Experimental Approach for Enhancing the Natural Convection Heat Transfer by Nanofluid in a Porous Heat Exchanger Unit
Abstract
1. Introduction
2. Experimental Approach
2.1. Preparation of Nanofluid
2.2. Thermo–Physical Properties of Nanofluids
2.3. Experimental Setup and Procedure
2.4. Solution Methodology
3. Results and Discussion
3.1. Temperatures Variation with Time
3.2. Heat Transfer Enhancement by Nanofluid
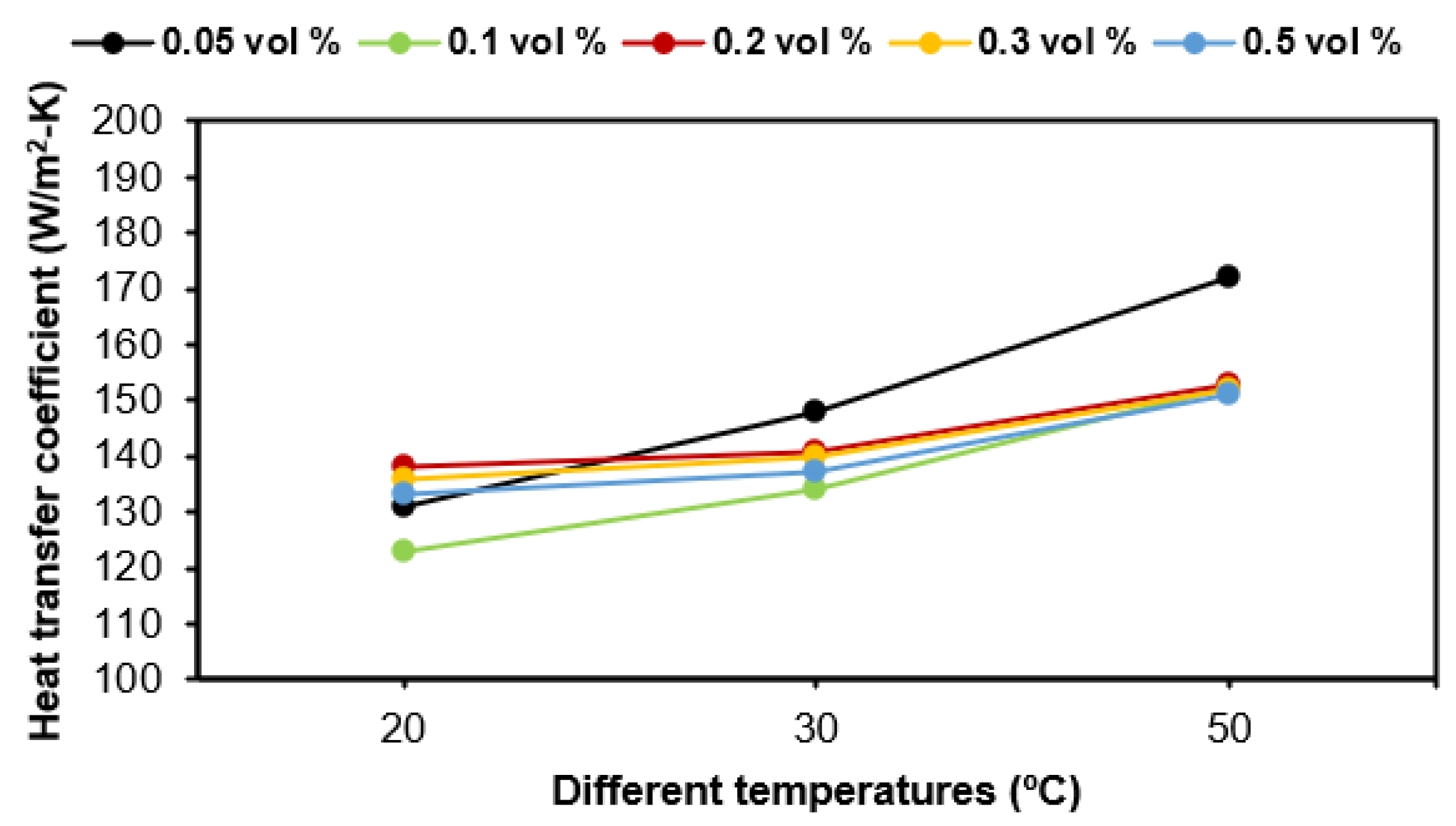
3.3. The Heat Transfer Coefficient of Hot and Cold Tubes
3.4. Variations of Nu Number in Clear and Porous TTHX with and without Nanoparticle Concentrations
3.5. Efficiency of Convective Heat Transfer
4. Conclusions
- Taken together, the findings confirm an important role for temperature differences of T = 20 °C, T = 30 °C and T = 50 °C, respectively, in promoting the heat transfer capacity for all Cu volume concentrations;
- The experiments confirmed that the coefficient of heat transfer was approximately 185 W/m2-K higher at the hot tube, compared with low value of 172 W/m2-K at the cold tube. The temperature rise to 50 °C enhances thermal conductivity and causes a minimal increase in the viscosity of the nanofluid.
