Green Innovation, Self-Efficacy, Entrepreneurial Orientation and Economic Performance: Interactions among Saudi Small Enterprises
Abstract
1. Introduction
2. Literature Review and Hypothesis Development
2.1. Theoretical Foundation
2.2. GESE and GI
2.3. GEO and GI
2.4. GI and EP
2.5. Mediating Influence of GI on the Relationship between GESE, GEO and EP
2.6. Hypothesised Model
3. Research Methodology
3.1. Data Collection and Participants of the Study
3.2. Measures of the Study
4. Data Analysis and Results
4.1. Description of the Respondents
4.2. Assessment of PLS-SEM Results
4.2.1. Measurement Model
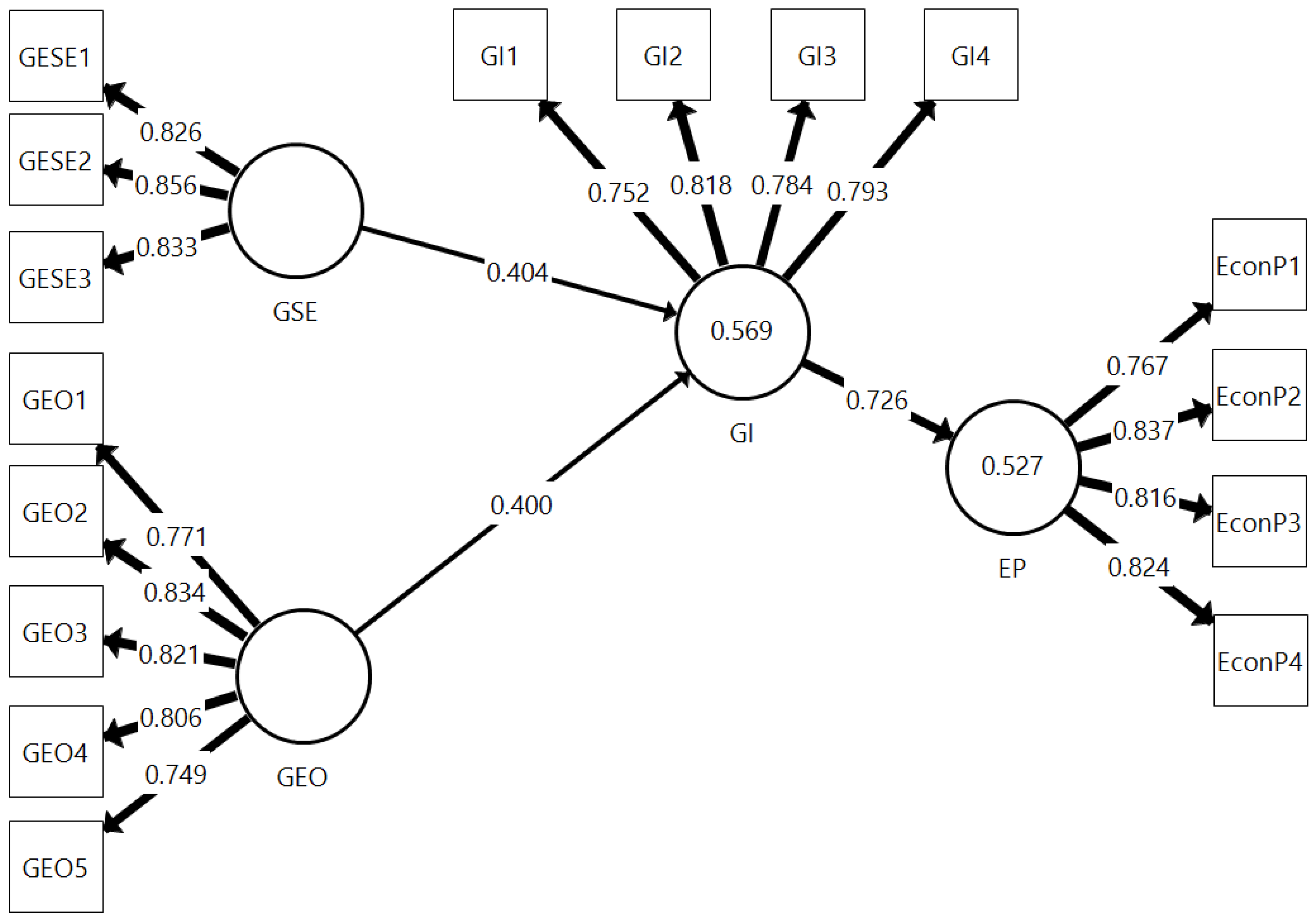
4.2.2. Structural Model
4.2.3. Path Coefficient Representation
5. Discussion
6. Practical Implications of the Study
7. Conclusions
8. Limitations and Future Studies
Funding
Institutional Review Board Statement
Informed Consent Statement
Data Availability Statement
Conflicts of Interest
Appendix A
| Code | Measuring Items |
| Economic Performance (EP) | |
| EP1 | Our organization has achieved important environment-related certifications. |
| EP2 | On average, the overall environmental performance of our organization has improved over the past five years. |
| Ep3 | The resource consumption in our organization, e.g., water, electricity, and gas has been decreased during the last 3 years. |
| Ep4 | Our organization has improved on environmental compliance. |
| Green Innovation (GI) | |
| GI1 | Our organization uses less or non-polluting/toxic materials. |
| GI2 | Our organization improves environmentally friendly packaging for existing and new products. |
| GI3 | Our organization recovers end-of-life products and recycling. |
| GI4 | Our organization uses eco-labeling. |
| Green entrepreneurial self-efficacy (GESE) | |
| GESE1 | I believe that if I do it with my heart, I can contribute to the environment. |
| GESE2 | I can find a way to help solve environmental problems. |
| GESE3 | Solving environmental problems is a contribution that each of us can make. |
| Green entrepreneurial orientation (GEO) | |
| GEO1 | Our organization uses less or non-polluting/toxic materials. |
| GEO2 | Our organization has a strong tendency for high-risk green product development. |
| GEO3 | Our firm/organization has a strong emphasis on green R&D, technological leadership, and innovation. |
| GEO4 | Our firm/organization has a tendency to initiate green actions for competitors to respond to. |
| GEO5 | Our organization has a tendency to be a market leader, always first in introducing green products, services, or technologies. |
References
- Shen, G.; Qi, L.; Zeng, S.; Jorge, O. The drivers for contractors’ green innovation: An industry perspective. J. Clean. Prod. 2010, 18, 1358–1365. [Google Scholar]
- Panwar, N.L.; Kaushik, S.C.; Kothari, S. Role of renewable energy sources in environmental protection: A review. Renew. Sustain. Energy Rev. 2011, 15, 1513–1524. [Google Scholar] [CrossRef]
