Energy and Business Synergy: Leveraging Biogenic Resources from Agriculture, Waste, and Wastewater in German Rural Areas
Abstract
:1. Introduction
2. Materials and Methods
2.1. Study Area Description
2.2. Methodology
- Inventory analysis to assess the current technical infrastructures and biogenic material flows in the analyzed sectors in the study area;
- Potential analysis to identify suitable technology options to transfer biogenic residues into energetic potential;
- Conceptualization to define the energy concepts and their sub-concepts;
- Concept evaluation to identify the (dis)advantages of each sub-concept in reference to the current system.

3. Results
3.1. Results of Inventory Analysis
- Wastewater management: the aim is to reduce the high costs of external sludge disposal by implementing in-house treatment solutions.
- Waste management: this sector is open to cross-sector collaboration and partnerships.
- Agriculture: This sector’s focus is on the continued operation of the existing biogas plant that is economically viable beyond the expiration of the state Renewable Energy Law (Erneuerbare-Energien-Gesetz (EEG)) subsidies. Also, this sector aims to explore opportunities for utilizing swine manure, especially for meeting their own energy needs.
- Municipality: the aim is to ensure a sustainable heat supply within the municipal area, with a preference for leveraging regional resources.
3.2. Results of Potential Analysis
3.3. Results of Conceptualization
3.3.1. Concept 1: Maximum Heat Provision
3.3.2. Concept 2: Emission Minimization through Swine Manure Utilization
3.3.3. Concept 3: Optimized Sludge Management
3.4. Results of Concept Evaluation
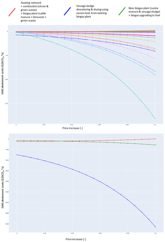
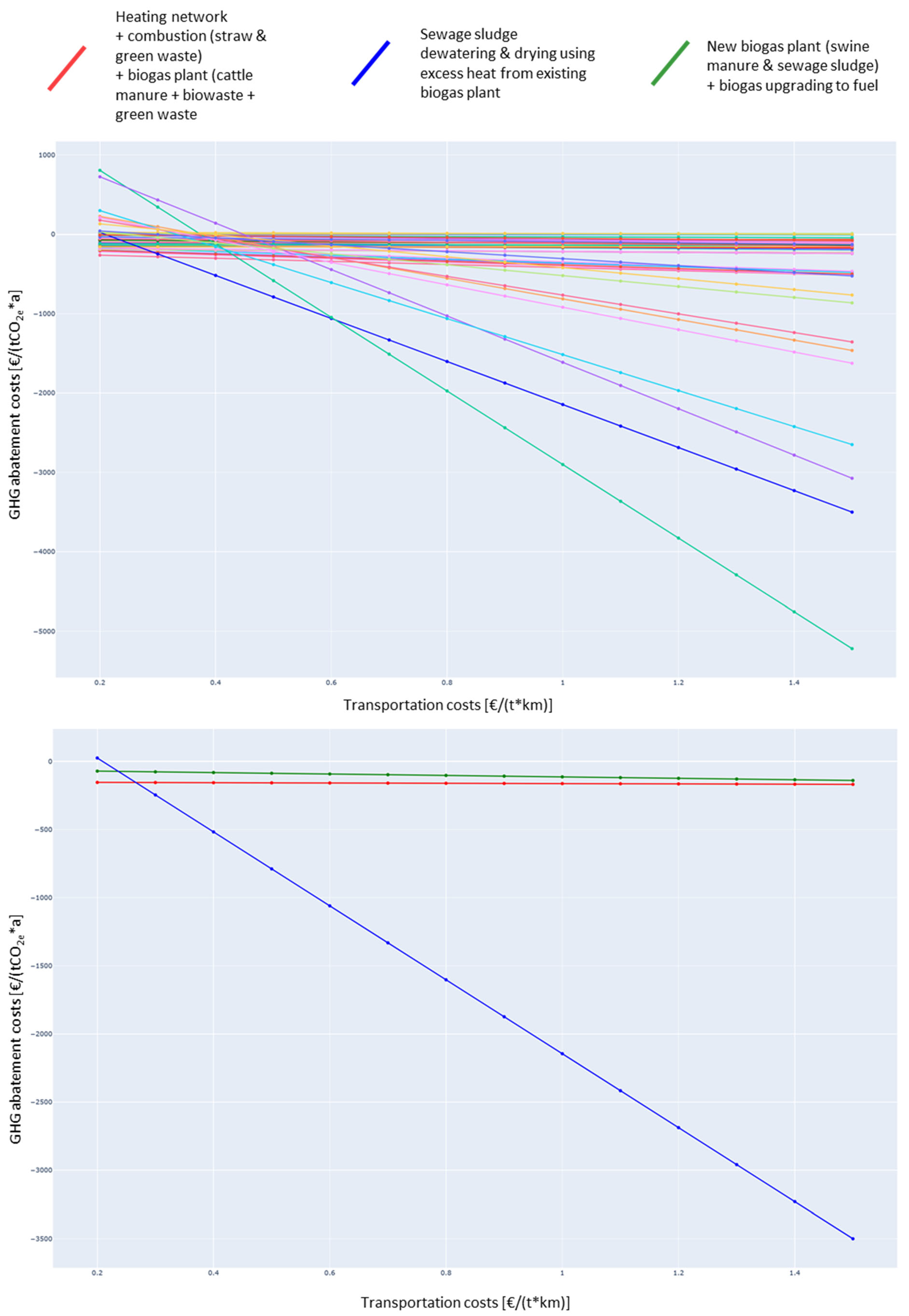
