Effects of Particle Size and Grading on the Breakage of Railway Ballast: Laboratory Testing and Numerical Modeling
Abstract
:1. Introduction
2. Materials and Methods
2.1. Single Ballast Crushing Test
2.2. Monotonic Shearing Test
3. Results and Discussions
3.1. The Effect of Particle Size
3.2. The Effect of Particle Grading
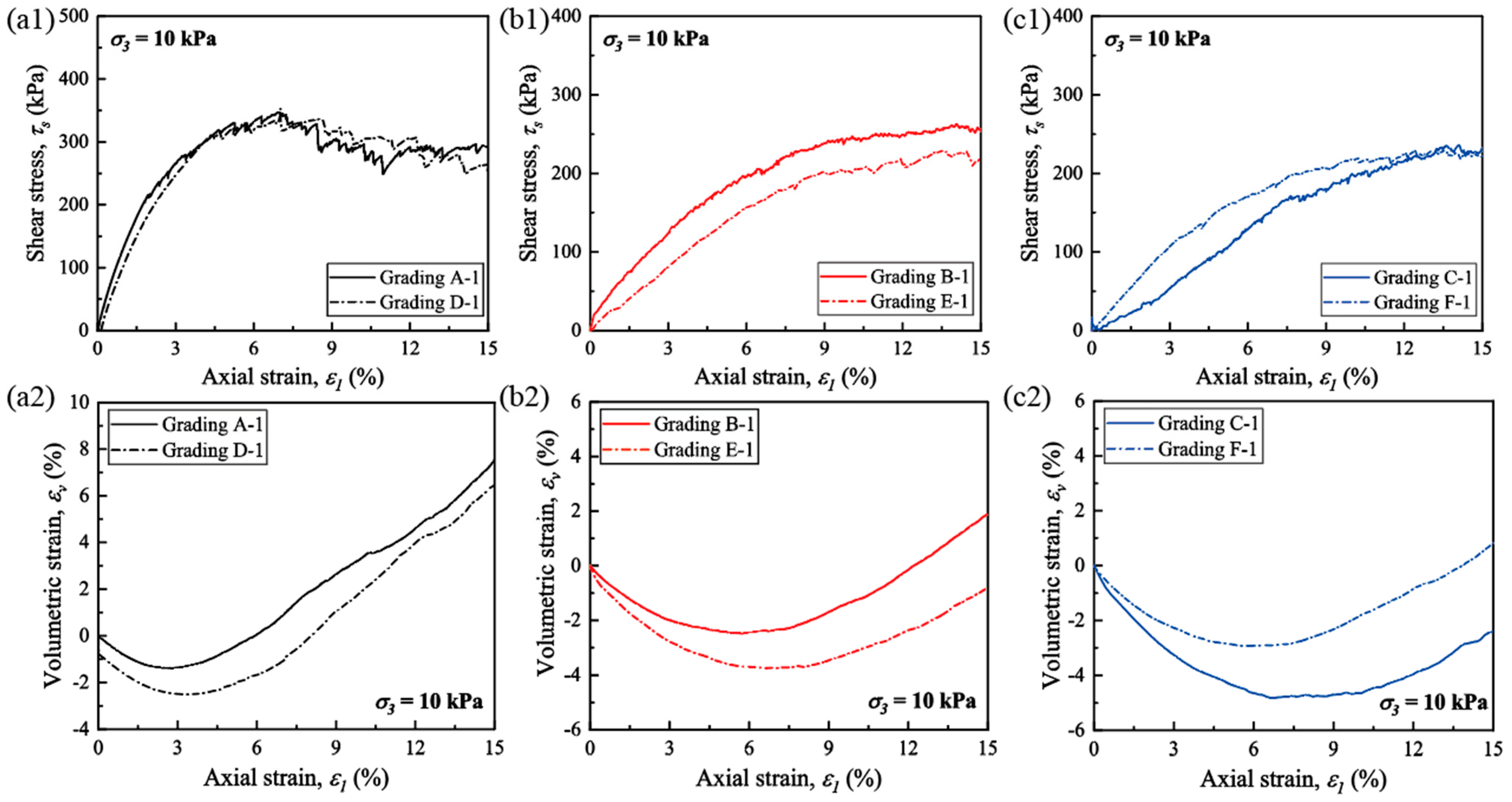
3.2.1. Shear Stress and Volumetric Deformation
3.2.2. Peak Friction Angle
3.2.3. Shear Modulus
3.2.4. Microscopic Characteristics
4. Limitations
- The tensile strength of ballast governs its breakage mainly in the form of bulk splitting, while ballast particles in the track fields could also incur corner abrasion and surface attrition. These two breakage patterns should be considered in future studies to understand thoroughly the degradation behavior of ballast over its service course.
