Vehicle Tracking Algorithm Based on Deep Learning in Roadside Perspective
Abstract
1. Introduction
- (1)
- An optimized DLA-34 feature extraction network is proposed, and the Basic block-N module is designed to improve the detection ability of the network for large- and medium-sized objects, better to adapt to the vehicle tracking algorithm and meet the algorithm accuracy and processing speed.
- (2)
- In view of the complex block traffic scene, the introduction of the joint loss function in complex traffic roadside monitoring perspective frames inside the car with a discrimination frame between similar vehicles and the target vehicle leads to the algorithm learning to target more discriminant features and expressing the ability to improve the matching success rate, reduce the IDs and improve the effect of vehicle tracking.
- (3)
- Our method is verified on the UA-DETRAC [10] vehicle tracking dataset. Compared with current mainstream multi-target tracking methods, good tracking results are achieved on most evaluation indices, which proves the effectiveness and robustness of the proposed method in the field of vehicle tracking.
2. Related Work
2.1. Multiple Object Tracking
2.2. Data Association
3. Proposed Method
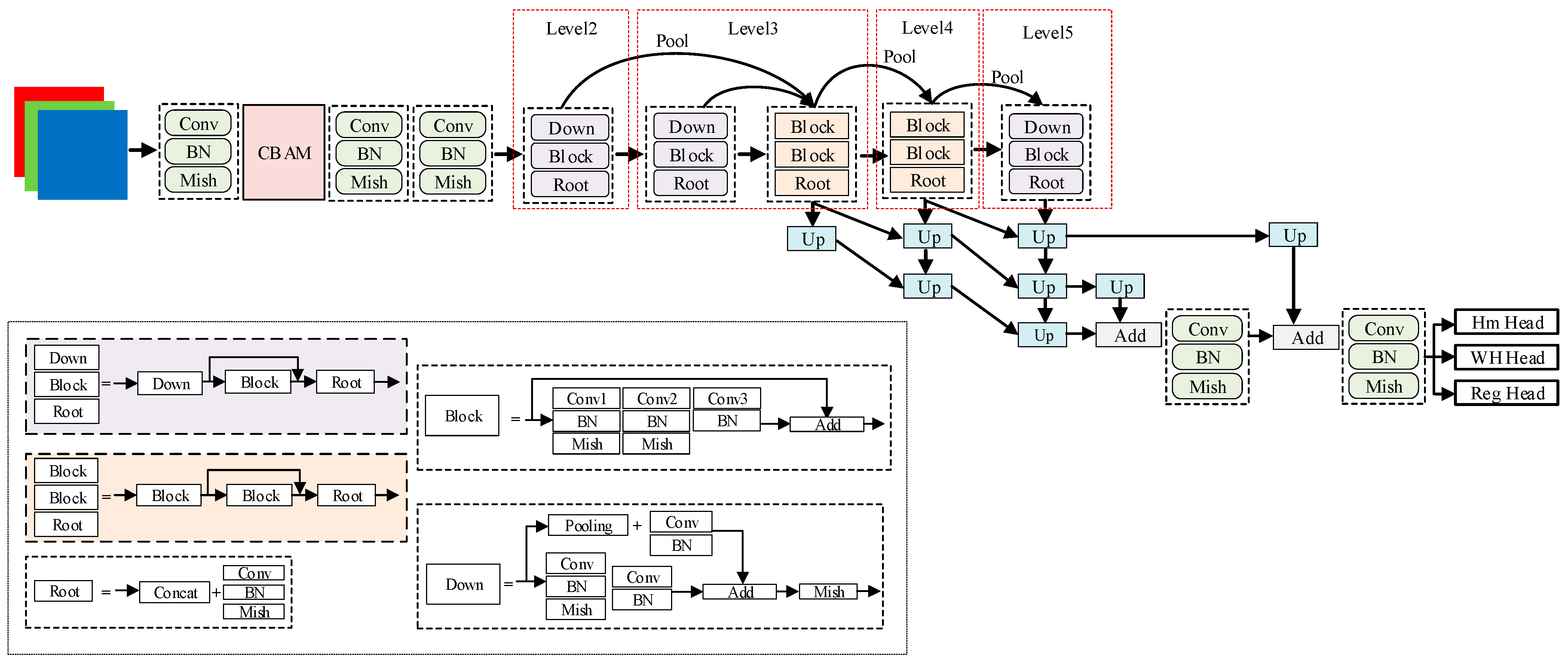
3.1. Overall Network Architecture
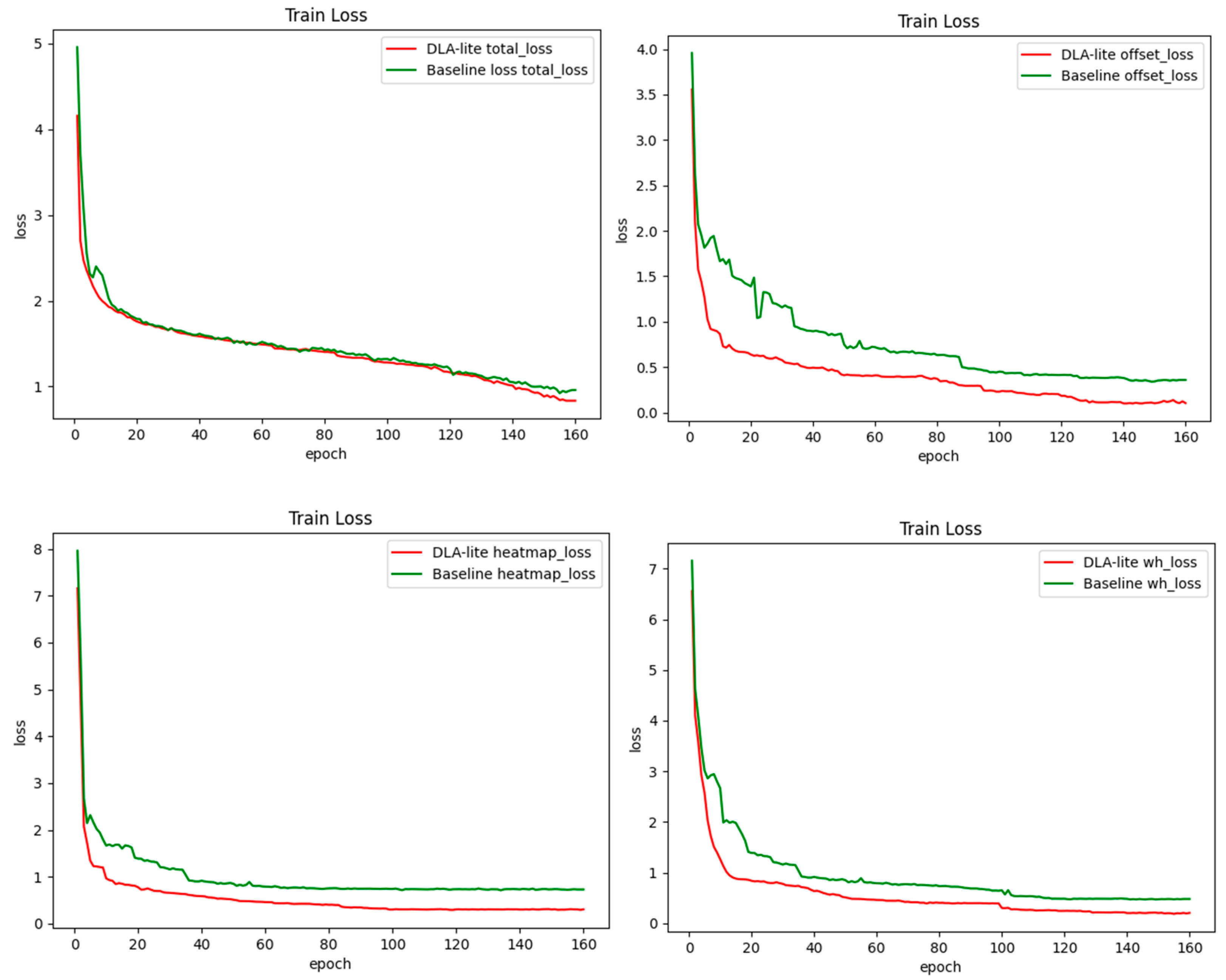
3.2. DLA-Lite
3.3. Joint Loss Function
4. Experiment Results and Discussion
4.1. Datasets and Metrics
4.2. Implementation Details
4.3. Ablative Studies
4.4. Visualization Results
5. Conclusions
Author Contributions
Funding
Institutional Review Board Statement
Informed Consent Statement
Data Availability Statement
Conflicts of Interest
References
- Bewley, A.; Ge, Z.; Ott, L.; Ramos, F.; Upcroft, B. Simple online and realtime tracking. In Proceedings of the 2016 IEEE International Conference on Image Processing (ICIP), Phoenix, AZ, USA, 25–28 September 2016; pp. 3464–3468. [Google Scholar]