- Establishing a district-heating network with the incineration of straw and green waste, along with the treatment of cattle manure, organic waste, and green waste, enables the highest greenhouse gas emission reductions. However, this option entails very high investments. As was the case before, sewage sludge would continue to be externally disposed without prior treatment, and swine manure would not be utilized in this sub-concept (see Figure 9).
- The dewatering and drying of sewage sludge, using the excess heat from the existing biogas plant, offers the lowest GHG abatement costs, resulting in significant financial savings with manageable efforts. For this purpose, sewage sludge dewatering and drying facilities would be installed, which would receive the required heat from the existing biogas plant. Subsequently, the dried sewage sludge would continue to be disposed externally. The remaining material flows would be treated or disposed of in the same manner as in the existing system (see Figure 10).
- The co-digestion of swine manure and sewage sludge presents the best ratio of investment costs to mitigation potential and mitigation costs. The generated biogas would be upgraded and subsequently distributed as fuel. The disposal routes for the remaining material flows remain the same in this sub-concept as in the existing system (see Figure 11).
4. Discussion
5. Conclusions
Author Contributions
Funding
Institutional Review Board Statement
Informed Consent Statement
Data Availability Statement
Conflicts of Interest
Appendix A





References
- United Nations. Transforming Our World: The 2030 Agenda for Sustainable Development; United Nations: New York, NY, USA, 2015. [Google Scholar]
- Bundesministerium für Bildung und Forschung-BMBF Innovation & Strukturwandel, Strom und Wärme Durch Wasserstoff. 2021. Available online: https://www.innovation-strukturwandel.de/strukturwandel/de/report/_documents/artikel/r-t/strom-und-waerme-durch-wasserstoff.html (accessed on 27 November 2023).
