research Project (7th EU Framework Research Programme). Hybrid Locomotive Report. 2019. Available online: https://www.sustrail.eu/IMG/pdf/d3.2-v1-hybrid_locomotive-final_version.pdf (accessed on 24 October 2022).
- Mazzone, A.; Schönbacher, M.; Larrea, X. Future Freight Locomotives in Shift2Rail-Development of Full Electric Last Mile Propulsion System. In Proceedings of the 7th Transport Research Arena TRA 2018, Vienna, Austria, 16–18 April 2018. [Google Scholar]
- Brenna, M.; Foiadelli, F.; Stocco, J. Battery Based Last-Mile Module for Freight Electric Locomotives. In Proceedings of the 2019 IEEE Vehicle Power and Propulsion Conference (VPPC), Hanoi, Vietnam, 14–17 October 2019; pp. 1–6. [Google Scholar] [CrossRef]
- Patentes Talgo, S.A. High Speed Talgo 250 Dual. Available online: https://www.talgo.com/250-dual (accessed on 12 October 2022).
- SNCF Innovation and Research. Regiolis Hybrid BEMU. Available online: https://www.sncf.com/en/innovation-development/innovation-research/hybrid-ter-coming-soon-to-station-near-you (accessed on 15 November 2022).
- Saft Batteries. Available online: https://www.saftbatteries.com/media-resources/press-releases/saft-battery-systems-provide-ideal-board-backup-power-package-caf%E2%80%99s (accessed on 1 September 2022).
- Fedele, E.; Iannuzzi, D.; Del Pizzo, A. Onboard energy storage in rail transport: Review of real applications and techno-economic assessments. IET Electr. Syst. Transp. 2021, 11, 279–309. [Google Scholar] [CrossRef]
- Standler Rail. Flirt Akku BEMU. Available online: https://www.stadlerrail.com/en/flirt-akku/details/ (accessed on 15 November 2022).
- ÖBB Cityjet Eco. The First Certified Battery-Powered Train in Europe. Available online: https://www.oebb.at/dam/jcr:b697320b-4493–48f2-a9f4-b8ff3af4d4ec/datenblatt-cityjet-eco.pdf (accessed on 15 November 2022).
- ALSTOM Rolling Stock Solutions: TRAXX Family Locomotives. Available online: https://www.alstom.com/traxx-locomotive-superior-performance-every-environment (accessed on 15 November 2022).
- Siemens Mobility Solutions: VECTRON Locomotives. Available online: https://www.mobility.siemens.com/global/en/portfolio/rail/rolling-stock/locomotives.html?gclid=Cj0KCQiA37KbBhDgARIsAIzce15BqM1TsWOEy-6us6E4UJtVK9ET8_-1lGO7T-RJIwOEu3mALKoazcwaAiSIEALw_wcB&acz=1 (accessed on 25 October 2022).
- Maxwell Technologies. Ultracapacitors for Railway Applications. Available online: https://maxwell.com/products/ultracapacitors/48v-module-with-durablue/ (accessed on 3 November 2022).
- Siemens, A.G. System Design with Sitras Sidytrac Simulation of AC and DC Traction Power Supply. Available online: https://assets.new.siemens.com/siemens/assets/api/uuid:ad3c8251-2b8b-464b-bda3-26a416368c2f/siemens-sidytrac-pi-en.pdf. (accessed on 1 September 2022).
- Shift2Rail Initiative. Available online: https://rail-research.europa.eu/about-shift2rail/ (accessed on 15 November 2022).
- LTK Engineering Services. TrainOps. Available online: https://www.ltk.com/trainops#excellence (accessed on 14 June 2019).
- Feldmann, R.L. Time-Optimized Power Consumption: Towards a Smart Grid for Rail Infrastructure. Available online: https://www2.vpe.hu/document/6297/SBB_Raimund%20Feldmann_Time-optimized%20power%20consumption_Towards%20a%20smart%20grid%20for%20rail%20infrastructure.pdf (accessed on 1 September 2022).
