Next Article in Journal
Hyperspectral Inversion of Heavy Metal Copper Content in Corn Leaves Based on DRS–XGBoost
Previous Article in Journal
Exploring the Role of Shared Leadership on Job Performance in IT Industries: Testing the Moderated Mediation Model
 
 
Font Type:
Arial Georgia Verdana
Font Size:
Aa Aa Aa
Line Spacing:
Column Width:
Background:
Article

Exploring the Entrepreneurial Intentions of Princess Nourah Bint Abdulrahman University Students and the University’s Role Aligned with Vision 2030

by
Nawal A. Al Eid
1,*,
Khalid Abdullah Alkhathlan
2,
Mohammad Imdadul Haque
3,
Tarek Tawfik Yousef Alkhateeb
4,
Doaa H. I. Mahmoud
5,
Moataz Eliw
6 and
Anass Hamadelneel Adow
7
1
Department of Islamic Studies, College of Arts, Princess Nourah Bint Abdulrahman University, P.O. Box 84428, Riyadh 11671, Saudi Arabia
2
Department of Economics, College of Business, King Saud University, P.O. Box 173, Riyadh 11942, Saudi Arabia
3
Department of Economics, Aligarh Muslim University, Aligarh 202001, India
4
Department of Agricultural Economics, Kafrelsheikh University, Kafrelsheikh 33511, Egypt
5
Economics and Agribusiness Department, Faculty of Agriculture, Alexandria University, Alexandria 21545, Egypt
6
Department of Agricultural Economics, Faculty of Agriculture, Al-Azhar University, Assiut P.O. Box 71524, Egypt
7
Department of Accounting, College of Business Administration, Prince Sattam Bin Abdulaziz University, Al-Kharj 16278, Saudi Arabia
*
Author to whom correspondence should be addressed.
Sustainability 2023, 15(24), 16769; https://doi.org/10.3390/su152416769
Submission received: 20 September 2023 / Revised: 1 December 2023 / Accepted: 3 December 2023 / Published: 12 December 2023
(This article belongs to the Section Economic and Business Aspects of Sustainability)

Abstract

:
This research examines entrepreneurial intentions among female students at Princess Nourah University in Saudi Arabia, utilizing the theory of planned behavior (TPB) as the foundational theoretical framework. The study adopted a quantitative methodology, collecting data through questionnaires distributed to a select group of students. We used structural equation modeling (SEM) to investigate the complex relationships between attitude, subjective norm, perceived behavioral control, and entrepreneurial intention. The findings indicate a strong tendency towards entrepreneurship, with over 64% of respondents expressing their intention to engage in entrepreneurial activities in the future. This suggests a substantial potential for female entrepreneurship. In contrast, a minor proportion (3.21%) showed no interest in entrepreneurship, and about 32% were undecided, highlighting the necessity for enhanced mentorship and support to encourage their entrepreneurial spirit. The application of TPB reveals that participants generally have positive attitudes and perceived control over entrepreneurship, although societal norms occasionally act as barriers. The study emphasizes the significance of cultural support and academic initiatives, including entrepreneurship courses and incubators, to nurture the entrepreneurial ambitions of female students. Based on these findings, the study advocates for the expansion of mentorship programs to further strengthen female entrepreneurial involvement. This research contributes to understanding the dynamics of female entrepreneurship in Saudi Arabia, underscoring the importance of a supportive environment for women’s entrepreneurial ventures.

1. Introduction

Entrepreneurship significantly contributes to economic dynamism by driving innovation, job creation, and wealth generation [1]. This study focuses on Princess Nourah bint Abdulrahman University (PNU)’s role in encouraging entrepreneurship among female students, aligning with Saudi Arabia’s Vision 2030. It evaluates PNU’s resources, policies, and support systems to suggest improvements or new strategies, aiming to address student needs within Saudi Arabia’s entrepreneurial framework [2]. Additionally, this research explores PNU students’ entrepreneurial intentions, examining their impact on economic growth in the context of Vision 2030. The outcomes are anticipated to guide policymakers, educational bodies, and other stakeholders in nurturing a vibrant entrepreneurial environment [1].
Despite existing efforts, a knowledge gap persists regarding the factors influencing PNU students’ entrepreneurial intentions and the university’s role in furthering Vision 2030 objectives. This research intends to fill these gaps, offering crucial insights to strengthen entrepreneurial advocacy at PNU. It also contributes to wider discussions on female entrepreneurship in Saudi Arabia, emphasizing its significance in achieving Vision 2030 goals [3].
The theory of planned behavior (TPB) offers a comprehensive framework for understanding entrepreneurial intentions. This theory posits that three core elements—attitudes towards entrepreneurship, perceived societal norms, and perceived behavioral control—collectively influence these intentions and subsequent entrepreneurial activities [4,5]. Research has consistently confirmed TPB’s effectiveness in predicting entrepreneurial intentions among students across various cultures [6,7,8]. A critical aspect of TPB is the role of positive attitudes towards entrepreneurship, derived from its perceived desirability and feasibility, in fostering entrepreneurial intentions [9]. Furthermore, supportive subjective norms from social circles such as family and peers play a crucial role in nurturing entrepreneurial aspirations [10]. Enhanced perceived behavioral control, which includes factors like self-efficacy and resource availability, also significantly contributes to the development of entrepreneurial intentions [11]. While TPB is widely applied, its explanatory scope can be influenced by contextual factors [12,13]. Therefore, an analysis of Saudi Arabia’s unique sociocultural context and its impact on female students’ entrepreneurial intentions through the lens of TPB is of considerable importance.
Entrepreneurship significantly contributes to economic growth, job creation, and market competitiveness, particularly among the youth in nations like Saudi Arabia. Central to fostering these entrepreneurial skills are universities, such as PNU, whose roles, though diverse, are crucial for sustainable economic progress. Encouraging youth entrepreneurship can simultaneously spur economic development and enhance community well-being. Existing studies, including those by Alshrari et al., 2021 [1], have examined students’ entrepreneurial intentions worldwide, but Saudi Arabia and PNU, amidst their societal and cultural shifts, offer unique insights. Recognizing PNU students’ entrepreneurial goals is essential for developing strategies that align with Vision 2030’s aims [1,2]. Evaluating PNU students’ entrepreneurship readiness is fundamental to establishing beneficial programs and structures [4]. This assessment provides valuable perspectives on future entrepreneurs’ ambitions, motivations, and their inclination towards innovation and risk [5,6]. Saudi Arabia’s Vision 2030 underscores the significance of youth entrepreneurship in achieving economic diversity and resilience, advocating the development of entrepreneurial ecosystems [1]. PNU has actively fostered an entrepreneurial mindset, as evidenced by the founding of the Innovation and Entrepreneurship Institute [7].
Saudi Arabia’s notable ascent in the ease of doing business ranking, advancing from 62nd in 2020 to 24th in 2021 [14], highlights its entrepreneurial progression. This success stems from improved business registrations, streamlined tax systems, and better credit availability. Initiatives like the Misk Innovation Program and the Small and Medium Enterprises General Authority exemplify the nation’s investment in its entrepreneurial environment. Furthermore, the Saudi Venture Capital Company plays a crucial role in financing startups, propelling their growth [15].
A youthful, well-educated, and technologically proficient population contributes to the thriving entrepreneurial culture in Saudi Arabia [16]. This demographic benefits from government-sponsored educational and training programs. Advances in digital infrastructure further empower technology startups. In 2020, venture capital investments in Saudi Arabia soared to $548 million, marking a 270% increase from the previous year. Government support, demographic trends, and Saudi Arabia’s advantageous location in the Middle East are the primary drivers of this growth. The success stories of startups such as Careem, Jahez, Noon, STC Pay, and Tawseela exemplify the vibrant entrepreneurial landscape of the nation [17].
Saudi Arabian universities, particularly in their support of female students, play a vital role in nurturing entrepreneurship. For instance, in 2016, King Saud University inaugurated the Entrepreneurship Institute to cultivate entrepreneurial skills, with a focus on women’s involvement [18]. Princess Nourah bint Abdulrahman University (PNU), the world’s largest women-only university, operates the ‘Dah’ Innovation Center, offering workshops and support for women-led ventures. Effat University has established the Entrepreneurship Center, dedicated to equipping its female students with entrepreneurial competencies. These initiatives are pivotal in bridging the gender gap in Saudi Arabia’s entrepreneurial sector [19].
Understanding the entrepreneurial aspirations of Princess Nourah bint Abdulrahman University (PNU) students is essential for devising effective educational strategies and support mechanisms. Discerning their needs allows for the optimization of academic curricula and programs. Aligning these goals with those of Saudi Arabia’s Vision 2030 also facilitates assessing PNU’s alignment with this transformative plan and identifies areas where additional support for entrepreneurs is needed [8].
Insights into the entrepreneurial intentions of Princess Nourah bint Abdulrahman University (PNU) students provide valuable insights into their aspirations and pave the way for impactful educational programs. Furthermore, these insights ensure that university initiatives are aligned with the goals of Vision 2030, which emphasizes economic diversification and innovation in Saudi Arabia. Established in 1970 as the Riyadh University for Women and rebranded in 2019, PNU has evolved into the world’s largest women’s university, playing a pivotal role in Saudi Arabia’s commitment to women’s education and empowerment. This study aims to explore the entrepreneurial intentions of PNU students, aligning their aspirations with Vision 2030’s emphasis on entrepreneurship and economic diversification. Given the increasing involvement of Saudi women in various sectors, including entrepreneurship, there is a keen interest in understanding the role that institutions like PNU play in fostering entrepreneurship among female students [20].
The study encompasses three key objectives. The first objective is to assess the attitudes and perceptions of female university students in Saudi Arabia towards entrepreneurship and the influence of a dynamic business environment on their entrepreneurial intentions. The second objective involves an examination of the impact of societal norms on female students’ entrepreneurial intentions, utilizing the theory of planned behavior as a guiding framework [21]. The third objective seeks to identify opportunities and potential challenges within the university system that may affect entrepreneurial intentions. These include factors such as the nature of academic programs and support mechanisms. The study addresses three essential questions: First, what are the prevailing attitudes and perceptions of female university students in Saudi Arabia concerning entrepreneurship? Second, how do societal norms and cultural expectations in Saudi Arabia impact the entrepreneurial intentions of these students? Third, what opportunities within the Saudi Arabian university system contribute positively to the development of entrepreneurial intentions among female students?
Saudi Arabia has recently implemented policy changes aimed at enhancing women’s employment opportunities, including their inclusion in the retail and hospitality sectors (AlMunajjed, 2021) [19]. Despite these efforts, significant challenges persist, primarily due to restrictive guardianship laws and entrenched gender norms (Koyame-Marsh, 2016) [18].
In the past five years, Saudi Arabia has taken substantial steps to increase women’s participation in the workforce and entrepreneurship. However, notable gender disparities persist, particularly in labor force participation and unemployment rates. Recent statistics from the Saudi General Authority for Statistics (2022) [17] indicate that in Q3 2022, the labor force participation rate for Saudi women aged 15 and above was 31.2%, contrasting with the 75.3% rate for Saudi men. Additionally, the unemployment rate for women stood at 22.2%, significantly higher than the 5.7% rate for men.
These disparities underscore the enduring cultural and logistical barriers to women’s employment, as well as gender segregation in higher education, which limits women’s access to degrees in high-demand fields (Alsubaie and Jones, 2017) [16]. Nevertheless, initiatives aimed at boosting female educational attainment in STEM and business fields are gradually reshaping this landscape (Alghamdi and Jones, 2019) [22].
The paper delves into women’s entrepreneurship in Saudi Arabia, with a focus on the interplay between the country’s sociocultural and legal frameworks, particularly concerning university students. It highlights the role of educational institutions, notably Princess Noura University (PNU), in nurturing entrepreneurial skills among young Saudi women, aligned with the national emphasis on economic development and job creation. The study also underscores how the evolving legal and regulatory environment is gradually opening more opportunities for women’s enterprises, influenced by shifting cultural norms regarding gender roles and women’s participation in business. Despite the challenges posed by legal restrictions and societal attitudes, the paper acknowledges a positive trend characterized by educational initiatives and policy reforms. This offers a balanced perspective on the dynamic landscape of female entrepreneurship within Saudi Arabia’s unique cultural and legal setting.
The research hypotheses:
Considering the study’s literature, primary objectives, and insights gleaned from the data, the following research hypotheses are proposed:
Null Hypothesis 1:
Attitude towards entrepreneurship does not determine entrepreneurial intentions.
Alternate Hypothesis 1:
Attitude towards entrepreneurship positively determines entrepreneurial intentions.
This hypothesis helps in understanding the impact of individual attitudes towards entrepreneurship and can help in tailoring educational and policy interventions to enhance positive attitudes, thus, fostering entrepreneurial intentions among individuals.
Null Hypothesis 2:
Social norms do not determine entrepreneurial intentions.
Alternate Hypothesis 2:
Social norms positively impact entrepreneurial intentions.
This hypothesis explores the role of societal expectations and norms in shaping entrepreneurial aspirations. Recognizing this relationship can aid in developing strategies to create a more supportive social environment for entrepreneurship.
Null Hypothesis 3:
Perceived behavioral control does not determine entrepreneurial intentions.
Alternate Hypothesis 3:
Perceived behavioral control positively affects entrepreneurial intentions.
This hypothesis investigates how individuals’ perceptions of their ability to perform entrepreneurial activities influence their intentions and can inform efforts to enhance entrepreneurial skills and self-efficacy, thereby encouraging more individuals to pursue entrepreneurial ventures.