- Kurz, R.; Brun, K. Gas Turbine Performance. In Asia Turbomachinery & Pump Symposium; Turbomachinery Laboratories, Texas A&M Engineering Experiment Station: College Station, TX, USA, 2016. [Google Scholar] [CrossRef]
- Shourangiz-Haghighi, A.; Diazd, M.; Zhang, Y.; Li, J.; Yuan, Y.; Faraji, R.; Ding, L.; Guerrero, J.M. Developing More Efficient Wind Turbines: A Survey of Control Challenges and Opportunities. IEEE Ind. Electron. Mag. 2020, 14, 53–64. [Google Scholar] [CrossRef]
- Florescu, A.; Barabas, S.; Dobrescu, T. Research on Increasing the Performance of Wind Power Plants for Sustainable Development. Sustainability 2019, 11, 1266. [Google Scholar] [CrossRef]
- Parthiban, R.; Ponnambalam, P. An Enhancement of the Solar Panel Efficiency: A Comprehensive Review. Front. Energy Res. 2022, 10, 937155. [Google Scholar] [CrossRef]
- Dhilipan, J.; Vijayalakshmi, N.; Shanmugam, D.B.; Jai Ganesh, R.; Kodeeswaran, S.; Muralidharan, S. Performance and efficiency of different types of solar cell material—A review. Mater. Today Proc. 2022, 66, 1295–1302. [Google Scholar] [CrossRef]
- Energy Institute. Statistical Review of World Energy; Energy Institute: London, UK, 2023. [Google Scholar]
- United Nations. The Sustainable Development Goals Report 2023; United Nations: New York, NY, USA, 2023. [Google Scholar]
- Lachal, B. Energy Transition; ISTE Ltd.: London, UK; John Wiley and Sons Inc.: London, UK, 2019. [Google Scholar]
- Cajot, S.; Peter, M.; Bahu, J.-M.; Guignet, F.; Koch, A.; Maréchal, F. Obstacles in energy planning at the urban scale. Sustain. Cities Soc. 2017, 30, 223–236. [Google Scholar] [CrossRef]
- Sperling, K.; Hvelplund, F.; Mathiesen, B.V. Centralisation and decentralisation in strategic municipal energy planning in Denmark. Energy Policy 2011, 39, 1338–1351. [Google Scholar] [CrossRef]
- Brugmann, J. Planning for sustainability at the local government level. Environ. Impact Assess. Rev. 1996, 16, 363–379. [Google Scholar] [CrossRef]
- Hoppe, T.; Miedema, M. A Governance Approach to Regional Energy Transition: Meaning, Conceptualization and Practice. Sustainability 2020, 12, 915. [Google Scholar] [CrossRef]
- Poggi, F.; Firmino, A.; Amado, M. Planning renewable energy in rural areas: Impacts on occupation and land use. Energy 2018, 155, 630–640. [Google Scholar] [CrossRef]
- Marsden, T. Exploring the Rural Eco-Economy: Beyond Neoliberalism. Sociol. Rural. 2016, 56, 597–615. [Google Scholar] [CrossRef]
- Wagner, O.; Thomas, S. Wärmewende darf nicht zu Lasten der Armen gehen. Die Wärmewende durch kommunale Wärmeplanung sozial gestalten. Kommunale 2023, 20, 12–13. [Google Scholar]
- Energieeffizienzverband für Wärme, Kälte und KWK e.V.; Deutscher Verein des Gas-und Wasserfaches e.V. Praxisleitfaden: Kommunale Wärmeplanung, Frankfurt/Bonn, Germany. 2023. Available online: https://www.dvgw.de/medien/dvgw/leistungen/publikationen/leitfaden-kommunale-waermeplanung-dvgw-agfw.pdf (accessed on 5 November 2023).
