Electrochemical Polarization as a Sustainable Method for the Formation of Bronze Patina Layers on a Quaternary Copper Alloy: Insight into Patina Morphology and Corrosion Behaviour
Abstract
1. Introduction
2. Material and Methods
2.1. Samples Preparation
2.2. Electrochemical Characterization
2.2.1. Electrochemical Cell and Solution
2.2.2. Electrochemical Techniques
2.3. Surface Characterization
3. Results and Discussion
3.1. Polarization Curve
3.2. Formation of the Patina Layer
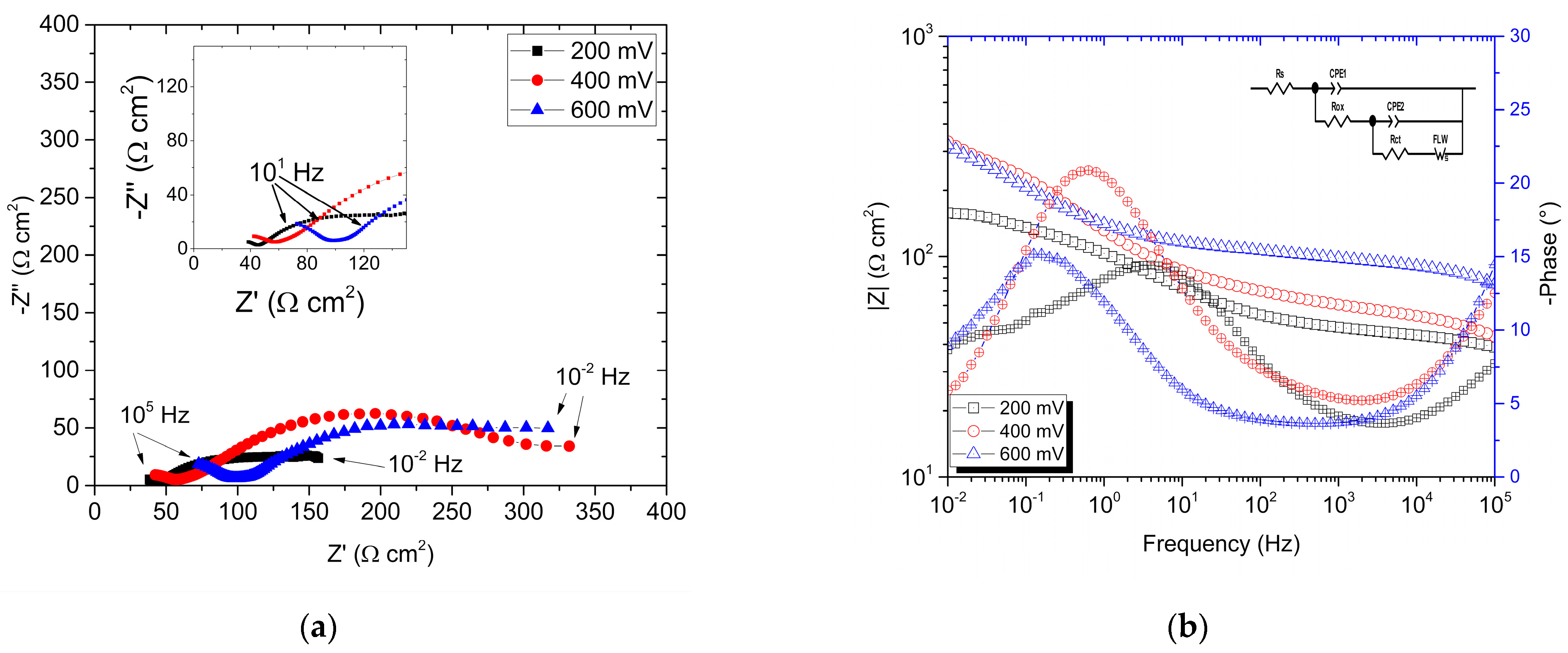
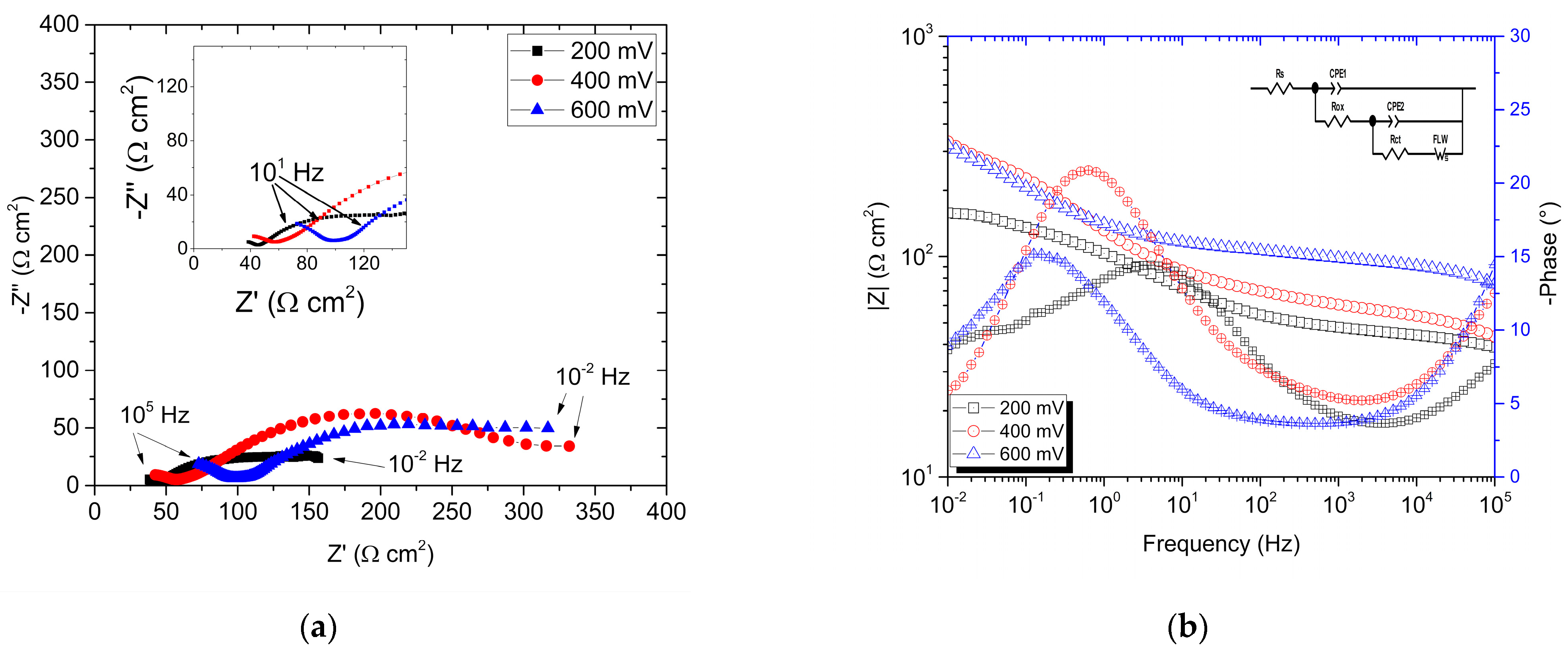
3.3. Corrosion Measurements
3.4. Morphology and Composition of the Patina Layers
4. Conclusions
Supplementary Materials
Author Contributions
Funding
Data Availability Statement
Acknowledgments
Conflicts of Interest
References
- Robbiola, L.; Rahmouni, K.; Chiavari, C.; Martini, C.; Prandstraller, D.; Texier, A.; Takenouti, H.; Vermaut, P. New insight into the nature and properties of pale green surfaces of outdoor bronze monuments. Appl. Phys. A 2008, 92, 161–169. [Google Scholar] [CrossRef]
- Souissi, N.; Bousselmi, L.; Khosrof, S.; Triki, E. Electrochemical behaviour of an archaeological bronze alloy in various aqueous media: New method for understanding artifacts preservation. Mater. Corros. 2003, 54, 318–325. [Google Scholar] [CrossRef]
- Channouf, R.B.; Souissi, N.; Bellakhal, N. Bellakhal, Bronze corrosion in aqueous chloride médium. J. Tunis. Chem. Soc. 2015, 17, 57–63. [Google Scholar]
- Craddock, P.T. The composition of the copper alloys used by the Greek, etruscan and Roman civilisations: 2. The Archaic, Classical and Hellenistic Greeks. J. Archaeol. Sci. 1977, 4, 102–123. [Google Scholar] [CrossRef]
- Beldjoudi, T.; Bardet, F.; Lacoudre, N.; Andrieu, S.; Adriaens, A.; Constantinides, I.; Brunella, P. Surface Modification Processes on European Union Bronze Reference Materials for Analytical Studies of Cultural Artefacts. Surf. Eng. 2001, 17, 231–235. [Google Scholar] [CrossRef]
- Cukur, A.; Kunç, S. Development of bronze production technologies in Anatolia. J. Archaeol. Sci. 1989, 16, 225–231. [Google Scholar] [CrossRef]
- Masi, G.; Esvan, J.; Josse, C.; Chiavari, C.; Bernardi, E.; Martini, C.; Bignozzi, M.; Gartner, N.; Kosec, T.; Robbiola, L. Characterization of typical patinas simulating bronze corrosion in outdoor conditions. Mater. Chem. Phys. 2017, 200, 308–321. [Google Scholar] [CrossRef]
- Zohdy, K.; Sadawy, M.; Ghanem, M. Corrosion behavior of leaded-bronze alloys in sea water. Mater. Chem. Phys. 2014, 147, 878–883. [Google Scholar] [CrossRef]