- The ballast clumps used in the current DEM simulations were rigid and could not break. More accurate ballast model needs to be developed to fully represent the mechanical response of the aggregates.
- In light of the ongoing climate change, it is advisable for future research to explore the impact of moisture content on the mechanical behavior of ballast aggregates with varying size gradings, aiming to enhance the sustainability of track systems. Furthermore, the long-term deterioration of ballast in track beds is a critical issue, posing a significant threat to passenger comfort and travel safety. Therefore, it becomes essential to thoroughly incorporate the breakage mechanism into the investigation of how particle size gradings affect ballast performance.
5. Conclusions
- When subjected to diametrical compression, the tensile strength of the tested latite basalt ballast complied with Weibull distribution. The 37% tensile strength (σ0) of the ballast was a function of particle size at failure df, and the variation in σ0 could be described by the Weibull modulus m of 2.35.
- The grading of particles has a significant impact on the shear response of ballast aggregates. Compared to the mono-sized aggregates, their d50-equivalent non-uniformly distributed aggregates exhibited higher shear stress, greater peak friction angle, and 50%-shear modulus, with larger volumetric dilation owing to a better particle packing. These findings suggest that particle size uniformity is an important factor in selecting ideal ballast materials in the construction of ballasted tracks.
- Among all the examined specimens, ballast aggregate conforming to the recommended PSD as per current standards exhibited the most superior mechanical performance. Despite having a wider PSD, the small-sized particles clogged the voids of the aggregate skeleton acting as a lubricant and thus facilitating the movement of larger particles during shearing. Large-sized particles form the aggregate skeleton, and the voids in-between are filled by small-sized particles, which act as lubricant facilitating the movement of larger particles during shearing. Consequently, the shear stress and volumetric dilation were mitigated for aggregates containing a significant proportion of small fines, despite having a wider PSD.
- The anisotropy of contact normals within ballast aggregates increased as shearing progressed. Aggregates with larger d50 generally exhibited a greater coordination number with higher anisotropy of contact normals, which raised the probability of particle breakage within the aggregate during shearing. In contrast, compared to the mono-sized aggregates, their d50-equivalent non-uniformly distributed aggregates had lower coordination numbers due to the excessive presence of rattling or floating fines in the aggregates.
Author Contributions
Funding
Institutional Review Board Statement
Informed Consent Statement
Data Availability Statement
Conflicts of Interest
References
- Selig, E.T.; Waters, J.M. Track Geotechnology and Substructure Management; Thomas Telford: London, UK, 1994; ISBN 978-0-7277-2013-9. [Google Scholar]
- Indraratna, B.; Salim, W.; Rujikiatkamjorn, C. Advanced Rail Geotechnology—Ballasted Track; CRC Press, Taylor & Francis Group: London, UK, 2011; ISBN 978-0-415-66957-3. [Google Scholar]
- Fardin Rosa, A.; Sacramento Aragão, F.T.; Motta, L.M.G. da Effects of Particle Size Distribution and Lithology on the Resistance to Breakage of Ballast Materials. Constr. Build. Mater. 2021, 267, 121015. [Google Scholar] [CrossRef]
- Sun, Q.D.; Indraratna, B.; Nimbalkar, S. Effect of Cyclic Loading Frequency on the Permanent Deformation and Degradation of Railway Ballast. Géotechnique 2014, 64, 746–751. [Google Scholar] [CrossRef]
- Xiao, Y.; Meng, M.; Daouadji, A.; Chen, Q.; Wu, Z.; Jiang, X. Effects of Particle Size on Crushing and Deformation Behaviors of Rockfill Materials. Geosci. Front. 2018, 11, 375–388. [Google Scholar] [CrossRef]