- Wojke, N.; Bewley, A.; Paulus, D. Simple online and realtime tracking with a deep association metric. In Proceedings of the 2017 IEEE International Conference on Image Processing (ICIP), Beijing, China, 17–20 September 2017; pp. 3645–3649. [Google Scholar]
- Luo, W.; Xing, J.; Milan, A.; Zhang, X.; Liu, W.; Zhao, X.; Kim, T.-K. Multiple Object Tracking: A Literature Review. arXiv: Computer Vision and Pattern Recognition. arXiv 2014, arXiv:1409.7618. [Google Scholar]
- Wang, Z.; Zheng, L.; Liu, Y.; Li, Y.; Wang, S. Towards real-time multi-object tracking. arXiv 2019, arXiv:1909.12605. [Google Scholar]
- Zhou, X.; Wang, D.; Krähenbühl, P. Objects as points. arXiv 2019, arXiv:1904.07850. [Google Scholar]
- Zhou, X.; Koltun, V.; Krähenbühl, P. Tracking objects as points. In Proceedings of the European Conference on Computer Vision, Glasgow, UK, 23–28 August 2020; Springer: Cham, Switzerland, 2020; pp. 474–490. [Google Scholar]
- Zhang, Y.; Wang, C.; Wang, X.; Zeng, W.; Liu, W. Fairmot: On the fairness of detection and re-identification in multiple object tracking. Int. J. Comput. Vis. 2021, 129, 3069–3087. [Google Scholar] [CrossRef]
- Woo, S.; Park, J.; Lee, J.Y.; Kweon, I.S. CBAM: Convolutional Block Attention Module. In Proceedings of the ECCV 2018, Munich, Germany, 8–14 September 2018; Lecture Notes in Computer Science. Springer: Cham, Switzerland, 2018; Volume 11211. [Google Scholar]
- Han, K.; Wang, Y.; Tian, Q.; Guo, J.; Xu, C.; Xu, C. Ghostnet: More features from cheap operations. In Proceedings of the IEEE/CVF Conference on Computer Vision and Pattern Recognition, Seattle, WA, USA, 13–19 June 2020; pp. 1580–1589. [Google Scholar]
- Wen, L.; Du, D.; Cai, Z.; Lei, Z.; Chang, M.C.; Qi, H.; Lim, J.; Yang, M.H.; Lyu, S. UA-DETRAC: A new benchmark and protocol for multi-object detection and tracking. Comput. Vis. Image Underst. 2020, 193, 102907. [Google Scholar] [CrossRef]