- Leonidou, L.C.; Christodoulides, P.; Kyrgidou, L.P.; Palihawadana, D. Internal Drivers and Performance Consequences of Small Firm Green Business Strategy: The Moderating Role of External Forces. J. Bus. Ethics 2017, 140, 585–606. [Google Scholar] [CrossRef]
- Weng, H.-H.; Chen, J.-S.; Chen, P.-C. Effects of Green Innovation on Environmental and Corporate Performance: A Stakeholder Perspective. Sustainability 2015, 7, 4997–5026. [Google Scholar] [CrossRef]
- Porter, M.E.; Linde, C. Toward a new conception of the environment-competitiveness relationship. J. Econ. Perspect. 1995, 9, 97–118. [Google Scholar] [CrossRef]
- Ge, J.; Lin, B. Impact of public support and government’s policy on climate change in China. J. Environ. Manag. 2021, 294, 112983. [Google Scholar] [CrossRef]
- Qu, X.; Khan, A.; Yahya, S.; Zafar, A.U.; Shahzad, M. Green core competencies to prompt green absorptive capacity and bolster green innovation: The moderating role of organization’s green culture. J. Environ. Plan. Manag. 2021, 65, 536–561. [Google Scholar] [CrossRef]
- Sequeira, J.; Mueller, S.; Mcgee, J.E. The influence of social ties and self-efficacy in forming entrepreneurial intentions and motivating nascent behavior. J. Dev. Entrep. 2007, 12, 275–293. [Google Scholar] [CrossRef]
- Asadi, S.; Pourhashemi, S.O.; Nilashi, M.; Abdullah, R.; Samad, S.; Yadegaridehkordi, E.; Aljojo, N.; Razali, N.S. Investigating influence of green innovation on sustainability performance: A case on Malaysian hotel industry. J. Clean. Prod. 2020, 258, 120860. [Google Scholar] [CrossRef]
- Jiang, W.; Chai, H.; Shao, J.; Feng, T. Green entrepreneurial orientation for enhancing firm performance: A dynamic capability perspective. Chem. Eng. Sci. 2018, 179, 115–132. [Google Scholar] [CrossRef]
- Alshebami, A. Evaluating the relevance of green banking practices on Saudi Banks’ green image: The mediating effect of employees’ green behaviour. J. Bank. Regul. 2021, 22, 275–286. [Google Scholar] [CrossRef]
- Muangmee, C.; Dacko-Pikiewicz, Z.; Meekaewkunchorn, N.; Kassakorn, N.; Khalid, B. Green Entrepreneurial Orientation and Green Innovation in Small and Medium-Sized Enterprises (SMEs). Soc. Sci. 2021, 10, 136. [Google Scholar] [CrossRef]
- Battisti, M.; Perry, M. Walking the talk? Environmental responsibility from the perspective of small-business owners. Corp. Soc. Responsib. Environ. Manag. 2011, 18, 172–185. [Google Scholar] [CrossRef]
- Green, K.W.; Inman, R.A. Using a just-in-time selling strategy to strengthen supply chain linkages. Int. J. Prod. Res. 2005, 43, 3437–3453. [Google Scholar] [CrossRef]
- Khan, P.A.; Johl, S.K.; Akhtar, S. Firm Sustainable Development Goals and Firm Financial Performance through the Lens of Green Innovation Practices and Reporting: A Proactive Approach. J. Risk Financ. Manag. 2021, 14, 605. [Google Scholar] [CrossRef]
- Baeshen, Y.; Soomro, Y.A.; Bhutto, M.Y. Determinants of Green Innovation to Achieve Sustainable Business Performance: Evidence from SMEs. Front. Psychol. 2021, 12, 767968. [Google Scholar] [CrossRef]
