Farmyard Manure Enhances Phytoremediation and Mitigates Pb, Cd, and Drought Stress in Ryegrass
Abstract
:1. Introduction
2. Materials and Methods
2.1. Soil Sample Collection and Lab Analysis
2.2. Experimental Procedure
2.3. Seed Germination and Growth Traits of Ryegrass
2.4. Physiological Traits of Ryegrass
2.5. Antioxidant Enzyme Activities and H2O2
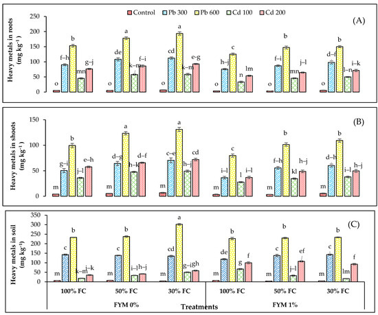
2.6. Determination of Lead and Cadmium in Soil and Plants
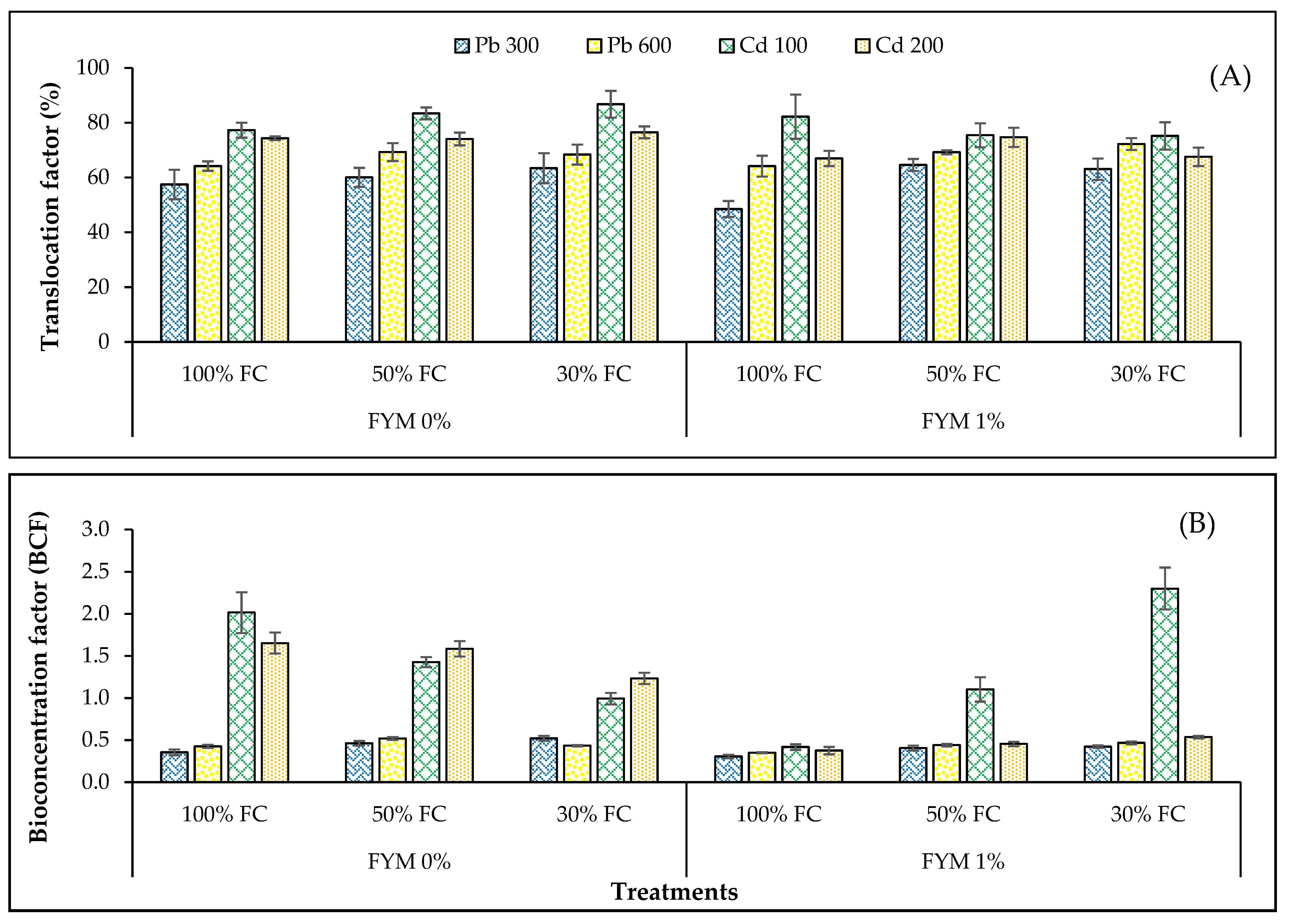
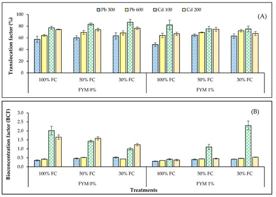
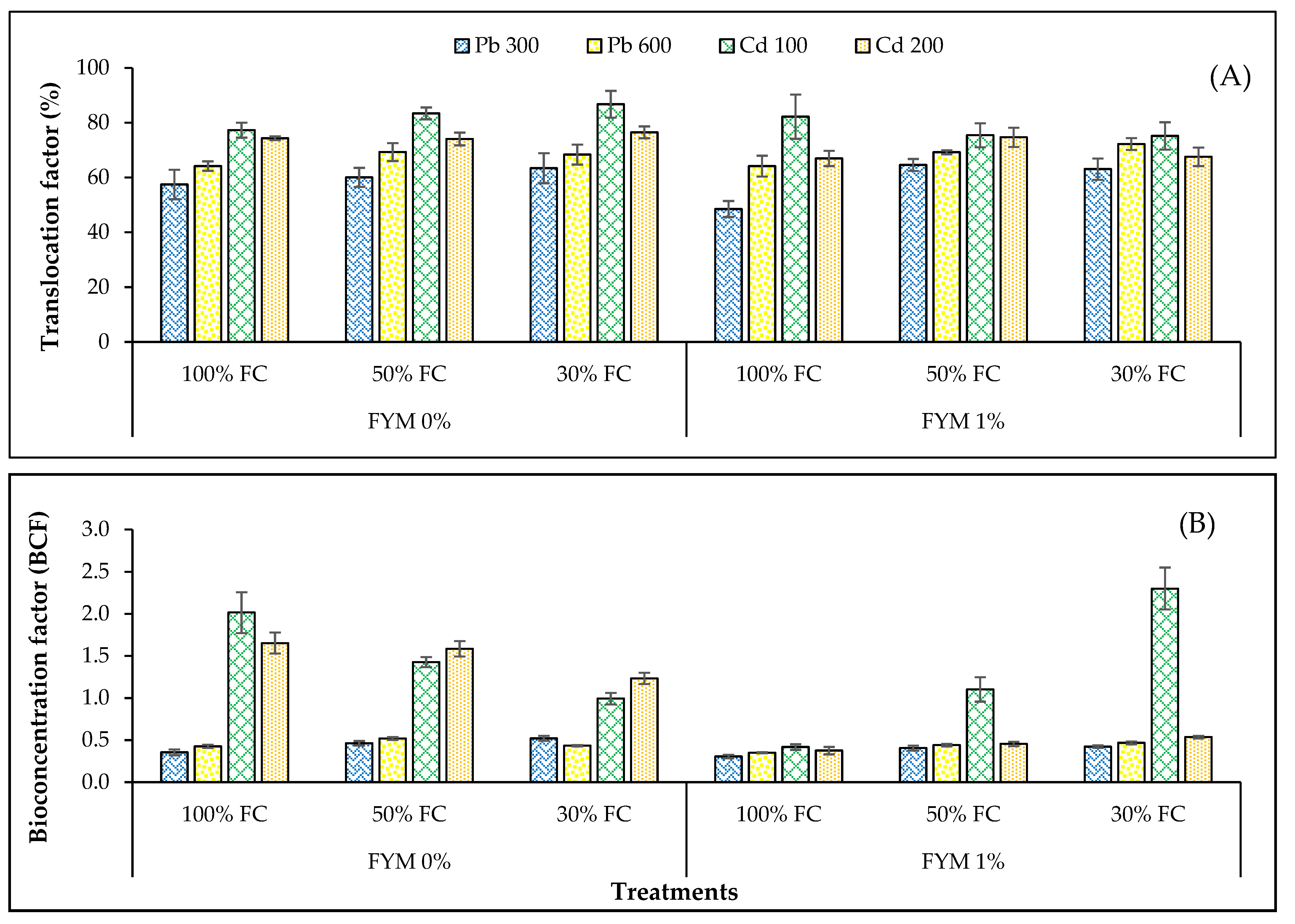
2.7. Translocation and Bioconcentration Factors
2.8. Statistical Analysis
3. Results
3.1. Physicochemical Attributes of Soil and Farmyard Manure
3.2. Growth Traits of Ryegrass
3.3. Physiological Attributes of Ryegrass
3.4. Antioxidative Attributes of Ryegrass
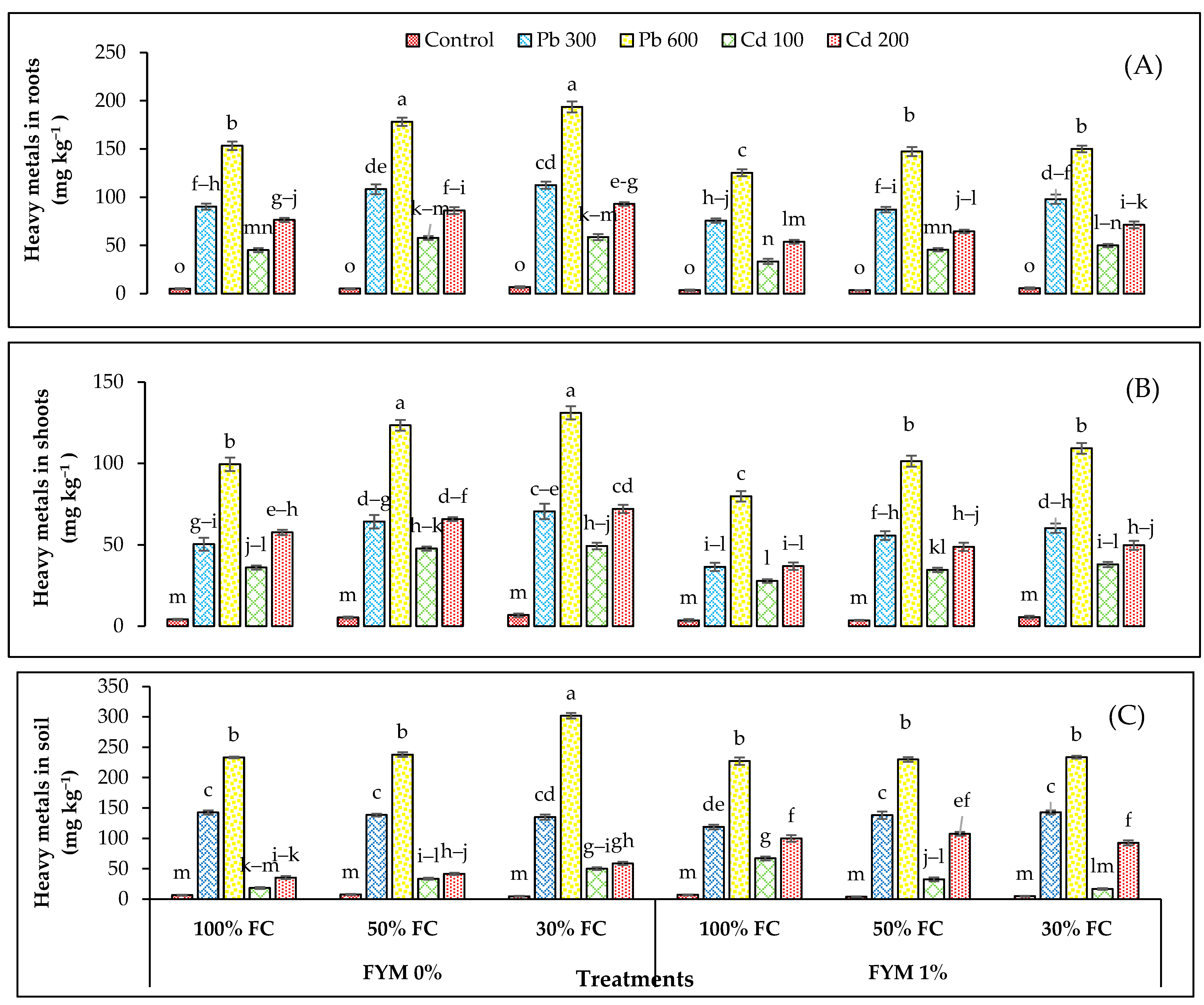
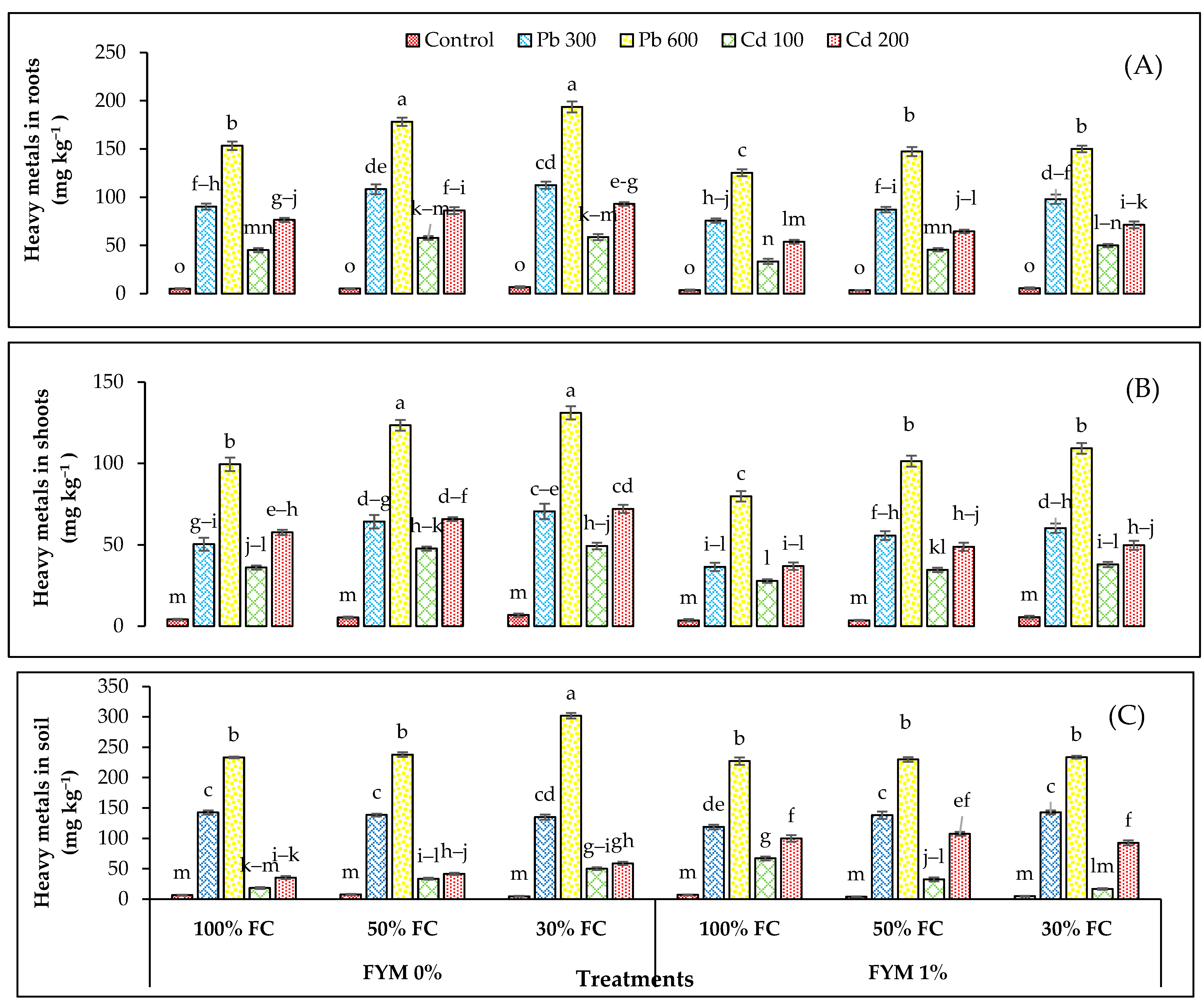
3.5. Heavy Metals Concentration in Plants and Soil
3.6. Correlation Analysis
4. Discussion
5. Conclusions
Author Contributions
Funding
Institutional Review Board Statement
Informed Consent Statement
Data Availability Statement
Acknowledgments
Conflicts of Interest
References
- Anglana, C.; Capaci, P.; Barozzi, F.; Migoni, D.; Rojas, M.; Stigliano, E.; Di Sansebastiano, G.P.; Papadia, P. Dittrichia viscosa selection strategy based on stress produces stable clonal lines for phytoremediation applications. Plants 2023, 12, 2499. [Google Scholar] [CrossRef] [PubMed]
- Kumar, S.; Prasad, S.; Yadav, K.K.; Shrivastava, M.; Gupta, N.; Nagar, S.; Bach, Q.-V.; Kamyab, H.; Khan, S.A.; Yadav, S. Hazardous heavy metals contamination of vegetables and food chain: Role of sustainable remediation approaches—A review. Environ. Res. 2019, 179, 108792. [Google Scholar] [CrossRef] [PubMed]
- Rock, S.; Pivetz, B.; Madalinski, K.; Adams, N.; Wilson, T. Introduction to Phytoremediation; EPA/600/R-99/107 (NTIS PB2000-106690); US Environmental Protection Agency: Washington, DC, USA, 2000. [Google Scholar]
- Perry, L.G.; Andersen, D.C.; Reynolds, L.V.; Nelson, S.M.; Shafroth, P.B. Vulnerability of riparian ecosystems to elevated CO2 and climate change in arid and semiarid western North America. Glob. Chang. Biol. 2012, 18, 821–842. [Google Scholar] [CrossRef]
- Celis-Hernández, O.; Ontiveros-Cuadras, J.F.; Ward, R.D.; Girón-García, M.P.; Pérez-Ceballos, R.Y.; Canales-Delgadillo, J.C.; Acevedo-Granados, I.V.; Santiago-Pérez, S.; Armstrong-Altrin, J.S.; Merino-Ibarra, M. Biogeochemical behaviour of cadmium in sediments and potential biological impact on mangroves under anthropogenic influence: A baseline survey from a protected nature reserve. Mar. Pollut. Bull. 2022, 185, 114260. [Google Scholar] [CrossRef] [PubMed]
- Malar, S.; Manikandan, R.; Favas, P.J.; Sahi, S.V.; Venkatachalam, P. Effect of lead on phytotoxicity, growth, biochemical alterations and its role on genomic template stability in Sesbania grandiflora: A potential plant for phytoremediation. Ecotoxicol. Environ. Saf. 2014, 108, 249–257. [Google Scholar] [CrossRef] [PubMed]
- Dudka, S.; Piotrowska, M.; Terelak, H. Transfer of cadmium, lead, and zinc from industrially contaminated soil to crop plants: A field study. Environ. Pollut. 1996, 94, 181–188. [Google Scholar] [CrossRef]
- Gupta, S.; Srivastava, S.; Pardha Saradhi, P. Chromium increases photosystem 2 activity in Brassica juncea. Biol. Plant. 2009, 53, 100–104. [Google Scholar] [CrossRef]
- Zhang, F.; Zhang, H.; Wang, G.; Xu, L.; Shen, Z. Cadmium-induced accumulation of hydrogen peroxide in the leaf apoplast of Phaseolus aureus and Vicia sativa and the roles of different antioxidant enzymes. J. Hazard. Mater. 2009, 168, 76–84. [Google Scholar] [CrossRef]
- Van de Mortel, J.E.; Schat, H.; Moerland, P.D.; Van Themaat, E.V.L.; Van Der Ent, S.; Blankestijn, H.; Ghandilyan, A.; Tsiatsiani, S.; Aarts, M.G. Expression differences for genes involved in lignin, glutathione and sulphate metabolism in response to cadmium in Arabidopsis thaliana and the related Zn/Cd-hyperaccumulator Thlaspi caerulescens. Plant Cell Environ. 2008, 31, 301–324. [Google Scholar] [CrossRef]