- Robbiola, L.; Fiaud, C.; Pennec, S. New Model of Outdoor Bronze Corrosion and Its Implications for Conservation. In ICOM Committee for Conservation Tenth Triennial Meeting; Allen Press: Washington, DC, USA, 1993; pp. 796–802. [Google Scholar]
- Quaranta, M.; Catelli, E.; Prati, S.; Sciutto, G.; Mazzeo, R. Chinese archaeological artefacts: Microstructure and corrosion behaviour of high-leaded bronzes. J. Cult. Herit. 2014, 15, 283–291. [Google Scholar] [CrossRef]
- Robbiola, L.; Blengino, J.-M.; Fiaud, C. Morphology and mechanisms of formation of natural patinas on archaeological Cu–Sn alloys. Corros. Sci. 1998, 40, 2083–2111. [Google Scholar] [CrossRef]
- Dungworth, D. Roman Copper Alloys: Analysis of Artefacts from Northern Britain. J. Archaeol. Sci. 1997, 24, 901–910. [Google Scholar] [CrossRef]
- Chiavari, C.; Rahmouni, K.; Takenouti, H.; Joiret, S.; Vermaut, P.; Robbiola, L. Composition and electrochemical properties of natural patinas of outdoor bronze monuments. Electrochim. Acta 2007, 52, 7760–7769. [Google Scholar] [CrossRef]
- Muller, J.; Laïk, B.; Guillot, I. α-CuSn bronzes in sulphate medium: Influence of the tin content on corrosion processes. Corros. Sci. 2013, 77, 46–51. [Google Scholar] [CrossRef]
- García-Ochoa, E.; Corvo, F. Copper patina corrosion evaluation by means of fractal geometry using electrochemical noise (EN) and image analysis. Electrochem. Commun. 2010, 12, 826–830. [Google Scholar] [CrossRef]
- Rodríguez-Acuña, F.; Genesca, J.; Uruchurtu, J. Electrochemical evaluation of patinas formed on nineteenth century bronze bells. J. Appl. Electrochem. 2010, 40, 311–320. [Google Scholar] [CrossRef]
- Souissi, N.; Sidot, E.; Bousselmi, L.; Triki, E.; Robbiola, L. Corrosion behaviour of Cu–10Sn bronze in aerated NaCl aqueous media—Electrochemical investigation. Corros. Sci. 2007, 49, 3333–3347. [Google Scholar] [CrossRef]
- Huttunen-Saarivirta, E.; Rajala, P.; Carpén, L. Corrosion behaviour of copper under biotic and abiotic conditions in anoxic ground water: Electrochemical study. Electrochim. Acta 2015, 203, 350–365. [Google Scholar] [CrossRef]
- Gianni, L.; Cavallini, M.; Natali, S.; Adriaens, M. Adriaens, Wet and dry accelerated aging tests in a spray chamber to understand the effects of acid rain frequency on bronze corrosión. Int. J. Electrochem. Sci. 2013, 8, 1822–1838. [Google Scholar]
- Chiavari, C.; Bernardi, E.; Martini, C.; Passarini, F.; Ospitali, F.; Robbiola, L. The atmospheric corrosion of quaternary bronzes: The action of stagnant rain water. Corros. Sci. 2010, 52, 3002–3010. [Google Scholar] [CrossRef]
