Does Low-Carbon City Construction Promote Integrated Economic, Energy, and Environmental Development? An Empirical Study Based on the Low-Carbon City Pilot Policy in China
Abstract
:1. Introduction
2. Literature Review and Theorized Mechanisms
2.1. Literature Review
2.2. Theoretical Analysis of Influence Mechanisms
3. Method Selection and Variable Description
3.1. Model Construction
3.2. Sample Selection
3.3. Variables
3.3.1. Dependent Variables
- Standardization of indicators: with n years, s prefecture-level cities, m indicators, and x′ij being the standardized value of indicator j in the year i, x′ij can be expressed as:
- Determination of indicator weights:
- Information entropy of the j-th indicator:
- j-th indicator information utility value:
- Determination of the weights of each indicator:
- City 3Es integrated development evaluation index value:
3.3.2. Independent Variables
3.3.3. Mechanism Variables
3.3.4. Control Variables
3.4. Data Collection
4. Empirical Results
4.1. Regression Results and Analysis
4.2. Robustness Tests
- (1)
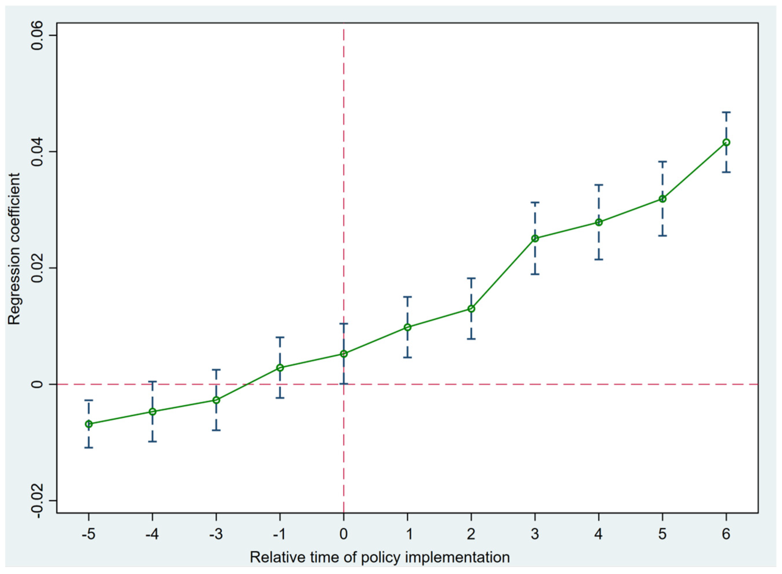
- Parallel trend test
- (2)
- Placebo test
- (3)
- Winsorized method test
- (4)
- Alternative bandwidths
- (5)
- Excluding interference of concurrent policies
5. Mechanism Analysis
6. Further Analysis
6.1. Heterogeneity Analysis Based on Resource Endowment
6.2. Heterogeneity Analysis Based on Geographical Location
7. Discussion
8. Conclusions and Policy Implications
8.1. Conclusions
8.2. Policy Implications
Author Contributions
Funding
Institutional Review Board Statement
Informed Consent Statement
Data Availability Statement
Acknowledgments
Conflicts of Interest
Appendix A
| City | Resource Endowment | Geographic Location | City | Resource Endowment | Geographic Location |
| Beijing | non-resource | eastern | Yantai | non-resource | eastern |
| Tianjin | non-resource | eastern | Weifang | non-resource | eastern |
| Shijiazhuang | non-resource | eastern | Jining | resource | eastern |
| Tangshan | resource | eastern | Taian | resource | eastern |
| Qinhuangdao | non-resource | eastern | Weihai | non-resource | eastern |
| Handan | resource | eastern | Rizhao | non-resource | eastern |
| Xingtai | resource | eastern | Laiwu | resource | eastern |
| Baoding | non-resource | eastern | Linyi | resource | eastern |
| Zhangjiakou | resource | eastern | Dezhou | non-resource | eastern |
| Cangzhou | non-resource | eastern | Liaocheng | non-resource | eastern |
| Langfang | non-resource | eastern | Binzhou | non-resource | eastern |
| Hengshui | non-resource | eastern | Heze | non-resource | eastern |
| Taiyuan | non-resource | central | Zhengzhou | non-resource | central |
| Yangquan | resource | central | Kaifeng | non-resource | central |
| Changzhi | resource | central | Luoyang | resource | central |
| Jincheng | resource | central | Pingdingshan | resource | central |
| Shuozhou | resource | central | Anyang | non-resource | central |
| Jinzhong | resource | central | Hebi | resource | central |
| Yuncheng | resource | central | Xinxiang | non-resource | central |
| Xinzhou | resource | central | Jiaozuo | resource | central |
| Hohhot | non-resource | western | Puyang | resource | central |
| Baotou | resource | western | Xuchang | non-resource | central |
| Wuhai | resource | western | Sanmenxia | resource | central |
| Chifeng | resource | western | Nanyang | resource | central |
| Tongliao | non-resource | western | Xinyang | non-resource | central |
| Ordos | resource | western | Zhoukou | non-resource | central |