2. Review of the Literature

This section reviews previous studies on entrepreneurial intentions from 2020 to 2022, exploring key findings and identifying areas of consensus and divergence. The comparative analysis aims to determine the research gap and formulate the objectives of this study.

2.1. Theory of Planned Behavior (TPB)

The theory of planned behavior (TPB) predicts entrepreneurial intentions and behaviors based on attitudes, subjective norms, and perceived control [4,5], factors that shape individuals’ intentions toward entrepreneurship [9]. TPB has found widespread applications in entrepreneurship research [6,7,8].
Favorable attitudes stem from the perceived desirability and feasibility of an entrepreneurial career [10]. Subjective norms encompass social pressure from contacts like family and peers that influence intentions [11]. Greater perceived control, stemming from self-efficacy, enhances entrepreneurial inclination [12]. However, contextual factors can limit TPB’s predictive ability [13,23].
Al-Mamary et al. (2020) [24] integrate TPB and entrepreneurial orientation to assess entrepreneurial intentions among Saudi students. Attitudes, self-efficacy, risk-taking, and other factors significantly impacted intentions. However, subjective norms and innovativeness did not show significant effects. These findings can refine university entrepreneurship initiatives aligned with national goals.
Alrubaishi (2020) [25] applied TPB to investigate Saudi students’ entrepreneurial intentions. Attitudes and self-efficacy were found to predict intentions, with attitudes acting as mediators. The university environment and subjective norms did not exert significant influence. These insights can encourage student entrepreneurship in Saudi Arabia.
Kulothungan and Anbazhagi (2020) [26] employed TPB to study Indian business students’ entrepreneurial intentions. Their findings underscore TPB’s role in shaping such ambitions and inform efforts to foster entrepreneurial skills.
Liñán and Chen (2009) [27] developed a TPB-based survey instrument to measure entrepreneurial intentions and tested it in two countries. They found that attitudes and perceived behavioral control predicted intentions, with implications for fostering entrepreneurship across cultures.
A meta-analysis by Haus et al. (2013) [20] found that male students had higher entrepreneurial intentions based on TPB factors. Attitudes partially mediated gender differences, with implications for supporting women entrepreneurs.
Liguori et al. (2018) [21] developed a TPB-based scale to measure entrepreneurial intentions. Studies have explored the prediction of entrepreneurial intentions through surveys, identifying the significance of attitudes, subjective norms, and perceived control in determining these intentions.
Yurtkoru, Kuşcu, and Doğanay (2014) [28] employed a TPB model and found that attitudes, subjective norms, and perceived behavioral control positively predicted entrepreneurial intention among Turkish university students.
Pruett, Shinnar, Toney, Llopis, and Fox (2009) [29] applied TPB in a cross-cultural study assessing university students’ entrepreneurial intentions. They revealed that attitudes and perceived behavioral control were significant predictors of intention.
In a 2022 study, Meeralam and Adeinat [30] investigated the impact of university support on the entrepreneurial intentions of female students in Saudi Arabia. Analyzing data from 740 students, the research highlights how university support significantly enhances students’ perceived behavioral control, thereby boosting their entrepreneurial intentions. This effect was consistent across both public and private universities. The study underscores the pivotal role of university environments in fostering entrepreneurship among women, aligned with Saudi Arabia’s Vision 2030 goals. Meeralam and Adeinat [30] recommend that educational policies and programs should prioritize encouraging female entrepreneurship to contribute to the country’s economic diversification and women’s empowerment [31].

2.2. Entrepreneurial Intention (EI)

Entrepreneurial intention (EI) encompasses proactiveness, risk-taking, and innovativeness [32], and is linked to entrepreneurial intentions and performance [33,34]. Proactiveness indicates an opportunity-seeking mindset [25], while risk-taking reflects the willingness to commit resources under uncertainty [26]. Innovativeness denotes openness to experimentation [35]. EI promotes a strategic posture for new ventures [36].
Alshebami and Seraj (2021) [35] revealed how saving behavior impacts Saudi students’ entrepreneurial goals, providing insights into factors affecting student entrepreneurship.
Elnadi and Gheith (2021) [36] demonstrated how the entrepreneurial ecosystem directly and indirectly influences Saudi students’ entrepreneurial intentions via self-efficacy, with gender differences existing. Fostering supportive ecosystems and self-efficacy is recommended.
Alshehami et al. (2021) [37] found innovativeness, an internal locus of control, and risk-taking associated with Saudi students’ entrepreneurial intentions, suggesting the need for broader scopes in future studies.

2.3. Relationship between TPB and EI

Al-Mamary et al. (2020) [24] integrated TPB and EI to predict students’ entrepreneurial intentions. Attitude and perceived control aspects, such as risk-taking, jointly affect intentions. However, subjective norms did not, highlighting cognitive and contextual drivers of entrepreneurial motivations.
Haque et al. (2022) [38] applied TPB and found no gender difference in predicting Saudi students’ entrepreneurial intentions. Females exhibited lower entrepreneurial attitudes but greater perceived control. Social norms did not impact intentions. Recent reforms may promote female entrepreneurship.
In summary, previous research on university students’ entrepreneurial intentions in Saudi Arabia predominantly employs the theory of planned behavior (TPB) and underscores the significance of self-efficacy. These studies emphasize the role of entrepreneurship in economic growth but differ in methodology, factors considered, and perspectives on the impact of subjective norms. Notable distinctions are observed in sample sizes, demographics, and gender-specific analyses. A research gap exists in the application of TPB and entrepreneurial intention (EI) models to comprehend the entrepreneurial aspirations of female students at Princess Nourah University within Saudi Arabia’s distinctive context. This gap assumes relevance given the socio-economic transformations occurring in the country. This study aims to investigate the specific drivers behind these students’ entrepreneurial ambitions, considering individual and sociocultural factors, and contributing to the development of strategies that align with the objectives of Saudi Vision 2030.