- Hughes, R. Artificial Patination. In Metal Plating and Patination, Cultural, Technical and Historical Developments; Butterworth Heinemann: Oxford, UK, 1993; pp. 1–18. [Google Scholar] [CrossRef]
- Balta, I.; Pederzoli, S.; Iacob, E.; Bersani, M. Dynamic secondary ion mass spectrometry and X-ray photoelectron spectroscopy on artistic bronze and copper artificial patinas. Appl. Surf. Sci. 2009, 255, 6378–6385. [Google Scholar] [CrossRef]
- Mennucci, M.M.; Sanchez-Moreno, M.; Aoki, I.V.; Bernard, M.-C.; De Melo, H.G.; Joiret, S.; Vivier, V. Local electrochemical investigation of copper patina. J. Solid State Electrochem. 2012, 16, 109–116. [Google Scholar] [CrossRef]
- Šatović, D.; Žulj, L.V.; Desnica, V.; Fazinić, S.; Martinez, S. Corrosion evaluation and surface characterization of the corrosion product layer formed on Cu–6Sn bronze in aqueous Na2SO4 solution. Corros. Sci. 2009, 51, 1596–1603. [Google Scholar] [CrossRef]
- Hernández, R.D.P.; Aoki, I.; Tribollet, B.; de Melo, H. Electrochemical impedance spectroscopy investigation of the electrochemical behaviour of copper coated with artificial patina layers and submitted to wet and dry cycles. Electrochim. Acta 2011, 56, 2801–2814. [Google Scholar] [CrossRef]
- Di Carlo, G.; Giuliani, C.; Riccucci, C.; Pascucci, M.; Messina, E.; Fierro, G.; Lavorgna, M.; Ingo, G. Artificial patina formation onto copper-based alloys: Chloride and sulphate induced corrosion processes. Appl. Surf. Sci. 2017, 421, 120–127. [Google Scholar] [CrossRef]
- Tommesani, L.; Brunoro, G.; Garagnani, G.L.; Montanari, R.; Volterri, R. Corrosion behaviour of modern bronzes simulating historical alloys. ArchéoSciences Rev. D’archéométrie 1997, 21, 131–139. [Google Scholar] [CrossRef]
- Schaefer, K.; Mills, D.J. The application of organic coatings in conservation of archaeological objects excavated from the sea. Prog. Org. Coatings 2017, 102, 99–106. [Google Scholar] [CrossRef]
- Ćurković, H.O.; Kosec, T.; Legat, A.; Stupnišek-Lisac, E. Improvement of corrosion stability of patinated bronze. Corros. Eng. Sci. Technol. 2010, 45, 327–333. [Google Scholar] [CrossRef]
- Robbiola, L.; Tran, T.T.M.; Dubot, P.; Majérus, O.; Rahmouni, K. Characterisation of anodic layers on Cu–10Sn bronze (RDE) in aerated NaCl solution. Corros. Sci. 2008, 50, 2205–2215. [Google Scholar] [CrossRef]