- Lim, W.L.; McDowell, G.R.; Collop, A.C. The Application of Weibull Statistics to the Strength of Railway Ballast. GM 2004, 6, 229–237. [Google Scholar] [CrossRef]
- Qian, Y.; Boler, H.; Moaveni, M.; Tutumluer, E.; Hashash, Y.M.A.; Ghaboussi, J. Degradation-Related Changes in Ballast Gradation and Aggregate Particle Morphology. J. Geotech. Geoenviron. Eng. 2017, 143, 04017032. [Google Scholar] [CrossRef]
- Bian, X.; Shi, K.; Li, W.; Luo, X.; Tutumluer, E.; Chen, Y. Quantification of Railway Ballast Degradation by Abrasion Testing and Computer-Aided Morphology Analysis. J. Mater. Civ. Eng. 2021, 33, 04020411. [Google Scholar] [CrossRef]
- Jaeger, J.C. Failure of Rocks under Tensile Conditions. Int. J. Rock Mech. Min. Sci. Geomech. Abstr. 1967, 4, 219–227. [Google Scholar] [CrossRef]
- McDowell, G.R.; Bolton, M.D. On the Micromechanics of Crushable Aggregates. Géotechnique 1998, 48, 667–679. [Google Scholar] [CrossRef]
- Al-Saoudi, N.K.S.; Hassan, K.H. Evaluation of Indirect Tensile Strength of Track Ballast Using Weibull Statistics. Geotech. Geol. Eng. 2012, 30, 1097–1102. [Google Scholar] [CrossRef]
- Koohmishi, M. Evaluation of the Effect of Water Saturation on the Strength of Individual Railway Ballast Aggregate. Transp. Geotechn. 2019, 18, 163–172. [Google Scholar] [CrossRef]
- Koohmishi, M.; Palassi, M. Evaluation of the Strength of Railway Ballast Using Point Load Test for Various Size Fractions and Particle Shapes. Rock Mech. Rock Eng. 2016, 49, 2655–2664. [Google Scholar] [CrossRef]
- Sun, Y.; Chen, C.; Nimbalkar, S. Identification of Ballast Grading for Rail Track. J. Rock Mech. Geotech. Eng. 2017, 9, 945–954. [Google Scholar] [CrossRef]
- Indraratna, B.; Khabbaz, M.H.; Salim, W.; Lackenby, J.; Christie, D. Ballast Characteristics and the Effect of Geosynthetics on Rril Track Deformation; Faculty of Engineering—Papers (Archive); Quest Publications: Bombay, India, 2004; pp. 3–12. [Google Scholar]
- Nålsund, R. Effect of Grading on Degradation of Crushed-Rock Railway Ballast and on Permanent Axial Deformation. Transp. Res. Rec. 2010, 2154, 149–155. [Google Scholar] [CrossRef]
- Abadi, T.; Pen, L.L.; Zervos, A.; Powrie, W. Improving the Performance of Railway Tracks through Ballast Interventions. Proc. Inst. Mech. Eng. Part F J. Rail Rapid Transit 2018, 232, 337–355. [Google Scholar] [CrossRef]
- Cundall, P.A.; Strack, O.D.L. Discrete Numerical Model for Granular Assemblies. Int. J. Rock Mech. Min. Sci. Geomech. Abstr. 1979, 29, 47–65. [Google Scholar] [CrossRef]
- Huang, H.; Tutumluer, E. Discrete Element Modeling for Fouled Railroad Ballast. Constr. Build. Mater. 2011, 25, 3306–3312. [Google Scholar] [CrossRef]
- Feng, B.; Park, E.H.; Huang, H.; Li, W.; Tutumluer, E.; Hashash, Y.M.A.; Bian, X. Discrete Element Modeling of Full-Scale Ballasted Track Dynamic Responses from an Innovative High-Speed Rail Testing Facility. Transp. Res. Rec. 2019, 2673, 036119811984647. [Google Scholar] [CrossRef]
- Gong, G.; Thornton, C.; Chan, A.H.C. DEM Simulations of Undrained Triaxial Behavior of Granular Material. J. Eng. Mech. 2012, 138, 560–566. [Google Scholar] [CrossRef]
- Ngo, N.T.; Indraratna, B.; Rujikiatkamjorn, C. Micromechanics-Based Investigation of Fouled Ballast Using Large-Scale Triaxial Tests and Discrete Element Modeling. J. Geotech. Geoenviron. Eng. 2017, 143, 04016089. [Google Scholar] [CrossRef]
- Liu, Y.; Gao, R.; Chen, J. Exploring the Influence of Sphericity on the Mechanical Behaviors of Ballast Particles Subjected to Direct Shear. Granul. Matter 2019, 21, 94. [Google Scholar] [CrossRef]
- Tutumluer, E.; Huang, H.; Hashash, Y.M.A.; Ghaboussi, J. AREMA Gradations Affecting Ballast Performance Using Discrete Element Modeling (DEM) Approach; American Railway Engineering Association: Chicago, IL, USA, 2009. [Google Scholar]
- TB/T 2140-2008; The Chinese Standard of Railway Ballast. Ministry of Railways of the PRC: Beijing, China, 2008.
