Next Article in Journal
Monitoring of Phosphorus Compounds in the Influence Zone Affected by Nuclear Power Plant Water Discharge in the Styr River (Western Ukraine): Case Study
Previous Article in Journal
The Relationship between Physical Fitness and Cognitive Functions in Older People: A Systematic Review
 
 
Font Type:
Arial Georgia Verdana
Font Size:
Aa Aa Aa
Line Spacing:
Column Width:
Background:
Article

Effect of Magnetized Water-Based Alkaline Activator on Geopolymer Concrete Mechanical Performance and Durability

by
Sarah A. Khattab
1,
Mohamed M. Yousry Elshikh
1,
Walid E. Elemam
1,
Ahmed A. Elshami
2 and
Osama Youssf
1,*
1
Structural Engineering Department, Mansoura University, Mansoura 35516, Egypt
2
Housing & Building National Research Centre, Dokki, Giza 12611, Egypt
*
Author to whom correspondence should be addressed.
Sustainability 2023, 15(23), 16315; https://doi.org/10.3390/su152316315
Submission received: 18 October 2023 / Revised: 22 November 2023 / Accepted: 24 November 2023 / Published: 26 November 2023
(This article belongs to the Section Sustainable Engineering and Science)

Abstract

:
One of the most important challenges in developing the concrete industry is to use sustainable materials that are able to improve concrete properties. Magnetized water (MW) is a type of water that can replace tap water (TW) in conventional concrete and enhance its mechanical properties. However, the performance of MW in geopolymer concrete has not been well investigated up to now. The goal of this study is to measure the effect of using an alkaline activator (AA) made of MW on the mechanical properties and durability of fly ash (FA)-based geopolymer concrete. The AA was a mixture of sodium hydroxide (SH) solution and sodium silicate (SS) solution. Eighteen geopolymer concrete mixes were tested for several fresh, hardened, and durability properties. Of these mixes, nine were prepared with AA made of MW and the other nine were the same but prepared with AA made of TW. The preparation of MW was simply carried out by passing TW across permanent magnets of 1.6 Tesla, and then 1.4 Tesla intensities for 150 cycles. The MW-based AA properties were analyzed and compared to those of the conventional TW-based AA. Several mechanical and durability properties were measured. Scanning electronic microscopy (SEM) analysis was also conducted on selected mixes. The outcomes of the hardened concrete tests demonstrated that while using MW to prepare AA solution contained SH with a molarity of 16 M, an SS/SH ratio of 2, an AA/C ratio of 0.4, a W/C ratio of 10%, and a curing temperature of 115 °C could display the best outcomes in this study when used in geopolymer concrete. Using MW in a geopolymer concrete AA could increase its slump by up to 100% compared to that made of TW. Using MW in the AA enhanced the compressive strength by up to 193%, 192%, and 124% after 7, 28, and 56 days, respectively. The SEM analysis showed that using MW clearly enhanced the surface morphology of geopolymer concrete. The proposed geopolymer concrete made using the MW-based AA in this study sheds the light on a new class of eco-friendly concrete that could possibly be used in many structural applications.

1. Introduction

In recent decades, the concrete industry used about 10 billion tons of Portland cement, sand, gravel, and crushed rock, and more than 1 trillion liters of drinking water to produce concrete every year due to the high demand of concrete infrastructures in modern societies. This caused significant environmental effects and a reduction in the natural resources. Therefore, it is of great interest to focus on developing new techniques to make concrete structures more sustainable [1]. This can be achieved by increasing concrete strength and durability while minimizing the Portland cement and drinking water consumption [1]. Magnetized water (MW) is a normal tap water (TW) that is passed through electric or permanent magnets to change some of its physical characteristics [2]. As a result, the number of molecules in water compounds increases, causing the surface tension of water to decrease [3]. When water is exposed to magnetic fields, the water chemical reactions change due to the dissolution and deposition of soluble salts [4]. When TW passes across the magnetic flux, big clusters of water break into smaller ones; see Figure 1. This enhances the solubility, moisture, and reactivity of water [5].
MW has been used in many countries around the world in concrete mixing. Fu and Wang [6] used MW in manufacturing traditional Portland cement concrete. Similar studies were performed in Europe, Japan, and China, and confirmed that MW can improve the Portland cement concrete strength by up to 10% [7,8]. During the hydration reaction of cement, MW has a high ability to approach the full body of cement particles, which make it very efficient during that reaction [5]. Su and Wu [9] utilized MW prepared in a magnetic domain of 0.8–1.2 T, resulting in a 15–20% increase in mortar compressive strength. Su et al. [10] studied the workability and strength of cement mortar, as well as concrete made of MW and granular blast furnace slag. The compressive strength of mortar increased by 9–19% and that of concrete by 10–23%. They stated that using MW rather than TW could reduce the quantity of cement used by 5%, enhance the concrete’s freeze resistance, and minimize the bleeding of concrete. Weilin et al. [11] mentioned that the use of magnetic curing for slurry enhanced the compressive strength of cement by 54%, the bending strength by 39%, and the bond strength by 20%. To determine which water treatment characteristics are most effective during water magnetization, Saddam [12] studied the impact of water discharge and velocity on concrete compressive strength and consistency. The outcomes revealed that the best results of compressive strength and workability could be achieved when the water discharge was 0.22 L/s and the water velocity was 0.71 m/s.
The impact of MW on improving the mechanical properties of concrete has been studied by Afshin et al. [13]. They discovered that the slump value of concrete mixed with MW was higher than that of TW concrete. The use of MW in concrete resulted in a 18% improvement in compressive strength. In addition, the cement amount could be reduced by 28% while maintaining the same workability and strength of concrete. Abdel-Magid et al. [14] demonstrated that MW can significantly decrease the quantum of water required in the concrete mix. They stated that the concrete workability can be enhanced by up to 400% when MW was used. The use of MW can significantly reduce the amount of water required for concrete mixing to maintain the same amount as that of TW. Gholhaki et al. [15] stated that concrete that was prepared with MW had a 28-day splitting tensile strength value of 3.70–4.15 MPa, in comparison to 3.5 MPa for the corresponding TW mix. The concrete flexural strengths were enhanced by 15%, 11%, 6%, and 3% when MW was prepared in a magnetic field using 10, 20, 40, and 80 cycles, respectively.
Ordinary Portland cement used to produce conventional concrete has a detrimental adverse effect on the environment as it releases a large amount of warm gases, especially carbon dioxide (CO2), in which the production of 1 ton of ordinary Portland cement releases about 1 ton of CO2 [16]. The amount of CO2 in the atmosphere was reported to have a high level of 917 part of a million [17]. Therefore, it was necessary to develop environmentally sustainable solutions in the construction industry such as the use of geopolymer concrete. The geopolymer reaction occurring in geopolymer concrete is the reaction of aluminum silicate-rich material with an alkali activator (usually based on sodium). The natural sources of aluminum silicate include kaolinite, clays, micas, alousite, spine, slag, silica fume, and fly ash (FA) [18]. The use of FA in concrete improves its strength and durability [19]. A reduction in CO2 by 80% can be achieved when using geopolymer concrete instead of Portland cement concrete [20]. Many previous research studies have been conducted on geopolymer concrete prepared with TW [21,22]; however, limited research has used MW in geopolymer concrete. MW was used by Sevim et al. [23] to improve slag-based geopolymer concrete properties that incorporated ceramic tile waste. They used an AA made of sodium hydroxide at different molarities. The produced concrete was cured in different curing temperatures, namely, 60, 80, 100, and 110 °C. The researchers prepared MW by passing TW for 20 min through an electric motor with a magnetic field strength of 0.6 T. They found that the best properties of slag-based geopolymer concrete can be produced with 16 M sodium hydroxide and with a curing temperature of 100 °C for 24 h.
As per the literature review above and to the best of the authors’ knowledge, the use of an AA made of MW in producing FA-based geopolymer concrete has not been investigated yet, and it can be a promising way of enhancing geopolymer concrete properties and durability. MW was used in preparing the AA of geopolymer concrete that consisted of sodium silicate (SS) and sodium hydroxide (SH). Variables like the AA molarity (10 M, 16 M, and 20 M), AA concentration (SS/SH of 2.0, 2.5, and 3.0), AA to cementitious material (AA/C) ratio (0.4, 0.5, and 0.6), water to cementitious material (W/C) ratio (10%, 12.5%, and 15%), and concrete curing temperature (60 °C, 90 °C, and 115 °C) were applied in this study. Eighteen geopolymer concrete mixes were tested for several fresh, hardened, and durability properties. Scanning electronic microscopy (SEM) analysis was conducted on selected mixtures. The MW-based AA properties were analyzed and compared to those of the conventional TW-based AA. The proposed geopolymer concrete made using a MW-based AA in this study can not only reduce environmental impact, but also offer improved performance, which can attract many concrete manufacturers.

