Exploring the Determinants of the Urban–Rural Construction Land Transition in the Yellow River Basin of China Based on Machine Learning
Abstract
1. Introduction
2. Data and Methodology
2.1. Study Area
2.2. Research Framework
2.3. Data Sources
2.4. Data Analysis
2.4.1. Structural Transition Characteristics of Urban and Rural Construction Land
2.4.2. Average Annual Change Amount
2.4.3. Bivariate Spatial Autocorrelation
2.4.4. GBDT Model
3. Results
3.1. Spatiotemporal Pattern of the Urban–Rural Construction Land Transition
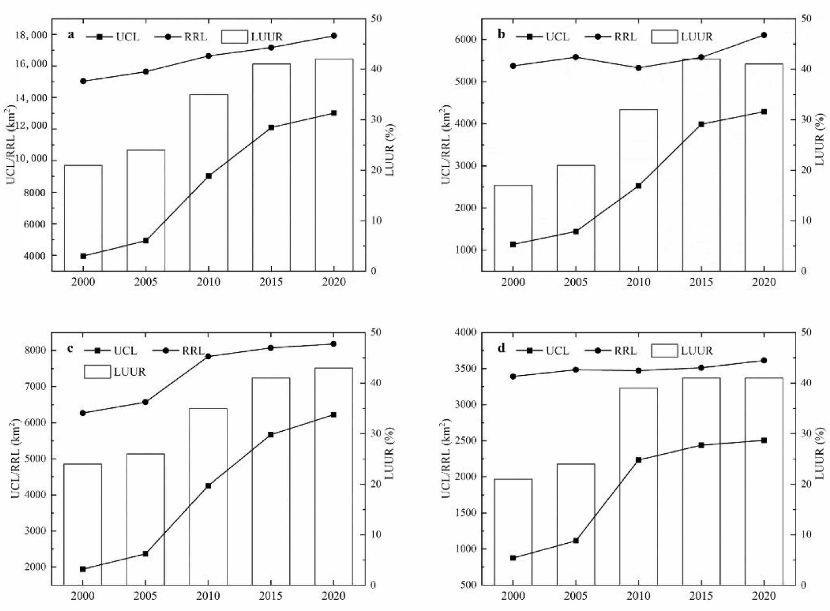
3.1.1. Temporal Change in the Urban–Rural Construction Land Transition
3.1.2. Spatial Pattern of Urban–Rural Construction Land Transition
3.1.3. Structural Change in Urban–Rural Construction Land
3.2. Bivariate Spatial Autocorrelation between UCL and RCL
3.3. Determinant of the Urban–Rural Construction Land Transition
3.3.1. Relative Importance of Influencing Factors
3.3.2. Nonlinear Associations between UCL and Its Determinants
3.3.3. Nonlinear Associations between RRL and Its Determinants
3.3.4. Nonlinear Associations between LUUR and Its Determinants
4. Discussion
4.1. Mechanisms of the Urban–Rural Construction Land Transition in the YRB
4.2. Policy Implications of the Urban–Rural Construction Land Transition in the YRB
5. Conclusions
Author Contributions
Funding
Institutional Review Board Statement
Informed Consent Statement
Data Availability Statement
Conflicts of Interest
References
- Liu, Y.S. Urban-Rural Transformation Geography; Springer: Singapore, 2021. [Google Scholar]
- Lü, X.; Huang, X.J.; Zhang, Q.J. A literature review on urban-rural construction land transition. City Plan. Rev. 2015, 39, 105–112. (In Chinese) [Google Scholar] [CrossRef]
- Jia, K.Y.; Qiao, W.F.; Chai, Y.B.; Feng, T.; Wang, Y.H.; Ge, D.Z. Spatial distribution characteristics of rural settlements under diversified rural production functions: A case of Taizhou, China. Habitat Int. 2020, 102, 102201. [Google Scholar] [CrossRef]
- Wei, S.; Li, H.H. Spatial pattern evolution of rural settlements from 1961 to 2030 in Tongzhou District, China. Land Use Policy 2020, 99, 105044. [Google Scholar] [CrossRef]
- Li, Y.R.; Liu, Y.S.; Long, H.L. Spatio-temporal analysis of population and residential land change in rural China. J. Nat. Resour. 2010, 25, 1629–1638. (In Chinese) [Google Scholar] [CrossRef]
- Dong, G.L.; Zhang, W.X.; Xu, X.L.; Jia, K. Multi-dimensional feature recognition and policy implications of rural human–land relationships in China. Land 2021, 10, 1086. [Google Scholar] [CrossRef]
- Li, Y.H.; Wu, W.H.; Liu, Y.S. Land consolidation for rural sustainability in China: Practical reflections and policy implications. Land Use Policy 2018, 74, 137–141. [Google Scholar] [CrossRef]
- Song, J.; Meng, J.J.; Zhu, L.K. Spatial and temporal analyses of potential land use conflict under the constraints of water resources in the middle reaches of the Heihe River. Land Use Policy 2020, 97, 104773. [Google Scholar] [CrossRef]
- Long, H.L.; Ge, D.Z.; Zhang, Y.N.; Tu, S.S.; Qu, Y.; Ma, L. Changing man-land interrelations in China’s farming area under urbanization and its implications for food security. J. Environ. Manag. 2018, 209, 440–451. [Google Scholar] [CrossRef] [PubMed]
