Bioactivities Screening and Elucidation of Terpenoid from the Stembark Extracts of Lansium domesticum Corr. cv. Kokosan (Meliaceae)
Abstract
1. Introduction
2. Materials and Methods
2.1. Plant Material
2.2. Chemicals and Reagents
2.3. Extracts Preparations
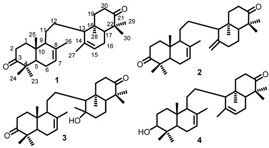
2.4. Isolation of Compounds from L. domesticum Corr. cv. Kokosan
- 8,14-secogammacera-7,14-diene-3,21-dione (1)
- 2.
- 8,14-secogammacera-7,14(27)-diene-3,21-dione (2)
- 3.
- Kokosanolid B (3)
- 4.
- 3-hidroksi-8,14-secogammacera-7,14-diene-21-one (4)
2.5. Antimicrobial Test of Extracts
2.5.1. Preparation of Bacterial and Fungal Culture
2.5.2. MIC Determination of the Extracts from Kokossan Stembark
2.6. Cytotoxic Activity Test by the MTT Assay
3. Results
4. Discussions
5. Conclusions
Author Contributions
Funding
Institutional Review Board Statement
Data Availability Statement
Acknowledgments
Conflicts of Interest
References
- Poswal, F.S.; Russell, G.; Mackonochie, M.; MacLennan, E.; Adukwu, E.C.; Rolfe, V. Herbal teas and their health benefits: A scoping review. Plant Foods Hum. Nutr. 2019, 74, 266–276. [Google Scholar] [CrossRef] [PubMed]
- Barreira, J.C.M.; Ferreira, I.C.F.R.; Oliveira, M.B.P.P.; Pereira, J.A. Effects of different phenols extraction conditions on antioxidant activity of almond (prunus dulcis) fruits. J. Food Biochem. 2009, 33, 763–776. [Google Scholar] [CrossRef]
- Nunes, A.R.; Flores-Félix, J.D.; Gonçalves, A.C.; Falcão, A.; Alves, G.; Silva, L.R. Anti-inflammatory and antimicrobial activities of Portuguese Prunus Avium L. (sweet cherry) by-products extracts. Nutrients. 2022, 14, 4576. [Google Scholar] [CrossRef] [PubMed]
- Lim, T.K. Lansium domesticum ‘langsat-lonkong group’. In Edible Medicinal and Non-Medicinal Plants; Springer: Dordrecht, The Netherlands, 2012; pp. 269–277. [Google Scholar]
- Mayanti, T.; Sinaga, S.E.; Supratman, U. Phytochemistry and biological activity of Lansium domesticum corr. species: A review. J. Pharm. Pharmacol. 2022, 74, 1568–1587. [Google Scholar] [CrossRef]
- Abdallah, H.M.; Mohamed, G.A.; Ibrahim, S.R.M. Lansium domesticum—A Fruit with multi-benefits: Traditional uses, phytochemicals, nutritional value, and bioactivities. Nutrients 2022, 14, 1531. [Google Scholar] [CrossRef]
- Sinaga, S.E.; Mayanti, T.; Naini, A.A.; Harneti, D.; Nurlelasari, N.; Maharani, R.; Farabi, K.; Supratman, U.; Fajriah, S.; Azmi, M.N. Sesquiterpenoids from the stem bark of Lansium domesticum Corr. cv. Kokossan and their cytotoxic activity against MCF-7 breast cancer cell lines. Indones. J. Chem. 2022, 22, 1035–1042. [Google Scholar] [CrossRef]
- Zulfikar; Putri, N.K.; Fajriah, S.; Yusuf, M.; Maharani, R.; Anshori, J.A.; Supratman, U.; Mayanti, T. 3-Hydroxy-8,14-secogammacera-7,14-dien-21-one: A New Onoceranoid Triterpenes from Lansium domesticum Corr. cv kokossan. Molbank 2020, 2020, M1157. [Google Scholar] [CrossRef]
- Rudiyansyah; Alimuddin, A.H.; Masriani; Muharini, R.; Proksch, P. New tetranortriterpenoids, langsatides a and b from the seeds of Lansium domesticum Corr. (Meliaceae). Phytochem. Lett. 2018, 23, 90–93. [Google Scholar] [CrossRef]
- Ragasa, C.; Ragasa, C.Y.; Labrador, P.; Rideout, J.A. Antimicrobial terpenoids from Lansium domesticum. Philipp. Agric. Sci. 2006, 89, 101. [Google Scholar]
- Saewan, N.; Sutherland, J.D.; Chantrapromma, K. Antimalarial tetranortriterpenoids from the seeds of Lansium domesticum Corr. Phytochemistry. 2006, 67, 2288–2293. [Google Scholar] [CrossRef]