- Ben Channouf, R.; Souissi, N.; Zanna, S.; Ardelean, H.; Bellakhal, N.; Marcus, P. Surface Characterization of the Corrosion Product Layer Formed on Synthetic Bronze in Aqueous Chloride Solution and the Effect of the Adding of Juniperus Communis Extract by X-ray Photoelectron Spectroscopy Analysis. Chem. Afr. 2018, 1, 167–174. [Google Scholar] [CrossRef]
- Wang, T.; Wang, J.; Wu, Y. The inhibition effect and mechanism of l-cysteine on the corrosion of bronze covered with a CuCl patina. Corros. Sci. 2015, 97, 89–99. [Google Scholar] [CrossRef]
- Yang, X.; Wu, W.; Chen, K. Investigation on the electrochemical evolution of the Cu-sn-Pb ternary alloy covered with CuCl in a simulated atmospheric environment. J. Electroanal. Chem. 2022, 921, 116636. [Google Scholar] [CrossRef]
- Bernardi, E.; Chiavari, C.; Lenza, B.; Martini, C.; Morselli, L.; Ospitali, F.; Robbiola, L. The atmospheric corrosion of quaternary bronzes: The leaching action of acid rain. Corros. Sci. 2009, 51, 159–170. [Google Scholar] [CrossRef]
- Chiavari, C.; Martini, C.; Balbo, A.; Monticelli, C.; Velino, C.; Masi, G.; Bernardi, E. Atmospheric corrosion of Cu-Si-Mn bronze for contemporary art under simulated runoff and continuous immersion conditions. Corros. Sci. 2022, 205, 110442. [Google Scholar] [CrossRef]
- Kosec, T.N.; Fabjan, E.; Škrlep, L.; Finšgar, M. Exploring the protection mechanism of a combined fluoropolymer coating on sulphide patinated bronze. Prog. Org. Coat. 2022, 172, 107071. [Google Scholar] [CrossRef]
- Mihelčič, M.; Gaberšček, M.; Di Carlo, G.; Giuliani, C.; de Luna, M.S.; Lavorgna, M.; Surca, A.K. Influence of silsesquioxane addition on polyurethane-based protective coatings for bronze surfaces. Appl. Surf. Sci. 2019, 467–468, 912–925. [Google Scholar] [CrossRef]
- Obot, I.B.; Onyeachu, I.B.; Zeino, A.; Umoren, S.A. Electrochemical noise (EN) technique: Review of recent practical applications to corrosion electrochemistry research. J. Adhes. Sci. Technol. 2019, 33, 1453–1496. [Google Scholar] [CrossRef]
- Alfantazi, A.; Ahmed, T.; Tromans, D. Corrosion behavior of copper alloys in chloride media. Mater. Des. 2009, 30, 2425–2430. [Google Scholar] [CrossRef]
- de Chialvo, M.; Salvarezza, R.; Moll, D.V.; Arvia, A. Kinetics of passivation and pitting corrosion of polycrystalline copper in borate buffer solutions containing sodium chloride. Electrochim. Acta 1985, 30, 1501–1511. [Google Scholar] [CrossRef]
- Gad-Allah, A.G.; Abou-Romia, M.M.; Badawy, M.W.; Rehan, H.H. Passivity of α-brass (Cu: Zn/67: 33) and its breakdown in neutral and alkaline solutions containing halide ions. J. Appl. Electrochem. 1991, 21, 829–836. [Google Scholar] [CrossRef]