3. Methodology

This study employs a quantitative approach, integrating the theory of planned behavior (TPB) proposed by Ajzen (1991) [4]. The selection of TPB is justified as it is a well-established model in entrepreneurial studies, particularly effective in examining the intentions behind entrepreneurial activities. TPB’s relevance lies in its focus on three key constructs: attitude toward behavior (A), subjective norm (SN), and perceived behavioral control (PBC). These constructs are pivotal in understanding entrepreneurial intention (EI) among emerging entrepreneurs (Shanti and Soepatini, 2018) [39]. The TPB framework’s comprehensive coverage of these psychological aspects makes it particularly suitable for exploring entrepreneurial intentions among potential entrepreneurs, as validated by Agolla et al. (2019) [40].
In applying the TPB model, our study expands upon previous research by concentrating on a unique demographic—female students at Princess Nourah University, a significant yet underexplored group in entrepreneurial studies. The inclusion of gender-related entrepreneurial issues in the TPB-based questionnaire aligns with the standard TPB format, providing a nuanced understanding of the factors influencing female students’ entrepreneurial intentions. This methodological choice acknowledges the growing interest in women’s entrepreneurship, particularly in the context of Saudi Arabia’s Vision 2030.
The primary data collection tool was a TPB-based questionnaire, featuring 20 statements rated on a five-point Likert scale. These statements were meticulously designed to capture the three TPB constructs (attitude, subjective norm, and perceived behavioral control) and their influence on the entrepreneurial intentions of the respondents. The questionnaire’s alignment with the standard TPB format and inclusion of demographic data facilitated a comprehensive data collection strategy that integrates both primary and secondary data on entrepreneurship in Saudi Arabia.
Our research model posits attitude toward behavior (F1), subjective norm (F2), and perceived behavioral control (F3) as independent variables, with entrepreneurial intention (F4) as the dependent variable. The latent variables, inferred from respondents’ perceptions, are essential for a thorough understanding of entrepreneurial intentions. Operationalizing these variables through specific statements allows for a nuanced exploration of factors such as the determination to initiate a venture, the perception of entrepreneurship as a viable livelihood, and societal approval of entrepreneurial endeavors.
The research population consisted of female students from Princess Nourah University in Saudi Arabia, viewed as potential entrepreneurs. This sampling strategy, representing approximately 27% of the student population, aligns with previous studies exploring entrepreneurial intentions among university students. This emphasis on female students, potential future entrepreneurs, aligns with numerous studies conducted in Saudi Arabia, contributing to a broader comprehension of entrepreneurial intentions in this demographic. This approach is particularly relevant considering the national focus on female empowerment and economic participation under Vision 2030.
To ensure the validity of the scale if it is reused again to yield consistent results, the test was administered to a survey sample from the study population and outside of it, consisting of 20 students. Cronbach’s alpha [41] is a quantification of the internal consistency or reliability of a scale or test, measuring the degree of correlation between its items. It can calculate according to this formula:
k k 1 i j k coV x i x j Var x 0 = k k 1 1 j = 1 k CoV x i x j Var x 0
Let xj = tj + ej, where each ej is independent of tj and all the ej are independent of each other. Also, let x0 = j = 1 k x j and t0 = j = 1 k t j . Then the reliability of x0 ≥ α where α is Cronbach’s alpha. Here, we perceive the xj as the measured values, the tj as the true values, and the e j as the values.
Cronbach’s alpha is a reliable measure, typically ranging between 0 and 1, with higher values indicating greater internal consistency. An alpha of 0.7 (some argue 0.6) suggests acceptable reliability, while 0.8 or higher suggests good reliability. Extremely high values above 0.95 may indicate item redundancy, which is not ideal. It is important to consider specific factors as alpha values can vary, e.g., more items can inflate alpha without improving internal consistency.
The data were analyzed using different statistical methods. A student’s t-test was used to verify if the average score of the statements was 3, indicating a neutral response. The relationship among variables—attitude, subjective norm, perceived behavioral control, and entrepreneurial intention—was assessed using a structural equation model (SEM).
The observed variables in this study are assessed through the perceptions of the respondents. Each construct, namely, attitude, social norms, perceived behavioral control, and entrepreneurial intentions, is evaluated using four distinct statements. The model measures the direct impact of attitude, social norms, and perceived behavioral control on the inclination to become an entrepreneur through specific paths. Additionally, it considers the covariance among the three explanatory variables: attitude, social norms, perceived behavioral control, and entrepreneurial intention. The study tests three null hypotheses: (1) attitude toward entrepreneurship does not determine entrepreneurial intentions; (2) social norms do not determine entrepreneurial intentions; and (3) perceived behavioral control does not determine entrepreneurial intentions. Fit indices, such as the root mean square error of approximation (RMSEA) and comparative fit index (CFI), are utilized to assess the model’s performance. AMOS 20 software is employed for estimating the model.
Table 1 presents variances, a critical output derived from a structural equation modeling (SEM) analysis. These variances provide estimates for factors and error terms within the model. In the table’s ‘Estimate’ column, you can find variances for each factor (F1, F2, and F3), which are standardized to 1 in accordance with SEM conventions for scaling latent variables. Additionally, the table lists variances for error terms (e5 to e19), representing unexplained variances in the observed variables. The standard error column, ‘S.E.’, offers insights into the reliability of these estimates, while the critical ratio column, ‘C.R.’, indicates the ratio of the estimate to its error, used to assess the parameters’ significance. The ‘P’ column displays p-values, signifying statistical significance, typically at the 0.001 level. This table plays a crucial role in evaluating the model’s reliability and validity. It is worth noting that the variances of the factors are standardized, and the error terms exhibit varying but significant variances, underscoring the model’s statistical robustness and explanatory capacity.