- Xu, Y.; Zhou, X.; Chen, S.; Li, F. Deep learning for multiple object tracking: A survey. IET Comput. Vis. 2019, 13, 355–368. [Google Scholar] [CrossRef]
- Liu, W.; Anguelov, D.; Erhan, D.; Szegedy, C.; Reed, S.; Fu, C.Y.; Berg, A.C. Ssd: Single shot multibox detector. In Proceedings of the European Conference on Computer Vision, Amsterdam, The Netherlands, 11–14 October 2016; Springer: Cham, Switzerland, 2016; pp. 21–37. [Google Scholar]
- Redmon, J.; Divvala, S.; Girshick, R.; Farhadi, A. You Only Look Once: Unified, Real-Time Object Detection. arXiv 2016, arXiv:1506.02640. [Google Scholar]
- Bermann, P.; Meizhardt, T. Tracking without bells and whistles. In Proceedings of the IEEE/CVF International Conference on Computer Vision, Seoul, Republic of Korea, 27 October–2 November 2019; pp. 941–951. [Google Scholar]
- Sun, S.; Akhtar, N.; Song, H.; Shah, M. Deep Affinity Network for Multiple Object Tracking. IEEE Trans. Pattern Anal. Mach. Intell. 2019, 43, 104–119. [Google Scholar] [CrossRef] [PubMed]
- Gao, M.; Jin, L.; Jiang, Y.; Guo, B. Manifold siamese network: A novel visual tracking ConvNet for autonomous vehicles. IEEE Trans. Intell. Transp. Syst. 2019, 21, 1612–1623. [Google Scholar] [CrossRef]
- jin, L.; Hua, Q.; GUO, B.; Xie, X.-Y.; YAN, F.-G.; WU, B.-T. Multi-object tracking of forward vehicle based on optimized DeepSort. J. Zhejiang Univ. (Eng. Sci.) 2021, 55, 1056–1064. [Google Scholar]
- Zhu, J. Research on Vehicle Recognition and Tracking Technology in Roadside Occlusion Scene; Southeast University: Nanjing, China, 2021. [Google Scholar]
- Song, J.; Hyun, S.H.; Lee, J.H.; Choi, J.; Kim, S.C. Joint Vehicle Tracking and RSU Selection for V2I Communications with Extended Kalman Filter. IEEE Trans. Veh. Technol. 2022, 71, 5609–5614. [Google Scholar] [CrossRef]
- Kim, C.; Li, F.; Rehg, J.M. Multi-object tracking with neural gating using bilinear lstm. In Proceedings of the European Conference on Computer Vision (ECCV), Munich, Germany, 8–14 September 2018; pp. 200–215. [Google Scholar]