- Eurostat. Eurostat Regional Yearbook 2019; Publications Office of the European Union: Luxembourg, 2019. [Google Scholar]
- Naumann, M.; Rudolph, D. Conceptualizing rural energy transitions: Energizing rural studies, ruralizing energy research. J. Rural. Stud. 2020, 73, 97–104. [Google Scholar] [CrossRef]
- Woods, M. Rural geography III. Prog. Hum. Geogr. 2012, 36, 125–134. [Google Scholar] [CrossRef]
- Markantoni, M.; Woolvin, M. The role of rural communities in the transition to a low-carbon Scotland: A review. Local Environ. 2015, 20, 202–219. [Google Scholar] [CrossRef]
- Gregg, J.S.; Smith, S.J. Global and regional potential for bioenergy from agricultural and forestry residue biomass. Mitig. Adapt. Strateg. Glob. Change 2010, 15, 241–262. [Google Scholar] [CrossRef]
- Singh, A.K.; Pal, P.; Rathore, S.S.; Sahoo, U.K.; Sarangi, P.K.; Prus, P.; Dziekański, P. Sustainable Utilization of Biowaste Resources for Biogas Production to Meet Rural Bioenergy Requirements. Energies 2023, 16, 5409. [Google Scholar] [CrossRef]
- Lueck, A.; Haupt, T.; Kraft, E.; Londong, J. Energetische und Stoffliche Potentiale der Synergetischen Verwertung von Abwasser und Abfall in Thüringen. In Proceedings of the DWA Landesverbandstagung Sachsen/Thüringen, Leipzig, Germany, 9 June 2019. [Google Scholar]
- Kalcher, J.; Naegeli de Torres, F.; Gareis, E.; Cyffka, K.-F.; Brosowski, A. Dashboard Biogene Rohstoffe in Deutschland; Open Agrar Repositorium: Greifswald, Germany, 2022. [Google Scholar]
- Ramirez Camargo, L.; Stoeglehner, G. Spatiotemporal modelling for integrated spatial and energy planning. Energy Sustain. Soc. 2018, 8, 32. [Google Scholar] [CrossRef]
- Müller, M.; Kubli, M.; Ulli-Beer, S. Interdisciplinary Modeling of Energy Transition in Rural and Urban Systems. In Proceedings of the International Conference CISBAT 2015, Lausanne, Switzerland, 9–11 September 2015. [Google Scholar]
- Naumann, M.; Reichert-Schick, A. Ländliche Infrastrukturen–Risiken, Anpassungserfordernisse und Handlungsoptionen. Raumforsch. Raumordn. 2015, 73, 1–3. [Google Scholar] [CrossRef]
- Thüringer Ministerium für Infrastruktur und Landwirtschaft. Demografiebericht_2023: Teil 1: Bevölkerungsentwicklung des Freistaats Thüringen und Seiner Regionen, Erfurt, Germany. 2023. Available online: https://www.serviceagentur-demografie.de/service/publikationen/demografieberichte/ (accessed on 10 November 2023).
- © OpenStreetMap Contributors. 2023. Available online: www.openstreetmap.org/copyright (accessed on 29 November 2023).
- Gemeinde Am Ettersberg. Herzlich Willkommen: Leben Am Ettersberg, das Bedeutet Echte Lebensqualität. Available online: https://www.am-ettersberg.de/ (accessed on 10 November 2023).
- Bundesministerium für Wohnen, Stadtentwicklung und Bauwesen. Kommunale Wärmeplanung: Für eine Deutschlandweit Zukunftsfeste und Bezahlbare Wärmeversorgung. Available online: https://www.bmwsb.bund.de/Webs/BMWSB/DE/themen/stadt-wohnen/WPG/WPG-node.html (accessed on 10 November 2023).
- Thüringer Ministerium für Umwelt, Energie und Naturschutz. Beseitigen von Kommunalem Abwasser in Thüringen: Berichtszeitraum 2021/2022, Erfurt, Germany. 2023. Available online: https://umwelt.thueringen.de/fileadmin/001_TMUEN/Unsere_Themen/Boden_Wasser_Luft_Laerm/Abwasser/Lageberichte_Abwasserentsorgung/Thueringer_Lagebericht_Kommunalawasser_2023_01.pdf (accessed on 5 November 2023).
- Wolf, M.; Londong, J. Transformation der Siedlungswasserwirtschaft-Steuerungsmechanismen im Diskurs Ressourcenorientierter Systemansätze am Beispiel von Thüringen. Raumforsch. Raumordn. 2020, 78, 397–411. [Google Scholar] [CrossRef]
- Thüringer Landesamt für Landwirtschaft und Ländlichen Raum. Jahresbericht 2021/22, Jena, Germany. 2023. Available online: https://tlllr.thueringen.de/fileadmin/TLLLR/Service/Publikationen/Broschueren/2023_JB21.pdf (accessed on 10 November 2023).