- Wang, J. Analytical Electrochemistry, 3rd ed.; Wiley-VCH: Hoboken, NJ, USA, 2006; pp. 130–136. ISBN 13 978-0-471-67879-3. [Google Scholar]
- Li, B.; Qu, H.; Lang, Y.; Feng, H.; Chen, Q.; Chen, H. Copper alloying content effect on pitting resistance of modified 00Cr20Ni18Mo6CuN super austenitic stainless steels. Corros. Sci. 2020, 173, 108791. [Google Scholar] [CrossRef]
- Souto, R.; Sánchez, M.; Barrera, M.; González, S.; Salvarezza, R.; Arvia, A. The kinetics of pitting corrosion of copper in alkaline solutions containing sodium perchlorate. Electrochim. Acta 1992, 37, 1437–1443. [Google Scholar] [CrossRef]
- Serghini-Idrissi, M.; Bernard, M.; Harrif, F.; Joiret, S.; Rahmouni, K.; Srhiri, A.; Takenouti, H.; Vivier, V.; Ziani, M. Electrochemical and spectroscopic characterizations of patinas formed on an archaeological bronze coin. Electrochim. Acta 2005, 50, 4699–4709. [Google Scholar] [CrossRef]
- Bucko, M.; Bastos, A.C.; Yasakau, K.A.; Ferreira, M.G.; Bajat, J.B. Corrosion behavior of AA2024-T6 and AA6065-T6 alloys in reline. Electrochim. Acta 2020, 357, 136861. [Google Scholar] [CrossRef]
- Liu, C.; Bi, Q.; Matthews, A. EIS comparison on corrosion performance of PVD TiN and CrN coated mild steel in 0.5 N NaCl aqueous solution. Corros. Sci. 2001, 43, 1953–1961. [Google Scholar] [CrossRef]
- Mahato, N.; Singh, M.M. Investigation of Passive Film Properties and Pitting Resistance of AISI 316 in Aqueous Ethanoic Acid Containing Chloride Ions using Electrochemical Impedance Spectroscopy(EIS). Port. Electrochim. Acta 2011, 29, 233–251. [Google Scholar] [CrossRef]
- Hoseinieh, S.; Homborg, A.; Shahrabi, T.; Mol, J.; Ramezanzadeh, B. A Novel Approach for the Evaluation of under Deposit Corrosion in Marine Environments Using Combined Analysis by Electrochemical Impedance Spectroscopy and Electrochemical Noise. Electrochim. Acta 2016, 217, 226–241. [Google Scholar] [CrossRef]
- Belkaid, S.; Ladjouzi, M.A.; Hamdani, S. Effect of biofilm on naval steel corrosion in natural seawater. J. Solid State Electrochem. 2010, 15, 525–537. [Google Scholar] [CrossRef]
- Lvovich, V. Impedance Spectroscopy: Application to Electrochemical and Dielectric Phenomena; John Wiley & Sons: Hoboken, NJ, USA, 2015. [Google Scholar]
- Scholz, F. Electroanalytical Methods, Guide to Experiments and Applications; Springer: Berlin/Heidelberg, Germany, 2010. [Google Scholar]
- Mouanga, M.; Berçot, P. Comparison of corrosion behaviour of zinc in NaCl and in NaOH solutions; Part II: Electrochemical analyses. Corros. Sci. 2010, 52, 3993–4000. [Google Scholar] [CrossRef]