- Ilyas, S.; Srivastava, R.R.; Ilyas, N. Biosorption of strontium from aqueous solutions. In Strontium Contamination in the Environment; Springer: Berlin/Heidelberg, Germany, 2020; pp. 65–83. [Google Scholar]
- Pathak, P.; Bhattacharya, D. Phytoextraction of heavy metals by weeds: Physiological and molecular intervention. In Handbook of Bioremediation; Elsevier: Amsterdam, The Netherlands, 2021; pp. 49–59. [Google Scholar]
- Meers, E.; Hopgood, M.; Lesage, E.; Vervaeke, P.; Tack, F.; Verloo, M. Enhanced phytoextraction: In search of EDTA alternatives. Int. J. Phytoremediat. 2004, 6, 95–109. [Google Scholar] [CrossRef]
- Yan, L.; Van Le, Q.; Sonne, C.; Yang, Y.; Yang, H.; Gu, H.; Ma, N.L.; Lam, S.S.; Peng, W. Phytoremediation of radionuclides in soil, sediments and water. J. Hazard. Mater. 2021, 407, 124771. [Google Scholar] [CrossRef] [PubMed]
- Sharma, P.; Dubey, R.S. Lead toxicity in plants. Braz. J. Plant Physiol. 2005, 17, 35–52. [Google Scholar] [CrossRef]
- Sladkovska, T.; Wolski, K.; Bujak, H.; Radkowski, A.; Sobol, Ł. A review of research on the use of selected grass species in removal of heavy metals. Agronomy 2022, 12, 2587. [Google Scholar] [CrossRef]
- Arienzo, M.; Adamo, P.; Cozzolino, V. The potential of Lolium perenne for revegetation of contaminated soil from a metallurgical site. Sci. Total Environ. 2004, 319, 13–25. [Google Scholar] [CrossRef] [PubMed]
- Duo, L.; Zhao, S.; Gao, Y. Heavy metal control in domestic rubbish by source screening and suitability of nutrient elements as turfgrass medium. J. Northeast Agric. Univ. 2005, 12, 1–4. [Google Scholar]
- Lou, Y.; Luo, H.; Hu, T.; Li, H.; Fu, J. Toxic effects, uptake, and translocation of Cd and Pb in perennial ryegrass. Ecotoxicology 2013, 22, 207–214. [Google Scholar] [CrossRef] [PubMed]
- Si, J.-T.; Tian, B.-G.; Wang, H.-T.; Basta, N.; Schroder, J.; Casillas, M. Assessing availability, phytotoxicity and bioaccumulation of lead to ryegrass and millet based on 0.1 mol/L Ca (NO3) 2 extraction. J. Environ. Sci. 2006, 18, 958–963. [Google Scholar] [CrossRef]
- Xie, H.; Ma, Y.; Wang, Y.; Sun, F.; Liu, R.; Liu, X.; Xu, Y. Biological response and phytoremediation of perennial ryegrass to halogenated flame retardants and Cd in contaminated soils. J. Environ. Chem. Eng. 2021, 9, 106526. [Google Scholar] [CrossRef]
- Khan, N.; Bano, A.; Rahman, M.A.; Rathinasabapathi, B.; Babar, M.A. UPLC-HRMS-based untargeted metabolic profiling reveals changes in chickpea (Cicer arietinum) metabolome following long-term drought stress. Plant Cell Environ. 2019, 42, 115–132. [Google Scholar] [CrossRef]
- Lesk, C.; Rowhani, P.; Ramankutty, N. Influence of extreme weather disasters on global crop production. Nature 2016, 529, 84–87. [Google Scholar] [CrossRef]
- Vinocur, B.; Altman, A. Recent advances in engineering plant tolerance to abiotic stress: Achievements and limitations. Curr. Opin. Biotechnol. 2005, 16, 123–132. [Google Scholar] [CrossRef] [PubMed]
- Li, X.; Gitau, M.M.; Han, S.; Fu, J.; Xie, Y. Effects of cadmium-resistant fungi Aspergillus aculeatus on metabolic profiles of bermudagrass [Cynodondactylon (L.) Pers.] under Cd stress. Plant Physiol. Biochem. 2017, 114, 38–50. [Google Scholar] [CrossRef] [PubMed]
- Qayyum, M.F.; Abid, M.; Danish, S.; Saeed, M.K.; Ali, M.A. Effects of various biochars on seed germination and carbon mineralization in an alkaline soil. Pak. J. Agric. Sci. 2015, 51, 977–982. [Google Scholar]
- Yousaf, B.; Liu, G.; Wang, R.; Zia-ur-Rehman, M.; Rizwan, M.S.; Imtiaz, M.; Murtaza, G.; Shakoor, A. Investigating the potential influence of biochar and traditional organic amendments on the bioavailability and transfer of Cd in the soil–plant system. Environ. Earth Sci. 2016, 75, 374. [Google Scholar] [CrossRef]
- Putwattana, N.; Kruatrachue, M.; Kumsopa, A.; Pokethitiyook, P. Evaluation of organic and inorganic amendments on maize growth and uptake of Cd and Zn from contaminated paddy soils. Int. J. Phytoremediat. 2015, 17, 165–174. [Google Scholar] [CrossRef]