- Heyne, K. Tumbuhan berguna indonesia. Badan Penelit. Dan Pengemb. Kehutanan. Dep. Kehutan. 1987, 2, 1188–1189. [Google Scholar]
- Hayati, I.; Wiyono, S.; Widodo, W.; Sobir, S. Variability of agronomic characters related to resistance to stem canker (phytophthora palmivora) on duku (Lansium domesticum) along Batanghari River, Sumatra, Indonesia. Biodiversitas 2019, 20, 1127–1132. [Google Scholar] [CrossRef]
- Tilaar, M.; Wih, W.L.; Ranti, A.S.; Wasitaatmadja, S.M.; Suryaningsih, S.; Junardy, F.D.; Maily, M. Review of Lansium domesticum Corrêa and its use in cosmetics. Bol. Latinoam Caribe Plantas Med. Aromat. 2008, 7, 183–189. [Google Scholar]
- Petrov, M.M. Antimicrobial resistance and antibiotic consumption. Int. J. Infect. Dis. Epidemiol. Antimicrob. 2022, 3, 3–4. [Google Scholar] [CrossRef]
- Marfori, E.C.; Kajiyama, S.I.; Fukusaki, E.; Kobayashi, A. Lansioside D, a new triterpenoid glycoside antibiotic from the fruit peel of Lansium domesticum Correa. J. Pharmacogn. Phytochem. 2015, 3, 140–143. [Google Scholar]
- Arenas-Chávez, C.A.; de Hollanda, L.M.; Arce-Esquivel, A.A.; Alvarez-Risco, A.; Del-Aguila-Arcentales, S.; Yáñez, J.A.; Vera-Gonzales, C. Antibacterial and antifungal activity of functionalized cotton fabric with nanocomposite based on silver nanoparticles and carboxymethyl chitosan. Processes 2022, 10, 1088. [Google Scholar] [CrossRef]
- Berman, J. Candida albicans. Curr. Biol. 2012, 22, R620–R622. [Google Scholar] [CrossRef]
- Berman, J.; Hadany, L. Does stress induce (para)sex? implications for Candida albicans evolution. Trends Genet. 2012, 28, 197–203. [Google Scholar] [CrossRef]
- Ingham, E.; Cunningham, C. Malassezia furfur. J. Med. Vet. 1993, 31, 265–288. [Google Scholar] [CrossRef]
- Tragiannidis, A.; Bisping, G.; Koehler, G.; Groll, A.H. Minireview: Malassezia infections in immunocompromised patients. Mycoses 2009, 53, 187–195. [Google Scholar] [CrossRef]
- Harada, K.; Saito, M.; Sugita, T.; Tsuboi, R. Malassezia species and their associated skin diseases. J. Dermatol. 2015, 42, 250–257. [Google Scholar] [CrossRef]
- Dolenc-volj, M. Diseases caused by Malassezia species in human beings. In The Microbiology of Skin, Soft Tissue, Bone and Joint Infections; Elsevier Inc.: Amsterdam, The Netherlands, 2017; Volume 2, pp. 77–91. [Google Scholar]
- Ljubojevic, S.; Skerlev, M.; Lipozencic, J.; Basta-Juzbasic, A. The role of Malassezia furfur in dermatology. Clin. Dermatol. 2002, 20, 179–182. [Google Scholar] [CrossRef] [PubMed]
- Wyres, K.L.; Lam, M.M.C.; Holt, K.E. Population genomics of Klebsiella pneumoniae. Nat. Rev. Microbiol. 2020, 18, 344–359. [Google Scholar] [CrossRef] [PubMed]
- Pendleton, J.N.; Gorman, S.P.; Gilmore, B.F. Clinical relevance of the eskape pathogens. Expert Rev. Anti Infect. Ther. 2013, 11, 297–308. [Google Scholar] [CrossRef] [PubMed]
- Sedjati, S.; Ambariyanto, A.; Trianto, A.; Ridlo, A.; Supriyantini, E.; Sabdono, A.; Radjasa, O.K.; Firmansyah, T. Antibacterial activity of the fungal metabolite Trichoderma longibrachiatum against multidrug-resistant Klebsiella pneumoniae and methicillin-resistant Staphylococcus aureus. Jordan. J. Biol. Sci. 2022, 15, 107–113. [Google Scholar] [CrossRef]
- Fey, P.D.; Olson, M.E. Current concepts in biofilm formation of Staphylococcus epidermidis. Future Microbiol. 2010, 5, 917–933. [Google Scholar] [CrossRef]
