Abstract
The extraction of energy from naturally oscillating objects has recently garnered considerable attention from researchers as a robust and efficient method. This study specifically focuses on investigating the performance of a galloping piezoelectric micro energy harvester (GPEH) designed for self-powered microelectromechanical systems (MEMS). The proposed micro energy harvester comprises a cantilever beam composed of two layers, one being silicon and the other being a piezoelectric material (PZT-5A). The harvester is equipped with an elliptical tip cylinder, and the entire system is modeled using lumped parameters. To simulate the response of the system, the size-dependent coupled governing equations are numerically solved, enabling the extraction of the dynamic behavior of the energy harvester. Furthermore, computational fluid dynamics (CFD) simulations are employed to model the effect of the flow field on the oscillations of the beam. Different aspect ratios (AR) of the elliptical cylinder are taken into account in the simulations. The study examines the impact of the aspect ratio and mass of the elliptical tip cylinder on the harvested power of the system. The results demonstrate a notable decrease in the extracted power density for AR = 1 and 2 compared to higher aspect ratios. In the case of AR = 5, the device exhibits an onset wind speed of 7 m/s. However, for AR = 10, the onset wind speed occurs at a lower wind velocity of 5.5 m/s, resulting in a 66% increase in extracted power compared to AR = 5. Additionally, the results reveal that increasing the normalized mass from 10 to 60 results in a 60% and 70% increase in the output power for AR = 5 and AR = 10, respectively. This study offers valuable insights into the design and optimization of galloping piezoelectric micro energy harvesters, aiming to enhance their performance for MEMS applications.
1. Introduction
The fast-paced advancement of microelectromechanical systems [1], coupled with the expansion of the internet of things (IoT) and wireless monitoring microsystems, has created a heightened demand for electrical power sources for these systems [2]. Electrical power derived from ambient and mechanical vibrations is emerging as a replacement for conventional power supply devices like micro-fuel cells [3] and micro batteries [4]. These conventional devices often have restricted lifetimes and require demanding maintenance [5]. Energy harvesters that convert vibrations into electrical power are key part of achieving an energy-autonomous devices. Various types of energy harvesters have been developed for this purpose, including triboelectric nanogenerators [6], electrostatic energy generator [7] and energy harvester dielectric elastomers [8], electro-magnetic energy harvesters [9], and piezoelectric energy harvesters [10]. Piezoelectric energy harvesters have attracted significant interest due to their compact size, simple design, and exceptional performance [11].
In energy harvesting by piezoelectric devices, different mechanical vibration sources have been employed, including base excitations [12], random vibrations [13], and flow-induced vibrations [14,15]. Flow-induced vibration piezoelectric energy harvesters are specifically classified into different categories, including vortex-induced vibration (VIV) energy harvesters [14], flutter-based energy harvesters [16], and galloping energy harvesters [17]. Galloping-induced vibration is characterized by a significant oscillation amplitude and a broad operating range of wind speeds, particularly when the wind speed exceeds the cut-in speed [18]. Galloping piezoelectric energy harvesters (GPEHs) have gained significant attention due to their exceptional performance in harnessing wind energy across a wide range of wind speeds, thereby yielding high output power [19].
Increasing the output power and reducing the cut-in wind speed for broadband operation are the goals in the design of a GPEH. For this purpose, many innovations and configurations have been proposed for galloping energy harvesters in recent years [17,20]. Yang et al. [20] studied the effect of squares, rectangles with distinct aspect ratios, equilateral triangles, and D-section cross sections on the dynamic behavior of galloping energy harvesters. It has been found that the square cross-section design yields the highest output power. A galloping device with a prismatic bluff body is presented as a velocity sensor by Shi et al. [21]. The operating wind speed range of the sensor is 4.45 to 10 m/s and the system works without an additional power supply. Zhao et al. [22] conducted a study on a funnel-shaped galloping energy harvester that exhibits a broad range of operational wind speeds and achieves significant harvesting power. Their findings reveal that the incorporation of a funnel-shaped bluff body in the design helps prevent vortex attachment, leading to improved non-stream fluid flow around the structure. This design also allows the pressure direction to align with the lift force.
Zhang et al. [23] introduced a galloping triboelectric nanogenerator (GTENG) specifically designed for low-speed flows. In their study, they provided evidence that when the main beam is exposed to cross flows exceeding a critical value, it leads to an impact behavior between the main beam and the auxiliary beam. Huang et al. [24] investigated the prediction and optimization of the mechanical behavior of GPEHs with base excitation. Chen et al. [25] implemented a two-degrees-of-freedom (2DOF) piezoelectric energy harvester (PEH) that utilizes both vortex-induced vibration (VIV) and wake galloping mechanisms. This design aims to enhance the wind energy harvesting performance across a wide range of wind speeds. In their study, they provided evidence that the proposed 2DOF energy harvester outperforms traditional one-degree-of-freedom VIV and wake galloping energy harvesters by overcoming their limitations. Furthermore, they conducted an analysis of a 2DOF quasi-zero stiffness nonlinear galloping energy harvester that was specifically designed to operate efficiently in ultra-low wind speeds [26].
Li et al. [27] proposed a new galloping energy harvester based on two types of magnetic effects to improve the harvesting performance of the device for low wind speeds. They found that the improved monostable galloping energy harvester gives a substantial improvement in lowering the critical galloping wind speed and enhancing the output power. Energy harvester using the torsional galloping phenomenon is investigated by Kim et al. [28]. They achieved an output power of 0.31 mW on average at a wind velocity of 10 m/s.
Experiments performed on micromechanical elements such as beams and plates, have shown that the classical continuum theory is inadequate in accurately predicting the mechanical behavior of microscale systems [29,30]. To cover the incapability of the classical continuum theory, nonclassical continuum theories such as couple stress theory [31], modified couple stress theory [32], and strain gradient theory [33] have been developed. Various studies reveal that the modified couple stress theory effectively incorporates the size-dependent behavior of microscale systems, bridging the gap between theoretical predictions and experimental observations [34,35]. The modified couple stress theory is extensively utilized in the study of mechanical behavior in microscale devices due to its capability to yield precise results [36,37,38]. Free vibration analysis of the Timoshenko–Ehrenfest beam based on modified couple stress theory is conducted by Banerji et al. [39]. They derived the dynamic stiffness matrix of the beam and corresponding natural frequencies and mode shapes. Si and Yi [40] developed a quasi-3D model based on the modified couple stress theory as a benchmark for analyzing the thermal size effects of composite laminated microplates. Askari and Awrejcewicz [41] studied the large deformation quasi-static motion of a size-dependent micro-gyroscope based on the modified couple stress theory. They extract both the stable and unstable branches of the equilibrium paths of micro-gyroscopes and demonstrate that their model is a promising tool for capturing small-scale effects on large deformations of micro-gyroscopes.