- Bolan, N.; Kunhikrishnan, A.; Thangarajan, R.; Kumpiene, J.; Park, J.; Makino, T.; Kirkham, M.B.; Scheckel, K. Remediation of heavy metal (loid) s contaminated soils–to mobilize or to immobilize? J. Hazard. Mater. 2014, 266, 141–166. [Google Scholar] [CrossRef]
- Teodoro, M.; Clemente, R.; Ferrer-Bustins, E.; Martínez-Fernández, D.; Pilar Bernal, M.; Vítková, M.; Vítek, P.; Komárek, M. Nanoscale zero-valent iron has minimum toxicological risk on the germination and early growth of two grass species with potential for phytostabilization. Nanomaterials 2020, 10, 1537. [Google Scholar] [CrossRef]
- Ali, M.H.; Khan, M.I.; Naveed, M.; Tanvir, M.A. Microbe-assisted rhizoremediation of hydrocarbons and growth promotion of chickpea plants in petroleum hydrocarbons-contaminated soil. Sustainability 2023, 15, 6081. [Google Scholar] [CrossRef]
- Ud Din, M.M.; Khan, M.I.; Azam, M.; Ali, M.H.; Qadri, R.; Naveed, M.; Nasir, A. Effect of biochar and compost addition on mitigating salinity stress and improving fruit quality of tomato. Agronomy 2023, 13, 2197. [Google Scholar] [CrossRef]
- Arnon, D.I. Copper enzymes in isolated chloroplasts. Polyphenoloxidase in Beta vulgaris. Plant Physiol. 1949, 24, 1. [Google Scholar] [CrossRef]
- Ali, M.H.; Muzaffar, A.; Khan, M.I.; Farooq, Q.; Tanvir, M.A.; Dawood, M.; Hussain, M.I. Microbes-assisted phytoremediation of lead and petroleum hydrocarbons contaminated water by water hyacinth. Int. J. Phytoremediat. 2023, 14, 1–11. [Google Scholar] [CrossRef] [PubMed]
- Sairam, R.K.; Rao, K.V.; Srivastava, G. Differential response of wheat genotypes to long term salinity stress in relation to oxidative stress, antioxidant activity and osmolyte concentration. Plant Sci. 2002, 163, 1037–1046. [Google Scholar] [CrossRef]
- Beauchamp, C.; Fridovich, I. Superoxide dismutase: Improved assays and an assay applicable to acrylamide gels. Anal. Biochem. 1971, 44, 276–287. [Google Scholar] [CrossRef] [PubMed]
- Angelini, R.; Manes, F.; Federico, R. Spatial and functional correlation between diamine-oxidase and peroxidase activities and their dependence upon de-etiolation and wounding in chick-pea stems. Planta 1990, 182, 89–96. [Google Scholar] [CrossRef]
- Velikova, V.; Yordanov, I.; Edreva, A. Oxidative stress and some antioxidant systems in acid rain-treated bean plants: Protective role of exogenous polyamines. Plant Sci. 2000, 151, 59–66. [Google Scholar] [CrossRef]
- Soltanpour, P. Determination of nutrient availability and elemental toxicity by AB-DTPA soil test and ICPS. Adv. Soil Sci. 1991, 16, 165–190. [Google Scholar]
- Zacchini, M.; Pietrini, F.; Scarascia Mugnozza, G.; Iori, V.; Pietrosanti, L.; Massacci, A. Metal tolerance, accumulation and translocation in poplar and willow clones treated with cadmium in hydroponics. Water Air Soil Pollut. 2009, 197, 23–34. [Google Scholar] [CrossRef]
- Rizwan, M.; Ali, S.; Abbas, T.; Zia-ur-Rehman, M.; Hannan, F.; Keller, C.; Al-Wabel, M.I.; Ok, Y.S. Cadmium minimization in wheat: A critical review. Ecotoxicol. Environ. Saf. 2016, 130, 43–53. [Google Scholar] [CrossRef]
- Yang, W.-T.; Zhou, H.; Gu, J.-F.; Liao, B.-H.; Peng, P.-Q.; Zeng, Q.-R. Effects of a combined amendment on Pb, Cd, and as availability and accumulation in rice planted in contaminated paddy soil. Soil Sediment Contam Int. J. 2017, 26, 70–83. [Google Scholar] [CrossRef]
- Chen, D.; Guo, H.; Li, R.; Li, L.; Pan, G.; Chang, A.; Joseph, S. Low uptake affinity cultivars with biochar to tackle Cd-tainted rice—A field study over four rice seasons in Hunan, China. Sci. Total Environ. 2016, 541, 1489–1498. [Google Scholar] [CrossRef]
- ur Rehman, M.Z.; Khalid, H.; Akmal, F.; Ali, S.; Rizwan, M.; Qayyum, M.F.; Iqbal, M.; Khalid, M.U.; Azhar, M. Effect of limestone, lignite and biochar applied alone and combined on cadmium uptake in wheat and rice under rotation in an effluent irrigated field. Environ. Pollut. 2017, 227, 560–568. [Google Scholar] [CrossRef]