4. Results

We have introduced a new section within the results chapter dedicated to providing a comprehensive overview of the key empirical findings. This expansion involves enhancing the clarity of Table 2’s descriptive statistics, delving deeper into the outcomes of the hypothesis tests and structural equation modeling within the narrative, emphasizing the significance of the results in relation to attitudes and perceived control, and elucidating the practical implications of the data analysis. Furthermore, we have incorporated additional subsections that succinctly summarize the principal empirical findings associated with each hypothesis and objective. To enhance the comprehensibility of the study’s insights, we have also improved the visual representation of statistical information using charts and path models.
Table 2 plays a pivotal role in evaluating the effectiveness of the questionnaire utilized in this study. It offers a comprehensive analysis that not only substantiates the questionnaire’s reliability and validity but also ensures the consistency and accuracy of the obtained results. Additionally, the table furnishes descriptive statistics, shedding light on overarching trends, patterns, and variations inherent in the collected dataset. This holistic presentation underscores not only the methodological rigor of the research but also establishes a robust foundation for confident result interpretation.
To bolster the reliability and validity of the questionnaire, rigorous measures were meticulously undertaken. Cronbach’s alpha test, a widely recognized assessment tool, was employed to gauge the internal consistency of statements derived from the theory of planned behavior (TPB). The outcomes of this evaluation reveal robust Cronbach’s alpha values for both part 1 (0.915) and part 2 (0.899), surpassing the conventional threshold of 0.7. These values signify a strong interrelationship among the items within each section of the questionnaire, indicative of substantial internal consistency. The overall Cronbach’s alpha for the entire questionnaire stands at an impressive 0.946, underscoring its high reliability. This result implies that the questionnaire items collectively constitute a dependable and consistent scale. The study’s thorough reliability assessment provides compelling evidence for the questionnaire’s trustworthiness. Furthermore, support for reliability is reinforced by the Spearman–Brown coefficient, computed at 0.858, and the Guttman split-half coefficient, registering at 0.835. These metrics affirm the tool’s reliability, affirming robust consistency across both halves of the questionnaire [42].
Table 3 provides a systematic summary of the study’s findings, outlining the demographic and academic profiles of the participants. Notably, 95% of the respondents identify as Saudi Arabian nationals, underscoring the localized nature of the survey. In terms of their educational background, a substantial majority, approximately 93.58%, are pursuing undergraduate studies, indicating that the sample predominantly comprises young individuals enrolled in universities. When exploring their academic preferences, the data unveil a diverse landscape: 60% are pursuing fields categorized as ‘other specializations’, which encompass a wide range of unspecified disciplines. Humanities attract 30% of the participants, indicating a pronounced inclination towards arts, languages, and social sciences. Meanwhile, scientific studies and applied sciences, representing more specialized or technical domains, account for 6% and 2%, respectively. Shifting the focus to their professional lives, 49% are employed in the governmental sector, reflecting the prominence of public sector jobs in the region. This is followed by a miscellaneous group categorized as ‘others’ at 31%, self-starting entrepreneurs at 10%, and individuals venturing into the private sector at 9%. These insights, shedding light on the educational and professional choices of the sample, are examined in-depth in subsequent sections.
The study explores gender-specific perspectives within the entrepreneurial culture in Saudi Arabia. A significant 80% of respondents, comprising 48% strongly agreeing and 33% agreeing, express the belief that the current business environment is more favorable for entrepreneurs compared to the past. This highlights notable transformations within the Kingdom to support entrepreneurship. Approximately 70%, with 43% strongly agreeing and 27% agreeing, affirm that women have equal opportunities as men when initiating new businesses. Furthermore, 62%, consisting of 34% strongly agreeing and 28% agreeing, believe that entrepreneurship does not pose gender-specific challenges. In addition, a substantial 83%, comprising 46% strongly agreeing and 37% agreeing, endorse the idea that the current climate is supportive of enterprises led by women entrepreneurs. This reflects an overall favorable perspective among female participants regarding the entrepreneurial landscape and opportunities for women entrepreneurs in the Kingdom.
The study involved 218 participants from various academic backgrounds across the university’s colleges. The largest group came from the Colleges of Humanities, with 67 students, representing 30.73% of the total. The Colleges of Sciences had 15 participants, accounting for 6.88%. Meanwhile, the Applied Colleges had a smaller representation, consisting of only 5 students, which made up 2.29% of the sample. The remaining 131 participants, amounting to 60.9%, represented a variety of other colleges.
The gender difference data presented in Figure 1 have been transformed from raw frequencies into percentages to enhance clarity. For instance, the previous categories of 48 agreeing and 33 strongly agreeing have been converted to 60% agreeing and 40% strongly agreeing. This percentage representation facilitates easier interpretation and comparison. Additionally, relevant figure-related text has been updated to report statistics as percentages rather than raw numbers.
Table 4 presents an analysis based on the theory of planned behavior (TPB), providing the mean, mode, and standard deviation for each of the 16 statements. Notably, nine statements exhibit a mode of 5, indicating strong agreement. In contrast, four statements demonstrate general agreement, while only three items show a mode of 3, suggesting neutrality. Significantly, none of the statements received a mode of 1 (strongly disagree) or 2 (disagree). The questionnaire’s reliability is supported by Cronbach’s alpha exceeding 0.87 for each statement, even when items are omitted. Additionally, all statements were tested against the null hypothesis, which assumed that responses would tend towards neutrality. The t-statistics, all surpassing 2, suggest that respondents did not hold a neutral perspective on any of the statements.
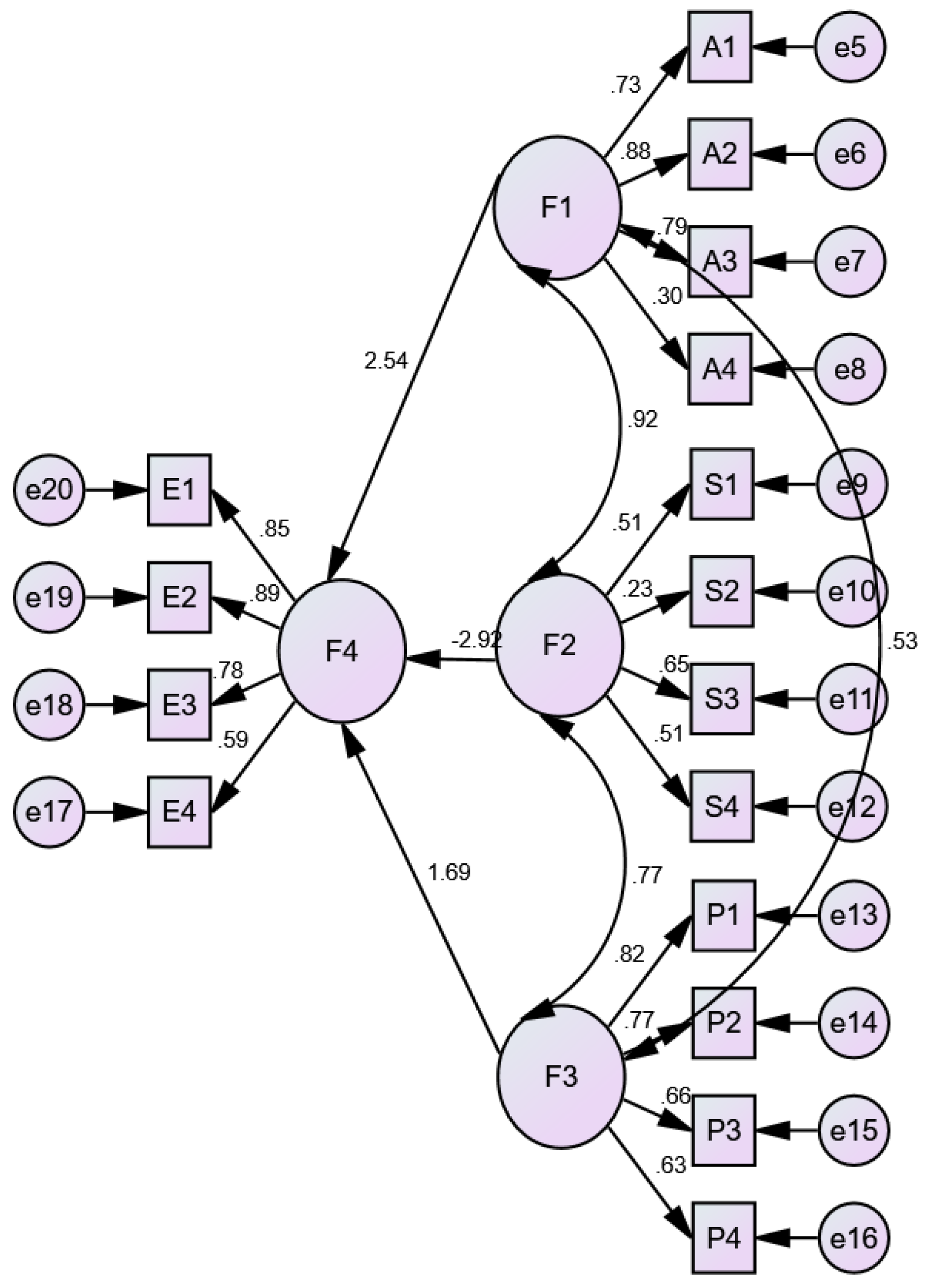
The structural equation model is illustrated in the path diagram (Figure 2) and elaborated in Table A2. The coefficient for attitude, which stands at 2.54 (p = 0.017), plays a pivotal role in comprehending the relationship between individual attitudes and entrepreneurial intentions. A positive coefficient implies more favorable attitudes towards entrepreneurship, corresponding to an increase in entrepreneurial intentions. Individuals with a more positive attitude are likely to exhibit stronger entrepreneurial intentions. Given that the p-value is less than 0.05, we reject the null hypothesis suggesting that attitude does not significantly impact entrepreneurial intentions and accept the alternative hypothesis.
Conversely, the coefficient for social norms is −2.92 (p = 0.045), signifying a significant inverse relationship between prevailing social norms and entrepreneurial intentions. This suggests that non-supportive societal norms may deter individuals from pursuing entrepreneurial ventures, emphasizing the profound impact of societal perceptions on entrepreneurial aspirations. Since the p-value is less than 0.05, we reject the null hypothesis proposing that social norms do not significantly impact entrepreneurial intentions and accept the alternative hypothesis.
Our focused analysis on societal norms impeding women’s entrepreneurial aspirations, despite a positive business environment, is detailed in the Discussion section. This examination, supported by work in the literature such as Haque et al. (2022) [38] and Alzamel et al. (2022) [43], explores the nuances of these norms and their direct impact on female students at Princess Nourah University. It clarifies the complex relationship between societal attitudes and female entrepreneurship in Saudi Arabia, enhancing the depth of our study.
Lastly, the coefficient for perceived behavioral control, at 1.69 (p = 0.006), provides insights into how an individual’s perceived control over their behavior influences entrepreneurial intentions. A positive coefficient suggests that individuals who believe they possess the necessary skills, knowledge, and resources for entrepreneurship are more likely to engage in such ventures. This underscores the importance of self-efficacy in entrepreneurial success. As the p-value is less than 0.05, we reject the null hypothesis that perceived behavioral control does not significantly impact entrepreneurial intentions and accept the alternative hypothesis.
The covariances between the three explanatory constructs are detailed in Figure 2 and Table A4. The coefficient of covariance between attitude and social norms is 0.92; between social norms and perceived behavioral control is 0.82; and between attitude and perceived behavioral control is 0.53. These covariances, significant at the 1% level, indicate a systematic and positive relationship among the constructs of attitude social norms, and perceived behavioral control.
In terms of percentage, a one-standard deviation changes in statement A1, A2, A3, and A4 is associated with 73%, 88%, 79%, and 30% change in attitude towards entrepreneurship, respectively. Similarly, a one-standard deviation changes in statement S1, S2, S3, and S4 is associated with 51%, 23%, 65%, and 51% changes in social norms, respectively. Also, a one-standard deviation changes in statement P1, P2, P3, and P4 is associated with 82%, 77%, 66%, and 63% changes in perceived behavioral control, respectively. Lastly, a one-standard deviation changes in statement E1, E2, E3, and E4 is associated with 85%, 89%, 78%, and 59% changes in entrepreneurial intentions, respectively.
The model-fit summary statistics are provided in Table A5. The absolute fit index, represented as CMIN/Df, yields a value of 2.644, indicating a strong congruency between the theoretical model and the sample data (Alsubaie and Jones, 2017) [16]. A value below 5 is considered favorable, suggesting that the model accurately represents the observed data. The root mean square error of approximation (RMSEA) stands at 0.08, which falls below the acceptable threshold (Ali et al., 2019) [44]. RMSEA measures the discrepancy between the observed covariance matrix and the model’s predicted covariance matrix. A value of 0.08 or lower signifies a reasonable fit of the model to the data, further validating the model’s integrity.
The comparative fit index (CFI) and incremental fit index (IFI) are 0.899 and 0.90, respectively (Naushad, 2018) [45]. These values, approaching 1, indicate a strong fit between the model and the data. CFI and IFI values near 1 suggest that the model offers a highly accurate representation of the observed data. Additionally, the parsimonious comparative fit index (PCFI) and parsimonious normed fit index (PNFI) have values of 0.74 and 0.7, respectively (Rauch & Hulsink, 2015) [10]. Values above 0.50 are considered acceptable, indicating a satisfactory model fit, even with a simpler structure (Moriano et al., 2011) [11].
In the concluding section of the questionnaire, the results reveal significant insights into the university’s relationship with entrepreneurship. Notably, 34% of the university’s scholars reported no engagement in entrepreneurship coursework (Yurtkoru et al., 2014) [28]. This indicates a segment of students lacking exposure to entrepreneurial education, which could potentially influence their entrepreneurial intentions and aspirations. Furthermore, 62% of the students disclosed that their institution had not offered any entrepreneurship-related seminars, workshops, or training in the past year (Yurtkoru et al., 2014) [28]. This absence of entrepreneurship-focused events may restrict students’ access to essential entrepreneurial resources and networking opportunities, thereby diminishing their interest and motivation in entrepreneurial pursuits.
Alarmingly, 62% of respondents indicated that their university lacked training units or incubator facilities (Yurtkoru et al., 2014) [28], a shortfall that could deprive aspiring entrepreneurs of practical experience and mentoring. Additionally, 57% of participants reported receiving no support or guidance on entrepreneurship from their university (Yurtkoru et al., 2014) [28], a factor that could leave students feeling unsupported in their entrepreneurial endeavors and affect their pursuit of entrepreneurship. (Table 5).
Over half of the respondents, at 52%, expressed dissatisfaction with the absence of entrepreneurship courses in their curriculum (Yurtkoru et al., 2014) [28], pointing to a potential gap in the university’s offerings. Students are seeking more comprehensive educational programs to equip them with the skills and knowledge necessary for entrepreneurial ventures. The same percentage, 52%, also voiced dissatisfaction with the lack of university-supported entrepreneurship initiatives (Yurtkoru et al., 2014) [28], suggesting a need for more programs that promote and encourage entrepreneurship within the university setting.
The findings indicate that a significant portion of respondents perceive a positive business environment in Saudi Arabia, free from gender bias against female-led enterprises. They recognize equal business opportunities for both genders and a supportive environment for women’s entrepreneurial endeavors. However, societal norms still negatively impact the entrepreneurial aspirations of female university students. A more profound understanding of the theory of planned behavior reveals that attitudes and perceived behavioral control among female students favor entrepreneurial inclinations. Encouragement from friends, family, and academic faculty plays a vital role in fostering entrepreneurship among women, and society’s acceptance of entrepreneurship as a viable career path should be encouraged.
The study reveals an optimistic trend towards entrepreneurship, with 64% of respondents expressing interest in pursuing entrepreneurship in the future. A small percentage (3.21%) categorically rejected entrepreneurship as a career option, while 32% remained uncertain. This uncertainty presents an opportunity for mentorship programs to nurture future entrepreneurs. Notably, none of the 16 statements derived from the theory of planned behavior scale were categorically rejected. A few statements encountered some disagreement, highlighting areas for potential intervention. The study advocates promoting the benefits of entrepreneurship, providing university-level mentorship, and fostering an entrepreneurial mindset over traditional employment paths.
In our study, we identified that a significant portion, 32%, of the respondents remained undecided about pursuing entrepreneurship. To gain deeper insights into the perspectives of this group, we conduct a more in-depth analysis of this data segment. This detailed examination delves into the factors contributing to their uncertainty and the potential barriers they perceive within the entrepreneurial landscape. Our objective is to gain a better understanding of the hesitations and challenges faced by these individuals, which could, in turn, inform targeted interventions and support mechanisms.
The study’s findings reveal a strong inclination towards entrepreneurship, with over 64% of respondents expressing a desire to pursue entrepreneurial ventures in the future. Only 3.2% unequivocally rejected entrepreneurship as a viable career path, while 32% remained undecided, presenting a significant opportunity for mentorship and guidance in the field of entrepreneurship. The study also sheds light on statements that received neutral or negative scores, signaling areas in need of targeted interventions. Interestingly, none of the 16 statements derived from the theory of planned behavior scale were outright rejected. However, three statements had a mode of three, suggesting that these areas warrant additional focus. Therefore, the study recommends emphasizing the benefits of entrepreneurship and establishing mentoring and support programs at universities to nurture aspiring entrepreneurs.
Furthermore, this study underscores the pivotal role of university ecosystems in cultivating entrepreneurial intentions among students. The primary recommendations include universities introducing entrepreneurship courses, offering a broad array of seminars, workshops, and training programs related to entrepreneurship, and establishing dedicated training units or incubators. These measures will not only facilitate the development of an interest in entrepreneurship among female students but also empower them to become successful entrepreneurs in the future.
This study aims to assess the potential of the entrepreneurial ecosystem in fostering entrepreneurial intentions among students. Key recommendations emerging from this research include the introduction of entrepreneurship courses in university curricula, the expansion of seminars, workshops, and training sessions focused on entrepreneurship, and the establishment of university-based training units or incubators. These initiatives have the potential to cultivate entrepreneurial interest among female students, thereby nurturing them into future entrepreneurs.
Respondents in the study view Saudi Arabia’s business environment optimistically, with no significant gender bias observed against female-led businesses. They affirm the existence of equal opportunities for both genders and consider the environment conducive to female-led entrepreneurial initiatives. However, societal norms still exert a negative influence on the entrepreneurial aspirations of female university students. Within the framework of the theory of planned behavior, it is evident that the attitudes and perceived behavioral control of female university students are favorable towards entrepreneurial ambitions. Therefore, it is essential to instill societal acceptance of entrepreneurship, with crucial support from friends, families, and faculty members.
The study’s findings reveal a strong inclination towards entrepreneurship, with over 64% of respondents expressing a desire to pursue entrepreneurial ventures in the future. Only 3.2% firmly rejected entrepreneurship as a career path, while 32% remained undecided, presenting a significant opportunity for mentorship and guidance in the field of entrepreneurship. The study identifies statements that received neutral or negative scores, signaling areas requiring intervention. Interestingly, none of the 16 statements derived from the theory of planned behavior scale were entirely rejected. However, three statements had a mode of three, suggesting that these areas require additional focus. Therefore, the study recommends emphasizing the benefits of entrepreneurship and providing mentoring and support programs at universities for aspiring entrepreneurs.
The results of testing the research hypothesis:
The study’s results pertaining to the testing of three research hypotheses are as follows:
Hypothesis 1 (H1).
Attitude towards entrepreneurship positively determines entrepreneurial intentions.
The research has identified a significant positive impact of individual attitudes on entrepreneurial intentions. Specifically, the study rejected the null hypothesis, demonstrating that a favorable attitude towards entrepreneurship indeed enhances the likelihood of an individual’s intention to engage in entrepreneurial activities. This finding is crucial as it implies that fostering positive attitudes towards entrepreneurship could be a key factor in encouraging entrepreneurial pursuits among potential entrepreneurs.
Hypothesis 2 (H2).
Social norms positively impact entrepreneurial intentions.
The study reveals an inverse relationship between social norms and entrepreneurial intentions, as evidenced by a negative coefficient (−2.92) with a significance level of p = 0.045. This result indicates that unsupportive or negative social norms can act as a significant barrier to entrepreneurial intentions. The rejection of the null hypothesis in this case underscores the strong influence societal expectations and norms have in either fostering or hindering entrepreneurial aspirations. This outcome highlights the necessity of a supportive social environment to cultivate and sustain entrepreneurial intentions.
Hypothesis 3 (H3).
Perceived behavioral control positively affects entrepreneurial intentions.
The study found that perceived behavioral control significantly positively affects entrepreneurial intentions, confirming the alternate hypothesis. This was evidenced by a positive coefficient, indicating that individuals who feel confident about their skills, knowledge, and resources in entrepreneurship are more likely to consider entrepreneurial endeavors. The rejection of the null hypothesis in this instance highlights the importance of behavioral control in the entrepreneurial process. It suggests that enhancing individuals’ belief in their entrepreneurial capabilities can play a crucial role in boosting their intentions to initiate and sustain entrepreneurial activities.
The detailed findings derived from this study provide a nuanced understanding of the intricate factors influencing entrepreneurial intentions. The results underscore the significance of individual attitudes, societal norms, and perceived control in shaping the entrepreneurial mindset. These insights can guide the development of more effective strategies and policies aimed at fostering entrepreneurship.
We wish to draw attention to the addition of a new subsection that offers a clear overview of the hypothesis-testing process and its outcomes. Within this subsection, we present three hypotheses and rigorously analyze whether they were supported or rejected through statistical analysis. Furthermore, we thoroughly examine the significance of each hypothesis and compare them to the relevant literature in the field. We also highlight any disparities or agreements with previous studies to establish a meaningful connection with existing research.