In the current research, the mechanical behavior of a galloping piezoelectric micro energy harvester is numerically investigated. The harvester comprises a cantilever beam with two layers, namely elastic silicon and a piezoelectric material (PZT-5A), along with an elliptical cylinder attached to the tip. The energy harvester is modeled using lumped parameters, and the resulting size-dependent coupled governing equations are solved numerically to obtain its dynamic behavior. CFD simulation is employed to model the impact of the flow field on the oscillations of the beam, considering various aspect ratios of the elliptical tip cylinder. To achieve this, lift, drag, and transverse coefficients are derived from the simulation results, considering different wind speeds, AR, and angles of attack. Finally, the study examines the effect of the aspect ratio and mass of the elliptical tip cylinder on the dynamic performance and harvested power of the system.
2. Mathematical Modeling
2.1. Coupled Electromechanical Governing Equations
The schematic view of the micro energy harvester’s cantilever beam with a piezoelectric layer and the examined lumped model is illustrated in Figure 1.
Figure 1.
Galloping micro energy harvester—(a): geometry and coordinate system, (b): lumped model.
In a continuous mechanical system, when the mass of the cylinder is significantly larger than the mass of the beam, the infinite-degrees-of-freedom continuous model can be replaced with a simplified lumped-parameter system consisting of a single degree of freedom. This substitution reduces the complexity of the system and allows for a more precise analysis of the effect of various parameters on the performance of the energy harvester. Notably, factors such as the shape and orientation of the bluff body can be examined with greater accuracy. Considering the lumped model (Figure 1b), and on the basis of Newton’s law and the modified couple stress theory [32], the mechanical governing equation of motion for the piezoelectric energy harvester can be expressed as [42]:
In which y(t) is the deflection of the free end of the beam (bluff body displacement). m, c, and k denote the mass, mechanical damping, and stiffness of the energy harvester, respectively. Equations (2) and (3) show the relationship between the lumped and beam parameters:
where and represent the density and the cross-sectional area of the solid layer, respectively. Similarly, and represent the density and the cross-sectional area of the piezoelectric layers, respectively, is the elliptical cylinder mass, , and are the Young’s modulus, and represent the moment of inertia of the elastic solid and piezoelectric, respectively, under a constant electric field. The shear modulus of elasticity, represented by characterizes the material’s ability to resist shear deformation. denotes the material length scale parameter of the base beam, providing insight into the characteristic length scale related to the material’s behavior. The galloping force represented in Equation (1) can be written in the following form [2]:
In the above equation, and are the flow density and velocity, and is the frontal area of the bluff body. Empirical coefficients and are obtained by polynomial fitting of the aerodynamic coefficient versus . These coefficients are dependent on aspect ratio and cross-section geometry of the bluff body and the characteristics of the flow (still, independent of the Reynolds number).
The generated voltage can be calculated as:
In which denotes the piezoelectric coupling coefficient, is the generated voltage crossing the electrical load resistance , and is the capacitance of the piezoelectric layer. Finally, the coupled electromechanical governing equations of the motion of the energy harvester can be rewritten as:
2.2. Flow Field Simulation
The CFD simulation is performed to determine the affecting fluid force which is responsible for system oscillations. To do so, the transverse galloping phenomena is implemented, which calculates the actuating force as a function of aerodynamic coefficients. According to this method, due to the major difference between the time scale of the elliptical object oscillations and the flow field characteristic time scale, the quasi-state assumption can be applied for calculations. The galloping force is calculated as:
where in the above equation, is density, A is the nominal cross section area, U is the wind speed, and is the normal to flow velocity component of the object. Additionally, a1 and a3 are the coefficients determined based on the polynomial curve fitting to the variations in transverse force coefficient (Cy) versus angle of attack. Moreover, it should be noted that the term is a representative of the angle of attack ().
The polynomial fitting of Cy versus the attack angle consists of odd and even coefficients; however, as the elliptical body is symmetrical with respect to its centerline in flow direction, the even terms have near zero magnitudes.
To determine the transverse load, the lift and drag coefficients should be calculated. These flow force components are determined using the CFD simulation in COMSOL Multiphysics v5.2 software. Based on the simulation assumptions of 3D, laminar, and steady flow, the governing equations can be briefly expressed as:
where is the fluid viscosity, is the density, is the pressure, and denotes the average component of the velocity field.
2.3. CFD Problem Definition and Numerical Considerations
The problem definition for the CFD simulation including the modeled domain, boundary conditions, and sizing is illustrated in Figure 2. A uniform velocity is assigned at the inlet section and the uniform zero pressure is set at the outlet. The remaining faces are set as symmetry planes. To provide adequate accuracy for the implemented boundary conditions, the peripheral surfaces are located at sufficient distances from the elliptical object, as can be seen in Figure 2b. The distances from the object in the upstream and downstream directions are 3.5 D and 5.5 D, while a 3.5 D distance is considered symmetrical for the up, down, left, and right faces.
Figure 2.
The 3D geometry and boundary conditions (a), the domain sizing (b), and the elliptical object implemented for CFD simulation, (c) the oscillating object configurations (Green arrows: Inlet; Red arrows: Pressure outlet).
The implementation of a high-quality computational grid is an essential step for CFD simulations. For the present study, the combination of a body-conformed boundary layer mesh with tetrahedral cells is utilized. As the gradient of flow parameters are higher in the vicinity of the elliptical object, the lower cell sizing is set in the vicinity of the object, and a gradual sizing increase is applied toward the peripheral surfaces. The schematic of the computational domain at different views is demonstrated in Figure 3. The grid sizing varies according to the distance from the oscillating elliptical object. The first layer of the boundary layer over the body starts from 0.0075 of the elliptic thickness (0.0075 b0). The height of the boundary layers increases with the growth ratio of 1.2. Moreover, a sizing function with the growth ratio of 1.05 is applied beyond the boundary layer toward the peripheral boundaries. The highest sizing of the applied grid is set to 0.3 b0 at the far field surfaces.

Figure 3.
The schematics of the final grid at a sectioned view (a) and near the elliptical body (b) for the AR = 5 case.
It should be noted that the density of the utilized computational cells should be greater at regions with higher gradients of flow variables. For the present study, the mentioned regions are near the object boundary layer and in the wake downstream of the object. The grid sizing in those two regions were studied to obtain the optimum sizing to reduce the computational cost without increasing the numerical error. Based on the performed examinations, the downstream grid sizing is sufficient to obtain the flow pattern without affecting the wake region or aerodynamic coefficients.