- Chen, Y.; Lin, Y.; Lin, C.; Chang, C. Enhancing Green Absorptive Capacity, Green Dynamic Capacities and Green Service Innovation to Improve Firm Performance: An Analysis of Structural Equation Modeling (SEM). Sustainability 2015, 7, 15674–15692. [Google Scholar] [CrossRef]
- Khan, P.A.; Johl, S.K. Nexus of Comprehensive Green Innovation, Environmental Management System-14001-2015 and Firm Performance. Cogent Bus. Manag. 2019, 6, 1691833. [Google Scholar] [CrossRef]
- Xu, Q. Study on Green Service Development. Front. Econ. Manag. 2021, 2, 385–393. [Google Scholar]
- Khan, P.; Johl, S.K. Does adoption of ISO 56002-2019 and green innovation reporting enhance the firm sustainable development goal performance? An emerging paradigm. Bus. Strateg. Environ. 2021, 30, 2922–2936. [Google Scholar] [CrossRef]
- Lin, Y.-H.; Chen, Y.S. Determinants of green competitive advantage: The roles of green knowledge sharing, green dynamic capabilities, and green service innovation. Qual. Quant. 2017, 51, 1663–1685. [Google Scholar] [CrossRef]
- Hillary, R. Environmental management systems and the smaller enterprise. J. Clean. Prod. 2004, 12, 561–569. [Google Scholar] [CrossRef]
- Singh, S.K.; Del Giudice, M.; Chierici, R.; Graziano, D. Green innovation and environmental performance: The role of green transformational leadership and green human resource management. Technol. Forecast. Soc. Chang. 2020, 150, 1–12. [Google Scholar] [CrossRef]
- Huang, Z.; Liao, G.; Li, Z. Loaning scale and government subsidy for promoting green innovation. Technol. Forecast. Soc. Chang. 2019, 144, 148–156. [Google Scholar] [CrossRef]
- Jun, W.; Ali, W.; Bhutto, M.Y.; Hussain, H.; Khan, N.A. Examining the determinants of green innovation adoption in SMEs: A PLS-SEM approach. Eur. J. Innov. Manag. 2021, 24, 67–87. [Google Scholar] [CrossRef]
- Pérez-Gómez, P.; Arbelo-Pérez, M.; Arbelo, A. Profit efficiency and its determinants in small and medium-sized enterprises in Spain Pilar. BRQ Bus. Res. Q. 2018, 21, 238–250. [Google Scholar]
- Arenal, A.; Feijoo, C.; Moreno, A.; Armuña, C.; Ramos, S. An academic perspective on the entrepreneurship policy agenda: Themes, geographies and evolution. J. Entrep. Public Policy 2020, 9, 65–93. [Google Scholar] [CrossRef]
- Thøgersen, J.; Zhou, Y. Chinese consumers’ adoption of a ‘green’ innovation—The case of organic food. J. Mark. Manag. 2012, 28, 313–333. [Google Scholar] [CrossRef]
- Kammerer, D. The effects of customer benefit and regulation on environmental product innovation. Empirical evidence from appliance manufacturers in Germany. Ecol. Econ. 2009, 68, 2285–2295. [Google Scholar] [CrossRef]
- Chiou, T.Y.; Chan, H.K.; Lettice, F.; Chung, S.H. The influence of greening the suppliers and green innovation on environmental performance and competitive advantage in Taiwan. Transp. Res. 2011, 47, 822–836. [Google Scholar] [CrossRef]
- Huang, Y.-C.; Ding, H.B.; Kao, M.-R. Salient stakeholder voices: Family business and green innovation adoption. J. Manag. Organ. 2009, 15, 3. [Google Scholar]