- Uckay, I.; Pittet, D.; Vaudaux, P.; Sax, H.; Lew, D.; Waldvogel, F. Foreign body infections due to Staphylococcus epidermidis. Ann. Med. 2009, 41, 109–119. [Google Scholar] [CrossRef]
- Abedini, A.; Colin, M.; Hubert, J.; Charpentier, E.; Angelis, A.; Bounasri, H.; Bertaux, B.; Kotland, A.; Reffuveille, F.; Nuzillard, J.M.; et al. Abundant Extractable metabolites from temperate tree barks: The specific antimicrobial activity of Prunus avium extracts. Antibiotics 2020, 9, 111. [Google Scholar] [CrossRef]
- Xiao, J.; Zhang, Q.; Gao, Y.Q.; Shi, X.W.; Gao, J.M. Antifungal and antibacterial metabolites from an endophytic Aspergillus Sp. associated with Melia azedarach. Nat. Prod. Res. 2014, 28, 1388–1392. [Google Scholar] [CrossRef]
- Maharani, R.; Napitupulu, O.I.; Dirgantara, J.M.; Hidayat, A.T.; Sumiarsa, D.; Harneti, D.; Supratman, U.; Fukase, K. Synthesis of cyclotetrapeptide analogues of c-plai and evaluation of their antimicrobial properties. R. Soc. Open Sci. 2021, 8, 201822. [Google Scholar] [CrossRef]
- Panjaitan, J.R.H.; Monica, S.; Gozan, M. Biological evaluation of certain substituted hydantoins and benzalhydantoins against microbes biological evaluation of certain substituted hydantoins and benzalhydantoins against microbes. Mater. Sci. Eng. 2016, 107, 6–13. [Google Scholar] [CrossRef]
- Bradford, P.A.; Petersen, P.J.; Young, M.; Jones, C.H.; Tischler, M.; Connell, J.O.; Al, B.E.T. Tigecycline MIC testing by broth dilution requires use of fresh medium or addition of the biocatalytic oxygen-reducing reagent oxyrase to standardize the test method. Antimicrob. Agents Chemother. 2005, 49, 3903–3909. [Google Scholar] [CrossRef] [PubMed]
- Iatta, R.; Puttilli, M.R.; Immediato, D.; Otranto, D.; Cafarchia, C. The role of drug efflux pumps in Malassezia pachydermatis and Malassezia furfur defence against Azoles. Mycoses 2017, 60, 178–182. [Google Scholar] [CrossRef]
- Huang, W.; Wang, J.Q.; Song, H.Y.; Zhang, Q.; Liu, G.F. Chemical analysis and in Vitro antimicrobial effects and mechanism of action of Trachyspermum copticum essential oil against Escherichia coli. Asian Pac. J. Trop. Med. 2017, 10, 663–669. [Google Scholar] [CrossRef] [PubMed]
- Senthilraja, P.; Kathiresan, K. In Vitro Cytotoxicity MTT Assay in Vero, HepG2 and MCF-7 cell lines study of marine yeast. J. Appl. Pharm. Sci. 2015, 5, 80–84. [Google Scholar] [CrossRef]
- Rahmayanti, I.; Nurlelasari; Harneti, D.; Maharani, R.; Darwati; Shiono, Y.; Supratman, U. Two limonoids from the seeds of Chisocheton macrophyllus and their cytotoxic activity against MCF-7 breast cancer cells. Molekul 2021, 16, 117–124. [Google Scholar] [CrossRef]
- Burt, S. Essential Oils: Their antibacterial properties and potential applications in foods—A review. Int. J. Food Microbiol. 2004, 94, 223–253. [Google Scholar] [CrossRef]
- Qa’dan, F.; Thewaini, A.J.; Ali, D.A.; Afifi, R.; Elkhawad, A.; Matalka, K.Z. The Antimicrobial activities of Psidium guajava and Juglans regia Leaf extracts to acne-developing organisms. Am. J. Chin. Med. 2005, 33, 197–204. [Google Scholar] [CrossRef]
- Rameshkumar, K.B.; George, V.; Shiburaj, S. Chemical constituents and antibacterial activity of the leaf oil of Cinnamomum chemungianum mohan et Henry. J. Essent. Oil Res. 2007, 19, 98–100. [Google Scholar] [CrossRef]
- Stefanello, M.É.A.; Cervi, A.C.; Ito, I.Y.; Salvador, M.J.; Wisniewski, A.; Simionatto, E.L. Chemical composition and antimicrobial activity of essential oils of Eugenia chlorophylla (Myrtaceae). J. Essent. Oil Res. 2008, 20, 75–78. [Google Scholar] [CrossRef]