| Hulunbuir | resource | western | Zhumadian | non-resource | central |
| Bayannur | non-resource | western | Wuhan | non-resource | central |
| Ulanqab | non-resource | western | Huangshi | resource | central |
| Shenyang | non-resource | eastern | Shiyan | non-resource | central |
| Dalian | non-resource | eastern | Yichang | non-resource | central |
| Anshan | resource | eastern | Xiangyang | non-resource | central |
| Fushun | resource | eastern | Ezhou | resource | central |
| Danxi | resource | eastern | Jingmen | non-resource | central |
| Dandong | non-resource | eastern | Xiaogan | non-resource | central |
| Fuxin | resource | eastern | Jingzhou | non-resource | central |
| Panjin | resource | eastern | Huanggang | non-resource | central |
| Chaoyang | non-resource | eastern | Xianning | non-resource | central |
| Changchun | non-resource | central | Suizhou | non-resource | central |
| Jilin | resource | central | Changsha | non-resource | central |
| Siping | non-resource | central | Zhuzhou | non-resource | central |
| Tongliao | resource | central | Xiangtan | non-resource | central |
| Tonghua | resource | central | Hengyang | resource | central |
| Songyuan | resource | central | Shaoyang | resource | central |
| Baicheng | non-resource | central | Yueyang | non-resource | central |
| Harbin | non-resource | central | Changde | non-resource | central |
| Qiqihar | non-resource | central | Zhangjiajie | non-resource | central |
| Jixi | resource | central | Yiyang | non-resource | central |
| Shuangyashan | resource | central | Chenzhou | resource | central |
| Daqing | resource | central | Yongzhou | non-resource | central |
| Yichun | resource | central | Huaihua | non-resource | central |
| Kiamusi | non-resource | central | Guangzhou | non-resource | eastern |
| Mudanjiang | resource | central | Shaoguan | resource | eastern |
| Heihe | resource | central | Shenzhen | non-resource | eastern |
| Shanghai | non-resource | eastern | Zhuhai | non-resource | eastern |
| Nanjing | non-resource | eastern | Shantou | non-resource | eastern |
| Wuxi | non-resource | eastern | Foshan | non-resource | eastern |
| Xuzhou | resource | eastern | Jiangmen | non-resource | eastern |
| Changzhou | non-resource | eastern | Zhanjiang | non-resource | eastern |
| Suzhou | non-resource | eastern | Maoming | non-resource | eastern |
| Nantong | non-resource | eastern | Zhaoqing | non-resource | eastern |
| Lianyungang | non-resource | eastern | Huizhou | non-resource | eastern |
| Huaian | non-resource | eastern | Meizhou | non-resource | eastern |
| Yancheng | non-resource | eastern | Shanwei | non-resource | eastern |
| Yangzhou | non-resource | eastern | Heyuan | non-resource | eastern |
| Zhenjiang | non-resource | eastern | Yangjiang | non-resource | eastern |
| Taizhou | non-resource | eastern | Qingyuan | non-resource | eastern |
| Suqian | resource | eastern | Zhongshan | non-resource | eastern |
| Hangzhou | non-resource | eastern | Chaozhou | non-resource | eastern |
| Ningbo | non-resource | eastern | Jieyang | non-resource | eastern |
| Wenzhou | non-resource | eastern | Yunfu | resource | eastern |
| Jiaxing | non-resource | eastern | Nanning | non-resource | western |
| Huzhou | resource | eastern | Liuzhou | non-resource | western |
| Shaoxing | non-resource | eastern | Guilin | non-resource | western |
| Jinhua | non-resource | eastern | Wuzhou | non-resource | western |
| Quzhou | non-resource | eastern | Beihai | non-resource | western |