5. Discussion

The findings indicate a positive shift in Saudi Arabia’s business environment, consistent with observations by Nieva et al. (2015) [12]. Equal opportunities for both genders are noted, echoing the findings of Santos et al. (2016) [46]. These observations support the notion that the environment is favorable for women’s entrepreneurial ventures, as reported by Abou-Moghli and Al-Abdallah (2019) [47]. However, the study identifies the negative impact of social norms on the entrepreneurial intentions of female university students as a critical factor. Similar results have been reported in the Saudi Arabian context by Al-Mamary et al. (2020) [24] and Haque et al. (2022) [38]. By using the theory of planned behavior, it is evident that female students demonstrate positive attitudes and a sense of perceived behavioral control concerning entrepreneurship.
In line with Haque et al. (2022) [38], the study observes a growing trend in entrepreneurship among female students, with 64% aspiring to be entrepreneurs. The low rejection rate of 3.21% for entrepreneurship as a career path aligns with the findings of Mohamad and Hussain (2021) [48] and is further supported by Alzamel et al. (2022) [43], who emphasize factors influencing such intentions. Additionally, 32% of respondents were undecided about entrepreneurship, indicating a potential area for mentorship and support, as suggested by Abderrahim et al. (2022) [49].
The study also underscores the role of the entrepreneurial ecosystem in fostering entrepreneurial intentions. The recommendations for introducing entrepreneurship courses and establishing incubators align with Alzamel et al. (2022) [43]. These findings contribute to the broader narrative of fostering a culture that supports and encourages female entrepreneurial intentions.
In the Saudi Arabian context, this study confirms a positive shift in business perceptions and equal gender opportunities, supported by Nieva et al. (2015), Santos et al. (2016), and Abou-Moghli and Al-Abdallah (2019) [12,46,47]. The application of the theory of planned behavior highlights favorable attitudes and control perceptions towards entrepreneurship. The importance of support networks and academic faculty in promoting female entrepreneurship is emphasized, aligning with the recommendations of Mohamad and Hussain (2021), Haque et al. (2022) [38,48], and Abderrahim et al. (2022) [49].
The findings suggest a positive shift in Saudi Arabia’s business environment, aligned with observations by Nieva et al. (2015) [12]. The perceived equal opportunities for both genders resonate with the findings of Santos et al. (2016) [46], supporting the notion that the environment is conducive to women’s entrepreneurial ventures, as reported by Abou-Moghli and Al-Abdallah (2019) [47]. However, a critical factor is the negative impact of social norms on the entrepreneurial intentions of female university students. Applying the theory of planned behavior, the study reveals that female students demonstrate favorable attitudes and perceived behavioral control towards entrepreneurship, underscoring the importance of support from personal networks like friends, families, and faculties.
In the results section, we have linked the study’s focus on female entrepreneurial intentions with Saudi Arabia’s Vision 2030 plan. Specifically, we have identified specific Vision 2030 programs related to promoting women’s economic participation, including reforms that have enabled women to work in the retail or hospitality sectors and have provided support for SMEs. Furthermore, we have analyzed how the study’s findings could inform future policies and strategies under Vision 2030 aimed at further encouraging female entrepreneurship.

6. Conclusions

This research highlights the positive sentiment toward entrepreneurship among female university students in Saudi Arabia. The study unveils a favorable business environment that promotes equal opportunities for both genders and provides a supportive atmosphere for female-led entrepreneurial ventures. Despite these encouraging factors, societal norms still pose a challenge to the entrepreneurial aspirations of female students. Utilizing the theory of planned behavior, the study reveals that attitudes and perceived behavioral control strongly favor entrepreneurial inclinations among female students. To further foster entrepreneurship, it is crucial to cultivate acceptance and support from friends, families, and academic faculty.
The study identifies a significant proportion of students interested in entrepreneurship, with a minority dismissing it as a career path. The undecided group presents opportunities for mentorship and guidance. None of the statements from the theory of planned behavior were entirely rejected, indicating potential areas for intervention. The research underscores the pivotal role of the university ecosystem in nurturing entrepreneurial intentions and suggests the introduction of entrepreneurship courses, events, and incubators. By implementing this, universities can empower female students to embark on successful entrepreneurial journeys.
In our manuscript, the exploration of the entrepreneurial environment at Princess Nourah University in Saudi Arabia was intricately linked with the broader theme of sustainability, as derived from the research conducted by Meeralam and Adeinat (2022) [30]. This focus underscores the pivotal role of universities in nurturing female entrepreneurship, which is not only critical for Saudi Arabia’s economic diversification but also essential for sustainable development. We emphasized how empowering female students through entrepreneurial education contributes to economic sustainability, fostering a diverse and resilient economy in alignment with Saudi Arabia’s Vision 2030. Additionally, by addressing gender disparities and promoting women’s active participation in the business sector, the study highlighted the social dimension of sustainability, advancing gender equality and social inclusion. The evolving educational practices and policies in Saudi Arabia, which now increasingly support entrepreneurial initiatives, were also discussed as a key aspect of educational sustainability, ensuring that the country’s educational institutions remain adaptive and relevant to the changing economic landscape. This comprehensive approach to fostering an entrepreneurial environment among female university students in Saudi Arabia closely aligns with the multifaceted goals of sustainability, integrating economic, social, and educational aspects.
This paper adds significant value through its comprehensive analysis of female entrepreneurship in the context of Saudi Arabia, particularly in alignment with Vision 2030. It conducts a detailed examination of entrepreneurial intentions among female students at Princess Nourah University, utilizing the Theory of Planned Behavior. The study highlights a strong inclination towards entrepreneurship, with 64% of surveyed students expressing interest, indicating a substantial potential for future female entrepreneurs in the region. This research plays a pivotal role in identifying cultural and societal barriers that hinder female entrepreneurship, offering valuable insights for educational institutions and policymakers alike. It aligns perfectly with Saudi Arabia’s Vision 2030, emphasizing the imperative need for initiatives that promote economic diversification and empower women. In summary, this study significantly contributes to our understanding of the factors influencing female entrepreneurship in Saudi Arabia and underscores the critical importance of fostering an enabling environment that encourages and supports women’s entrepreneurial endeavors. Through collaborative efforts involving universities, society, and policymakers, Saudi Arabia can nurture a thriving ecosystem for female entrepreneurship, thereby driving economic growth and fostering innovation in the country.

