Spatial Dependence of SO2 Emissions and Energy Consumption Structure in Northern China
Abstract
1. Introduction
2. Data and Methods
2.1. Variable Selection and Data Sources
2.2. Spatial Autocorrelation Test Model
2.3. Spatial Econometric Model
- (1)
- Spatial Lag Model
- (2)
- Spatial Error Model
- (3)
- Spatial Durbin Model
3. Results and Discussion
3.1. The Results of Spatial Autocorrelation Test
3.2. The Results and Discussion of Model Solving
3.2.1. The Results of Model Solving
3.2.2. The Discussion of Model Solving Results
4. Conclusions
- Spatial measurements based on the 0-1 matrix show that there are significant spatial clustering characteristics of SO2 emissions in 14 provinces and regions in northern China, most of which belong to the high-high and low-low categories. National SO2 control should focus on the overall situation, fully consider the spatial dependency, and systematically address the air quality problems in the northern region and take spatial characteristics into account in the specific policy measures.
- The consumption of electricity has a negative effect on the SO2 emissions in the local region, but it has a positive effect on the adjacent regions, which indicated that the SO2 emissions can be transferred by the electricity transmission. Based on the characteristics of large-scale power transmission across regions in China, SO2 emissions reduction should focus on power production regions. It is suggested developing new energy power generation, strengthening coal power desulfurization treatment, and other methods to reduce SO2 emissions in power production region.
- The scale of industrial enterprises is an important factor in the growth of SO2 emissions in locations and adjacent regions. Therefore, the northern region should still focus on SO2 treatment in industrial industries. To reduce SO2 emissions from industrial enterprises, it is suggested to optimize industrial structure and increase desulfurization facilities.
Author Contributions
Funding
Institutional Review Board Statement
Informed Consent Statement
Data Availability Statement
Conflicts of Interest
References
- Signoretta, P.E.; Buffel, V.; Bracke, P. Mental wellbeing, air pollution and the ecological state. Health Place 2019, 57, 82–91. [Google Scholar] [CrossRef] [PubMed]
- Xu, S.-C.; Li, Y.-W.; Miao, Y.-M.; Gao, C.; He, Z.-X.; Shen, W.-X.; Long, R.-Y.; Chen, H.; Zhao, B.; Wang, S.-X. Regional differences in nonlinear impacts of economic growth, export and FDI on air pollutants in China based on provincial panel data. J. Clean. Prod. 2019, 228, 455–466. [Google Scholar] [CrossRef]
- Qian, Y.; Scherer, L.; Tukker, A.; Behrens, P. China’s potential SO2 emissions from coal by 2050. Energy Policy 2020, 147, 111856. [Google Scholar] [CrossRef]
- Jiang, L.; He, S.; Cui, Y.; Zhou, H.; Kong, H. Effects of the socio-economic influencing factors on SO2 pollution in Chinese cities: A spatial econometric analysis based on satellite observed data. J. Environ. Manag. 2020, 268, 110667. [Google Scholar] [CrossRef] [PubMed]