| Zhoushan | non-resource | eastern | Qinzhou | non-resource | western |
| Taizhou | non-resource | eastern | Guigang | non-resource | western |
| Lishui | non-resource | eastern | Baise | resource | western |
| Hefei | non-resource | central | Hezhou | resource | western |
| Wuhu | non-resource | central | Hechi | resource | western |
| Bengbu | non-resource | central | Laibin | non-resource | western |
| Huainan | resource | central | Chongzuo | non-resource | western |
| Maanshan | resource | central | Haikou | non-resource | eastern |
| Huaibei | resource | central | Chongqing | non-resource | western |
| Tongling | resource | central | Chengdu | non-resource | western |
| Anqing | non-resource | central | Zigong | resource | western |
| Huangshan | non-resource | central | Panzhihua | resource | western |
| Chuzhou | resource | central | Luzhou | resource | western |
| Fuyang | non-resource | central | Dezhou | non-resource | western |
| Suzhou | resource | central | Deyang | non-resource | western |
| Liuan | non-resource | central | Guangyuan | resource | western |
| Bozhou | resource | central | Suining | non-resource | western |
| Chizhou | resource | central | Leshan | non-resource | western |
| Xuancheng | resource | central | Yibin | non-resource | western |
| Fuzhou | non-resource | eastern | Ya’an | resource | western |
| Xiamen | non-resource | eastern | Guiyang | non-resource | western |
| Futian | non-resource | eastern | Liupanshui | resource | western |
| Sanming | resource | eastern | Zunyi | non-resource | western |
| Quanzhou | non-resource | eastern | Kunming | non-resource | western |
| Zhangzhou | non-resource | eastern | Xi’an | non-resource | western |
| Nanping | resource | eastern | Baoji | resource | western |
| Longyan | resource | eastern | Xianyang | resource | western |
| Ningde | non-resource | eastern | Weinan | resource | western |
| Nanchang | non-resource | central | Yan’an | resource | western |
| Jingdezhen | resource | central | Hanzhong | non-resource | western |
| Pingxiag | resource | central | Yulin | resource | western |
| Jiujiang | non-resource | central | Ankang | non-resource | western |
| Xinyu | resource | central | Shangluo | non-resource | western |
| Yingtan | non-resource | central | Lanzhou | non-resource | western |
| Ganzhou | resource | central | Jiayuguan | non-resource | western |
| Ji’an | non-resource | central | Baiyin | resource | western |
| Yichun | resource | central | Tianshui | non-resource | western |
| Fuzhou | non-resource | central | Wuwei | resource | western |
| Shangrao | non-resource | central | Dingxi | non-resource | western |
| Jinan | non-resource | eastern | Sining | non-resource | western |
| Qingdao | non-resource | eastern | Yinchuan | non-resource | western |
| Zibo | resource | eastern | Shizuishan | resource | western |
| Zaozhuang | resource | eastern | Wuzhong | non-resource | western |
| Dongying | resource | eastern | Urumqi | non-resource | western |
References
- Cheng, J.; Yi, J.; Dai, S.; Xiong, Y. Can low-carbon city construction facilitate green growth? Evidence from China’s pilot low-carbon city initiative. J. Clean. Prod. 2019, 231, 1158–1170. [Google Scholar] [CrossRef]
- Yu, Y.; Zhang, N. Low-carbon city pilot and carbon emission efficiency: Quasi-experimental evidence from China. Energy Econ. 2021, 96, 105125. [Google Scholar] [CrossRef]
- Tiwari, A.K.; Abakah, E.J.A.; Adewuyi, A.O.; Lee, C. Quantile risk spillovers between energy and agricultural commodity markets: Evidence from pre and during COVID-19 outbreak. Energy Econ. 2022, 113, 106235. [Google Scholar] [CrossRef]