- Kapetanović, M.; Núñez, A.; van Oort, N.; Goverde, R.M. Reducing fuel consumption and related emissions through optimal sizing of energy storage systems for diesel-electric trains. Appl. Energy 2021, 294, 117018. [Google Scholar] [CrossRef]
- Feldmann, R.L.; Fuchs, A.W. From Energy Management to Power Management, Global Railway Review, Issue 6. 2017. Available online: https://www.globalrailwayreview.com/article/63589/energy-management-power-management/ (accessed on 5 October 2022).
- Ruiz-Abellón, M.C.; Fernández-Jiménez, L.A.; Guillamón, A.; Falces, A.; García-Garre, A.; Gabaldón, A. Integration of Demand Response and Short-Term Forecasting for the Management of Prosumers’ Demand and Generation. Energies 2020, 13, 11. [Google Scholar] [CrossRef]
- Fu, R.; Remo, T.; Margolis, R.U.S. Utility-Scale Photovoltaics-Plus-ESS Costs Benchmark. NREL/PR-6A20–72401 Report. Available online: https://www.nrel.gov/docs/fy19osti/71714.pdf (accessed on 10 October 2022).

















| Arrivals | Departures | ||||||||
|---|---|---|---|---|---|---|---|---|---|
| Service | Time (min) | Origin | Op | Platform | Service | Time (min) | Destination | Op | Platform |
| IR 15 | 01 | Bern/Geneve | SBB | 4 | IR 15 | 00 | Bern/Geneve | SBB | 8 |
| S4 | 02 | Stans | ZB | 14 | S9 | 02 | Lenzburg | SBB | 10 |
| RE+RE | 03 | Langenthal&Bern(2) | BLS | 5 | RE | 05 | Olten | SBB | 9 |
| IC 21(1) | 05 | Basel | SBB | 7 | RE | 06 | Interlaken | ZB | 13 |
| S1 | 07 | Baar | SBB | 3 | S3 | 06 | Brunnen | SBB | 11 |
| S1 | 15 | Sursee | SBB | 10 | IR 70 | 09 | Zurich | SBB | 6 |
| S5 | 17 | Giswill | ZB | 14 | IR | 10 | Engelberg | ZB | 12 |
| IR | 21 | St Gallen | SÖB | 2 | S5 | 12 | Giswill | ZB | 12 |
| IR 75 | 25 | Zurich/ Konstanz | SBB | 5 | S1 | 14 | Sursee | SBB | 3 |
| IR 27 | 30 | Basel | SBB | 15 | S6 | 16 | Lagenthal and Langnau | BLS | 5 |
| S4 | 32 | Wolfenschiessen | ZB | 14 | IC 21 (1) | 18 | Lugano | SBB | 7 |
| IR 26 | 41 | Locarno | SÖB | 7 | S1 | 21 | Baar | SBB | 10 |
| S6 | 43 | Lagenthal&Langnau | BLS | 5 | S4 | 27 | Wolfenschiessen | ZB | 14 |
| IR | 49 | Engelberg | ZB | 12 | IR 27 | 28 | Basel | SBB | 4 |
| IR 70 | 51 | Zurich | SBB | 6 | IR 75 | 35 | Zurich/ Konstanz | SBB | 5 |
| S3 | 53 | Brunnen | SBB | 11 | IR | 39 | St Gallen | SÖB | 2 |
| RE | 55 | Interlaken | SBB | 9 | IR 26 | 54 | Basel | SÖB | 7 |
| IR | 55 | Olten | ZB | 13 | RE+RE | 57 | Langenthal and Bern (2) | BLS | 5 |
| Kind of Railway Vehicle | Sub-System 1 | Sub-System 2 | ||||
|---|---|---|---|---|---|---|
| k (W/m2K) | awi (kW/K) | C = Ci (MJ/K) | Kveh (W/K) | aw0 (kW/K) | CV = Cveh (MJ/K) | |
| Metro 1–4 (1) | 2.4–3.1 | N/A | 46–94 | 48–5479 | N/A | 5.7–19 |
| Regio 1–4 (1) | 1.3–1.7 | N/A | 13–64 | 217–1366 | N/A | 4.6–37 |
| Main (IC) 1–2 (1) | 1.4–1.6 | N/A | 0.72–2.6 | 93–564 | N/A | 3.9–24 |
| Talgo VI | N/A | 3 | N/A | 30 | ||