- Liang, Z.; Jiang, K.; Zhang, T.-A. Corrosion behaviour of lead bronze from the Western Zhou Dynasty in an archaeological-soil medium. Corros. Sci. 2021, 191, 109721. [Google Scholar] [CrossRef]
- Zhang, X.; He, W.; Wallinder, I.O.; Pan, J.; Leygraf, C. Determination of instantaneous corrosion rates and runoff rates of copper from naturally patinated copper during continuous rain events. Corros. Sci. 2002, 44, 2131–2151. [Google Scholar] [CrossRef]
- Díaz, B.; Guitián, B.; Nóvoa, X.; Pérez, M. The effect of chlorides on the corrosion behaviour of weathered reinforcing bars. Electrochim. Acta 2020, 336, 135737. [Google Scholar] [CrossRef]
- Liao, X.-N.; Cao, F.-H.; Chen, A.-N.; Liu, W.-J.; Zhang, J.-Q.; Cao, C.-N. In-situ investigation of atmospheric corrosion behavior of bronze under thin electrolyte layers using electrochemical technique. Trans. Nonferrous Met. Soc. China 2012, 22, 1239–1249. [Google Scholar] [CrossRef]
- Collazo, A.; Nóvoa, X.; Pérez, C.; Puga, B. The corrosion protection mechanism of rust converters: An electrochemical impedance spectroscopy study. Electrochim. Acta 2010, 55, 6156–6162. [Google Scholar] [CrossRef]
- Nagiub, A.; Mansfeld, F. Evaluation of corrosion inhibition of brass in chloride media using EIS and ENA. Corros. Sci. 2001, 43, 2147–2171. [Google Scholar] [CrossRef]
- Collazo, A.; Figueroa, R.; Nóvoa, X.; Pérez, C. Corrosion of electrodeposited Sn in 0.01 M NaCl solution. A EQCM and EIS study. Electrochim. Acta 2016, 202, 288–298. [Google Scholar] [CrossRef]
- Botana, J. Ruido Electroquimico, Métodos de Análisis; Septem Ediciones: Oviedo, Spain, 2002. [Google Scholar]
- Souissi, N.; Bousselmi, L.; Khosrof, S.; Triki, E. Voltammetric behaviour of an archaeological bronze alloy in aqueous chloride media. Mater. Corros. 2004, 55, 284–292. [Google Scholar] [CrossRef]
- Constantinides, I.; Adriens, A.; Adams, F. Surface characterization of artificial corrosion layers on copper alloy reference materials. Appl. Surf. Sci. 2022, 189, 90–101. [Google Scholar] [CrossRef]
- Zhang, X.; Wallinder, I.O.; Leygraf, C. Mechanistic studies of corrosion product flaking on copper and copper-based alloys in marine environments. Corros. Sci. 2014, 85, 15–25. [Google Scholar] [CrossRef]







| Potential Applied mV | Dissolved Oxygen, Δc g/L | Slope Determined mA/cm2 s |
|---|---|---|
| 200 | 0.6 | 3.33 × 10−4 |
| 400 | 0.7 | 4.33 × 10−4 |
| 600 | 0.8 | 1.67 × 10−3 |
| Parameters | Units | Potential mV | ||