2. Experimental Program

2.1. Materials

Low calcium FA (class F), according to ASTM C618 [24], with a specific gravity and specific surface area of 2.31 and 5000 cm2/gm, respectively, was used as the cementitious material of geopolymer concrete. Table 1 displays the X-ray diffraction (XRD) analysis results (chemical composition) of the utilized FA, as provided by the supplier. The FA used in this study was purchased from the CEMGUARD® company (Wooler, UK) that is offering FA in bags with a weight of 25–40 kg each. The fine aggregate used was river sand, passing through a 4.75 mm sieve size, which had 2.65 specific gravity and 2.73 fineness modulus, according to ECP 203/2007 [25]. The coarse aggregate used was washed gravel with 2.6 specific gravity, 23% crushing modulus, and 10 mm maximum aggregate size. A mixture of SH solution and SS solution was the AA for the geopolymer concrete. The SS solution contained SiO2 = 29.4%, Na2O = 14.7%, and water = 55.9%, as per the product data sheet, and had a specific gravity of 1.4. The SH solution with a specific gravity of 1.1 was applied in three different molarities, namely, 10 M, 16 M, and 20 M. The preparation of 10 M SH solution was conducted by dissolving 400 g (10× molecular weight) of solid SH in each 1 L of TW or MW for 5 min. The solid SH had 40 g molecular weight, 98% purity, and was in the form of pellets. The preparations of 16 M or 20 M SH solutions were conducted by following the same procedures of preparing the 10 M SH solution, but with dissolving 640 g or 800 g, respectively, of solid SH in each 1 L of TW or MW for 5 min. The prepared SH solution was stirred and left to cool down for 2 h, before it was mixed with the SS solution and then stirred again for 30 min. The AA solution was prepared 24 h before it was used in geopolymer concrete mixing.
The water used in this study consists of two types, TW and MW. The preparation of the MW involved passing TW for 150 cycles through two permanent magnets with intensities of 1.6 T and 1.4 T. The magnets used were purchased from Delta Water Magnetic Processing Company (Cairo, Egypt) and they were manufactured with Japanese technology. The magnets operate without any electrical source and only with their own natural magnetic energy. The magnets were manufactured with high-end stainless steel volumes that do not repel, corrode, or are influenced by air factors. The total time taken for the water magnetization was about 2 h (50 s for each magnetization cycle). Previous researchers used these permanent magnets in several ways and cycles to magnetize the water for concrete mixing, and recommended that the best results can be achieved when the water passes across the 1.6 T magnet first, and then the 1.4 T magnet, for 150 cycles [26]. The water magnetization was implemented with one water flux system involving some water pipes, a water pump, a water tank, and some valves to control the direction of the water flux, as shown in Figure 2, by opening valves 1, 4, 6, and 7 and closing valves 2, 3, 5, and 8.

2.2. Variables and Mixes

The effect of MW was measured on geopolymer concrete mixes including some variables such as AA molarity (10 M, 16 M, and 20 M), AA concentration (SS/SH of 2.0, 2.5, and 3.0), AA/C ratio (0.4, 0.5, and 0.6), W/C ratio (10%, 12.5%, and 15%), and concrete curing temperature (60 °C, 90 °C, and 115 °C). A constant FA content of 428 kg/m3 and a constant coarse to fine aggregate ratio of 1.85 were used in all mixes. The chosen ranges of variables in this study were based on recommended ranges in previous studies [27,28,29] that can give a good performance of geopolymer concrete.
The concrete mixing was performed according to ASTM C305 [30]. A total of eighteen mixes was prepared and tested in this study. Half of the mixes (nine mixes) was prepared using TW in the AA as well as the added water to the mix. The other half (nine mixes) was prepared in exactly the same way as the first half, but using MW in the AA as well as the added water to the mix. Table 2 shows the design of the main nine mixes in this study. The control mix M1 was designed with 428 kg/m3 FA, an SH molarity of 16 M, an SS/SH ratio of 2.0, an AA/C ratio of 0.4, and a W/C ratio of 10%. The effect of changing the SH molarity was measured on mixes M2, M1, and M3 with 10 M, 16 M, and 20 M, respectively. The effect of the AA concentration was measured on mixes M1, M4, and M5 for an SS/SH of 2.0, 2.5, and 3.0, respectively. The effect of different AA/C ratios, namely, 0.4, 0.5, and 0.6, was measured on mixes M1, M6, and M7, respectively. The effect of different W/C ratios, namely, 10%, 12.5%, and 15%, was measured on mixes M1, M8, and M9, respectively. All mixes were cured at 115 °C, and the effect of different curing temperatures, namely, 60 °C, 90 °C, and 115 °C, was measured on the control mix M1 (made with TW/MW) by curing different specimens at the different temperatures. Figure 3 shows the variables and mixes assigned in this study.
The mixing procedures started by dry mixing the FA and concrete aggregates for 3 min. The AA was mixed with water (TW or MW) then the total liquid was then added and mixed for another 8 min. The fresh concrete was cast in the molds and compacted using hammer and rod. After 24 h in ambient temperature, the specimens were de-molded and then heat-cured for 48 h in an oven with the required curing temperatures (60 °C, 90 °C, or 115 °C). The specimens were taken out from the oven, wrapped in aluminum foil sheets, and then left to cure in ambient temperature up to the testing days, as shown in Figure 4.