7. Policy Recommendations

Princess Noura bint Abdulrahman University (PNU), in alignment with Saudi Arabia’s Vision 2030, can play a vital role in equipping female students with essential entrepreneurial skills, and addressing gender disparities in the entrepreneurial sector. Understanding the entrepreneurial ambitions of PNU students is crucial for creating effective educational strategies and support systems. Aligning academic programs with these aspirations and the goals of Vision 2030, which aims for economic diversification and innovation, is pivotal for PNU’s contribution to national reforms. This synergy between student intentions and university initiatives ensures a cohesive approach toward achieving Vision 2030 objectives.
For students in humanities and social sciences, entrepreneurship training should encompass finance, accounting, business planning, and strategic management to broaden their entrepreneurial skillset.
Collectively, these initiatives aim to empower female university students in Saudi Arabia, positioning entrepreneurship as a viable and fulfilling career choice. This, in turn, contributes to the nation’s economic growth and innovation.
Regarding the study’s findings, several policy suggestions emerge for nurturing entrepreneurship among Saudi Arabia’s female university students. Primarily, incorporating entrepreneurship education into university curricula is fundamental. Introducing entrepreneurship-focused courses will foster an entrepreneurial mindset and impart practical business knowledge and skills.
Establishing university-based incubators is also critical to provide student entrepreneurs with practical experience, mentorship, and access to essential resources, aiding in converting innovative ideas into successful businesses.
Promoting a university culture that supports entrepreneurship is essential. Encouraging faculty and advisors to mentor students in their entrepreneurial endeavors will greatly bolster their confidence and skills.
Finally, developing comprehensive mentorship programs is key. Involving accomplished entrepreneurs and professionals as mentors provides students with crucial support and motivation, helping them confidently navigate the entrepreneurial landscape.

8. Study Implications

This study underscores the importance of nurturing an entrepreneurial ecosystem within universities, specifically focusing on female students in Saudi Arabia. The findings indicate that, although most respondents view the Saudi business environment as favorable and gender-neutral, existing societal norms exert a negative influence on the entrepreneurial aspirations of female students. Within the framework of the theory of planned behavior, it becomes evident that positive attitudes and perceived behavioral control are conducive to entrepreneurial ambitions. Nonetheless, a noticeable deficiency exists in terms of exposure to and support for entrepreneurial activities at the university level. To address this, the study advocates for the introduction of specialized entrepreneurship courses, enhanced mentorship programs, regular entrepreneurship-focused seminars and workshops, and the establishment of university-based incubators. Implementing these initiatives is indispensable for fostering entrepreneurial intentions and cultivar the next generation of female entrepreneurs in the region.
The theoretical and practical significance of this study lies in its application and validation of the theory of planned behavior (TPB) in the context of female entrepreneurship in Saudi Arabia. This research explores the impact of attitudes, subjective norms, and perceived behavioral control on entrepreneurial intentions among female university students, thereby enhancing the existing entrepreneurial theory literature. Importantly, it illuminates the intricate role of societal norms and personal beliefs in shaping entrepreneurial aspirations within a rapidly evolving socio-economic landscape. Additionally, this study advances our comprehension of the influence of university environments on nurturing entrepreneurship, providing valuable insights for both academic research and policy development. By identifying gaps in support and exposure to entrepreneurial activities at universities, the study underscores the pivotal role that educational institutions can play in empowering future female entrepreneurs.

9. Limitations of the Study and Future Directions

This paper acknowledges several limitations that require consideration. Firstly, the cross-sectional nature of the study restricts its ability to establish causal relationships and assess long-term impacts, emphasizing the need for future longitudinal studies. Additionally, the examination of cultural barriers and external factors influencing entrepreneurial intentions was not exhaustive, indicating a necessity for more comprehensive future research in this domain. The absence of a comparative analysis with male students’ entrepreneurial intentions also suggests an avenue for future studies to explore potential gender-related disparities in entrepreneurial objectives. Looking forward, it is advisable for future research to employ longitudinal methods to better establish causal connections over time, utilize mixed method approaches to gain a more comprehensive understanding of attitudes, and delve deeper into the role of cultural factors in shaping entrepreneurial intentions. These advancements will provide a more profound and nuanced insight into this critical field.
The study has notable limitations, particularly concerning the representativeness of the sample. It does not fully encompass the diversity of sectors and regions within Saudi Arabia, potentially affecting the generalizability of the findings. Additionally, there is a possibility of social desirability bias in respondents’ perceptions that could influence the results. Future research should prioritize diversifying the sample to include a broader range of sectors and regions. Furthermore, it is essential to explore how these limitations and biases might impact the interpretation of results to ensure a more comprehensive understanding of the topic.

Author Contributions

Conceptualization, T.T.Y.A. and D.H.I.M.; Methodology, K.A.A., M.I.H., T.T.Y.A., D.H.I.M. and M.E.; Software, T.T.Y.A., D.H.I.M., M.E. and A.H.A.; Validation, K.A.A., M.I.H., T.T.Y.A. and M.E.; Formal analysis, M.I.H., T.T.Y.A. and M.E.; Investigation, N.A.A.E., K.A.A. and M.E.; Resources, D.H.I.M. and A.H.A.; Data curation, D.H.I.M. and A.H.A.; Writing—original draft, M.I.H., T.T.Y.A. and A.H.A.; Writing—review & editing, K.A.A., M.I.H. and T.T.Y.A.; Visualization, N.A.A.E.; Supervision, N.A.A.E.; Project administration, N.A.A.E.; Funding acquisition, N.A.A.E. All authors have read and agreed to the published version of the manuscript.

Funding

This work was supported by Princess Nourah bint Abdulrahman University Project number (PNURSP2023R380), Princess Nourah bint Abdulrahman University, Riyadh, Saudi Arabia.

Institutional Review Board Statement

We do not have any patients involved in this study. Prior consent was obtained from the female students contacted, and a paragraph in the questionnaire, our primary data collection tool, implicitly indicates their consent to participate. We have assured the students of the confidentiality of their data, which will be used solely for scientific research purposes. The collected raw data are securely stored and accessible only to the research team. For your reference, we previously submitted all relevant materials, including the Blank Informed Consent Form and documentation from our local institutional review board (IRB).

Informed Consent Statement

We have got that the Institutional Review Board Statement and approval No. 23-0559 dated 24 July 2023 at Princess Nourah Bin Abdulrahman University, Saudi Arabia. The study was conducted in accordance with the Declaration of Helsinki, and approved by the Institutional Review Board.

Data Availability Statement

The data supporting this study are available in the manuscript.

Acknowledgments

Princess Nourah bint Abdulrahman University Researchers Supporting Project Number (PNURSP2023R380), Princess Nourah bint Abdulrahman University, Riyadh, Saudi Arabia.

Conflicts of Interest

The authors declare that the research was conducted in the absence of any commercial or financial relationships that could be construed as a potential conflict of interest. The funders had no role in the study design, data collection, analysis, the decision to publish, or the preparation of the manuscript.

Appendix A

Table A1. Regression weights: group number 1—default model.
Table A1. Regression weights: group number 1—default model.
EstimateS.E.C.R.P
F4<---F13.1331.3162.3800.017
F4<---F2−5.0452.519−2.0030.045
F4<---F31.6610.6022.7570.006
A1<---F11.000
A2<---F11.2380.10212.183***
A3<---F11.1000.09811.190***
A4<---F10.4540.1104.127***
S1<---F21.000
S2<---F20.6290.2043.0880.002
S3<---F21.6080.2396.731***
S4<---F20.9220.1595.789***
P1<---F31.000
P2<---F31.1490.09711.802***
P3<---F31.1210.1139.937***
P4<---F30.8060.0859.438***
E4<---F41.000
E3<---F41.0370.1178.897***
E2<---F41.3060.1379.567***
E1<---F41.2680.1369.355***
*** p ≤ 0.001.
Table A2. Standardized regression weights: group number 1—default model.
Table A2. Standardized regression weights: group number 1—default model.
Estimate
F4<---F12.540
F4<---F2−2.920
F4<---F31.693
A1<---F10.729
A2<---F10.880
A3<---F10.795
A4<---F10.296
S1<---F20.510
S2<---F20.233
S3<---F20.651
S4<---F20.509
P1<---F30.824
P2<---F30.768
P3<---F30.663
P4<---F30.634
E4<---F40.595
E3<---F40.783
E2<---F40.886
E1<---F40.850
Table A3. Covariances: group number 1—default model.
Table A3. Covariances: group number 1—default model.
EstimateS.E.C.R.P
F1<-->F20.2210.0385.747***
F3<-->F20.2320.0425.509***
F3<-->F10.2210.0405.474***
*** p ≤ 0.001.
Table A4. Correlations: group number 1—default model.
Table A4. Correlations: group number 1—default model.
Estimate
F1<-->F20.925
F3<-->F20.774
F3<-->F10.527
Table A5. Model fit summary.
Table A5. Model fit summary.
CMIN
Default model53261.773990.0002.644
Saturated model1520.0000
Independence model321732.3101200.00014.436
Default model53261.773990.0002.644
Baseline Comparisons
ModelNFIRFIIFITLICFI
Delta1rho1Delta2rho2
Default model0.8490.8170.9000.8780.899
Saturated model1.000 1.000 1.000
Independence model0.0000.0000.0000.0000.000
FMIN
ModelFMINF0LO 90HI 90
Default model1.2060.7500.5470.989
Saturated model0.0000.0000.0000.000
Independence model7.9837.4306.8278.067
RMSEA
ModelRMSEALO 90HI 90PCLOSE
Default model0.0870.0740.1000.000
Independence model0.2490.2390.2590.000
ECVI
ModelECVILO 90HI 90MECVI
Default model1.6951.4911.9341.736
Saturated model1.4011.4011.4011.520
Independence model8.2787.6758.9158.303
Parsimony-Adjusted Measures
ModelPRATIOPNFIPCFI
Default model0.8250.7000.742
Saturated model0.0000.0000.000
Independence model1.0000.0000.000
NCP
ModelNCPLO 90HI 90
Default model162.773118.629214.588
Saturated model0.0000.0000.000
Independence model1612.3101481.4361750.581
AIC
ModelAICBCC
Default model367.773376.783
Saturated model304.000329.840
Independence model1796.3101801.750
ModelHOELTER
0.05
HOELTER
0.01
Default model103112
Independence model1920