- Grainger, A. The Future Role of Tropical Rain Forests in the World Forest Economy. Ph.D. Thesis, University of Oxford, Oxford, UK, 1986. [Google Scholar]
- Grainger, A. National land-use morphology—Patterns and possibilities. Geography 1995, 80, 235–245. [Google Scholar]
- Long, H.L.; Li, T.T. The coupling characteristics and mechanism of farmland and rural housing land transition in China. J. Geogr. Sci. 2012, 22, 548–562. [Google Scholar] [CrossRef]
- Long, H.L.; Zhang, Y.N.; Ma, L.; Tu, S.S. Land use transitions: Progress, challenges and prospects. Land 2021, 10, 903. [Google Scholar] [CrossRef]
- Ma, L.; Long, H.L.; Tu, S.S.; Zhang, Y.N.; Zheng, Y.H. Farmland transition in china and its policy implications. Land Use Policy 2020, 92, 104470. [Google Scholar] [CrossRef]
- Ge, D.Z.; Long, H.L.; Zhang, Y.N.; Ma, L.; Li, T.T. Farmland transition and its influences on grain production in China. Land Use Policy 2018, 70, 94–105. [Google Scholar] [CrossRef]
- Yang, R.; Zhang, J.; Xu, Q.; Luo, X.L. Urban-rural spatial transformation process and influences from the perspective of land use: A case study of the Pearl River Delta Region. Habitat Int. 2020, 104, 102234. [Google Scholar] [CrossRef]
- Cai, B.; Shao, Z.F.; Fang, S.H.; Huang, X. Quantifying dynamic coupling coordination degree of human–environmental interactions during urban–rural land transitions of China. Land 2022, 11, 935. [Google Scholar] [CrossRef]
- Yang, R.; Liu, Y.S.; Long, H.L.; Qiao, L.Y. Spatio-temporal characteristics of rural settlements and land use in the Bohai Rim of China. J. Geogr. Sci. 2015, 25, 559–572. [Google Scholar] [CrossRef]
- Liu, Y.S.; Long, H.L.; Chen, Y.F.; Wang, J.Y.; Li, Y.R.; Li, Y.H.; Yang, Y.Y.; Zhou, Y. Progress of research on urban-rural transformation and rural development in China in the past decade and future prospects. J. Geogr. Sci. 2016, 26, 1117–1132. [Google Scholar] [CrossRef]
- Zhao, S.R.; Fan, Z.M.; Gao, X. Spatiotemporal dynamics of land cover and their driving forces in the Yellow River Basin since 1990. Land 2022, 11, 1563. [Google Scholar] [CrossRef]
- Zhang, B.F.; Miao, C.H. Spatiotemporal changes and driving forces of land use in the Yellow River Basin. Resour. Sci. 2020, 42, 460–473. [Google Scholar] [CrossRef]
- Song, X.Q. Discussion on land use transition research framework. Acta Geogr. Sin. 2017, 72, 471–487. (In Chinese) [Google Scholar] [CrossRef]
- Lambin, E.F.; Meyfroidt, P. Land use transitions: Socio-ecological feedback versus socio-economic change. Land Use Policy 2010, 27, 108–118. [Google Scholar] [CrossRef]
- Northam, R. Urban Geography; John Wiley & Sons: New York, NY, USA, 1979. [Google Scholar]
- Alonso, W. A theory of the urban land market. Pap. Reg. Sci. 1960, 6, 149–157. [Google Scholar] [CrossRef]
- Ma, W.Q.; Jiang, G.H.; Zhang, R.J.; Li, Y.L.; Jiang, X.G. Achieving rural spatial restructuring in China: A suitable framework to understand how structural transitions in rural residential land differ across peri-urban interface? Land Use Policy 2018, 75, 583–593. [Google Scholar] [CrossRef]
- Liu, Y.S.; Zhou, Y.; Li, Y.H. Rural regional system and rural revitalization strategy in China. Acta Geogr. Sin. 2019, 74, 2511–2528. (In Chinese) [Google Scholar] [CrossRef]