- Rizwan, M.; Ali, S.; Ibrahim, M.; Farid, M.; Adrees, M.; Bharwana, S.A.; Zia-ur-Rehman, M.; Qayyum, M.F.; Abbas, F. Mechanisms of silicon-mediated alleviation of drought and salt stress in plants: A review. Environ. Sci. Pollut. Res. 2015, 22, 15416–15431. [Google Scholar] [CrossRef]
- Ma, Y.; Rajkumar, M.; Zhang, C.; Freitas, H. Inoculation of Brassica oxyrrhina with plant growth promoting bacteria for the improvement of heavy metal phytoremediation under drought conditions. J. Hazard. Mater. 2016, 320, 36–44. [Google Scholar] [CrossRef]
- Narayanan, M.; Ma, Y. Metal tolerance mechanisms in plants and microbe-mediated bioremediation. Environ. Res. 2023, 222, 115413. [Google Scholar] [CrossRef] [PubMed]
- Hossain, M.A.; Piyatida, P.; da Silva, J.A.T.; Fujita, M. Molecular mechanism of heavy metal toxicity and tolerance in plants: Central role of glutathione in detoxification of reactive oxygen species and methylglyoxal and in heavy metal chelation. J. Bot. 2012, 2012, 872875. [Google Scholar] [CrossRef]
- Mukhtar, N.; Hameed, M.; Ashraf, M.; Ahmed, R. Modifications in stomatal structure and function in Cenchrus ciliaris L. and Cynodon dactylon (L.) pers. in response to cadmium stress. Pak. J. Bot. 2013, 45, 351–357. [Google Scholar]
- Xie, Y.; Hu, L.; Du, Z.; Sun, X.; Amombo, E.; Fan, J.; Fu, J. Effects of cadmium exposure on growth and metabolic profile of bermudagrass [Cynodon dactylon (L.) Pers.]. PLoS ONE 2014, 9, e115279. [Google Scholar] [CrossRef]
- Berni, R.; Luyckx, M.; Xu, X.; Legay, S.; Sergeant, K.; Hausman, J.-F.; Lutts, S.; Cai, G.; Guerriero, G. Reactive oxygen species and heavy metal stress in plants: Impact on the cell wall and secondary metabolism. Environ. Exp. Bot. 2019, 161, 98–106. [Google Scholar] [CrossRef]
- Maestri, E.; Klueva, N.; Perrotta, C.; Gulli, M.; Nguyen, H.T.; Marmiroli, N. Molecular genetics of heat tolerance and heat shock proteins in cereals. Plant Mol. Biol. 2002, 48, 667–681. [Google Scholar] [CrossRef]
- Ali, Z.; Basra, S.M.A.; Munir, H.; Mahmood, A.; Yousaf, S. Mitigation of drought stress in maize by natural and synthetic growth promoters. J. Agric. Soc. Sci. 2011, 7, 56–62. [Google Scholar]
- Agegnehu, G.; Nelson, P.N.; Bird, M.I. Crop yield, plant nutrient uptake and soil physicochemical properties under organic soil amendments and nitrogen fertilization on Nitisols. Soil Tillage Res. 2016, 160, 1–13. [Google Scholar] [CrossRef]
- Niu, K.; Zhang, R.; Zhu, R.; Wang, Y.; Zhang, D.; Ma, H. Cadmium stress suppresses the tillering of perennial ryegrass and is associated with the transcriptional regulation of genes controlling axillary bud outgrowth. Ecotoxicol. Environ. Saf. 2021, 212, 112002. [Google Scholar] [CrossRef] [PubMed]
- Kumar, V.; Sharma, P.K.; Jatav, H.S.; Singh, S.K.; Rai, A.; Kant, S.; Kumar, A. Organic amendments application increases yield and nutrient uptake of mustard (Brassica juncea) grown in chromium-contaminated soils. Commun. Soil Sci. Plant Anal. 2020, 51, 149–159. [Google Scholar] [CrossRef]
- Mahmood, F.; Khan, I.; Ashraf, U.; Shahzad, T.; Hussain, S.; Shahid, M.; Abid, M.; Ullah, S. Effects of organic and inorganic manures on maize and their residual impact on soil physico-chemical properties. J. Soil Sci. Plant Nutr. 2017, 17, 22–32. [Google Scholar] [CrossRef]
- Ur Rehman, M.Z.; Rizwan, M.; Hussain, A.; Saqib, M.; Ali, S.; Sohail, M.I.; Shafiq, M.; Hafeez, F. Alleviation of cadmium (Cd) toxicity and minimizing its uptake in wheat (Triticum aestivum) by using organic carbon sources in Cd-spiked soil. Environ. Pollut. 2018, 241, 557–565. [Google Scholar] [CrossRef]
- Mahanty, T.; Bhattacharjee, S.; Goswami, M.; Bhattacharyya, P.; Das, B.; Ghosh, A.; Tribedi, P. Biofertilizers: A potential approach for sustainable agriculture development. Environ. Sci. Pollut. Res. 2017, 24, 3315–3335. [Google Scholar] [CrossRef]
- Zeng, G.; Wu, H.; Liang, J.; Guo, S.; Huang, L.; Xu, P.; Liu, Y.; Yuan, Y.; He, X.; He, Y. Efficiency of biochar and compost (or composting) combined amendments for reducing Cd, Cu, Zn and Pb bioavailability, mobility and ecological risk in wetland soil. RSC Adv. 2015, 5, 34541–34548. [Google Scholar] [CrossRef]