2.3. Specimens Preparation and Testing

2.3.1. Water and Alkaline Activator

TW and MW were tested for their physical and chemical properties including density, pH, surface tension temperature, electrical conductivity (EC), and total dissolved salts (TDS). The same type of tests was also conducted on the alkaline activators (SS + SH) with a concentration of 2.0 and a molarity of M16. Figure 5 shows the devices used to measure the physical and chemical properties of water/AA. A portable pocket size meter was used to record the temperature and electrical conductivity of the water and AA, according to ECTEMP-913 [30]. The meter had a light titanium alloy electrode and an easy-to-read LCD screen. The meter could measure liquid temperature with a range of −9 °C to 70 °C, and liquid electrical conductivity with a range of 0–9990 µs/cm. A digital pH meter was used to measure the pH values according to [31]. The pH meter was equipped with an acid bag of 4.01 pH value and a base bag of 6.86 pH value. A portable TDS meter was used to measure the TDS in water/AA in accordance with TDS-3 [32]. The TDS meter had a measuring capacity of up to 9990 ppm. To calculate the density, a graduated beaker was used to measure the water/AA volume, a sensitive scale (5000 g capacity) was used to measure the corresponding weight, and then the density was determined as [weight/volume]. The water/AA surface tension was calculated by using capillary pipes and then recording the capillary rise [33]. Equation (1) was used to determine surface tension:
ST = ρ × r × g × h 2
where ST is the surface tension (N/m), ρ is the liquid density (kg/ m 3 ), r is the radius of the capillary tube (m), g is the gravity (m/ s 2 ) , and h is the high liquid inside the capillary tube (m).

2.3.2. Fresh, Hardened, and Durability Properties

Fresh, hardened, and durability properties were measured for the prepared geopolymer concrete mixes. The concrete workability was measured using the slump test according to ASTM C143 [34], which determines the homogeneity and the ease with which concrete can be mixed. Three concrete cubes 100 mm3 per measure per mix were caste for measuring the compressive strength at the ages of 7, 28, and 56 days according to EN 12390-3:2009 [35], using a universal testing machine with a capacity of 2000 kN. Two 100 × 100 × 500 mm prisms were prepared to measure the concrete flexure strength at 28 days using a universal testing machine with a capacity of 200 ton according to [36]. Three 100 × 200 mm cylinder specimens per mix were prepared to measure the splitting tensile strength of concrete at 28 days according to [37], using a 2000 kN capacity compression machine.

2.3.3. Water Permeability

A water permeability test was performed on the geopolymer concrete mixes with different AA concentrations (M1, M4, and M5) according to [38]. The test was carried out on three specimens taken from each mix at a concrete age of 28 days, as shown in Figure 6. The device was connected to a conventional air compressor capable of supplying at least 5 bar of compressed air continuously, and was equipped with a dehumidification system. The specimens were placed on the apparatus in such a manner that the water pressure acts on the test area that has a 75 mm diameter at the center of each concrete cube. Water pressure of 500 ± 50 kPa was then applied on the test area for 72 h. After the test was completed, each specimen was removed from the apparatus, wiped to remove excess water, and split into two halves perpendicular to the face where the water pressure was applied. The depth of water penetration to the concrete was recorded from each specimen half and averaged for the required comparisons.

2.3.4. Microstructural Analysis

Scanning electronic microscopy (SEM) analysis was conducted on selected mixes (M1 and M9) in this study. These mixes were chosen to study in depth the effects of using MW at different W/C ratios compared to TW. Concrete samples were taken from the tested specimens of mixes M1 and M9, one made of TW and the other made of MW. Each concrete sample was prepared by covering it using a gold layer with a 12 nm thickness, and then scanned using a JEOL JSM 6510 lv microscope (Mansoura University, Mansura, Egypt) with an acceleration voltage of 30 kV.

3. Results and Discussion

3.1. Water and Alkaline Activator

Table 3 shows the physicochemical characteristics measured for the tested water and AA. The characteristics of water changed after magnetization in which the temperature, pH, TDS, and EC increased by an average of 15%, 14%, 14%, and 6%, respectively. The density of water showed no significant changes when water was magnetized; however, the surface tension of the water decreased by an average of 4%. For the AA, using MW in preparing the AA increased the temperature and pH of the solution by an average of 12% and 9%, respectively, and decreased the TDS, EC, and ST by an average of 9%, 26%, and 11%, respectively. However, no significant difference was recorded in the AA solution density when prepared using MW. The temperature increase of water/AA after magnetization could be due to the effect of the magnetic field in dispersing the water molecules for a high number of cycles (150 cycles), which might increase the friction among the molecules, and hence increase the temperature. The water pH enhancement with magnetization is related to the fact that more H + ions were absorbed and therefore more O H ions were left the water/AA [39,40,41]. The water TDS increase after magnetization is a result of large water masses being broken up by the effect of magnetic forces. Adding MW to the AA solution reduces the minerals in the solution and purifies it, which increases the rate of sterilization of MW, and hence reduces the proportion of TDS in the AA solution. The EC is influenced by the concentration of ions, which explains the increase in EC after the magnetization of water. The loss in EC of the AA solution prepared with MW is due to the dissolution of sodium hydroxide in MW that led to the chemical reaction and production of ions, some of which were found to be non-free, and hence the EC of the prepared AA solution was reduced. The reduction in surface tension of water/AA is due to the temperature increase and the water molecule dispersion under the influence of the magnetic field, which caused a change in the molecules’ distribution and polarization [41]. In addition, the interaction between the sodium hydroxide and MW breaks the hydrogen bond between molecules, which reduces the AA surface tension. As the density of water/AA depends on the density of their ingredients, and due to the insignificant effect of water magnetization on its density, the prepared AA solution using MW did not show a significant change in its density.

3.2. Fresh and Hardened Mechanical and Durability Properties

3.2.1. Workability

Figure 7 shows the measured slump values of geopolymer concrete mixes made of TW or MW. As shown, using MW overall significantly increased the geopolymer concrete slump by 30–183%. The concrete slump enhancement using MW can be due to the repealing force between the molecules of MW and the spherical shape of FA [9,42]. Increasing the SH molarity from 10 M (M2) to 16 M (M1) decreased the geopolymer concrete slump by 9% when TW was used and by 13% when MW was used, and raising the SH molarity to 20 M (M3) decreased the concrete slump by 20% when either TW or MW was used. The decrease in slump with increasing SH molarity may be due to the increase in solution viscosity [43]. The SS/SH ratio had a clear effect on the geopolymer concrete slump in which the slump increased by 100% and 90% when TW was used, and increased by 30% and 40% when MW was used at the SS/SH ratios of 2.5 (M4) and 3.0 (M5), respectively, compared with those slump values reported at the SS/SH ratio of 2.0 (M1). The enhanced concrete slump with increasing the SS concentration in the AA solution is due to the relatively higher viscosity of the solution which worked as lubrication to the concrete ingredients.