- Thüringer Landesanstalt für Landwirtschaft. Integration der Biogaserzeugung in die Landwirtschaft in Thüringen: Abschlussbericht; Thüringer Landesanstalt für Landwirtschaft: Jena, Germany, 2017. [Google Scholar]
- Thüringer Landesamt für Landwirtschaft und Ländlichen Raum. Biogas. Available online: https://tlllr.thueringen.de/landwirtschaft/pflanzenproduktion/nawaro/biogas (accessed on 8 November 2023).
- Schluck, T.; Hangartner, D.; Facchinetti, E.; Sulzer-Worlitschek, S.; Mennel, S.; Sulzer, M. The Uettligen Case—A Step Towards a Role Model in Energy Concept Development. Energ. Proc. 2017, 122, 1069–1074. [Google Scholar] [CrossRef]
- Schluck, T.; Sulzer, M. Towards a Holistic Methodology: A Practical Approach to Local Energy Planning. In Proceedings of the World Sustainable Built Environment Conference 2017, Hong Kong, China, 5–7 June 2017. [Google Scholar]
- Berger, K.; Hauer, S.; Peters-Anders, J.; Schmidt, R.-R.; Anna Shadrina, A.; Widl, E.E. Digitale Energieplanung & Optimierung urbaner Regionen-Herausforderungen, Best-Practice-Beispiele & Handlungsempfehlungen; Austrian Institute of Technology: Vienna, Austria, 2020. [Google Scholar]
- Antoni, O.; Kluge, C.; Knies, J.; Balling, V.; Benz, S.; Schneller, A.; Wegner, N. Handlungsempfehlungen für ein Planungsmodell der kommunalen Wärmeplanung auf Grundlage Kommunaler Erfahrungswerte und Dessen Rechtlicher Implementierung; Hochschule Bremen: Bremen, Germany, 2022. [Google Scholar]
- Drebes, C.; Meinberg, T.; Schulze, J.; Sieber, S.; Ousmane, S.; Hegger, M.; Dettmar, J. UrbanReNet II-Weiterentwicklung des Bilanzmodells der Phase I zu einem Quatiersbezogenen Vernetzungsmodell; Technische-Universität Darmstadt: Darmstadt, Germany, 2015. [Google Scholar]
- Caemmerer-Seibel, U.; Kiesel, G.; Voelker, C.; Cebulla, D. Ein online-tool zur Erprobung bezahlbarer Handlungsoptionen für Energieeffizienz im ländlichen Raum. In Proceedings of the BauSIM 2020-8th Conference of IBPSA Germany and Austria, Graz, Austria, 23–25 September 2020. [Google Scholar]
- Blesl, M.; Stehle, M.; Brodecki, L.; Groß, P.; Grassl, G.; Reiser, S.; Karajan, J.; Christ, A.; Müller, E. Systemanalyse für die Städtische Energieplanung mit einem Modularen Planungsinstrument-Methodische Grundlagen und Fallbeispiele; Endbericht; Universität Stuttgart: Stuttgart, Germany, 2019. [Google Scholar]
- Zhang, J.; Qin, Q.; Li, G.; Tseng, C.-H. Sustainable municipal waste management strategies through life cycle assessment method: A review. J. Environ. Manag. 2021, 287, 112238. [Google Scholar] [CrossRef]
- Sarigiannis, D.A.; Handakas, E.J.; Karakitsios, S.P.; Gotti, A. Life cycle assessment of municipal waste management options. Environ. Res. 2021, 193, 110307. [Google Scholar] [CrossRef]
- Hörnschemeyer, B.; Söfker-Rieniets, A.; Niesten, J.; Arendt, R.; Kleckers, J.; Stretz, C.; Klemm, C.; Budde, J.; Wagner, R.; Vonhoegen, L.; et al. Leitfaden RessourcenPlan–Teil 1: Konzeption RessourcenPlan. Ergebnisse des Projekts R2Q RessourcenPlan im Quartier; Fachhochschule Münster: Münster, Germany, 2023. [Google Scholar]
- Caemmerer-Seibel, U.; Lück, A.; Osman, A.; Kiesel, G.; Völker, C.; Alfen, H.W.; Cebulla, D. Energy Transition in Rural Areas–Supporting Local Energy Planning by the Development of an Online-Tool for Identification and Promotion of Energy-Efficiency and the Use of Renewables. In Proceedings of the Building Simulation 2019-16th Conference of IBPSA, Rome, Italy, 2–4 September 2019. [Google Scholar]
- Statistische Ämter des Bundes und der Länder. ZENSUS 2011. Available online: https://www.zensus2011.de (accessed on 10 November 2023).