- Shang, R.; Qu, Y.B.; Jiang, H.L. Spatiotemporal characteristics and formation mechanism of rural residential land transition from the perspective of human-land relationship. Resour. Sci. 2020, 42, 672–684. [Google Scholar] [CrossRef]
- Liu, Y.Q.; Long, H.L. Land use transitions and their dynamic mechanism in the Huang-Huai-Hai Plain. Acta Geogr. Sin. 2016, 71, 666–679. [Google Scholar] [CrossRef]
- Qu, S.J.; Hu, S.G.; Li, Q.F. Stages and spatial patterns of urban built-up land transition in China. Acta Geogr. Sin. 2020, 75, 1539–1553. (In Chinese) [Google Scholar] [CrossRef]
- Long, H.L.; Li, X.B. Analysis on regional land use transition: A case study in Transect of the Yangtze River. J. Nat. Resour. 2002, 17, 144–149. (In Chinese) [Google Scholar] [CrossRef]
- Su, K.C.; Yang, Q.Y.; Zhang, B.L.; Zhang, Z.X. The coupling mechanism between rural land use transition and small-scale peasant economy change in mountainous areas. Geogr. Res. 2019, 38, 399–413. (In Chinese) [Google Scholar] [CrossRef]
- Yu, Z.Q.; Chen, L.Q.; Li, L.; Zhang, T.; Yuan, L.N.; Liu, R.Y.; Wang, Z.Q.; Zang, J.Y.; Shi, S. Spatiotemporal characterization of the urban expansion patterns in the Yangtze River Delta region. Remote Sens. 2021, 13, 4484. [Google Scholar] [CrossRef]
- Yang, Y.Y.; Liu, Y.S.; Li, Y.R.; Du, G.M. Quantifying spatio-temporal patterns of urban expansion in Beijing during 1985–2013 with rural-urban development transformation. Land Use Policy 2018, 74, 220–230. [Google Scholar] [CrossRef]
- Xu, C.; Liu, M.S.; Zhang, C.; An, S.Q.; Yu, W.; Chen, J.M. The spatiotemporal dynamics of rapid urban growth in the Nanjing metropolitan region of China. Landsc. Ecol. 2007, 22, 925–937. [Google Scholar] [CrossRef]
- Huang, D.Q.; Chu, E.X.; Liu, T. Spatial determinants of land conversion for various urban use: A case study of Beijing. ISPRS Int. J. Geo. Inf. 2020, 9, 708. [Google Scholar] [CrossRef]
- Li, H.H.; Song, W. Expansion of rural settlements on high-quality arable land in Tongzhou district in Beijing, China. Sustainability 2019, 11, 5153. [Google Scholar] [CrossRef]
- Liu, Y.S.; Yang, R.; Long, H.L.; Gao, J.; Wang, J.Y. Implications of land-use change in rural China: A case study of Yucheng, Shandong province. Land Use Policy 2014, 40, 111–118. [Google Scholar] [CrossRef]
- Pan, W.; Wang, J.; Qin, X.F.; Li, Y.R. Trends and types of rural residential land use change in China: A process analysis perspective. Growth Change 2021, 52, 2437–2452. [Google Scholar] [CrossRef]
- Qu, Y.B.; Jiang, G.H.; Yang, Y.T.; Zheng, Q.Y.; Li, Y.L.; Ma, W.Q. Multi-scale analysis on spatial morphology differentiation and formation mechanism of rural residential land: A case study in Shandong Province, China. Habitat Int. 2018, 71, 135–146. [Google Scholar] [CrossRef]
- Qu, Y.B.; Jiang, G.H.; Zhao, Q.L.; Ma, W.Q.; Zhang, R.J.; Yang, Y.T. Geographic identification, spatial differentiation, and formation mechanism of multifunction of rural settlements: A case study of 804 typical villages in Shandong Province, China. J. Clean. Prod. 2017, 166, 1202–1215. [Google Scholar] [CrossRef]
- Long, H.L.; Heilig, G.K.; Li, X.B.; Zhang, M. Socio-economic development and land-use change: Analysis of rural housing land transition in the Transect of the Yangtse River, China. Land Use Policy 2007, 24, 141–153. [Google Scholar] [CrossRef]