- Danish; Wang, Z. Does biomass energy consumption help to control environmental pollution? Evidence from BRICS countries. Sci. Total Environ. 2019, 670, 1075–1083. [Google Scholar]
- Xing, L.; Xue, M.; Hu, M. Dynamic simulation and assessment of the coupling coordination degree of the economy–resource–environment system: Case of Wuhan City in China. J. Environ. Manag. 2019, 230, 474–487. [Google Scholar] [CrossRef]
- Li, C.; Ren, Z.; Wang, L. Research on the driving path of carbon inclusive system to green behavior of the public: Based on procedural grounded theory and multiple intermediary model. Environ. Sci. Pollut. Res. Int. 2023, 30, 80393–80415. [Google Scholar] [CrossRef]
- Salvia, M.; Reckien, D.; Pietrapertosa, F.; Eckersley, P.; Spyridaki, N.; Krook-Riekkola, A.; Olazabal, M.; De Gregorio Hurtado, S.; Simoes, S.G.; Geneletti, D.; et al. Will climate mitigation ambitions lead to carbon neutrality? An analysis of the local-level plans of 327 cities in the EU. Renew. Sustain. Energy Rev. 2021, 135, 110253. [Google Scholar] [CrossRef]
- Tie, M.; Qin, M.; Song, Q.; Qi, Y. Why does the behavior of local government leaders in low-carbon city pilots influence policy innovation? Resour. Conserv. Recycl. 2020, 152, 104483. [Google Scholar] [CrossRef]
- Stoerk, T.; Dudek, D.J.; Yang, J. China’s national carbon emissions trading scheme: Lessons from the pilot emission trading schemes, academic literature, and known policy details. Clim. Policy 2019, 19, 472–486. [Google Scholar] [CrossRef]
- Wang, Q.; She, S. Evaluation of green growth effects of low-carbon pilot policy in China from the perspective of urban heterogeneity. Soft Sci. 2020, 34, 8. (In Chinese) [Google Scholar]
- Shahbaz, M.; Khraief, N.; Uddin, G.S.; Ozturk, I. Environmental Kuznets curve in an open economy: A bounds testing and causality analysis for Tunisia. Renew. Sustain. Energy Rev. 2014, 34, 325–336. [Google Scholar] [CrossRef]
- Joshi, P.; Beck, K. Democracy and carbon dioxide emissions: Assessing the interactions of political and economic freedom and the environmental Kuznets curve. Energy Res. Soc. Sci. 2018, 39, 46–54. [Google Scholar] [CrossRef]
- Cui, D.; Chen, X.; Xue, Y.; Li, R.; Zeng, W. An integrated approach to investigate the relationship of coupling coordination between social economy and water environment on urban scale—A case study of Kunming. J. Environ. Manag. 2019, 234, 189–199. [Google Scholar] [CrossRef]
- Li, L.; Hong, X.F.; Wang, J.; Xie, X.L. Study on the coupled and coordinated development of economic-energy-environmental system based on PLS and ESDA. Soft Sci. 2018, 32, 44–48. (In Chinese) [Google Scholar]
- Liu, W.; Qin, B. Low-carbon city initiatives in China: A review from the policy paradigm perspective. Cities 2016, 51, 131–138. [Google Scholar] [CrossRef]
- Zheng, J.; Shao, X.; Liu, W.; Kong, J.; Zuo, G. The impact of the pilot program on industrial structure upgrading in low-carbon cities. J. Clean. Prod. 2021, 290, 125868. [Google Scholar] [CrossRef]
- Wen, S.; Jia, Z.; Chen, X. Can low-carbon city pilot policies significantly improve carbon emission efficiency? Empirical evidence from China. J. Clean. Prod. 2022, 346, 131131. [Google Scholar] [CrossRef]
- Song, H.; Sun, Y.J.; Chen, D.K. Assessment of government air pollution control effects: An empirical study from the construction of “low-carbon cities” in China. Manag. World 2019, 35, 95–108. (In Chinese) [Google Scholar]