- Guo, J. The significance of green entrepreneurial self-efficacy: Mediating and moderating role of green innovation and green knowledge sharing culture. Front. Psychol. 2022, 13, 1001867. [Google Scholar] [CrossRef]
- Padilla-Lozano, C.P.; Collazzo, P. Corporate social responsibility, green innovation and competitiveness—Causality in manufacturing. Compet. Rev. An Int. Bus. J. 2022, 32, 21–39. [Google Scholar] [CrossRef]
- Hermundsdottir, F.; Aspelund, A. Sustainability innovations and firm competitiveness: A review Fanny. J. Clean. Prod. 2021, 280, 124715. [Google Scholar] [CrossRef]
- El-Kassar, A.N.; Singh, S.K. Green innovation and organizational performance: The influence of big data and the moderating role of management commitment and HR practices. Technol. Forecast. Soc. Chang. 2019, 144, 483–498. [Google Scholar] [CrossRef]
- Chang, C.H. The Influence of Corporate Environmental Ethics on Competitive Advantage: The Mediation Role of Green Innovation. J. Bus. Ethics 2011, 104, 361–370. [Google Scholar] [CrossRef]
- Chen, Y.S. The positive effect of green intellectual capital on competitive advantages of firms. J. Bus. Ethics 2008, 77, 271–286. [Google Scholar] [CrossRef]
- Elshaer, I.A.; Azazz, A.M.S.; Ameen, F.A. Sustainable Horticulture Practices to Predict Consumer Attitudes towards Green Hotel Visit Intention: Moderating the Role of an Environmental Gardening Identity. Horticulturae 2023, 9, 31. [Google Scholar] [CrossRef]
- Soomro, B.A.; Shah, N. Entrepreneurship education, entrepreneurial self-efficacy, need for achievement and entrepreneurial intention among commerce students in Pakistan. Educ. Train. 2021, 64, 107–125. [Google Scholar] [CrossRef]
- Al-Mamary, Y.; Alshallaqi, M. Impact of autonomy, innovativeness, risk-taking, proactiveness, and competitive aggressiveness on students’ intention to start a new venture. J. Innov. Knowl. 2022, 7, 100239. [Google Scholar] [CrossRef]
- Prodanova, J.; San-martín, S.; Jimenez, N.; San-martín, S. Are you technologically prepared for mobile shopping? Serv. Ind. J. 2021, 41, 648–670. [Google Scholar] [CrossRef]
- Na-Nan, K.; Pukkeeree, P.; Chaiprasit, K. Employee engagement in small and medium-sized enterprises in Thailand: The construction and validation of a scale to measure employees. Int. J. Qual. Reliab. Manag. 2020, 37, 1325–1343. [Google Scholar] [CrossRef]
- Chu, F.; Zhang, W.; Jiang, Y. How Does Policy Perception Affect Green Entrepreneurship Behavior? An Empirical Analysis from China. Discret. Dyn. Nat. Soc. 2021, 2021, 7973046. [Google Scholar] [CrossRef]
- Alwakid, W.; Aparicio, S.; Urbano, D. Cultural antecedents of green entrepreneurship in Saudi Arabia: An institutional approach. Sustainability 2020, 12, 3673. [Google Scholar] [CrossRef]
- Raggad, B. Carbon dioxide emissions, economic growth, energy use, and urbanization in Saudi Arabia: Evidence from the ARDL approach and impulse saturation break tests. Environ. Sci. Pollut. Res. 2018, 25, 14882–14898. [Google Scholar] [CrossRef]
- Monsha’at. SME Monitor, Monsha’at Quarterly Report; Q2; Monsha’at: Riyadh, Saudi Arabia, 2022.