- Although the current study is based on a small sample of Cu nanoparticles with 20 nm in diameter, the increase in the Nu number was for all Cu volume concentrations added to the base fluid. This is because of the increase in temperature between hot and cold tubes;
- The findings also shows that the Nu number is decreased in porous TTHX, compared with pure TTHX; the ratio was 24% less than that of clear TTHX. The reasons were the reduction in buoyancy forces and the slow fluid circulation caused by the porous structure;
- In this study, the enhancement to convection heat transfer for laminar flow was negligible. This is because, at a low Re number, an agglomeration of Cu nanoparticles occurred through the nanofluid, which decreased the heat transfer rate. However, the laminar flow was not fully developed in relation to the entrance length of TTHX. Therefore, one of the more significant findings to emerge from this research is that the efficiency of convective heat transfer increased gradually via the flow transition and the performance was optimal, compared with turbulent flow.
Funding
Institutional Review Board Statement
Informed Consent Statement
Data Availability Statement
Acknowledgments
Conflicts of Interest
References
- Çengel, Y.A.; Ghajar, A.J. Heat and mass transfer. In Fundamentals and Applications, 5th ed.; McGraw-Hill: New York, NY, USA, 2015. [Google Scholar]
- Moradi, H.; Bazooyar, B.; Etemad, S.G.; Moheb, A. Influence of the geometry of cylindrical enclosure on natural convection heat transfer of Newtonian nanofluids. Chem. Eng. Res. Des. 2015, 94, 673–680. [Google Scholar] [CrossRef]
- Dawood, H.K.; Mohammed, H.A.; Sidik, N.A.C.; Munisamy, K.M.; Alawi, O.A. Heat transfer augmentation in concentric elliptic annular by ethylene glycol based nanofluids. Int. Commun. Heat Mass Transf. 2017, 82, 29–39. [Google Scholar] [CrossRef]
- Bashirnezhad, K.; Bazri, S.; Safaei, M.R.; Goodarzi, M.; Dahari, M.; Mahian, O.; Dalkılıça, A.S.; Wongwises, S. Viscosity of nanofluids: A review of recent experimental studies. Int. Commun. Heat Mass Transf. 2016, 73, 114–123. [Google Scholar] [CrossRef]
- Putra, N.; Roetzel, W.; Das, S. Natural convection of nano-fluids. Heat Mass Transf. 2003, 39, 775–784. [Google Scholar] [CrossRef]
- Moradi, H.; Bazooyar, B.; Moheb, A.; Etemad, S.G. Optimization of natural convection heat transfer of Newtonian nanofluids in a cylindrical enclosure. Chin. J. Chem. Eng. 2015, 23, 1266–1274. [Google Scholar] [CrossRef]
- Nnanna, A.G. Experimental model of temperature-driven nanofluid. J. Heat Transf. 2006, 129, 697–704. [Google Scholar] [CrossRef]
- Omri, M.; Aich, W.; Rmili, H.; Kolsi, L. Experimental analysis of the thermal performance enhancement of a vertical helical coil heat exchanger using copper oxide-graphene (80–20%) hybrid nanofluid. Appl. Sci. 2022, 12, 11614. [Google Scholar] [CrossRef]
- Prasher, R.; Phelan, P.E.; Bhattacharya, P. Effect of aggregation kinetics on the thermal conductivity of nanoscale colloidal solutions (nanofluid). Nano Lett. 2006, 6, 1529–1534. [Google Scholar] [CrossRef]