- Song, M.; Zhao, X.; Shang, Y. The impact of low-carbon city construction on ecological efficiency: Empirical evidence from quasi-natural experiments. Resour. Conserv. Recycl. 2020, 157, 104777. [Google Scholar] [CrossRef]
- Lee, C.; Feng, Y.; Peng, D. A green path towards sustainable development: The impact of low-carbon city pilot on energy transition. Energy Econ. 2022, 115, 106343. [Google Scholar] [CrossRef]
- Hussain, J.; Lee, C.; Chen, Y. Optimal green technology investment and emission reduction in emissions generating companies under the support of green bond and subsidy. Technol. Forecast. Soc. Change 2022, 183, 121952. [Google Scholar] [CrossRef]
- Yang, J.; Hao, Y.; Feng, C. A race between economic growth and carbon emissions: What play important roles towards global low-carbon development? Energy Econ. 2021, 100, 105327. [Google Scholar] [CrossRef]
- Yang, X.; Wang, X.; Zhou, Z. Development path of Chinese low-carbon cities based on index evaluation. Adv. Clim. Change Res. 2018, 9, 144–153. [Google Scholar] [CrossRef]
- Jia, Z.; Cai, Y.; Chen, Y.; Zeng, W. Regionalization of water environmental carrying capacity for supporting the sustainable water resources management and development in China. Resour. Conserv. Recycl. 2018, 134, 282–293. [Google Scholar] [CrossRef]
- Zhao, S.; Duan, W.; Zhao, D.; Song, Q. Identifying the influence factors of residents’ low-carbon behavior under the background of “Carbon Neutrality”: An empirical study of Qingdao city, China. Energy Rep. 2022, 8, 6876–6886. [Google Scholar] [CrossRef]
- Samant, S.; Thakur-Wernz, P.; Hatfield, D.E. Does the focus of renewable energy policy impact the nature of innovation? Evidence from emerging economies. Energy Policy 2020, 137, 111119. [Google Scholar] [CrossRef]
- Guo, F.; Yang, S.G.; Chai, Z.Y.; Chu, Y. Can low-carbon city construction promote urban green technology innovation?—Evidence from quasi-natural experiments. Soft Sci. 2023, 37, 40–49. (In Chinese) [Google Scholar]
- Liu, X.; Li, Y.; Chen, X.; Liu, J. Evaluation of low carbon city pilot policy effect on carbon abatement in China: An empirical evidence based on time-varying DID model. Cities 2022, 123, 103582. [Google Scholar] [CrossRef]
- Li, W.Z.; Xu, W. Policy evaluation based on causal inference: A unified framework for experimental and quasi-experimental designs. Manag. World 2022, 38, 104–123. (In Chinese) [Google Scholar]
- Habibov, N.; Cheung, A.; Auchynnikava, A. Does social trust increase willingness to pay taxes to improve public healthcare? Cross-sectional cross-country instrumental variable analysis. Soc. Sci. Med. 2017, 189, 25–34. [Google Scholar] [CrossRef]
- Zhang, B.B.; Zhou, J.T.; Yan, Z.J. Low carbon city pilot policy and total factor energy efficiency improvement-A quasi-natural experiment from three batches of pilot policy implementation. Econ. Rev. 2021, 42, 32–49. (In Chinese) [Google Scholar]
- Liu, J.; Tian, Y.; Huang, K.; Yi, T. Spatial-temporal differentiation of the coupling coordinated development of regional energy-economy-ecology system: A case study of the Yangtze River Economic Belt. Ecol. Indic. 2021, 124, 107394. [Google Scholar] [CrossRef]
- Gu, T.; Ren, P.; Jin, M.; Wang, H. Tourism destination competitiveness evaluation in Sichuan province using TOPSIS model based on information entropy weights. Discret. Contin. Dyn. Syst.-S 2019, 12, 771–782. [Google Scholar] [CrossRef]
- Qu, C.; Shao, J.; Shi, Z. Does financial agglomeration promote the increase of energy efficiency in China? Energy Policy 2020, 146, 111810. [Google Scholar] [CrossRef]