3.2.2. Compressive Strength

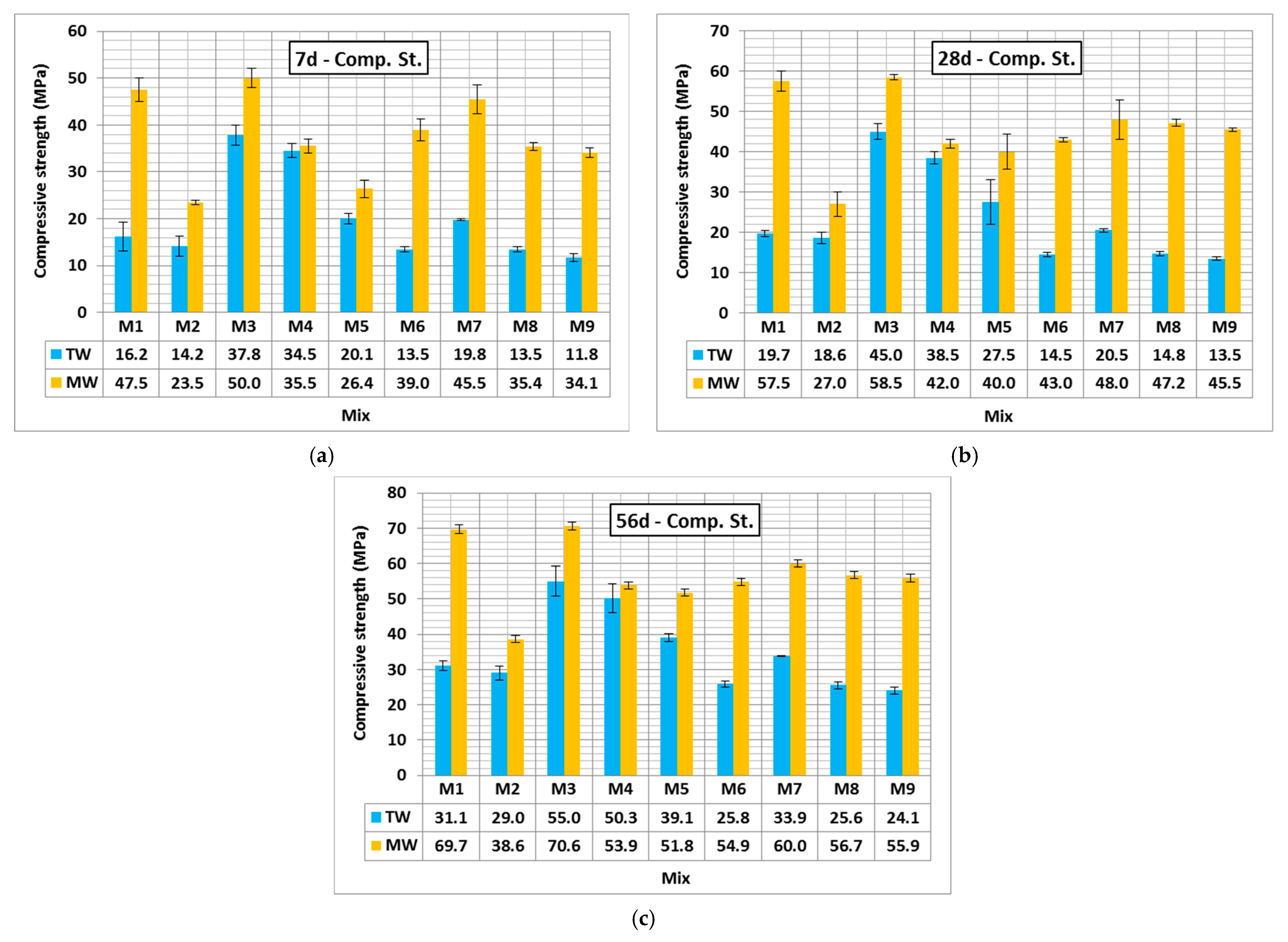
The compressive strength of the concrete mixes in this study is shown in Figure 8. As shown, using MW significantly increased the geopolymer concrete compressive strength by an average of 122%, 134%, and 81%, respectively, at 7, 28, and 56 days. The geopolymer concrete compressive strength enhancement using MW is related to the capability of MW to penetrate the FA particles, making the hydration reaction more effective and complete. Increasing the SH molarity from 10 M (M2) to 16 M (M1) increased the geopolymer concrete compressive strength by 14%, 6%, and 7% at 7, 28, and 56 days, respectively, when TW was used, and increased the compressive strength by relatively higher percentages such as 102%, 113%, and 81% at 7, 28, and 56 days, respectively, when MW was used. Raising the SH molarity to 20 M (M3) increased the concrete compressive strength by 166%, 142%, and 90% at 7, 28, and 56 days, respectively, when TW was used, and increased the compressive strength by 113%, 116%, and 83% at 7, 28, and 56 days, respectively when MW was used, compared with the compressive strength values at 10 M (M2). Figure 9 shows the compressive strength of mixes made with different SH molarity. The increase in compressive strength with increasing SH molarity is due to the increase of sodium ions in the geopolymer concrete mix, which is important in the geopolymerization process as sodium ions are used to balance cargos and build alumino–silicate networks from the source binder materials into the geopolymer concrete mix [44,45].
Compared with the SS/SH ratio of 2.0, the compressive strength obviously increased at the SS/SH ratio of 2.5 by 113%, 95%, and 62% at 7, 28, and 56 days, respectively, when TW was used. However, the compressive strength decreased at the SS/SH ratio of 2.5 by 25%, 27%, and 23% at 7, 28, and 56 days, respectively, when MW was used. The relatively higher SS/SH ratio of 3.0 showed less effectiveness as the compressive strength increased by 24%, 40%, and 26% at 7, 28, and 56 days, respectively, when TW was used. However, the compressive strength decreased at the SS/SH ratio of 3.0 by 44%, 30%, and 26%, respectively, when MW was used. Figure 10 shows the compressive strength of mixes made with different SS/SH ratios. The decreased geopolymer concrete compressive strength with the SS/SH ratio increase is due to the excessive production of OH- that was left in the system when the SS content increased, which weakened the geopolymer structure, and hence increasing OH- adversely affects the compressive strength [46].
The influence of the curing temperature on geopolymer concrete compressive strength was investigated on mix M1 by exposing its specimens to different elevated temperatures, namely, 60 °C, 90 °C, and 115 °C. As shown in Figure 11, when TW was used, the curing temperature increase from 60 °C to 90 °C displayed a compressive strength increase by an average of 15% at all ages. Raising the curing temperature to 115 °C showed an additional strength increase by an average of 8% at all ages, compared with that measured at 90 °C. When MW was used, the curing temperature increase from 60 °C to 90 °C displayed a slight enhancement in the compressive strength by an average of 7% at all ages. Raising the curing temperature to 115 °C resulted in an additional compressive strength increase by an average of 19% at all ages, compared to that measured at 90 °C. The strength increase with increasing the curing temperature in the presence of TW or MW is attributed to the improved rate of the chemical reaction (polymerization process) occurring within the geopolymer concrete which results in higher compressive strength.