The grid study is also performed to examine the sufficiency of the implemented grid structure. To do so, four similar meshes labeled as coarse, medium, fine, and very fine with cell numbers 987,124, 1,203,654, 1,422,924, and 1,763,290, respectively, are used. The mentioned cell numbers are for AR = 5, however, for other aspect ratios a slight difference in the number of cells occurs. Based on the grid study criteria (i.e., the lowest computational cost without sacrificing simulation accuracy), the mesh with the fine label proved to be optimal and was utilized for all of the case studies. The drag force is set as the parameter for error estimation.
Utilizing the simulations and governing equations obtained in this section, the coupled time-dependent elastic solid, the electrical governing equations are numerically solved using MATLAB software R2023b, and the dynamic behavior of the system is presented in Section 3.
3. Results and Discussions
The material properties of the beam layers, including the silicon beam, and the Lead Zirconate Titanate (PZT-5A) layer, along with other parameters and benchmark magnitudes, are listed in Table 1.
Table 1.
The parameters were implemented with specific magnitudes in this study.
3.1. Flow Field Results
3.1.1. Flow Pattern
CFD simulations were conducted to determine the flow field for various operating conditions, including different wind speeds (0.5, 1, 2, 5, and 10 m/s), elliptical cylinder aspect ratios (1, 2, 5, and 10), and angles of attack (0, 10, 20, 30, 40, and 50°). The velocity fields were represented using the streamline pattern at the mid-plane, which passes through the center of the examined obstacle. The resulting visualization can be seen in Figure 4.
Figure 4.
The streamlines at the midsection plane for aspect ratio of two.
For AR = 2, it is evident that at α = 10°, as the wind speed increases, the streamline pattern undergoes a transition from a nearly symmetrical pattern at V = 0.5 m/s to the formation of a distinct wake downstream of the elliptical object. The size of the wake region increases from zero to match the size of the object at V = 10 m/s, which has a significant impact on the aerodynamic properties, especially the drag coefficient. As the object rotates to 50°, the wake region undergoes a substantial growth, resulting in the formation of a high-pressure stagnant region behind the object, even at the lowest simulated wind speed of 0.5 m/s. The effect of these observations on the aerodynamic coefficients will be comprehensively discussed in the following section.
The streamlines for the aspect ratio of five are illustrated in Figure 5. At a wind speed of 0.5 m/s, the flow has a high tendency to follow the body curvature due the low inertia effect. For the highest simulated wind speed, the vortex structure behind the object is intensified compared to the aspect ratio of two. Even for near parallel flow to the body midline, two small vortices appear behind the body. The separation region in the downstream area increases substantially at higher angles of attack.
Figure 5.
The streamlines at the midsection plane for aspect ratio of five.
The same results are represented for the slenderest object in the present study, with AR = 10, in Figure 6. In comparison to the obtained results for AR = 2 (see Figure 5), it was observed that at a low angle of attack (10°), due to the streamline configuration of the object, no significant flow detachment occurs even at the highest simulated wind speed. So, it is expected that the frictional drag is the main component of the total drag coefficient. Conversely, for the highly rotated case (50°), due to the high aspect ratio and the existence of nearly sharp edges, the flow cannot follow the body line and a major separation occurs even at the lowest simulated wind speed. In this case, (α = 50°) the pressure drag is the main component of the total drag force.
Figure 6.
The streamlines at the midsection plane for aspect ratio of 10.
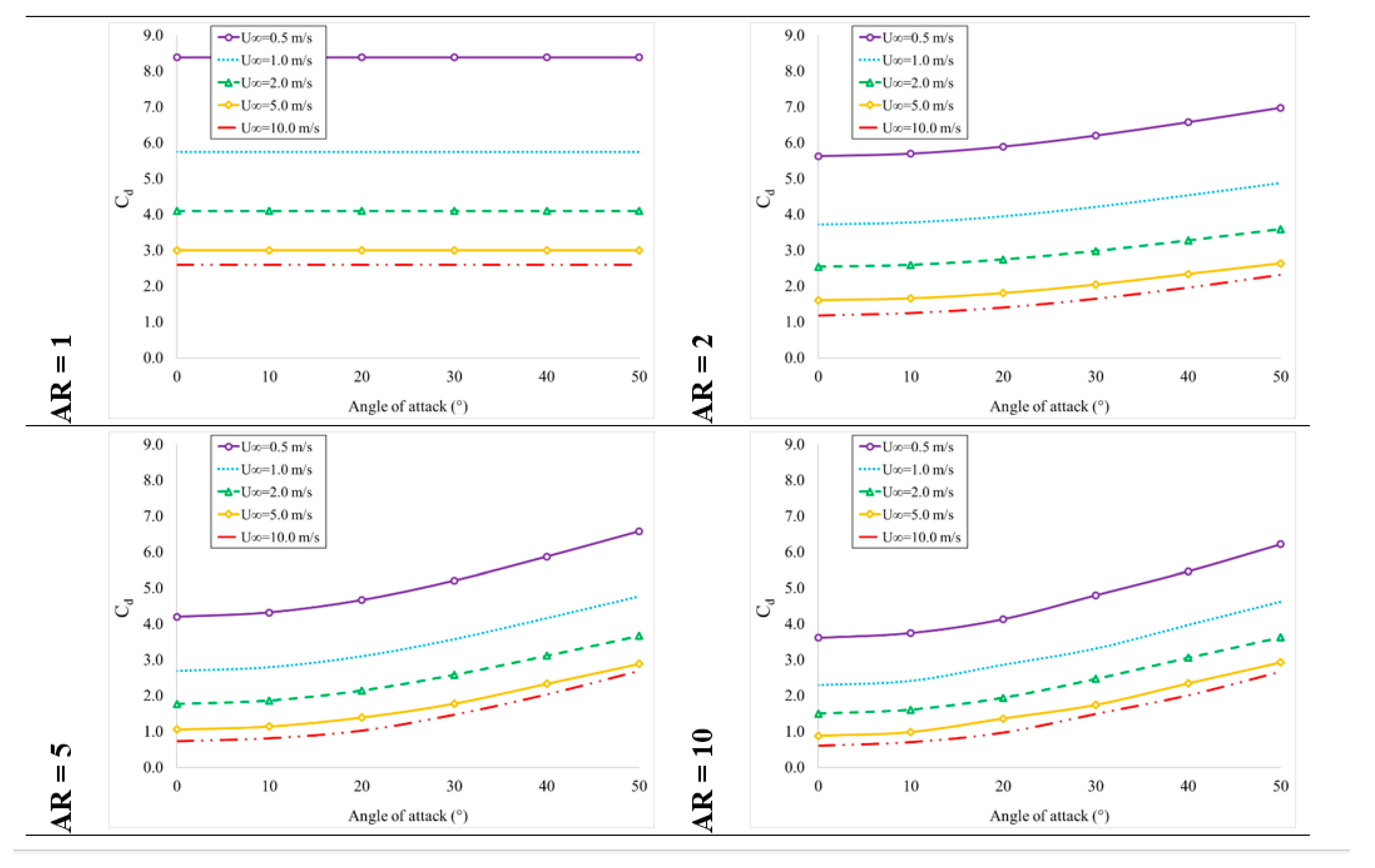
3.1.2. Drag Coefficient (Cd)
The variations in the drag coefficient as a function of both wind speed and angle of attack are illustrated in Figure 7 for various aspect ratios. For AR = 1, which corresponds to a cylindrical obstacle, the angle of attack has no effect on the Cd and consequently the Cd graphs become horizontal lines. For higher ARs, a nonlinear trend is observed for Cd with respect to the angle of attack. As the angle of attack increases, more dominant vortexes are formed downstream, leading to an intensification of the drag force. For each examined AR, increasing the wind speed results in a lower drag coefficient.