- Ren, L.; Matsumoto, K. Effects of socioeconomic and natural factors on air pollution in China: A spatial panel data analysis. Sci. Total Environ. 2020, 740, 140155. [Google Scholar] [CrossRef]
- Zhang, S.; Mi, T.; Wu, Q.; Luo, Y.; Grieneisen, M.L.; Shi, G.; Yang, F.; Zhan, Y. A data-augmentation approach to deriving long-term surface SO2 across Northern China: Implications for interpretable machine learning. Sci. Total Environ. 2022, 827, 154278. [Google Scholar] [CrossRef] [PubMed]
- Ren, D.; Guo, X.; Li, C. Research on big data analysis model of multi energy power generation considering pollutant emission—Empirical analysis from Shanxi Province. J. Clean. Prod. 2021, 316, 128154. [Google Scholar] [CrossRef]
- Cerro, J.C.; Cerdà, V.; Querol, X.; Alastuey, A.; Bujosa, C.; Pey, J. Variability of air pollutants, and PM composition and sources at a regional background site in the Balearic Islands: Review of western Mediterranean phenomenology from a 3-year study. Sci. Total Environ. 2020, 717, 137177. [Google Scholar] [CrossRef]
- Yan, X.; Xu, Y. SO2 mitigation in China’s coal-fired power plants: A satellite-based assessment on compliance and enforcement. Atmos. Environ. 2021, 254, 118396. [Google Scholar] [CrossRef]
- Adame, J.; Lope, L.; Sorribas, M.; Notario, A.; Yela, M. SO2 measurements in a clean coastal environment of the southwestern Europe: Sources, transport and influence in the formation of secondary aerosols. Sci. Total Environ. 2020, 716, 137075. [Google Scholar] [CrossRef]
- Lotrecchianoa, N.; Sofiaa, D.; Giulianoa, A.; Barlettaa, D.; Polettoa, M. Real-time on-road monitoring network of air quality. Chem. Eng. Trans. 2019, 74, 241–246. [Google Scholar]
- Sofia, D.; Lotrecchiano, N.; Giuliano, A.; Barletta, D.; Poletto, M. Optimization of Number and Location of Sampling Points of an Air Quality Monitoring Network in an Urban Contest. Chem. Eng. Trans. 2019, 74, 277–282. [Google Scholar]
- Wu, L.; Ma, T.; Bian, Y.; Li, S.; Yi, Z. Improvement of regional environmental quality: Government environmental governance and public participation. Sci Total Environ. 2020, 717, 137265. [Google Scholar] [CrossRef] [PubMed]
- Han, Y.; Kou, P.; Jiao, Y. How Does Public Participation in Environmental Protection Affect Air Pollution in China? A Perspective of Local Government Intervention. Pol. J. Environ. Stud. 2022, 31, 1095–1107. [Google Scholar] [CrossRef]
- Zeraibi, A.; Balsalobre-Lorente, D.; Shehzad, K. Testing the Environmental Kuznets Curve Hypotheses in Chinese Provinces: A Nexus between Regional Government Expenditures and Environmental Quality. Int J. Environ. Res. Public Health 2021, 18, 9667. [Google Scholar] [CrossRef]
- Qi, X.; Mao, X.; Huang, X.; Wang, D.; Zhao, H.; Yang, H. Tracing the sources of air pollutant emissions embodied in exports in the Yangtze River Delta, China: A four-level perspective. J. Clean. Prod. 2020, 254, 120155. [Google Scholar] [CrossRef]
- Xu, Y.; Zhang, W.; Wang, J.; Ji, S.; Wang, C.; Streets, D.G. Investigating the spatially heterogeneous impacts of urbanization on city-level industrial SO2 emissions: Evidence from night-time light data in China. Ecol. Indic. 2021, 133, 108430. [Google Scholar] [CrossRef]