- Thüringer Landesamt für Vermessung. Thüringer ALKIS®-Objektartenkatalog: Auf Basis der GeoInfoDok Version 6.0.1. Available online: https://www.thueringen.de/mam/th9/tlvermgeo/landesamt/thuralkis-ok.pdf (accessed on 7 January 2022).
- Gesellschaft für Energieplanung und Systemplanung mbH. Verbrauchskennwerte 2015; Gesellschaft für Energieplanung und Systemplanung mbH: Münster, Germany, 2015. [Google Scholar]
- Yang, L.; Wang, X.-C.; Dai, M.; Chen, B.; Qiao, Y.; Deng, H.; Zhang, D.; Zhang, Y.; Villas Bôas de Almeida, C.M.; Chiu, A.S.; et al. Shifting from fossil-based economy to bio-based economy: Status quo, challenges, and prospects. Energy 2021, 228, 120533. [Google Scholar] [CrossRef]
- German Association for Water Management, Sewage and Waste e. v. Leitlinien zur Durchführung Dynamischer Kostenvergleichsrechnungen (KVR-Leitlinien); German Association for Water Management, Sewage and Waste e.v.: Hennef, Germany, 2012. [Google Scholar]
- Thüringer Landesamt für Umwelt und Geologie. Ergebnisse der Hausmüllanalysen der Öffentlich-Rechtlichen Entsorgungsträger im Zeitraum 2011–2017: Kompostierbare Abfälle; Thüringer Landesamt für Umwelt und Geologie: Jena, Germany, 2018. [Google Scholar]
- Thüringer Landesamt für Statistik. Energiebilanz Thüringen 2020; Thüringer Landesamt für Statistik: Erfurt, Germany, 2022. [Google Scholar]
- Kaltschmitt, M.; Hartmann, H.; Hofbauer, H. Energie aus Biomasse, 3rd ed.; Springer: Berlin/Heidelberg, Germany, 2016. [Google Scholar]
- Bulach, W.; Dehoust, G.; Möck, A.; Oetjen-Dehne, R.; Kaiser, F.; Radermacher, J.; Lichtl, M. Ermittlung von Kriterien für Hochwertige Anderweitige Verwertungsmöglichkeiten von Bioabfällen; Umweltbundesamt: Dessau-Rosslau, Germany, 2020. [Google Scholar]
- Kern, M.; Raussen, T.; Funda, K.; Lootsma, A.; Hofmann, H. Aufwand und Nutzen einer Optimierten Bioabfallverwertung Hinsichtlich Energieeffizienz, Klima-und Ressourcenschutz; Umweltbundesamt: Dessau-Roßlau, Germany, 2010. [Google Scholar]
- Long, H.; Li, X.; Wang, H.; Jia, J. Biomass resources and their bioenergy potential estimation: A review. Renew. Sustain. Energy Rev. 2013, 26, 344–352. [Google Scholar] [CrossRef]
- Iqbal, A.; Ekama, G.A.; Zan, F.; Liu, F.X.; Chui, H.-K.; Chen, G.-H. Potential for co-disposal and treatment of food waste with sewage: A plant-wide steady-state model evaluation. Water Res. 2020, 184, 116175. [Google Scholar] [CrossRef]










| Energy Sector | Wastewater Sector | Waste Sector | Agriculture Sector | |
|---|---|---|---|---|
| Material flows | Energy demand in households (heat, fuel) | Sewage sludge | Biowaste from households | Manure |
| Private green waste | Compost | |||
| Energy demand in industry (heat, fuel) | Municipal green waste | Residual Straw | ||
| Landscaping materials | Further input material | |||
| Infrastructure | Pre-treatments | Collection system(s) | ||