- Cao, X.; Gao, Y. Does low carbon city pilot policy promote the formation of green lifestyles among urban residents? Chin. J. Popul. Resour. Environ. 2021, 31, 93–103. (In Chinese) [Google Scholar]
- Li, P.; Lu, Y.; Wang, J. Does flattening government improve economic performance? Evidence from China. J. Dev. Econ. 2016, 123, 18–37. [Google Scholar] [CrossRef]
- Zhang, R.; Qie, X.; Hu, Y.; Chen, X. Does de-capacity policy promote the efficient and green development of the coal industry?—Based on the evidence of China. Resour. Policy 2022, 77, 102717. [Google Scholar] [CrossRef]
- Ren, S.G.; Zheng, J.J.; Liu, D.H.; Chen, X.H. Does the emission right trading mechanism increase firms’ total factor productivity-Evidence from Chinese listed companies. China Ind. Econ. 2019, 5, 5–23. (In Chinese) [Google Scholar]
- She, S.; Wang, Q.; Zhang, A.C. Technological Innovation, Industrial Structure and Green Total Factor Productivity in Cities: An Examination of the Influence Channels Based on the National Low Carbon City Pilot. Econ. Manag. Stud. 2020, 41, 44–61. (In Chinese) [Google Scholar]
- Adams, D.; Ullah, S.; Akhtar, P.; Adams, K.; Saidi, S. The role of country-level institutional factors in escaping the natural resource curse: Insights from Ghana. Resour. Policy 2019, 61, 433–440. [Google Scholar] [CrossRef]
- Qiu, S.; Wang, Z.; Liu, S. The policy outcomes of low-carbon city construction on urban green development: Evidence from a quasi-natural experiment conducted in China. Sustain. Cities Soc. 2021, 66, 102699. [Google Scholar] [CrossRef]




| Target Layer | System Layer | Indicator Layer | Indicators and Nature |
|---|---|---|---|
| Integrated development of Urban economic-energy-environmental systems | Economy system | Gross regional product | Positive index |
| Average of urban workers | Positive index | ||
| Energy system | Total social electricity consumption | Negative index | |
| Ecology system | Rate of industrial SO2 emissions | Negative index | |
| Rate of domestic waste disposal | Positive index | ||
| CO2 emissions | Negative index |
| Variable | Observations | Mean | Std. Dev. | Min | Max |
|---|---|---|---|---|---|
| Yi,t | 3600 | 0.0719 | 0.0779 | 0.0185 | 0.890 |
| urb | 3600 | 52.98 | 15.64 | 11.83 | 100 |
| ind | 3600 | 0.437 | 0.253 | 0.111 | 5.435 |
| crs | 3600 | 38.68 | 7.680 | 0.6931 | 95.25 |
| gov | 3600 | 0.186 | 0.191 | 0.0427 | 6.041 |
| tech | 3600 | 0.0177 | 0.0139 | 0 | 0.150 |
| loan | 3600 | 0.991 | 0.824 | 0.113 | 16.88 |
| Variables | lnY | lnY | lnY | lnY | lnY | lnY |
|---|---|---|---|---|---|---|
| (1) | (2) | (3) | (4) | (5) | (6) | |
| dudt | 0.0400 *** | 0.0394 *** | 0.0231 *** | 0.0325 *** | 0.0322 *** | 0.0212 *** |
| (0.0063) | (0.0062) | (0.0059) | (0.0068) | (0.0067) | (0.0054) | |
| lnurb | 0.0416 *** | 0.0395 *** | −0.0287 ** | |||
| (0.0042) | (0.0047) | (0.0106) | ||||
| lnind | 0.0305 *** | 0.0266 *** | 0.0309 *** | |||
| (0.0055) | (0.0052) | (0.0068) | ||||
| lncrs | 0.0016 | 0.0016 | −0.0028 * | |||
| (0.0016) | (0.0016) | (0.0014) | ||||
| lngov | −0.0329 *** | −0.0264 *** | −0.0563 *** | |||
| (0.0069) | (0.0064) | (0.0090) | ||||
| year | NO | NO | YES | NO | NO | YES |
| city | NO | YES | YES | NO | YES | YES |
| cons | 0.0631 *** | 0.0632 *** | 0.0486 *** | −0.1117 *** | −0.1028 *** | 0.1619 *** |
| (0.0031) | (0.0006) | (0.0014) | (0.0161) | (0.0172) | (0.0389) | |
| N | 3600 | 3600 | 3600 | 3600 | 3600 | 3600 |
| R2 | 0.220 | 0.220 | 0.437 | 0.307 | 0.307 | 0.473 |