- Qi, G.; Wang, Z.; Wang, Z.; Wei, L. Has Industrial Upgrading Improved Air Pollution?—Evidence from China’s Digital Economy. Sustainability 2022, 14, 8967. [Google Scholar] [CrossRef]
- Tang, Y.; Chen, S.; Huang, J. Green research and development activities and SO2 intensity: An analysis for China. Environ. Sci. Pollut. Res. Int. 2021, 28, 16165–16180. [Google Scholar] [CrossRef]
- Chen, S.; Ma, J.; Ding, D.; Yu, S.; Tang, Y. The Impact of Green R&D Activities on SO2 Emissions: Evidence from China. Math. Probl. Eng. 2021, 2021, 6680560. [Google Scholar]
- Ge, Y.; Hu, Y.; Ren, S. Environmental Regulation and Foreign Direct Investment: Evidence from China’s Eleventh and Twelfth Five-Year Plans. Sustainability 2020, 12, 2528. [Google Scholar] [CrossRef]
- Yan, Y.; Hu, W. Does Foreign Direct Investment Affect Tropospheric SO2 Emissions? A Spatial Analysis in Eastern China from 2011 to 2017. Sustainability 2020, 12, 2878. [Google Scholar] [CrossRef]
- Xu, S.; Miao, Y.; Li, Y.; Zhou, Y.; Ma, X.; He, Z.; Zhao, B.; Wang, S. What Factors Drive Air Pollutants in China? An Analysis from the Perspective of Regional Difference Using a Combined Method of Production Decomposition Analysis and Logarithmic Mean Divisia Index. Sustainability 2019, 11, 4650. [Google Scholar] [CrossRef]
- Yang, J.; Shan, H. Identifying Driving Factors of Jiangsu’s Regional Sulfur Dioxide Emissions: A Generalized Divisia Index Method. Int. J. Environ. Res. Public Health 2019, 16, 4004. [Google Scholar] [CrossRef]
- Yang, J.; Miao, Y.; Li, Y.; Li, Y.; Ma, X.; Xu, S.; Wang, S. Decomposition Analysis of Factors that Drive the Changes of Major Air Pollutant Emissions in China at a Multi-Regional Level. Sustainability 2019, 11, 7113. [Google Scholar] [CrossRef]
- Xu, C.; Zhao, W.; Zhang, M.; Cheng, B. Pollution haven or halo? The role of the energy transition in the impact of FDI on SO2 emissions. Sci. Total Environ. 2021, 763, 143002. [Google Scholar] [CrossRef]
- Yuan, W.; Sun, H.; Chen, Y.; Xia, X. Spatio-Temporal Evolution and Spatial Heterogeneity of Influencing Factors of SO2 Emissions in Chinese Cities: Fresh Evidence from MGWR. Sustainability 2021, 13, 12059. [Google Scholar] [CrossRef]
- Zhang, P.; Zhang, Y.; Lee, J.; Li, Y.; Yang, J.; Geng, W.; Liu, Y.; Rong, T.; Shao, J.; Li, B. Characteristics of the Spatio-Temporal Trends and Driving Factors of Industrial Development and Industrial SO2 Emissions Based on Niche Theory: Taking Henan Province as an Example. Sustainability 2020, 12, 1389. [Google Scholar] [CrossRef]
- Wang, B.; Huang, D.; Fan, C.; Xing, Z. Peak of SO2 Emissions Embodied in International Trade: Patterns, Drivers and Implications. Sustainability 2021, 13, 13351. [Google Scholar] [CrossRef]
- Chen, X.; Liu, W.; Zhang, J.; Li, Z. The change pattern and driving factors of embodied SO2 emissions in China’s inter-provincial trade. J. Clean. Prod. 2020, 276, 123324. [Google Scholar] [CrossRef]
- Yue, W.; Jingyou, W.; Mei, Z.; Lei, S. Spatial Correlation Analysis of Energy Consumption and Air Pollution in Beijing-Tianjin-Hebei Region. Energy Procedia 2019, 158, 4280–4285. [Google Scholar] [CrossRef]