- Jadia, C.D.; Fulekar, M.H. Phytoremediation: The application of vermicompost to remove zinc, cadmium, copper, nickel and lead by sunflower plant. Environ. Eng. Manag. J. 2008, 7, 547–558. [Google Scholar]
- Wuana, R.A.; Nnamonu, L.A.; Itodo, A.U.; Buluku, G.T. Phytoextraction of heavy metals by ricinus communis in soil amended with chelants and poultry manure. FUW Trends Sci. Technol. J. 2019, 4, 707–713. [Google Scholar]
- Mahohi, A.; Raiesi, F. The performance of mycorrhizae, rhizobacteria, and earthworms to improve Bermuda grass (Cynodon dactylon) growth and Pb uptake in a Pb-contaminated soil. Environ. Sci. Pollut. Res. 2021, 28, 3019–3034. [Google Scholar] [CrossRef]
- Ashraf, S.; Ahmad, S.R.; Ali, Q.; Ashraf, S.; Majid, M.; Zahir, Z.A. Acidified cow dung-assisted phytoextraction of heavy metals by ryegrass from contaminated soil as an eco-efficient technique. Sustainability 2022, 14, 15879. [Google Scholar] [CrossRef]
- Zhang, Y.; Gong, J.; Cao, W.; Qin, M.; Song, B. Influence of biochar and fulvic acid on the ryegrass-based phytoremediation of sediments contaminated with multiple heavy metals. J. Environ. Chem. Eng. 2023, 11, 109446. [Google Scholar] [CrossRef]
- Benyas, E.; Owens, J.; Seyedalikhani, S.; Robinson, B. Cadmium uptake by ryegrass and ryegrass–clover mixtures under different liming rates. J. Environ. Qual. 2018, 47, 1249–1257. [Google Scholar] [CrossRef] [PubMed]
- Madhavan, S.; Rosenman, K.D.; Shehata, T. Lead in soil: Recommended maximum permissible levels. Environ. Res. 1989, 49, 136–142. [Google Scholar] [CrossRef] [PubMed]
- Alloway, B.J. Heavy Metal in Soils; John Wiley and Sons: New York, NY, USA, 1990. [Google Scholar]







| No | Characteristics | Units | Concentrations Soil | Concentrations FYM |
|---|---|---|---|---|
| 1 | Sand | % | 53.0 ± 0.6 | - |
| 2 | Silt | % | 22.5 ± 0.5 | - |
| 3 | Clay | % | 24.5 ± 0.4 | - |
| 4 | pH | 7.75 ± 0.34 | 8.22 ± 0.15 | |
| 5 | EC | dSm−1 | 1.32 ± 0.03 | 1.39 ± 0.08 |
| 6 | Organic matter | % | 0.87 ± 0.07 | 85.8 ± 3.5 |
| 7 | Total organic carbon | % | - | 14.5 ± 0.55 |
| 8 | Total nitrogen | % | 0.82 ± 0.19 | 1.17 ± 0.03 |
| 9 | Available phosphorus | mg/kg | 44.0 ± 3.53 | 4608 ± 220 |
| 10 | Available potassium | mg/kg | 371 ± 21.43 | 8258 ± 397 |
| 11 | Total Pb | mg/kg | ND | ND |
| 12 | Total Cd | mg/kg | ND | ND |
| 13 | Extractable Pb | mg/kg | ND | ND |
| 14 | Extractable Cd | mg/kg | ND | ND |
| Photosynthetic Assimilation Rate (µmol CO2 m−2 s−1) | Transpiration Rate (mmol H2O m2 s−1) | |||||||||||
| Treatments | 0% FYM | 1% FYM | 0% FYM | 1% FYM | ||||||||
| Drought level | 100% | 50% | 30% | 100% | 50% | 30% | 100% | 50% | 30% | 100% | 50% | 30% |
| Control | 19.1 ± 1.1 b | 9.00 ± 0.4 f | 5.00 ± 0.1 hj | 22.0 ± 1.3 a | 12.0 ± 0.5 e | 6.00 ± 0.2 g–i | 4.35 ± 0.1 ab | 2.20 ± 0.1 g–i | 1.40 ± 0.04 j–m | 5.00 ± 0.21 a | 3.00 ± 0.1 ef | 1.60 ± 0.06 i–m |
| Pb2 | 17.1 ± 0.8 bc | 8.00 ± 0.3 fg | 4.00 ± 0.8 i–k | 18.0 ± 0.9 bc | 9.00 ± 1.0 f | 5.00 ± 0.1 h–j | 4.00 ± 0.1 b–d | 1.90± 0.1 g–k | 1.20 ± 0.03 k–m | 4.50± 0.19 ab | 2.57 ± 0.1 fg | 1.40 ± 0.2 j–m |
| Pb3 | 16.0 ± 0.6 cd | 7.00 ± 0.9 fg | 3.00 ± 0.1 jk | 15.0 ± 0.5 d | 7.00 ± 0.2 f–g | 3.00 ± 0.1 jk | 3.50 ± 0.7 de | 1.70 ± 0.1 h–m | 1.00 ± 0.05 m | 4.00± 0.1 b–d | 2.20 ± 0.07 g–i | 1.20 ± 0.05 k–m |
| Cd2 | 16.0 ± 1.0 cd | 7.00 ± 0.2 f–h | 3.00 ± 0.13 jk | 19.0 ± 1.4 b | 7.00 ± 0.5 f–g | 4.00 ± 0.8 i–k | 4.10 ± 0.2 b–d | 2.00 ± 0.1 g–j | 1.30 ± 0.04 j–m | 4.70 ± 0.2 ab | 2.40 ± 0.1 f–h | 1.50 ± 0.06 i–m |
| Cd3 | 15.0 ± 1.2 d | 6.00 ± 0.7 g–i | 2.00 ± 0.08 k | 14.9 ± 1.3 d | 6.00 ± 0.2 g–i | 2.00 ± 0.07 k | 3.60 ± 0.8 c–e | 1.80 ± 0.1 h–l | 1.10 ± 0.09 lm | 4.30± 0.6 a–c | 1.90 ± 0.1 g–k | 1.30± 0.03 j–m |
| Water use efficiency (mmol CO2 mol−1 H2O) | Membrane stability index (%) | |||||||||||
| Treatments | 0% FYM | 1% FYM | 0% FYM | 1% FYM | ||||||||
| Drought level | 100% | 50% | 30% | 100% | 50% | 30% | 100% | 50% | 30% | 100% | 50% | 30% |