Figure 7.
The variations in Cd for various wind speeds and angles of attack.
Since the drag force comprises both pressure and viscous components, it can be concluded that the drag coefficient should be higher for more blunt obstacles, indicated by lower AR. This observation is consistent with the obtained results. Moreover, it should be stated that the sensitivity of Cd to the attack angle is more pronounced at higher wind speeds. For example, when rotating the obstacle from a horizontal state to an attack angle of 50°, Cd increases by 24.1 at a wind speed of 0.5 m/s and by 95.0 at a wind speed of 10 m/s for AR = 2. Similarly, for AR = 5, the increase in Cd is 56.6 at a wind speed of 0.5 m/s and 268.3 at a wind speed of 10 m/s, while for AR = 10, the increase is 72.5% at a wind speed of 0.5 m/s and 345.6% at a wind speed of 10 m/s. The observed sensitivity of the drag coefficient to changes in the attack angle has a significant influence on the oscillation pattern of the piezoelectric system and the generated power. These aspects will be further discussed in the following section.
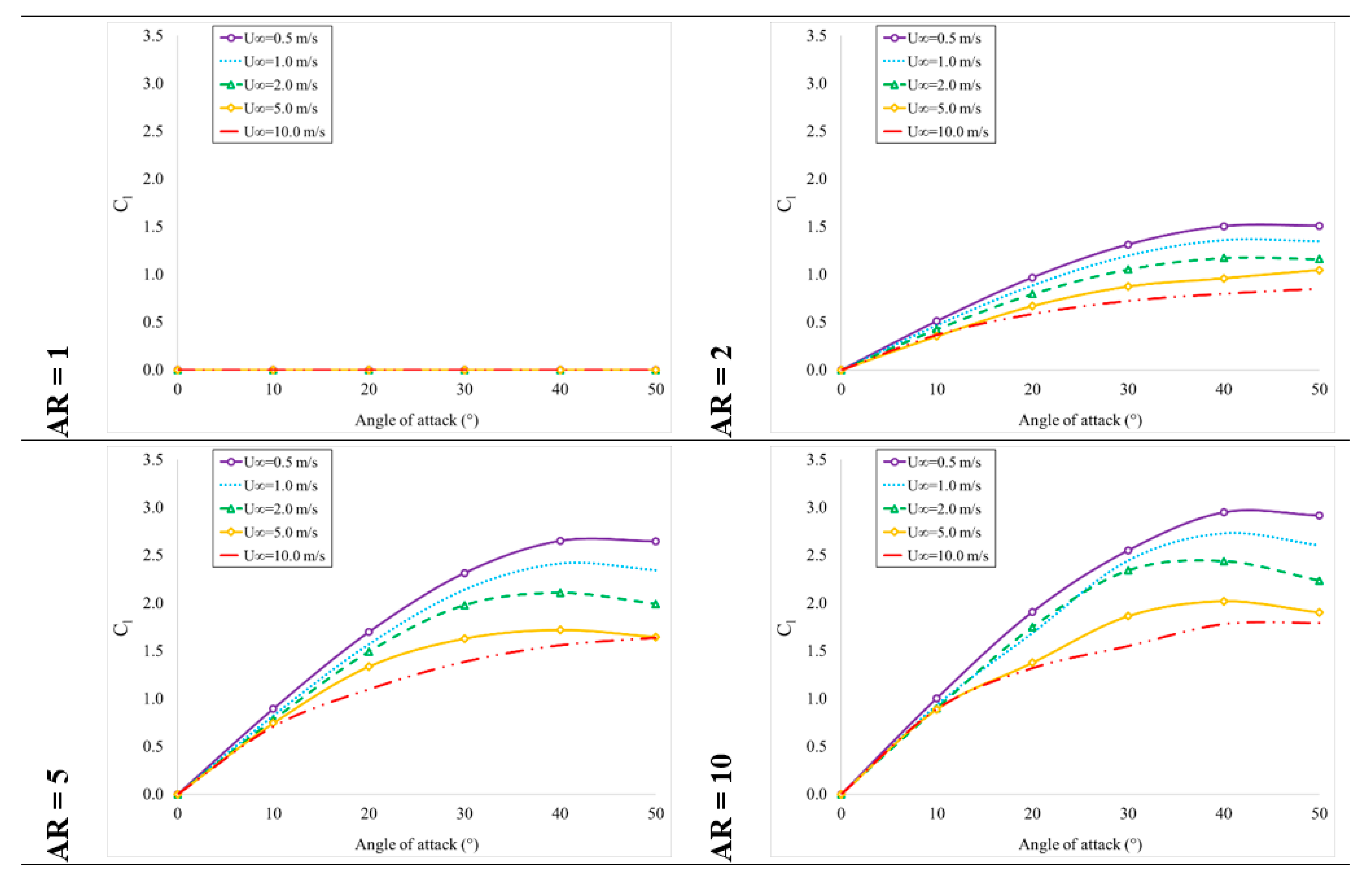
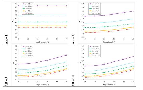
3.1.3. Lift Coefficient (Cl)
Figure 8 illustrates the lift coefficient as a function of wind speed and orientation for various aspect ratios. For AR = 1, which corresponds to a circular obstacle, zero lift is anticipated and obtained due to its symmetrical configuration. For higher ARs, a similar behavior is observed for the variations in Cl with respect to the angle of attack. At low angles of attack (below 10°), the lift coefficient exhibits a linear increase with the angle of attack. However, as the attack angle increases, the lift coefficient initially increases at a lower rate until reaching an attack angle of approximately 40°, beyond which it starts to decrease. The formation and escalation of detached vortices behind the rotated object, along with the expansion of the wake zone at high angles of attack, are the reasons for this observation.