- Samoli, E.; Stergiopoulou, A.; Santana, P.; Rodopoulou, S.; Mitsakou, C.; Dimitroulopoulou, C.; Bauwelinck, M.; de Hoogh, K.; Costa, C.; Marí-Dell’Olmo, M.; et al. Spatial variability in air pollution exposure in relation to socioeconomic indicators in nine European metropolitan areas: A study on environmental inequality. Environ. Pollut. 2019, 249, 345–353. [Google Scholar] [CrossRef] [PubMed]
- Bai, L.; Jiang, L.; Yang, D.-Y.; Liu, Y.-B. Quantifying the spatial heterogeneity influences of natural and socioeconomic factors and their interactions on air pollution using the geographical detector method: A case study of the Yangtze River Economic Belt, China. J. Clean. Prod. 2019, 232, 692–704. [Google Scholar] [CrossRef]
- Liu, X.; Sun, T.; Feng, Q. Dynamic spatial spillover effect of urbanization on environmental pollution in China considering the inertia characteristics of environmental pollution. Sustain. Cities Soc. 2020, 53, 101903. [Google Scholar] [CrossRef]
- Wang, S.-L.; Chen, F.-W.; Liao, B.; Zhang, C. Foreign Trade, FDI and the Upgrading of Regional Industrial Structure in China: Based on Spatial Econometric Model. Sustainability 2020, 12, 815. [Google Scholar] [CrossRef]
- Tang, Y.; Wu, S.; Chen, S. Evaluating the influence of environmental R&D on the SO2 intensity in China: Evidence from dynamic spatial Durbin model analysis. Econ. Res. -Ekon. Istraživanja 2022, 1–20. [Google Scholar] [CrossRef]
- Lou, L.; Li, J.; Zhong, S. Sulfur dioxide (SO2) emission reduction and its spatial spillover effect in high-tech industries: Based on panel data from 30 provinces in China. Environ. Sci. Pollut Res. Int. 2021, 28, 31340–31357. [Google Scholar] [CrossRef]
- Peng, Z.; Nian, X. Research on the Influencing Factors of Industrial SO2 Emission in Hanjiang River EcoEconomic Belt Prefecture-Level Cities: Based on the Perspective of Spatial Spillover Effect. Ecol. Econ. 2019, 35, 182–187. [Google Scholar]
- Shi, W.; Du, Y.; Chang, C.-H.; Nguyen, S.; Wu, J. Spatial heterogeneity and economic driving factors of SO2 emissions in China: Evidence from an eigenvector based spatial filtering approach. Ecol. Indic. 2021, 129, 108001. [Google Scholar] [CrossRef]
- Huang, J.-T. Sulfur dioxide (SO2) emissions and government spending on environmental protection in China—Evidence from spatial econometric analysis. J. Clean. Prod. 2018, 175, 431–441. [Google Scholar] [CrossRef]
- Qian, Y.; Cao, H.; Huang, S. Decoupling and decomposition analysis of industrial sulfur dioxide emissions from the industrial economy in 30 Chinese provinces. J. Environ. Manag. 2020, 260, 110142. [Google Scholar] [CrossRef] [PubMed]
- Feng, Y.; Wang, X. Effects of urban sprawl on haze pollution in China based on dynamic spatial Durbin model during 2003–2016. J. Clean. Prod. 2020, 242, 118368. [Google Scholar] [CrossRef]
- Mi, K.; Zhuang, R. Producer Services Agglomeration and Carbon Emission Reduction—An Empirical Test Based on Panel Data from China. Sustainability 2022, 14, 3618. [Google Scholar] [CrossRef]
- Chu, X.; Geng, H.; Guo, W. How Does Energy Misallocation Affect Carbon Emission Efficiency in China? An Empirical Study Based on the Spatial Econometric Model. Sustainability 2019, 11, 2115. [Google Scholar] [CrossRef]