| Control | 4.50 ± 0.1 bc | 2.40 ± 0.1 eg | 1.50 ± 0.07 jk | 5.00 ± 0.1 a | 2.80± 0.14 e | 1.70 ± 0.07 ij | 82.7 ± 2.76 a | 78.7 ± 3.49 a–c | 75.0 ± 6.59 a–e | 84.2 ± 6.03 a | 81.0 ± 4.55 a–c | 76.9 ± 7.67 a–e |
| Pb2 | 4.00 ± 0.1 d | 2.10± 0.09 f–i | 1.20± 0.06 k–m | 4.50± 0.3 bc | 2.50 ± 0.08 ef | 1.30 ± 0.07 j–m | 81.2 ± 2.31 ab | 77.0 ± 2.47 a–c | 74.0 ± 4.92 a–e | 83.5 ± 6.00 a | 79.5 ± 4.89 a–c | 74.5 ± 6.54 b–f |
| Pb3 | 3.80 ± 0.1 d | 1.99 ± 0.08 hi | 0.90 ± 0.03 m | 4.00± 0.2 d | 1.20 ± 0.07 k–m | 1.00 ± 0.05 lm | 79.7 ± 2.98 ab | 76.0 ± 6.29 a–d | 67.0 ± 1.28 c–f | 83.0 ± 5.68 a | 77.0 ± 6.12 a–e | 69.7 ± 2.78 d–f |
| Cd2 | 4.10 ± 0.1 cd | 2.20 ± 0.05 f–h | 1.30± 0.05 j–m | 4.70 ± 0.3 ab | 2.70 ± 0.08 e | 1.40 ± 0.07 j–l | 80.7 ± 0.99 ab | 74.0 ± 4.56 a–e | 62.5 ± 4.37 ef | 83.5 ± 2.77 a | 74.0 ± 6.12 a–c | 63.4 ± 1.65 ef |
| Cd3 | 3.90 ± 0.1 d | 2.00 ± 0.07 g–i | 1.00± 0.03 lm | 4.10 ± 0.3 cd | 1.40± 0.07 j–l | 1.00± 0.05 lm | 80.0 ± 1.77 ab | 77.0 ± 5.05 a–c | 61.2 ± 2.34 a | 82.9 ± 2.23 ab | 78.0 ± 6.85 a–c | 62.9 ± 4.35 f–k |
| Relative water content (%) | ||||||||||||
| Treatments | 0% FYM | 1% FYM | ||||||||||
| Drought level | 100% | 50% | 30% | 100% | 50% | 30% | ||||||
| Control | 86.0 ± 4.00 ab | 80.2 ± 4.10 a–e | 77.0 ± 4.22 c–f | 88.0 ± 2.14 a | 82.7 ± 2.62 a–c | 77.7 ± 3.80 b–f | ||||||
| Pb2 | 80.5 ± 2.62 a–e | 78.5 ± 1.92 b–f | 75.5 ± 2.30 c–g | 83.0 ± 3.60 a–c | 81.7 ± 3.50 a–d | 76.0 ± 2.71 c–g | ||||||
| Pb3 | 80.2 ± 2.80 a–e | 77.2 ± 3.84 b–f | 73.2 ± 2.41 d–h | 81.0 ± 4.34 a–e | 78.1 ± 3.12 b–f | 74.5 ± 1.22 c–g | ||||||
| Cd2 | 78.7 ± 1.72 b–f | 75.7 ± 2.80 c–g | 65.5 ± 2.08 hi | 79.5 ± 4.23 a–f | 74.8 ± 3.84 c–g | 68.0 ± 2.94 g–i | ||||||
| Cd3 | 77.7 ± 2.80 b–f | 71.2 ± 5.60 f–i | 62.5 ± 3.10 i | 76.2 ± 2.50 c–g | 72.2 ± 2.92 e–h | 65.5 ± 1.29 hi | ||||||
| Pb (300 mg kg−1) | ||||||||||||||||||||
| Parameters | RL | SL | RFW | RDW | SFW | SDW | NT | NL | SPAD | Chl. A | Chl. B | TC | PAR | TR | RWC | MSI | WUE | PbR | PbSL | PbS |
| RL | 1.00 | |||||||||||||||||||
| SL | 0.83 | 1.00 | ||||||||||||||||||
| RFW | 0.85 | 0.77 | 1.00 | |||||||||||||||||
| RDW | 0.85 | 0.98 | 0.69 | 1.00 | ||||||||||||||||
| SFW | 0.90 | 0.96 | 0.91 | 0.92 | 1.00 | |||||||||||||||
| SDW | 0.91 | 0.98 | 0.83 | 0.97 | 0.98 | 1.00 | ||||||||||||||
| NT | 0.94 | 0.86 | 0.79 | 0.84 | 0.87 | 0.92 | 1.00 | |||||||||||||
| NL | 0.82 | 0.99 | 0.77 | 0.98 | 0.97 | 0.97 | 0.81 | 1.00 | ||||||||||||
| SPAD | 0.93 | 0.84 | 0.81 | 0.87 | 0.90 | 0.90 | 0.81 | 0.87 | 1.00 | |||||||||||
| Chl. A | 0.99 | 0.86 | 0.89 | 0.86 | 0.93 | 0.93 | 0.94 | 0.85 | 0.90 | 1.00 | ||||||||||
| Chl. B | 0.74 | 0.94 | 0.87 | 0.85 | 0.95 | 0.92 | 0.77 | 0.93 | 0.74 | 0.81 | 1.00 | |||||||||
| TC | 0.98 | 0.85 | 0.83 | 0.89 | 0.91 | 0.92 | 0.88 | 0.86 | 0.97 | 0.96 | 0.74 | 1.00 | ||||||||
| PAR | 0.74 | 0.98 | 0.72 | 0.95 | 0.93 | 0.93 | 0.73 | 0.99 | 0.82 | 0.77 | 0.92 | 0.80 | 1.00 | |||||||
| TR | 0.79 | 0.97 | 0.76 | 0.96 | 0.95 | 0.94 | 0.75 | 0.99 | 0.88 | 0.81 | 0.91 | 0.85 | 0.99 | 1.00 | ||||||
| RWC | 0.90 | 0.86 | 0.96 | 0.81 | 0.96 | 0.91 | 0.83 | 0.88 | 0.93 | 0.92 | 0.89 | 0.91 | 0.83 | 0.88 | 1.00 | |||||
| MSI | 0.86 | 0.95 | 0.87 | 0.92 | 0.99 | 0.96 | 0.81 | 0.97 | 0.92 | 0.88 | 0.94 | 0.89 | 0.96 | 0.98 | 0.96 | 1.00 | ||||
| WUE | 0.77 | 0.97 | 0.76 | 0.95 | 0.95 | 0.94 | 0.74 | 0.99 | 0.86 | 0.79 | 0.93 | 0.83 | 1.00 | 1.00 | 0.87 | 0.98 | 1.00 | |||
| PbR | −0.95 | −0.82 | −0.75 | −0.89 | −0.87 | −0.89 | −0.82 | −0.85 | −0.97 | −0.92 | −0.69 | −0.99 | −0.79 | −0.85 | −0.87 | −0.87 | −0.82 | 1.00 | ||
| PbSL | −0.36 | −0.38 | −0.33 | −0.41 | −0.42 | −0.42 | −0.29 | −0.45 | −0.66 | −0.29 | −0.31 | −0.47 | −0.47 | −0.52 | −0.52 | −0.54 | −0.53 | 0.52 | 1.00 | |
| PbS | −0.88 | −0.91 | −0.69 | −0.95 | −0.90 | −0.93 | −0.82 | −0.93 | −0.96 | −0.86 | −0.76 | −0.94 | −0.90 | −0.93 | −0.85 | −0.92 | −0.91 | 0.95 | 0.63 | 1.00 |
| Pb (600 mg kg−1) | ||||||||||||||||||||