- Xu, Y.; Ban, Y.; Alameda-Pineda, X.; Horaud, R. DeepMOT: A Differentiable Framework for Training Multiple Object Trackers. arXiv 2019, arXiv:1906.06618. [Google Scholar]
- Yu, F.; Wang, D.; Shelhamer, E.; Darrell, T. Deep layer aggregation. In Proceedings of the IEEE Conference on Computer Vision and Pattern Recognition, Salt Lake City, UT, USA, 18–23 June 2018; pp. 2403–2412. [Google Scholar]
- Sandler, M.; Howard, A.; Zhu, M.; Zhmoginov, A.; Chen, L.C. Mobilenetv2: Inverted residuals and linear bottlenecks. In Proceedings of the IEEE Conference on Computer Vision and Pattern Recognition, Salt Lake City, UT, USA, 18–23 June 2018; pp. 4510–4520. [Google Scholar]
- Agarap, A.F. Deep learning using rectified linear units (relu). arXiv 2018, arXiv:1803.08375. [Google Scholar]
- Misra, D. Mish: A self regularized non-monotonic activation function. arXiv 2019, arXiv:1908.08681. [Google Scholar]
- Wen, Y.; Zhang, K.; Li, Z.; Qiao, Y. A comprehensive study on center loss for deep face recognition. Int. J. Comput. Vis. 2019, 127, 668–683. [Google Scholar] [CrossRef]
- Lin, T.Y.; Maire, M.; Belongie, S.; Hays, J.; Perona, P.; Ramanan, D.; Dollár, P.; Zitnick, C.L. Microsoft coco: Common objects in context. In Proceedings of the European Conference on Computer Vision, Zurich, Switzerland, 6–12 September 2014; Springer: Cham, Switzerland, 2014; pp. 740–755. [Google Scholar]









| FPS | AP | AP50 | AP75 | APS | APM | APL | |
|---|---|---|---|---|---|---|---|
| Baseline | 32.8 | 36.6 | 54.3 | 39.2 | 16.6 | 39.9 | 53.7 |
| +Mish | 25.4 | 37.5 | 55.7 | 40.3 | 17.4 | 41.3 | 54.4 |
| +Mish + CBAM | 21.6 | 37.6 | 55.5 | 40.2 | 17.2 | 41.8 | 54.1 |
| +Mish + CBAM + Basic Block-N | 22.8 | 38.2 | 56.2 | 41.0 | 17.8 | 42.0 | 56.1 |
| MOTA↑ | IDF1↑ | MT↑ | ML↓ | IDS↓ | FPS↑ | |
|---|---|---|---|---|---|---|
| Baseline | 77.7 | 84.1 | 160 | 4 | 47 | 20.37 |