- Nourqolipour, R.; Shariff, A.R.; Balasundram, S.K.; Ahmad, N.B.; Sood, A.M.; Buyong, T. Predicting the effects of urban development on land transition and spatial patterns of land use in Western Peninsular Malaysia. Appl. Spat. Anal. Policy 2016, 9, 1–19. [Google Scholar] [CrossRef]
- Zhu, C.M.; Zhang, X.L.; Wang, K.; Yuan, S.F.; Yang, L.X.; Skitmore, M. Urban–rural construction land transition and its coupling relationship with population flow in China’s urban agglomeration region. Cities 2020, 101, 102701. [Google Scholar] [CrossRef]
- Li, K.M.; Geng, H.Z.; Yue, L.Y.; Li, K.S.; Huang, L. Spatial differentiation characteristics and driving mechanism of rural transformation in the Metropolis: A case study of Pudong district, Shanghai. Front. Environ. Sci. 2021, 9, 755207. [Google Scholar] [CrossRef]
- Chen, M.X.; Liu, W.D.; Lu, D.D. Challenges and the way forward in China’s new-type urbanization. Land Use Policy 2016, 55, 334–339. [Google Scholar] [CrossRef]
- Qu, Y.B.; Jiang, G.H.; Tian, Y.Y.; Shang, R.; Wei, S.W.; Li, Y.L. Urban-rural construction land transition (URCLT) in Shandong Province of China: Features measurement and mechanism exploration. Habitat Int. 2019, 86, 101–115. [Google Scholar] [CrossRef]
- Liu, Y.S.; Yang, Y.Y.; Li, Y.R.; Li, J.T. Conversion from rural settlements and arable land under rapid urbanization in Beijing during 1985–2010. J. Rural Stud. 2017, 51, 141–150. [Google Scholar] [CrossRef]
- Wu, Z.Y.; Wang, Y.Q. Improvement of land use efficiency in the Yellow River Basin from the perspective of high-quality development. Contemp. Econ. Manag. 2022, 44, 68–75. (In Chinese) [Google Scholar] [CrossRef]
- Cai, B.W.; Shao, Z.F.; Fang, S.H.; Huang, X.; Enamul Huq, M.; Tang, Y.; Li, Y.; Zhuang, Q.W. Finer-scale spatiotemporal coupling coordination model between socioeconomic activity and eco-environment: A case study of Beijing, China. Ecol. Indic. 2021, 131, 108165. [Google Scholar] [CrossRef]
- Cai, W.J.; Tu, F.Y. Spatiotemporal characteristics and driving forces of construction land expansion in Yangtze River economic belt, China. PLoS ONE 2020, 15, e0227299. [Google Scholar] [CrossRef]
- Zhang, Q.W.; Su, S.L. Determinants of urban expansion and their relative importance: A comparative analysis of 30 major metropolitans in China. Habitat Int. 2016, 58, 89–107. [Google Scholar] [CrossRef]
- Huang, D.Q.; Zhu, S.H.; Liu, T. Are there differences in the forces driving the conversion of different non-urban lands into urban use? A case study of Beijing. Environ. Sci. Pollut. Res. 2022, 29, 6414–6432. [Google Scholar] [CrossRef]
- Huang, Z.J.; Wei, Y.D.; He, C.F.; Li, H. Urban land expansion under economic transition in China: A multi-level modeling analysis. Habitat Int. 2015, 47, 69–82. [Google Scholar] [CrossRef]
- Maimaitijiang, M.; Ghulam, A.; Sandoval, J.S.; Maimaitiyiming, M. Drivers of land cover and land use changes in St. Louis metropolitan area over the past 40 years characterized by remote sensing and census population data. Int. J. Appl. Earth Obs. Geoinf. 2015, 35, 161–174. [Google Scholar] [CrossRef]
- Anselin, L. Local indicators of spatial association—LISA. Geogr. Anal. 1995, 27, 93–115. [Google Scholar] [CrossRef]