| Parameters | RL | SL | RFW | RDW | SFW | SDW | NT | NL | SPAD | Chl. A | Chl. B | TC | PAR | TR | RWC | MSI | WUE | PbR | PbSL | PbS |
| RL | 1.00 | |||||||||||||||||||
| SL | 0.70 | 1.00 | ||||||||||||||||||
| RFW | 0.84 | 0.88 | 1.00 | |||||||||||||||||
| RDW | 0.74 | 0.97 | 0.86 | 1.00 | ||||||||||||||||
| SFW | 0.71 | 0.96 | 0.96 | 0.93 | 1.00 | |||||||||||||||
| SDW | 0.91 | 0.87 | 0.98 | 0.86 | 0.92 | 1.00 | ||||||||||||||
| NT | 0.88 | 0.84 | 0.84 | 0.91 | 0.82 | 0.91 | 1.00 | |||||||||||||
| NL | 0.67 | 0.99 | 0.90 | 0.95 | 0.98 | 0.88 | 0.81 | 1.00 | ||||||||||||
| SPAD | 0.77 | 0.99 | 0.90 | 0.96 | 0.95 | 0.92 | 0.90 | 0.97 | 1.00 | |||||||||||
| Chl. a | 0.85 | 0.94 | 0.87 | 0.98 | 0.89 | 0.91 | 0.97 | 0.91 | 0.96 | 1.00 | ||||||||||
| Chl. b | 0.66 | 0.99 | 0.85 | 0.97 | 0.94 | 0.85 | 0.86 | 0.98 | 0.98 | 0.94 | 1.00 | |||||||||
| TC | 0.92 | 0.71 | 0.70 | 0.72 | 0.62 | 0.79 | 0.81 | 0.65 | 0.77 | 0.83 | 0.68 | 1.00 | ||||||||
| PAR | 0.52 | 0.96 | 0.84 | 0.91 | 0.96 | 0.78 | 0.71 | 0.98 | 0.91 | 0.83 | 0.95 | 0.49 | 1.00 | |||||||
| TR | 0.62 | 0.98 | 0.88 | 0.91 | 0.96 | 0.84 | 0.74 | 0.99 | 0.95 | 0.86 | 0.96 | 0.63 | 0.97 | 1.00 | ||||||
| RWC | 0.76 | 0.96 | 0.97 | 0.93 | 1.00 | 0.94 | 0.85 | 0.98 | 0.96 | 0.91 | 0.94 | 0.67 | 0.94 | 0.96 | 1.00 | |||||
| MSI | 0.79 | 0.94 | 0.98 | 0.91 | 0.99 | 0.97 | 0.87 | 0.96 | 0.96 | 0.91 | 0.93 | 0.68 | 0.90 | 0.93 | 0.99 | 1.00 | ||||
| WUE | 0.43 | 0.93 | 0.76 | 0.89 | 0.91 | 0.72 | 0.69 | 0.94 | 0.89 | 0.79 | 0.95 | 0.43 | 0.97 | 0.94 | 0.89 | 0.86 | 1.00 | |||
| PbR | −0.83 | −0.80 | −0.70 | −0.76 | −0.67 | −0.78 | −0.79 | −0.74 | −0.84 | −0.84 | −0.77 | −0.97 | −0.60 | −0.73 | −0.71 | −0.72 | −0.56 | 1.00 | ||
| PbSL | −0.93 | −0.70 | −0.74 | −0.80 | −0.66 | −0.83 | −0.95 | −0.65 | −0.77 | −0.90 | −0.71 | −0.88 | −0.51 | −0.57 | −0.70 | −0.73 | −0.47 | 0.80 | 1.00 | |
| PbS | −0.79 | −0.90 | −0.79 | −0.83 | −0.80 | −0.83 | −0.77 | −0.86 | −0.92 | −0.87 | −0.86 | −0.90 | −0.75 | −0.87 | −0.82 | −0.82 | −0.72 | 0.97 | 0.72 | 1.00 |
| Cd (100 mg kg−1) | |||||||||||||||||||||
| Parameters | RL | SL | RFW | RDW | SFW | SDW | NT | NL | SPAD | Chl. A | Chl. B | T. chl | TC | PAR | TR | RWC | MSI | WUE | CdR | CdSL | CdS |
| RL | 1.00 | ||||||||||||||||||||
| SL | 0.98 | 1.00 | |||||||||||||||||||
| RFW | 0.93 | 0.95 | 1.00 | ||||||||||||||||||
| RDW | 0.80 | 0.80 | 0.93 | 1.00 | |||||||||||||||||
| SFW | 0.86 | 0.82 | 0.85 | 0.90 | 1.00 | ||||||||||||||||
| SDW | 0.67 | 0.68 | 0.84 | 0.95 | 0.84 | 1.00 | |||||||||||||||
| NT | 0.96 | 0.92 | 0.88 | 0.74 | 0.76 | 0.64 | 1.00 | ||||||||||||||
| NL | 0.71 | 0.73 | 0.80 | 0.65 | 0.41 | 0.54 | 0.81 | 1.00 | |||||||||||||
| SPAD | 0.95 | 0.96 | 0.99 | 0.93 | 0.90 | 0.85 | 0.89 | 0.73 | 1.00 | ||||||||||||
| Chl. A | 0.42 | 0.47 | 0.60 | 0.47 | 0.11 | 0.40 | 0.53 | 0.93 | 0.49 | 1.00 | |||||||||||
| Chl. B | 0.88 | 0.90 | 0.91 | 0.74 | 0.61 | 0.62 | 0.93 | 0.95 | 0.87 | 0.79 | 1.00 | ||||||||||
| T. chl | 0.97 | 0.93 | 0.89 | 0.75 | 0.77 | 0.64 | 1.00 | 0.81 | 0.90 | 0.53 | 0.93 | 1.00 | |||||||||
| TC | 0.93 | 0.94 | 0.93 | 0.75 | 0.67 | 0.59 | 0.92 | 0.89 | 0.90 | 0.70 | 0.98 | 0.93 | 1.00 | ||||||||
| PAR | 0.67 | 0.74 | 0.81 | 0.68 | 0.42 | 0.66 | 0.75 | 0.94 | 0.76 | 0.90 | 0.91 | 0.75 | 0.83 | 1.00 | |||||||
| TR | 0.72 | 0.78 | 0.85 | 0.71 | 0.47 | 0.66 | 0.77 | 0.95 | 0.79 | 0.89 | 0.93 | 0.78 | 0.87 | 1.00 | 1.00 | ||||||
| RWC | 0.67 | 0.64 | 0.71 | 0.58 | 0.36 | 0.48 | 0.81 | 0.98 | 0.65 | 0.89 | 0.91 | 0.81 | 0.83 | 0.87 | 0.87 | 1.00 | |||||
| MSI | 0.67 | 0.68 | 0.77 | 0.65 | 0.39 | 0.56 | 0.79 | 1.00 | 0.70 | 0.94 | 0.93 | 0.79 | 0.86 | 0.93 | 0.94 | 0.98 | 1.00 | ||||
| WUE | 0.73 | 0.78 | 0.86 | 0.72 | 0.47 | 0.65 | 0.79 | 0.97 | 0.79 | 0.91 | 0.95 | 0.79 | 0.89 | 0.99 | 0.99 | 0.91 | 0.96 | 1.00 | |||
| CdR | −0.92 | −0.95 | −0.99 | −0.92 | −0.85 | −0.86 | −0.87 | −0.76 | −0.99 | −0.56 | −0.89 | −0.88 | −0.89 | −0.83 | −0.85 | −0.67 | −0.74 | −0.84 | 1.00 | ||
| CdSL | −0.42 | −0.06 | −0.37 | −0.60 | −0.30 | −0.68 | −0.03 | −0.23 | −0.30 | −0.35 | −0.13 | −0.42 | −0.09 | −0.33 | −0.32 | −0.14 | −0.26 | −0.32 | 0.44 | 1.00 | |