3.2.3. Flexural Strength

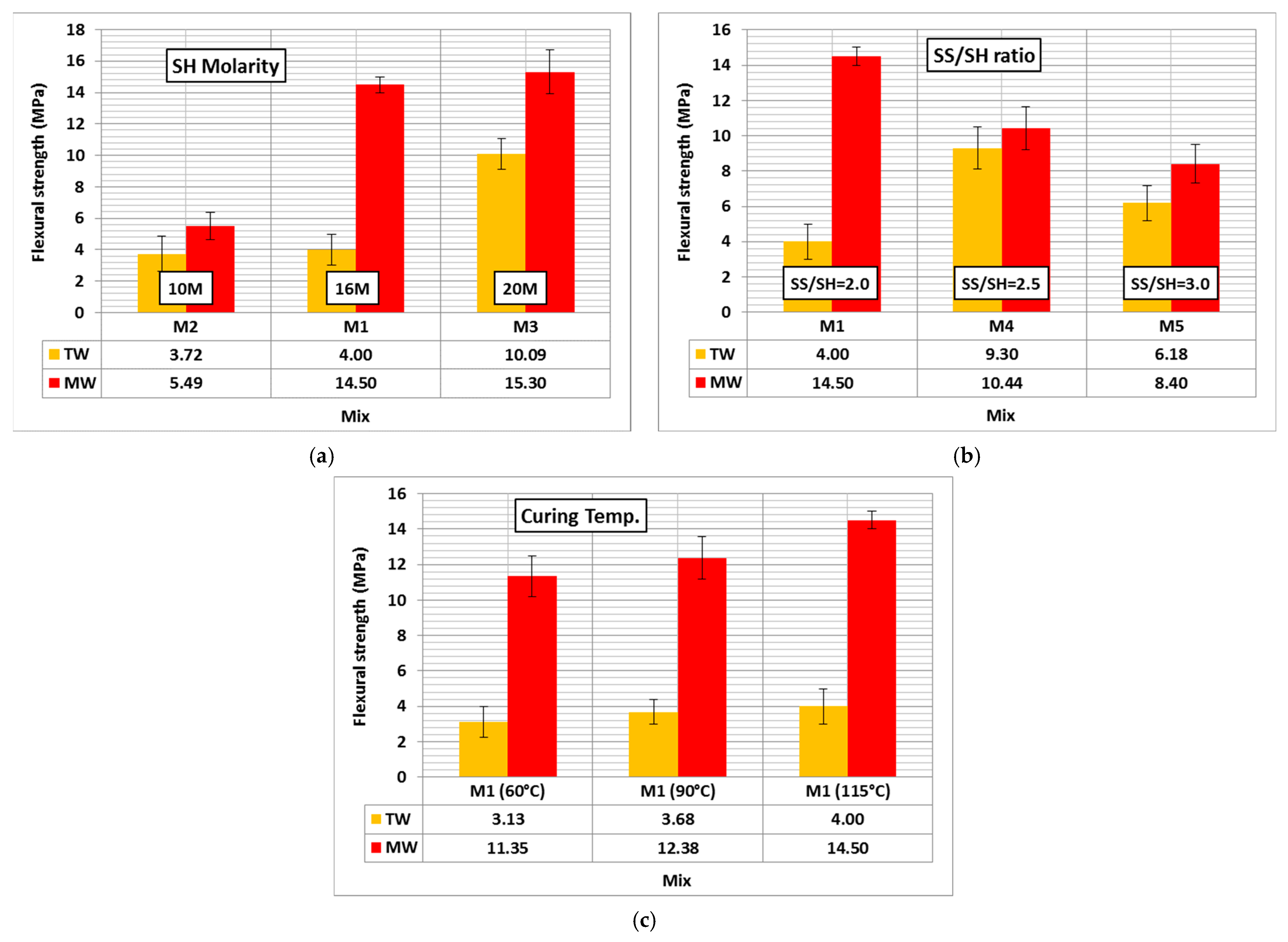
Figure 12 shows the measured flexural strength for concrete mixes made of TW or MW. Similar to what was observed in the corresponding compressive strength and due to the same reasons, using MW significantly increased the geopolymer concrete flexural strength at 28 days by an average of 146%. Increasing the SH molarity from 10 M (M2) to 16 M (M1) increased the geopolymer concrete flexural strength by 8% and 164% when TW and MW were used, respectively. However, raising the SH molarity to 20 M (M3) increased the concrete flexural strength by 171% and 179% when TW and MW were used, respectively, compared with the SH molarity of 10 M, as shown in Figure 13a. Compared with the SS/SH ratio of 2.0, the flexural strength obviously increased at the SS/SH ratio of 2.5 by 133% when TW was used. However, the flexural strength decreased at the SS/SH ratio of 2.5 by 28% when MW was used. The flexural strength increased at the SS/SH ratio of 3.0 by 55% when TW was used. However, the flexural strength decreased at the SS/SH ratio of 3.0 by 42% when MW was used, as shown in Figure 13b. Similar to the influence of the curing temperature on the geopolymer concrete compressive strength, when TW was used, the curing temperature increase from 60 °C to 90 °C showed a flexural strength increase by 18%. Raising the curing temperature to 115 °C showed a 28% flexural strength increase compared with that of 60 °C. When MW was used, the curing temperature increase from 60 °C to 90 °C showed a 9% increase in the flexural strength. However, raising the curing temperature to 115 °C resulted in a flexural strength increase by 28% compared with that of 60 °C, as shown in Figure 13c.

3.2.4. Splitting Tensile Strength

Figure 14 shows the measured splitting tensile strength for concrete mixes made of TW or MW. Similar to what was reported in the corresponding compressive strength and flexural strength and due to the same reasons, using MW significantly increased the geopolymer concrete tensile strength at 28 days by an average of 147%. Increasing the SH molarity from 10 M (M2) to 16 M (M1) increased the geopolymer concrete tensile strength by 15% and 41% when TW and MW were used, respectively. However, raising the SH molarity to 20 M (M3) increased the concrete tensile strength by 264% and 59% when TW and MW were used, respectively, compared with the SH molarity of 10 M, as shown in Figure 15a. Compared with the SS/SH ratio of 2.0, the tensile strength increased at the SS/SH ratio of 2.5 by 146% when TW was used, and decreased by 31% when MW was used. The tensile strength increased at the SS/SH ratio of 3.0 by 39% when TW was used, and decreased by 48% when MW was used, respectively, compared with the SS/SH ratio of 2.0, as shown in Figure 15b. The geopolymer concrete tensile strength increased by 2% for TW and by 12% for MW when the curing temperature was raised from 60 °C to 90 °C, and it increased by 6% for TW and by 28% for MW when the curing temperature was raised from 60 °C to 115 °C, as shown in Figure 15c.

3.3. Water Permeability

A water permeability test was performed on the geopolymer concrete mixes with different AA concentrations (M1, M4, and M5) according to the BS EN 12390-8 [47]. After completing the test, each specimen was split into two pieces in the direction that is perpendicular to the specimen side subjected to the water pressure, and then the water penetration depths were measured, as shown in Figure 16. The measured water depths for each mix’s specimens were averaged and compared, as shown in Figure 17. As shown in the figure, using MW in preparing the AA solution improved the concrete resistance to water penetration as the water depth decreased by 13%, 10%, and 9% for the SS/SH ratios of 2.0, 2.5, and 3.0, respectively, compared with the corresponding depths measured for mixes prepared using TW. This can be attributed to the ability of MW to improve the concrete workability that makes it more compacted, and is also due to the ability of MW to improve the microstructure of concrete by reducing its pores and air voids, and increasing its density, which all helped in decreasing the water permeability depth. With the presence of TW, the water penetration depth increased by 16% and 43% with the increase of the SS/SH ratio to 2.5 and 3.0, respectively, compared with that of the SS/SH ratio of 2.0. With the existence of MW, the water penetration depth increased by 20% and 50% with the increase of the SS/SH ratio to 2.5 and 3.0, respectively, compared with that of the SS/SH ratio of 2.0.

3.4. Microstructural Analysis

Figure 18 shows the SEM analysis results of the geopolymer concrete prepared using TW and MW for mixes M1 and M9. As shown in the figure, with the use of the MW-based AA, the geopolymer concrete surface morphology was improved, which caused better compressive strength. Mix M1 that was made with the TW-based AA (Figure 18a) showed nonhomogeneous morphology, unreacted FA particles, incomplete geopolymerization, and scattered pores which caused relatively low geopolymer strength and durability. Using the MW-based AA in mix M1 (Figure 18b) showed a better geopolymerization reaction, needle-shaped crystals, and a denser geopolymer (GP) matrix with a relatively lower number of pores which were the reasons for the concrete compressive strength enhancement. Similar observations can be reported when comparing M9 made with the TW-based AA (Figure 18c) and M9 made with the MW-based AA (Figure 18d) but with a relatively high number of pores due to the use of a higher W/C ratio (W/C = 15%). At the W/C ratio of 15%, the MW could show a homogenous concrete matrix, fewer pores, and more needle-shaped crystals compared with the unreacted FA particles, pores, and incomplete geopolymerization when using the TW-based AA.