- Tajkarimi, M.M.; Ibrahim, S.A.; Cliver, D.O. Antimicrobial herb and spice compounds in food. Food Control 2010, 21, 1199–1218. [Google Scholar] [CrossRef]
- Mayanti, T.; Tjokronegoro, R.; Supratman, U.; Mukhtar, M.R.; Awang, K.; Hadi, A.H.A. Antifeedant triterpenoids from the seeds and bark of Lansium domesticum cv Kokossan (Meliaceae). Molecules 2011, 16, 2785–2795. [Google Scholar] [CrossRef] [PubMed]
- Fauzi, F.M.; Meilanie, S.R.; Zulfikar; Farabi, K.; Herlina, T.; Al Anshori, J.; Mayanti, T. Kokosanolide d: A New tetranortriterpenoid from fruit peels of Lansium domesticum Corr. cv kokossan. Molbank 2021, 2021, M1232. [Google Scholar] [CrossRef]
- Purwani, S.; Nahar, J.; Mayanti, T. Molecular docking on kokosanolide a and c for anticancer activity against human breast cancer Cell MCF-7. J. Kim. Valensi 2021, 7, 52–57. [Google Scholar] [CrossRef]

| Samples | Minimum Inhibitory Concentration | |||
|---|---|---|---|---|
| Bacteria | Fungi | |||
| K. pneumoniae ATCC 2357 | S. epidermidis ATCC 12228 | C. albicans | M. furfur | |
| Ethanol (mg/mL) | 125 | 250 | >250 | >250 |
| n-hexane (mg/mL) | 7.81 | 125 | >250 | >250 |
| Ethyl acetate (mg/mL) | 125 | 250 | >250 | >250 |
| n-Butanol (mg/mL) | 7.81 | 125 | >250 | 62.5 |
| 1 (mg/mL) | >0.5 | >0.25 | >0.25 | >0.25 |
| 2 (mg/mL) | >0.5 | >0.25 | >0.25 | >0.25 |
| 3 (mg/mL) | >0.5 | >0.25 | >0.25 | >0.25 |
| 4 (mg/mL) | >0.5 | >0.25 | >0.25 | >0.25 |
| Ciprofloxacin a (µg/mL) | 0.48 | 0.48 | ||
| Nystatin a (µg/mL) | 31.25 | |||
| Ketokonazole a (µg/mL) | 31.25 | |||
| Samples | IC50 (µg/mL) |
|---|---|
| Ethanol | 74.50 |
| n-hexane | 42.95 |
| Ethyl acetate | 72.84 |
| n-butanol | 12,088.33 |
| Cisplatin * | 53 µM |
Disclaimer/Publisher’s Note: The statements, opinions and data contained in all publications are solely those of the individual author(s) and contributor(s) and not of MDPI and/or the editor(s). MDPI and/or the editor(s) disclaim responsibility for any injury to people or property resulting from any ideas, methods, instructions or products referred to in the content. |
© 2023 by the authors. Licensee MDPI, Basel, Switzerland. This article is an open access article distributed under the terms and conditions of the Creative Commons Attribution (CC BY) license (https://creativecommons.org/licenses/by/4.0/).
Share and Cite
Sinaga, S.E.; Fajar, M.; Mayanti, T.; Supratman, U. Bioactivities Screening and Elucidation of Terpenoid from the Stembark Extracts of Lansium domesticum Corr. cv. Kokosan (Meliaceae). Sustainability 2023, 15, 2140. https://doi.org/10.3390/su15032140
Sinaga SE, Fajar M, Mayanti T, Supratman U. Bioactivities Screening and Elucidation of Terpenoid from the Stembark Extracts of Lansium domesticum Corr. cv. Kokosan (Meliaceae). Sustainability. 2023; 15(3):2140. https://doi.org/10.3390/su15032140
Chicago/Turabian StyleSinaga, Siska Elisahbet, Mohamad Fajar, Tri Mayanti, and Unang Supratman. 2023. "Bioactivities Screening and Elucidation of Terpenoid from the Stembark Extracts of Lansium domesticum Corr. cv. Kokosan (Meliaceae)" Sustainability 15, no. 3: 2140. https://doi.org/10.3390/su15032140
APA StyleSinaga, S. E., Fajar, M., Mayanti, T., & Supratman, U. (2023). Bioactivities Screening and Elucidation of Terpenoid from the Stembark Extracts of Lansium domesticum Corr. cv. Kokosan (Meliaceae). Sustainability, 15(3), 2140. https://doi.org/10.3390/su15032140