| Disposal routes | Disposal routes | |||
| Treatment facilities | Treatment facilities | Biogas plant(s) |
| Biogas Plant and CHP | Biomethane Plant | Combustion | Gasification | Hydrothermal Carbonization | Pyrolysis | |
|---|---|---|---|---|---|---|
| Input | ||||||
| Organic Waste | Shredding, separation of impurities | Shredding, separation of impurities | No | Drying | Yes | Drying |
| Green Waste | Shredding, separation of impurities | Shredding, separation of impurities | Drying | Drying | Yes | Drying |
| Sewage sludge | Yes | Yes | Drying | Drying | Yes | Drying |
| Cattle manure | Yes | Yes | No | No | Yes | No |
| Swine manure | Yes | Yes | No | No | Yes | No |
| Straw | Shredding | Shredding | Yes | Yes | Yes | Yes |
| Output | ||||||
| Heat | Yes | No | Yes | Yes | No | No |
| Electricity | Yes | No | No | Yes | No | No |
| Fuel | No | Yes | No | No | Yes | Yes |
| Fertilizer/soil conditioner | Yes | Yes | No | No | Yes | Yes |
| Parameter | Default Value | Range |
|---|---|---|
| Interest rate | 3% | 0–10% |
| Evaluation period | 30 yr | 10–50 yr |
| Price increase | 0% | 0–10% |
| Transportation costs | EUR 0.58/(t·km) | EUR 0.20–1.50/(t·km) |
| Energy costs | 100% | 30–300% energy price limit |
Disclaimer/Publisher’s Note: The statements, opinions and data contained in all publications are solely those of the individual author(s) and contributor(s) and not of MDPI and/or the editor(s). MDPI and/or the editor(s) disclaim responsibility for any injury to people or property resulting from any ideas, methods, instructions or products referred to in the content. |
© 2023 by the authors. Licensee MDPI, Basel, Switzerland. This article is an open access article distributed under the terms and conditions of the Creative Commons Attribution (CC BY) license (https://creativecommons.org/licenses/by/4.0/).
Share and Cite
Pollack, M.; Lück, A.; Wolf, M.; Kraft, E.; Völker, C. Energy and Business Synergy: Leveraging Biogenic Resources from Agriculture, Waste, and Wastewater in German Rural Areas. Sustainability 2023, 15, 16573. https://doi.org/10.3390/su152416573
Pollack M, Lück A, Wolf M, Kraft E, Völker C. Energy and Business Synergy: Leveraging Biogenic Resources from Agriculture, Waste, and Wastewater in German Rural Areas. Sustainability. 2023; 15(24):16573. https://doi.org/10.3390/su152416573
Chicago/Turabian StylePollack, Moritz, Andrea Lück, Mario Wolf, Eckhard Kraft, and Conrad Völker. 2023. "Energy and Business Synergy: Leveraging Biogenic Resources from Agriculture, Waste, and Wastewater in German Rural Areas" Sustainability 15, no. 24: 16573. https://doi.org/10.3390/su152416573
APA StylePollack, M., Lück, A., Wolf, M., Kraft, E., & Völker, C. (2023). Energy and Business Synergy: Leveraging Biogenic Resources from Agriculture, Waste, and Wastewater in German Rural Areas. Sustainability, 15(24), 16573. https://doi.org/10.3390/su152416573