| Variables | lnY | lnY | lnY | lnY | lnY | lnY |
|---|---|---|---|---|---|---|
| (1) | (2) | (3) | (4) | (5) | (6) | |
| dudt | 0.0312 *** | 0.0309 *** | 0.0152 *** | 0.0216 *** | 0.0215 *** | 0.0138 *** |
| (0.0040) | (0.0039) | (0.0038) | (0.0043) | (0.0042) | (0.0036) | |
| lnurb | 0.0513 *** | 0.0497 *** | −0.0141 ** | |||
| (0.0038) | (0.0038) | (0.0068) | ||||
| lnind | 0.0334 *** | 0.0294 *** | 0.0404 *** | |||
| (0.0065) | (0.0063) | (0.0089) | ||||
| lncrs | 0.0044 * | 0.0042 * | −0.0062 ** | |||
| (0.0025) | (0.0025) | (0.0025) | ||||
| lngov | −0.0345 *** | −0.0264 ** | −0.0909 *** | |||
| (0.0092) | (0.0088) | (0.0141) | ||||
| year | NO | NO | YES | NO | NO | YES |
| city | NO | YES | YES | NO | YES | YES |
| cons | 0.0624 *** | 0.0605 *** | 0.0460 *** | −0.1619 *** | −0.1562 *** | 0.1172 *** |
| (0.0029) | (0.0004) | (0.0011) | (0.0154) | (0.0166) | (0.0277) | |
| N | 3528 | 3528 | 3528 | 3302 | 3302 | 3302 |
| R2 | 0.197 | 0.197 | 0.511 | 0.384 | 0.384 | 0.560 |
| Variables | lnY | lnY | lnY |
|---|---|---|---|
| (1) | (2) | (3) | |
| dudt | 0.0298 *** | 0.0291 *** | 0.0159 *** |
| (0.0050) | (0.0048) | (0.0046) | |
| year | NO | NO | YES |
| city | NO | YES | YES |
| cons | 0.0668 *** | 0.0668 *** | 0.0553 *** |
| (0.0035) | (0.0006) | (0.0011) | |
| N | 2640 | 2640 | 2640 |
| R2 | 0.174 | 0.174 | 0.415 |
| Variables | lnY | lnY | lnY | lnY |
|---|---|---|---|---|
| (1) | (2) | (3) | (4) | |
| dudt | 0.0231 *** | 0.0200 *** | 0.0212 *** | 0.0188 *** |
| (0.0059) | (0.0059) | (0.0054) | (0.0055) | |
| New energy | 0.0021 | 0.0024 | ||
| (0.0040) | (0.0039) | |||
| Innovation | 0.0202 *** | 0.0177 *** | ||
| (0.0035) | (0.0035) | |||
| lnurb | −0.0290 ** | −0.0250 ** | ||
| (0.0107) | (0.0106) | |||
| lnind | 0.0308 *** | 0.0294 *** | ||
| (0.0069) | (0.0062) | |||
| lncrs | −0.0028 * | −0.0020 | ||
| (0.0015) | (0.0013) | |||
| lngov | −0.0561 *** | −0.0469 *** | ||
| (0.0091) | (0.0083) | |||
| year | YES | YES | YES | YES |
| city | YES | YES | YES | YES |
| cons | 0.0486 *** | 0.0486 *** | 0.1630 *** | 0.1451 *** |
| (0.0014) | (0.0013) | (0.0391) | (0.0388) | |
| N | 3600 | 3600 | 3600 | 3600 |
| R2 | 0.437 | 0.479 | 0.473 | 0.504 |
| Variables | lnY | lntech | lnY | lnloan | lnY |
|---|---|---|---|---|---|
| (1) | (2) | (3) | (4) | (5) | |
| dudt | 0.0138 *** | 0.0023 ** | 0.0136 *** | 0.0683 * | 0.0136 *** |
| (0.0036) | (0.0010) | (0.0036) | (0.0392) | (0.0036) | |
| lnurb | −0.0141 ** | −0.0020 | −0.0140 ** | −0.2922 ** | −0.0133 * |
| (0.0068) | (0.0021) | (0.0068) | (0.0971) | (0.0068) | |
| lnind | 0.0404 *** | 0.0050 * | 0.0398 *** | 1.2022 *** | 0.0371 *** |
| (0.0089) | (0.0030) | (0.0089) | (0.2459) | (0.0088) | |
| lncrs | −0.0062 ** | −0.0010 | −0.0061 ** | 0.0014 | −0.0062 ** |
| (0.0025) | (0.0008) | (0.0025) | (0.0357) | (0.0025) | |
| lngov | −0.0909 *** | −0.0075 | −0.0902 *** | 2.8219 *** | −0.0989 *** |
| (0.0141) | (0.0050) | (0.0141) | (0.4397) | (0.0151) | |
| lntech | 0.1524 * | ||||
| (0.0897) | |||||
| lnloan | 0.0028 ** | ||||
| (0.0014) | |||||
| year | YES | YES | YES | YES | YES |
| city | YES | YES | YES | YES | YES |
| cons | 0.1172 *** | 0.0258 ** | 0.1148 *** | 1.1705 ** | 0.1138 *** |
| (0.0277) | (0.0084) | (0.0274) | (0.3853) | (0.0276) | |
| N | 3302 | 3354 | 3302 | 3354 | 3302 |
| R2 | 0.560 | 0.065 | 0.561 | 0.672 | 0.562 |
| Resource-Based Cities | Non-Resource-Based Cities | |||
|---|---|---|---|---|
| Variables | lnY | lnY | lnY | lnY |
| (1) | (2) | (3) | (4) | |