|---|---|---|---|---|
| 200 | 400 | 600 | ||
| Rs | Ω cm2 | 10 | 10 | 10 |
| Rox | Ω cm2 | 38.4 | 58.36 | 65.28 |
| CPE1 | Ω−1 cm−2 sn | 1.57 × 10−4 | 1.16 × 10−4 | 1.36 × 10−6 |
| n1 | 0.41 | 0.37 | 0.65 | |
| Cox | μFcm−2 | 0.100 | 0.023 | 0.010 |
| Rct | Ω cm2 | 106.8 | 225.8 | 205 |
| CPE2 | Ω−1 cm−2 sn | 3.7 × 10−3 | 2.3 × 10−3 | 2.9 × 10−3 |
| n2 | 0.48 | 0.52 | 0.43 | |
| Cdl | mFcm−2 | 1.3 × 10−5 | 1 × 10−6 | 3.1 × 10−6 |
| Ω−1 cm−2 s1/2 | 0.16 | 0.02 | 0.01 | |
| B | s1/2 | 4.6 | 0.9 | 0.8 |
| Potential vs. SCE | 200 mV | 400 mV | 600 mV |
|---|---|---|---|
| [μm] | 48.6 | 9 | 8.7 |
| [Ωcm2s−1/2] | 4.2 | 25.9 | 21.4 |
Disclaimer/Publisher’s Note: The statements, opinions and data contained in all publications are solely those of the individual author(s) and contributor(s) and not of MDPI and/or the editor(s). MDPI and/or the editor(s) disclaim responsibility for any injury to people or property resulting from any ideas, methods, instructions or products referred to in the content. |
© 2023 by the authors. Licensee MDPI, Basel, Switzerland. This article is an open access article distributed under the terms and conditions of the Creative Commons Attribution (CC BY) license (https://creativecommons.org/licenses/by/4.0/).
Share and Cite
González-Parra, R.; Covelo, A.; Barba, A.; Hernández, M. Electrochemical Polarization as a Sustainable Method for the Formation of Bronze Patina Layers on a Quaternary Copper Alloy: Insight into Patina Morphology and Corrosion Behaviour. Sustainability 2023, 15, 1899. https://doi.org/10.3390/su15031899
González-Parra R, Covelo A, Barba A, Hernández M. Electrochemical Polarization as a Sustainable Method for the Formation of Bronze Patina Layers on a Quaternary Copper Alloy: Insight into Patina Morphology and Corrosion Behaviour. Sustainability. 2023; 15(3):1899. https://doi.org/10.3390/su15031899
Chicago/Turabian StyleGonzález-Parra, Rafael, Alba Covelo, Arturo Barba, and Miguel Hernández. 2023. "Electrochemical Polarization as a Sustainable Method for the Formation of Bronze Patina Layers on a Quaternary Copper Alloy: Insight into Patina Morphology and Corrosion Behaviour" Sustainability 15, no. 3: 1899. https://doi.org/10.3390/su15031899
APA StyleGonzález-Parra, R., Covelo, A., Barba, A., & Hernández, M. (2023). Electrochemical Polarization as a Sustainable Method for the Formation of Bronze Patina Layers on a Quaternary Copper Alloy: Insight into Patina Morphology and Corrosion Behaviour. Sustainability, 15(3), 1899. https://doi.org/10.3390/su15031899