Figure 8.
The variations in Cl for various wind speeds and angles of attack.
It should be noted that the maximum value of Cl increases for higher ARs. Specifically, Cl,max grows by up to 95.3% as the AR is increased from 2 to 10. Additionally, it was observed that at each specific configuration, the lift coefficient is higher for lower wind speeds. For example, at AR = 10 and α = 50°, Cl increases by 68% when the wind speed is reduced from 10 to 0.5 m/s. It is worth mentioning that the observed trends in the variation in lift and drag coefficients reported in this study closely align with the available data in the literature [45].
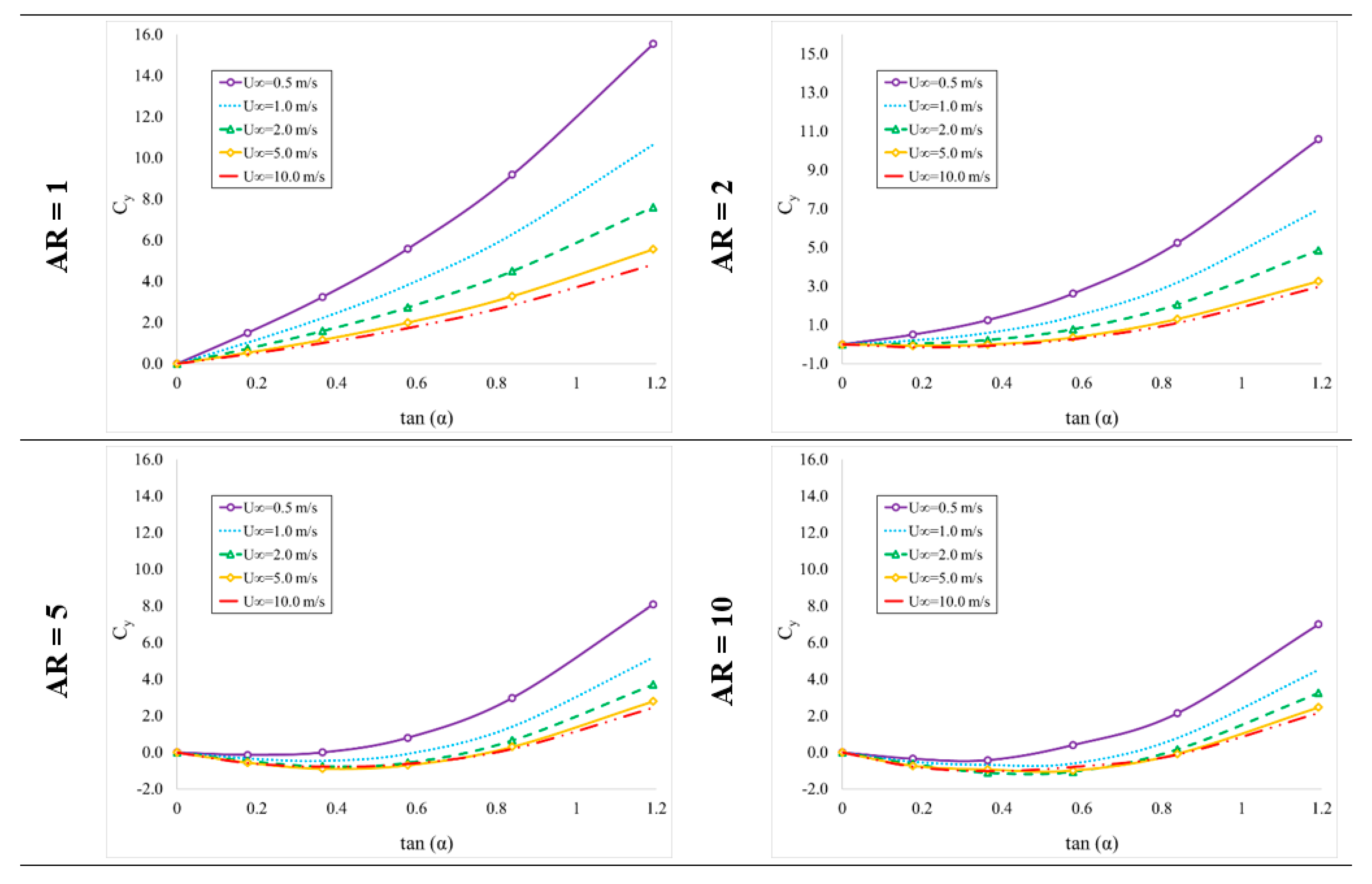
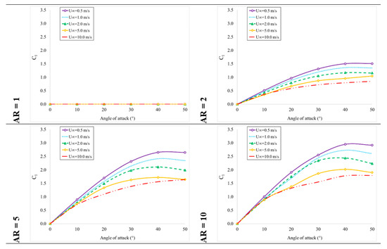
3.1.4. Transverse Load Coefficient (Cy)
The magnitude of the transverse component of the fluid force on the oscillating object is illustrated in Figure 9. Since the galloping force is determined based on the coefficients a1 and a3 obtained from curve fitting to the Cy results, the calculated data is represented as a function of tan(α). According to the results, a monotonic increasing behavior is observed as the attack angle increases for the circular cross section (AR = 1). However, as the object thickness is reduced (higher AR), the previously mentioned monotonic trend changes towards a lower rate of increase (AR = 2) or even a decreasing trend (AR = 5 and 10) at low angles of attack, as reported in [45]. This performance continues until tan(α) reaches approximately 0.6, beyond which the monotonic increasing trend resumes. For the highest simulated attack angle (i.e., α = 50°), Cy increases by 224.2% when the wind speed is increased from 0.5 to 10 m/s for AR = 1.
Figure 9.
The variations in Cy for various wind speeds and angles of attack.
3.1.5. Validation
For the validation of the performed CFD simulation and the harvested electrical power, it should be noted that the availability of experimental data for the current geometric schematic and operating condition is very limited. So, the obtained results of the present study for lift coefficient are compared to similar numerical results reported by Leontini et al. [45]. It should be noted that the results reported by Leontini et al. of [45] were obtained for a 2D geometry. According to data provided in Figure 10, the maximum error between the current study results and those report by Leontini et al. of [45] is limited to 4% for both of Cl and Cl,max.