- Wartenberg, D. Multivariate spatial correlation—A method for exploratory geographical analysis. Geogr. Anal. 1985, 17, 263–283. [Google Scholar] [CrossRef]
- Ding, C.; Wu, X.K.; Yu, G.Z.; Wang, Y.P. A gradient boosting logit model to investigate driver’s stop-or-run behavior at signalized intersections using high-resolution traffic data. Transp. Res. Part C Emerg. Technol. 2016, 72, 225–238. [Google Scholar] [CrossRef]
- Zhang, Y.R.; Haghani, A. A gradient boosting method to improve travel time prediction. Transp. Res. Part C Emerg. Technol. 2015, 58, 308–324. [Google Scholar] [CrossRef]
- Ma, X.L.; Ding, C.; Luan, S.; Wang, Y.; Wang, Y.P. Prioritizing influential factors for freeway incident clearance time prediction using the gradient boosting decision trees method. IEEE Trans. Intell. Transp. Syst. 2017, 18, 2303–2310. [Google Scholar] [CrossRef]
- Shao, Q.F.; Zhang, W.J.; Cao, X.Y.; Yang, J.W.; Yin, J. Threshold and moderating effects of land use on metro ridership in Shenzhen: Implications for TOD planning. J. Transp. Geogr. 2020, 89, 102878. [Google Scholar] [CrossRef]
- Ding, C.; Cao, X.Y.; Wang, Y.P. Synergistic effects of the built environment and commuting programs on commute mode choice. Transport. Res. A Pol. 2018, 118, 104–118. [Google Scholar] [CrossRef]
- Luo, X.Y.; Zhang, W.J.; Chai, Y.W. Research on threshold effects of built environment settings in 15-minute life-circles. Geogr. Res. 2022, 41, 2155–2170. (In Chinese) [Google Scholar] [CrossRef]
- Bryan, B.A.; Gao, L.; Ye, Y.Q.; Sun, X.F.; Connor, J.D.; Crossman, N.D.; Stafford-Smith, M.; Wu, J.G.; He, C.Y.; Yu, D.Y.; et al. China’s response to a national land-system sustainability emergency. Nature 2018, 559, 193–204. [Google Scholar] [CrossRef] [PubMed]
- Wang, J.; Li, Y.R.; Wang, Q.Y.; Cheong, K.C. Urban–rural construction land replacement for more sustainable land use and regional development in China: Policies and practices. Land 2019, 8, 171. [Google Scholar] [CrossRef]
- Kong, X.S.; Liu, Y.L.; Jiang, P.; Tian, Y.S.; Zou, Y.F. A novel framework for rural homestead land transfer under collective ownership in China. Land Use Policy 2018, 78, 138–146. [Google Scholar] [CrossRef]
- Zhou, X.; Zhou, Y. Spatio-temporal variation and driving forces of land-use change from 1980 to 2020 in loess plateau of northern shaanxi, China. Land 2021, 10, 982. [Google Scholar] [CrossRef]
- McGee, T.G. Managing the rural–urban transformation in East Asia in the 21st century. Sustain. Sci. 2008, 3, 155–167. [Google Scholar] [CrossRef]
- Wang, R.; Lu, S.L.; Feng, W. A three-stage optimization methodology for envelope design of passive house considering energy demand, thermal comfort and cost. Energy 2020, 192, 116723. [Google Scholar] [CrossRef]
- Liu, Y.S.; Yang, R. The spatial pattern measure of urban-rural development transformation in the Bohai Rim region in China. Acta Geogr. Sin. 2015, 70, 248–256. (In Chinese) [Google Scholar] [CrossRef]
- Yang, Y.Y.; Liu, Y.S.; Li, Y.R.; Li, J.T. Measure of urban-rural transformation in Beijing-Tianjin-Hebei region in the new millennium: Population-land-industry perspective. Land Use Policy 2018, 79, 595–608. [Google Scholar] [CrossRef]