| CdS | −0.97 | −0.99 | −0.96 | −0.87 | −0.89 | −0.79 | −0.91 | −0.70 | −0.99 | −0.43 | −0.87 | −0.92 | −0.90 | −0.73 | −0.77 | −0.62 | −0.66 | −0.76 | 0.98 | 0.57 | 1.00 |
| Cd (200 mg kg−1) | |||||||||||||||||||||
| Parameters | RL | SL | RFW | RDW | SFW | SDW | NT | NL | SPAD | Chl. A | Chl. B | T. chl | TC | PAR | TR | RWC | MSI | WUE | CdR | CdSL | CdS |
| RL | 1.00 | ||||||||||||||||||||
| SL | 0.97 | 1.00 | |||||||||||||||||||
| RFW | 0.96 | 0.93 | 1.00 | ||||||||||||||||||
| RDW | 1.00 | 0.94 | 0.91 | 1.00 | |||||||||||||||||
| SFW | 0.91 | 0.85 | 0.94 | 0.95 | 1.00 | ||||||||||||||||
| SDW | 0.81 | 0.83 | 0.81 | 0.89 | 0.84 | 1.00 | |||||||||||||||
| NT | 0.86 | 0.85 | 0.87 | 0.96 | 0.97 | 0.67 | 1.00 | ||||||||||||||
| NL | 0.88 | 0.86 | 0.89 | 0.78 | 0.53 | 0.65 | 0.83 | 1.00 | |||||||||||||
| SPAD | 0.84 | 0.82 | 0.86 | 0.75 | 0.50 | 0.63 | 0.98 | 0.74 | 1.00 | ||||||||||||
| Chl. A | 0.89 | 0.91 | 0.92 | 0.88 | 0.77 | 0.85 | 0.89 | 0.92 | 0.54 | 1.00 | |||||||||||
| Chl. B | 0.75 | 0.75 | 0.77 | 0.66 | 0.37 | 0.52 | 0.97 | 0.98 | 0.84 | 0.79 | 1.00 | ||||||||||
| T. chl | 0.80 | 0.88 | 0.80 | 0.62 | 0.54 | 0.59 | 0.87 | 0.90 | 0.89 | 0.85 | 0.93 | 1.00 | |||||||||
| TC | 0.84 | 0.89 | 0.85 | 0.77 | 0.60 | 0.70 | 0.96 | 0.96 | 0.93 | 0.95 | 0.90 | 0.92 | 1.00 | ||||||||
| PAR | 0.96 | 0.92 | 0.97 | 0.92 | 0.73 | 0.83 | 0.96 | 0.94 | 0.95 | 0.89 | 0.83 | 0.93 | 0.79 | 1.00 | |||||||
| TR | 0.71 | 0.71 | 0.73 | 0.52 | 0.31 | 0.41 | 0.87 | 0.92 | 0.80 | 0.88 | 0.92 | 0.82 | 0.79 | 0.99 | 1.00 | ||||||
| RWC | 0.75 | 0.75 | 0.77 | 0.60 | 0.44 | 0.52 | 0.84 | 0.91 | 0.86 | 0.84 | 0.93 | 0.81 | 0.81 | 0.98 | 0.85 | 1.00 | |||||
| MSI | 0.78 | 0.80 | 0.78 | 0.60 | 0.38 | 0.49 | 0.96 | 0.97 | 0.83 | 0.97 | 0.93 | 0.94 | 0.87 | 0.93 | 0.88 | 0.97 | 1.00 | ||||
| WUE | 0.76 | 0.76 | 0.78 | 0.70 | 0.41 | 0.56 | 0.97 | 0.98 | 0.86 | 1.00 | 0.83 | 0.96 | 0.90 | 0.85 | 0.81 | 0.96 | 0.95 | 1.00 | |||
| CdR | 0.62 | 0.63 | 0.64 | 0.44 | 0.26 | 0.35 | 0.79 | 0.87 | 0.77 | 0.83 | 0.90 | 0.76 | 0.71 | 0.99 | 0.98 | 0.88 | 0.80 | −0.79 | 1.00 | ||
| CdSL | −0.90 | −0.93 | −0.90 | −0.91 | −0.97 | −0.96 | −0.69 | −0.67 | −0.89 | −0.55 | −0.73 | −0.74 | −0.84 | −0.53 | −0.64 | −0.58 | −0.58 | −0.48 | 0.51 | 1.00 | |
| CdS | −0.53 | −0.50 | −0.53 | −0.71 | −0.88 | −0.83 | −0.55 | −0.09 | −0.42 | −0.54 | −0.49 | −0.29 | −0.40 | −0.12 | −0.42 | −0.27 | −0.18 | −0.75 | 0.75 | 0.66 | 1.00 |
Disclaimer/Publisher’s Note: The statements, opinions and data contained in all publications are solely those of the individual author(s) and contributor(s) and not of MDPI and/or the editor(s). MDPI and/or the editor(s) disclaim responsibility for any injury to people or property resulting from any ideas, methods, instructions or products referred to in the content. |
© 2023 by the authors. Licensee MDPI, Basel, Switzerland. This article is an open access article distributed under the terms and conditions of the Creative Commons Attribution (CC BY) license (https://creativecommons.org/licenses/by/4.0/).
Share and Cite
Nasir, A.; Khan, M.I.; Asif, M.; Nawaz, M.F.; Ahmad, I. Farmyard Manure Enhances Phytoremediation and Mitigates Pb, Cd, and Drought Stress in Ryegrass. Sustainability 2023, 15, 15319. https://doi.org/10.3390/su152115319
Nasir A, Khan MI, Asif M, Nawaz MF, Ahmad I. Farmyard Manure Enhances Phytoremediation and Mitigates Pb, Cd, and Drought Stress in Ryegrass. Sustainability. 2023; 15(21):15319. https://doi.org/10.3390/su152115319
Chicago/Turabian StyleNasir, Abdul, Muhammad Imran Khan, Muhammad Asif, Muhammad Farrakh Nawaz, and Irfan Ahmad. 2023. "Farmyard Manure Enhances Phytoremediation and Mitigates Pb, Cd, and Drought Stress in Ryegrass" Sustainability 15, no. 21: 15319. https://doi.org/10.3390/su152115319
APA StyleNasir, A., Khan, M. I., Asif, M., Nawaz, M. F., & Ahmad, I. (2023). Farmyard Manure Enhances Phytoremediation and Mitigates Pb, Cd, and Drought Stress in Ryegrass. Sustainability, 15(21), 15319. https://doi.org/10.3390/su152115319