- Aghelie, A. Exploring drivers and barriers to sustainability green business practices within small medium sized enterprises: Primary findings. Int. J. Bus. Econ. Dev. 2017, 5, 41–49. [Google Scholar]
- Chien, F.; Kamran, H.; Nawaz, M.; Thach, N.; Long, P.; Baloch, Z. Assessing the prioritization of barriers toward green innovation: Small and medium enterprises Nexus. Environ. Dev. Sustain. 2021, 24, 1897–1927. [Google Scholar] [CrossRef]
- Khan, A.; Alsharif, N.N. SMEs and Vision 2030; Jadwa Investment: Riyadh, Saudi Arabia, 2019. [Google Scholar]
- Al-Mamary, Y.; Abdulrab, M.; Alwaheeb, M.A.; Alshammari, N.G.M. Factors impacting entrepreneurial intentions among university students in Saudi Arabia: Testing an integrated model of TPB and EO. Educ. Train. 2020, 62, 779–803. [Google Scholar] [CrossRef]
- Alshebami, A.; Al Marri, S. The Impact of Financial Literacy on Entrepreneurial Intention: The Mediating Role of Saving Behavior. Front. Psychol. 2022, 13, 911605. [Google Scholar] [CrossRef]
- Elshaer, I.A.; Sobaih, A.E.E. I Think I Can, I Think I Can: Effects of Entrepreneurship Orientation on Entrepreneurship Intention of Saudi Agriculture and Food Sciences Graduates. Agriculture 2022, 12, 1454. [Google Scholar] [CrossRef]
- Alharasi, A.H.; Surin, E.F.; Rahim, H.L.; Alshammari, S.A.; Abdulrab, M.; Almamary, Y.H.; Alshebami, A.S. The Impact of Social Entrepreneurial Personality on SocialEntrepreneurial Intention among University Graduates in Yemen: A Conceptual Framework. Holos 2021, 1, 1–17. [Google Scholar] [CrossRef]
- Sobaih, A.E.E.; Hasanein, A.; Gharbi, H.; Elnasr, A.E.A. Going Green Together: Effects of Green Transformational Leadership on Employee Green Behaviour and Environmental Performance in the Saudi Food Industry. Agriculture 2022, 12, 1100. [Google Scholar] [CrossRef]
- Barney, J. Firm Resources and Sustained Competitive Advantage. J. Manag. 1991, 17, 99–120. [Google Scholar] [CrossRef]
- Burks, S.V.; Carpenter, J.P.; Goette, L.; Rustichini, A. Cognitive skills affect economic preferences, strategic behavior, and job attachment. Econ. Sci. 2009, 106, 7745–7750. [Google Scholar] [CrossRef]
- Sirmon, D.G.; Hitt, M.A.; Ireland, R.D.; Gilbert, B.A. Resource Orchestration to Create Competitive Advantage: Breadth, Depth, and Life Cycle Effects. J. Manag. 2011, 37, 1390–1412. [Google Scholar] [CrossRef]
- Lent, R.W.; Brown, S.D. Social Cognitive Approach to Career Development: An Overview. Career Dev. Q. 1996, 44, 310–321. [Google Scholar] [CrossRef]
- Bandura, A. Self-Efficacy: The exercise of Control; W H Freeman: New York, NY, USA; Times Books: New York, NY, USA; Henry Holt & Co.: New York, NY, USA, 1997. [Google Scholar]
- Alshebami, A.; Seraj, A.; Alzain, E. Lecturers’ Creativity and Students ’ Entrepreneurial Intention in Saudi Arabia. Vis. J. Bus. Perspect. 2022, 1–14. [Google Scholar] [CrossRef]
- Nasip, S.; Amirul, S.R.; Sondoh, S.L., Jr.; Tanakinjal, G.H. Psychological Characteristics and Entrepreneurial Intention A Study among University Students in North Borneo, Malaysia. Educ. Train. 2017, 59, 825–840. [Google Scholar] [CrossRef]
- Zhao, H.; Wibowo, A. Entrepreneurship Resilience: Can Psychological Traits of Entrepreneurial Intention Support Overcoming Entrepreneurial Failure? Front. Psychol. 2021, 12, 707803. [Google Scholar] [CrossRef]
- Jia, J.; Liu, H.; Chin, T.; Hu, D. The Continuous Mediating Effects of GHRM on Employees’ Green Passion via Transformational Leadership and Green Creativity. Sustainability 2018, 10, 3237. [Google Scholar] [CrossRef]
- Ndubisi, N.O.; Nair, S.R. Green Entrepreneurship (GE) and Green Value Added (GVA): A Conceptual Framework. Int. J. Entrep. 2009, 13, 21. [Google Scholar]
- Wang, W.; Cao, Q.; Zhuo, C.; Mou, Y.; Pu, Z.; Zhou, Y. COVID-19 to Green Entrepreneurial Intention: Role of Green Entrepreneurial Self-Efficacy, Optimism, Ecological Values, Social Responsibility, and Green Entrepreneurial Motivation. Front. Psychol. 2021, 12, 732904. [Google Scholar] [CrossRef] [PubMed]