- You, H.Y.; Yang, X.F. Urban expansion in 30 megacities of China: Categorizing the driving force profiles to inform the urbanization policy. Land Use Policy 2017, 68, 531–551. [Google Scholar] [CrossRef]
- Qu, Y.; Long, H.L. Spatial differentiation of the recessive morphology of urban land use and its influential factors: A case study of 289 prefecture-level cities in China. Econ. Geogr. 2016, 36, 1–8. [Google Scholar] [CrossRef]
- Chen, Y.F.; He, Y. Urban land expansion dynamics and drivers in peri-urban areas of China: A case of Xiaoshan district, Hangzhou metropolis (1985–2020). Land 2022, 11, 1495. [Google Scholar] [CrossRef]
- Qi, Y.J.; Yang, Y.; Jin, F.J. China’s economic development stage and its spatio-temporal evolution. J. Geogr. Sci. 2013, 23, 297–314. [Google Scholar] [CrossRef]
- Li, T.T.; Long, H.L.; Liu, Y.Q.; Tu, S.S. Multi-scale analysis of rural housing land transition under China’s rapid urbanization: The case of Bohai Rim. Habitat Int. 2015, 48, 227–238. [Google Scholar] [CrossRef]
- Xu, Q.R.; Zheng, X.Q.; Zhang, C.X. Quantitative analysis of the determinants influencing urban expansion: A case study in Beijing, China. Sustainability 2018, 10, 1630. [Google Scholar] [CrossRef]
- You, H.Y. Quantifying megacity growth in response to economic transition: A case of Shanghai, China. Habitat Int. 2016, 53, 115–122. [Google Scholar] [CrossRef]
- Tian, J.F.; Wang, B.Y.; Wang, S.J. Land use transition in northeast China: Features measurement and mechanism exploration. Econ. Geogr. 2020, 40, 184–195. (In Chinese) [Google Scholar] [CrossRef]
- Zhou, H. Study on the Rural Residential Land Transition and Its Regulation Strategy Under Urbanization—With a case of Jiangsu province. Ph.D. Thesis, Nanjing University, Nanjing, China, 2015. (In Chinese). [Google Scholar]
- Liu, Y.S.; Li, J.T.; Yang, Y.Y. Strategic adjustment of land use policy under the economic transformation. Land Use Policy 2018, 74, 5–14. [Google Scholar] [CrossRef]











| Category | Variable Code | Variable Name (Unit) | Definition | 2000–2020 | |
|---|---|---|---|---|---|
| Mean | SD | ||||
| Physical geographic factors | Elevation | Elevation (m) | Average of different elevations within the grid | 1219 | 785.1 |
| Slope | Slope (°) | Average of different slopes within the grid | 2.2 | 1.9 | |
| DisRV | Distance from major rivers (km) | Distance to the nearest major river | 7.9 | 10.6 | |
| Location conditions | DisPC | Distance from the provincial capital city (km) | Distance to the nearest provincial capital city | 137.8 | 75.3 |
| DisRC | Distance from the prefecture-level city (km) | Distance to the nearest prefecture-level city | 48.8 | 30.5 | |
| DisRW | Distance from major railroads (km) | Distance to the nearest major railroad | 45.4 | 54.7 | |
| DisHW | Distance from major roads (km) | Distance to the nearest major highway | 16.5 | 19.8 | |
| Socioeconomic conditions | GDP | GDP (CNY 104 yuan) | GDP in 2000 or 2020, based on 2000 constant price | 8373 | 30,911 |
| PGDP | Per capita GDP (CNY 104 yuan) | Per capita GDP in 2000 or 2020, based on 2000 constant price | 1.0 | 1.1 | |
| PD | Population density (person/km²) | Population density in 2000 or 2020 | 322 | 632.2 | |
| Year | Category | Variable | UCL | RRL | LUUR | ||||||