- Wang, X.; Xu, X.; Choi, S.U.S. Thermal conductivity of nanoparticle–fluid mixture. J. Thermophys. Heat Transf. 1999, 13, 474–480. [Google Scholar] [CrossRef]
- Murshed, S.M.S.; Leong, K.C.; Yang, C. Investigations of thermal conductivity and viscosity of nanofluids. Int. J. Therm. Sci. 2008, 47, 560–568. [Google Scholar] [CrossRef]
- Liu, M.-S.; Lin, M.C.-C.; Huang, I.-T.; Wang, C.-C. Enhancement of thermal conductivity with CuO for nanofluids. Chem. Eng. Technol. 2006, 29, 72–77. [Google Scholar] [CrossRef]
- Bourantas, G.C.; Skouras, E.D.; Loukopoulos, V.C.; Burganos, V.N. Heat transfer and natural convection of nanofluids in porous media. Eur. J. Mech. B Fluids 2014, 43, 45–56. [Google Scholar] [CrossRef]
- Sheremet, M.A.; Pop, I.; Rahman, M.M. Three-dimensional natural convection in a porous enclosure filled with a nanofluid using Buongiorno’s mathematical model. Int. J. Heat Mass Transf. 2015, 82, 396–405. [Google Scholar] [CrossRef]
- Ghalambaz, M.; Sabour, M.; Pop, I. Free convection in a square cavity filled by a porous medium saturated by a nanofluid: Viscous dissipation and radiation effects. Eng. Sci. Technol. Int. J. 2016, 19, 1244–1253. [Google Scholar] [CrossRef]
- Bagheri, G.H.; Salmanzadeh, M.; Golkarfard, V.; Ahmadi, G. Simulation of solid particles behaviour in a heated cavity at high Rayleigh numbers. Aerosol Sci. Technol. 2012, 46, 1382–1391. [Google Scholar] [CrossRef]
- Sheikholeslami, M.; Ellahi, R. Three-dimensional mesoscopic simulation of magnetic field effect on natural convection of nanofluids. Int. J. Heat Mass Transf. 2015, 89, 799–808. [Google Scholar] [CrossRef]
- Ellahi, R.; Hassan, M.; Zeeshan, A. Study of natural convection MHD nanofluid by means of single and multi-walled carbon nanotubes suspended in a salt-water solution. IEEE Trans. Nanotechnol. 2015, 14, 726–734. [Google Scholar] [CrossRef]
- Aybar, H.S.; Sharifpur, M.; Azizian, M.R.; Mehrabi, M.; Meyer, J.P. A review of thermal conductivity models of nanofluids. Heat Transf. Eng. 2015, 36, 1085–1110. [Google Scholar] [CrossRef]
- Sundar, L.S.; Ramana, E.V.; Singh, M.K.; Sousa, A.C.M. Thermal conductivity and viscosity of stabilized ethylene glycol and water mixture Al2O3 nanofluids for heat transfer applications: An experimental study. Int. Commun. Heat Mass Transf. 2014, 56, 86–95. [Google Scholar] [CrossRef]
- Sharifpur, M.; Ntumba, T.; Meyer, J.P. Parametric analysis of effective thermal conductivity models for nanofluids. In Proceedings of the ASME 2012 International Mechanical Engineering Congress and Exposition, Houston, TX, USA, 9–15 November 2012; pp. 85–93. [Google Scholar]
- Ho, C.J.; Liu, W.K.; Chang, Y.S.; Lin, C.C. Natural convection heat transfer alumina water nanofluid in vertical square enclosures: An experimental study. Int. J. Therm. Sci. 2010, 49, 1345–1353. [Google Scholar] [CrossRef]
- American Society of Heating, Refrigerating and Air Conditioning Engineers (ASHRAE). ASHRAE Handbook Fundamentals; American Society of Heating, Refrigerating and Air Conditioning Engineers (ASHRAE): Peachtree Corners, GA, USA, 2009. [Google Scholar]