- Steg, L.; De Groot, J.; Dreijerink, L.; Abrahamse, W.; Siero, F. General Antecedents of Personal Norms, Policy Acceptability, and Intentions: The Role of Values, Worldviews, and Environmental Concern. Soc. Nat. Resour. Int. J. 2011, 24, 349–367. [Google Scholar] [CrossRef]
- Yang, Z.; Sun, J.; Zhang, Y.; Wang, Y. Green, Green, It’s Green: A Triad Model of Technology, Culture, and Innovation for Corporate Sustainability. Sustainability 2017, 9, 1369. [Google Scholar] [CrossRef]
- Alvarez-Risco, A.; Mlodzianowska, S.; García-Ibarra, V.; Rosen, M.A.; Del-Aguila-Arcentales, S. Factors Affecting Green Entrepreneurship Intentions in Business University Students in COVID-19 Pandemic Times: Case of Ecuador. Sustainability 2021, 13, 6447. [Google Scholar] [CrossRef]
- Lumpkin, G.T.; Dess, G.G. Clarifying the Entrepreneurial Orientation Construct and Linking It to Performance. Acad. Manag. Rev. 1996, 21, 135–172. [Google Scholar] [CrossRef]
- Luo, X.; Zhou, L.; Liu, S.S. Entrepreneurial firms in the context of China’s transition economy: An integrative framework and empirical examination. J. Bus. Res. 2005, 58, 277–284. [Google Scholar] [CrossRef]
- Teece, D.J. Dynamic capabilities and entrepreneurial management in large organizations: Toward a theory of the (entrepreneurial) firm. Eur. Econ. Rev. 2016, 86, 202–216. [Google Scholar] [CrossRef]
- Ru, S.; Liu, J.; Wang, T.; Wei, G. Provincial quality of economic growth: Measurements and influencing factors for China. Sustainability 2020, 12, 1354. [Google Scholar] [CrossRef]
- Woldesenbet, K.; Ram, M.; Jones, T. Supplying large firms: The role of entrepreneurial and dynamic capabilities in small businesses. Int. Small Bus. J. 2011, 30, 493–512. [Google Scholar] [CrossRef]
- Pacheco, D.F.; Dean, T.J.; Payne, D.S. Escaping the green prison: Entrepreneurship and the creation of opportunities for sustainable development. J. Bus. Ventur. 2010, 25, 464–480. [Google Scholar] [CrossRef]
- Memon, M.; Soomro, B.A.; Naimatullah, S. Enablers of entrepreneurial self-efficacy in a developing country. Educ. Train. 2019, 61, 684–699. [Google Scholar] [CrossRef]
- Li, D.; Zheng, M.; Cao, C.; Chen, X.; Ren, S.; Huang, M. The impact of legitimacy pressure and corporate profitability on green innovation: Evidence from China top 100. J. Clean. Prod. 2017, 141, 41–49. [Google Scholar] [CrossRef]
- Soomro, B.A.; Ghumro, I.A.; Shah, N. Green entrepreneurship inclination among the younger generation: An avenue towards a green economy. Sustain. Dev. 2019, 28, 585–594. [Google Scholar] [CrossRef]
- Kuckertz, A.; Wagner, M. The influence of sustainability orientation on entrepreneurial intentions—Investigating the role of business experience. J. Bus. Ventur. 2010, 25, 524–539. [Google Scholar] [CrossRef]
- Oke, A. Innovation types and innovation management practices in service companies. Int. J. Oper. Prod. Manag. 2007, 27, 564–587. [Google Scholar] [CrossRef]
- Usman, B.; Hashim, S.B. Autonomous Orientation and Delinquent Behavioral Change: A Case Study of Ex-Juvenile Entrepreneurs in Katsina State, Nigeria. Int. J. Acad. Res. Bus. Soc. Sci. 2020, 10, 164–183. [Google Scholar] [CrossRef]
- Borghesi, S.; Cainelli, G.; Mazzanti, M. Linking emission trading to environmental innovation: Evidence from the Italian manufacturing industry. Res. Policy 2015, 44, 669–683. [Google Scholar] [CrossRef]
- Tamayo-Orbegozo, U.; Vicente-Molina, M.-A.; Villarreal-Larrinaga, O. Eco-innovation strategic model. A multiple-case study from a highly eco-innovative European region. J. Clean. Prod. 2017, 142, 1347. [Google Scholar] [CrossRef]
- Zhu, Q.; Sarkis, J. Relationships between operational practices and performance among early adopters of green supply chain management practices in Chinese manufacturing enterprises. J. Oper. Manag. 2004, 22, 265–289. [Google Scholar] [CrossRef]