- Ye, T.; Xiang, X.; Ge, X.; Yang, K. Research on Green Finance and Green Development Based Eco-Efficiency and Spatial Econometric Analysis. Sustainability 2022, 14, 2825. [Google Scholar] [CrossRef]



| Variable | Variable Name | Variable Meaning | Unit |
|---|---|---|---|
| pollution | SO2 emissions | Total SO2 emissions in the region | Ton |
| coal | Coal consumption structure | Regional coal consumption as a percentage of total energy consumption | % |
| crude | Crude oil consumption structure | Regional crude oil consumption as a percentage of total energy consumption | % |
| natgas | Natural gas consumption | Regional natural gas consumption as a percentage of total energy consumption | % |
| electric | Electric consumption structure | Regional electricity consumption as a percentage of total energy consumption | % |
| firm | The scale of industrial enterprises | The ratio of the number of industrial enterprises above the regional scale to the national average | % |
| reg | Environmental regulation | Proportion of regional environmental pollution control investment in fiscal general budget expenditure | % |
| cgdp | GDP per capita | Regional GDP divided by the resident population of the region | yuan |
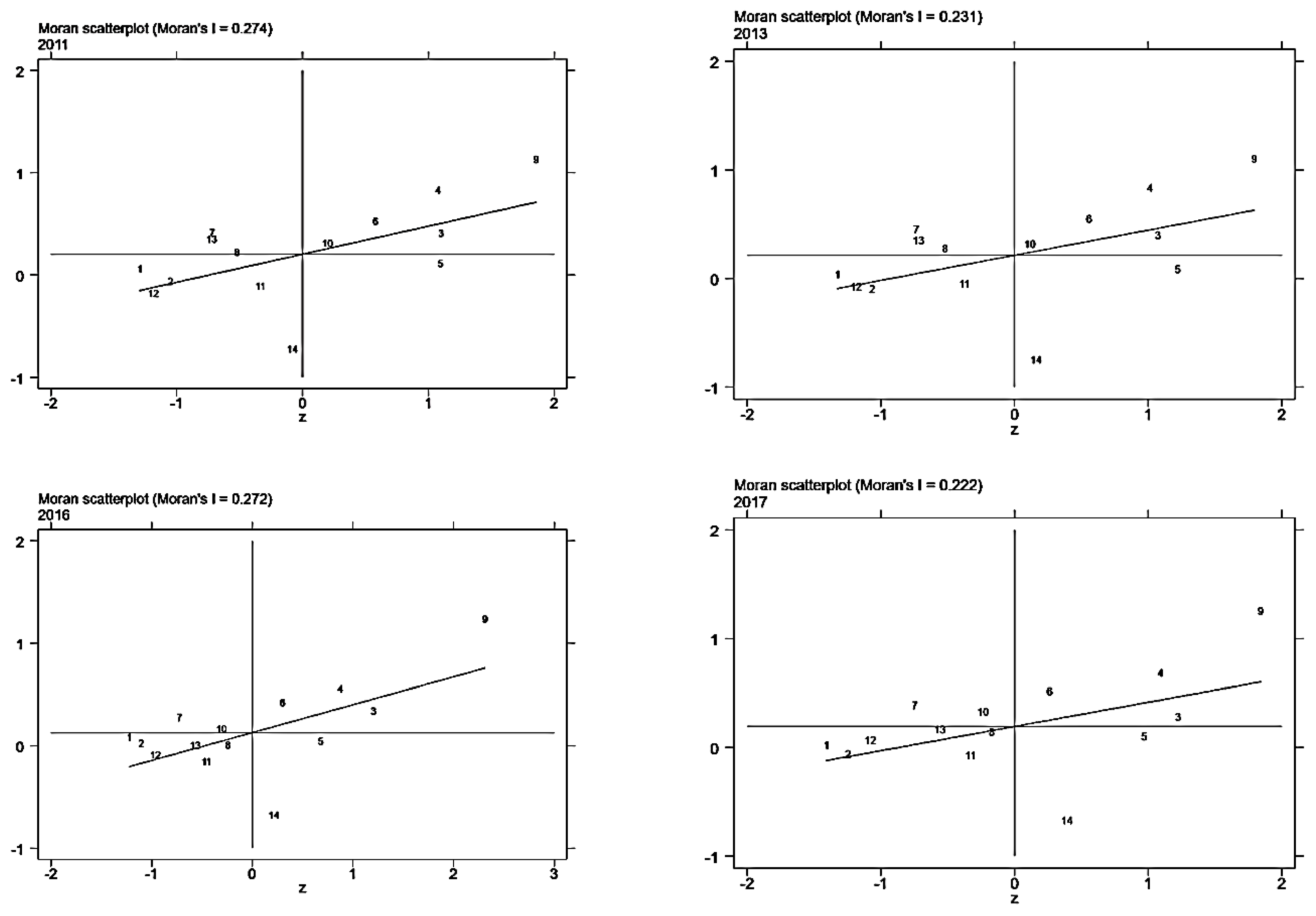
| Year | Moran I | Z Value | p Value |
|---|---|---|---|
| 2011 | 0.274 | 1.808 | 0.035 |
| 2012 | 0.255 | 1.711 | 0.044 |
| 2013 | 0.231 | 1.582 | 0.057 |
| 2014 | 0.206 | 1.453 | 0.073 |
| 2015 | 0.211 | 1.485 | 0.069 |
| 2016 | 0.272 | 1.895 | 0.029 |
| 2017 | 0.222 | 1.547 | 0.061 |
| Test | Value | p-Value |
|---|---|---|
| LM lag test | 0.35 | 0.034 |
| robust LM lag test | 1.1022 | 0.064 |
| LM error test | 0.5403 | 0.032 |
| robust LM error test | 1.2925 | 0.056 |
| Test | Statistics | p-Value |
|---|---|---|
| Hausman | 32.51 | 0.003 |
| Wald spatial lag | 22.5533 | 0.002 |
| LR spatial lag | 21.7338 | 0.0028 |
| Wald spatial error | 24.9988 | 0.0007 |
| LR spatial error | 24.2687 | 0.001 |
| Variable | Space-Fixed | Time-Fixed | Double-Fixed |
|---|---|---|---|
| ln(coal) | −0.236805 | 0.606774 * | 0.046755 |
| ln(crude) | −0.279980 *** | −0.279638 *** | −0.331107 *** |
| ln(natgas) | −0.111302 | 0.117752 | −0.054648 |
| ln(electric) | −0.027053 | −0.439097 ** | −0.217198 |
| ln(firm) | 0.340663 *** | 0.738655 *** | 0.670068 *** |
| ln(reg) | −0.695054 *** | −0.063302 | −0.100911 |
| ln(cgdp) | −0.775865 *** | −1.610074 *** | −1.207676 *** |
| W*dep.var | 0.356973 *** | 0.126988 * | 0.060370 * |
| log-likelihood | 13.319502 | −9.0310913 | 49.991949 |
| R-squared | 0.9537 | 0.9238 | 0.9769 |
| sigma2 | 0.0494 | 0.0751 | 0.0263 |
| Variable | Space-Fixed | Time-Fixed | Double-Fixed |
|---|---|---|---|
| ln(coal) | 0.065146 | 0.578399 * | 0.032080 |
| ln(crude) | −0.296668 *** | −0.267374 *** | −0.361589 *** |
| ln(natgas) | 0.019678 | 0.125235 | −0.065204 |
| ln(electric) | −0.412520 *** | −0.435818 ** | −0.164065 |
| ln(firm) | 0.536658 *** | 0.710759 *** | 0.719561 *** |
| ln(reg) | −0.269814 ** | −0.089276 | −0.090760 |