4. Conclusions

In this study, the influence of an AA containing MW on the mechanical and durability characteristics of FA-based geopolymer concrete was investigated. The preparation of the MW involved passing TW across magnetic fields of 1.6 Tesla, and then 1.4 Tesla intensities for 150 cycles. The key conclusions of this study are shown below:
  • The outcomes of hardened concrete tests demonstrated that using an SH molarity of 16 M, an SS/SH ratio of 2, an AA/C ratio of 0.4, a W/C ratio of 10%, and a curing temperature of 115 °C could display the best outcomes in this study when used in geopolymer concrete made from MW, regardless of the concrete age.
  • MW could increase the slump of geopolymer concrete by up to 100% compared to TW. The geopolymer concrete compressive strength was enhanced by up to 193%, 192%, and 124% after 7, 28, and 56 days using MW, respectively. The compressive strength was slightly enhanced by up to 5% when the SH molarity increased up to 20 M compared to the control mixture. MW could reduce the water permeability of geopolymer concrete by up to 13%.
  • The microstructural analysis showed that the MW was able to enhance the surface morphology of geopolymer concrete. The geopolymer concrete mixtures made with MW showed a better geopolymerization reaction, and the geopolymer matrix was denser with fewer voids, which explains the improved compressive strength.
Overall, geopolymer concrete made with MW was proven to be useful for structural concrete applications as a sustainable alternative to Portland cement concrete. It is recommended for future studies to employ the proposed concrete manufacturing technique in different types of geopolymer concrete, magnetizing the water using different types of magnets such as electrical ones. In addition, a techno-economical study exploring the energy consumption correlated to the proposed technique is needed for studying the feasibility of magnetized water in geopolymer concrete.

Author Contributions

Conceptualization, S.A.K. and A.A.E.; data curation, A.A.E. and O.Y.; formal analysis, S.A.K. and O.Y.; investigation, S.A.K.; methodology, M.M.Y.E. and A.A.E.; project administration, M.M.Y.E. and W.E.E.; resources, M.M.Y.E.; software, O.Y.; supervision, M.M.Y.E., W.E.E. and A.A.E.; visualization, O.Y.; writing—original draft, S.A.K. and O.Y.; writing—review and editing, M.M.Y.E., W.E.E., A.A.E. and O.Y. All authors have read and agreed to the published version of the manuscript.

Funding

This research received no external funding.

Institutional Review Board Statement

Not applicable.

Informed Consent Statement

Not applicable.

Data Availability Statement

Data is contained within the article.

Conflicts of Interest

The authors declare no conflict of interest.