- Fernando, Y.; Jabbour, C.J.C.; Wah, W.-X. Pursuing green growth in technology firms through the connections between environmental innovation and sustainable business performance: Does service capability matter? Resour. Conserv. Recycl. 2019, 141, 8–20. [Google Scholar] [CrossRef]
- Chandy, R.K.; Tellis, G.J. The Incumbent’s Curse? Incumbency, Size, and Radical Product Innovation. J. Mark. 2000, 64, 1–17. [Google Scholar] [CrossRef]
- Zailani, S.; Govindan, K.; Iranmanesh, M.; Rizaimy, M. Green Innovation Adoption in Automotive Supply Chain: The Malaysian case Suhaiza. J. Clean. Prod. 2015, 108, 1115–1122. [Google Scholar] [CrossRef]
- Roca, L.C.; Searcy, C. An analysis of indicators disclosed in corporate sustainability reports. J. Clean. Prod. 2012, 20, 103–118. [Google Scholar] [CrossRef]
- Chen, Y. The Driver of Green Innovation and Green Image—Green Core Competence. J. Bus. Ethics 2008, 81, 531–543. [Google Scholar] [CrossRef]
- Marques, C.S.; Ferreira, J. SME Innovative Capacity, Competitive Advantage and Performance in a Traditional’ Industrial Region of Portugal. J. Technol. Manag. Innov. 2009, 4, 53–68. [Google Scholar] [CrossRef]
- Kawai, N.; Strange, R.; Zucchella, A. Stakeholder pressures, EMS implementation, and green innovation in MNC overseas subsidiaries. Int. Bus. Rev. 2018, 27, 933–946. [Google Scholar] [CrossRef]
- Burki, U.; Dahlstrom, R. Mediating effects of green innovations on interfirm cooperation. Australas. Mark. J. 2017, 25, 149–156. [Google Scholar] [CrossRef]
- Wagner, M. Corporate performance implications of extended stakeholder management: New insights on mediation and moderation effects. Ecol. Econ. 2011, 70, 942–950. [Google Scholar] [CrossRef]
- Dangelico, R.M. Green Product Innovation: Where we are and Where we are Going. Bus. Strateg. Environ. 2015, 25, 560–576. [Google Scholar] [CrossRef]
- Zikmund, W.G. Business Research Methods, 5th ed.; The Dryden Press: Fort Worth, TX, USA, 1997. [Google Scholar]
- Hair, J.; Risher, J.; Sarstedt, M.; Ringle, C. When to use and how to report the results of PLS-SEM. Eur. Bus. Rev. 2019, 31, 2–24. [Google Scholar] [CrossRef]
- Hair, J.F., Jr.; Sarstedt, M.; Hopkins, L.; Kuppelwieser, V.G. NEOMA, Partial least squares structural equation modeling (PLS-SEM) An emerging tool in business research. Eur. Bus. Rev. 2014, 26, 106–121. [Google Scholar] [CrossRef]
- Hair, J.; Ringle, C.; Sarstedt, M. PLS-SEM: Indeed a Silver Bullet. J. Mark. Theory Pract. 2011, 19, 139–152. [Google Scholar] [CrossRef]
- Sarstedt, M.; Ringle, C.M.; Hair, J.F. Partial Least Squares Structural Equation Modeling, Handbook of Market Research; Springer: Cham, Switzerland, 2017. [Google Scholar]
- Jöreskog, K. Simultaneous factor analysis in several populations. Psychometrika 1971, 36, 409–426. [Google Scholar] [CrossRef]
- Hair, J.J.; Hult, G.T.; Ringle, C.; Sarstedt, M. A Primer on Partial Least Squares Structural Equation Modeling (PLS-SEM), 2nd ed.; SAGE Publications Ltd.: Thousand Oaks, CA, USA, 2017. [Google Scholar]
- Fornell, C.; Larcker, D. Structural Equation Models with Unobservable Variables and Measurement Error: Algebra and Statistics Al. J. Mark. Res. 1981, XVIII, 8–382. [Google Scholar]
- Cohen, J. Statistical Power Analysis for the Behavioral Sciences, 2nd ed.; Routledge: Abingdon, UK, 1988. [Google Scholar]
- Podsakoff, P.M.; Mackenzie, S.B.; Lee, J.; Podsakoff, N.P. Common Method Biases in Behavioral Research: A Critical Review of the Literature and Recommended Remedies. J. Appl. Psychol. 2003, 88, 879–903. [Google Scholar] [CrossRef]
- Ali, M.; Kan, K.A.S.; Sarstedt, M. Direct and configurational paths of absorptive capacity and organizational innovation to successful organizational performance. J. Bus. Res. 2017, 69, 5317–5323. [Google Scholar] [CrossRef]