- Nakata, Y.; Kato, Y.; Hyodo, M.; Hyde, A.F.L.; Murata, H. One-Dimensional Compression Behaviour of Uniformly Graded Sand Related to Single Particle Crushing Strength. Soils Found. 2001, 41, 39–51. [Google Scholar] [CrossRef] [PubMed]
- McDowell, G.R.; Amon, A. The Application of Weibull Statistics to the Fracture of Soil Particles. Soils Found. 2000, 40, 133–141. [Google Scholar] [CrossRef] [PubMed]
- Ferellec, J.F.; McDowell, G.R. A Method to Model Realistic Particle Shape and Inertia in DEM. Granul. Matter 2010, 12, 459–467. [Google Scholar] [CrossRef]
- Wadell, H. Volume, Shape, and Roundness of Quartz Particles. J. Geol. 1935, 43, 250–280. [Google Scholar] [CrossRef]
- Chen, J.; Indraratna, B.; Vinod, J.S.; Ngo, N.T.; Gao, R.; Liu, Y. Stress-Dilatancy Behaviour of Fouled Ballast: Experiments and DEM Modelling. Granul. Matter 2021, 23, 90. [Google Scholar] [CrossRef]
- Chen, J.; Vinod, J.S.; Indraratna, B.; Ngo, T.; Liu, Y. DEM Study on the Dynamic Responses of a Ballasted Track under Moving Loading. Comput. Geotech. 2023, 153, 105105. [Google Scholar] [CrossRef]
- Indraratna, B.; Lackenby, J.; Christie, D. Effect of Confining Pressure on the Degradation of Ballast under Cyclic Loading. Geotechnique 2005, 55, 325–328. [Google Scholar] [CrossRef]
- Indraratna, B.; Tennakoon, N.C.; Nimbalkar, S.S.; Rujikiatkamjorn, C. Behaviour of Clay-Fouled Ballast under Drained Triaxial Testing. Géotechnique 2013, 63, 410–419. [Google Scholar] [CrossRef]
- Lee, D.-M. Angles of Friction of Granular Fills. Ph.D. Dissertation, University of Cambridge, Cambridge, UK, 1992. [Google Scholar]
- Indraratna, B.; Ionescu, D.; Christie, H.D. Shear Behavior of Railway Ballast Based on Large-Scale Triaxial Tests. J. Geotech. Geoenviron. Eng. 1998, 124, 439–449. [Google Scholar] [CrossRef]
- Qian, Y.; Mishra, D.; Tutumluer, E.; Kazmee, H.A. Characterization of Geogrid Reinforced Ballast Behavior at Different Levels of Degradation through Triaxial Shear Strength Test and Discrete Element Modeling. Geotext. Geomembr. 2015, 43, 393–402. [Google Scholar] [CrossRef]
- Bian, X.; Jiang, J.; Jin, W.; Sun, D.; Li, W.; Li, X. Cyclic and Postcyclic Triaxial Testing of Ballast and Subballast. J. Mater. Civ. Eng. 2016, 28, 04016032. [Google Scholar] [CrossRef]
- Chen, J.; Gao, R.; Liu, Y.; Shi, Z.; Zhang, R. Numerical Exploration of the Behavior of Coal-Fouled Ballast Subjected to Direct Shear Test. Constr. Build. Mater. 2021, 273, 121927. [Google Scholar] [CrossRef]
- Rohrman, A.K.; Ho, C.L. Effects of Fouling Containing Plastic Fines on Abraded Ballast Strength and Deformation Properties. Transp. Geotech. 2019, 21, 100278. [Google Scholar] [CrossRef]
- Ouadfel, H.; Rothenburg, L. An Algorithm for Detecting Inter-Ellipsoid Contacts. Comput. Geotech. 1999, 24, 245–263. [Google Scholar] [CrossRef]
- Thornton, C. Numerical Simulations of Deviatoric Shear Deformation of Granular Media. Géotechnique 2000, 50, 43–53. [Google Scholar] [CrossRef]