References

  1. Aïtcin, P.-C.; Mindess, S. Sustainability of Concrete; CRC Press: Boca Raton, FL, USA, 2011. [Google Scholar]
  2. Youssf, O.; Swilam, A.; Tahwia, A.M. Performance of Crumb Rubber Concrete Made with High Contents of Heat Pre-treated Rubber and Magnetized Water. J. Mater. Res. Technol. 2023, 23, 2160–2176. [Google Scholar] [CrossRef]
  3. Keshta, M.M.; Elshikh, M.M.Y.; Abd Elrahman, M.; Youssf, O. Utilizing of Magnetized Water in Enhancing of Volcanic Concrete Characteristics. J. Compos. Sci. 2022, 6, 320. [Google Scholar] [CrossRef]
  4. Elkerany, A.M.; Keshta, M.M.; Elshikh, M.M.Y.; Elshami, A.A.; Youssf, O. Characteristics of Sustainable Concrete Containing Metakaolin and Magnetized Water. Buildings 2023, 13, 1430. [Google Scholar] [CrossRef]
  5. Barham, W.S.; Albiss, B.; Latayfeh, O. Influence of magnetic field treated water on the compressive strength and bond strength of concrete containing silica fume. J. Build. Eng. 2021, 33, 101544. [Google Scholar] [CrossRef]
  6. Fu, W.; Wang, Z.B. The New Technology of Concrete Engineering; The Publishing House of Chinese Architectural: Beijing, China, 1994. [Google Scholar]
  7. Su, N.; Lee, K.C. Effect of magnetic water on mechanical properties and micro-structures of concrete. J. Chin. Inst. Civil Hydraulic Eng. 1999, 11, 30–38. [Google Scholar]
  8. Rashad, A.M.; Ezzat, M. A Preliminary study on the use of magnetic, Zamzam, and sea water as mixing water for alkali-activated slag pastes. Constr. Build. Mater. 2019, 207, 672–678. [Google Scholar] [CrossRef]
  9. Su, N.; Wu, C.-F. Effect of magnetic field treated water on mortar and concrete containing fly ash. Cem. Concr. Compos. 2003, 25, 681–688. [Google Scholar] [CrossRef]
  10. Su, N.; Wu, Y.-H.; Mar, C.-Y. Effect of magnetic water on the engineering properties of concrete containing granulated blast-furnace slag. Cem. Concr. Res. 2000, 30, 599–605. [Google Scholar] [CrossRef]
  11. Weilin, S.; Yun, L.; Hanzhao, H.; Quingwang, L. Effects of magnetic treatment on properties of cement slurry. Soc. Pet. Eng. AIME (Pap.) SPE 1992, 8, 122–130. [Google Scholar]
  12. Ahmed, S.M. Effect of magnetic water on engineering properties of concrete. Al-Rafidain Eng. 2009, 17, 71–82. [Google Scholar]
  13. Afshin, H.; Gholizadeh, M.; Khorshidi, N. Improving mechanical properties of high strength concrete by magnetic water technology. Sci. Iran. 2010, 17, 74–79. [Google Scholar]
  14. Abdel-Magid, T.I.M.; Hamdan, R.M.; Abdelgader, A.A.B.; Omer, M.E.A. Effect of magnetized water on workability and compressive strength of concrete. Procedia Eng. 2017, 193, 494–500. [Google Scholar] [CrossRef]
  15. Gholhaki, M.; Hajforoush, M.; Kazemi, M. An investigation on the fresh and hardened properties of self-compacting concrete incorporating magnetic water with various pozzolanic materials. Constr. Build. Mater. 2018, 158, 173–180. [Google Scholar] [CrossRef]
  16. Aprianti, E.; Shafigh, P.; Bahri, S.; Farahani, J.N. Supplementary cementitious materials origin from agricultural wastes—A review. Constr. Build. Mater. 2015, 74, 176–187. [Google Scholar] [CrossRef]
  17. Imtiaz, L.; Kashif-ur-Rehman, S.; Alaloul, W.S.; Nazir, K.; Javed, M.F.; Aslam, F.; Musarat, M.A. Life cycle impact assessment of recycled aggregate concrete, geopolymer concrete, and recycled aggregate-based geopolymer concrete. Sustainability 2021, 13, 13515. [Google Scholar] [CrossRef]
  18. Zhang, P.; Han, X.; Hu, S.; Wang, J.; Wang, T. High-temperature behavior of polyvinyl alcohol fiber-reinforced metakaolin/fly ash-based geopolymer mortar. Compos. Part B Eng. 2022, 244, 110171. [Google Scholar] [CrossRef]
  19. Malhotra, V.M. CANMET Investigations Dealing with High-Volume Fly Ash Concrete, Advances in Concrete Technology; CANMET, MSL 62-6(R); Canada Communication Group—Publishing: Ottawa, ON, Canada, 1992; pp. 433–470. [Google Scholar]
  20. Cao, V.D.; Pilehvar, S.; Salas-Bringas, C.; Szczotok, A.M.; Rodriguez, J.F.; Carmona, M.; Al-Manasir, N.; Kjøniksen, A.-L. Microencapsulated phase change materials for enhancing the thermal performance of Portland cement concrete and geopolymer concrete for passive building applications. Energy Convers. Manag. 2017, 133, 56–66. [Google Scholar] [CrossRef]
  21. Şevin, E.; Mermerdaş, K.; Alğın, Z.; Işıker, Y. Response surface optimization of geopolymer mix parameters in terms of key engineering properties. Rev. Construcción J. Constr. 2022, 21, 631–644. [Google Scholar] [CrossRef]
  22. Köksal, F.; Kaya, M. Physical and mechanical properties of C class fly ash based lightweight geopolymer mortar produced with expanded vermiculite aggregate. Revista De La Construcción. J. Constr. 2022, 21, 21–35. [Google Scholar] [CrossRef]
  23. Sevim, O.; Alakara, E.H.; Demir, I.; Bayer, I.R. Effect of magnetic water on properties of slag-based geopolymer composites incorporating ceramic tile waste from construction and demolition waste. Arch. Civ. Mech. Eng. 2023, 23, 107. [Google Scholar] [CrossRef]
  24. ASTM C618; Standard Specification for Coal Fly Ash and Raw or Calcined Natural Pozzolan for Use in Concrete. ASTM International: Conshohocken, PA, USA, 2019.
  25. Committee, E.-P. ECP-203: 2007-Egyptian Code for Design and Construction of Concrete Structures; HBRC: Giza, Egypt, 2007. [Google Scholar]
  26. Ahmed, A.S.; Elshikh, M.M.Y.; Elemam, W.E.; Youssf, O. Influence of Mixing-Water Magnetization Method on the Performance of Silica Fume Concrete. Buildings 2022, 13, 44. [Google Scholar] [CrossRef]
  27. Singh, B.; Ishwarya, G.; Gupta, M.; Bhattacharyya, S. Geopolymer concrete: A review of some recent developments. Constr. Build. Mater. 2015, 85, 78–90. [Google Scholar] [CrossRef]
  28. Hassan, A.; Arif, M.; Shariq, M. Use of geopolymer concrete for a cleaner and sustainable environment—A review of mechanical properties and microstructure. J. Clean. Prod. 2019, 223, 704–728. [Google Scholar] [CrossRef]
  29. Ramachandran, S.K.; Ramakrishnan, V.; Bang, S.S. Remediation of concrete using micro-organisms. ACI Mater. J. Am. Concr. Inst. 2001, 98, 3–9. [Google Scholar]
  30. ASTM, D 1125-14; Standard Test Methods for Electrical Conductivity and Resistivity of Water. ASTM International: Conshohocken, PA, USA, 2014.
  31. ASTM, D 1293-12; Standard Test Methods for pH of Water. ASTM International: Conshohocken, PA, USA, 2012.
  32. ASTM, D 5907-10; Standard Test Methods for Filterable Matter (Total Dissolved Solids) and Nonfilterable Matter (Total Suspended Solids) in Water. ASTM International: Conshohocken, PA, USA, 2010.
  33. ASTM, D 1590; Standard Test Method for Surface Tension of Water. ASTM International: Conshohocken, PA, USA, 2010.
  34. A. C143; Standard Test Method for Slump of Hydraulic-Cement Concrete. ASTM International: Conshohocken, PA, USA, 2015.
  35. Aravinna, A.P.; Officer, S.Q. Estimation on Measurement Uncertainty in Determination of Compressive Strength of Hardened Concrete (Test Method: BSEN 12390-3: 2009); Technical Report; CECB Laboratory Services, CECB: Colombo, Sri Lanka, 2018. [Google Scholar]
  36. Quinn, G.D.; Morrell, R. Design data for engineering ceramics: A review of the flexure test. J. Am. Ceram. Soc. 1991, 74, 2037–2066. [Google Scholar] [CrossRef]
  37. Raphael, J.M. Tensile strength of concrete. J. Proc. 1984, 81, 158–165. [Google Scholar]
  38. EN 12390-8; Testing Hardened Concrete—Part 8: Depth of Penetration of Water under Pressure. European Standard: Brussels, Belgium, 2009.
  39. Karkush, M.O.; Ahmed, M.D.; Al-Ani, S. Magnetic field influence on the properties of water treated by reverse osmosis. Eng. Technol. Appl. Sci. Res. 2019, 9, 4433–4439. [Google Scholar] [CrossRef]
  40. Indrasari, W.; Budi, E.; Alayya, S.R.; Ramli, R. Measurement of water polluted quality based on turbidity, pH, magnetic property, and dissolved solid. J. Phys. Conf. Ser. 2019, 1317, 012060. [Google Scholar] [CrossRef]
  41. Niu, L. Experimental Research on the Influence of Magnetized Water on the Compressive Strength of Concrete. Int. Core J. Eng. 2022, 8, 176–180. [Google Scholar]
  42. Atiş, C.D.; Karahan, O. Properties of steel fiber reinforced fly ash concrete. Constr. Build. Mater. 2009, 23, 392–399. [Google Scholar] [CrossRef]
  43. Memon, F.A.; Nuruddin, M.F.; Khan, S.; Shafiq, N.; Ayub, T. Effect of sodium hydroxide concentration on fresh properties and compressive strength of self-compacting geopolymer concrete. J. Eng. Sci. Technol 2013, 8, 44–56. [Google Scholar]
  44. Sathonsaowaphak, A.; Chindaprasirt, P.; Pimraksa, K. Workability and strength of lignite bottom ash geopolymer mortar. J. Hazard. Mater. 2009, 168, 44–50. [Google Scholar] [CrossRef] [PubMed]
  45. Al Bakri, A.M.; Kamarudin, H.; Bnhussain, M.; Rafiza, A.; Zarina, Y. Effect of Na2SiO3/NaOH Ratios and NaOH Molarities on Compressive Strength of Fly-Ash-Based Geopolymer. ACI Mater. J. 2012, 109, 503. [Google Scholar]
  46. Feng, Y.; Zhang, Q.; Chen, Q.; Wang, D.; Guo, H.; Liu, L.; Yang, Q. Hydration and strength development in blended cement with ultrafine granulated copper slag. PLoS ONE 2019, 14, e0215677. [Google Scholar] [CrossRef]
  47. BS EN 12390-8 (2012); Testing Hardened Concrete. Depth of Penetration of Water under Pressure. BSI: London, UK, 2009.
Figure 1. Effect of magnetic field on water molecules.
Figure 1. Effect of magnetic field on water molecules.
Sustainability 15 16315 g001
Figure 2. Water magnetization flow system.
Figure 2. Water magnetization flow system.
Sustainability 15 16315 g002
Figure 3. Variables and mixes assigned in this study.
Figure 3. Variables and mixes assigned in this study.
Sustainability 15 16315 g003
Figure 4. Geopolymer concrete curing: (a) heat curing, and (b) ambient curing.
Figure 4. Geopolymer concrete curing: (a) heat curing, and (b) ambient curing.
Sustainability 15 16315 g004
Figure 5. Devices used to measure the water/AA properties.
Figure 5. Devices used to measure the water/AA properties.
Sustainability 15 16315 g005
Figure 6. The permeability apparatus and test setup for concrete specimens. (a) Water permeability testing. (b) Water flow rate.
Figure 6. The permeability apparatus and test setup for concrete specimens. (a) Water permeability testing. (b) Water flow rate.
Sustainability 15 16315 g006
Figure 7. Variation of concrete slump with TW and MW.
Figure 7. Variation of concrete slump with TW and MW.
Sustainability 15 16315 g007
Figure 8. Effect of MW on geopolymer concrete compressive strength at (a) 7 days, (b) 28 days, and (c) 56 days.
Figure 8. Effect of MW on geopolymer concrete compressive strength at (a) 7 days, (b) 28 days, and (c) 56 days.
Sustainability 15 16315 g008
Figure 9. Compressive strength of geopolymer concrete made with different SH molarities: (a) TW and (b) MW.
Figure 9. Compressive strength of geopolymer concrete made with different SH molarities: (a) TW and (b) MW.
Sustainability 15 16315 g009
Figure 10. Compressive strength of geopolymer concrete made with different SS/SH ratios: (a) TW and (b) MW.
Figure 10. Compressive strength of geopolymer concrete made with different SS/SH ratios: (a) TW and (b) MW.
Sustainability 15 16315 g010
Figure 11. Compressive strength of geopolymer concrete cured at different temperatures: (a) TW and (b) MW.
Figure 11. Compressive strength of geopolymer concrete cured at different temperatures: (a) TW and (b) MW.
Sustainability 15 16315 g011
Figure 12. Variation of concrete flexural strength at 28 days.
Figure 12. Variation of concrete flexural strength at 28 days.
Sustainability 15 16315 g012
Figure 13. Flexural strength of geopolymer concrete made with TW/MW at different (a) SH molarities, (b) SS/SH ratios, and (c) curing temperatures.
Figure 13. Flexural strength of geopolymer concrete made with TW/MW at different (a) SH molarities, (b) SS/SH ratios, and (c) curing temperatures.
Sustainability 15 16315 g013
Figure 14. Variation of concrete splitting tensile strength at 28 days.
Figure 14. Variation of concrete splitting tensile strength at 28 days.
Sustainability 15 16315 g014
Figure 15. Splitting tensile strength of concrete made with TW/MW at different (a) SH molarities, (b) SS/SH ratios, and (c) curing temperatures.
Figure 15. Splitting tensile strength of concrete made with TW/MW at different (a) SH molarities, (b) SS/SH ratios, and (c) curing temperatures.
Sustainability 15 16315 g015aSustainability 15 16315 g015b
Figure 16. Splitting of the water permeability specimens and measuring the water depth.
Figure 16. Splitting of the water permeability specimens and measuring the water depth.
Sustainability 15 16315 g016
Figure 17. Effect of MW on geopolymer concrete water permeability depth.
Figure 17. Effect of MW on geopolymer concrete water permeability depth.
Sustainability 15 16315 g017
Figure 18. SEM images of the fracture surface of mixes: (a) M1-TW, (b) M1-MW, (c) M9-TW, and (d) M9-MW.
Figure 18. SEM images of the fracture surface of mixes: (a) M1-TW, (b) M1-MW, (c) M9-TW, and (d) M9-MW.
Sustainability 15 16315 g018aSustainability 15 16315 g018b
Table 1. Chemical composition of fly ash as determined by XRD analysis.
Table 1. Chemical composition of fly ash as determined by XRD analysis.
Oxide Si O 2 A l 2 O 3 F e 2 O 3 CaO P 2 O 5 S O 3 K 2 O Ti O 2 N a 2 O MgOLOITotal
(%) by mass52.4229.594.991.190.520.51.092.42<1.52–3<2100
Table 2. Geopolymer concrete mix design (kg/m3).
Table 2. Geopolymer concrete mix design (kg/m3).
Mix
No.
Mix
ID
CASFASH *SSWater
(TW or MW) **
M116 M11706304285711442.8
M210 M11706304285711442.8
M320 M11706304285711442.8
M4SS/SH 2.511706304285012542.8
M5SS/SH 3.011706304284413242.8
M6AA/C 0.512336673425711442.8
M7AA/C 0.612766902855711442.8
M8W/C 12.511506224285711453.5
M9W/C 1511346134285711464.2
CA: coarse aggregate, S: sand, FA: fly ash, SH: sodium hydroxide, SS: sodium silicate, TW: tap water, MW: magnetized water. * The SH was prepared once with TW and another time with MW. ** The nine mixes in this table were prepared once with TW and another time with MW.
Table 3. Physical and chemical characteristics of TW and MW.
Table 3. Physical and chemical characteristics of TW and MW.
PropertyWaterActivator
TWMWChange (%)TWMWChange (%)
T (°C)25.429.215%24.426.910%
pH7.28.214%11.612.58%
TDS (ppm)19522214%211195−7%
EC (µs)3944196%519367−29%
ST (mN/m)70.768.1−4%58.948.6−17%
D (gm/cm3)0.9770.970≈0%1.0161.014≈0%
T: temperature; TDS: total dissolved salts; EC: electrical conductivity; ST: surface tension; D: density.
Disclaimer/Publisher’s Note: The statements, opinions and data contained in all publications are solely those of the individual author(s) and contributor(s) and not of MDPI and/or the editor(s). MDPI and/or the editor(s) disclaim responsibility for any injury to people or property resulting from any ideas, methods, instructions or products referred to in the content.