|---|---|---|---|---|---|---|---|---|---|---|---|
| Rank | Relative Importance (%) | Rank | Relative Importance (%) | Rank | Relative Importance (%) | ||||||
| 2000 | Physical geographic factors | Elevation | 7 | 4.9 | 13.0 | 1 | 42.0 | 67.6 | 1 | 20.5 | 39.2 |
| Slope | 6 | 4.9 | 2 | 22.6 | 5 | 10.5 | |||||
| DisRV | 8 | 3.3 | 6 | 2.9 | 6 | 8.2 | |||||
| Location conditions | DisPC | 4 | 6.7 | 34.6 | 4 | 6.6 | 10.5 | 7 | 7.4 | 30.1 | |
| DisRC | 2 | 23.7 | 8 | 1.3 | 3 | 13.4 | |||||
| DisRW | 9 | 2.9 | 7 | 1.6 | 9 | 5.2 | |||||
| DisHW | 10 | 1.3 | 10 | 1.0 | 10 | 4.1 | |||||
| Socioeconomic conditions | GDP | 1 | 29.5 | 52.4 | 3 | 15.0 | 21.9 | 8 | 5.8 | 30.7 | |
| PGDP | 5 | 5.2 | 9 | 1.1 | 2 | 13.7 | |||||
| PD | 3 | 17.8 | 5 | 5.9 | 4 | 11.1 | |||||
| RMSE | 2.01 | 0.80 | 29.02 | ||||||||
| MAE | 1.24 | 0.57 | 24.31 | ||||||||
| R2 | 0.63 | 0.53 | 0.35 | ||||||||
| 2020 | Physical geographic factors | Elevation | 5 | 6.5 | 19.1 | 1 | 37.6 | 59.7 | 1 | 27.0 | 38.5 |
| Slope | 4 | 9.5 | 2 | 19.9 | 4 | 7.7 | |||||
| DisRV | 8 | 3.1 | 9 | 2.2 | 8 | 3.8 | |||||
| Location conditions | DisPC | 6 | 5.7 | 26.7 | 4 | 7.2 | 14.0 | 7 | 3.9 | 15.5 | |
| DisRC | 3 | 16.4 | 8 | 2.2 | 5 | 6.4 | |||||
| DisRW | 9 | 2.3 | 7 | 2.6 | 9 | 3.2 | |||||
| DisHW | 10 | 2.3 | 10 | 2.0 | 10 | 2.0 | |||||
| Socioeconomic conditions | GDP | 1 | 27.5 | 54.3 | 6 | 5.1 | 26.4 | 6 | 5.3 | 46.1 | |
| PGDP | 7 | 3.2 | 5 | 5.5 | 3 | 18.2 | |||||
| PD | 2 | 23.5 | 3 | 15.8 | 2 | 22.6 | |||||
| RMSE | 2.41 | 0.94 | 29.70 | ||||||||
| MAE | 1.44 | 0.64 | 24.97 | ||||||||
| R2 | 0.50 | 0.49 | 0.35 | ||||||||
Disclaimer/Publisher’s Note: The statements, opinions and data contained in all publications are solely those of the individual author(s) and contributor(s) and not of MDPI and/or the editor(s). MDPI and/or the editor(s) disclaim responsibility for any injury to people or property resulting from any ideas, methods, instructions or products referred to in the content. |
© 2023 by the authors. Licensee MDPI, Basel, Switzerland. This article is an open access article distributed under the terms and conditions of the Creative Commons Attribution (CC BY) license (https://creativecommons.org/licenses/by/4.0/).
Share and Cite
Chen, W.; Liu, D.; Zhang, T.; Li, L. Exploring the Determinants of the Urban–Rural Construction Land Transition in the Yellow River Basin of China Based on Machine Learning. Sustainability 2023, 15, 2091. https://doi.org/10.3390/su15032091
Chen W, Liu D, Zhang T, Li L. Exploring the Determinants of the Urban–Rural Construction Land Transition in the Yellow River Basin of China Based on Machine Learning. Sustainability. 2023; 15(3):2091. https://doi.org/10.3390/su15032091
Chicago/Turabian StyleChen, Wenfeng, Dan Liu, Tianyang Zhang, and Linna Li. 2023. "Exploring the Determinants of the Urban–Rural Construction Land Transition in the Yellow River Basin of China Based on Machine Learning" Sustainability 15, no. 3: 2091. https://doi.org/10.3390/su15032091
APA StyleChen, W., Liu, D., Zhang, T., & Li, L. (2023). Exploring the Determinants of the Urban–Rural Construction Land Transition in the Yellow River Basin of China Based on Machine Learning. Sustainability, 15(3), 2091. https://doi.org/10.3390/su15032091