Figure 10.
The comparison between Cl and Cl,max for 2D and 3D modeling.
3.2. Power Density Analysis
In this section, the mechanical performance and extracted power of the energy harvester are examined in relation to different aspect ratios and the mass of the elliptical tip cylinder. According to Equations (6) and (7), solving these equations will yield the transverse deflection of the beam and the output voltage of the piezoelectric layer. By utilizing the obtained voltage and load resistance values, it is possible to calculate the output power of the system. By examining these parameters, one can gain valuable insights into how they influence the device’s ability to generate power. Understanding these factors is indeed crucial in evaluating the overall efficiency and effectiveness of these devices as energy harvesters.
To investigate the influence of different aspect ratios on the extracted power of the galloping piezoelectric energy harvester (GPEH), the study considers four ratios of the elliptical tip cylinder (AR = 1, 2, 5, and 10). The results of this investigation are presented in Figure 11, providing a visual representation of the extracted power for each aspect ratio. It is evident from the results that the extracted power density is notably lower for AR = 1 and 2 compared to the higher aspect ratios. In the case of AR= 5, the device has an onset wind speed of 7 m/s, and the extracted power increases as the wind velocity rises. For AR = 10, the onset wind speed is observed at a lower wind velocity of 5.5 m/s, and the extracted power is 66% higher compared to AR = 5. Notably, the findings suggest that sharper corners in elliptical tip cylinders, represented by higher aspect ratios, can lead to higher output voltage and power. This is evident from the negligible extracted power observed for AR = 1, which represents a circular cylindrical mass. Indeed, these results emphasize the significance of considering both the aspect ratio and the mass of the tip cylinder when designing galloping energy harvesters for optimal performance.
Figure 11.
The relationship between output power density and wind speed for various aspect ratios.
Moreover, it should be noted that in galloping energy harvesters, where the wind flow velocity is assumed to be higher than in VIV energy harvesters, the harvested power is not explicitly dependent on the beam oscillating frequency. However, it is important to note that the power is dependent on the deflection of the beam, which, in turn, is influenced by the velocity of the wind flow.
The aerodynamic force coefficients are determined through CFD simulation, which involves conducting simulations at various angles of attack to obtain the a1 and a3 parameters in Equation (8). Once these constants are determined, it becomes possible to calculate the oscillation of the elliptical object and the harvested power throughout a complete cycle, during which the angle of attack continuously varies. This allows for a comprehensive understanding of the system’s performance. Indeed, despite obtaining the aerodynamic force components and streamlines for individual angles of attack, it is important to note that the harvested power does not belong exclusively to any particular angle of attack. The harvested power is dependent on the configuration of the object, the piezoelectric materials used, and the wind speed.
To further examine the influence of various aspect ratios on the extracted power of the galloping piezoelectric energy harvester (GPEH), a plot of the extracted power versus electrical load resistances is presented for each aspect ratio in Figure 12. As observed earlier in Figure 10, it is evident that the extracted power density is considerably lower for AR = 1 and 2 when compared to higher aspect ratios. When the aspect ratio is increased to 5 or 10, there is a corresponding increase in the output power density. At a wind speed of 9.5 m/s, the maximum power output is achieved when . Interestingly, the results indicate that altering the aspect ratio has no impact on the required electrical load resistance of the system to achieve the highest output voltage. These findings suggest that selecting the optimal aspect ratio is crucial to maximizing the output power of the GPEH. However, it is noteworthy that the aspect ratio does not affect the electrical load resistance required for achieving optimal performance.
Figure 12.
The correlation between output power density and electrical resistance for different aspect ratios.
Additionally, it should be noted that by solving Equations (6) and (7), the transverse deflection of the beam and the output voltage of the piezoelectric layer can be determined. These equations provide valuable insights into the behavior and performance of the galloping piezoelectric energy harvester. By utilizing the obtained voltage and load resistance values, it is possible to calculate the output power of the system. These power values can then be plotted in Figure 13, providing a visual representation of the system’s power output characteristics that can be calculated and plotted in Figure 13.
Figure 13.
The output power density and normalized mass relation for AR = 5 and 10.
Based on the previous discussion, our findings suggest that galloping energy harvesters exhibit superior performance when designed with sharper bluff bodies, specifically elliptical cylinders with higher aspect ratios. The mass of the tip cylinder also plays a crucial role in determining the behavior of the system. To further explore this hypothesis, the study examines the impact of normalized mass (tip mass/device mass) on the output power density for AR = 5 and 10. The results are presented in Figure 13. The results demonstrate that increasing the normalized mass from 10 to 60 leads to a 60% and 70% increase in output power for AR = 5 and 10, respectively. However, it should be noted that when the normalized mass exceeds 70, the rate of power increment starts to decrease. Therefore, the study confirms that when designing galloping energy harvesters, it is advisable to consider higher normalized masses. Additionally, using lumped parameters to model these energy harvesters is deemed an effective approach. These conclusions provide valuable insights into the design and optimization of piezoelectric galloping energy harvesters, aiming to enhance their performance.
4. Conclusions
The research aims to examine the characteristics and performance of a galloping piezoelectric micro energy harvester. The two-layered cantilever beam and attached elliptical cylinder were modeled using lumped parameters, and size-dependent coupled governing equations were solved numerically to extract the dynamic behavior of the micro energy harvester. Additionally, CFD simulations were performed to model the flow field effect on the beam oscillations for different aspect ratios of the elliptical cylinder. The study explores the effect of the elliptical tip cylinder’s aspect ratio and mass on the harvested power of the system. According to the CFD simulation, it was observed that the sensitivity of Cd to the attack angle becomes more pronounced at higher wind speeds. For instance, when the obstacle was rotated from a horizontal state to a 50° attack angle, it was observed that Cd increased by 24.1 at a wind speed of 0.5 m/s and by 95.0 at a wind speed of 10 m/s for AR = 2. The maximum value of Cl increased for higher ARs. Specifically, the maximum Cl increased by up to 95.3% when the AR was increased from 2 to 10. Furthermore, for the highest simulated attack angle (i.e., α = 50°), it was observed that by increasing the wind speed from 0.5 to 10 m/s for AR = 1, the Cy coefficient increased by 224.2%. The results indicate a notable decrease in the extracted power density for aspect ratios of one and two compared to aspect ratios of five and 10. The study additionally reveals that altering the aspect ratio had no impact on the required electrical load resistance of the system to achieve the highest output voltage. Furthermore, increasing the normalized mass from 10 to 60 led to a 60% and 70% increase in output power for AR = 5 and 10, respectively. This study confirms that when designing galloping energy harvesters, it is more favorable to consider higher normalized masses, and using lumped parameters to model them is reasonable and practical. Overall, this study offers valuable insights into the design of galloping piezoelectric micro energy harvesters and for optimizing their performance and output power.