| Arrivals | Departures | ||||
|---|---|---|---|---|---|
| Service | Time | Braking Energy (kWh) | Service | Time | Acceleration Energy (kWh) |
| IR 75 | 1X:25 | 31.3 | |||
| IR 27 | 1X:30 | 42.7 | IR 27 | 1X:28 | 41.8 |
| S4 | 1X:32 | 24.7 | IR 75 | 1X:35 | 45.5 |
| Indicator | Small Diesel LM | Hybrid SC and Battery | Dual Unit | Dual Full Generation | HVAC Control | Baseline |
|---|---|---|---|---|---|---|
| Demand (MWh) | 1.34 | 1.346 | 1.27 | 1.11 | 1.25 | 1.36 |
| Energy recovery (MWh) | 1.16 | 1.18 | 1.12 | 0.96 | 1.09 | 1.19 |
| Energy recovery (%) | 13 | 12.2 | 11.7 | 13.2 | 12.7 | 12 |
| Demand peak (MW) | 6.64 | 6.64 | 6.64 | 5.14 | 6.51 | 6.64 |
| Technology and Capital Cost (kEUR) | Peak Reduction (kW) | Cost (kEUR) | Energy Reduction (MWh/yr) | Benefit (kEUR) |
|---|---|---|---|---|
| ESS, SC (6 units) and 120 SC modules (1) | 1300 | 430 | 262 | 26.2 |
| ESS, battery (6 units) and 100 kWh | 150 | 720 | 1200 | 120 |
| HVAC control (40 EMU) | 150 | 100 | 100 | 10 |
| AC/AC 50/16.7 Hz inverter (1 unit) | 1600 | 1100 | ||
| Energy in short-term markets | - | 45 | 4.5 |
Disclaimer/Publisher’s Note: The statements, opinions and data contained in all publications are solely those of the individual author(s) and contributor(s) and not of MDPI and/or the editor(s). MDPI and/or the editor(s) disclaim responsibility for any injury to people or property resulting from any ideas, methods, instructions or products referred to in the content. |
© 2023 by the authors. Licensee MDPI, Basel, Switzerland. This article is an open access article distributed under the terms and conditions of the Creative Commons Attribution (CC BY) license (https://creativecommons.org/licenses/by/4.0/).
Share and Cite
Gabaldón, A.; García-Garre, A.; Ruiz-Abellón, M.C.; Guillamón, A.; Molina, R.; Medina, J. Management of Railway Power System Peaks with Demand-Side Resources: An Application to Periodic Timetables. Sustainability 2023, 15, 2746. https://doi.org/10.3390/su15032746
Gabaldón A, García-Garre A, Ruiz-Abellón MC, Guillamón A, Molina R, Medina J. Management of Railway Power System Peaks with Demand-Side Resources: An Application to Periodic Timetables. Sustainability. 2023; 15(3):2746. https://doi.org/10.3390/su15032746
Chicago/Turabian StyleGabaldón, Antonio, Ana García-Garre, María Carmen Ruiz-Abellón, Antonio Guillamón, Roque Molina, and Juan Medina. 2023. "Management of Railway Power System Peaks with Demand-Side Resources: An Application to Periodic Timetables" Sustainability 15, no. 3: 2746. https://doi.org/10.3390/su15032746
APA StyleGabaldón, A., García-Garre, A., Ruiz-Abellón, M. C., Guillamón, A., Molina, R., & Medina, J. (2023). Management of Railway Power System Peaks with Demand-Side Resources: An Application to Periodic Timetables. Sustainability, 15(3), 2746. https://doi.org/10.3390/su15032746