References

  1. Alshrari, A.D.; Omer, W.K.H.; Aljaaidi, K.S. Saudi Arabian 2030 Vision and Entrepreneurial Intention among University Students. AD Minist. 2021, 38, 43–62. [Google Scholar] [CrossRef]
  2. Al-Hanawi, M.K.; Khan, S.A.; Al-Borie, H.M. Healthcare human resource development in Saudi Arabia: Emerging challenges and opportunities—A critical review. Public Health Rev. 2019, 40, 1–16. [Google Scholar] [CrossRef] [PubMed]
  3. Alshebami, A.S.; Al Marri, S.H. The Impact of Financial Literacy on Entrepreneurial Intention: The Mediating Role of Saving Behavior. Front. Psychol. 2022, 13, 911605. [Google Scholar] [CrossRef] [PubMed]
  4. Ajzen, I. The theory of planned behavior. Organ. Behav. Hum. Decis. Process. 1991, 50, 179–211. [Google Scholar] [CrossRef]
  5. Kautonen, T.; van Gelderen, M.; Fink, M. Robustness of the theory of planned behavior in predicting entrepreneurial intentions and actions. Entrep. Theory Pract. 2015, 39, 1027–1050. [Google Scholar] [CrossRef]
  6. Ibrahim, N.A.; Lucky, E.O.I. Relationship between entrepreneurial orientation, entrepreneurial skills, environmental factor and entrepreneurial intention among Nigerian students in UUM. Entrep. Innov. Manag. J. 2014, 2, 203–213. [Google Scholar]
  7. Karimi, S.; Biemans, H.J.; Lans, T.; Chizari, M.; Mulder, M.; Mahdei, K.N. Understanding role models and gender influences on entrepreneurial intentions among college students. Procedia Soc. Behav. Sci. 2013, 93, 243–246. [Google Scholar] [CrossRef]
  8. Karimi, S.; Biemans, H.J.; Mahdei, K.N.; Lans, T.; Chizari, M.; Mulder, M. Testing the relationship between personality characteristics, contextual factors and entrepreneurial intentions in a developing country. Int. J. Psychol. 2017, 52, 227–240. [Google Scholar] [CrossRef]
  9. Krueger, N.F., Jr.; Reilly, M.D.; Carsrud, A.L. Competing models of entrepreneurial intentions. J. Bus. Ventur. 2000, 15, 411–432. [Google Scholar] [CrossRef]
  10. Rauch, A.; Hulsink, W. Putting entrepreneurship education where the intention to act lies: An investigation into the impact of entrepreneurship education on entrepreneurial behavior. Acad. Manag. Learn. Educ. 2015, 14, 187–204. [Google Scholar] [CrossRef]
  11. Moriano, J.A.; Gorgievski, M.; Laguna, M.; Stephan, U.; Zarafshani, K. A cross-cultural approach to understanding entrepreneurial intention. J. Career Dev. 2012, 39, 162–185. [Google Scholar] [CrossRef]
  12. Nieva, F.O.; Alzubi, H.S.; Alshathri, M.S.; Al-Deehani, T.S.; Alrashidi, S.I.; Alruwaili, A.A.; Alshalhoub, A.S. Social women’s entrepreneurship in the Kingdom of Saudi Arabia. J. Glob. Entrep. Res. 2015, 5, 11. [Google Scholar] [CrossRef]
  13. Jeet, V. Entrepreneurial intention of Saudi students: Role of Saudi Arabian universities in achieving The Goal of Vision 2030. J. Entrep. Innov. Emerg. Econ. 2023, 10, 171–183. Available online: https://jssidoi.org/jesi/uploads/articles/40/Jeet_Entrepreneurial_intention_of_Saudi_students_role_of_Saudi_Arabian_universities_in_achieving_The_Goal_of_Vision_2030.pdf (accessed on 19 September 2023). [PubMed]
  14. Schlaegel, C.; Koenig, M. Determinants of entrepreneurial intent: A meta-analytic test and integration of competing models. Entrep. Theory Pract. 2014, 38, 291–332. [Google Scholar] [CrossRef]
  15. Gelard, P.; Saleh, K.E. Impact of some contextual factors on entrepreneurial intention of university students. Afr. J. Bus. Manag. 2011, 5, 10707–10717. [Google Scholar]
  16. Alsubaie, A.; Jones, K. An overview of the current state of women’s leadership in higher education in Saudi Arabia and a proposal for future research directions. Adm. Sci. 2017, 7, 36. [Google Scholar] [CrossRef]
  17. General Authority for Statistics. Labor Force Survey Quarter 3. 2022. Available online: https://www.stats.gov.sa/en/814 (accessed on 19 September 2023).
  18. Koyame-Marsh, R. The Saudi Woman Challenging Assumptions about Women’s Rights. BBC News. 2016. Available online: https://www.bbc.com/news/magazine-36499750 (accessed on 11 June 2016).
  19. AlMunajjed, M. Women’s Employment in Saudi Arabia: Achievements So Far and Aspiration for the Future. Ideation Cent. Insight Rep. 2021. [Google Scholar]
  20. Haus, I.; Steinmetz, H.; Isidor, R.; Kabst, R. Gender Effects on Entrepreneurial Intention: A Meta-Analytical Structural Equation Model. Int. J. Gend. Entrep. 2013, 5, 130–156. [Google Scholar] [CrossRef]
  21. Liguori, E.; Bendickson, J.; Solomon, S.; McDowell, W.C. Development of a multi-dimensional measure for assessing entrepreneurial intentions. J. Bus. Ventur. Insights 2018, 9, 60–64. [Google Scholar] [CrossRef]
  22. Alghamdi, A.; Jones, S. Contextualizing entrepreneurship in Saudi Arabia: A conceptual framework. Int. J. Gend. Entrep. 2019. [Google Scholar]
  23. GUESSS Survey. The Entrepreneurial Career Intentionsand Behaviorof University Students. KSA 2018. Available online: https://www.guesssurvey.org/resources/nat_2018/GUESSS_Report_2018_SaudiArabia.pdf (accessed on 19 September 2023).
  24. Al-Mamary, Y.H.S.; Abdulrab, M.; Alwaheeb, M.A.; Alshammari, N.G.M. Factors Impacting Entrepreneurial Inten-tions among University Students in Saudi Arabia: Testing an Integrated Model of TPB and EO. Educ. Train. 2020, 62, 779–803. Available online: https://eric.ed.gov/?id=EJ1274490 (accessed on 19 September 2023). [CrossRef]
  25. Alrubaishi, D. The entrepreneurial intention of university students in Saudi Arabia. Int. J. Manag. IJM 2020, 11, 1494–1504. [Google Scholar]
  26. Kulothungan, K.; Anbazhagi, J. Entrepreneurial Intentionof Business Students. J. Interdiscip. Cycle Res. 2021, 12, 54. Available online: https://www.researchgate.net/publication/351088394_ENTREPRENEURIAL_INTENTION_OF_BUSINESS_STUDENTS (accessed on 19 September 2023).
  27. Liñán, F.; Chen, Y.-W. Development and Cross–Cultural Application of a Specific Instrument to Measure Entrepreneurial Intentions. Entrep. Theory Pract. 2009, 33, 593–617. [Google Scholar] [CrossRef]
  28. Yurtkoru, E.S.; Kuşcu, Z.K.; Doğanay, A. Exploring the Antecedents of Entrepreneurial Intention on Turkish University Students. Procedia Soc. Behav. Sci. 2014, 150, 841–850. [Google Scholar] [CrossRef]
  29. Pruett, M.; Shinnar, R.; Toney, B.; Llopis, F.; Fox, J. Explaining entrepreneurial intentions of university students: A cross-cultural study. Int. J. Entrep. Behav. Res. 2009, 15, 571–594. [Google Scholar] [CrossRef]
  30. Meeralam, E.A.; Adeinat, I. Understanding the role of universities in fostering female entrepreneurship in the emerging ecosystem. Gend. Manag. Int. J. 2022, 37, 388–404. Available online: https://www.emerald.com/insight/content/doi/10.1108/GM-02-2021-0041/full/html (accessed on 19 September 2023). [CrossRef]
  31. Alshagawi, M.; Ghaleb, M.M. Entrepreneurial intentions of university students in the Kingdom of Saudi Arabia. Int. J. Innov. Sci. 2022, 15, 581–597. [Google Scholar] [CrossRef]
  32. Gangwani, S.; Ballout, S. Factors influencing the entrepreneurial intention of business graduate students of Saudi Arabia Universty. Acad. Entrep. J. 2020, 26. Available online: https://www.abacademies.org/articles/Factors-influencing-the-entrepreneurial-intention-of-business-graduate-students-of-saudiarabia-1528-2686-26-4-425.pdf (accessed on 19 September 2023).
  33. Badghish, H. Can Entrepreneur Ship Help Trans Form the Lives of Saudi Women? Harvard Kennedy School. 2019. Available online: https://epod.cid.harvard.edu/sites/default/files/2019-10/Badghish%20-%20Female%20Entrpreneurship.pdf (accessed on 19 September 2023).
  34. Barba-Sánchez, V.; Mitre-Aranda, M.; del Brío-González, J. The Entrepreneurial Intention of University Students: An Environmental Perspective. Eur. Res. Manag. Bus. Econ. 2022, 28, 100184. [Google Scholar] [CrossRef]
  35. Alshebami, A.; Ali Seraj, A.H. The Antecedents of Saving Behavior and Entrepreneurial Intention of Saudi Arabia University Students. Educ. Sci. Theory Pract. 2021, 21, 67–84. Available online: https://drasah.com/Archiving/website/0627202201025965.pdf (accessed on 19 September 2023).
  36. Elnadi, M.; Gheith, M.H. Entrepreneurial Ecosystem, Entrepreneurial Self-Efficacy, and Entrepreneurial Intention in Higher Education: Evidence from Saudi Arabia. Int. J. Manag. Educ. 2021, 19, 100458. [Google Scholar] [CrossRef]
  37. Alshebami, A.; Al-Jubari, I.; Alyoussef, A.; Raza, M. Entrepreneurial EducationasaPredicatorofCommunityCollegeofAbqai-qstudents’EntrepreneurialIntention. Manag. Sci. Lett. 2021, 10, 3605–3612. Available online: https://www.scirp.org/%28S%28i43dyn45teexjx455qlt3d2q%29%29/reference/referencespapers.aspx?referenceid=3133599 (accessed on 19 September 2023).
  38. Haque, M.I.; Tausif, M.R.; Naseem, S. Probing gender influence on entrepreneurial intentions in Saudi Arabia. Acad. Entrep. J. 2022, 28, 1–13. Available online: https://www.abacademies.org/articles/probing-gender-influence-on-entrepreneurial-intentions-in-saudi-arabia-14078.html (accessed on 19 September 2023).
  39. Shanti, A.M.; Soepatini, S. Entrepreneurial Intention among Management Department Students (An Application of Theory Planned Behavior on Entrepreneurial Intention in Universities Muhammadiyah Surakarta). Business. 2018. Available online: https://www.semanticscholar.org/paper/%22Entrepreneurial-Intention-Among-Management-Of-On-Shanti-Soepatini/9b01198fb56025ea162a4768b5e1165d445ba305 (accessed on 19 September 2023).
  40. Agolla, J.E.; Monametsi, G.L.; Phera, P. Antecedents of entrepreneurial intentions amongst business students in a tertiary institution. Asia Pac. J. Innov. Entrep. 2019, 13, 138–152. [Google Scholar] [CrossRef]
  41. Using and Interpreting Cronbach’s Alpha. 2023. Available online: https://data.library.virginia.edu/using-and-interpreting-cronbachs-alpha/ (accessed on 16 August 2023).
  42. Diedenhofen, B.; Musch, J. Cocron: AWeb Interface and R Package for the Statistical Comparison of Cronbach’s Alpha Coefficients. Psychology 2017, 11, 51–60. Available online: https://www.semanticscholar.org/paper/cocron%3A-A-Web-Interface-and-R-Package-for-the-of-Diedenhofen-Musch/bf4a2f33c964cd4080409b3993424b767ca70a72 (accessed on 19 September 2023).
  43. Alzamel, S.; Nazri, M.; Omar, S. Factors Influencing E-Entrepreneurial Intention among Female Students in Saudi Arabia. Int. J. Criminol. Sociol. 2022, 9, 1996–2003. [Google Scholar] [CrossRef]
  44. Ali, I.; Ali, M.; Badghish, S. Symmetric and Asymmetric Modeling of Entrepreneurial Ecosystem in Developing Entrepreneurial Intentions among Female University Students in Saudi Arabia. Int. J. Gend. Entrep. 2019, 11, 435–458. [Google Scholar] [CrossRef]
  45. Naushad, M. A Study on the Antecedents of Entrepreneurial Intentions among Saudi Students. Entrep. Sustain. Issues 2018, 5, 600–617. [Google Scholar] [CrossRef]
  46. Santos, F.J.; Roomi, M.A.; Liñán, F. About Gender Differences and the Social Environment in the Development of Entrepreneurial Intentions. J. Small Bus. Manag. 2016, 54, 49–66. [Google Scholar] [CrossRef]
  47. Abou-Moghli, A.A.; Al-Abdallah, G. A Systematic Review of Women Entrepreneurs OpportunitiesandChallengesinSau-diArabia. J. Entrep. Educ. 2019, 22, 1–14. Available online: https://www.semanticscholar.org/paper/A-Systematic-Review-of-Women-Entrepreneurs-and-in-Abou-Moghli-Al-Abdallah/5dd81d3bee655c7e99499450d2595875a9b3e320 (accessed on 19 September 2023).
  48. Mohamad, N.; Hussain, N. Entrepreneurial Readiness among Female Students: Does the Effectiveness of Time Man-agement Matters in Attempting Businesses? Int. J. Acad. Res. Bus. Soc. Sci. 2021, 11, 811–828. [Google Scholar] [CrossRef]
  49. Abderrahim, F.; Mohamed, R.; Khadija, E.K.; Lahyani, K. The Role of Entrepreneurship Education in the Development of Female Entrepreneurial Intention among Students at Hassan II University in Casablanca, Morocco. J. Hunan Univ. Nat. Sci. 2022, 49, 257–264. [Google Scholar] [CrossRef]
Figure 1. Graphical representation of gender differences in entrepreneurship.
Figure 1. Graphical representation of gender differences in entrepreneurship.
Sustainability 15 16769 g001
Figure 2. Diagram of the path analysis.
Figure 2. Diagram of the path analysis.
Sustainability 15 16769 g002
Table 1. Variance estimates for latent factors and error terms in SEM analysis.
Table 1. Variance estimates for latent factors and error terms in SEM analysis.
EstimateS.E.C.R.P
F11
F21
0F31
e50.1710.0345.073***
e60.1360.0226.324***
e70.1990.0257.805***
e80.5620.0619.209***
e90.1650.0463.562***
e100.8780.0979.045***
e110.3690.0566.526***
e120.3270.0369.011***
e130.1090.0343.1580.002
e140.3820.057.636***
e150.6110.0738.334***
e160.3680.0458.114***
e170.790.0869.238***
e180.2270.0297.727***
e190.2010.0316.587***
Source: “The values in this table are derived from the analysis of raw data gathered through the questionnaire”. *** p ≤ 0.001.
Table 2. Reliability, validity, and descriptive statistics of the questionnaire.
Table 2. Reliability, validity, and descriptive statistics of the questionnaire.
AlphaCorrelationSpearman–Brown CoefficientGuttman Split-Half CoefficientMeanVarianceStd.
Deviation
Range
Part 10.915 62.97268.70916.393.408
Part 20.899 53.505144.16812.011.137
Both Parts0.9460.7520.8580.835116.477708.80426.623.425
Raw data obtained and computed from the questionnaire.
Table 3. Demographic analysis of entrepreneurial intentions among Saudi Arabian university students.
Table 3. Demographic analysis of entrepreneurial intentions among Saudi Arabian university students.
CategoryFrequencyPercentage
Nationality
Saudi20995.87
Non-Saudi94.13
Academic credentials
Undergraduate20493.58
Postgraduate146.42
Specialization
Colleges of Humanities6730.73
Colleges of Sciences156.88
Applied Colleges52.29
Others13160.09
Father’s Employment Status
Government employee10749.08
Own business2210.09
Private employee209.17
Others6931.65
Do you want to become an entrepreneur in future?
Yes14064.22
No73.21
Undecided7132.57
Raw data obtained and computed from the questionnaire.
Table 4. Analysis of survey responses: mean, mode, standard deviation, and Cronbach’s alpha.
Table 4. Analysis of survey responses: mean, mode, standard deviation, and Cronbach’s alpha.
S.
No.
StatementsMeanModeStd.
Deviation
Cronbach’s Alpha #t
A1I wish to be part of an entrepreneurial venture in future4.42250.795070.88526.407 *
A2It is a matter of satisfaction for me to be an entrepreneur4.399150.81540.88225.334 *
A3Entrepreneurship is a prospective livelihood opportunity for me4.435850.802070.88526.43 *
A4The disadvantage of entrepreneurial venture is less than the advantages associated with it3.44530.889880.8947.383 *
S1My family and friends will agree with my choice to start an entrepreneurial venture4.311950.811180.88923.879 *
S2Faculties of my institution mentor me to be an entrepreneur3.330331.115910.8984.37 *
S3People who know me are positive that I will do well as an entrepreneur3.986251.022690.88514.23 *
S4Entrepreneurship is socially
approved
4.454150.749930.8928.629 *
P1I will be able to handle the risks involved in establishing an entrepreneurial venture3.954140.883910.88115.938 *
P2I can manage the developments in a new entrepreneurial venture on my own3.55541.090050.8857.518 *
P3I know the particulars needed to set up an entrepreneurial venture3.192741.233010.8892.307 *
P4If I start an entrepreneurial venture, I will succeed3.821140.925880.88413.094 *
E1I am determined to start a new an entrepreneurial venture3.816551.066150.87911.308 *
E2I will make all attempts to start an entrepreneurial venture3.967951.053360.87813.567 *
E3I would be more than happy to be an entrepreneur in the future4.21150.946240.87918.896 *
E4Instead of being an employee in a company I would rather be an entrepreneur3.573431.201620.8877.046 *
Source: Analyzed preliminary questionnaire data using SPSS 29. * p ≤ 0.05.
Table 5. Entrepreneurship at Princess Nourah bint Abdulrahman University.
Table 5. Entrepreneurship at Princess Nourah bint Abdulrahman University.
S. No.StatementYes %No %
1Have you studied any courses on entrepreneurship at Princess Noura University?65.6034.40
2Did Princess Noura University conduct any seminar/
workshop/training on entrepreneurship in the last year?
59.1740.83
3Is there an entrepreneurship training unit or incubator available at Princess Noura University that provides tuition?37.1662.84
4Have you received any support or guidance on entrepreneurship from Princess Noura University?42.2057.80
5Does your curriculum in Princess Noura University have any course related to entrepreneurship?47.7152.29
6Do you think the support directed towards entrepreneurship at Princess Noura University is sufficient?47.7152.29
Raw data obtained and computed from the questionnaire.
Disclaimer/Publisher’s Note: The statements, opinions and data contained in all publications are solely those of the individual author(s) and contributor(s) and not of MDPI and/or the editor(s). MDPI and/or the editor(s) disclaim responsibility for any injury to people or property resulting from any ideas, methods, instructions or products referred to in the content.