Author Contributions
Conceptualization, R.R., A.K. and M.A.; methodology, M.A., A.K. and R.R.; writing—original draft preparation, M.A., A.K. and R.R.; writing—review and editing; M.J.A. All authors have read and agreed to the published version of the manuscript.
Funding
This research received no external funding.
Institutional Review Board Statement
Not applicable.
Informed Consent Statement
Not applicable.
Data Availability Statement
Data is contained in the paper.
Conflicts of Interest
The authors declare no conflict of interest.
References
- Cheng, Y.-P.; Liu, Y.-J.; Hu, J.; Li, S.; Shao, L.; Wu, Z.-X.; Chen, C.-L. Recent advances in MEMS mass spectrometers. Chin. J. Anal. Chem. 2022, 50, 60–72. [Google Scholar] [CrossRef]
- Wen, Q.; He, X.; Lu, Z.; Streiter, R.; Otto, T. A comprehensive review of miniatured wind energy harvesters. Nano Mater. Sci. 2021, 3, 170–185. [Google Scholar] [CrossRef]
- Takei, F.; Cooray, N.F.; Yoshida, K.; Yoshida, H.; Ebisu, K.; Suzuki, S.; Sawatari, N. Development of prototype micro fuel cells for mobile electronics. Fujitsu Sci. Tech. J. 2005, 41, 191–200. [Google Scholar]
- Do, J.-S.; Yu, S.-H.; Cheng, S.-F. Preparation and characterization of thick-film Ni/MH battery. Biosens. Bioelectron. 2004, 20, 61–67. [Google Scholar] [CrossRef]
- Roy, S.; Wasekul Azad, A.N.M.; Baidya, S.; Alam, N.; Khan, F. Powering solutions for biomedical sensors and implants inside the human body: A comprehensive review on energy harvesting units, energy storage, and wireless power transfer techniques. IEEE Trans. Power Electron. 2022, 37, 12237–12263. [Google Scholar] [CrossRef]
- Chen, J.; Wang, Z.L. Reviving vibration energy harvesting and self-powered sensing by a triboelectric nanogenerator. Joule 2017, 1, 480–521. [Google Scholar] [CrossRef]
- Zhang, Y.; Wang, T.; Luo, A.; Hu, Y.; Li, X.; Wang, F. Micro electrostatic energy harvester with both broad bandwidth and high normalized power density. Appl. Energy 2018, 212, 362–371. [Google Scholar] [CrossRef]
- Thomson, G.; Lai, Z.; Val, D.V.; Yurchenko, D. Advantages of nonlinear energy harvesting with dielectric elastomers. J. Sound Vib. 2019, 442, 167–182. [Google Scholar] [CrossRef]
- Maamer, B.; Boughamoura, A.; Fath El-Bab, A.M.R.; Francis, L.A.; Tounsi, F. A review on design improvements and techniques for mechanical energy harvesting using piezoelectric and electromagnetic schemes. Energy Convers. Manag. 2019, 199, 111973. [Google Scholar] [CrossRef]
- Qian, F.; Liao, Y.; Zuo, L.; Jones, P. System-level finite element analysis of piezoelectric energy harvesters with rectified interface circuits and experimental validation. Mech. Syst. Signal Process 2021, 151, 107440. [Google Scholar] [CrossRef]
- Wang, J.; Yurchenko, D.; Hu, G.; Zhao, L.; Tang, L.; Yang, Y. Perspectives in flow-induced vibration energy harvesting. Appl. Phys. Lett. 2021, 119, 100502. [Google Scholar] [CrossRef]
- Hu, G.; Lan, C.; Liang, J.; Tang, L.; Zhao, L. Theoretical study of a two-degree-of-freedom piezoelectric energy harvester under concurrent aeroelastic and base excitation. J. Intell. Mater. Syst. Struct. 2022, 33, 2000–2016. [Google Scholar] [CrossRef]
- Afsharfard, A.; Lee, I.; Kim, K.C. Study application of an unmoored ocean wave energy harvester with harmonic and random excitation. Energy Convers. Manag. 2023, 293, 117535. [Google Scholar] [CrossRef]
- Karimzadeh, A.; Roohi, R.; Akbari, M. Size-dependent behavior of micro piezoelectric VIV energy harvester: Parametric study and performance analysis. Appl. Ocean Res. 2022, 127, 103296. [Google Scholar] [CrossRef]
- Karimzadeh, A.; Roohi, R.; Akbari, M. Piezoelectric wind energy harvesting from vortex-induced vibrations of an elastic beam. Sci. Iran. 2023, 30, 77–89. [Google Scholar]
- Li, Z.; Zhou, S.; Yang, Z. Recent progress on flutter-based wind energy harvesting. Int. J. Mech. Syst. Dyn. 2022, 2, 82–98. [Google Scholar] [CrossRef]
- Karimzadeh, A.; Akbari, M.; Roohi, R.; Amiri, M.J. Dynamic behavior of galloping micro energy harvester with the elliptical bluff body using CFD simulation. Sustainability 2023, 15, 12187. [Google Scholar] [CrossRef]
- Hu, G.; Wang, J.; Tang, L. A comb-like beam based piezoelectric system for galloping energy harvesting. Mech. Syst. Signal Process. 2021, 150, 107301. [Google Scholar] [CrossRef]
- Ma, X.; Zhou, S. A review of flow-induced vibration energy harvesters. Energy Convers. Manag. 2022, 254, 115223. [Google Scholar] [CrossRef]
- Yang, Y.; Zhao, L.; Tang, L. Comparative study of tip cross-sections for efficient galloping energy harvesting. Appl. Phys. Lett. 2013, 102, 064105. [Google Scholar] [CrossRef]
- Shi, M.; Holmes, A.S.; Yeatman, E.M. Piezoelectric wind velocity sensor based on the variation of galloping frequency with drag force. Appl. Phys. Lett. 2020, 116, 264101. [Google Scholar] [CrossRef]
- Zhao, D.; Hu, X.; Tan, T.; Yan, Z.; Zhang, W. Piezoelectric galloping energy harvesting enhanced by topological equivalent aerodynamic design. Energy Convers. Manag. 2020, 222, 113260. [Google Scholar] [CrossRef]
- Zhang, L.; Meng, B.; Xia, Y.; Deng, Z.; Dai, H.; Hagedorn, P.; Peng, Z.; Wang, L. Galloping triboelectric nanogenerator for energy harvesting under low wind speed. Nano Energy 2020, 70, 104477. [Google Scholar] [CrossRef]