- Solomon, A.B.; Sharifpur, M.; Ottermann, T.; Grobler, C.; Joubert, M.; Meyer, J.P. Natural convection enhancement in a porous cavity with Al2O3-Ethylene glycol/water nanofluids. Int. J. Heat Mass Transf. 2017, 108, 1324–1334. [Google Scholar] [CrossRef]
- Meriläinen, A.; Seppälä, A.; Saari, K.; Seitsonen, J.; Ruokolainen, J.; Puisto, S.; Rostedt, N.; Ala-Nissila, T. Influence of particle size and shape on turbulent heat transfer characteristics and pressure losses in water-based nanofluids. Int. J. Heat Mass Transf. 2013, 61, 439–448. [Google Scholar] [CrossRef]
- Kim, D.; Kwon, Y.; Cho, Y.; Li, C.; Cheong, S.; Hwang, Y.; Lee, J.; Hong, D.; Moon, S. Convective heat transfer characteristics of nanofluids under laminar and turbulent flow conditions. Curr. Appl. Phys. 2009, 9, 119–123. [Google Scholar] [CrossRef]
- Duangthongsuk, W.; Wongwises, S. An experimental study on the heat transfer performance and pressure drop of TiO2-water nanofluids flowing under a turbulent flow regime. Int. J. Heat Mass Transf. 2010, 53, 334–344. [Google Scholar] [CrossRef]











| Properties | Values |
|---|---|
| Spherical glass diameter (mm) | 16 |
| Thermal conductivity (W/m-K) | 0.7 |
| Density (kg/m3) | 2800 |
| Specific heat (J/kg K) | 13.96 |
| Inner Tube Temperatures (°C) | Outer Tube Temperatures (°C) | Temperatures Difference ΔT (°C) |
|---|---|---|
| 55 | 5 | 50 |
| 45 | 15 | 30 |
| 40 | 20 | 20 |
| Parameters | Device | Total Uncertainty (±%) |
|---|---|---|
| Temperature | J-thermocouple | 1.7 |
| Flow rate | Flow meter | 2 |
| Heat convection | - | 3 |
| Thermal efficiency | - | 4.5 |
Disclaimer/Publisher’s Note: The statements, opinions and data contained in all publications are solely those of the individual author(s) and contributor(s) and not of MDPI and/or the editor(s). MDPI and/or the editor(s) disclaim responsibility for any injury to people or property resulting from any ideas, methods, instructions or products referred to in the content. |
© 2023 by the author. Licensee MDPI, Basel, Switzerland. This article is an open access article distributed under the terms and conditions of the Creative Commons Attribution (CC BY) license (https://creativecommons.org/licenses/by/4.0/).
Share and Cite
Abdulateef, A.M. Experimental Approach for Enhancing the Natural Convection Heat Transfer by Nanofluid in a Porous Heat Exchanger Unit. Sustainability 2023, 15, 2580. https://doi.org/10.3390/su15032580
Abdulateef AM. Experimental Approach for Enhancing the Natural Convection Heat Transfer by Nanofluid in a Porous Heat Exchanger Unit. Sustainability. 2023; 15(3):2580. https://doi.org/10.3390/su15032580
Chicago/Turabian StyleAbdulateef, Ammar M. 2023. "Experimental Approach for Enhancing the Natural Convection Heat Transfer by Nanofluid in a Porous Heat Exchanger Unit" Sustainability 15, no. 3: 2580. https://doi.org/10.3390/su15032580
APA StyleAbdulateef, A. M. (2023). Experimental Approach for Enhancing the Natural Convection Heat Transfer by Nanofluid in a Porous Heat Exchanger Unit. Sustainability, 15(3), 2580. https://doi.org/10.3390/su15032580