Share and Cite

MDPI and ACS Style

Khattab, S.A.; Elshikh, M.M.Y.; Elemam, W.E.; Elshami, A.A.; Youssf, O. Effect of Magnetized Water-Based Alkaline Activator on Geopolymer Concrete Mechanical Performance and Durability. Sustainability 2023, 15, 16315. https://doi.org/10.3390/su152316315

AMA Style

Khattab SA, Elshikh MMY, Elemam WE, Elshami AA, Youssf O. Effect of Magnetized Water-Based Alkaline Activator on Geopolymer Concrete Mechanical Performance and Durability. Sustainability. 2023; 15(23):16315. https://doi.org/10.3390/su152316315

Chicago/Turabian Style

Khattab, Sarah A., Mohamed M. Yousry Elshikh, Walid E. Elemam, Ahmed A. Elshami, and Osama Youssf. 2023. "Effect of Magnetized Water-Based Alkaline Activator on Geopolymer Concrete Mechanical Performance and Durability" Sustainability 15, no. 23: 16315. https://doi.org/10.3390/su152316315

APA Style

Khattab, S. A., Elshikh, M. M. Y., Elemam, W. E., Elshami, A. A., & Youssf, O. (2023). Effect of Magnetized Water-Based Alkaline Activator on Geopolymer Concrete Mechanical Performance and Durability. Sustainability, 15(23), 16315. https://doi.org/10.3390/su152316315

Note that from the first issue of 2016, this journal uses article numbers instead of page numbers. See further details here.

Article Metrics

Back to TopTop