Share and Cite

MDPI and ACS Style

Eid, N.A.A.; Alkhathlan, K.A.; Haque, M.I.; Alkhateeb, T.T.Y.; Mahmoud, D.H.I.; Eliw, M.; Adow, A.H. Exploring the Entrepreneurial Intentions of Princess Nourah Bint Abdulrahman University Students and the University’s Role Aligned with Vision 2030. Sustainability 2023, 15, 16769. https://doi.org/10.3390/su152416769

AMA Style

Eid NAA, Alkhathlan KA, Haque MI, Alkhateeb TTY, Mahmoud DHI, Eliw M, Adow AH. Exploring the Entrepreneurial Intentions of Princess Nourah Bint Abdulrahman University Students and the University’s Role Aligned with Vision 2030. Sustainability. 2023; 15(24):16769. https://doi.org/10.3390/su152416769

Chicago/Turabian Style

Eid, Nawal A. Al, Khalid Abdullah Alkhathlan, Mohammad Imdadul Haque, Tarek Tawfik Yousef Alkhateeb, Doaa H. I. Mahmoud, Moataz Eliw, and Anass Hamadelneel Adow. 2023. "Exploring the Entrepreneurial Intentions of Princess Nourah Bint Abdulrahman University Students and the University’s Role Aligned with Vision 2030" Sustainability 15, no. 24: 16769. https://doi.org/10.3390/su152416769

APA Style

Eid, N. A. A., Alkhathlan, K. A., Haque, M. I., Alkhateeb, T. T. Y., Mahmoud, D. H. I., Eliw, M., & Adow, A. H. (2023). Exploring the Entrepreneurial Intentions of Princess Nourah Bint Abdulrahman University Students and the University’s Role Aligned with Vision 2030. Sustainability, 15(24), 16769. https://doi.org/10.3390/su152416769

Note that from the first issue of 2016, this journal uses article numbers instead of page numbers. See further details here.

Article Metrics

Back to TopTop