| ln(cgdp) | −1.169465 *** | −1.483610 *** | −1.314848 *** |
| spat.aut. | 0.750999 *** | 0.161986 * | 0.076073 * |
| log-likelihood | 26.834229 | −9.5254691 | 50.356996 |
| R-squared | 0.8933 | 0.9213 | 0.9767 |
| sigma2 | 0.0309 | 0.0758 | 0.0262 |
| Variable | Space-Fixed | Time-Fixed | Double-Fixed |
|---|---|---|---|
| ln(coal) | −0.009327 | 0.554319 * | 0.032917 |
| ln(crude) | −0.318253 *** | −0.278919 *** | −0.324738 *** |
| ln(natgas) | 0.027080 | 0.121777 | 0.013251 |
| ln(electric) | −0.559424 *** | −0.649843 *** | −0.483385 *** |
| ln(firm) | 0.579426 *** | 0.746949 *** | 0.660460 *** |
| ln(reg) | −0.206039 * | 0.137562 | −0.051362 |
| ln(cgdp) | −1.064286 *** | −1.594257 *** | −1.092002 *** |
| W*ln(coal) | −0.042288 | −0.222599 | −0.116486 |
| W*ln(crude) | 0.159295 ** | −0.110297 | −0.173175 ** |
| W*ln(natgas) | −0.228624 ** | 0.002353 | −0.151666 * |
| W*ln(electric) | 0.770627 *** | 0.267088 | 0.532241 *** |
| W*ln(firm) | −0.376940 *** | 0.131731 | 0.307019 *** |
| W*ln(reg) | −0.215083 | −0.560945 ** | −0.014312 |
| W*ln(cgdp) | 0.630607 ** | 0.301205 | −0.595836 * |
| W*dep.var | 0.572989 *** | 0.200941 * | 0.147971 * |
| log-likelihood | 37.645102 | −2.6162142 | 62.491359 |
| R-squared | 0.9736 | 0.9337 | 0.9824 |
| sigma2 | 0.0242 | 0.0607 | 0.0161 |
| -- | ln(coal) | ln(crude) | ln(natgas) | ln(electric) | ln(firm) | ln(reg) | ln(cgdp) |
|---|---|---|---|---|---|---|---|
| Direct Effects | 0.0323 | −0.3264 *** | 0.0115 | −0.5135 *** | 0.6604 *** | −0.0613 | −1.1201 *** |
| Indirect Effects | −0.1164 | −0.1731 ** | −0.1516 * | 0.5322 *** | 0.3171 *** | −0.0143 | −0.5917 * |
| Total Effects | −0.0865 | −0.5122 *** | −0.1332 | 0.0352 | 0.9846 *** | −0.0735 | −1.7137 ** |
Disclaimer/Publisher’s Note: The statements, opinions and data contained in all publications are solely those of the individual author(s) and contributor(s) and not of MDPI and/or the editor(s). MDPI and/or the editor(s) disclaim responsibility for any injury to people or property resulting from any ideas, methods, instructions or products referred to in the content. |
© 2023 by the authors. Licensee MDPI, Basel, Switzerland. This article is an open access article distributed under the terms and conditions of the Creative Commons Attribution (CC BY) license (https://creativecommons.org/licenses/by/4.0/).
Share and Cite
Yang, X.; Dong, J.; Guo, X. Spatial Dependence of SO2 Emissions and Energy Consumption Structure in Northern China. Sustainability 2023, 15, 2144. https://doi.org/10.3390/su15032144
Yang X, Dong J, Guo X. Spatial Dependence of SO2 Emissions and Energy Consumption Structure in Northern China. Sustainability. 2023; 15(3):2144. https://doi.org/10.3390/su15032144
Chicago/Turabian StyleYang, Xiaoyu, Jianqiang Dong, and Xiaopeng Guo. 2023. "Spatial Dependence of SO2 Emissions and Energy Consumption Structure in Northern China" Sustainability 15, no. 3: 2144. https://doi.org/10.3390/su15032144
APA StyleYang, X., Dong, J., & Guo, X. (2023). Spatial Dependence of SO2 Emissions and Energy Consumption Structure in Northern China. Sustainability, 15(3), 2144. https://doi.org/10.3390/su15032144