- Satake, M. Fundamental Quantities in the Graph Approach to Granular Materials. Stud. Appl. Mech. 1983, 7, 9–19. [Google Scholar] [CrossRef]














| Parameters | Values |
|---|---|
| Particle density (kg/m3) | 2500 |
| Normal contact stiffness between particle and wall, knw | 2.0 × 107 |
| Shear contact stiffness between particle and wall, ksw | 2.0 × 107 |
| Normal contact stiffness between particles, knp | 5.0 × 107 |
| Shear contact stiffness between particles, ksw | 5.0 × 107 |
| Coefficient of friction between particle and wall, | 0.1 |
| Coefficient of friction between particles, | 0.5 |
| Damping ratio | 0.7 |
| ID | Grading Type | Sample ID | Confining Pressure σ3 |
|---|---|---|---|
| 1 | Grading A (12 mm~65 mm) | Grading A-1 | 10 kPa |
| 2 | Grading A-2 | 30 kPa | |
| 3 | Grading A-3 | 60 kPa | |
| 4 | Grading B (6 mm~32.5 mm) | Grading B-1 | 10 kPa |
| 5 | Grading B-2 | 30 kPa | |
| 6 | Grading B-3 | 60 kPa | |
| 7 | Grading C (2 mm~65 mm) | Grading C-1 | 10 kPa |
| 8 | Grading C-2 | 30 kPa | |
| 9 | Grading C-3 | 60 kPa | |
| 10 | Grading D (42 mm) | Grading D-1 | 10 kPa |
| 11 | Grading D-2 | 30 kPa | |
| 12 | Grading D-3 | 60 kPa | |
| 13 | Grading E (21 mm) | Grading E-1 | 10 kPa |
| 14 | Grading E-2 | 30 kPa | |
| 15 | Grading E-3 | 60 kPa | |
| 16 | Grading F (27 mm) | Grading F-1 | 10 kPa |
| 17 | Grading F-2 | 30 kPa | |
| 18 | Grading F-3 | 60 kPa |
Disclaimer/Publisher’s Note: The statements, opinions and data contained in all publications are solely those of the individual author(s) and contributor(s) and not of MDPI and/or the editor(s). MDPI and/or the editor(s) disclaim responsibility for any injury to people or property resulting from any ideas, methods, instructions or products referred to in the content. |
© 2023 by the authors. Licensee MDPI, Basel, Switzerland. This article is an open access article distributed under the terms and conditions of the Creative Commons Attribution (CC BY) license (https://creativecommons.org/licenses/by/4.0/).
Share and Cite
Chen, J.; Liu, Y.; Hu, Q.; Gao, R. Effects of Particle Size and Grading on the Breakage of Railway Ballast: Laboratory Testing and Numerical Modeling. Sustainability 2023, 15, 16363. https://doi.org/10.3390/su152316363
Chen J, Liu Y, Hu Q, Gao R. Effects of Particle Size and Grading on the Breakage of Railway Ballast: Laboratory Testing and Numerical Modeling. Sustainability. 2023; 15(23):16363. https://doi.org/10.3390/su152316363
Chicago/Turabian StyleChen, Jing, Yangzepeng Liu, Qihang Hu, and Rui Gao. 2023. "Effects of Particle Size and Grading on the Breakage of Railway Ballast: Laboratory Testing and Numerical Modeling" Sustainability 15, no. 23: 16363. https://doi.org/10.3390/su152316363
APA StyleChen, J., Liu, Y., Hu, Q., & Gao, R. (2023). Effects of Particle Size and Grading on the Breakage of Railway Ballast: Laboratory Testing and Numerical Modeling. Sustainability, 15(23), 16363. https://doi.org/10.3390/su152316363