- Huang, D.; Han, J.; Li, W.; Deng, H.; Zhou, S. Responses, optimization and prediction of energy harvesters under galloping and base excitations. Commun. Nonlinear Sci. Numer. Simul. 2023, 119, 107086. [Google Scholar] [CrossRef]
- Chen, S.; Wang, C.H.; Zhao, L. A two-degree-of-freedom aeroelastic energy harvesting system with coupled vortex-induced-vibration and wake galloping mechanisms. Appl. Phys. Lett. 2023, 122, 063901. [Google Scholar] [CrossRef]
- Chen, S.; Zhao, L. A quasi-zero stiffness two degree-of-freedom nonlinear galloping oscillator for ultra-low wind speed aeroelastic energy harvesting. Appl. Energy 2023, 331, 120423. [Google Scholar] [CrossRef]
- Li, H.-T.; Ren, H.; Cao, F.; Qin, W.-Y. Improving the galloping energy harvesting performance with magnetic coupling. Int. J. Mech. Sci. 2023, 237, 107785. [Google Scholar] [CrossRef]
- Kim, H.; Kim, S.; Xue, K.; Seok, J. Modeling and performance analysis of electromagnetic energy harvester based on torsional galloping phenomenon. Mech. Syst. Signal Process. 2023, 195, 110287. [Google Scholar] [CrossRef]
- Fleck, N.A.; Muller, G.M.; Ashby, M.F.; Hutchinson, J.W. Strain gradient plasticity: Theory and experiment. Acta Metall. 1994, 42, 475–487. [Google Scholar] [CrossRef]
- McFarland, A.W.; Colton, J.S. Role of material microstructure in plate stiffness with relevance to microcantilever sensors. J. Micromech. Microeng. 2005, 15, 1060–1067. [Google Scholar] [CrossRef]
- Mindlin, R.D.; Tiersten, H.F. Effects of couple-stresses in linear elasticity. Arch. Ration. Mech. Anal. 1962, 11, 415–448. [Google Scholar] [CrossRef]
- Yang, F.; Chong, A.C.M.; Lam, D.C.C.; Tong, P. Couple stress based strain gradient theory for elasticity. Int. J. Solids Struct. 2002, 39, 2731–2743. [Google Scholar] [CrossRef]
- Lam, D.C.C.; Yang, F.; Chong, A.C.M.; Wang, J.; Tong, P. Experiments and theory in strain gradient elasticity. J. Mech. Phys. Solids 2003, 51, 1477–1508. [Google Scholar] [CrossRef]
- Li, Z.; He, Y.; Lei, J.; Guo, S.; Liu, D.; Wang, L. A standard experimental method for determining the material length scale based on modified couple stress theory. Int. J. Mech. Sci. 2018, 141, 198–205. [Google Scholar] [CrossRef]
- Romanoff, J.; Reddy, J.N. Experimental validation of the modified couple stress Timoshenko beam theory for web-core sandwich panels. Compos. Struct. 2014, 111, 130–137. [Google Scholar] [CrossRef]
- Karimzadeh, A.; Ahmadian, M.T.; Firoozbakhsh, K.; Rahaeifard, M. Vibrational analysis of size-dependent rotating micro-rings. Int. J. Struct. Stab. Dyn. 2017, 17, 1771012. [Google Scholar] [CrossRef]
- Thai, T.Q.; Zhuang, X.; Rabczuk, T. Curved flexoelectric and piezoelectric micro-beams for nonlinear vibration analysis of energy harvesting. Int. J. Solids Struct. 2023, 264, 112096. [Google Scholar] [CrossRef]
- He, Z.; Zhang, G.; Chen, X.; Cong, Y.; Gu, S.; Hong, J. Elastic wave harvesting in piezoelectric-defect-introduced phononic crystal microplates. Int. J. Mech. Sci. 2023, 239, 107892. [Google Scholar] [CrossRef]
- Banerjee, J.R.; Papkov, S.O.; Vo, T.P.; Elishakoff, I. Dynamic stiffness formulation for a micro beam using Timoshenko–Ehrenfest and modified couple stress theories with applications. J. Vib. Control 2023, 29, 428–439. [Google Scholar] [CrossRef]
- Si, J.; Yi, S. A quasi-3D model of composite laminated micro plate based on new modified couple stress theory under thermal loading. Mech. Adv. Mater. Struct. 2023. In press. [Google Scholar] [CrossRef]
- Askari, A.R.; Awrejcewicz, J. Modified couple stress flexural–flexural quasi-static pull-in analysis of large deformable cantilever-based micro-gyroscopes. Commun. Nonlinear Sci. Numer. Simul. 2023, 117, 106933. [Google Scholar] [CrossRef]
- Naseer, R.; Abdelkefi, A.; Wang, L. Piezomagnetoelastic energy harvesting from vortex-induced vibrations using monostable characteristics. Appl. Energy 2017, 203, 142–153. [Google Scholar] [CrossRef]
- Rahaeifard, M.; Ahmadian, M.T.; Firoozbakhsh, K. Vibration analysis of electrostatically actuated nonlinear microbridges based on the modified couple stress theory. Appl. Math. Model. 2015, 39, 6694–6704. [Google Scholar] [CrossRef]
- Akaydin, H.D.; Elvin, N.; Andreopoulos, Y. The performance of a self-excited fluidic energy harvester. Smart Mater. Struct. 2012, 21, 025007. [Google Scholar] [CrossRef]
- Leontini, J.S.; Griffith, M.D.; Lo Jacono, D.; Sheridan, J. The flow-induced vibration of an elliptical cross-section at varying angles of attack. J. Fluids Struct. 2018, 78, 356–373. [Google Scholar] [CrossRef]
Disclaimer/Publisher’s Note: The statements, opinions and data contained in all publications are solely those of the individual author(s) and contributor(s) and not of MDPI and/or the editor(s). MDPI and/or the editor(s) disclaim responsibility for any injury to people or property resulting from any ideas, methods, instructions or products referred to in the content. |
© 2023 by the authors. Licensee MDPI, Basel, Switzerland. This article is an open access article distributed under the terms and conditions of the Creative Commons Attribution (CC BY) license (https://creativecommons.org/licenses/by/4.0/).