| Baseline + DLA-lite | 79.3 | 84.8 | 164 | 3 | 57 | 18.95 |
| Baseline + Center Loss | 78.6 | 84.2 | 160 | 4 | 45 | 20.53 |
| Baseline + DLA-lite + Center Loss | 78.9 | 84.3 | 158 | 4 | 48 | 19.23 |
| MOTA↑ | IDF1↑ | MT↑ | ML↓ | IDS↓ | FPS↑ | |
|---|---|---|---|---|---|---|
| SORT | 70.5 | 79.8 | 146 | 4 | 65 | 35.67 |
| DeepSORT | 74.3 | 82.6 | 153 | 3 | 55 | 26.85 |
| FairMOT | 77.7 | 84.1 | 160 | 4 | 47 | 20.37 |
| CenterTrack | 76.9 | 84.7 | 155 | 4 | 50 | 25.56 |
| Ours | 78.9 | 84.3 | 158 | 4 | 48 | 19.23 |
Disclaimer/Publisher’s Note: The statements, opinions and data contained in all publications are solely those of the individual author(s) and contributor(s) and not of MDPI and/or the editor(s). MDPI and/or the editor(s) disclaim responsibility for any injury to people or property resulting from any ideas, methods, instructions or products referred to in the content. |
© 2023 by the authors. Licensee MDPI, Basel, Switzerland. This article is an open access article distributed under the terms and conditions of the Creative Commons Attribution (CC BY) license (https://creativecommons.org/licenses/by/4.0/).
Share and Cite
Han, G.; Jin, Q.; Rong, H.; Jin, L.; Zhang, L. Vehicle Tracking Algorithm Based on Deep Learning in Roadside Perspective. Sustainability 2023, 15, 1950. https://doi.org/10.3390/su15031950
Han G, Jin Q, Rong H, Jin L, Zhang L. Vehicle Tracking Algorithm Based on Deep Learning in Roadside Perspective. Sustainability. 2023; 15(3):1950. https://doi.org/10.3390/su15031950
Chicago/Turabian StyleHan, Guangsheng, Qiukun Jin, Hui Rong, Lisheng Jin, and Libin Zhang. 2023. "Vehicle Tracking Algorithm Based on Deep Learning in Roadside Perspective" Sustainability 15, no. 3: 1950. https://doi.org/10.3390/su15031950
APA StyleHan, G., Jin, Q., Rong, H., Jin, L., & Zhang, L. (2023). Vehicle Tracking Algorithm Based on Deep Learning in Roadside Perspective. Sustainability, 15(3), 1950. https://doi.org/10.3390/su15031950