| dudtdr | −0.0131 *** | −0.0118 *** | 0.0336 *** | 0.0311 *** |
| (0.0022) | (0.0023) | (0.0072) | (0.0066) | |
| lnurb | −0.0332 ** | −0.0256 ** | ||
| (0.0121) | (0.0098) | |||
| lnind | 0.0294 *** | 0.0291 *** | ||
| (0.0074) | (0.0065) | |||
| lncrs | −0.0030 ** | −0.0026 * | ||
| (0.0015) | (0.0013) | |||
| lngov | −0.0604 *** | −0.0517 *** | ||
| (0.0104) | (0.0084) | |||
| year | YES | YES | YES | YES |
| city | YES | YES | YES | YES |
| cons | 0.0486 *** | 0.1804 *** | 0.0486 *** | 0.1498 *** |
| (0.0015) | (0.0443) | (0.0013) | (0.0357) | |
| N | 3600 | 3600 | 3600 | 3600 |
| R2 | 0.381 | 0.427 | 0.479 | 0.509 |
| Eastern Cities | Central Cities | Western Cities | ||||
|---|---|---|---|---|---|---|
| Variables | lnY | lnY | lnY | lnY | lnY | lnY |
| (1) | (2) | (3) | (4) | (5) | (6) | |
| dudtdl | 0.0455 *** | 0.0422 *** | −0.0032 | −0.0024 | 0.0018 | 0.0015 |
| (0.0108) | (0.0102) | (0.0040) | (0.0037) | (0.0067) | (0.0065) | |
| lnurb | −0.0232 ** | −0.0335 ** | −0.0335 ** | |||
| (0.0087) | (0.0121) | (0.0122) | ||||
| lnind | 0.0225 *** | 0.0299 *** | 0.0303 *** | |||
| (0.0063) | (0.0073) | (0.0073) | ||||
| lncrs | −0.0031 ** | −0.0030 ** | −0.0030 ** | |||
| (0.0013) | (0.0015) | (0.0015) | ||||
| lngov | −0.0482 *** | −0.0610 *** | −0.0612 *** | |||
| (0.0082) | (0.0104) | (0.0105) | ||||
| year | YES | YES | YES | YES | YES | YES |
| city | YES | YES | YES | YES | YES | YES |
| cons | 0.0486 *** | 0.1440 *** | 0.0486 *** | 0.1815 *** | 0.0486 *** | 0.1815 *** |
| (0.0013) | (0.0320) | (0.0015) | (0.0445) | (0.0015) | (0.0446) | |
| N | 3600 | 3600 | 3600 | 3600 | 3600 | 3600 |
| R2 | 0.499 | 0.525 | 0.376 | 0.422 | 0.376 | 0.422 |
Disclaimer/Publisher’s Note: The statements, opinions and data contained in all publications are solely those of the individual author(s) and contributor(s) and not of MDPI and/or the editor(s). MDPI and/or the editor(s) disclaim responsibility for any injury to people or property resulting from any ideas, methods, instructions or products referred to in the content. |
© 2023 by the authors. Licensee MDPI, Basel, Switzerland. This article is an open access article distributed under the terms and conditions of the Creative Commons Attribution (CC BY) license (https://creativecommons.org/licenses/by/4.0/).
Share and Cite
Sun, Y.; Zhang, R.; Du, X.; Zhao, K.; Qie, X.; Zhang, X. Does Low-Carbon City Construction Promote Integrated Economic, Energy, and Environmental Development? An Empirical Study Based on the Low-Carbon City Pilot Policy in China. Sustainability 2023, 15, 16241. https://doi.org/10.3390/su152316241
Sun Y, Zhang R, Du X, Zhao K, Qie X, Zhang X. Does Low-Carbon City Construction Promote Integrated Economic, Energy, and Environmental Development? An Empirical Study Based on the Low-Carbon City Pilot Policy in China. Sustainability. 2023; 15(23):16241. https://doi.org/10.3390/su152316241
Chicago/Turabian StyleSun, Yingshan, Rui Zhang, Xiaolu Du, Kang Zhao, Xiaotong Qie, and Xiaoyi Zhang. 2023. "Does Low-Carbon City Construction Promote Integrated Economic, Energy, and Environmental Development? An Empirical Study Based on the Low-Carbon City Pilot Policy in China" Sustainability 15, no. 23: 16241. https://doi.org/10.3390/su152316241
APA StyleSun, Y., Zhang, R., Du, X., Zhao, K., Qie, X., & Zhang, X. (2023). Does Low-Carbon City Construction Promote Integrated Economic, Energy, and Environmental Development? An Empirical Study Based on the Low-Carbon City Pilot Policy in China. Sustainability, 15(23), 16241. https://doi.org/10.3390/su152316241