- Novitasari, M.; Alshebami, A.S.; Sudrajat, M.A. The Role of Green Supply Chain Management in Predicting Indonesian Firms’ Performance: Competitive Advantage and Board Size Influence. Indones. J. Sustain. Account. Manag. 2021, 5, 137–149. [Google Scholar] [CrossRef]


| Range/Type | Frequency | Percentage (%) | |
|---|---|---|---|
| Gender | Male | 260 | 91.5 |
| Female | 24 | 8.5 | |
| Total | 284 | 100 | |
| Marital Status | Married | 188 | 66.2 |
| Single | 82 | 28.9 | |
| other | 14 | 4.9 | |
| Total | 284 | 100 | |
| Age | 20 and Less | 24 | 8.5 |
| Between 21–30 | 101 | 35.6 | |
| Between 31–40 | 107 | 37.7 | |
| Between 41–50 | 44 | 15.5 | |
| More than 50 | 8 | 2.8 | |
| Total | 284 | 100 | |
| Education | Secondary School | 63 | 22.2 |
| Diploma | 122 | 43 | |
| Bachelor | 80 | 28.2 | |
| Higher Education | 17 | 6 | |
| Elementary | 2 | 0.7 | |
| Total | 284 | 100 | |
| Sector | Small retail and wholesale commercial enterprises. | 55 | 19.4 |
| Small productive and industrial enterprises. | 53 | 18.66 | |
| Small service enterprises. | 115 | 40.49 | |
| Other small enterprises. | 61 | 21.5 | |
| Total | 284 | 100 |
| Construct | Loadings | Cronbach’s Alpha (CA) | Composite Reliability (CR) | Average Variance Extracted (AVE) | VIF |
|---|---|---|---|---|---|
| EP | 0.827 | 0.885 | 0.659 | ||
| EconP1 | 0.767 | ||||
| EconP2 | 0.837 | ||||
| EconP3 | 0.816 | ||||
| EconP4 | 0.824 | ||||
| GEO | 0.856 | 0.897 | 0.635 | 2.348 | |
| GEO1 | 0.771 | ||||
| GEO2 | 0.834 | ||||
| GEO3 | 0.821 | ||||
| GEO4 | 0.806 | ||||
| GEO5 | 0.749 | ||||
| GI | 0.795 | 0.867 | 0.619 | 1 | |
| GI1 | 0.752 | ||||
| GI2 | 0.818 | ||||
| GI3 | 0.784 | ||||
| GI4 | 0.793 | ||||
| GESE | 0.788 | 0.876 | 0.703 | 2.348 | |
| GESE1 | 0.826 | ||||
| GESE2 | 0.856 | ||||
| GESE3 | 0.833 |
| EP | GEO | GI | GSE | |
|---|---|---|---|---|
| EP | 0.812 | |||
| GEO | 0.675 | 0.797 | ||
| GI | 0.726 | 0.707 | 0.787 | |
| GSE | 0.679 | 0.758 | 0.708 | 0.838 |
| Hypotheses | Association | Coefficient (β) | t-Value | p-Value | Decision | R2 | F2 | Q2 |
|---|---|---|---|---|---|---|---|---|
| H1 | GESE -> GI | 0.404 | 5.950 | 0.000 | Accepted | 0.569 | 0.162 | EP = 0.413 GI = 0.306 |
| H2 | GEO -> GI | 0.400 | 6.364 | 0.000 | Accepted | 0.158 | ||
| H3 | GI -> EP | 0.726 | 26.592 | 0.000 | Accepted | 0.527 | 1.116 | |
| Mediation Analysis | ||||||||
| H4 | GEO -> GI -> EP | 0.291 | 6.155 | 0.000 | Mediation | |||
| H5 | GSE -> GI -> EP | 0.294 | 5.526 | 0.000 | Mediation | |||
Disclaimer/Publisher’s Note: The statements, opinions and data contained in all publications are solely those of the individual author(s) and contributor(s) and not of MDPI and/or the editor(s). MDPI and/or the editor(s) disclaim responsibility for any injury to people or property resulting from any ideas, methods, instructions or products referred to in the content. |
© 2023 by the author. Licensee MDPI, Basel, Switzerland. This article is an open access article distributed under the terms and conditions of the Creative Commons Attribution (CC BY) license (https://creativecommons.org/licenses/by/4.0/).
Share and Cite
Alshebami, A.S. Green Innovation, Self-Efficacy, Entrepreneurial Orientation and Economic Performance: Interactions among Saudi Small Enterprises. Sustainability 2023, 15, 1961. https://doi.org/10.3390/su15031961
Alshebami AS. Green Innovation, Self-Efficacy, Entrepreneurial Orientation and Economic Performance: Interactions among Saudi Small Enterprises. Sustainability. 2023; 15(3):1961. https://doi.org/10.3390/su15031961
Chicago/Turabian StyleAlshebami, Ali Saleh. 2023. "Green Innovation, Self-Efficacy, Entrepreneurial Orientation and Economic Performance: Interactions among Saudi Small Enterprises" Sustainability 15, no. 3: 1961. https://doi.org/10.3390/su15031961
APA StyleAlshebami, A. S. (2023). Green Innovation, Self-Efficacy, Entrepreneurial Orientation and Economic Performance: Interactions among Saudi Small Enterprises. Sustainability, 15(3), 1961. https://doi.org/10.3390/su15031961

